A Mathematical
Model of Motion
CHAPTER 5
PHYSICS
5.1 Graphing Motion in One
Dimension
 Interpret graphs of position versus time for
a moving object to determine the velocity
of the object
 Describe in words the information
presented in graphs and draw graphs from
descriptions of motion
 Write equations that describe the position
of an object moving at constant velocity
Parts of a
Graph
X-axis
Y-axis
All axes must be labeled with
appropriate units, and values.
5.1 Position vs. Time
 The x-axis is always
“time”
 The y-axis is always
“position”
 The slope of the line
indicates the velocity
of the object.
 Slope = (y2-y1)/(x2-x1)
 d1-d0/t1-t0
 Δd/Δt
Position vs. Time
0
2
4
6
8
10
12
14
16
18
20
1 2 3 4 5 6 7 8 9 10
Time (s)
Position
(m)
Steepness of slope on Position-
Time graph
Slope is related to velocity
Steep slope = higher
velocity
Shallow slope = less
velocity
Uniform Motion
 Uniform motion is defined as equal
displacements occurring during
successive equal time periods
(sometimes called constant velocity)
 Straight lines on position-time graphs
mean uniform motion.
Given below is a diagram of a ball rolling along a table. Strobe
pictures reveal the position of the object at regular intervals of time,
in this case, once each 0.1 seconds.
Notice that the ball covers an equal distance between flashes. Let's assume this
distance equals 20 cm and display the ball's behavior on a graph plotting its x-
position versus time.
The slope of this line would equal 20 cm divided by 0.1 sec or 200 cm/sec. This
represents the ball's average velocity as it moves across the table. Since the
ball is moving in a positive direction its velocity is positive. That is, the ball's
velocity is a vector quantity possessing both magnitude (200 cm/sec) and
direction (positive).
Different Position. Vs. Time graphs
Position vs. Time
0
5
10
15
20
1 2 3 4 5 6 7 8 9 10
Time (s)
Position
(m)
Position vs. Time
0
5
10
15
20
25
1 2 3 4 5 6 7 8 9 10
Time (s)
Position
(m)
Constant positive velocity
(zero acceleration)
Constant negative velocity
(zero acceleration)
Increasing positive velocity
(positive acceleration)
Decreasing negative velocity
(positive acceleration)
Uniform Motion Accelerated
Motion
Different Position. Vs. Time
Changing slope means changing velocity!!!!!!
Decreasing negative slope = ?? Increasing negative slope = ??
X
t
A
B
C
A … Starts at home (origin) and goes forward
slowly
B … Not moving (position remains constant as time
progresses)
C … Turns around and goes in the other direction
quickly, passing up home
During which intervals was he traveling in a positive direction?
During which intervals was he traveling in a negative direction?
During which interval was he resting in a negative location?
During which interval was he resting in a positive location?
During which two intervals did he travel at the same speed?
A) 0 to 2 sec B) 2 to 5 sec C) 5 to 6 sec D)6 to 7 sec E) 7 to 9 sec F)9 to 11 sec
Graphing w/
Acceleration
x
A … Start from rest south of home; increase speed gradually
B … Pass home; gradually slow to a stop (still moving north)
C … Turn around; gradually speed back up again heading south
D … Continue heading south; gradually slow to a stop near the
starting point
t
A
B C
D
You try it…..
 Using the Position-time graph given to
you, write a one or two paragraph “story”
that describes the motion illustrated.
 You need to describe the specific motion
for each of the steps (a-f)
 You will be graded upon your ability to
correctly describe the motion for each
step.
Tangent
Lines
t
SLOPE VELOCITY
Positive Positive
Negative Negative
Zero Zero
SLOPE SPEED
Steep Fast
Gentle Slow
Flat Zero
x
On a position vs. time graph:
Increasing &
Decreasing
t
x
Increasing
Decreasing
On a position vs. time graph:
Increasing means moving forward (positive direction).
Decreasing means moving backwards (negative direction).
Concavity
t
x
On a position vs. time graph:
Concave up means positive acceleration.
Concave down means negative acceleration.
