Estimating	
  Seismic	
  Velocities	
  and	
  Attenuations	
  	
  
of	
  CO2	
  Saturated	
  Sandstones	
  
	
  
Team	
  Name:	
  CO2	
  
Team	
  Members:	
  Amarpaul	
  Bassi,	
  Li	
  Lam,	
  Sofya	
  Niyazova,	
  Julie	
  Truong	
  
	
  
Geophysical	
  Solution	
  
November	
  25,	
  2011	
  
	
  
	
  
	
  
	
  
	
  
	
  
	
  
	
  
	
  
	
  
	
  
	
  
	
  
  2	
  
Introduction	
  
Often,	
  it	
  is	
  more	
  practical	
  to	
  determine	
  relationships	
  between	
  physical	
  parameters	
  on	
  a	
  laboratory	
  scale.	
  	
  
Compared	
  to	
  field	
  conditions,	
  laboratory	
  experiments	
  not	
  only	
  can	
  have	
  the	
  environmental	
  variables	
  be	
  
carefully	
  controlled	
  but	
  the	
  costs	
  also	
  provide	
  an	
  additional	
  appealing	
  factor.	
  	
  Once	
  a	
  relationship	
  is	
  
formed,	
  it	
  can	
  be	
  applied	
  to	
  the	
  larger	
  scale	
  in	
  the	
  field	
  with	
  some	
  alterations	
  in	
  the	
  model.	
  
In	
  this	
  case,	
  the	
  relationship	
  between	
  seismic	
  velocities	
  and	
  pore	
  pressure	
  are	
  experimentally	
  
determined	
  by	
  mimicking	
  field	
  conditions	
  in	
  the	
  laboratory	
  with	
  differently	
  saturated	
  sandstone	
  cores	
  
under	
  a	
  range	
  of	
  stress	
  settings.	
  
Relevant	
  Geophysical	
  Parameters	
  
The	
  geophysical	
  properties	
  that	
  we	
  concentrate	
  on	
  in	
  our	
  study	
  are	
  velocities	
  of	
  seismic	
  waves	
  and	
  
attenuation	
  in	
  a	
  rock	
  material.	
  
When	
  carbon	
  dioxide	
  (CO2)	
  is	
  injected	
  into	
  rocks,	
  the	
  characteristics	
  change	
  as	
  a	
  result	
  of	
  a	
  change	
  in	
  
compressibility.	
  	
  This	
  in	
  turn	
  affects	
  how	
  compressional	
  and	
  shear	
  seismic	
  waves	
  propagate	
  through	
  the	
  
rock	
  (Wang	
  and	
  Nur,	
  1989).	
  The	
  Gassmann	
  equation	
  demonstrates	
  how	
  the	
  bulk	
  modulus	
  of	
  the	
  
saturated	
  rock	
  is	
  related	
  to	
  the	
  bulk	
  modulus	
  of	
  the	
  rock	
  properties	
  and	
  the	
  pore	
  fluid	
  (Wang	
  and	
  Nur,	
  
1989).	
  
	
  It	
  is	
  also	
  worthy	
  to	
  note	
  the	
  seismic	
  velocities	
  and	
  how	
  they	
  relate	
  the	
  bulk	
  modulus,	
  shear	
  modulus	
  
and	
  density,	
  
!! =  
! +  4
3 !
!
                                            !! =  
!
!
	
  
From	
  the	
  formulas,	
  it	
  can	
  be	
  seen	
  that	
  Vp	
  will	
  decrease	
  with	
  an	
  increase	
  in	
  CO2	
  injection.	
  	
  When	
  the	
  pore	
  
pressure	
  is	
  increased,	
  the	
  pores	
  are	
  kept	
  open	
  and	
  cancel	
  some	
  of	
  the	
  effects	
  of	
  confining	
  pressure.	
  	
  As	
  
a	
  result,	
  density	
  increases.	
  	
  So	
  Vp	
  and	
  Vs	
  will	
  have	
  lower	
  magnitudes	
  when	
  pore	
  pressure	
  is	
  high	
  (Wang	
  
and	
  Nur,	
  1989).	
  Shear	
  wave	
  velocity	
  decreases	
  but	
  in	
  a	
  lower	
  magnitude	
  compared	
  to	
  Vp.	
  	
  As	
  well,	
  
dissolution	
  of	
  CO2	
  in	
  the	
  original	
  fluid	
  increases	
  density,	
  resulting	
  in	
  decreased	
  Vp	
  and	
  Vs.	
  	
  
Attenuation	
  is	
  the	
  decrease	
  in	
  energy	
  of	
  the	
  seismic	
  wave	
  as	
  it	
  propagates	
  through	
  the	
  rock	
  (Prasad	
  et	
  
al,	
  2004).	
  The	
  fluids	
  in	
  the	
  pore	
  spaces	
  cause	
  attenuation	
  and	
  dispersion	
  of	
  body	
  waves	
  (Muller	
  et	
  al,	
  
2010).	
  	
  As	
  a	
  wave	
  propagates	
  through	
  a	
  medium,	
  it	
  produces	
  a	
  pressure	
  gradient,	
  which	
  causes	
  the	
  fluid	
  
to	
  move.	
  	
  As	
  the	
  fluid	
  passes	
  by	
  the	
  solid	
  particles,	
  friction	
  results	
  and	
  energy	
  is	
  lost.	
  
Survey	
  Technique	
  for	
  Acquiring	
  Data	
  
The	
  main	
  survey	
  technique	
  that	
  we	
  use	
  in	
  our	
  study	
  is	
  propagation	
  of	
  seismic	
  waves	
  through	
  a	
  core	
  rock	
  
sample.	
  The	
  laboratory	
  experiment	
  is	
  set	
  up	
  to	
  determine	
  the	
  relationship	
  between	
  the	
  velocities	
  and	
  
attenuation	
  of	
  seismic	
  waves	
  and	
  CO2	
  concentration	
  in	
  the	
  reservoir	
  rock.	
  The	
  experiment	
  technique	
  
Vp	
  =	
  compressional	
  wave	
  velocity	
  
Vs	
  =shear	
  wave	
  velocity	
  
K	
  =	
  bulk	
  modulus	
  (incompressibility)	
  
μ	
  =	
  shear	
  modulus	
  (rigidity)	
  
ρ	
  =	
  density	
  
  3	
  
consists	
  of	
  injecting	
  CO2	
  into	
  the	
  core	
  sample,	
  shooting	
  P-­‐	
  and	
  S-­‐	
  waves	
  through	
  the	
  sample	
  and	
  
detecting	
  the	
  changes	
  in	
  velocities	
  and	
  attenuation	
  of	
  the	
  waves.	
  
