Laporan Praktikum
Multivariate
Uji T2
Hotelling Pada Data Tabungan, Deposito, dan
Giro di Bank Jatim Surabaya
Oleh:
1. Ratnajulie Yatnaningtyas (1312 100 026)
2. Widi Iswara Darmalaksana (1312 100 126)
Asisten:
Farida Islamiah
(1313 201 007)
JURUSAN STATISTIKA
FAKULTAS MATEMATIKA DAN ILMU PENGETAHUAN ALAM
INSTITUT TEKNOLOGI SEPULUH NOPEMBER
SURABAYA
2015
ii
ABSTRAK
Lembaga perbankan adalah lembaga keuangan yang menjadi perantara antara pihak yang
mempunyai kelebihan dana dengan pihak yang membutuhkan atau kekurangan dana.
Dalam prakteknya, pihak Bank memberikan kemudahan kemudahan dalam traksaksinya,
agar nasabah dapat bertransaksi dalam jumlah besar maupun kecil dengan aman. Layanan
dari bank yang diberikan giro, deposito maupun tabungan. Dengan ilmu statistika
memberikan peranan mengolah informasi yang ada pada data. Sebuah data mempunyai
informasi dasar yang terangkum dalam statistika deskriptif dan memerlukan pengujian
kenormalan agar metode yang digunakan tepat dan informasi yang diberikan dapat
dipertanggungjawabkan kebenarannya. Selain menguji kenormalan diperlukan metode
untuk menguji rata-rata dugaan dan populasi dengan menggunakan T2
Hotelling. Pada
penelitian ini data yang digunakan merupakan data sekunder dari data giro, deposito dan
tabungan dari Bank Jatim. Ketiga data yang diuji tidak memiliki data outlier dan
variansnya relatif kecil. Selain itu ketiga data juga tidak berdistribusi normal univariat
dan dengan metode T2
Hotelling menunjukkan rata-rata dugaan tidak sama dengan nilai
rata-rata populasi, yang disebabkan karena rata-rata dugaan pada data deposito dan data
tabungan sebesar tidak masuk dalam T2
interval.
Kata kunci: deposito, deskriptif, giro, hotelling, interval, outlier, tabungan, univariat
iii
DAFTAR ISI
HALAMAN JUDUL..........................................................................................i
ABSTRAK..........................................................................................................ii
DAFTAR ISI....................................................................................................iiii
DAFTAR GAMBAR..........................................................................................v
BAB I PENDAHULUAN
1.1 Latar Belakang ...........................................................................................2
1.2 Rumusan Masalah ......................................................................................2
1.3 Tujuan........................................................................................................2
1.4 Manfaat ......................................................................................................2
BAB II TINJAUAN PUSTAKA
2.1 Tinjauan Statistika......................................................................................3
2.1.1 Statistika Deskriptif............................................................................3
2.1.2 Uji Normal Univariate dengan menggunakan Anderson Darling ........5
2.1.3 Uji T2
Hotelling..................................................................................6
2.2 Tinjauan Non Statistik ................................................................................7
2.2.1 Giro ...................................................................................................7
2.2.2 Tabungan ...........................................................................................7
2.2.3 Deposito.............................................................................................7
BAB III METODOLOGI PENELITIAN
3.1 Sumber Data...............................................................................................9
3.2 Variabel Penelitian .....................................................................................9
3.3 Langkah Analisis........................................................................................9
3.4 Diagram Alir ............................................................................................ 10
BAB IV PEMBAHASAN
4.1 Statistika Deskriptif.................................................................................. 11
4.1.1 Statistika Deskriptif pada Data Giro ................................................. 11
4.1.2 Statistika Deskriptif pada Data Deposito .......................................... 12
4.1.3 Statistika Deskriptif pada Data Tabungan......................................... 13
4.2 Uji Normal Univariat................................................................................ 14
4.2.1 Uji Normal Univariat pada Data Giro............................................... 14
4.2.2 Uji Normal Univariat pada Data Deposito........................................ 14
iv
4.2.3 Uji Normal Univariat pada Data Tabungan....................................... 15
4.3 Uji T2
Hotelling........................................................................................ 16
BAB V KESIMPULAN DAN SARAN
5.1 Kesimpulan .............................................................................................. 20
5.2 Saran........................................................................................................ 20
DAFTAR PUSTAKA....................................................................................... 21
LAMPIRAN
v
DAFTAR GAMBAR
Gambar 3.1 Diagram Alir ................................................................................10
Gambar 4.1 Output Minitab Statistika Deskriptif pada Data Giro......................11
Gambar 4.2 Boxplot Data Giro.........................................................................11
Gambar 4.3 Output Minitab Statistika Deskriptif pada Data Deposito...............12
Gambar 4.4 Boxplot pada Deposito ..................................................................12
Gambar 4.5 Output Minitab Statistika Deskriptid pada Data Deposito..............13
Gambar 4.6 Boxplot Data Deposito ..................................................................13
Gambar 4.7 Probability Plot data Giro..............................................................14
Gambar 4.8 Probability Plot data Deposito.......................................................15
Gambar 4.9 Probability Plot data Tabungan......................................................16
1
BAB I
PENDAHULUAN
1.1 Latar Belakang
Lembaga perbankan adalah lembaga keuangan yang menjadi perantara antara
pihak yang mempunyai kelebihan dana (surplus of funds) dengan pihak yang
membutuhkan atau kekurangan dana (lacks of funds). Hal ini tentunya
membutuhkan dana yang tidak sedikit dalam menjalankan kegiatan usaha atau
operasionalnya. Dalam prakteknya, pihak Bank memberikan kemudahan
kemudahan dalam traksaksinya, agar nasabah dapat bertransaksi dalam jumlah
besar maupun kecil dengan aman. Seperti Giro yang diperuntukan untuk nasabah
perorangan dan perusahaan yang dapat membantu memudahkan pembayaran
transaksi bisnis dengan cepat, mudah dan aman (Panin, 2015). Sekaligus,
penarikannya dapat dilakukan setiap saat dengan menggunakan cek, bilyet giro,
ataupun sarana perintah pembayaran lainnya sesuai ketentuan yang ditetapkan
(Mandiri, 2015). Selain Giro, Bank juga memberikan pelayanan berupa tabungan,
dimana didalam tabungan, masyarakat dapat menyimpan uangnya dengan aman,
yang dapat ditarik setiap saat. Sedangkan pada Deposito merupakan simpanan
berjangka yang bisa dilakukan penarikan sesuai dengan waktu yang telah
disepakati. Kemudahan layanan Fungsi untuk mencari dan menghimpun dana dari
masyarakat dalam bentuk simpanan memegang peranan penting terhadap
pertumbuhan suatu bank, sebab volume dana yang berhasil dihimpun atau
disimpan tentunya akan menentukan pula volume dana yang dapat dikembangkan
oleh bank tersebut dalam bentuk penanaman dana yang menghasilkan, misalnya
dalam bentuk pemberian kredit, pembelian efek-efek, atau surat-surat berharga
dipasar uang.
Dengan menggunakan ilmu statistika yang merupakan ilmu yang mempelajari
tentang bagaimana merancang, mendapatkan, mengolah dan menginterpretasikan
data yang memiliki ketidakpastian (Husein, 2003). Dimana data merupakan
sekumpulan datum yang berisi keterangan atau informasi seperti yang telah
terekam pada data diro, deposito dan tabungan, memerlukan suatu metode tertentu
agar dapat memberikan informasi yang diharapkan.
2
Tidak semua data yang diterekam memiliki kenormalan dan kepastian. Oleh
karena itu untuk menguji dan mendapatkan informasi dengan metode yang tepat
dari sebuah data, diperlukan uji kenormalan untuk melihat apakah data tersebut
berdistribusi normal atau tidak. Selain melihat kenormalan suatu data, diperlukan
informasi dasar dari sebuah data yang meliputi pemusatan dan penyebaran data
atau biasa dirangkum dalam statistika deskriptif. Untuk menguji apakah rata-rata
yang sampe yang ada pada data dapat merepresentasikan rata-rata pada data
populasi maka untuk mengujinya digunakan T2
Hotelling.
Didalam penelitian ini, akan dibahas mengenai informasi dasar suatu data,
kenormalan data dan perbandingan antara rata-rata sampel dengan rata-rata
populasi, dari data giro, deposito dan tabungan yang saling berhubungan.
1.2 Rumusan Masalah
Dari latar belakang, rumusan masah yang dapat diambil adalah,
1. Bagaimana analisis statistika deskriptif pada data tabungan, deposito, dan
giro?
2. Apakah data tabungan, deposito, dan giro berdistribusi normal univariat?
3. Berapa statistik uji T2
Hotelling pada data tabungan, deposito, dan giro?
1.3 Tujuan
Dari rumusan masalah, tujuan yang dapat diambil adalah,
1. Mengetahui statistika deskriptif pada data tabungan, deposito, dan giro?
2. Mengetahui data tabungan, deposito, dan giro berdistribusi normal
univariat?
3. Mengetahui statistik uji T2
Hotelling pada data tabungan, deposito, dan
giro?
1.4 Manfaat
Dari modul multivariat ini, manfaat yang didapatkan adalah
1. Mahasiswa dapat menerapkan dan mengimplementasikan software yang
berkaitan dengan deskriptif statistik
2. Mahasiswa lebih mengerti, bagaimana cara menunjukkan apakah sebuah
data berdistribusi normal atau tidak.
3. Mahasiswa dapat menganalisis kebenaran rata-rata data dari sampel yang
diambil dapat merepresentasikan data dari populasi.
