Motion 1D 
CHAPTER 2 
AP PHYSICS
Graphing Motion in One Dimension 
 Interpret graphs of position versus time for 
a moving object to determine the velocity 
of the object 
 Describe in words the information 
presented in graphs and draw graphs from 
descriptions of motion 
 Write equations that describe the position 
of an object moving at constant velocity
Parts of a 
Graph 
X-axis 
Y-axis 
All axes must be labeled with 
appropriate units, and values.
Position vs. Time 
 The x-axis is always 
“time” 
 The y-axis is always 
“position” 
 The slope of the line 
indicates the velocity 
of the object. 
 Slope = (y2-y1)/(x2-x1) 
 x-x0 / t-t0 
 Δx / Δt 
Position vs. Time 
20 
18 
16 
14 
12 
10 
8 
6 
4 
2 
0 
1 2 3 4 5 6 7 8 9 10 
Time (s) 
Position (m)
Uniform Motion 
 Uniform motion is defined as equal 
displacements occurring during 
successive equal time periods 
 Straight lines on position-time graphs 
mean uniform motion.
Given below is a diagram of a ball rolling along a table. Strobe 
pictures reveal the position of the object at regular intervals of time, 
in this case, once each 0.1 seconds. 
Notice that the ball covers an equal distance between flashes. Let's assume this 
distance equals 20 cm and display the ball's behavior on a graph plotting its x-position 
versus time.
The slope of this line would equal 20 cm divided by 0.1 sec or 200 cm/sec. This 
represents the ball's average velocity as it moves across the table. Since the 
ball is moving in a positive direction its velocity is positive. That is, the ball's 
velocity is a vector quantity possessing both magnitude (200 cm/sec) and 
direction (positive).
Steepness of slope on Position- 
Time graph 
Slope is related to velocity 
Steep slope = higher 
velocity 
Shallow slope = less 
velocity
Different Position. Vs. Time graphs 
Position vs. Time 
20 
15 
10 
5 
0 
1 2 3 4 5 6 7 8 9 10 
Time (s) 
Position (m) 
Position vs. Time 
25 
20 
15 
10 
5 
0 
1 2 3 4 5 6 7 8 9 10 
Time (s) 
Position (m) 
Constant positive velocity 
(zero acceleration) 
Constant negative velocity 
(zero acceleration) 
Increasing positive velocity 
(positive acceleration) 
Decreasing negative velocity 
(positive acceleration) 
Uniform Motion 
Accelerated 
Motion
X 
t 
A 
B 
C 
A … Starts at home (origin) and goes forward slowly 
B … Not moving (position remains constant as time 
progresses) 
C … Turns around and goes in the other direction quickly, 
passing up home
During which intervals was he traveling in a positive direction? 
During which intervals was he traveling in a negative direction? 
During which interval was he resting in a negative location? 
During which interval was he resting in a positive location? 
During which two intervals did he travel at the same speed? 
A) 0 to 2 sec B) 2 to 5 sec C) 5 to 6 sec D)6 to 7 sec E) 7 to 9 sec F)9 to 11 sec
Graphing w/ 
Acceleration 
x 
A … Start from rest south of home; increase speed gradually 
B … Pass home; gradually slow to a stop (still moving north) 
C … Turn around; gradually speed back up again heading south 
D … Continue heading south; gradually slow to a stop near the 
starting point 
t 
A 
B C 
D
Tangent 
Lines 
t 
SLOPE VELOCITY 
Positive Positive 
Negative Negative 
Zero Zero 
SLOPE SPEED 
Steep Fast 
Gentle Slow 
Flat Zero 
x 
On a position vs. time graph:
Increasing & 
Decreasing 
t 
x 
Increasing 
Decreasing 
On a position vs. time graph: 
Increasing means moving forward (positive direction). 
Decreasing means moving backwards (negative direction).
Concavity 
t 
x 
On a position vs. time graph: 
Concave up means positive acceleration. 
Concave down means negative acceleration.
Special 
Points 
t 
x 
P 
Q 
R 
Inflection Pt. P, R 
S 
Change of concavity, 
change of acceleration 
Peak or 
Valley 
Q 
Turning point, change of 
positive velocity to 
negative 
Time Axis 
Intercept 
P, S 
Times when you are at 