Changes	
  in	
  seismic	
  velocities	
  and	
  the	
  degree	
  of	
  attenuation	
  are	
  dependent	
  upon	
  the	
  effective	
  stress	
  
regime	
  of	
  the	
  rock	
  and	
  the	
  chemistry	
  of	
  the	
  fluid.	
  	
  The	
  effective	
  stress	
  regime	
  is	
  the	
  result	
  of	
  total	
  
regional	
  stress	
  minus	
  pore	
  pressure	
  of	
  the	
  rock,	
  
Effective	
  stress	
  =	
  Total	
  regional	
  stress	
  –	
  Pore	
  pressure	
  
The	
  effective	
  stress	
  regime	
  of	
  the	
  core	
  sample	
  is	
  changed	
  once	
  it	
  is	
  brought	
  to	
  the	
  surface.	
  The	
  total	
  
regional	
  stress	
  can	
  be	
  approximated	
  by	
  the	
  rock	
  column	
  above	
  the	
  core	
  sample	
  and	
  simulated	
  in	
  the	
  
laboratory	
  environment	
  via	
  a	
  rock	
  compressor.	
  	
  	
  
The	
  pore	
  pressure	
  is	
  dependent	
  upon	
  the	
  degree	
  of	
  saturation	
  with	
  original	
  fluids,	
  the	
  amount	
  of	
  
injected	
  CO2,	
  and	
  with	
  the	
  fluid	
  type	
  in	
  the	
  rock.	
  The	
  degree	
  of	
  saturation	
  with	
  original	
  fluids	
  is	
  easily	
  
simulated	
  in	
  the	
  laboratory	
  environment	
  by	
  drying	
  and	
  soaking	
  the	
  core	
  sample	
  in	
  water.	
  	
  The	
  injected	
  
CO2	
  fills	
  in	
  the	
  free	
  pore	
  space	
  resulting	
  in	
  the	
  build	
  up	
  of	
  the	
  pore	
  pressure.	
  	
  After	
  a	
  critical	
  pore	
  
pressure	
  is	
  reached,	
  it	
  starts	
  dissolving	
  into	
  the	
  fluid	
  thus	
  changing	
  the	
  original	
  fluid	
  type.	
  	
  
The	
  concentration	
  of	
  CO2	
  is	
  manifested	
  through	
  the	
  amount	
  of	
  the	
  gas	
  injected	
  leading	
  to	
  a	
  pore	
  
pressure	
  build	
  up.	
  Thus	
  the	
  pore	
  pressure	
  is	
  proportionally	
  related	
  to	
  the	
  amount	
  of	
  injected	
  CO2,	
  and	
  
the	
  relationship	
  can	
  be	
  mathematically	
  derived.	
  	
  The	
  amount	
  of	
  CO2	
  dissolved	
  in	
  the	
  fluid	
  is	
  also	
  a	
  
function	
  of	
  the	
  amount	
  of	
  the	
  injected	
  CO2	
  and	
  the	
  relationship	
  can	
  also	
  be	
  mathematically	
  derived.	
  The	
  
experimental	
  injection	
  of	
  CO2	
  changes	
  the	
  pore	
  pressure	
  and	
  the	
  fluid	
  type,	
  thus	
  affecting	
  the	
  velocities	
  
and	
  the	
  degree	
  of	
  attenuation	
  of	
  seismic	
  waves.	
  	
  
Due	
  to	
  the	
  limiting	
  size	
  of	
  the	
  core,	
  the	
  experiment	
  is	
  limited	
  to	
  high	
  frequency	
  seismic	
  waves	
  with	
  a	
  
short	
  wavelength	
  in	
  order	
  to	
  be	
  able	
  to	
  resolve	
  the	
  parameters	
  in	
  question.	
  Those	
  types	
  of	
  waves	
  are	
  
created	
  by	
  a	
  seismic	
  transducer.	
  The	
  transmitter	
  is	
  placed	
  at	
  one	
  end	
  of	
  the	
  core	
  and	
  the	
  receivers	
  are	
  
placed	
  at	
  the	
  opposite	
  end,	
  which	
  record	
  the	
  velocities	
  of	
  P-­‐	
  and	
  S-­‐waves	
  and	
  their	
  corresponding	
  
attenuation.	
  Based	
  on	
  the	
  results,	
  the	
  relationship	
  between	
  the	
  velocities	
  and	
  attenuation	
  of	
  seismic	
  
waves	
  and	
  CO2	
  concentration	
  in	
  core	
  sample	
  is	
  determined.	
  
Detailed	
  Experimental	
  Description	
  
The	
  experiment	
  is	
  applied	
  to	
  a	
  homogeneous,	
  1	
  meter	
  in	
  length	
  sandstone	
  core.	
  Being	
  porous,	
  
sandstone	
  is	
  a	
  very	
  suitable	
  rock	
  type	
  for	
  a	
  sequestration	
  reservoir.	
  The	
  CO2	
  is	
  injected	
  at	
  a	
  gas	
  phase.	
  
The	
  degree	
  of	
  saturation	
  with	
  original	
  fluids	
  affects	
  the	
  amount	
  of	
  CO2	
  to	
  be	
  injected.	
  To	
  minimize	
  the	
  
complexity	
  involving	
  varying	
  levels	
  of	
  saturation,	
  three	
  limiting	
  cases	
  of	
  saturation	
  levels	
  will	
  be	
  studied.	
  
Water	
  is	
  taken	
  as	
  an	
  original	
  fluid.	
  
	
  
	
  
  4	
  
Table	
  1:	
  Three	
  limiting	
  cases	
  of	
  saturation	
  levels	
  
Case	
  1	
   Case	
  2	
   Case	
  3	
  
0%	
  saturation.	
  The	
  core	
  is	
  
completely	
  dry.	
  The	
  injected	
  CO2	
  
fills	
  in	
  the	
  free	
  pore	
  space.	
  
100%	
  saturation.	
  The	
  core	
  is	
  
completely	
  soaked	
  in	
  water.	
  The	
  
injected	
  CO2	
  dissolves	
  into	
  the	
  
water.	
  
50%	
  saturation†
.	
  The	
  core	
  is	
  half	
  
soaked.	
  Initially,	
  the	
  injected	
  CO2	
  
fill	
  in	
  the	
  free	
  pore	
  space	
  and	
  
after	
  the	
  critical	
  pressure	
  is	
  
reached,	
  starts	
  dissolving	
  into	
  
the	
  water.	
  	
