Binomial Theorem
Binomial TheoremBinomial Expansions
A binomial expression is one which contains two terms.
Binomial TheoremBinomial Expansions
A binomial expression is one which contains two terms.
  11
0
 x
Binomial TheoremBinomial Expansions
A binomial expression is one which contains two terms.
  11
0
 x
  xx 111
1

Binomial TheoremBinomial Expansions
A binomial expression is one which contains two terms.
  11
0
 x
  xx 111
1

  22
1211 xxx 
Binomial TheoremBinomial Expansions
A binomial expression is one which contains two terms.
  11
0
 x
  xx 111
1

  22
1211 xxx 
    
32
322
23
331
221
12111
xxx
xxxxx
xxxx



Binomial TheoremBinomial Expansions
A binomial expression is one which contains two terms.
  11
0
 x
  xx 111
1

  22
1211 xxx 
    
32
322
23
331
221
12111
xxx
xxxxx
xxxx



    
432
43232
324
4641
33331
33111
xxxx
xxxxxxx
xxxxx



Blaise Pascal saw a pattern which we now know as Pascal’s Triangle
Blaise Pascal saw a pattern which we now know as Pascal’s Triangle
1
Blaise Pascal saw a pattern which we now know as Pascal’s Triangle
1
1 1
Blaise Pascal saw a pattern which we now know as Pascal’s Triangle
1
1 1
1 2 1
Blaise Pascal saw a pattern which we now know as Pascal’s Triangle
1
1 1
1 2 1
1 3 3 1
Blaise Pascal saw a pattern which we now know as Pascal’s Triangle
1
1 1
1 2 1
1 3 3 1
1 4 6 4 1
Blaise Pascal saw a pattern which we now know as Pascal’s Triangle
1
1 1
1 2 1
1 3 3 1
1 4 6 4 1
1 5 10 10 5 1
Blaise Pascal saw a pattern which we now know as Pascal’s Triangle
1
1 1
1 2 1
1 3 3 1
1 4 6 4 1
1 5 10 10 5 1
1 6 15 20 15 6 1
Blaise Pascal saw a pattern which we now know as Pascal’s Triangle
1
1 1
1 2 1
1 3 3 1
1 4 6 4 1
1 5 10 10 5 1
1 6 15 20 15 6 1
1 7 21 35 35 21 7 1
Blaise Pascal saw a pattern which we now know as Pascal’s Triangle
1
1 1
1 2 1
1 3 3 1
1 4 6 4 1
1 5 10 10 5 1
1 6 15 20 15 6 1
1 7 21 35 35 21 7 1
1 8 28 56 70 56 28 8 1
Blaise Pascal saw a pattern which we now know as Pascal’s Triangle
1
1 1
1 2 1
1 3 3 1
1 4 6 4 1
1 5 10 10 5 1
1 6 15 20 15 6 1
1 7 21 35 35 21 7 1
1 8 28 56 70 56 28 8 1
1 9 36 84 126 126 84 36 9 1
Blaise Pascal saw a pattern which we now know as Pascal’s Triangle
1
1 1
1 2 1
1 3 3 1
1 4 6 4 1
1 5 10 10 5 1
1 6 15 20 15 6 1
1 7 21 35 35 21 7 1
1 8 28 56 70 56 28 8 1
1 9 36 84 126 126 84 36 9 1
1 10 45 120 210 252 210 120 45 10 1
 
7
3
2
1.. 






x
ige
 
7
3
2
1.. 






x
ige
         
 
76
5
2
4
3
3
4
2
567
3
2
3
2
17
3
2
121
3
2
135
3
2
135
3
2
121
3
2
171












































xx
xxxxx
 
7
3
2
1.. 






x
ige
         
 
76
5
2
4
3
3
4
2
567
3
2
3
2
17
3
2
121
3
2
135
3
2
135
3
2
121
3
2
171












































xx
xxxxx
2187
128
729
448
243
672
81
560
27
280
9
84
3
14
1
765432
xxxxxxx

 
7
3
2
1.. 






x
ige
         
 
76
5
2
4
3
3
4
2
567
3
2
3
2
17
3
2
121
3
2
135
3
2
135
3
2
121
3
2
171












































xx
xxxxx
2187
128
729
448
243
672
81
560
27
280
9
84
3
14
1
765432
xxxxxxx

      dps8to0.998ofvaluethefindto1ofexpansiontheUse
1010
xii 
 
7
3
2
1.. 






x
ige
         
 
76
5
2
4
3
3
4
2
567
3
2
3
2
17
3
2
121
3
2
135
3
2
135
3
2
121
3
2
171












































xx
xxxxx
2187
128
729
448
243
672
81
560
27
280
9
84
3
14
1
765432
xxxxxxx

      dps8to0.998ofvaluethefindto1ofexpansiontheUse
1010
xii 
 
109
876543210
10
45120210252210120451011
xx
xxxxxxxxx


 
7
3
2
1.. 