3
BAB II
TINJAUAN PUSTAKA
2.1 Tinjauan Statistika
Tinjauan statistika yang digunakan dalam praktikum ini adalah
2.1.1 Statistika Deskriptif
Pengertian statistika deskriptif adalah metode statistika yang
digunakan untuk menggambarkan atau mendeskripsikan data yang telah
dikumpulkan menjadi sebuah informasi
Dalam statistika deskriptif terdapat dua ukuran yaitu ukuran
pemusatan data dan ukuran penyebaran data
1. Ukuran Pemusatan Data
Ukuran pemusatan adalah nilai tunggal yang mewakili suatu
kumpulan data dan menunjukkan karakteristik dari data meliputi
mean (rataan), median (nilai pembatas separuh data), modus
(ukuran yang sering muncul) dan lainnya.
a. Mean
Mean adalah rata-rata dari beberapa buah data, nilai mean
dapat membagi jumlah data dengan banyaknya data (walpole,
1995)
Mean data tunggal merupakan jumlah nilai data dibagi
dengan banyaknya data. Mean dirumuskan sebagai berikut:
Untuk data tunggal
=
∑
(2.1)
Keterangan
=Rata-rata
= banyaknya data
= data ke i
Untuk data kelompok
=
∑
∑
(2.2)
Keterangan
=Rata-rata
4
∑ = jumlah seluruh frekuensi
= data ke i
b. Median
Median adalah nilai tengah dari segugus data yang telah
diurutkan mulai yang terkecil sampai terbesar atau terbesar
sampai terkecil. Dengan kata lain median adalah nilai yang
tepat di tengah jika banyaknya data ganjil atau rata-rata dari
dua nilai yang berada di tengah jika banyaknya data genap.
Untuk data tunggal
= (2.3)
Untuk data berkelompok
+
( )
(2.4)
= median
= batas bawah
= banyaknya data
= lebar kelas
= frekuensi kelas sebelum median
= frekuensi median
c. Modus
Modus adalah nilai yang paling sering terjadi atau yang
mempunyai frekuensi paling tinggi.
Untuk data tunggal nilai modus diambil dari nilai yang paling
sering muncuk.
Untuk data kelompok menggunakan rumus:
= + (2.5)
Keterangan
= Modus
= batas bawah modus
= lebar kelas
5
=selisih frekuensi kelas modus dengan frekuensi kelas
sebelumnya
=selisih frekuensi kelas modus dengan frekuensi kelas
berikutnya
2. Ukuran Penyebaran Data
Ukutan peneyebaran adalah derajat atau ukuran sampai
seberapa jauh data numeric cenderung untuk tersebar disekitar
nilai rata-ratanya. Ukuran penyebaran data yang paling banyak
digunakan adalah jangkauan (range), variansi (variance),
simpangan baku (standar deviasi).
a. Jangkauan (range)
Range adalah selisih bilangan terbesar dan terkecil dari
suatu kumpulan data. Rumus yang digunakan dalam
menghitung range adalah
= − (2.6)
= jangkauan
= nilai data terbesar
= nilai data terkecil
b. Variansi
Variansi adalah suatu besaran yang mengukur besarnya
ragam data. Semakin besar ragam data maka nilai variansi
semakin besar demikian sebaliknya. Dalam dunia industi,
varians disebut juga ukuran presisi dan rata-rata sebagai
akurasi proses. Rumus yang digunakan untuk menghitung
variansi adalah
=
∑ ( )
(2.7)
S2
= variansi
n = banyaknya data
= nilai data ke-i
= rata-rata
6
c. Standar deviasi
Standar deviasi adalah akar dari varians. rumus yang
digunakan untuk menghitung stardar deviasi adalah
=
∑ ( )
(2.8)
S = standar baku
n = banyaknya data
= nilai data ke-i
= rata-rata
2.1.2 Uji Normal Univariate dengan menggunakan Anderson Darling
Uji anderson darling digunakan sebagai uji kenormalan atau kebaikan
(goodness of fit) untuk peubah kuantitatif. Uji anderson darling memiliki
kelebihan dibandingkan uji K-S dimana pada uji anderson darling lebih
sensitif dibandingkan uji K-S
: data mengikuti distribusi normal
: data tidak mengikuti distribusi normal
Rumus uji anderson darling adalah
= − − (2.9)
Dimana = ∑ ([+ ln 1 − ( ) ]
2.1.3 Uji T2
Hotelling
Jika vektor random
~
Y berdistribusi multinormal  VN ,
~
 dan matriks
random Q berdistribusi Wishart 





vV
v
Wp ,
1
dengan
~
Y dan Q berdistribusi
saling bebas, maka variabel random
~
1
~
2
YYT
t 
 Q adalah variabel random
berdistribusi Hotelling –T2
.
Uji T2
Hotelling digunakan untuk menguji nilai mean dugaan apakah
sama dengan mean populasi
: =
: ≠
Rumus dari statistik uji T2
Hotelling adalah
= ( − ) ( − ) (2.10)
7
dimana
=
1
, =
1
− 1
− − = .
.
dengan kaidah pengambilan keputusan
 
 
 
 pnp
pnp
F
pn
pn
TjikaditerimaH
F
pn
pn
TjikaditolakH








,;
2
0
,;
2
0
1
:
1
:


(2.11)
di mana : *  pnpF ,; adalah batas bawah  100% atas distribusi F dengan
derajat bebas p dan  pn 
2.2 Tinjauan Non Statistik
Tinjauan non statistik yang digunakan dalam praktikum ini adalah
2.2.1 Giro
Giro adalah suatu istilah perbankan untuk suatu cara pembayaran yang
berupa surat perintah untuk memindahbukukan sejumlah uang dari rekening
seseorang kepada rekening lain yang ditunjuk surat tersebut. Giro diberikan
oleh pihak pembayar ke bank selanjutnya akan ditransfer kepada pihak
penerima
2.2.2 Tabungan
Tabungan adalah simpanan yang penarikannya hanya dapat dilakukan
menurut syarat tertentu yang disepakati tetapi tidak dapat ditarik dengan cek,
bilyet giro
2.2.3 Deposito
Deposito atau yang sering juga disebut sebagai deposito berjangka,
merupakan produk bank sejenis jasa tabungan yang biasanya ditawarkan
kepada masyarakat. Deposito biasanya memiliki jangka waktu tertentu
dimana uang didalamnya tidak boleh ditarik oleh nasabah. Deposito baru bisa
dicairkan sesuai dengan tanggal jatuh tempo, bila deposito dicairkan sebelum
tanggal jatuh tempo maka akan kena penalti.
Deposito juga dapat diperpanjang secara otomatis dengan menggunakan
sistem ARO. Deposito akan diperpanjang otomatis setelah jatuh tempo,
8
sampai pemiliknya mencairkan depositonya. Bunga deposito biasanya lebih
tinggi daripada bunga tabungan biasa. Bunga dapat diambil setelah tanggal
jatuh tempo atau dimasukkan lagi ke pokok deposito untuk didepositokan lagi
pada periode berikutnya.
9
BAB III
METODOLOGI PENELITIAN
3.1 Sumber Data
Sumber data yang digunakan pada modul ini merupakan data sekunder yang
diambil dari Data Tugas Akhir Analisis Peramalan Terhadap Tabungan, Deposito,
dan Giro di Bank Jatim Surabaya dengan Menggunakan Metode ARIMA Box-
Jenkins yang ditulis oleh Hellga Saputra tahun 2007.
3.2 Variabel Penelitian
Dalam penelitian ini, ada 3 variabel penelitian yang digunakan, yaitu
=
=
=
3.3 Langkah Analisis
1. Mengumpulkan data
2. Mengiiput data ke dalam Microsoft Excel
3. Mengolah data dengan menggunakan software minitab.
4. Menguji distribusi normal univariat masing-masing data penelitian.
5. Mencari nilai T2
Hotelling, apabila tolak H0 maka dilanjutkan dengan uji
T2
Interval.
6. Membuat kesimpulan
10
3.4 Diagram Alir
Gambar 3.1 diagram alir
Ya
Tidak
Mulai
Mengumpulkan data
Mengimput data ke dalam Microsoft Excel
Mengolah data dengan menggunakan software minitab.
Menguji distribusi normal univariat masing-masing data penelitian
Selesai
T2
Hotelling
Menghitung T2
Interval
Membuat kesimpulan
11
BAB IV
PEMBAHASAN
4.1 Statistika Deskriptif
4.1.1 Statistika Deskriptif pada Data Giro
Untuk menguji statistika deskriptif pada data giro maka digunakan
software Minitab.
Gambar 4.1 Output Minitab statistika deskriptif pada data Giro
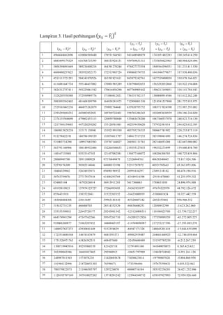
Pada gambar 4.1 menunjukkan bahwa data Giro memiliki mean sebesar
3019796 dan nilai tengah sebesar 3439651 kuartil pertama (Q1) sebesar
2120879 dan kuartil ketiga (Q3) sebesar 3915536. Sedangkan variansi yang
menunjukkan data Giro memiliki keragaman data yang kecil yaitu sebesar
1.304.
Untuk menunjukkan apakah suatu data memiliki data yang outlier,
output software minitab menunjukkannya dengan gambar boxplot seperti
pada gambar 4.2 berikut
Gambar 4.2 Boxplot data Giro
4500000
4000000
3500000
3000000
2500000
2000000
1500000
1000000
500000
Giro
Boxplot of Giro
Descriptive Statistics: Giro
Variable Mean SE Mean Variance Minimum Q1 Median Q3
Giro 3019796 147440 1,30431E+12 610565 2120879 3439651 3915536
12
Pada gambar 4.2 menunjukkan bahwa data giro tidak memiliki data
yang outlear¸ sehingga dapat dikatakan bahwa data giro berada dalam batas
data UIF (upper innerfence) dan LIF(lower innerfence). Pada gambar boxplot
menunjukkan bahwa data berdistribusi left skewness.
