THE COSMIC WEB
The Cosmic
Web
1st Annual Robert Grosseteste Lecture
23rd
February 2017
Peter Coles
RobertGrosseteste
DeSphaera(c.1220)
The Hubble Expansion
2dFGRS
UDS
THE COSMIC WEB
The Cosmic Web of Ideas
Dark
matter
Dark
Energy
The Big
Bang
Cosmic
Inflation
General
Relativity
THE COSMIC WEB
The Stretching of Light!
The Big Bang theory is not
complete!
• There are infinitely many possible big
bang universes described by the same
equations, but with different initial
conditions.
• Some expand forever, some recollapse.
• We have to use observations to pick
which of the big bang family is closest
to our universe.
The Cosmic Microwave
Background
• Discovered by accident by Penzias &
Wilson (1965); Nobel Prize in 1978.
• Thermal (“black body”) radiation with a
temperature about 3 degrees above
absolute zero
• This radiation was produced when the
Universe was 1000 times smaller, and
1000 times hotter
• The “Smoking Gun” of the Big Bang
What put the Bang in Big
Bang?
• A “bang” must involve sound waves…
• These could have been generated
during the inflationary era by quantum
processes
• These are random noise with a
particular spectrum
• Gravity eventually turns these into
galaxies and clusters of galaxies
Planck Time!
What put the Bang in Big
Bang?
• If there was a “Big Bang” there
must have been sound waves…
• These could have been generated
in the very early Universe
• They started the process by which
galaxies and stars eventually
formed.
Dark Matter…..
• Most of the matter in the Universe
is dark..
• “Dark Matter” can be detected in
galaxies and galaxy clusters.
• Observations suggest Ω0≈0.25, not
enough to close the Universe
• But the Universe appears flat...
• ….and it is accelerating!
Weighing Space
• As well as weighing individual
objects, it is also possible to weigh
the Universe as a whole
• To do this we need “standard rods”
or “standard candles” which we
view through curved space-time
• This can tell us about the