“home”, or at origin
Next - Graphing Velocity in One 
Dimension 
 Determine, from a graph of velocity versus 
time, the velocity of an object at a specific 
time 
 Interpret a v-t graph to find the time at 
which an object has a specific velocity 
 Calculate the displacement of an object 
from the area under a v-t graph
Velocity vs. Time 
 X-axis is the 
“time” 
 Y-axis is the 
“velocity” 
 Slope of the 
line = the 
acceleration 
Velocity vs. Time 
20 
18 
16 
14 
12 
10 
8 
6 
4 
2 
0 
1 2 3 4 5 6 7 8 9 10 
Time (s) 
Velcoity (m/s)
Different Velocity-time graphs
Different Velocity-time graphs 
Velocity vs. Time 
20 
15 
10 
5 
0 
1 2 3 4 5 6 7 8 9 10 
Time (s) 
Velocity (m/s) 
Velocity vs. Time 
25 
20 
15 
10 
5 
0 
1 2 3 4 5 6 7 8 9 10 
Time (s) 
Velocity (m/s)
Velocity vs. Time 
 Horizontal lines = constant velocity 
 Sloped line = changing velocity 
Steeper = greater change in velocity per 
second 
Negative slope = deceleration
Acceleration vs. Time 
Time is on the x-axis 
 Acceleration is on 
the y-axis 
 Shows how 
acceleration 
changes over a 
period of time. 
 Often a horizontal 
line. 
Acceleration vs. Time 
12 
10 
8 
6 
4 
2 
0 
1 2 3 4 5 6 7 8 9 10 
Time (s) 
Acceleration (m/s^2)
All 3 Graphs 
t 
x 
v 
t 
a 
t
Real life 
Note how the v graph is pointy and the a graph skips. In real life, 
the blue points would be smooth curves and the orange segments 
would be connected. In our class, however, we’ll only deal with 
constant acceleration. 
a 
t 
v 
t
Constant Rightward Velocity
Constant Leftward Velocity
Constant Rightward 
Acceleration
Constant Leftward Acceleration
Leftward Velocity with 
Rightward Acceleration
Graph Practice 
Male all three graphs for the following scenario: 
1. Newberry starts out north of home. At time zero he’s 
driving a cement mixer south very fast at a constant speed. 
2. He accidentally runs over an innocent moose crossing 
the road, so he slows to a stop to check on the poor moose. 
3. He pauses for a while until he determines the moose is 
squashed flat and deader than a doornail. 
4. Fleeing the scene of the crime, Newberry takes off again 
in the same direction, speeding up quickly. 
5. When his conscience gets the better of him, he slows, 
turns around, and returns to the crash site.
Area Underneath v-t Graph 
 If you calculate the area underneath 
a v-t graph, you would multiply 
height X width. 
 Because height is actually velocity 
and width is actually time, area 
underneath the graph is equal to 
 Velocity X time or 
V·t
 Remember that Velocity = Δx 
Δt 
 Rearranging, we get Δx = velocity X Δt 
 So….the area underneath a velocity-time 
graph is equal to the displacement during 
that time period.
Area v 
t 
“positive area” 
“negative area” 
Note that, here, the areas are about equal, so even though a 
significant distance may have been covered, the displacement is 
about zero, meaning the stopping point was near the starting point. 
The position graph shows this as well. 
t 
x
Velocity vs. Time 
 The area under a velocity time graph indicates 
the displacement during that time period. 
 Remember that the slope of the line indicates 
the acceleration. 
 The smaller the time units the more 
“instantaneous” is the acceleration at that 
particular time. 
 If velocity is not uniform, or is changing, the 
acceleration will be changing, and cannot be 
determined “for an instant”, so you can only find 
average acceleration
Acceleration 
 Determine from the curves on a velocity-time 
graph both the constant and 
instantaneous acceleration 
 Determine the sign of acceleration using a 
v-t graph and a motion diagram 
 Calculate the velocity and the 
displacement of an object undergoing 
constant acceleration
Acceleration 
 Like speed or velocity, 
acceleration is a rate 
of change, defined as 
the rate of change of 
velocity 
 Average Acceleration 
= change in velocity 
V V 
t 
a 
 