  
†	
  
The	
  difference	
  in	
  weight	
  between	
  the	
  dry	
  and	
  fully	
  saturated	
  core	
  sample	
  is	
  the	
  amount	
  of	
  water	
  soaked	
  up.	
  50%	
  
saturation	
  is	
  obtained	
  by	
  letting	
  the	
  core	
  sit	
  and	
  evaporate	
  water	
  until	
  half	
  of	
  the	
  initially	
  soaked	
  water	
  remains,	
  
indicated	
  by	
  the	
  mean	
  weight	
  between	
  the	
  dry	
  and	
  fully	
  soaked	
  sample.	
  	
  	
  
The	
  total	
  regional	
  stress	
  is	
  approximated	
  by	
  the	
  rock	
  column	
  above	
  the	
  location	
  from	
  where	
  the	
  core	
  
sample	
  is	
  retrieved,	
  and	
  is	
  simulated	
  by	
  Grigg’s	
  Rig	
  –	
  Uniaxial	
  Compression.	
  The	
  core	
  sample	
  is	
  placed	
  
into	
  a	
  rigid	
  walled	
  cylinder	
  and	
  a	
  press	
  of	
  a	
  specific	
  weight,	
  which	
  is	
  equivalent	
  to	
  the	
  total	
  regional	
  
stress,	
  is	
  mounted	
  on	
  top.	
  A	
  range	
  of	
  total	
  regional	
  stresses	
  is	
  simulated	
  for	
  each	
  of	
  the	
  three	
  cases.	
  	
  By	
  
doing	
  this,	
  the	
  approximately	
  computed	
  total	
  regional	
  stress	
  and	
  the	
  thickness	
  of	
  the	
  reservoir	
  unit	
  are	
  
accounted	
  for.	
  For	
  illustration,	
  the	
  range	
  total	
  regional	
  stresses	
  is	
  denoted	
  (MPa1,	
  MPa2,...,MPan)	
  and	
  
the	
  table	
  below	
  summarizes	
  the	
  experiment	
  runs.	
  
Table	
  2:	
  	
  	
  	
  Experimental	
  runs	
  where,	
  Vp	
  =	
  velocity	
  of	
  P-­‐wave;	
  Vs	
  =	
  velocity	
  of	
  S-­‐wave;	
  Ap	
  =	
  attenuation	
  of	
  
P-­‐wave;	
  As	
  =	
  attenuation	
  of	
  S-­‐wave	
  
Total	
  regional	
  
stress	
  
Case	
  1	
  -­‐	
  0%	
  saturation	
   Case	
  2	
  	
  -­‐	
  100%	
  saturation	
   Case	
  3	
  	
  -­‐	
  50%	
  saturation	
  
Run	
  at	
  MPa1	
   Measure	
  Vp,	
  	
  Vs,	
  Ap,	
  As	
   Measure	
  Vp,	
  	
  Vs,	
  Ap,	
  As	
   Measure	
  Vp,	
  	
  Vs,	
  Ap,	
  As	
  
Run	
  at	
  MPa2	
   Measure	
  Vp,	
  	
  Vs,	
  Ap,	
  As	
   Measure	
  Vp,	
  	
  Vs,	
  Ap,	
  As	
   Measure	
  Vp,	
  	
  Vs,	
  Ap,	
  As	
  
...	
   Measure	
  Vp,	
  	
  Vs,	
  Ap,	
  As	
   Measure	
  Vp,	
  	
  Vs,	
  Ap,	
  As	
   Measure	
  Vp,	
  	
  Vs,	
  Ap,	
  As	
  
Run	
  at	
  MPan	
   Measure	
  Vp,	
  	
  Vs,	
  Ap,	
  As	
   Measure	
  Vp,	
  	
  Vs,	
  Ap,	
  As	
   Measure	
  Vp,	
  	
  Vs,	
  Ap,	
  As	
  
	
  
For	
  every	
  case,	
  each	
  run	
  of	
  total	
  regional	
  stress	
  CO2	
  is	
  injected	
  in	
  fixed	
  incremental	
  amounts	
  and	
  the	
  
corresponding	
  pore	
  pressure	
  is	
  measured.	
  After	
  each	
  injection,	
  P-­‐	
  and	
  S-­‐waves	
  are	
  shot	
  through	
  the	
  
core	
  and	
  their	
  velocities	
  (Vp	
  and	
  Vs)	
  and	
  corresponding	
  attenuations	
  (Ap	
  and	
  As)	
  are	
  recorded.	
  The	
  waves	
  
are	
  created	
  via	
  a	
  seismic	
  transducer.	
  	
  The	
  transmitter	
  is	
  placed	
  at	
  one	
  end	
  of	
  the	
  core	
  and	
  the	
  receivers	
  
are	
  placed	
  at	
  the	
  opposite	
  end.	
  	
  	
  For	
  identification	
  of	
  any	
  dependency	
  of	
  the	
  seismic	
  waves	
  on	
  their	
  
wavelength,	
  the	
  P-­‐	
  and	
  S-­‐waves	
  are	
  shot	
  at	
  a	
  range	
  of	
  frequencies	
  (f1,	
  f2,	
  ...	
  ,fn).	
  According	
  to	
  the	
  wave	
  
theory	
  the	
  relationship	
  between	
  the	
  wavelength	
  and	
  frequency	
  is:	
  
! =
!
!
	
  
Where	
  !	
  is	
  wavelength,	
  !	
  is	
  frequency,	
  and	
  !	
  is	
  the	
  velocity	
  of	
  propagation	
  through	
  the	
  core.	
  Since	
  the	
  
wave	
  velocity	
  (!)	
  is	
  being	
  measured,	
  then	
  by	
  varying	
  frequencies,	
  different	
  wavelengths	
  are	
  produced.	
  	
  
  5	
  
Since	
  the	
  core	
  is	
  1	
  meter	
  in	
  length,	
  the	
  maximum	
  wavelength	
  limit	
  is	
  the	
  length	
  of	
  the	
  core.	
  Therefore,	
  
in	
  order	
  to	
  obtain	
  proper	
  measurements	
  the	
  last	
  frequency	
  (fn)	
  is	
  such	
  that	
  produces	
  the	
  maximum	
  
wavelength	
  of	
  1	
  meter.	
  The	
  initial	
  frequency	
  (f1)	
  is	
  set	
  at	
  experimenter’s	
  discrepancy.	
  The	
  CO2	
  is	
  injected	
  
and	
  the	
  measurements	
  are	
  taken	
  until	
  the	
  pore	
  pressure	
  equates	
  the	
  total	
  regional	
  stress.	
  	