4.1.2 Statistika Deskriptif pada Data Deposito
Untuk menguji statistika deskriptif pada data deposito maka digunakan
software Minitab.
Gambar 4.3 Output Minitab statistika deskriptif pada data deposito
Pada gambar 4.3 menunjukkan bahwa data deposito memiliki mean
sebesar 1150104 dan nilai tengah sebesar 1335129 kuartil pertama (Q1)
sebesar 752572 dan kuartil ketiga (Q3) sebesar 1480722. Sedangkan variansi
yang menunjukkan data deposito memiliki keragaman data yang kecil yaitu
sebesar 2.562.
Untuk menunjukkan apakah suatu data memiliki data yang outlier,
output software minitab menunjukkannya dengan gambar boxplot seperti
pada gambar 4.4 berikut
Gambar 4.4Boxplot data deposito
Pada gambar 4.4 menunjukkan bahwa data deposito tidak memiliki data
yang outlier¸ sehingga dapat dikatakan bahwa data deposito berada dalam
2000000
1750000
1500000
1250000
1000000
750000
500000
Deposito
Boxplot of Deposito
Descriptive Statistics: Deposito
Variable Mean SE Mean Variance Minimum Q1 Median Q3
Deposito 1150104 65346 2,56207E+11 364796 752572 1335129 1480722
13
batas data UIF (upper innerfence) dan LIF(lower innerfence). Pada gambar
boxplot menunjukkan bahwa data berdistribusi left skewness.
4.1.3 Statistika Deskriptif pada Data Tabungan
Untuk menguji statistika deskriptif pada data tabungan maka digunakan
software Minitab.
Gambar 4.5 Output Minitab statistika deskriptif pada data deposito
Pada gambar 4.5 menunjukkan bahwa data tabungan memiliki mean
sebesar 811666 dan nilai tengah sebesar 715634 kuartil pertama (Q1) sebesar
447150 dan kuartil ketiga (Q3) sebesar 1113349. Sedangkan variansi yang
menunjukkan data tabungan memiliki keragaman data yang kecil yaitu
sebesar 1.418.
Untuk menunjukkan apakah suatu data memiliki data yang outlier,
output software minitab menunjukkannya dengan gambar boxplot seperti
pada gambar 4.6 berikut
Gambar 4.6 Boxplot data deposito
Pada gambar 4.6 menunjukkan bahwa data tabungan tidak memiliki
data yang outlier¸ sehingga dapat dikatakan bahwa data deposito berada
dalam batas data UIF (upper innerfence) dan LIF(lower innerfence). Pada
gambar boxplot menunjukkan bahwa data berdistribusi right skewness.
1750000
1500000
1250000
1000000
750000
500000
Tabungan
Boxplot of Tabungan
Descriptive Statistics: Tabungan
Variable Mean SE Mean Variance Minimum Q1 Median Q3
Tabungan 811666 48609 1,41770E+11 377461 447150 715634 1113349
14
4.2 Uji Normal Univariat
4.2.1 Uji Normal Univariat pada Data Giro
Untuk menguji kenormalan pada data giro maka digunakan software
Minitab.
Hipotesis :
= Data giro berdistribusi normal univariat
= Data giro berdistribusi tidak normal univariat
Statistik Uji :
= 0,05
Tolak jika − <
Dari output software minitab didapatkan plot sebagai berikut,
Gambar 4.7 Probability plot data Giro
Interpretasi :
Dengan asumsi nilai signifikasi sebesar 0.05, pada gambar 4.7
menunjukkan nilai p-value sebesar <0,005 yang berarti tolak . Sehingga
dapat disimpulkan bahwa data tidak berdistribusi normal.
4.2.2 Uji Normal Univariat pada Data Deposito
Untuk menguji kenormalan pada data giro maka digunakan software
Minitab.
Hipotesis :
= Data deposito berdistribusi normal univariat
= Data deposito berdistribusi tidak normal univariat
70000006000000500000040000003000000200000010000000
99,9
99
95
90
80
70
60
50
40
30
20
10
5
1
0,1
Giro
Percent
Mean 3019796
StDev 1142062
N 60
AD 3,049
P-Value <0,005
Probability Plot of Giro
Normal
15
Statistik Uji :
= 0,05
Tolak jika − <
Dari output software minitab didapatkan plot sebagai berikut,
Gambar 4.8 Probability plot data deposito
Interpretasi :
Dengan asumsi nilai signifikasi sebesar 0.05, pada gambar 4.8
menunjukkan nilai p-value sebesar <0,005 yang berarti tolak . Sehingga
dapat disimpulkan bahwa data tidak berdistribusi normal.
4.2.3 Uji Normal Univariat pada Data Tabungan
Untuk menguji kenormalan pada data giro maka digunakan software
Minitab.
Hipotesis :
= Data tabungan berdistribusi normal univariat
= Data tabungan berdistribusi tidak normal univariat
Statistik Uji :
= 0,05
Tolak jika − <
Dari output software minitab didapatkan plot sebagai berikut,
300000025000002000000150000010000005000000-500000
99,9
99
95
90
80
70
60
50
40
30
20
10
5
1
0,1
Deposito
Percent
Mean 1150104
StDev 506169
N 60
AD 1,337
P-Value <0,005
Probability Plot of Deposito
Normal
16
Gambar 4.9 Probability plot data tabungan
Interpretasi :
Dengan asumsi nilai signifikasi sebesar 0.05, pada gambar 4.9
menunjukkan nilai p-value sebesar <0,005 yang berarti tolak .
Sehingga dapat disimpulkan bahwa data tidak berdistribusi normal.
4.3 Uji T2
Hotelling
Untuk menguji apakah rata-rata data dari dugaan sama dengan rata-rata
populasi, maka digunakan perhitungan manual
Hipotesis :
:
~
0
~
 
:
~
0
~
 
Statistik Uji :
Rumus T2
Hotelling
=
~
0
~
y (
~
0
~
y )
=
…
…
⋮ ⋮ ⋱ ⋮
…
= = ∑ − ̅ ( − ̅ )
Daerah kritis :
2000000150000010000005000000
99,9
99
95
90
80
70
60
50
40
30
20
10
5
1
0,1
Tabungan
Percent
Mean 811666
StDev 376524
N 60
AD 2,011
P-Value <0,005
Probability Plot of Tabungan
Normal
17
H0 ditolak apabila > ( , )
Asumsi :
= 0.05
Dari hasil perhitungan manual didapatkan nilai rata – rata sampel dari data
ketiga populasi sebagai berikut,
~
0 =
3019796
1150104
811666
Dari hasil rata-rata dugaan populasi didapatkan nilai rata – rata dari data
ketiga populasi sebagai berikut,
~
p =
3019796.0167
1150104.05
811666.933
Rata-rata dugaan populasi dikurangi dengan rata-rata sampel
~
y =
~
0 −
~
p =
3019796.0167 − 3032249
1150104.05 − 103846751176
811666.933 − 414478396051
~
y =
−12453.2397435898
−103845601072.231
−414477584384.804
dengan transpose
~
y
~
~
t
y = [−12453.2397435898 −103845601072.231 −414477584384.804]
matrik varians dan covarian
=
1304305252371 534892143701 294064648401
534892143701 256207420113 143321404163
294064648401 143321404163 141770172034
dengan invers S
=
0.0534 −0.1140 0.0045
−0.1140 0.3333 −0.1004
0.0045 −0.1004 0.1627
∗ 1.0 + 012
dengan = 60 maka didapatkan nilai T2
Hotelling
= 137453953596184
Dengan = 3 dan ( , , ) = 2.766 dari adalah
=
3(60 − 1)
60 − 3
× 2.766 = 8.391
18
Kesimpulan :
Dengan nilai = 0.05, = 3, dan n = 60 didapatkan nilai = 8.391
dan nilai T2
Hotelling sebesar 137453953596184, diketahui bahwa tolak H0.
Sehingga dapat disimpulkan bahwa rata-rata dugaan tidak sama dengan nilai rata-
rata populasi. Untuk menghetahui kebenaran dari perhitungan T2
Hotelling,
kemudian dilanjutkan ke perhitungan selanjutnya.
Dengan menggunakan rumus T2
interval
−
( − 1)
( − ) ( , , ) ≤ ≤ +
( − 1)
( − ) ( , , )
yang diketahui
( )
( ) ( , , ) =
( )
( )
× 2.766 = √8.589 = 2.931
a. Mengitung nilai T2
-Interval pada data giro
= = 147439.5499
−
( )
( ) ( , , ) = 3019796,0167 − (2.931 × 147439.5499)
= 2587650.552
+
( )
( ) ( , , ) = 3019796.0167 + (2.931 × 147439.5499)
= 3913722.135
T2
Interval untuk data S11
2587650.552 ≤ ≤ 3913722.135
b. Mengitung nilai T2
-Interval pada data deposito
= = 65346.183
−
( )
( ) ( , , ) = 1150104.05 − (2.931 × 65346.183)
= 958574.387
+
( )
( ) ( , , ) = 1150104.05 + (2.931 × 65346.183)
= 41633.712
T2
Interval untuk data S11
958574.387 ≤ ≤ 41633.712
19
c. Mengitung nilai T2
-Interval pada data tabungan
=
,
= 48609.014
−
( )
( ) ( , , ) = 811665.93 − (2.931 × 48609.014)
= 669192.92
+
( )
( ) ( , , ) = 811665.93 + (2.931 × 48609.014)
= 954138.95
T2
Interval untuk data S11
669192.92 ≤ ≤ 954138.95
Kesimpulan :
Berdasarkan perhitungan T2
interval diketahui bahwa rata-rata dugaan
pada data deposito sebesar 103846751176.281 dan data tabungan sebesar
165791390933.137 tidak masuk dalam T2
interval. Sehingga dapat disimpulkan
bahwa yang menyebabkan H0 ditolak adalah kesalahan dalam menduga rata-rata
pada variabel deposito dan tabungan.