Special
Points
t
x
P
Q
R
Inflection Pt. P, R
Change of concavity,
change of acceleration
Peak or
Valley
Q
Turning point, change of
positive velocity to
negative
Time Axis
Intercept
P, S
Times when you are at
“home”, or at origin
S
5.2 Graphing Velocity in One
Dimension
 Determine, from a graph of velocity versus
time, the velocity of an object at a specific
time
 Interpret a v-t graph to find the time at
which an object has a specific velocity
 Calculate the displacement of an object
from the area under a v-t graph
5.2 Velocity vs. Time
 X-axis is the
“time”
 Y-axis is the
“velocity”
 Slope of the
line = the
acceleration
Velocity vs. Time
0
2
4
6
8
10
12
14
16
18
20
1 2 3 4 5 6 7 8 9 10
Time (s)
Velcoity
(m/s)
Different Velocity-time graphs
Different Velocity-time graphs
Velocity vs. Time
0
5
10
15
20
1 2 3 4 5 6 7 8 9 10
Time (s)
Velocity
(m/s)
Velocity vs. Time
0
5
10
15
20
25
1 2 3 4 5 6 7 8 9 10
Time (s)
Velocity
(m/s)
Velocity vs. Time
 Horizontal lines = constant velocity
 Sloped line = changing velocity
Steeper = greater change in velocity per
second
Negative slope = deceleration
Acceleration vs. Time
Time is on the x-axis
 Acceleration is on
the y-axis
 Shows how
acceleration
changes over a
period of time.
 Often a horizontal
line.
Acceleration vs. Time
0
2
4
6
8
10
12
1 2 3 4 5 6 7 8 9 10
Time (s)
Acceleration
(m/s^2)
All 3 Graphs
t
x
v
t
a
t
Real life
a
t
v
t
Note how the v graph is pointy and the a graph skips. In real life,
the blue points would be smooth curves and the orange segments
would be connected. In our class, however, we’ll only deal with
constant acceleration.
Constant Rightward Velocity
Constant Leftward Velocity
Constant Rightward
Acceleration
Constant Leftward Acceleration
Leftward Velocity with
Rightward Acceleration
Graph Practice
Try making all three graphs for the following scenario:
1. Newberry starts out north of home. At time zero he’s
driving a cement mixer south very fast at a constant speed.
2. He accidentally runs over an innocent moose crossing
the road, so he slows to a stop to check on the poor moose.
3. He pauses for a while until he determines the moose is
squashed flat and deader than a doornail.
4. Fleeing the scene of the crime, Newberry takes off again
in the same direction, speeding up quickly.
5. When his conscience gets the better of him, he slows,
turns around, and returns to the crash site.
Area Underneath v-t Graph
 If you calculate the area underneath
a v-t graph, you would multiply
height X width.
 Because height is actually velocity
and width is actually time, area
underneath the graph is equal to
 Velocity X time or
V·t
 Remember that Velocity = Δd
Δt
 Rearranging, we get Δd = velocity X Δt
 So….the area underneath a velocity-time
graph is equal to the displacement during
that time period.
Area
v
t
“positive area”
“negative area”
Note that, here, the areas are about equal, so even though a
significant distance may have been covered, the displacement is
about zero, meaning the stopping point was near the starting point.
The position graph shows this as well.
t
x
Velocity vs. Time
 The area under a velocity time graph indicates
the displacement during that time period.
 Remember that the slope of the line indicates
the acceleration.
 The smaller the time units the more
“instantaneous” is the acceleration at that
particular time.
 If velocity is not uniform, or is changing, the
acceleration will be changing, and cannot be
determined “for an instant”, so you can only find
average acceleration
5.3 Acceleration
 Determine from the curves on a velocity-
time graph both the constant and
instantaneous acceleration
 Determine the sign of acceleration using a
v-t graph and a motion diagram
 Calculate the velocity and the
displacement of an object undergoing
constant acceleration
5.3 Acceleration
 Like speed or
velocity, acceleration
is a rate of change,
defined as the rate of
change of velocity
 Average Acceleration
= change in velocity t
V
V
a