  Below	
  is	
  the	
  
table	
  of	
  the	
  experiment	
  measurements	
  for	
  Case	
  1.	
  The	
  incremental	
  CO2	
  injection	
  is	
  denoted	
  as	
  Xg:	
  
	
  
Table	
  3:	
  Experimental	
  measurements	
  for	
  case	
  1	
  for	
  a	
  range	
  of	
  total	
  regional	
  stresses	
  
Case	
  1	
  -­‐	
  0%	
  saturation:	
  Run	
  at	
  total	
  regional	
  stress	
  of	
  MPan	
  
	
   CO2	
  
injection	
  
Pore	
  
Pressure	
  
f1	
   f2	
   …	
   fn	
  
1	
   Xg	
  	
  CO2	
   PpX	
   Vs1,	
  Vp1,	
  Ap1,	
  As1	
  	
   Vs2,	
  Vp2,	
  Ap2,	
  As2	
   Vs…,	
  Vp…,	
  Ap…,	
  As…	
   Vsn,	
  Vpn,	
  Apn,	
  Asn	
  
2	
   2Xg	
  CO2	
   Pp2X	
   Vs1,	
  Vp1,	
  Ap1,	
  As1	
   Vs2,	
  Vp2,	
  Ap2,	
  As2	
   Vs…,	
  Vp…,	
  Ap…,	
  As…	
   Vsn,	
  Vpn,	
  Apn,	
  Asn	
  
3	
   3Xg	
  CO2	
   Pp3X	
   Vs1,	
  Vp1,	
  Ap1,	
  As1	
   Vs2,	
  Vp2,	
  Ap2,	
  As2	
   Vs…,	
  Vp…,	
  Ap…,	
  As…	
   Vsn,	
  Vpn,	
  Apn,	
  Asn	
  
…	
   …	
   …	
   …	
   …	
   …	
   …	
  
n	
   nX	
  g	
  CO2	
   PpnX	
  =	
  MPa1	
   Vs1,	
  Vp1,	
  Ap1,	
  As1	
   Vs2,	
  Vp2,	
  Ap2,	
  As2	
   Vs…,	
  Vp…,	
  Ap…,	
  As…	
   Vsn,	
  Vpn,	
  Apn,	
  Asn	
  
The	
  same	
  data	
  parameters	
  are	
  collected	
  for	
  a	
  range	
  of	
  different	
  total	
  regional	
  stresses	
  for	
  each	
  case.	
  The	
  
above	
  experiment	
  measurements	
  are	
  also	
  repeated	
  for	
  other	
  two	
  cases:	
  100%	
  saturation	
  and	
  50%	
  
saturation.	
  However,	
  based	
  on	
  the	
  fact	
  that	
  S-­‐waves	
  do	
  not	
  propagate	
  through	
  fluids,	
  for	
  Case	
  2	
  -­‐	
  100%	
  
saturation,	
  only	
  P-­‐wave	
  velocity	
  and	
  P-­‐waves	
  attenuation	
  are	
  measured.	
  
Once	
  the	
  experimental	
  data	
  is	
  collected	
  the	
  scatter	
  plots	
  for	
  each	
  of	
  the	
  three	
  cases	
  are	
  graphed	
  and	
  the	
  
relationships	
  are	
  mathematically	
  derived	
  though	
  best	
  fitted	
  curves.	
  For	
  Case	
  2	
  -­‐	
  100%	
  saturation,	
  only	
  Vp	
  
and	
  Ap	
  are	
  measured.	
  The	
  relationships	
  are:	
  
1) Vp	
  and	
  Vs	
  versus	
  Pp	
  at	
  a	
  specific	
  frequency.	
  	
  	
  
2) Ap	
  and	
  As	
  versus	
  Pp	
  at	
  a	
  specific	
  frequency.	
  
3) Vp	
  and	
  Vs	
  versus	
  f	
  at	
  a	
  specific	
  Total	
  regional	
  stress.	
  
4) Ap	
  and	
  As	
  versus	
  f	
  at	
  a	
  specific	
  Total	
  regional	
  stress.	
  
	
  
	
  
1) Vp	
  and	
  Vs	
  versus	
  Pp	
  at	
  a	
  specific	
  frequency	
   2) Ap	
  and	
  As	
  versus	
  Pp	
  at	
  a	
  specific	
  frequency	
  
	
   	
  
	
  
  6	
  
3) Vp	
  and	
  Vs	
  versus	
  f	
  at	
  a	
  specific	
  Total	
  regional	
  stress	
   4) Ap	
  and	
  As	
  versus	
  Pp	
  at	
  a	
  specific	
  Total	
  regional	
  stress	
  
	
   	
  
Figure	
  1:	
  The	
  illustration	
  graphs	
  for	
  each	
  relationship	
  are	
  presented.	
  
Determination	
  of	
  the	
  first	
  two	
  relationships	
  is	
  the	
  main	
  goal	
  of	
  the	
  experiment,	
  whereas	
  the	
  last	
  two	
  
relationships	
  are	
  important	
  supplementary	
  information	
  needed	
  for	
  calibration	
  of	
  obtained	
  velocities	
  and	
  
attenuations.	
  By	
  knowing	
  the	
  relationship	
  between	
  the	
  seismic	
  wave	
  velocities,	
  attenuation	
  and	
  the	
  
pore	
  pressure,	
  one	
  might	
  use	
  this	
  knowledge	
  to	
  calculate	
  the	
  concentration	
  of	
  CO2	
  present	
  in	
  the	
  core.	
  
	
  
Case	
  Study	
  Support	
  
	
  
Geological	
  formations	
  that	
  are	
  subjected	
  to	
  saturation	
  of	
  CO2	
  will	
  cause	
  changes	
  in	
  seismic	
  velocities	
  and	
  
attenuation,	
  which	
  is	
  reflected	
  in	
  changes	
  of	
  seismic-­‐wave	
  scattering	
  and	
  propagation.	
  Siggins	
  (2006)	
  
uses	
  three	
  different	
  sandstones,	
  two	
  synthetic	
  and	
  one	
  field	
  sample,	
  to	
  test	
  the	
  effects	
  of	
  confining	
  and	
  
pore	
  pressures	
  on	
  the	
  sandstones	
  that	
  mimic	
  in-­‐situ	
  reservoir	
  pressures.	
  The	
  three	
  different	
  sandstones	
  
include:	
  (1)	
  a	
  synthetic	
  sandstone	
  with	
  calcite	
  intergranular	
  cement,	
  (2)	
  a	
  synthetic	
  sandstone	
  with	
  silica	
  
intergranular	
  cement,	
  and	
  (3)	
  a	
  core	
  sample	
  from	
  the	
  Otway	
  Basin	
  Waare	
  Formation.	
  