20
BAB IV
KESIMPULAN DAN SARAN
5.1 Kesimpulan
Kesimpulan yang dapat diambil dari penelitian ini adalah sebagai berikut,
1. Dari data giro, deposito dan tabungan memili nilai mean sebesar
3019796 ,1150104 dan 811666. Variansi yang ditujukan oleh data giro,
deposito dan tabungan pun juga kecil yaitu 1.304, 2.562 dan 1.418. Dari
ketiga data yang diuji yaitu data giro, deposito dan tabungan, ketiga
datanya tidak ada yang outliear.
2. Berdasarkan uji Anderson Darling, dengan nilai p-value yang
dibandingkan dengan . Ketiga data yang diuji yaitu data giro, deposito
dan tabungan tidak berdistribusi normal.
3. Dengan nilai T2
Hotelling sebesar 137453953596184, rata-rata dugaan
tidak sama dengan nilai rata-rata populasi, yang disebabkan karena rata-
rata dugaan pada data deposito sebesar 103846751176.281 dan data
tabungan sebesar 165791390933.137 tidak masuk dalam T2
interval.
5.2 Saran
Adapun saran untuk penelitian selanjutnya adalahsebagai berikut,
1. Meneliti dan mencermati jenis data dan banyaknya data yang akan
digunakan dalam analisis.
2. Meneliti dan memahami mengenai jenis metode yang akan dibuat untuk
menganalisis.
3. Meneliti setiap langkah-langkah dalam perhitungan manual uji Hotelling
.
21
DAFTAR PUSTAKA
Hidayat, Anwar. 2013. Normalitas pada minitab. Dapat diakses di
http://www.statistikian.com/2013/03/normalitas-pada-minitab.html (diakses
pada hari Jumat 27 Februari 2015)
Johnson, Richard A., dan Wichern Dean W. Applied Multivariate Statistical
Analysis (6th
edition). New Jersey : Pearson Prentice Hall
Mandiri, Bank. 2015. Mandiri Giro. Dapat diakses di
http://www.bankmandiri.co.id/article/785360776036.asp?article_id=785360
776036 (diakses pukul 17.46 pada hari Selasa 3 Maret 2015)
Panin, Bank. 2015. Giro Panin. Dapat diakses
http://www.panin.co.id/pages/123/giro-panin (diakses pada hari Selasa 3
Maret 2015)
Tampomas, Husein. 2003. Sukses Ulangan Dan Ujian Sistem Persamaan Linear
Statistika. Jakarta : Grasindo.
Walpole, Ronald E. 1995. Pengantar Statistika edisi ke-3. Jakarta: Gamedia
LAMPIRAN
Lampiran 1. Data giro, deposito dan tabungan
No Bulan Giro* Deposito* Tabungan*
1 Januari 2000 791199 368513 389136
2 Februari 2000 809389 364796 377461
3 Maret 2000 610565 382488 406214
4 April 2000 874923 384629 396318
5 Mei 2000 890685 385682 404982
6 Juni 2000 990786 378648 398263
7 Juli 2000 1064211 379893 398608
8 Agustus 2000 1195459 393182 397076
9
September
2000 1263922 456124 405663
10 Oktober 2000 1429461 467407 411800
11
November
2000 1472768 482958 424665
12
Desember
2000 1478973 457383 464017
13 Januari 2001 1916461 481284 446809
14 Februari 2001 1985477 588703 419337
15 Maret 2001 2064140 749125 446872
16 April 2001 2291096 762912 443200
17 Mei 2001 2416645 821244 447984
18 Juni 2001 2645407 861083 463159
19 Juli 2001 2852282 907388 499293
20 Agustus 2001 2840157 925644 520461
21
September
2001 2917403 920681 548056
22 Oktober 2001 3195135 983617 563863
23
November
2001 2990559 1020520 619536
24
Desember
2001 3282847 778790 680262
25 Januari 2002 3112297 1091936 634121
26 Februari 2002 3447633 1145307 611758
27 Maret 2002 3581430 1171561 642804
28 April 2002 3751476 1300589 640654
29 Mei 2002 3834888 1367699 612801
30 Juni 2002 3973770 1377839 691381
31 Juli 2002 4203235 1359701 739886
32 Agustus 2002 4332623 1336314 743216
33
September
2002 4335671 1401950 786999
34 Oktober 2002 4163789 1448925 840330
35
November
2002 3638981 1341418 794463
36
Desember
2002 3518782 1110442 958024
37 Januari 2003 3446392 1613483 820418
38 Februari 2003 3856683 1610372 869070
39 Maret 2003 4078189 1772848 928791
40 April 2003 4212589 1908257 946153
41 Mei 2003 4038811 1999776 994894
42 Juni 2003 4179666 1933444 1000301
43 Juli 2003 4089569 2003048 998111
44 Agustus 2003 4168058 2024860 1052485
45
September
2003 4145996 1858362 1057633
46 Oktober 2003 3836759 1761992 1139958
47
November
2003 4168058 1596941 1131921
48
Desember
2003 3327175 1333943 1400854
49 Januari 2004 3238119 1380102 1274389
50 Februari 2004 3464242 1377251 1264113
51 Maret 2004 3366303 1373525 1289269
52 April 2004 3311874 1373785 1313522
53 Mei 2004 3432910 1426518 1362709
54 Juni 2004 3819780 1426586 1323798
55 Juli 2004 3821311 1423206 1359843
56 Agustus 2004 3946829 1581767 1410440
57
September
2004 3935154 1562872 1472314
58 Oktober 2004 3678888 1547685 1485312
59
November
2004 3608926 1481821 1460787
60
Desember
2004 3850955 1477424 1673399
Ket (*) = Dalam ribu rupiah
Lampiran 2. Hasil Perhitungan −
Y1 − Y2 − Y3 −
791.199 -2.228.597 368.513 -781.591 389136 -422.530
809.389 -2.210.407 364.796 -785.308 377461 -434.205
610.565 -2.409.231 382488 -767.616 406214 -405.452
874.923 -2.144.873 384629 -765.475 396318 -415.348
890.685 -2.129.111 385682 -764.422 404982 -406.684
990.786 -2.029.010 378648 -771.456 398263 -413.403
1.064.211 -1.955.585 379893 -770.211 398608 -413.058
1.195.459 -1.824.337 393182 -756.922 397076 -414.590
1.263.922 -1.755.874 456124 -693.980 405663 -406.003
1.429.461 -1.590.335 467407 -682.697 411800 -399.866
1.472.768 -1.547.028 482958 -667.146 424665 -387.001
1.478.973 -1.540.823 457383 -692.721 464017 -347.649
1.916.461 -1.103.335 481284 -668.820 446809 -364.857
1.985.477 -1.034.319 588703 -561.401 419337 -392.329
2.064.140 -955.656 749125 -400.979 446872 -364.794
2.291.096 -728.700 762912 -387.192 443200 -368.466
2.416.645 -603.151 821244 -328.860 447984 -363.682
2.645.407 -374.389 861083 -289.021 463159 -348.507
2.852.282 -167.514 907388 -242.716 499293 -312.373
2.840.157 -179.639 925644 -224.460 520461 -291.205
2.917.403 -102.393 920681 -229.423 548056 -263.610
3.195.135 175.339 983617 -166.487 563863 -247.803
2.990.559 -29.237 1020520 -129.584 619536 -192.130
3.282.847 263.051 778790 -371.314 680262 -131.404
3.112.297 92.501 1091936 -58.168 634121 -177.545
3.447.633 427.837 1145307 -4.797 611758 -199.908
3.581.430 561.634 1171561 21.457 642804 -168.862
3.751.476 731.680 1300589 150.485 640654 -171.012
3.834.888 815.092 1367699 217.595 612801 -198.865
3.973.770 953.974 1377839 227.735 691381 -120.285
4.203.235 1.183.439 1359701 209.597 739886 -71.780
4.332.623 1.312.827 1336314 186.210 743216 -68.450
4.335.671 1.315.875 1401950 251.846 786999 -24.667
4.163.789 1.143.993 1448925 298.821 840330 28.664
3.638.981 619.185 1341418 191.314 794463 -17.203
3.518.782 498.986 1110442 -39.662 958024 146.358
3.446.392 426.596 1613483 463.379 820418 8.752
3.856.683 836.887 1610372 460.268 869070 57.404
4.078.189 1.058.393 1772848 622.744 928791 117.125
4.212.589 1.192.793 1908257 758.153 946153 134.487
4.038.811 1.019.015 1999776 849.672 994894 183.228
4.179.666 1.159.870 1933444 783.340 1000301 188.635
4.089.569 1.069.773 2003048 852.944 998111 186.445
4.168.058 1.148.262 2024860 874.756 1052485 240.819
4.145.996 1.126.200 1858362 708.258 1057633 245.967
3.836.759 816.963 1761992 611.888 1139958 328.292
4.168.058 1.148.262 1596941 446.837 1131921 320.255
3.327.175 307.379 1333943 183.839 1400854 589.188
3.238.119 218.323 1380102 229.998 1274389 462.723
3.464.242 444.446 1377251 227.147 1264113 452.447
3.366.303 346.507 1373525 223.421 1289269 477.603
3.311.874 292.078 1373785 223.681 1313522 501.856
3.432.910 413.114 1426518 276.414 1362709 551.043
3.819.780 799.984 1426586 276.482 1323798 512.132
3.821.311 801.515 1423206 273.102 1359843 548.177
3.946.829 927.033 1581767 431.663 1410440 598.774
3.935.154 915.358 1562872 412.768 1472314 660.648
3.678.888 659.092 1547685 397.581 1485312 673.646
3.608.926 589.130 1481821 331.717 1460787 649.121
3.850.955 831.159 1477424 327.320 1673399 861.733
Lampiran 3. Hasil perhitungan −
( − ) ( − ) ( − )
( − )
× ( − )
( − )
× ( − )
( − )
× ( − )
1 4966644662696 610884569440 178531544563 941648948879 1741851482283 330.245.614.250