 
 
0 
Elapsed time Units of acceleration?
Rearrangement of the equation 
V V 
t 
a 
 
 
 
0 
at  v  v0 
v0  at  v 
v  v0  at
Finally… 
v  v0  at 
 This equation is to be used to find (final) 
velocity of an accelerating object. You can 
use it if there is or is not a beginning 
velocity
Next - Displacement under 
Constant Acceleration 
 Remember that displacement under 
constant velocity was 
Δx = vt or x = x0 + vt 
With acceleration, there is no 
One single instantaneous v to use, 
but we could use an average 
velocity of an accelerating object.
Average velocity of an accelerating 
object would simply be ½ of sum of 
beginning and ending velocities 
Average velocity of an accelerating object 
V = ½ (v0 + v)
So……. 
x  x  
vt 
x x v v t 
0 1/ 2( 0) 
0 
   
x  x0 1/ 2(v  v0)t Key equation
Other useful kinematic equations 
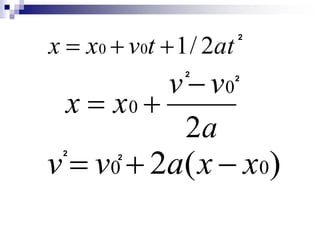
x  x0  v0t 1/ 2at 2 
This equation is to be used to find 
final position when there is an 
initial velocity, but velocity at time 
to is not known.
If no time is known, use this to find 
final position…. 
v v 
a 
x x 
2 
0 
0 
 
  
2 
2 
v2 = vo 
aka 
2 + 2 a (x – xo )
Finding final velocity if no time is 
known… 
2 2 
v  v0  2a(x  x0)
The equations of importance 
V V 
t 
a 
 
 
 
0 
v  v0  at 
x  x0 1/ 2(v  v0)t
x  x0  v0t 1/ 2at 
v v 
a 
x x 
2 
2 
0 
0 
 
  
2 
2 
2 
v  v0 2 
 2a(x  x0)
Practical Application 
Velocity/Position/Time equations 
 Calculation of arrival times/schedules of aircraft/trains 
(including vectors) 
 GPS technology (arrival time of signal/distance to 
satellite) 
 Military targeting/delivery 
 Calculation of Mass movement (glaciers/faults) 
 Ultrasound (speed of sound) (babies/concrete/metals) 
Sonar (Sound Navigation and Ranging) 
 Auto accident reconstruction 
 Explosives (rate of burn/expansion rates/timing with det. 
cord)