	
  
Initially,	
  the	
  three	
  sandstones	
  were	
  tested	
  at	
  “room-­‐dried”	
  conditions,	
  using	
  confining	
  pressures	
  in	
  
increments	
  of	
  5MPa	
  and	
  up	
  to	
  65	
  MPa.	
  The	
  sandstones	
  were	
  then	
  flooded	
  with	
  CO2,	
  first	
  a	
  gas	
  phase	
  at	
  
a	
  pressure	
  of	
  6	
  Mpa	
  and	
  temperature	
  of	
  22	
  °C,	
  then	
  with	
  a	
  liquid	
  phase	
  at	
  pressures	
  from	
  7	
  Mpa	
  to	
  17	
  
Mpa	
  and	
  a	
  temperature	
  of	
  22	
  °C.	
  Both	
  P-­‐	
  and	
  S-­‐waves	
  were	
  recorded	
  at	
  each	
  effective	
  pressure	
  
increment	
  (where,	
  Peffective	
  =	
  Pconfining	
  –	
  Pore	
  Pressure)	
  and	
  velocity	
  versus	
  effective	
  pressure	
  responses	
  
were	
  calculated	
  from	
  the	
  experimental	
  data	
  for	
  both	
  P-­‐	
  and	
  S-­‐waves.	
  Attenuations	
  (Q-­‐1
)	
  were	
  calculated	
  
from	
  the	
  waveform	
  data.	
  Theoretical	
  calculations	
  of	
  velocity	
  as	
  a	
  function	
  of	
  effective	
  pressure	
  for	
  each	
  
of	
  the	
  sandstone	
  samples	
  were	
  determined.	
  	
  
	
  
When	
  compared	
  to	
  the	
  initial	
  dry,	
  unsaturated	
  state	
  of	
  the	
  sandstone	
  samples,	
  both	
  P-­‐	
  and	
  S-­‐wave	
  
velocities	
  decreased	
  by	
  approximately	
  8%	
  in	
  both	
  of	
  the	
  synthetic	
  sandstones	
  when	
  liquid	
  CO2	
  was	
  
injected.	
  However,	
  the	
  Waare	
  sample	
  only	
  showed	
  a	
  relative	
  decrease	
  in	
  S-­‐wave	
  velocities.	
  On	
  the	
  other	
  
hand,	
  attenuation	
  in	
  all	
  of	
  the	
  sandstones	
  increased	
  after	
  saturation	
  of	
  liquid	
  CO2.	
  The	
  experimental	
  
graphs	
  are	
  below	
  (Figure	
  2).	
  
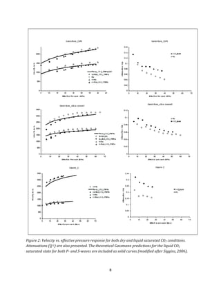
  7	
  
	
  
The	
  experiment	
  presented	
  by	
  Siggins	
  (2006)	
  is	
  similar	
  to	
  ours;	
  however	
  his	
  variable	
  is	
  effective	
  stress.	
  
The	
  case	
  study	
  can	
  be	
  applied	
  to	
  our	
  geophysical	
  solution	
  by	
  demonstrating	
  that	
  seismic	
  velocities	
  and	
  
their	
  associated	
  attenuations	
  are	
  quantifiable,	
  especially	
  if	
  we	
  want	
  to	
  be	
  able	
  to	
  determine	
  the	
  changes	
  
in	
  CO2	
  concentrations	
  of	
  a	
  reservoir	
  within	
  a	
  laboratory	
  environment.	
  Laboratory	
  experiments	
  are	
  a	
  key	
  
component	
  to	
  up	
  scaling	
  projects	
  that	
  can	
  be	
  used	
  in	
  the	
  field	
  environment.	
  	
  
	
  
  8	
  
	
  
Figure	
  2:	
  Velocity	
  vs.	
  effective	
  pressure	
  response	
  for	
  both	
  dry	
  and	
  liquid	
  saturated	
  CO2	
  conditions.	
  
Attenuations	
  (Q-­‐1)	
  are	
  also	
  presented.	
  The	
  theoretical	
  Gassmann	
  predictions	
  for	
  the	
  liquid	
  CO2	
  
saturated	
  state	
  for	
  both	
  P-­‐	
  and	
  S-­‐waves	
  are	
  included	
  as	
  solid	
  curves	
  (modified	
  after	
  Siggins,	
  2006).	
  
	
  
Gassmann predictions was particularly g
pressures. In the case of the silica-cemented
wasexcellentateffectivepressuresof20 MP
material required effective pressures of 27
agreement
and theory
discrepanci
to varying
aspect-ratio
and intergr
the rock st
of the calci
in the CIP
some water
Sass, 1999)
formation
pore space.
not take the
space into c
Waarre Fo
discrepancy
experiment
this sandst
had been
so significa
relief is to
attenuation
that of th
– is evide
Microstruc
have comp
integrity of
Fig. 4. Comparison of the velocity versus effective pressure response
for CIPS synthetic sandstone in the room-dried state with the CO2
saturated state. CO2
is in the gaseous phase at a temperature of 22°C
and a pore pressure of 6 MPa.
Fig. 5. Veloci
pressure resp
sandstones f
saturated) an
conditions. C
attenuations
presented. In
the liquid sta
of 22°C and
17 MPa. The
predictions f
saturated sta
waves are in
64
  9	
  
References	
  
Muller,	
  Tobias	
  M.,	
  Gurevich,	
  Boris,	
  and	
  Lebedev,	
  Maxim,	
  2010,	
  Seismic	
  wave	
  attenuation	
  and	
  
dispersion	
  resulting	
  from	
  wave-­‐induced	
  flow	
  in	
  porous	
  rocks	
  –	
  a	
  review:	
  Geophysics,	
  75,	
  1-­‐18.	
  
Prasad,	
  M.,	
  Zimmer,	
  M.	
  A.,	
  Berge,	
  P.A.,	
  and	
  Bonner,	
  B.P.,	
  2004,	
  Laboratory	
  measurements	
  of	
  
velocity	
  and	
  attenuation	
  in	
  sediments:	
  Society	
  of	
  Exploration	
  Geophysicists,	
  1-­‐34.	
  
Siggins,	
  Anthony	
  F.,	
  2006,	
  Velocity-­‐effective	
  stress	
  response	
  of	
  CO2-­‐saturated	
  sandstones:	
  
Exploration	
  Geophysics,	
  37,	
  60-­‐66.	
  
Wang,	
  Zhijing,	
  and	
  Nur,	
  Amos	
  M.,	
  1989,	
  Effects	
  of	
  CO2	
  flooding	
  on	
  wave	
  velocities	
  in	
  rocks	
  with	
  
hydrocarbons:	
  SPE	
  Reservoir	
  Engineering,	
  4,	
  429-­‐436.	
  