2 4885899179329 616708733395 188533924131 959769631311 1735850423965 340.984.629.496
3 5804394091669 589234400218 164391270244 976827373554 1849364396551 311.231.411.530
4 4600480257625 585952052173 172513905724 890868574735 1641846779677 317.938.480.036
5 4533113721291 584341070526 165391821631 865875242761 1627539408038 310.878.166.021
6 4116881647734 595144437082 170901985289 838798692653 1565292052868 318.922.194.008
7 3824312757411 593225061542 170616856290 807769905442 1506213189051 318.141.784.543
8 3328205550380 572930989776 171884812821 756351762117 1380880914546 313.812.262.248
9 3083093562405 481608309798 164838381875 712890001330 1218541537880 281.757.935.975
10 2529165465236 466075262079 159892764641 635920795752 1085717024390 272.987.293.082
11 2393295684352 445083852031 149769722401 598701286343 1032093630559 258.186.144.020
12 2374135568690 479862453113 120859780848 535665478200 1067360537970 240.823.734.130
13 1217348159003 447320259282 133120581801 402559430620 737932581014 244.023.632.395
14 1069815828238 315171138941 153921991930 405793276535 580667781992 220.253.875.119
15 913278422191 160784198539 133074613797 348617517233 383198041690 146.274.724.834
16 531003714290 149917683583 135767144027 268501131761 282146853288 142.667.080.082
17 363791148906 108148932486 132264548633 219355127833 198352273499 119.600.458.780
18 140167135801 83533167343 121457082581 130477168072 108206306705 100.725.839.804
19 28060945780 58911080928 97576849479 52326844761 40658340445 75.817.924.506
20 32270176309 50382314046 84800313198 52311767872 40321782663 65.363.873.896
21 10484329862 52634935871 69490196952 26991816297 23491318182 60.478.194.916
22 30743759076 27717937818 61406293769 -43449514398 -29191670085 41.255.979.352
23 854803144 16792026014 36913911283 5617306063 3788651030 24.896.974.888
24 69195819833 137874123727 17266993695 -34565933877 -97674525978 48.792.126.672
25 8556431918 3383522041 31522203352 -16423080919 -5380601824 10.327.442.559
26 183044484308 23011689 39963181810 -85528007142 -2052355401 958.968.352
27 315432731235 460400703 28514352529 -94838600251 12050952299 -3.623.262.060
28 535355598011 22645720177 29245081342 -125126008531 110106825708 -25.734.722.237
29 664374941294 47347562266 39547261710 -162093212926 177359899359 -43.272.005.225
30 910066360877 51863207452 14468465187 -114748696987 217253217396 -27.393.083.278
31 1400527827273 43930881449 5152358829 -84947171328 248045201418 -15.044.855.098
32 1723514688168 34674145479 4685393373 -89862919487 244461446925 -12.746.058.664
33 1731526971763 63426382531 608457600 -32458600489 331397785259 -6.212.267.259
34 1308719945916 89293960159 821628718 32791491140 341849070073 8.565.423.632
35 383390043586 36601027465 295940915 -10651797989 118458724942 -3.291.161.128
36 248987011563 1573078210 21420683678 73030623814 -19790807020 -5.804.860.958
37 181984132996 214720051303 76598671 3733596486 197675598831 4.055.523.462
38 700379822873 211846585797 3295226870 48040716184 385192256201 26.421.252.086
39 1120195707169 387810027262 13718281242 123964348732 659107827093 72.938.926.660
40 1422755101089 574795895594 18086771101 160415229469 904319519053 101.961.766.330
41 1038391536258 721942422617 33572524414 186712145301 865828447968 155.683.748.699
42 1345298378238 613621477266 35583188376 218792151631 908572494751 147.765.383.691
43 1144414235870 727513381842 34761762884 199453895196 912456394008 159.027.191.621
44 1318505582369 765197972060 57993822870 276523379115 1004449002080 210.657.911.440
45 1268326402460 501629323738 60499797885 277008106381 797640091486 174.208.130.405
46 667428516137 374406863355 107775681036 268202466189 499889805098 200.877.959.674
47 1318505582369 199663259885 102563307726 367736718023 513085882434 143.101.797.211
48 94481839395 33796759537 347142577902 181104028924 56508229548 108.315.715.529
49 47664925052 52899057004 214112636425 101023080372 50213838605 106.425.356.751
50 197532232101 51595736894 204708348135 201088281451 100954549554 102.771.971.230
51 120067089499 49916920899 228104689289 165492797861 77416919398 106.706.530.878
52 85309548348 50033167393 251859511650 146581107876 65332280786 112.255.641.755
53 170663163226 76404671755 303648461321 227643596259 114190467933 152.315.990.677
54 639974373590 76442268676 262279253708 409697450685 221181131681 141.595.272.450
55 642426268508 74584675094 300498096419 439372132453 218895304903 149.708.225.852
56 859390152188 186332902403 358530382913 555083309365 400165792333 258.468.580.001
57 837880237652 170377380547 436455867990 604729481997 377830438297 272.694.348.149
58 434402242494 158070611803 453799023135 443994722144 262042416871 267.828.843.149
59 347074137262 110036134917 421358159190 382416683187 195424401225 215.324.460.415
60 690825255576 107138349668 742583878187 716237179595 272054916867 282.062.424.295
sum 76954009889877 15116237786679 8364440149990 17349814255631 31558636478356 8455962845629
dibagi
n-1 1304305252371 256207420113 141770172034 294064648401 534892143701 143321404163
Lampiran 4. Hasil perhitungan di minitab
————— 27/02/2015 22:43:49 ————————————————————
Welcome to Minitab, press F1 for help.
MTB > Read 3 3 m1.
DATA> 1304305252371;534892143701;294064648401
DATA> 534892143701;256207420113;143321404163
DATA> 294064648401;143321404163;141770172034
294064648401;143321404163;141770172034
3 rows read.
MTB > print m1
Data Display
Matrix M1
1,30431E+12 5,34892E+11 2,94065E+11
5,34892E+11 2,56207E+11 1,43321E+11
2,94065E+11 1,43321E+11 1,41770E+11
MTB > Invert M1 M2.
MTB > print M2
Data Display
Matrix M2
0,0000000 -0,0000000 0,0000000
-0,0000000 0,0000000 -0,0000000
0,0000000 -0,0000000 0,0000000
MTB > Read 3 1 m3.
DATA> -12453
-12453
DATA> -103845601072
-103845601072
DATA> -414477584385
-414477584385
3 rows read.
-747180 -6,23074E+12 -2,48687E+13
MTB > Multiply M5 M2 M6.
MTB > PRINT M6
Data Display
Matrix M6
59,9456 41,9192 -342,134

T2 Hottelling

  • 1.
    Laporan Praktikum Multivariate Uji T2 HotellingPada Data Tabungan, Deposito, dan Giro di Bank Jatim Surabaya Oleh: 1. Ratnajulie Yatnaningtyas (1312 100 026) 2. Widi Iswara Darmalaksana (1312 100 126) Asisten: Farida Islamiah (1313 201 007) JURUSAN STATISTIKA FAKULTAS MATEMATIKA DAN ILMU PENGETAHUAN ALAM INSTITUT TEKNOLOGI SEPULUH NOPEMBER SURABAYA 2015
  • 2.
    ii ABSTRAK Lembaga perbankan adalahlembaga keuangan yang menjadi perantara antara pihak yang mempunyai kelebihan dana dengan pihak yang membutuhkan atau kekurangan dana. Dalam prakteknya, pihak Bank memberikan kemudahan kemudahan dalam traksaksinya, agar nasabah dapat bertransaksi dalam jumlah besar maupun kecil dengan aman. Layanan dari bank yang diberikan giro, deposito maupun tabungan. Dengan ilmu statistika memberikan peranan mengolah informasi yang ada pada data. Sebuah data mempunyai informasi dasar yang terangkum dalam statistika deskriptif dan memerlukan pengujian kenormalan agar metode yang digunakan tepat dan informasi yang diberikan dapat dipertanggungjawabkan kebenarannya. Selain menguji kenormalan diperlukan metode untuk menguji rata-rata dugaan dan populasi dengan menggunakan T2 Hotelling. Pada penelitian ini data yang digunakan merupakan data sekunder dari data giro, deposito dan tabungan dari Bank Jatim. Ketiga data yang diuji tidak memiliki data outlier dan variansnya relatif kecil. Selain itu ketiga data juga tidak berdistribusi normal univariat dan dengan metode T2 Hotelling menunjukkan rata-rata dugaan tidak sama dengan nilai rata-rata populasi, yang disebabkan karena rata-rata dugaan pada data deposito dan data tabungan sebesar tidak masuk dalam T2 interval. Kata kunci: deposito, deskriptif, giro, hotelling, interval, outlier, tabungan, univariat
  • 3.
