Surface Modification of
Nanoparticles for
Biomedical Applications

1

1
• Consequently a multi-component
nanomedical system can be constructed in
reverse order of controlling events, namely
from the inside out. The outer components
are the first to be used. The inner
components are the last.
lipids, polimers (biocompatible-biodegradable
materials)
Also water is available (liposomes)
The drug can be inserted into the core
Ligands for targeting
Cell Targeting
A. antibodies
B. Peptides
C. Aptamers
D. Other ligands
Antibodies
• Antibodies directed against tissue-specific
antigens.
Examples
Receptors:
Vascular endothelial growth factor (VEGF);
folate (highly expressed in tumours);
Transferrin, opiod peptides (Brain),
Apolipoproteins(ApoE, Brain) ,
Human epidermal growth factor (EGF)
αvβ3 Integrin
Matrix metalloproteinases
APTAMERS
Aptamers are oligonucleic acid molecules that bind a
specific target molecule. Aptamers are usually created
by selecting them from a large random sequence pool,
but natural aptamers also exist in riboswitches.
Aptamers can be used for both basic research and
clinical purposes as macromolecular drugs.
• aptamers offer advantages over antibodies as
they can be engineered completely in a test
tube, are readily produced by chemical
synthesis, possess desirable storage
properties, and elicit little or no
immunogenicity in therapeutic applications.
Aptamer target protein or molecule
Application
PSMA
Prostate cancer diagnosis and therapy
WT1
Understanding Wilm's tumor pathogenesis
4,4′-methylenedianiline
Detecting DNA-damaging compounds
VEGF
Inhibiting angiogenesis
RET
Inhibition of pro-growth signaling
HER-3
Reducing drug resistance in HER-2+ cancers
TCF-1
Colon cancer growth inhibition
Tenascin-C
Glioblastoma (brain cancer) detection
MUC1
Breast, pancreatic, ovarian cancers; targeting demonstrated
PDGF/PDGFR
Improving transport to tumors and targeting brain cancers
NF-κB
Targeting a transcription factor implicated in many diseases
Phosphatidylcholine:cholesterol liposomes
Triggering liposome degradation
Raf-1
Inhibiting pro-growth signaling
αvβ3 integrin
Targeting tumor-associated vasculature
Human keratinocyte growth factor
Inhibiting pro-growth signali
Properties of aptamers
versus antibodies
Aptamers
Binding affinity nanomolar to picomolar
Selection is a chemical process carried out
in vitro and can therefore target any
protein
Can select for ligands under a variety of
conditions for in vitro diagnostics
Uniform activity regardless of batch
synthesis
PK parameters can be changed on demand
Investigator determines target site of
protein
Wide variety of chemical modifications to
molecule for diverse functions of molecule
Return to original conformation after
temperature insult
Unlimited shelf-life
No evidence of immunogenicity

Antibodies
Binding affinity nanomolar to picomolar
Selection requires a biological system,
thus it is difficult to raise antibodies
to toxins (not tolerated by animal) or nonimmunogenic targets.
Limited to physiologic conditions for
diagnostics
Screening monoclonal antibodies time
consuming and expensive
Activity of antibodies vary from batch to
batch
Difficult to modify PK parameters
Immune system determines target site of
protein
Temperature sensitive and undergo
irreversible denaturation
Limited shelf-life
Significant immunogenicity
PEPTIDES
• Peptide sequences recognized by receptors
responsible of binding can be identified and
synthesized.

• Examples are peptide sequences derived from
ApoE apolipoprotein that are recognized by
LDL receptor on cell membranes
Peptides aptamers
• Peptide aptamers consist of a variable peptide loop attached at
both ends to a protein scaffold. This double structural constraint
greatly increases the binding affinity of the peptide aptamer to
levels comparable to an antibody's (nanomolar range).The variable
loop length is typically comprised of 10 to 20 amino acids, and the
scaffold may be any protein which has good solubility and
compacity properties. Currently, the bacterial protein Thioredoxin-A
is the most used scaffold protein, the variable loop being inserted
within the reducing active site, which is a -Cys-Gly-Pro-Cys- loop in
the wild protein, the two Cysteines lateral chains being able to form
a disulfide bridge.Peptide aptamer selection can be made using
different systems, but the most used is currently the yeast twohybrid system.
OTHER LIGANDS
• Natural ligands for receptors can be
employed.
Examples:
Folate
ApoE
Trasferrin
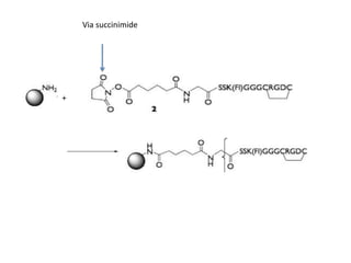
Via succinimide