	
  
	
  

Team CO2 - Estimating Seismic Velocities and Attenuations of CO2 Saturated Sandstones

  • 1.
            Estimating  Seismic  Velocities  and  Attenuations     of  CO2  Saturated  Sandstones     Team  Name:  CO2   Team  Members:  Amarpaul  Bassi,  Li  Lam,  Sofya  Niyazova,  Julie  Truong     Geophysical  Solution   November  25,  2011                            
  • 2.
      2   Introduction   Often,  it  is  more  practical  to  determine  relationships  between  physical  parameters  on  a  laboratory  scale.     Compared  to  field  conditions,  laboratory  experiments  not  only  can  have  the  environmental  variables  be   carefully  controlled  but  the  costs  also  provide  an  additional  appealing  factor.    Once  a  relationship  is   formed,  it  can  be  applied  to  the  larger  scale  in  the  field  with  some  alterations  in  the  model.   In  this  case,  the  relationship  between  seismic  velocities  and  pore  pressure  are  experimentally   determined  by  mimicking  field  conditions  in  the  laboratory  with  differently  saturated  sandstone  cores   under  a  range  of  stress  settings.   Relevant  Geophysical  Parameters   The  geophysical  properties  that  we  concentrate  on  in  our  study  are  velocities  of  seismic  waves  and   attenuation  in  a  rock  material.   When  carbon  dioxide  (CO2)  is  injected  into  rocks,  the  characteristics  change  as  a  result  of  a  change  in   compressibility.    This  in  turn  affects  how  compressional  and  shear  seismic  waves  propagate  through  the   rock  (Wang  and  Nur,  1989).  The  Gassmann  equation  demonstrates  how  the  bulk  modulus  of  the   saturated  rock  is  related  to  the  bulk  modulus  of  the  rock  properties  and  the  pore  fluid  (Wang  and  Nur,   1989).    It  is  also  worthy  to  note  the  seismic  velocities  and  how  they  relate  the  bulk  modulus,  shear  modulus   and  density,   !! =   ! +  4 3 ! !                                            !! =   ! !   From  the  formulas,  it  can  be  seen  that  Vp  will  decrease  with  an  increase  in  CO2  injection.    When  the  pore   pressure  is  increased,  the  pores  are  kept  open  and  cancel  some  of  the  effects  of  confining  pressure.    As   a  result,  density  increases.    So  Vp  and  Vs  will  have  lower  magnitudes  when  pore  pressure  is  high  (Wang   and  Nur,  1989).  Shear  wave  velocity  decreases  but  in  a  lower  magnitude  compared  to  Vp.    As  well,   dissolution  of  CO2  in  the  original  fluid  increases  density,  resulting  in  decreased  Vp  and  Vs.     Attenuation  is  the  decrease  in  energy  of  the  seismic  wave  as  it  propagates  through  the  rock  (Prasad  et   al,  2004).  The  fluids  in  the  pore  spaces  cause  attenuation  and  dispersion  of  body  waves  (Muller  et  al,   2010).    As  a  wave  propagates  through  a  medium,  it  produces  a  pressure  gradient,  which  causes  the  fluid   to  move.    As  the  fluid  passes  by  the  solid  particles,  friction  results  and  energy  is  lost.   Survey  Technique  for  Acquiring  Data   The  main  survey  technique  that  we  use  in  our  study  is  propagation  of  seismic  waves  through  a  core  rock   sample.  The  laboratory  experiment  is  set  up  to  determine  the  relationship  between  the  velocities  and   attenuation  of  seismic  waves  and  CO2  concentration  in  the  reservoir  rock.  The  experiment  technique   Vp  =  compressional  wave  velocity   Vs  =shear  wave  velocity   K  =  bulk  modulus  (incompressibility)   μ  =  shear  modulus  (rigidity)   ρ  =  density  
  • 3.
      3   consists  of  injecting  CO2  into  the  core  sample,  shooting  P-­‐  and  S-­‐  waves  through  the  sample  and   detecting  the  changes  in  velocities  and  attenuation  of  the  waves.   Changes  in  seismic  velocities  and  the  degree  of  attenuation  are  dependent  upon  the  effective  stress   regime  of  the  rock  and  the  chemistry  of  the  fluid.    The  effective  stress  regime  is  the  result  of  total   regional  stress  minus  pore  pressure  of  the  rock,   Effective  stress  =  Total  regional  stress  –  Pore  pressure   The  effective  stress  regime  of  the  core  sample  is  changed  once  it  is  brought  to  the  surface.  The  total   regional  stress  can  be  approximated  by  the  rock  column  above  the  core  sample  and  simulated  in  the   laboratory  environment  via  a  rock  compressor.       The  pore  pressure  is  dependent  upon  the  degree  of  saturation  with  original  fluids,  the  amount  of   injected  CO2,  and  with  the  fluid  type  in  the  rock.  The  degree  of  saturation  with  original  fluids  is  easily   simulated  in  the  laboratory  environment  by  drying  and  soaking  the  core  sample  in  water.    The  injected   CO2  fills  in  the  free  pore  space  resulting  in  the  build  up  of  the  pore  pressure.    After  a  critical  pore   pressure  is  reached,  it  starts  dissolving  into  the  fluid  thus  changing  the  original  fluid  type.     The  concentration  of  CO2  is  manifested  through  the  amount  of  the  gas  injected  leading  to  a  pore   pressure  build  up.  Thus  the  pore  pressure  is  proportionally  related  to  the  amount  of  injected  CO2,  and   the  relationship  can  be  mathematically  derived.    The  amount  of  CO2  dissolved  in  the  fluid  is  also  a   function  of  the  amount  of  the  injected  CO2  and  the  relationship  can  also  be  mathematically  derived.  The   experimental  injection  of  CO2  changes  the  pore  pressure  and  the  fluid  type,  thus  affecting  the  velocities   and  the  degree  of  attenuation  of  seismic  waves.     Due  to  the  limiting  size  of  the  core,  the  experiment  is  limited  to  high  frequency  seismic  waves  with  a   short  wavelength  in  order  to  be  able  to  resolve  the  parameters  in  question.  Those  types  of  waves  are   created  by  a  seismic  transducer.  The  transmitter  is  placed  at  one  end  of  the  core  and  the  receivers  are   placed  at  the  opposite  end,  which  record  the  velocities  of  P-­‐  and  S-­‐waves  and  their  corresponding   attenuation.  Based  on  the  results,  the  relationship  between  the  velocities  and  attenuation  of  seismic   waves  and  CO2  concentration  in  core  sample  is  determined.   Detailed  Experimental  Description   The  experiment  is  applied  to  a  homogeneous,  1  meter  in  length  sandstone  core.  Being  porous,   sandstone  is  a  very  suitable  rock  type  for  a  sequestration  reservoir.  The  CO2  is  injected  at  a  gas  phase.   The  degree  of  saturation  with  original  fluids  affects  the  amount  of  CO2  to  be  injected.  To  minimize  the   complexity  involving  varying  levels  of  saturation,  three  limiting  cases  of  saturation  levels  will  be  studied.   Water  is  taken  as  an  original  fluid.      