    iii DAFTAR ISI HALAMAN JUDUL..........................................................................................i ABSTRAK..........................................................................................................ii DAFTARISI....................................................................................................iiii DAFTAR GAMBAR..........................................................................................v BAB I PENDAHULUAN 1.1 Latar Belakang ...........................................................................................2 1.2 Rumusan Masalah ......................................................................................2 1.3 Tujuan........................................................................................................2 1.4 Manfaat ......................................................................................................2 BAB II TINJAUAN PUSTAKA 2.1 Tinjauan Statistika......................................................................................3 2.1.1 Statistika Deskriptif............................................................................3 2.1.2 Uji Normal Univariate dengan menggunakan Anderson Darling ........5 2.1.3 Uji T2 Hotelling..................................................................................6 2.2 Tinjauan Non Statistik ................................................................................7 2.2.1 Giro ...................................................................................................7 2.2.2 Tabungan ...........................................................................................7 2.2.3 Deposito.............................................................................................7 BAB III METODOLOGI PENELITIAN 3.1 Sumber Data...............................................................................................9 3.2 Variabel Penelitian .....................................................................................9 3.3 Langkah Analisis........................................................................................9 3.4 Diagram Alir ............................................................................................ 10 BAB IV PEMBAHASAN 4.1 Statistika Deskriptif.................................................................................. 11 4.1.1 Statistika Deskriptif pada Data Giro ................................................. 11 4.1.2 Statistika Deskriptif pada Data Deposito .......................................... 12 4.1.3 Statistika Deskriptif pada Data Tabungan......................................... 13 4.2 Uji Normal Univariat................................................................................ 14 4.2.1 Uji Normal Univariat pada Data Giro............................................... 14 4.2.2 Uji Normal Univariat pada Data Deposito........................................ 14
  • 4.
    iv 4.2.3 Uji NormalUnivariat pada Data Tabungan....................................... 15 4.3 Uji T2 Hotelling........................................................................................ 16 BAB V KESIMPULAN DAN SARAN 5.1 Kesimpulan .............................................................................................. 20 5.2 Saran........................................................................................................ 20 DAFTAR PUSTAKA....................................................................................... 21 LAMPIRAN
  • 5.
    v DAFTAR GAMBAR Gambar 3.1Diagram Alir ................................................................................10 Gambar 4.1 Output Minitab Statistika Deskriptif pada Data Giro......................11 Gambar 4.2 Boxplot Data Giro.........................................................................11 Gambar 4.3 Output Minitab Statistika Deskriptif pada Data Deposito...............12 Gambar 4.4 Boxplot pada Deposito ..................................................................12 Gambar 4.5 Output Minitab Statistika Deskriptid pada Data Deposito..............13 Gambar 4.6 Boxplot Data Deposito ..................................................................13 Gambar 4.7 Probability Plot data Giro..............................................................14 Gambar 4.8 Probability Plot data Deposito.......................................................15 Gambar 4.9 Probability Plot data Tabungan......................................................16
  • 6.
    1 BAB I PENDAHULUAN 1.1 LatarBelakang Lembaga perbankan adalah lembaga keuangan yang menjadi perantara antara pihak yang mempunyai kelebihan dana (surplus of funds) dengan pihak yang membutuhkan atau kekurangan dana (lacks of funds). Hal ini tentunya membutuhkan dana yang tidak sedikit dalam menjalankan kegiatan usaha atau operasionalnya. Dalam prakteknya, pihak Bank memberikan kemudahan kemudahan dalam traksaksinya, agar nasabah dapat bertransaksi dalam jumlah besar maupun kecil dengan aman. Seperti Giro yang diperuntukan untuk nasabah perorangan dan perusahaan yang dapat membantu memudahkan pembayaran transaksi bisnis dengan cepat, mudah dan aman (Panin, 2015). Sekaligus, penarikannya dapat dilakukan setiap saat dengan menggunakan cek, bilyet giro, ataupun sarana perintah pembayaran lainnya sesuai ketentuan yang ditetapkan (Mandiri, 2015). Selain Giro, Bank juga memberikan pelayanan berupa tabungan, dimana didalam tabungan, masyarakat dapat menyimpan uangnya dengan aman, yang dapat ditarik setiap saat. Sedangkan pada Deposito merupakan simpanan berjangka yang bisa dilakukan penarikan sesuai dengan waktu yang telah disepakati. Kemudahan layanan Fungsi untuk mencari dan menghimpun dana dari masyarakat dalam bentuk simpanan memegang peranan penting terhadap pertumbuhan suatu bank, sebab volume dana yang berhasil dihimpun atau disimpan tentunya akan menentukan pula volume dana yang dapat dikembangkan oleh bank tersebut dalam bentuk penanaman dana yang menghasilkan, misalnya dalam bentuk pemberian kredit, pembelian efek-efek, atau surat-surat berharga dipasar uang. Dengan menggunakan ilmu statistika yang merupakan ilmu yang mempelajari tentang bagaimana merancang, mendapatkan, mengolah dan menginterpretasikan data yang memiliki ketidakpastian (Husein, 2003). Dimana data merupakan sekumpulan datum yang berisi keterangan atau informasi seperti yang telah terekam pada data diro, deposito dan tabungan, memerlukan suatu metode tertentu agar dapat memberikan informasi yang diharapkan.
  • 7.
    2 Tidak semua datayang diterekam memiliki kenormalan dan kepastian. Oleh karena itu untuk menguji dan mendapatkan informasi dengan metode yang tepat dari sebuah data, diperlukan uji kenormalan untuk melihat apakah data tersebut berdistribusi normal atau tidak. Selain melihat kenormalan suatu data, diperlukan informasi dasar dari sebuah data yang meliputi pemusatan dan penyebaran data atau biasa dirangkum dalam statistika deskriptif. Untuk menguji apakah rata-rata yang sampe yang ada pada data dapat merepresentasikan rata-rata pada data populasi maka untuk mengujinya digunakan T2 Hotelling. Didalam penelitian ini, akan dibahas mengenai informasi dasar suatu data, kenormalan data dan perbandingan antara rata-rata sampel dengan rata-rata populasi, dari data giro, deposito dan tabungan yang saling berhubungan. 1.2 Rumusan Masalah Dari latar belakang, rumusan masah yang dapat diambil adalah, 1. Bagaimana analisis statistika deskriptif pada data tabungan, deposito, dan giro? 2. Apakah data tabungan, deposito, dan giro berdistribusi normal univariat? 3. Berapa statistik uji T2 Hotelling pada data tabungan, deposito, dan giro? 1.3 Tujuan Dari rumusan masalah, tujuan yang dapat diambil adalah, 1. Mengetahui statistika deskriptif pada data tabungan, deposito, dan giro? 2. Mengetahui data tabungan, deposito, dan giro berdistribusi normal univariat? 3. Mengetahui statistik uji T2 Hotelling pada data tabungan, deposito, dan giro? 1.4 Manfaat Dari modul multivariat ini, manfaat yang didapatkan adalah 1. Mahasiswa dapat menerapkan dan mengimplementasikan software yang berkaitan dengan deskriptif statistik 2. Mahasiswa lebih mengerti, bagaimana cara menunjukkan apakah sebuah data berdistribusi normal atau tidak. 3. Mahasiswa dapat menganalisis kebenaran rata-rata data dari sampel yang diambil dapat merepresentasikan data dari populasi.
  • 8.
    3 BAB II TINJAUAN PUSTAKA 2.1Tinjauan Statistika Tinjauan statistika yang digunakan dalam praktikum ini adalah 2.1.1 Statistika Deskriptif Pengertian statistika deskriptif adalah metode statistika yang digunakan untuk menggambarkan atau mendeskripsikan data yang telah dikumpulkan menjadi sebuah informasi Dalam statistika deskriptif terdapat dua ukuran yaitu ukuran pemusatan data dan ukuran penyebaran data 1. Ukuran Pemusatan Data Ukuran pemusatan adalah nilai tunggal yang mewakili suatu kumpulan data dan menunjukkan karakteristik dari data meliputi mean (rataan), median (nilai pembatas separuh data), modus (ukuran yang sering muncul) dan lainnya. a. Mean Mean adalah rata-rata dari beberapa buah data, nilai mean dapat membagi jumlah data dengan banyaknya data (walpole, 1995) Mean data tunggal merupakan jumlah nilai data dibagi dengan banyaknya data. Mean dirumuskan sebagai berikut: Untuk data tunggal = ∑ (2.1) Keterangan =Rata-rata = banyaknya data = data ke i Untuk data kelompok = ∑ ∑ (2.2) Keterangan =Rata-rata
  • 9.
    4 ∑ = jumlahseluruh frekuensi = data ke i b. Median Median adalah nilai tengah dari segugus data yang telah diurutkan mulai yang terkecil sampai terbesar atau terbesar sampai terkecil. Dengan kata lain median adalah nilai yang tepat di tengah jika banyaknya data ganjil atau rata-rata dari dua nilai yang berada di tengah jika banyaknya data genap. Untuk data tunggal = (2.3) Untuk data berkelompok + ( ) (2.4) = median = batas bawah = banyaknya data = lebar kelas = frekuensi kelas sebelum median = frekuensi median c. Modus Modus adalah nilai yang paling sering terjadi atau yang mempunyai frekuensi paling tinggi. Untuk data tunggal nilai modus diambil dari nilai yang paling sering muncuk. Untuk data kelompok menggunakan rumus: = + (2.5) Keterangan = Modus = batas bawah modus = lebar kelas
  • 10.
    5 =selisih frekuensi kelasmodus dengan frekuensi kelas sebelumnya =selisih frekuensi kelas modus dengan frekuensi kelas berikutnya 2. Ukuran Penyebaran Data Ukutan peneyebaran adalah derajat atau ukuran sampai seberapa jauh data numeric cenderung untuk tersebar disekitar nilai rata-ratanya. Ukuran penyebaran data yang paling banyak digunakan adalah jangkauan (range), variansi (variance), simpangan baku (standar deviasi). a. Jangkauan (range) Range adalah selisih bilangan terbesar dan terkecil dari suatu kumpulan data. Rumus yang digunakan dalam menghitung range adalah = − (2.6) = jangkauan = nilai data terbesar = nilai data terkecil b. Variansi Variansi adalah suatu besaran yang mengukur besarnya ragam data. Semakin besar ragam data maka nilai variansi semakin besar demikian sebaliknya. Dalam dunia industi, varians disebut juga ukuran presisi dan rata-rata sebagai akurasi proses. Rumus yang digunakan untuk menghitung variansi adalah = ∑ ( ) (2.7) S2 = variansi n = banyaknya data = nilai data ke-i = rata-rata
  • 11.
