Surface Modification of
   Nanoparticles for
Biomedical Applications




                          1
                              1
• Consequently a multi-component
  nanomedical system can be constructed in
  reverse order of controlling events, namely
  from the inside out. The outer components
  are the first to be used. The inner
  components are the last.
lipids, polimers (biocompatible-biodegradable
materials)
Also water is available (liposomes)
The drug can be inserted into the core
Ligands for targeting
Cell Targeting

A. antibodies
B. Peptides
C. Aptamers
D. Other ligands
Antibodies
• Antibodies directed against tissue-specific
  antigens.
Examples
Receptors: Vascular endothelial growth factor
  (VEGF); folate (highly expressed in tumours);
  Transferrin, opiod peptides (Brain),
  Apolipoproteins (ApoE, Brain) , Human
  epidermal growth factor (EGF)

αvβ3 Integrin
Matrix metalloproteinases
APTAMERS
Aptamers are oligonucleic acid molecules that bind a
specific target molecule. Aptamers are usually created
by selecting them from a large random sequence pool,
    but natural aptamers also exist in riboswitches.
  Aptamers can be used for both basic research and
      clinical purposes as macromolecular drugs.
• aptamers offer advantages over antibodies as
  they can be engineered completely in a test
  tube, are readily produced by chemical
  synthesis, possess desirable storage
  properties, and elicit little or no
  immunogenicity in therapeutic applications.
Aptamer target protein or molecule                          Application
PSMA                                                        Prostate cancer diagnosis and therapy
WT1                                            Understanding Wilm's tumor pathogenesis
4,4′-methylenedianiline                  Detecting DNA-damaging compounds
VEGF                                                 Inhibiting angiogenesis
RET                                      Inhibition of pro-growth signaling
HER-3                                                Reducing drug resistance in HER-2+ cancers
TCF-1                                          Colon cancer growth inhibition
Tenascin-C                               Glioblastoma (brain cancer) detection
MUC1                               Breast, pancreatic, ovarian cancers; targeting demonstrated
PDGF/PDGFR                         Improving transport to tumors and targeting brain cancers
NF-κB                              Targeting a transcription factor implicated in many diseases
Phosphatidylcholine:cholesterol liposomes                   Triggering liposome degradation
Raf-1                                          Inhibiting pro-growth signaling
αvβ3 integrin                            Targeting tumor-associated vasculature
Human keratinocyte growth factor                     Inhibiting pro-growth signali
Properties of aptamers versus
                     antibodies
Aptamers                                      Antibodies
Binding affinity nanomolar to picomolar       Binding affinity nanomolar to picomolar
Selection is a chemical process carried out   Selection requires a biological system,
in vitro and can therefore target any          thus it is difficult to raise antibodies
protein                                        to toxins (not tolerated by animal) or non-
Can select for ligands under a variety of     immunogenic targets.
conditions for in vitro diagnostics           Limited to physiologic conditions for
                                              diagnostics
Uniform activity regardless of batch
                                              Screening monoclonal antibodies time
synthesis
                                              consuming and expensive
PK parameters can be changed on demand        Activity of antibodies vary from batch to
Investigator determines target site of        batch
protein                                       Difficult to modify PK parameters
Wide variety of chemical modifications to     Immune system determines target site of
molecule for diverse functions of molecule    protein
Return to original conformation after         Temperature sensitive and undergo
temperature insult                            irreversible denaturation
                                              Limited shelf-life
Unlimited shelf-life
                                              Significant immunogenicity
No evidence of immunogenicity
PEPTIDES
• Peptide sequences recognized by receptors
  responsible of binding can be identified and
  synthesized.

• Examples are peptide sequences derived from
  ApoE apolipoprotein that are recognized by
  LDL receptor on cell membranes
Peptides aptamers
• Peptide aptamers consist of a variable peptide loop attached at
  both ends to a protein scaffold. This double structural constraint
  greatly increases the binding affinity of the peptide aptamer to
  levels comparable to an antibody's (nanomolar range).The variable
  loop length is typically comprised of 10 to 20 amino acids, and the
  scaffold may be any protein which has good solubility and
  compacity properties. Currently, the bacterial protein Thioredoxin-A
  is the most used scaffold protein, the variable loop being inserted
  within the reducing active site, which is a -Cys-Gly-Pro-Cys- loop in
  the wild protein, the two Cysteines lateral chains being able to form
  a disulfide bridge.Peptide aptamer selection can be made using
  different systems, but the most used is currently the yeast two-
  hybrid system.
OTHER LIGANDS
• Natural ligands for receptors can be
  employed.
Examples:
Folate
ApoE
Trasferrin
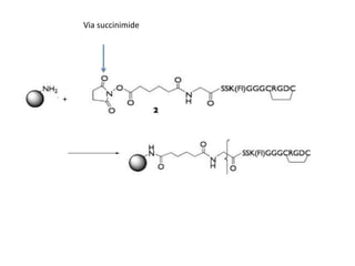
Via succinimide