0
1
Elapsed time Units of acceleration?
Rearrangement of the equation
t
V
V
a



0
1
1
0 v
t
a
v 


0
1 v
v
t
a 


at
v
v 
 0
1
Finally…
 This equation is to be used to find (final)
velocity of an accelerating object. You can
use it if there is or is not a beginning
velocity
at
v
v 
 0
1
Displacement under Constant
Acceleration
 Remember that displacement under
constant velocity was
With acceleration, there is no one
single instantaneous v to use, but
we could use an average velocity
of an accelerating object.
Δd = vt or d1 = d0 + vt
Average velocity of an accelerating object
V = ½ (v0 + v1)
Average velocity of an accelerating
object would simply be ½ of sum of
beginning and ending velocities
So…….
t
v
v
d
d
vt
d
d
)
(
2
/
1 0
1
0
1
0
1





t
v
v
d
d )
(
2
/
1 0
1
0
1 


Key equation
Some other equations
at
t
v
d
d 2
/
1
0
0
1 

 2
This equation is to be used to find
final position when there is an
initial velocity, but velocity at time
t1 is not known.
If no time is known, use this to find
final position….
a
v
v
d
d
2
0
1
0
1



2
2
Finding final velocity if no time is
known…
)
(
2 0
1
0
1 d
d
a
v
v 


2 2
The equations of importance
t
V
V
a



0
1
at
v
v 
 0
1
t
v
v
d
d )
(
2
/
1 0
1
0 


at
t
v
d
d 2
/
1
0
0 


a
v
v
d
d
2
0
1
0
1



)
(
2 0
1
0
1 d
d
a
v
v 


2
2 2
2 2
Practical Application
Velocity/Position/Time equations
 Calculation of arrival times/schedules of aircraft/trains
(including vectors)
 GPS technology (arrival time of signal/distance to
satellite)
 Military targeting/delivery
 Calculation of Mass movement (glaciers/faults)
 Ultrasound (speed of sound) (babies/concrete/metals)
Sonar (Sound Navigation and Ranging)
 Auto accident reconstruction
 Explosives (rate of burn/expansion rates/timing with det.
cord)
5.4 Free Fall
 Recognize the meaning of the acceleration
due to gravity
 Define the magnitude of the acceleration
due to gravity as a positive quantity and
determine the sign of the acceleration
relative to the chosen coordinate system
 Use the motion equations to solve
problems involving freely falling objects
Freefall
Defined as the motion of an
object if the only force acting
on it is gravity.
No friction, no air resistance, no drag
Acceleration Due to Gravity
 Galileo Galilei recognized
about 400 years ago that,
to understand the motion
of falling objects, the
effects of air or water
would have to be ignored.
 As a result, we will
investigate falling, but
only as a result of one
force, gravity. Galileo Galilei 1564-1642
Galileo’s Ramps
 Because gravity causes
objects to move very fast,
and because the time-
keepers available to
Galileo were limited,
Galileo used ramps with
moveable bells to “slow
down” falling objects for
accurate timing.
Galileo’s Ramps
Galileo’s Ramps
 To keep “accurate” time, Galileo used a water
clock.
 For the measurement of time, he employed a large
vessel of water placed in an elevated position; to the
bottom of this vessel was soldered a pipe of small
diameter giving a thin jet of water, which he collected
in a small glass during the time of each descent... the
water thus collected was weighed, after each
descent, on a very accurate balance; the difference
and ratios of these weights gave us the differences
and ratios of the times...
Displacements of Falling Objects
 Looking at his results, Galileo realized that
a falling ( or rolling downhill) object would
have displacements that increased as a
function of the square of the time, or t2
 Another way to look at it, the velocity of an
object increased as a function of the
square of time, multiplied by some
constant.
 Galileo also found that all objects,
no matter what slope of ramp he
rolled them down, and as long as
the ramps were all the same
height, would reach the bottom
with the same velocity.
Galileo’s Finding
Galileo found that, neglecting
friction, all freely falling objects
have the same acceleration.
Hippo & Ping Pong Ball
In a vacuum, all bodies fall at the same rate.
When there’s no air resistance, size and shape matter not!
If a hippo and a
ping pong ball were
dropped from a
helicopter in a
vacuum (assuming
the copter could fly
without air), they’d
land at the same
time.
Proving Galileo Correct
Galileo could not
produce a vacuum
to prove his ideas.
That came later with
the invention of a
vacuum machine,
and the
demonstration with
a guinea feather
and gold coin
dropped in a
vacuum.
Guinea Feather and Coin/NASA
demonstrations
Acceleration Due to Gravity
 Galileo calculated that all freely falling
objects accelerate at a rate of
9.8 m/s2
This value, as an acceleration, is known as g
Acceleration Due to Gravity
 Because this value is an acceleration
value, it can be used to calculate
displacements or velocities using the
acceleration equations learned
earlier. Just substitute g for the a
Example problem
 A brick is dropped from a high building.
What is it’s velocity after 4.0 sec.?
How far does the brick fall during this time?
The Church’s opposition to new
thought
 Church leaders of the time held the same views
as Aristotle, the great philosopher.
 Aristotle thought that objects of different mass
would fall at different rates…makes sense
huh??????
 All objects have their “natural position”. Rocks
fall faster than feathers, so it only made sense
(to him)
 Galileo, in attempting to convince church leaders
that the “natural position” view was incorrect,
considered two rocks of different mass.
Falling Rock Conundrum
 Galileo presented this in his book
Dialogue Concerning the Two Chief
World Systems(1632) as a discussion
between Simplicio (as played by a church
leader) and Salviati (as played by Galileo)
 Two rocks of different masses are dropped
 Massive rock falls faster???
Rocks continued
 Now consider the two rocks held together by a
length of string.
 If the smaller rock were to fall slower, it would
impede the rate at which both rocks would fall.
 But the two rocks together would actually have
more mass, and should therefore fall faster.
 A conundrum????? The previously held views
could not have been correct.
 Galileo had data which proved Aristotle
and the church wrong, but church leaders
were hardly moved in their position that all
objects have their “correct position in the
world”
 Furthermore, the use of Simplicio (or
simpleton) as the head of the church in his
dialog, was a direct insult to the church
leaders themselves.