1 d chapter 2

  • 1.
    Motion 1D CHAPTER2 AP PHYSICS
  • 2.
    Graphing Motion inOne Dimension  Interpret graphs of position versus time for a moving object to determine the velocity of the object  Describe in words the information presented in graphs and draw graphs from descriptions of motion  Write equations that describe the position of an object moving at constant velocity
  • 3.
    Parts of a Graph X-axis Y-axis All axes must be labeled with appropriate units, and values.
  • 4.
    Position vs. Time  The x-axis is always “time”  The y-axis is always “position”  The slope of the line indicates the velocity of the object.  Slope = (y2-y1)/(x2-x1)  x-x0 / t-t0  Δx / Δt Position vs. Time 20 18 16 14 12 10 8 6 4 2 0 1 2 3 4 5 6 7 8 9 10 Time (s) Position (m)
  • 5.
    Uniform Motion Uniform motion is defined as equal displacements occurring during successive equal time periods  Straight lines on position-time graphs mean uniform motion.
  • 6.
    Given below isa diagram of a ball rolling along a table. Strobe pictures reveal the position of the object at regular intervals of time, in this case, once each 0.1 seconds. Notice that the ball covers an equal distance between flashes. Let's assume this distance equals 20 cm and display the ball's behavior on a graph plotting its x-position versus time.
  • 7.
    The slope ofthis line would equal 20 cm divided by 0.1 sec or 200 cm/sec. This represents the ball's average velocity as it moves across the table. Since the ball is moving in a positive direction its velocity is positive. That is, the ball's velocity is a vector quantity possessing both magnitude (200 cm/sec) and direction (positive).
  • 8.
    Steepness of slopeon Position- Time graph Slope is related to velocity Steep slope = higher velocity Shallow slope = less velocity
  • 9.
    Different Position. Vs.Time graphs Position vs. Time 20 15 10 5 0 1 2 3 4 5 6 7 8 9 10 Time (s) Position (m) Position vs. Time 25 20 15 10 5 0 1 2 3 4 5 6 7 8 9 10 Time (s) Position (m) Constant positive velocity (zero acceleration) Constant negative velocity (zero acceleration) Increasing positive velocity (positive acceleration) Decreasing negative velocity (positive acceleration) Uniform Motion Accelerated Motion
  • 10.
    X t A B C A … Starts at home (origin) and goes forward slowly B … Not moving (position remains constant as time progresses) C … Turns around and goes in the other direction quickly, passing up home
  • 11.
    During which intervalswas he traveling in a positive direction? During which intervals was he traveling in a negative direction? During which interval was he resting in a negative location? During which interval was he resting in a positive location? During which two intervals did he travel at the same speed? A) 0 to 2 sec B) 2 to 5 sec C) 5 to 6 sec D)6 to 7 sec E) 7 to 9 sec F)9 to 11 sec
  • 12.
    Graphing w/ Acceleration x A … Start from rest south of home; increase speed gradually B … Pass home; gradually slow to a stop (still moving north) C … Turn around; gradually speed back up again heading south D … Continue heading south; gradually slow to a stop near the starting point t A B C D
  • 13.
    Tangent Lines t SLOPE VELOCITY Positive Positive Negative Negative Zero Zero SLOPE SPEED Steep Fast Gentle Slow Flat Zero x On a position vs. time graph:
  • 14.
    Increasing & Decreasing t x Increasing Decreasing On a position vs. time graph: Increasing means moving forward (positive direction). Decreasing means moving backwards (negative direction).
  • 15.
    Concavity t x On a position vs. time graph: Concave up means positive acceleration. Concave down means negative acceleration.
  • 16.
    Special Points t x P Q R Inflection Pt. P, R S Change of concavity, change of acceleration Peak or Valley Q Turning point, change of positive velocity to negative Time Axis Intercept P, S Times when you are at “home”, or at origin
  • 17.
    Next - GraphingVelocity in One Dimension  Determine, from a graph of velocity versus time, the velocity of an object at a specific time  Interpret a v-t graph to find the time at which an object has a specific velocity  Calculate the displacement of an object from the area under a v-t graph
  • 18.
    Velocity vs. Time  X-axis is the “time”  Y-axis is the “velocity”  Slope of the line = the acceleration Velocity vs. Time 20 18 16 14 12 10 8 6 4 2 0 1 2 3 4 5 6 7 8 9 10 Time (s) Velcoity (m/s)
  • 19.
  • 20.
    Different Velocity-time graphs Velocity vs. Time 20 15 10 5 0 1 2 3 4 5 6 7 8 9 10 Time (s) Velocity (m/s) Velocity vs. Time 25 20 15 10 5 0 1 2 3 4 5 6 7 8 9 10 Time (s) Velocity (m/s)
  • 21.
    Velocity vs. Time  Horizontal lines = constant velocity  Sloped line = changing velocity Steeper = greater change in velocity per second Negative slope = deceleration