    6 c. Standar deviasi Standardeviasi adalah akar dari varians. rumus yang digunakan untuk menghitung stardar deviasi adalah = ∑ ( ) (2.8) S = standar baku n = banyaknya data = nilai data ke-i = rata-rata 2.1.2 Uji Normal Univariate dengan menggunakan Anderson Darling Uji anderson darling digunakan sebagai uji kenormalan atau kebaikan (goodness of fit) untuk peubah kuantitatif. Uji anderson darling memiliki kelebihan dibandingkan uji K-S dimana pada uji anderson darling lebih sensitif dibandingkan uji K-S : data mengikuti distribusi normal : data tidak mengikuti distribusi normal Rumus uji anderson darling adalah = − − (2.9) Dimana = ∑ ([+ ln 1 − ( ) ] 2.1.3 Uji T2 Hotelling Jika vektor random ~ Y berdistribusi multinormal  VN , ~  dan matriks random Q berdistribusi Wishart       vV v Wp , 1 dengan ~ Y dan Q berdistribusi saling bebas, maka variabel random ~ 1 ~ 2 YYT t   Q adalah variabel random berdistribusi Hotelling –T2 . Uji T2 Hotelling digunakan untuk menguji nilai mean dugaan apakah sama dengan mean populasi : = : ≠ Rumus dari statistik uji T2 Hotelling adalah = ( − ) ( − ) (2.10)
  • 12.
    7 dimana = 1 , = 1 − 1 −− = . . dengan kaidah pengambilan keputusan        pnp pnp F pn pn TjikaditerimaH F pn pn TjikaditolakH         ,; 2 0 ,; 2 0 1 : 1 :   (2.11) di mana : *  pnpF ,; adalah batas bawah  100% atas distribusi F dengan derajat bebas p dan  pn  2.2 Tinjauan Non Statistik Tinjauan non statistik yang digunakan dalam praktikum ini adalah 2.2.1 Giro Giro adalah suatu istilah perbankan untuk suatu cara pembayaran yang berupa surat perintah untuk memindahbukukan sejumlah uang dari rekening seseorang kepada rekening lain yang ditunjuk surat tersebut. Giro diberikan oleh pihak pembayar ke bank selanjutnya akan ditransfer kepada pihak penerima 2.2.2 Tabungan Tabungan adalah simpanan yang penarikannya hanya dapat dilakukan menurut syarat tertentu yang disepakati tetapi tidak dapat ditarik dengan cek, bilyet giro 2.2.3 Deposito Deposito atau yang sering juga disebut sebagai deposito berjangka, merupakan produk bank sejenis jasa tabungan yang biasanya ditawarkan kepada masyarakat. Deposito biasanya memiliki jangka waktu tertentu dimana uang didalamnya tidak boleh ditarik oleh nasabah. Deposito baru bisa dicairkan sesuai dengan tanggal jatuh tempo, bila deposito dicairkan sebelum tanggal jatuh tempo maka akan kena penalti. Deposito juga dapat diperpanjang secara otomatis dengan menggunakan sistem ARO. Deposito akan diperpanjang otomatis setelah jatuh tempo,
  • 13.
    8 sampai pemiliknya mencairkandepositonya. Bunga deposito biasanya lebih tinggi daripada bunga tabungan biasa. Bunga dapat diambil setelah tanggal jatuh tempo atau dimasukkan lagi ke pokok deposito untuk didepositokan lagi pada periode berikutnya.
  • 14.
    9 BAB III METODOLOGI PENELITIAN 3.1Sumber Data Sumber data yang digunakan pada modul ini merupakan data sekunder yang diambil dari Data Tugas Akhir Analisis Peramalan Terhadap Tabungan, Deposito, dan Giro di Bank Jatim Surabaya dengan Menggunakan Metode ARIMA Box- Jenkins yang ditulis oleh Hellga Saputra tahun 2007. 3.2 Variabel Penelitian Dalam penelitian ini, ada 3 variabel penelitian yang digunakan, yaitu = = = 3.3 Langkah Analisis 1. Mengumpulkan data 2. Mengiiput data ke dalam Microsoft Excel 3. Mengolah data dengan menggunakan software minitab. 4. Menguji distribusi normal univariat masing-masing data penelitian. 5. Mencari nilai T2 Hotelling, apabila tolak H0 maka dilanjutkan dengan uji T2 Interval. 6. Membuat kesimpulan
  • 15.
    10 3.4 Diagram Alir Gambar3.1 diagram alir Ya Tidak Mulai Mengumpulkan data Mengimput data ke dalam Microsoft Excel Mengolah data dengan menggunakan software minitab. Menguji distribusi normal univariat masing-masing data penelitian Selesai T2 Hotelling Menghitung T2 Interval Membuat kesimpulan
  • 16.
    11 BAB IV PEMBAHASAN 4.1 StatistikaDeskriptif 4.1.1 Statistika Deskriptif pada Data Giro Untuk menguji statistika deskriptif pada data giro maka digunakan software Minitab. Gambar 4.1 Output Minitab statistika deskriptif pada data Giro Pada gambar 4.1 menunjukkan bahwa data Giro memiliki mean sebesar 3019796 dan nilai tengah sebesar 3439651 kuartil pertama (Q1) sebesar 2120879 dan kuartil ketiga (Q3) sebesar 3915536. Sedangkan variansi yang menunjukkan data Giro memiliki keragaman data yang kecil yaitu sebesar 1.304. Untuk menunjukkan apakah suatu data memiliki data yang outlier, output software minitab menunjukkannya dengan gambar boxplot seperti pada gambar 4.2 berikut Gambar 4.2 Boxplot data Giro 4500000 4000000 3500000 3000000 2500000 2000000 1500000 1000000 500000 Giro Boxplot of Giro Descriptive Statistics: Giro Variable Mean SE Mean Variance Minimum Q1 Median Q3 Giro 3019796 147440 1,30431E+12 610565 2120879 3439651 3915536
  • 17.
    12 Pada gambar 4.2menunjukkan bahwa data giro tidak memiliki data yang outlear¸ sehingga dapat dikatakan bahwa data giro berada dalam batas data UIF (upper innerfence) dan LIF(lower innerfence). Pada gambar boxplot menunjukkan bahwa data berdistribusi left skewness. 4.1.2 Statistika Deskriptif pada Data Deposito Untuk menguji statistika deskriptif pada data deposito maka digunakan software Minitab. Gambar 4.3 Output Minitab statistika deskriptif pada data deposito Pada gambar 4.3 menunjukkan bahwa data deposito memiliki mean sebesar 1150104 dan nilai tengah sebesar 1335129 kuartil pertama (Q1) sebesar 752572 dan kuartil ketiga (Q3) sebesar 1480722. Sedangkan variansi yang menunjukkan data deposito memiliki keragaman data yang kecil yaitu sebesar 2.562. Untuk menunjukkan apakah suatu data memiliki data yang outlier, output software minitab menunjukkannya dengan gambar boxplot seperti pada gambar 4.4 berikut Gambar 4.4Boxplot data deposito Pada gambar 4.4 menunjukkan bahwa data deposito tidak memiliki data yang outlier¸ sehingga dapat dikatakan bahwa data deposito berada dalam 2000000 1750000 1500000 1250000 1000000 750000 500000 Deposito Boxplot of Deposito Descriptive Statistics: Deposito Variable Mean SE Mean Variance Minimum Q1 Median Q3 Deposito 1150104 65346 2,56207E+11 364796 752572 1335129 1480722
  • 18.
    13 batas data UIF(upper innerfence) dan LIF(lower innerfence). Pada gambar boxplot menunjukkan bahwa data berdistribusi left skewness. 4.1.3 Statistika Deskriptif pada Data Tabungan Untuk menguji statistika deskriptif pada data tabungan maka digunakan software Minitab. Gambar 4.5 Output Minitab statistika deskriptif pada data deposito Pada gambar 4.5 menunjukkan bahwa data tabungan memiliki mean sebesar 811666 dan nilai tengah sebesar 715634 kuartil pertama (Q1) sebesar 447150 dan kuartil ketiga (Q3) sebesar 1113349. Sedangkan variansi yang menunjukkan data tabungan memiliki keragaman data yang kecil yaitu sebesar 1.418. Untuk menunjukkan apakah suatu data memiliki data yang outlier, output software minitab menunjukkannya dengan gambar boxplot seperti pada gambar 4.6 berikut Gambar 4.6 Boxplot data deposito Pada gambar 4.6 menunjukkan bahwa data tabungan tidak memiliki data yang outlier¸ sehingga dapat dikatakan bahwa data deposito berada dalam batas data UIF (upper innerfence) dan LIF(lower innerfence). Pada gambar boxplot menunjukkan bahwa data berdistribusi right skewness. 1750000 1500000 1250000 1000000 750000 500000 Tabungan Boxplot of Tabungan Descriptive Statistics: Tabungan Variable Mean SE Mean Variance Minimum Q1 Median Q3 Tabungan 811666 48609 1,41770E+11 377461 447150 715634 1113349
  • 19.
    14 4.2 Uji NormalUnivariat 4.2.1 Uji Normal Univariat pada Data Giro Untuk menguji kenormalan pada data giro maka digunakan software Minitab. Hipotesis : = Data giro berdistribusi normal univariat = Data giro berdistribusi tidak normal univariat Statistik Uji : = 0,05 Tolak jika − < Dari output software minitab didapatkan plot sebagai berikut, Gambar 4.7 Probability plot data Giro Interpretasi : Dengan asumsi nilai signifikasi sebesar 0.05, pada gambar 4.7 menunjukkan nilai p-value sebesar <0,005 yang berarti tolak . Sehingga dapat disimpulkan bahwa data tidak berdistribusi normal. 4.2.2 Uji Normal Univariat pada Data Deposito Untuk menguji kenormalan pada data giro maka digunakan software Minitab. Hipotesis : = Data deposito berdistribusi normal univariat = Data deposito berdistribusi tidak normal univariat 70000006000000500000040000003000000200000010000000 99,9 99 95 90 80 70 60 50 40 30 20 10 5 1 0,1 Giro Percent Mean 3019796 StDev 1142062 N 60 AD 3,049 P-Value <0,005 Probability Plot of Giro Normal
  • 20.