Graphing Motion grade 7 powerpoint presentation

  • 1.
    A Mathematical Model ofMotion CHAPTER 5 PHYSICS
  • 2.
    5.1 Graphing Motionin One Dimension  Interpret graphs of position versus time for a moving object to determine the velocity of the object  Describe in words the information presented in graphs and draw graphs from descriptions of motion  Write equations that describe the position of an object moving at constant velocity
  • 3.
    Parts of a Graph X-axis Y-axis Allaxes must be labeled with appropriate units, and values.
  • 4.
    5.1 Position vs.Time  The x-axis is always “time”  The y-axis is always “position”  The slope of the line indicates the velocity of the object.  Slope = (y2-y1)/(x2-x1)  d1-d0/t1-t0  Δd/Δt Position vs. Time 0 2 4 6 8 10 12 14 16 18 20 1 2 3 4 5 6 7 8 9 10 Time (s) Position (m)
  • 5.
    Steepness of slopeon Position- Time graph Slope is related to velocity Steep slope = higher velocity Shallow slope = less velocity
  • 6.
    Uniform Motion  Uniformmotion is defined as equal displacements occurring during successive equal time periods (sometimes called constant velocity)  Straight lines on position-time graphs mean uniform motion.
  • 7.
    Given below isa diagram of a ball rolling along a table. Strobe pictures reveal the position of the object at regular intervals of time, in this case, once each 0.1 seconds. Notice that the ball covers an equal distance between flashes. Let's assume this distance equals 20 cm and display the ball's behavior on a graph plotting its x- position versus time.
  • 8.
    The slope ofthis line would equal 20 cm divided by 0.1 sec or 200 cm/sec. This represents the ball's average velocity as it moves across the table. Since the ball is moving in a positive direction its velocity is positive. That is, the ball's velocity is a vector quantity possessing both magnitude (200 cm/sec) and direction (positive).
  • 9.
    Different Position. Vs.Time graphs Position vs. Time 0 5 10 15 20 1 2 3 4 5 6 7 8 9 10 Time (s) Position (m) Position vs. Time 0 5 10 15 20 25 1 2 3 4 5 6 7 8 9 10 Time (s) Position (m) Constant positive velocity (zero acceleration) Constant negative velocity (zero acceleration) Increasing positive velocity (positive acceleration) Decreasing negative velocity (positive acceleration) Uniform Motion Accelerated Motion
  • 10.
    Different Position. Vs.Time Changing slope means changing velocity!!!!!! Decreasing negative slope = ?? Increasing negative slope = ??
  • 11.
    X t A B C A … Startsat home (origin) and goes forward slowly B … Not moving (position remains constant as time progresses) C … Turns around and goes in the other direction quickly, passing up home
  • 12.
    During which intervalswas he traveling in a positive direction? During which intervals was he traveling in a negative direction? During which interval was he resting in a negative location? During which interval was he resting in a positive location? During which two intervals did he travel at the same speed? A) 0 to 2 sec B) 2 to 5 sec C) 5 to 6 sec D)6 to 7 sec E) 7 to 9 sec F)9 to 11 sec
  • 13.
    Graphing w/ Acceleration x A …Start from rest south of home; increase speed gradually B … Pass home; gradually slow to a stop (still moving north) C … Turn around; gradually speed back up again heading south D … Continue heading south; gradually slow to a stop near the starting point t A B C D
  • 14.
    You try it….. Using the Position-time graph given to you, write a one or two paragraph “story” that describes the motion illustrated.  You need to describe the specific motion for each of the steps (a-f)  You will be graded upon your ability to correctly describe the motion for each step.
