Embed presentation
Downloaded 66 times


























































































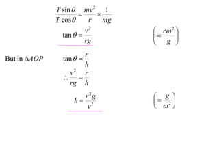
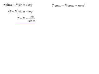
The document describes the forces acting on a conical pendulum. It defines key terms like tension (T), angular velocity (ω), and the angle (α) that the string makes with the vertical. The analysis shows that the tension can be resolved into components parallel and perpendicular to the plane of motion. It derives an equation relating the angular velocity to the angle α, string length r, and acceleration due to gravity g.

























































