  • 4.
      4   Table  1:  Three  limiting  cases  of  saturation  levels   Case  1   Case  2   Case  3   0%  saturation.  The  core  is   completely  dry.  The  injected  CO2   fills  in  the  free  pore  space.   100%  saturation.  The  core  is   completely  soaked  in  water.  The   injected  CO2  dissolves  into  the   water.   50%  saturation† .  The  core  is  half   soaked.  Initially,  the  injected  CO2   fill  in  the  free  pore  space  and   after  the  critical  pressure  is   reached,  starts  dissolving  into   the  water.     †   The  difference  in  weight  between  the  dry  and  fully  saturated  core  sample  is  the  amount  of  water  soaked  up.  50%   saturation  is  obtained  by  letting  the  core  sit  and  evaporate  water  until  half  of  the  initially  soaked  water  remains,   indicated  by  the  mean  weight  between  the  dry  and  fully  soaked  sample.       The  total  regional  stress  is  approximated  by  the  rock  column  above  the  location  from  where  the  core   sample  is  retrieved,  and  is  simulated  by  Grigg’s  Rig  –  Uniaxial  Compression.  The  core  sample  is  placed   into  a  rigid  walled  cylinder  and  a  press  of  a  specific  weight,  which  is  equivalent  to  the  total  regional   stress,  is  mounted  on  top.  A  range  of  total  regional  stresses  is  simulated  for  each  of  the  three  cases.    By   doing  this,  the  approximately  computed  total  regional  stress  and  the  thickness  of  the  reservoir  unit  are   accounted  for.  For  illustration,  the  range  total  regional  stresses  is  denoted  (MPa1,  MPa2,...,MPan)  and   the  table  below  summarizes  the  experiment  runs.   Table  2:        Experimental  runs  where,  Vp  =  velocity  of  P-­‐wave;  Vs  =  velocity  of  S-­‐wave;  Ap  =  attenuation  of   P-­‐wave;  As  =  attenuation  of  S-­‐wave   Total  regional   stress   Case  1  -­‐  0%  saturation   Case  2    -­‐  100%  saturation   Case  3    -­‐  50%  saturation   Run  at  MPa1   Measure  Vp,    Vs,  Ap,  As   Measure  Vp,    Vs,  Ap,  As   Measure  Vp,    Vs,  Ap,  As   Run  at  MPa2   Measure  Vp,    Vs,  Ap,  As   Measure  Vp,    Vs,  Ap,  As   Measure  Vp,    Vs,  Ap,  As   ...   Measure  Vp,    Vs,  Ap,  As   Measure  Vp,    Vs,  Ap,  As   Measure  Vp,    Vs,  Ap,  As   Run  at  MPan   Measure  Vp,    Vs,  Ap,  As   Measure  Vp,    Vs,  Ap,  As   Measure  Vp,    Vs,  Ap,  As     For  every  case,  each  run  of  total  regional  stress  CO2  is  injected  in  fixed  incremental  amounts  and  the   corresponding  pore  pressure  is  measured.  After  each  injection,  P-­‐  and  S-­‐waves  are  shot  through  the   core  and  their  velocities  (Vp  and  Vs)  and  corresponding  attenuations  (Ap  and  As)  are  recorded.  The  waves   are  created  via  a  seismic  transducer.    The  transmitter  is  placed  at  one  end  of  the  core  and  the  receivers   are  placed  at  the  opposite  end.      For  identification  of  any  dependency  of  the  seismic  waves  on  their   wavelength,  the  P-­‐  and  S-­‐waves  are  shot  at  a  range  of  frequencies  (f1,  f2,  ...  ,fn).  According  to  the  wave   theory  the  relationship  between  the  wavelength  and  frequency  is:   ! = ! !   Where  !  is  wavelength,  !  is  frequency,  and  !  is  the  velocity  of  propagation  through  the  core.  Since  the   wave  velocity  (!)  is  being  measured,  then  by  varying  frequencies,  different  wavelengths  are  produced.    
  • 5.
      5   Since  the  core  is  1  meter  in  length,  the  maximum  wavelength  limit  is  the  length  of  the  core.  Therefore,   in  order  to  obtain  proper  measurements  the  last  frequency  (fn)  is  such  that  produces  the  maximum   wavelength  of  1  meter.  The  initial  frequency  (f1)  is  set  at  experimenter’s  discrepancy.  The  CO2  is  injected   and  the  measurements  are  taken  until  the  pore  pressure  equates  the  total  regional  stress.    Below  is  the   table  of  the  experiment  measurements  for  Case  1.  The  incremental  CO2  injection  is  denoted  as  Xg:     Table  3:  Experimental  measurements  for  case  1  for  a  range  of  total  regional  stresses   Case  1  -­‐  0%  saturation:  Run  at  total  regional  stress  of  MPan     CO2   injection   Pore   Pressure   f1   f2   …   fn   1   Xg    CO2   PpX   Vs1,  Vp1,  Ap1,  As1     Vs2,  Vp2,  Ap2,  As2   Vs…,  Vp…,  Ap…,  As…   Vsn,  Vpn,  Apn,  Asn   2   2Xg  CO2   Pp2X   Vs1,  Vp1,  Ap1,  As1   Vs2,  Vp2,  Ap2,  As2   Vs…,  Vp…,  Ap…,  As…   Vsn,  Vpn,  Apn,  Asn   3   3Xg  CO2   Pp3X   Vs1,  Vp1,  Ap1,  As1   Vs2,  Vp2,  Ap2,  As2   Vs…,  Vp…,  Ap…,  As…   Vsn,  Vpn,  Apn,  Asn   …   …   …   …   …   …   …   n   nX  g  CO2   PpnX  =  MPa1   Vs1,  Vp1,  Ap1,  As1   Vs2,  Vp2,  Ap2,  As2   Vs…,  Vp…,  Ap…,  As…   Vsn,  Vpn,  Apn,  Asn   The  same  data  parameters  are  collected  for  a  range  of  different  total  regional  stresses  for  each  case.  The   above  experiment  measurements  are  also  repeated  for  other  two  cases:  100%  saturation  and  50%   saturation.  However,  based  on  the  fact  that  S-­‐waves  do  not  propagate  through  fluids,  for  Case  2  -­‐  100%   saturation,  only  P-­‐wave  velocity  and  P-­‐waves  attenuation  are  measured.   Once  the  experimental  data  is  collected  the  scatter  plots  for  each  of  the  three  cases  are  graphed  and  the   relationships  are  mathematically  derived  though  best  fitted  curves.  For  Case  2  -­‐  100%  saturation,  only  Vp   and  Ap  are  measured.  The  relationships  are:   1) Vp  and  Vs  versus  Pp  at  a  specific  frequency.       2) Ap  and  As  versus  Pp  at  a  specific  frequency.   3) Vp  and  Vs  versus  f  at  a  specific  Total  regional  stress.   4) Ap  and  As  versus  f  at  a  specific  Total  regional  stress.       1) Vp  and  Vs  versus  Pp  at  a  specific  frequency   2) Ap  and  As  versus  Pp  at  a  specific  frequency        