  • 15.
    Tangent Lines t SLOPE VELOCITY Positive Positive NegativeNegative Zero Zero SLOPE SPEED Steep Fast Gentle Slow Flat Zero x On a position vs. time graph:
  • 16.
    Increasing & Decreasing t x Increasing Decreasing On aposition vs. time graph: Increasing means moving forward (positive direction). Decreasing means moving backwards (negative direction).
  • 17.
    Concavity t x On a positionvs. time graph: Concave up means positive acceleration. Concave down means negative acceleration.
  • 18.
    Special Points t x P Q R Inflection Pt. P,R Change of concavity, change of acceleration Peak or Valley Q Turning point, change of positive velocity to negative Time Axis Intercept P, S Times when you are at “home”, or at origin S
  • 19.
    5.2 Graphing Velocityin One Dimension  Determine, from a graph of velocity versus time, the velocity of an object at a specific time  Interpret a v-t graph to find the time at which an object has a specific velocity  Calculate the displacement of an object from the area under a v-t graph
  • 20.
    5.2 Velocity vs.Time  X-axis is the “time”  Y-axis is the “velocity”  Slope of the line = the acceleration Velocity vs. Time 0 2 4 6 8 10 12 14 16 18 20 1 2 3 4 5 6 7 8 9 10 Time (s) Velcoity (m/s)
  • 21.
  • 22.
    Different Velocity-time graphs Velocityvs. Time 0 5 10 15 20 1 2 3 4 5 6 7 8 9 10 Time (s) Velocity (m/s) Velocity vs. Time 0 5 10 15 20 25 1 2 3 4 5 6 7 8 9 10 Time (s) Velocity (m/s)
  • 23.
    Velocity vs. Time Horizontal lines = constant velocity  Sloped line = changing velocity Steeper = greater change in velocity per second Negative slope = deceleration
  • 24.
    Acceleration vs. Time Timeis on the x-axis  Acceleration is on the y-axis  Shows how acceleration changes over a period of time.  Often a horizontal line. Acceleration vs. Time 0 2 4 6 8 10 12 1 2 3 4 5 6 7 8 9 10 Time (s) Acceleration (m/s^2)
  • 25.
  • 26.
    Real life a t v t Note howthe v graph is pointy and the a graph skips. In real life, the blue points would be smooth curves and the orange segments would be connected. In our class, however, we’ll only deal with constant acceleration.
  • 27.
  • 28.
  • 29.
  • 30.
  • 31.
  • 32.
    Graph Practice Try makingall three graphs for the following scenario: 1. Newberry starts out north of home. At time zero he’s driving a cement mixer south very fast at a constant speed. 2. He accidentally runs over an innocent moose crossing the road, so he slows to a stop to check on the poor moose. 3. He pauses for a while until he determines the moose is squashed flat and deader than a doornail. 4. Fleeing the scene of the crime, Newberry takes off again in the same direction, speeding up quickly. 5. When his conscience gets the better of him, he slows, turns around, and returns to the crash site.
  • 33.
    Area Underneath v-tGraph  If you calculate the area underneath a v-t graph, you would multiply height X width.  Because height is actually velocity and width is actually time, area underneath the graph is equal to  Velocity X time or V·t
  • 34.
     Remember thatVelocity = Δd Δt  Rearranging, we get Δd = velocity X Δt  So….the area underneath a velocity-time graph is equal to the displacement during that time period.
  • 35.
    Area v t “positive area” “negative area” Notethat, here, the areas are about equal, so even though a significant distance may have been covered, the displacement is about zero, meaning the stopping point was near the starting point. The position graph shows this as well. t x
  • 36.