curvature of space-time.
Dark Energy
• The “Cosmological Constant” (Λ) was
introduced by Einstein to make a static
universe (his “biggest blunder”)
• Now we think of Λ as “vacuum energy”
that causes the expansion Universe to
speed up..
• The vacuum energy is directly
connected to the microscopic physics of
elementary particles.
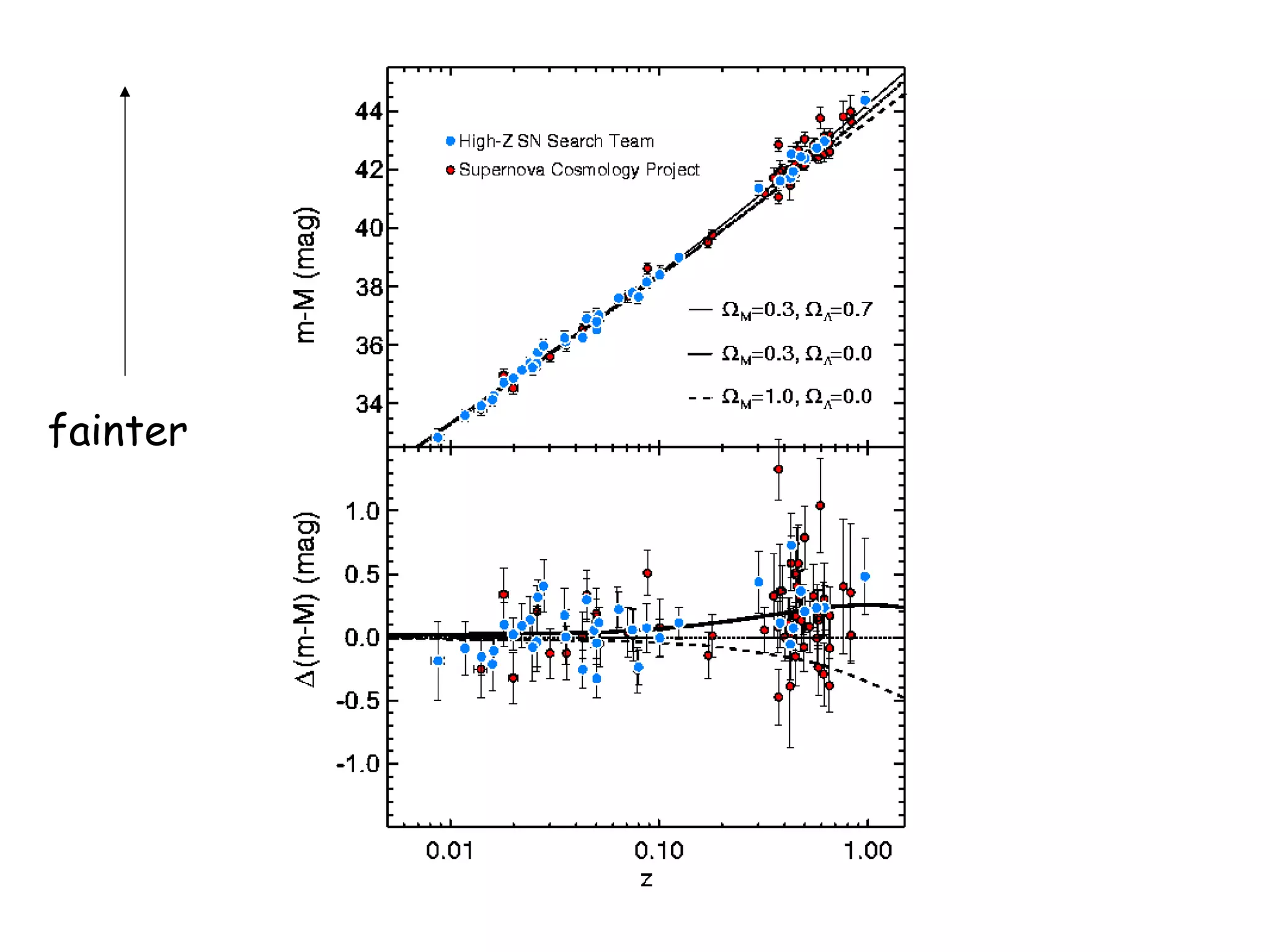
fainter
Nobel Prize for Physics
2011
Reasons for Dark Energy
• Galaxies suggest dark matter is
only 20 to 30% of what is needed
to make space flat
• The Cosmic Microwave Background
tells us space is flat
• Supernovae tell is that the
Universe can’t be flat and
dominated by dark matter
• .
The Accelerating Universe
• Gravity pulls “normal” matter and
energy; it doesn’t push.
• It is possible to engineer anti-gravity,
but only with peculiar energy called
“Vacuum Energy” or “Dark Energy”
• This is the idea behind inflation in the
early Universe ..
• ..and possibly why the Universe
accelerates now
Dark Energy
• The “Cosmological Constant” (Λ) was
introduced by Einstein to make a static
universe (his “biggest blunder”)
• Now we think of Λ as “vacuum energy”
that causes the expansion Universe to
speed up..
• The vacuum energy is directly
connected to the microscopic physics of
elementary particles.
TG =
Gravity Stuff
TG =+?
?+=TG
Alternatives
•Modified Gravity
•Back-reaction of structure
•Is Dark Energy Dynamical?
•None of the above….
“CONCORDANCE”
Conclusions
• The standard cosmology is a great
success, but we don’t know what
most of the Universe is made of.
• Maybe we are thinking about
things the wrong way entirely
• The biggest problems now are
theoretical, not observational
Precision Cosmology
“…as we know, there are known knowns;
there are things we know we know. We
also know there are known unknowns;
that is to say we know there are some
things we do not know. But there are also
unknown unknowns -- the ones we don't
know we don't know.”