+
nanoparticle

nanoparticle

biotin

streptavidin
biotin
antibody
nanoparticle

antibody
streptavidin

biotin
LNA

• A locked nucleic acid (LNA), often
referred to as inaccessible RNA, is a
modified RNA nucleotide. The
ribose moiety is modified with an
extra bridge connecting the 2'
oxygen and 4' carbon. LNA
nucleotides can be mixed with DNA
or
RNA
residues
in
the
oligonucleotide whenever desired.
Such oligomers are commercially
available. The locked ribose
conformation
enhances
base
stacking and backbone preorganization. This significantly
increases
the
hybridization
properties (melting temperature)
of oligonucleotides.[1]
cystein

targeting

  • 1.
    Surface Modification of Nanoparticlesfor Biomedical Applications 1 1
  • 4.
    • Consequently amulti-component nanomedical system can be constructed in reverse order of controlling events, namely from the inside out. The outer components are the first to be used. The inner components are the last.
  • 6.
  • 7.
    The drug canbe inserted into the core
  • 8.
  • 13.
    Cell Targeting A. antibodies B.Peptides C. Aptamers D. Other ligands
  • 14.
    Antibodies • Antibodies directedagainst tissue-specific antigens.
  • 15.
    Examples Receptors: Vascular endothelial growthfactor (VEGF); folate (highly expressed in tumours); Transferrin, opiod peptides (Brain), Apolipoproteins(ApoE, Brain) , Human epidermal growth factor (EGF) αvβ3 Integrin Matrix metalloproteinases
  • 18.
  • 19.
    Aptamers are oligonucleicacid molecules that bind a specific target molecule. Aptamers are usually created by selecting them from a large random sequence pool, but natural aptamers also exist in riboswitches. Aptamers can be used for both basic research and clinical purposes as macromolecular drugs.
  • 20.
    • aptamers offeradvantages over antibodies as they can be engineered completely in a test tube, are readily produced by chemical synthesis, possess desirable storage properties, and elicit little or no immunogenicity in therapeutic applications.
  • 23.
    Aptamer target proteinor molecule Application PSMA Prostate cancer diagnosis and therapy WT1 Understanding Wilm's tumor pathogenesis 4,4′-methylenedianiline Detecting DNA-damaging compounds VEGF Inhibiting angiogenesis RET Inhibition of pro-growth signaling HER-3 Reducing drug resistance in HER-2+ cancers TCF-1 Colon cancer growth inhibition Tenascin-C Glioblastoma (brain cancer) detection MUC1 Breast, pancreatic, ovarian cancers; targeting demonstrated PDGF/PDGFR Improving transport to tumors and targeting brain cancers NF-κB Targeting a transcription factor implicated in many diseases Phosphatidylcholine:cholesterol liposomes Triggering liposome degradation Raf-1 Inhibiting pro-growth signaling αvβ3 integrin Targeting tumor-associated vasculature Human keratinocyte growth factor Inhibiting pro-growth signali
  • 24.
    Properties of aptamers versusantibodies Aptamers Binding affinity nanomolar to picomolar Selection is a chemical process carried out in vitro and can therefore target any protein Can select for ligands under a variety of conditions for in vitro diagnostics Uniform activity regardless of batch synthesis PK parameters can be changed on demand Investigator determines target site of protein Wide variety of chemical modifications to molecule for diverse functions of molecule Return to original conformation after temperature insult Unlimited shelf-life No evidence of immunogenicity Antibodies Binding affinity nanomolar to picomolar Selection requires a biological system, thus it is difficult to raise antibodies to toxins (not tolerated by animal) or nonimmunogenic targets. Limited to physiologic conditions for diagnostics Screening monoclonal antibodies time consuming and expensive Activity of antibodies vary from batch to batch Difficult to modify PK parameters Immune system determines target site of protein Temperature sensitive and undergo irreversible denaturation Limited shelf-life Significant immunogenicity
  • 25.
    PEPTIDES • Peptide sequencesrecognized by receptors responsible of binding can be identified and synthesized. • Examples are peptide sequences derived from ApoE apolipoprotein that are recognized by LDL receptor on cell membranes
  • 26.
    Peptides aptamers • Peptideaptamers consist of a variable peptide loop attached at both ends to a protein scaffold. This double structural constraint greatly increases the binding affinity of the peptide aptamer to levels comparable to an antibody's (nanomolar range).The variable loop length is typically comprised of 10 to 20 amino acids, and the scaffold may be any protein which has good solubility and compacity properties. Currently, the bacterial protein Thioredoxin-A is the most used scaffold protein, the variable loop being inserted within the reducing active site, which is a -Cys-Gly-Pro-Cys- loop in the wild protein, the two Cysteines lateral chains being able to form a disulfide bridge.Peptide aptamer selection can be made using different systems, but the most used is currently the yeast twohybrid system.
  • 27.
    OTHER LIGANDS • Naturalligands for receptors can be employed. Examples: Folate ApoE Trasferrin
  • 35.
  • 37.
  • 38.
  • 41.
    LNA • A lockednucleic acid (LNA), often referred to as inaccessible RNA, is a modified RNA nucleotide. The ribose moiety is modified with an extra bridge connecting the 2' oxygen and 4' carbon. LNA nucleotides can be mixed with DNA or RNA residues in the oligonucleotide whenever desired. Such oligomers are commercially available. The locked ribose conformation enhances base stacking and backbone preorganization. This significantly increases the hybridization properties (melting temperature) of oligonucleotides.[1]
  • 46.