  • 22.
    Acceleration vs. Time Time is on the x-axis  Acceleration is on the y-axis  Shows how acceleration changes over a period of time.  Often a horizontal line. Acceleration vs. Time 12 10 8 6 4 2 0 1 2 3 4 5 6 7 8 9 10 Time (s) Acceleration (m/s^2)
  • 23.
    All 3 Graphs t x v t a t
  • 24.
    Real life Notehow the v graph is pointy and the a graph skips. In real life, the blue points would be smooth curves and the orange segments would be connected. In our class, however, we’ll only deal with constant acceleration. a t v t
  • 25.
  • 26.
  • 27.
  • 28.
  • 29.
    Leftward Velocity with Rightward Acceleration
  • 30.
    Graph Practice Maleall three graphs for the following scenario: 1. Newberry starts out north of home. At time zero he’s driving a cement mixer south very fast at a constant speed. 2. He accidentally runs over an innocent moose crossing the road, so he slows to a stop to check on the poor moose. 3. He pauses for a while until he determines the moose is squashed flat and deader than a doornail. 4. Fleeing the scene of the crime, Newberry takes off again in the same direction, speeding up quickly. 5. When his conscience gets the better of him, he slows, turns around, and returns to the crash site.
  • 31.
    Area Underneath v-tGraph  If you calculate the area underneath a v-t graph, you would multiply height X width.  Because height is actually velocity and width is actually time, area underneath the graph is equal to  Velocity X time or V·t
  • 32.
     Remember thatVelocity = Δx Δt  Rearranging, we get Δx = velocity X Δt  So….the area underneath a velocity-time graph is equal to the displacement during that time period.
  • 33.
    Area v t “positive area” “negative area” Note that, here, the areas are about equal, so even though a significant distance may have been covered, the displacement is about zero, meaning the stopping point was near the starting point. The position graph shows this as well. t x
  • 34.
    Velocity vs. Time  The area under a velocity time graph indicates the displacement during that time period.  Remember that the slope of the line indicates the acceleration.  The smaller the time units the more “instantaneous” is the acceleration at that particular time.  If velocity is not uniform, or is changing, the acceleration will be changing, and cannot be determined “for an instant”, so you can only find average acceleration
  • 35.
    Acceleration  Determinefrom the curves on a velocity-time graph both the constant and instantaneous acceleration  Determine the sign of acceleration using a v-t graph and a motion diagram  Calculate the velocity and the displacement of an object undergoing constant acceleration
  • 36.
    Acceleration  Likespeed or velocity, acceleration is a rate of change, defined as the rate of change of velocity  Average Acceleration = change in velocity V V t a    0 Elapsed time Units of acceleration?
  • 37.
    Rearrangement of theequation V V t a    0 at  v  v0 v0  at  v v  v0  at
  • 38.
    Finally… v v0  at  This equation is to be used to find (final) velocity of an accelerating object. You can use it if there is or is not a beginning velocity
  • 39.
    Next - Displacementunder Constant Acceleration  Remember that displacement under constant velocity was Δx = vt or x = x0 + vt With acceleration, there is no One single instantaneous v to use, but we could use an average velocity of an accelerating object.
  • 40.
    Average velocity ofan accelerating object would simply be ½ of sum of beginning and ending velocities Average velocity of an accelerating object V = ½ (v0 + v)
  • 41.
    So……. x x  vt x x v v t 0 1/ 2( 0) 0    x  x0 1/ 2(v  v0)t Key equation
  • 42.
    Other useful kinematicequations x  x0  v0t 1/ 2at 2 This equation is to be used to find final position when there is an initial velocity, but velocity at time to is not known.
  • 43.
    If no timeis known, use this to find final position…. v v a x x 2 0 0    2 2 v2 = vo aka 2 + 2 a (x – xo )
  • 44.
    Finding final velocityif no time is known… 2 2 v  v0  2a(x  x0)
  • 45.
    The equations ofimportance V V t a    0 v  v0  at x  x0 1/ 2(v  v0)t
  • 46.
    x  x0 v0t 1/ 2at v v a x x 2 2 0 0    2 2 2 v  v0 2  2a(x  x0)
  • 47.
    Practical Application Velocity/Position/Timeequations  Calculation of arrival times/schedules of aircraft/trains (including vectors)  GPS technology (arrival time of signal/distance to satellite)  Military targeting/delivery  Calculation of Mass movement (glaciers/faults)  Ultrasound (speed of sound) (babies/concrete/metals) Sonar (Sound Navigation and Ranging)  Auto accident reconstruction  Explosives (rate of burn/expansion rates/timing with det. cord)