x
ige
         
 
76
5
2
4
3
3
4
2
567
3
2
3
2
17
3
2
121
3
2
135
3
2
135
3
2
121
3
2
171












































xx
xxxxx
2187
128
729
448
243
672
81
560
27
280
9
84
3
14
1
765432
xxxxxxx

      dps8to0.998ofvaluethefindto1ofexpansiontheUse
1010
xii 
 
109
876543210
10
45120210252210120451011
xx
xxxxxxxxx


       3210
002.0120002.045002.0101998.0 
 
7
3
2
1.. 






x
ige
         
 
76
5
2
4
3
3
4
2
567
3
2
3
2
17
3
2
121
3
2
135
3
2
135
3
2
121
3
2
171












































xx
xxxxx
2187
128
729
448
243
672
81
560
27
280
9
84
3
14
1
765432
xxxxxxx

      dps8to0.998ofvaluethefindto1ofexpansiontheUse
1010
xii 
 
109
876543210
10
45120210252210120451011
xx
xxxxxxxxx


       3210
002.0120002.045002.0101998.0 
98017904.0
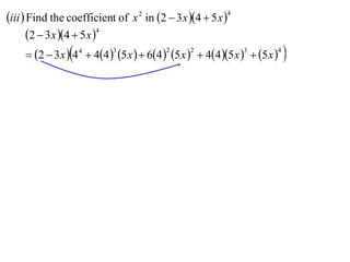
    42
5432inoftcoefficientheFind xxxiii 
    42
5432inoftcoefficientheFind xxxiii 
  
               432234
4
5544546544432
5432
xxxxx
xx


    42
5432inoftcoefficientheFind xxxiii 
  
               432234
4
5544546544432
5432
xxxxx
xx


    42
5432inoftcoefficientheFind xxxiii 
  
               432234
4
5544546544432
5432
xxxxx
xx


    42
5432inoftcoefficientheFind xxxiii 
  
               432234
4
5544546544432
5432
xxxxx
xx


         54435462oftcoefficien
3222
 x
    42
5432inoftcoefficientheFind xxxiii 
  
               432234
4
5544546544432
5432
xxxxx
xx


         54435462oftcoefficien
3222
 x
960
38404800


    42
5432inoftcoefficientheFind xxxiii 
  
               432234
4
5544546544432
5432
xxxxx
xx


         54435462oftcoefficien
3222
 x
Exercise 5A; 2ace etc, 4, 6, 7, 9ad, 12b, 13ac, 14ace, 16a, 22, 23
960
38404800



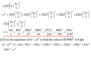
12 x1 t08 01 binomial expansions (2013)