The Cosmic Web - Lincoln

  • 1.
    THE COSMIC WEB TheCosmic Web 1st Annual Robert Grosseteste Lecture 23rd February 2017 Peter Coles
  • 4.
  • 9.
  • 17.
  • 19.
    THE COSMIC WEB TheCosmic Web of Ideas Dark matter Dark Energy The Big Bang Cosmic Inflation General Relativity
  • 20.
  • 21.
  • 23.
    The Big Bangtheory is not complete! • There are infinitely many possible big bang universes described by the same equations, but with different initial conditions. • Some expand forever, some recollapse. • We have to use observations to pick which of the big bang family is closest to our universe.
  • 28.
    The Cosmic Microwave Background •Discovered by accident by Penzias & Wilson (1965); Nobel Prize in 1978. • Thermal (“black body”) radiation with a temperature about 3 degrees above absolute zero • This radiation was produced when the Universe was 1000 times smaller, and 1000 times hotter • The “Smoking Gun” of the Big Bang
  • 34.
    What put theBang in Big Bang? • A “bang” must involve sound waves… • These could have been generated during the inflationary era by quantum processes • These are random noise with a particular spectrum • Gravity eventually turns these into galaxies and clusters of galaxies
  • 39.
  • 41.
    What put theBang in Big Bang? • If there was a “Big Bang” there must have been sound waves… • These could have been generated in the very early Universe • They started the process by which galaxies and stars eventually formed.
  • 48.
    Dark Matter….. • Mostof the matter in the Universe is dark.. • “Dark Matter” can be detected in galaxies and galaxy clusters. • Observations suggest Ω0≈0.25, not enough to close the Universe • But the Universe appears flat... • ….and it is accelerating!
  • 52.
    Weighing Space • Aswell as weighing individual objects, it is also possible to weigh the Universe as a whole • To do this we need “standard rods” or “standard candles” which we view through curved space-time • This can tell us about the curvature of space-time.
  • 57.
    Dark Energy • The“Cosmological Constant” (Λ) was introduced by Einstein to make a static universe (his “biggest blunder”) • Now we think of Λ as “vacuum energy” that causes the expansion Universe to speed up.. • The vacuum energy is directly connected to the microscopic physics of elementary particles.
  • 60.
  • 62.
    Nobel Prize forPhysics 2011
  • 64.
    Reasons for DarkEnergy • Galaxies suggest dark matter is only 20 to 30% of what is needed to make space flat • The Cosmic Microwave Background tells us space is flat • Supernovae tell is that the Universe can’t be flat and dominated by dark matter • .
  • 65.
    The Accelerating Universe •Gravity pulls “normal” matter and energy; it doesn’t push. • It is possible to engineer anti-gravity, but only with peculiar energy called “Vacuum Energy” or “Dark Energy” • This is the idea behind inflation in the early Universe .. • ..and possibly why the Universe accelerates now
  • 66.
    Dark Energy • The“Cosmological Constant” (Λ) was introduced by Einstein to make a static universe (his “biggest blunder”) • Now we think of Λ as “vacuum energy” that causes the expansion Universe to speed up.. • The vacuum energy is directly connected to the microscopic physics of elementary particles.
  • 67.
  • 68.
  • 69.
  • 71.
    Alternatives •Modified Gravity •Back-reaction ofstructure •Is Dark Energy Dynamical? •None of the above….
  • 74.
  • 76.
    Conclusions • The standardcosmology is a great success, but we don’t know what most of the Universe is made of. • Maybe we are thinking about things the wrong way entirely • The biggest problems now are theoretical, not observational
  • 77.
    Precision Cosmology “…as weknow, there are known knowns; there are things we know we know. We also know there are known unknowns; that is to say we know there are some things we do not know. But there are also unknown unknowns -- the ones we don't know we don't know.”