+
nanoparticle     nanoparticle




                                   biotin




                        streptavidin

biotin
antibody

                           nanoparticle




           antibody
                      streptavidin



                           biotin
LNA
• A locked nucleic acid (LNA), often
  referred to as inaccessible RNA, is a
  modified RNA nucleotide. The
  ribose moiety is modified with an
  extra bridge connecting the 2'
  oxygen and 4' carbon. LNA
  nucleotides can be mixed with DNA
  or     RNA     residues     in    the
  oligonucleotide whenever desired.
  Such oligomers are commercially
  available. The locked ribose
  conformation      enhances      base
  stacking and backbone pre-
  organization. This significantly
  increases      the      hybridization
  properties (melting temperature)
  of oligonucleotides.[1]
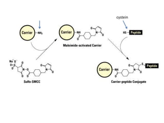
cystein

3targeting

  • 1.
    Surface Modification of Nanoparticles for Biomedical Applications 1 1
  • 4.
    • Consequently amulti-component nanomedical system can be constructed in reverse order of controlling events, namely from the inside out. The outer components are the first to be used. The inner components are the last.
  • 6.
  • 7.
    The drug canbe inserted into the core
  • 8.
  • 13.
    Cell Targeting A. antibodies B.Peptides C. Aptamers D. Other ligands
  • 14.
    Antibodies • Antibodies directedagainst tissue-specific antigens.
  • 15.
    Examples Receptors: Vascular endothelialgrowth factor (VEGF); folate (highly expressed in tumours); Transferrin, opiod peptides (Brain), Apolipoproteins (ApoE, Brain) , Human epidermal growth factor (EGF) αvβ3 Integrin Matrix metalloproteinases
  • 18.
  • 19.
    Aptamers are oligonucleicacid molecules that bind a specific target molecule. Aptamers are usually created by selecting them from a large random sequence pool, but natural aptamers also exist in riboswitches. Aptamers can be used for both basic research and clinical purposes as macromolecular drugs.
  • 20.
    • aptamers offeradvantages over antibodies as they can be engineered completely in a test tube, are readily produced by chemical synthesis, possess desirable storage properties, and elicit little or no immunogenicity in therapeutic applications.
  • 23.
    Aptamer target proteinor molecule Application PSMA Prostate cancer diagnosis and therapy WT1 Understanding Wilm's tumor pathogenesis 4,4′-methylenedianiline Detecting DNA-damaging compounds VEGF Inhibiting angiogenesis RET Inhibition of pro-growth signaling HER-3 Reducing drug resistance in HER-2+ cancers TCF-1 Colon cancer growth inhibition Tenascin-C Glioblastoma (brain cancer) detection MUC1 Breast, pancreatic, ovarian cancers; targeting demonstrated PDGF/PDGFR Improving transport to tumors and targeting brain cancers NF-κB Targeting a transcription factor implicated in many diseases Phosphatidylcholine:cholesterol liposomes Triggering liposome degradation Raf-1 Inhibiting pro-growth signaling αvβ3 integrin Targeting tumor-associated vasculature Human keratinocyte growth factor Inhibiting pro-growth signali
  • 24.
    Properties of aptamersversus antibodies Aptamers Antibodies Binding affinity nanomolar to picomolar Binding affinity nanomolar to picomolar Selection is a chemical process carried out Selection requires a biological system, in vitro and can therefore target any thus it is difficult to raise antibodies protein to toxins (not tolerated by animal) or non- Can select for ligands under a variety of immunogenic targets. conditions for in vitro diagnostics Limited to physiologic conditions for diagnostics Uniform activity regardless of batch Screening monoclonal antibodies time synthesis consuming and expensive PK parameters can be changed on demand Activity of antibodies vary from batch to Investigator determines target site of batch protein Difficult to modify PK parameters Wide variety of chemical modifications to Immune system determines target site of molecule for diverse functions of molecule protein Return to original conformation after Temperature sensitive and undergo temperature insult irreversible denaturation Limited shelf-life Unlimited shelf-life Significant immunogenicity No evidence of immunogenicity
  • 25.
    PEPTIDES • Peptide sequencesrecognized by receptors responsible of binding can be identified and synthesized. • Examples are peptide sequences derived from ApoE apolipoprotein that are recognized by LDL receptor on cell membranes
  • 26.
    Peptides aptamers • Peptideaptamers consist of a variable peptide loop attached at both ends to a protein scaffold. This double structural constraint greatly increases the binding affinity of the peptide aptamer to levels comparable to an antibody's (nanomolar range).The variable loop length is typically comprised of 10 to 20 amino acids, and the scaffold may be any protein which has good solubility and compacity properties. Currently, the bacterial protein Thioredoxin-A is the most used scaffold protein, the variable loop being inserted within the reducing active site, which is a -Cys-Gly-Pro-Cys- loop in the wild protein, the two Cysteines lateral chains being able to form a disulfide bridge.Peptide aptamer selection can be made using different systems, but the most used is currently the yeast two- hybrid system.
  • 27.
    OTHER LIGANDS • Naturalligands for receptors can be employed. Examples: Folate ApoE Trasferrin
  • 35.
  • 37.
    nanoparticle nanoparticle biotin streptavidin biotin
  • 38.
    antibody nanoparticle antibody streptavidin biotin
  • 41.
    LNA • A lockednucleic acid (LNA), often referred to as inaccessible RNA, is a modified RNA nucleotide. The ribose moiety is modified with an extra bridge connecting the 2' oxygen and 4' carbon. LNA nucleotides can be mixed with DNA or RNA residues in the oligonucleotide whenever desired. Such oligomers are commercially available. The locked ribose conformation enhances base stacking and backbone pre- organization. This significantly increases the hybridization properties (melting temperature) of oligonucleotides.[1]
  • 46.