  • 1.
  • 2.
    Binomial TheoremBinomial Expansions Abinomial expression is one which contains two terms.
  • 3.
    Binomial TheoremBinomial Expansions Abinomial expression is one which contains two terms.   11 0  x
  • 4.
    Binomial TheoremBinomial Expansions Abinomial expression is one which contains two terms.   11 0  x   xx 111 1 
  • 5.
    Binomial TheoremBinomial Expansions Abinomial expression is one which contains two terms.   11 0  x   xx 111 1    22 1211 xxx 
  • 6.
    Binomial TheoremBinomial Expansions Abinomial expression is one which contains two terms.   11 0  x   xx 111 1    22 1211 xxx       32 322 23 331 221 12111 xxx xxxxx xxxx   
  • 7.
    Binomial TheoremBinomial Expansions Abinomial expression is one which contains two terms.   11 0  x   xx 111 1    22 1211 xxx       32 322 23 331 221 12111 xxx xxxxx xxxx         432 43232 324 4641 33331 33111 xxxx xxxxxxx xxxxx   
  • 8.
    Blaise Pascal sawa pattern which we now know as Pascal’s Triangle
  • 9.
    Blaise Pascal sawa pattern which we now know as Pascal’s Triangle 1
  • 10.
    Blaise Pascal sawa pattern which we now know as Pascal’s Triangle 1 1 1
  • 11.
    Blaise Pascal sawa pattern which we now know as Pascal’s Triangle 1 1 1 1 2 1
  • 12.
    Blaise Pascal sawa pattern which we now know as Pascal’s Triangle 1 1 1 1 2 1 1 3 3 1
  • 13.
    Blaise Pascal sawa pattern which we now know as Pascal’s Triangle 1 1 1 1 2 1 1 3 3 1 1 4 6 4 1
  • 14.
    Blaise Pascal sawa pattern which we now know as Pascal’s Triangle 1 1 1 1 2 1 1 3 3 1 1 4 6 4 1 1 5 10 10 5 1
  • 15.
    Blaise Pascal sawa pattern which we now know as Pascal’s Triangle 1 1 1 1 2 1 1 3 3 1 1 4 6 4 1 1 5 10 10 5 1 1 6 15 20 15 6 1
  • 16.
    Blaise Pascal sawa pattern which we now know as Pascal’s Triangle 1 1 1 1 2 1 1 3 3 1 1 4 6 4 1 1 5 10 10 5 1 1 6 15 20 15 6 1 1 7 21 35 35 21 7 1
  • 17.
    Blaise Pascal sawa pattern which we now know as Pascal’s Triangle 1 1 1 1 2 1 1 3 3 1 1 4 6 4 1 1 5 10 10 5 1 1 6 15 20 15 6 1 1 7 21 35 35 21 7 1 1 8 28 56 70 56 28 8 1
  • 18.
    Blaise Pascal sawa pattern which we now know as Pascal’s Triangle 1 1 1 1 2 1 1 3 3 1 1 4 6 4 1 1 5 10 10 5 1 1 6 15 20 15 6 1 1 7 21 35 35 21 7 1 1 8 28 56 70 56 28 8 1 1 9 36 84 126 126 84 36 9 1
  • 19.
    Blaise Pascal sawa pattern which we now know as Pascal’s Triangle 1 1 1 1 2 1 1 3 3 1 1 4 6 4 1 1 5 10 10 5 1 1 6 15 20 15 6 1 1 7 21 35 35 21 7 1 1 8 28 56 70 56 28 8 1 1 9 36 84 126 126 84 36 9 1 1 10 45 120 210 252 210 120 45 10 1
  • 20.
  • 21.
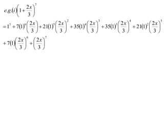
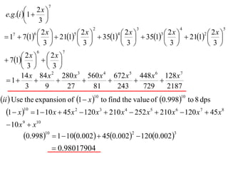
      7 3 2 1..        x ige            76 5 2 4 3 3 4 2 567 3 2 3 2 17 3 2 121 3 2 135 3 2 135 3 2 121 3 2 171                                             xx xxxxx
  • 22.
      7 3 2 1..        x ige            76 5 2 4 3 3 4 2 567 3 2 3 2 17 3 2 121 3 2 135 3 2 135 3 2 121 3 2 171                                             xx xxxxx 2187 128 729 448 243 672 81 560 27 280 9 84 3 14 1 765432 xxxxxxx 
  • 23.
      7 3 2 1..        x ige            76 5 2 4 3 3 4 2 567 3 2 3 2 17 3 2 121 3 2 135 3 2 135 3 2 121 3 2 171                                             xx xxxxx 2187 128 729 448 243 672 81 560 27 280 9 84 3 14 1 765432 xxxxxxx        dps8to0.998ofvaluethefindto1ofexpansiontheUse 1010 xii 
  • 24.
      7 3 2 1..        x ige            76 5 2 4 3 3 4 2 567 3 2 3 2 17 3 2 121 3 2 135 3 2 135 3 2 121 3 2 171                                             xx xxxxx 2187 128 729 448 243 672 81 560 27 280 9 84 3 14 1 765432 xxxxxxx        dps8to0.998ofvaluethefindto1ofexpansiontheUse 1010 xii    109 876543210 10 45120210252210120451011 xx xxxxxxxxx  
  • 25.
      7 3 2 1..        x ige            76 5 2 4 3 3 4 2 567 3 2 3 2 17 3 2 121 3 2 135 3 2 135 3 2 121 3 2 171                                             xx xxxxx 2187 128 729 448 243 672 81 560 27 280 9 84 3 14 1 765432 xxxxxxx        dps8to0.998ofvaluethefindto1ofexpansiontheUse 1010 xii    109 876543210 10 45120210252210120451011 xx xxxxxxxxx          3210 002.0120002.045002.0101998.0 
  • 26.
      7 3 2 1..        x ige            76 5 2 4 3 3 4 2 567 3 2 3 2 17 3 2 121 3 2 135 3 2 135 3 2 121 3 2 171                                             xx xxxxx 2187 128 729 448 243 672 81 560 27 280 9 84 3 14 1 765432 xxxxxxx        dps8to0.998ofvaluethefindto1ofexpansiontheUse 1010 xii    109 876543210 10 45120210252210120451011 xx xxxxxxxxx          3210 002.0120002.045002.0101998.0  98017904.0
  • 27.
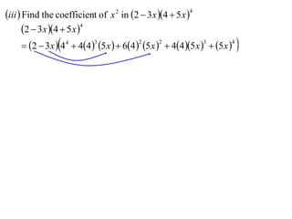
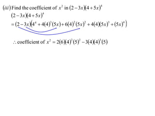
       42 5432inoftcoefficientheFind xxxiii 
  • 28.
       42 5432inoftcoefficientheFind xxxiii                    432234 4 5544546544432 5432 xxxxx xx  
  • 29.
       42 5432inoftcoefficientheFind xxxiii                    432234 4 5544546544432 5432 xxxxx xx  
  • 30.
       42 5432inoftcoefficientheFind xxxiii                    432234 4 5544546544432 5432 xxxxx xx  
  • 31.
       42 5432inoftcoefficientheFind xxxiii                    432234 4 5544546544432 5432 xxxxx xx            54435462oftcoefficien 3222  x
  • 32.
       42 5432inoftcoefficientheFind xxxiii                    432234 4 5544546544432 5432 xxxxx xx            54435462oftcoefficien 3222  x 960 38404800  
  • 33.
       42 5432inoftcoefficientheFind xxxiii                    432234 4 5544546544432 5432 xxxxx xx            54435462oftcoefficien 3222  x Exercise 5A; 2ace etc, 4, 6, 7, 9ad, 12b, 13ac, 14ace, 16a, 22, 23 960 38404800  