  • 6.
      6   3)Vp  and  Vs  versus  f  at  a  specific  Total  regional  stress   4) Ap  and  As  versus  Pp  at  a  specific  Total  regional  stress       Figure  1:  The  illustration  graphs  for  each  relationship  are  presented.   Determination  of  the  first  two  relationships  is  the  main  goal  of  the  experiment,  whereas  the  last  two   relationships  are  important  supplementary  information  needed  for  calibration  of  obtained  velocities  and   attenuations.  By  knowing  the  relationship  between  the  seismic  wave  velocities,  attenuation  and  the   pore  pressure,  one  might  use  this  knowledge  to  calculate  the  concentration  of  CO2  present  in  the  core.     Case  Study  Support     Geological  formations  that  are  subjected  to  saturation  of  CO2  will  cause  changes  in  seismic  velocities  and   attenuation,  which  is  reflected  in  changes  of  seismic-­‐wave  scattering  and  propagation.  Siggins  (2006)   uses  three  different  sandstones,  two  synthetic  and  one  field  sample,  to  test  the  effects  of  confining  and   pore  pressures  on  the  sandstones  that  mimic  in-­‐situ  reservoir  pressures.  The  three  different  sandstones   include:  (1)  a  synthetic  sandstone  with  calcite  intergranular  cement,  (2)  a  synthetic  sandstone  with  silica   intergranular  cement,  and  (3)  a  core  sample  from  the  Otway  Basin  Waare  Formation.     Initially,  the  three  sandstones  were  tested  at  “room-­‐dried”  conditions,  using  confining  pressures  in   increments  of  5MPa  and  up  to  65  MPa.  The  sandstones  were  then  flooded  with  CO2,  first  a  gas  phase  at   a  pressure  of  6  Mpa  and  temperature  of  22  °C,  then  with  a  liquid  phase  at  pressures  from  7  Mpa  to  17   Mpa  and  a  temperature  of  22  °C.  Both  P-­‐  and  S-­‐waves  were  recorded  at  each  effective  pressure   increment  (where,  Peffective  =  Pconfining  –  Pore  Pressure)  and  velocity  versus  effective  pressure  responses   were  calculated  from  the  experimental  data  for  both  P-­‐  and  S-­‐waves.  Attenuations  (Q-­‐1 )  were  calculated   from  the  waveform  data.  Theoretical  calculations  of  velocity  as  a  function  of  effective  pressure  for  each   of  the  sandstone  samples  were  determined.       When  compared  to  the  initial  dry,  unsaturated  state  of  the  sandstone  samples,  both  P-­‐  and  S-­‐wave   velocities  decreased  by  approximately  8%  in  both  of  the  synthetic  sandstones  when  liquid  CO2  was   injected.  However,  the  Waare  sample  only  showed  a  relative  decrease  in  S-­‐wave  velocities.  On  the  other   hand,  attenuation  in  all  of  the  sandstones  increased  after  saturation  of  liquid  CO2.  The  experimental   graphs  are  below  (Figure  2).  
  • 7.
      7     The  experiment  presented  by  Siggins  (2006)  is  similar  to  ours;  however  his  variable  is  effective  stress.   The  case  study  can  be  applied  to  our  geophysical  solution  by  demonstrating  that  seismic  velocities  and   their  associated  attenuations  are  quantifiable,  especially  if  we  want  to  be  able  to  determine  the  changes   in  CO2  concentrations  of  a  reservoir  within  a  laboratory  environment.  Laboratory  experiments  are  a  key   component  to  up  scaling  projects  that  can  be  used  in  the  field  environment.      
  • 8.
      8     Figure  2:  Velocity  vs.  effective  pressure  response  for  both  dry  and  liquid  saturated  CO2  conditions.   Attenuations  (Q-­‐1)  are  also  presented.  The  theoretical  Gassmann  predictions  for  the  liquid  CO2   saturated  state  for  both  P-­‐  and  S-­‐waves  are  included  as  solid  curves  (modified  after  Siggins,  2006).     Gassmann predictions was particularly g pressures. In the case of the silica-cemented wasexcellentateffectivepressuresof20 MP material required effective pressures of 27 agreement and theory discrepanci to varying aspect-ratio and intergr the rock st of the calci in the CIP some water Sass, 1999) formation pore space. not take the space into c Waarre Fo discrepancy experiment this sandst had been so significa relief is to attenuation that of th – is evide Microstruc have comp integrity of Fig. 4. Comparison of the velocity versus effective pressure response for CIPS synthetic sandstone in the room-dried state with the CO2 saturated state. CO2 is in the gaseous phase at a temperature of 22°C and a pore pressure of 6 MPa. Fig. 5. Veloci pressure resp sandstones f saturated) an conditions. C attenuations presented. In the liquid sta of 22°C and 17 MPa. The predictions f saturated sta waves are in 64
  • 9.
      9   References   Muller,  Tobias  M.,  Gurevich,  Boris,  and  Lebedev,  Maxim,  2010,  Seismic  wave  attenuation  and   dispersion  resulting  from  wave-­‐induced  flow  in  porous  rocks  –  a  review:  Geophysics,  75,  1-­‐18.   Prasad,  M.,  Zimmer,  M.  A.,  Berge,  P.A.,  and  Bonner,  B.P.,  2004,  Laboratory  measurements  of   velocity  and  attenuation  in  sediments:  Society  of  Exploration  Geophysicists,  1-­‐34.   Siggins,  Anthony  F.,  2006,  Velocity-­‐effective  stress  response  of  CO2-­‐saturated  sandstones:   Exploration  Geophysics,  37,  60-­‐66.   Wang,  Zhijing,  and  Nur,  Amos  M.,  1989,  Effects  of  CO2  flooding  on  wave  velocities  in  rocks  with   hydrocarbons:  SPE  Reservoir  Engineering,  4,  429-­‐436.