    Velocity vs. Time The area under a velocity time graph indicates the displacement during that time period.  Remember that the slope of the line indicates the acceleration.  The smaller the time units the more “instantaneous” is the acceleration at that particular time.  If velocity is not uniform, or is changing, the acceleration will be changing, and cannot be determined “for an instant”, so you can only find average acceleration
  • 37.
    5.3 Acceleration  Determinefrom the curves on a velocity- time graph both the constant and instantaneous acceleration  Determine the sign of acceleration using a v-t graph and a motion diagram  Calculate the velocity and the displacement of an object undergoing constant acceleration
  • 38.
    5.3 Acceleration  Likespeed or velocity, acceleration is a rate of change, defined as the rate of change of velocity  Average Acceleration = change in velocity t V V a    0 1 Elapsed time Units of acceleration?
  • 39.
    Rearrangement of theequation t V V a    0 1 1 0 v t a v    0 1 v v t a    at v v   0 1
  • 40.
    Finally…  This equationis to be used to find (final) velocity of an accelerating object. You can use it if there is or is not a beginning velocity at v v   0 1
  • 41.
    Displacement under Constant Acceleration Remember that displacement under constant velocity was With acceleration, there is no one single instantaneous v to use, but we could use an average velocity of an accelerating object. Δd = vt or d1 = d0 + vt
  • 42.
    Average velocity ofan accelerating object V = ½ (v0 + v1) Average velocity of an accelerating object would simply be ½ of sum of beginning and ending velocities
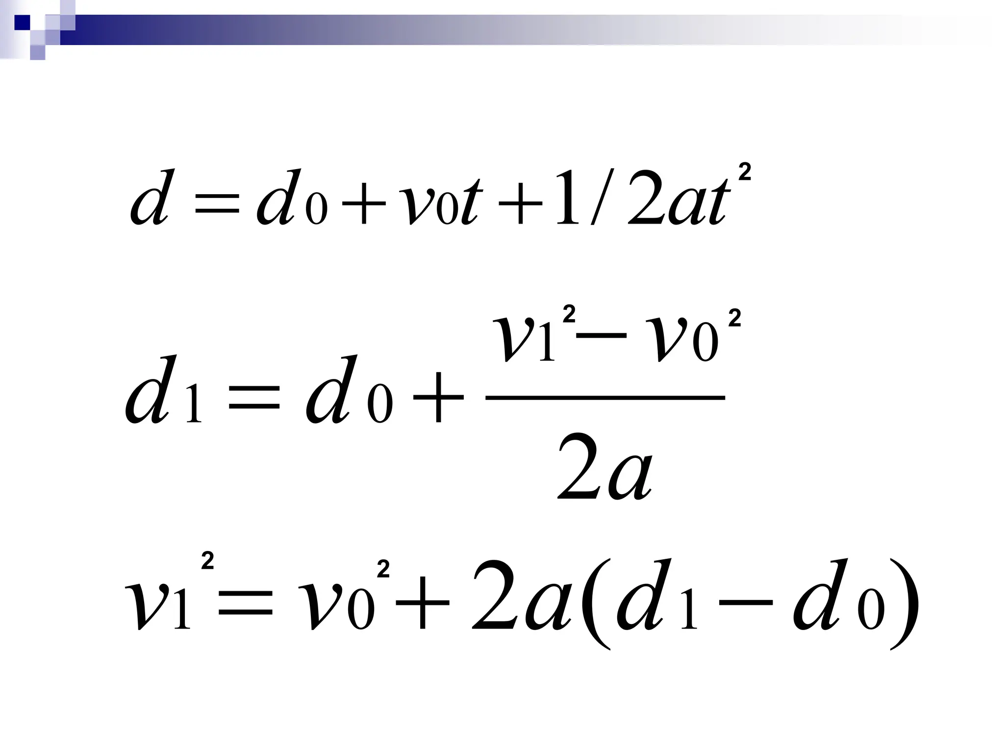
  • 43.
  • 44.
    Some other equations at t v d d2 / 1 0 0 1    2 This equation is to be used to find final position when there is an initial velocity, but velocity at time t1 is not known.
  • 45.
    If no timeis known, use this to find final position…. a v v d d 2 0 1 0 1    2 2
  • 46.
    Finding final velocityif no time is known… ) ( 2 0 1 0 1 d d a v v    2 2
  • 47.
    The equations ofimportance t V V a    0 1 at v v   0 1 t v v d d ) ( 2 / 1 0 1 0   
  • 48.
  • 49.
    Practical Application Velocity/Position/Time equations Calculation of arrival times/schedules of aircraft/trains (including vectors)  GPS technology (arrival time of signal/distance to satellite)  Military targeting/delivery  Calculation of Mass movement (glaciers/faults)  Ultrasound (speed of sound) (babies/concrete/metals) Sonar (Sound Navigation and Ranging)  Auto accident reconstruction  Explosives (rate of burn/expansion rates/timing with det. cord)
  • 50.
    5.4 Free Fall Recognize the meaning of the acceleration due to gravity  Define the magnitude of the acceleration due to gravity as a positive quantity and determine the sign of the acceleration relative to the chosen coordinate system  Use the motion equations to solve problems involving freely falling objects
  • 51.
    Freefall Defined as themotion of an object if the only force acting on it is gravity. No friction, no air resistance, no drag
  • 52.
    Acceleration Due toGravity  Galileo Galilei recognized about 400 years ago that, to understand the motion of falling objects, the effects of air or water would have to be ignored.  As a result, we will investigate falling, but only as a result of one force, gravity. Galileo Galilei 1564-1642
  • 53.
    Galileo’s Ramps  Becausegravity causes objects to move very fast, and because the time- keepers available to Galileo were limited, Galileo used ramps with moveable bells to “slow down” falling objects for accurate timing.
  • 54.
  • 55.
    Galileo’s Ramps  Tokeep “accurate” time, Galileo used a water clock.  For the measurement of time, he employed a large vessel of water placed in an elevated position; to the bottom of this vessel was soldered a pipe of small diameter giving a thin jet of water, which he collected in a small glass during the time of each descent... the water thus collected was weighed, after each descent, on a very accurate balance; the difference and ratios of these weights gave us the differences and ratios of the times...
  • 57.
    Displacements of FallingObjects  Looking at his results, Galileo realized that a falling ( or rolling downhill) object would have displacements that increased as a function of the square of the time, or t2  Another way to look at it, the velocity of an object increased as a function of the square of time, multiplied by some constant.
  • 58.
     Galileo alsofound that all objects, no matter what slope of ramp he rolled them down, and as long as the ramps were all the same height, would reach the bottom with the same velocity.
  • 59.
    Galileo’s Finding Galileo foundthat, neglecting friction, all freely falling objects have the same acceleration.
  • 60.
    Hippo & PingPong Ball In a vacuum, all bodies fall at the same rate. When there’s no air resistance, size and shape matter not! If a hippo and a ping pong ball were dropped from a helicopter in a vacuum (assuming the copter could fly without air), they’d land at the same time.
  • 61.
    Proving Galileo Correct Galileocould not produce a vacuum to prove his ideas. That came later with the invention of a vacuum machine, and the demonstration with a guinea feather and gold coin dropped in a vacuum.
  • 62.
    Guinea Feather andCoin/NASA demonstrations
  • 63.
    Acceleration Due toGravity  Galileo calculated that all freely falling objects accelerate at a rate of 9.8 m/s2 This value, as an acceleration, is known as g
  • 64.
    Acceleration Due toGravity  Because this value is an acceleration value, it can be used to calculate displacements or velocities using the acceleration equations learned earlier. Just substitute g for the a
  • 65.
    Example problem  Abrick is dropped from a high building. What is it’s velocity after 4.0 sec.? How far does the brick fall during this time?
  • 66.
    The Church’s oppositionto new thought  Church leaders of the time held the same views as Aristotle, the great philosopher.  Aristotle thought that objects of different mass would fall at different rates…makes sense huh??????  All objects have their “natural position”. Rocks fall faster than feathers, so it only made sense (to him)  Galileo, in attempting to convince church leaders that the “natural position” view was incorrect, considered two rocks of different mass.
  • 67.
    Falling Rock Conundrum Galileo presented this in his book Dialogue Concerning the Two Chief World Systems(1632) as a discussion between Simplicio (as played by a church leader) and Salviati (as played by Galileo)  Two rocks of different masses are dropped  Massive rock falls faster???
  • 68.
    Rocks continued  Nowconsider the two rocks held together by a length of string.  If the smaller rock were to fall slower, it would impede the rate at which both rocks would fall.  But the two rocks together would actually have more mass, and should therefore fall faster.  A conundrum????? The previously held views could not have been correct.
  • 69.
     Galileo haddata which proved Aristotle and the church wrong, but church leaders were hardly moved in their position that all objects have their “correct position in the world”  Furthermore, the use of Simplicio (or simpleton) as the head of the church in his dialog, was a direct insult to the church leaders themselves.