    15 Statistik Uji : =0,05 Tolak jika − < Dari output software minitab didapatkan plot sebagai berikut, Gambar 4.8 Probability plot data deposito Interpretasi : Dengan asumsi nilai signifikasi sebesar 0.05, pada gambar 4.8 menunjukkan nilai p-value sebesar <0,005 yang berarti tolak . Sehingga dapat disimpulkan bahwa data tidak berdistribusi normal. 4.2.3 Uji Normal Univariat pada Data Tabungan Untuk menguji kenormalan pada data giro maka digunakan software Minitab. Hipotesis : = Data tabungan berdistribusi normal univariat = Data tabungan berdistribusi tidak normal univariat Statistik Uji : = 0,05 Tolak jika − < Dari output software minitab didapatkan plot sebagai berikut, 300000025000002000000150000010000005000000-500000 99,9 99 95 90 80 70 60 50 40 30 20 10 5 1 0,1 Deposito Percent Mean 1150104 StDev 506169 N 60 AD 1,337 P-Value <0,005 Probability Plot of Deposito Normal
  • 21.
    16 Gambar 4.9 Probabilityplot data tabungan Interpretasi : Dengan asumsi nilai signifikasi sebesar 0.05, pada gambar 4.9 menunjukkan nilai p-value sebesar <0,005 yang berarti tolak . Sehingga dapat disimpulkan bahwa data tidak berdistribusi normal. 4.3 Uji T2 Hotelling Untuk menguji apakah rata-rata data dari dugaan sama dengan rata-rata populasi, maka digunakan perhitungan manual Hipotesis : : ~ 0 ~   : ~ 0 ~   Statistik Uji : Rumus T2 Hotelling = ~ 0 ~ y ( ~ 0 ~ y ) = … … ⋮ ⋮ ⋱ ⋮ … = = ∑ − ̅ ( − ̅ ) Daerah kritis : 2000000150000010000005000000 99,9 99 95 90 80 70 60 50 40 30 20 10 5 1 0,1 Tabungan Percent Mean 811666 StDev 376524 N 60 AD 2,011 P-Value <0,005 Probability Plot of Tabungan Normal
  • 22.
    17 H0 ditolak apabila> ( , ) Asumsi : = 0.05 Dari hasil perhitungan manual didapatkan nilai rata – rata sampel dari data ketiga populasi sebagai berikut, ~ 0 = 3019796 1150104 811666 Dari hasil rata-rata dugaan populasi didapatkan nilai rata – rata dari data ketiga populasi sebagai berikut, ~ p = 3019796.0167 1150104.05 811666.933 Rata-rata dugaan populasi dikurangi dengan rata-rata sampel ~ y = ~ 0 − ~ p = 3019796.0167 − 3032249 1150104.05 − 103846751176 811666.933 − 414478396051 ~ y = −12453.2397435898 −103845601072.231 −414477584384.804 dengan transpose ~ y ~ ~ t y = [−12453.2397435898 −103845601072.231 −414477584384.804] matrik varians dan covarian = 1304305252371 534892143701 294064648401 534892143701 256207420113 143321404163 294064648401 143321404163 141770172034 dengan invers S = 0.0534 −0.1140 0.0045 −0.1140 0.3333 −0.1004 0.0045 −0.1004 0.1627 ∗ 1.0 + 012 dengan = 60 maka didapatkan nilai T2 Hotelling = 137453953596184 Dengan = 3 dan ( , , ) = 2.766 dari adalah = 3(60 − 1) 60 − 3 × 2.766 = 8.391
  • 23.
    18 Kesimpulan : Dengan nilai= 0.05, = 3, dan n = 60 didapatkan nilai = 8.391 dan nilai T2 Hotelling sebesar 137453953596184, diketahui bahwa tolak H0. Sehingga dapat disimpulkan bahwa rata-rata dugaan tidak sama dengan nilai rata- rata populasi. Untuk menghetahui kebenaran dari perhitungan T2 Hotelling, kemudian dilanjutkan ke perhitungan selanjutnya. Dengan menggunakan rumus T2 interval − ( − 1) ( − ) ( , , ) ≤ ≤ + ( − 1) ( − ) ( , , ) yang diketahui ( ) ( ) ( , , ) = ( ) ( ) × 2.766 = √8.589 = 2.931 a. Mengitung nilai T2 -Interval pada data giro = = 147439.5499 − ( ) ( ) ( , , ) = 3019796,0167 − (2.931 × 147439.5499) = 2587650.552 + ( ) ( ) ( , , ) = 3019796.0167 + (2.931 × 147439.5499) = 3913722.135 T2 Interval untuk data S11 2587650.552 ≤ ≤ 3913722.135 b. Mengitung nilai T2 -Interval pada data deposito = = 65346.183 − ( ) ( ) ( , , ) = 1150104.05 − (2.931 × 65346.183) = 958574.387 + ( ) ( ) ( , , ) = 1150104.05 + (2.931 × 65346.183) = 41633.712 T2 Interval untuk data S11 958574.387 ≤ ≤ 41633.712
  • 24.
    19 c. Mengitung nilaiT2 -Interval pada data tabungan = , = 48609.014 − ( ) ( ) ( , , ) = 811665.93 − (2.931 × 48609.014) = 669192.92 + ( ) ( ) ( , , ) = 811665.93 + (2.931 × 48609.014) = 954138.95 T2 Interval untuk data S11 669192.92 ≤ ≤ 954138.95 Kesimpulan : Berdasarkan perhitungan T2 interval diketahui bahwa rata-rata dugaan pada data deposito sebesar 103846751176.281 dan data tabungan sebesar 165791390933.137 tidak masuk dalam T2 interval. Sehingga dapat disimpulkan bahwa yang menyebabkan H0 ditolak adalah kesalahan dalam menduga rata-rata pada variabel deposito dan tabungan.
  • 25.
    20 BAB IV KESIMPULAN DANSARAN 5.1 Kesimpulan Kesimpulan yang dapat diambil dari penelitian ini adalah sebagai berikut, 1. Dari data giro, deposito dan tabungan memili nilai mean sebesar 3019796 ,1150104 dan 811666. Variansi yang ditujukan oleh data giro, deposito dan tabungan pun juga kecil yaitu 1.304, 2.562 dan 1.418. Dari ketiga data yang diuji yaitu data giro, deposito dan tabungan, ketiga datanya tidak ada yang outliear. 2. Berdasarkan uji Anderson Darling, dengan nilai p-value yang dibandingkan dengan . Ketiga data yang diuji yaitu data giro, deposito dan tabungan tidak berdistribusi normal. 3. Dengan nilai T2 Hotelling sebesar 137453953596184, rata-rata dugaan tidak sama dengan nilai rata-rata populasi, yang disebabkan karena rata- rata dugaan pada data deposito sebesar 103846751176.281 dan data tabungan sebesar 165791390933.137 tidak masuk dalam T2 interval. 5.2 Saran Adapun saran untuk penelitian selanjutnya adalahsebagai berikut, 1. Meneliti dan mencermati jenis data dan banyaknya data yang akan digunakan dalam analisis. 2. Meneliti dan memahami mengenai jenis metode yang akan dibuat untuk menganalisis. 3. Meneliti setiap langkah-langkah dalam perhitungan manual uji Hotelling .
  • 26.
    21 DAFTAR PUSTAKA Hidayat, Anwar.2013. Normalitas pada minitab. Dapat diakses di http://www.statistikian.com/2013/03/normalitas-pada-minitab.html (diakses pada hari Jumat 27 Februari 2015) Johnson, Richard A., dan Wichern Dean W. Applied Multivariate Statistical Analysis (6th edition). New Jersey : Pearson Prentice Hall Mandiri, Bank. 2015. Mandiri Giro. Dapat diakses di http://www.bankmandiri.co.id/article/785360776036.asp?article_id=785360 776036 (diakses pukul 17.46 pada hari Selasa 3 Maret 2015) Panin, Bank. 2015. Giro Panin. Dapat diakses http://www.panin.co.id/pages/123/giro-panin (diakses pada hari Selasa 3 Maret 2015) Tampomas, Husein. 2003. Sukses Ulangan Dan Ujian Sistem Persamaan Linear Statistika. Jakarta : Grasindo. Walpole, Ronald E. 1995. Pengantar Statistika edisi ke-3. Jakarta: Gamedia
  • 27.
    LAMPIRAN Lampiran 1. Datagiro, deposito dan tabungan No Bulan Giro* Deposito* Tabungan* 1 Januari 2000 791199 368513 389136 2 Februari 2000 809389 364796 377461 3 Maret 2000 610565 382488 406214 4 April 2000 874923 384629 396318 5 Mei 2000 890685 385682 404982 6 Juni 2000 990786 378648 398263 7 Juli 2000 1064211 379893 398608 8 Agustus 2000 1195459 393182 397076 9 September 2000 1263922 456124 405663 10 Oktober 2000 1429461 467407 411800 11 November 2000 1472768 482958 424665 12 Desember 2000 1478973 457383 464017 13 Januari 2001 1916461 481284 446809 14 Februari 2001 1985477 588703 419337 15 Maret 2001 2064140 749125 446872 16 April 2001 2291096 762912 443200 17 Mei 2001 2416645 821244 447984 18 Juni 2001 2645407 861083 463159 19 Juli 2001 2852282 907388 499293 20 Agustus 2001 2840157 925644 520461 21 September 2001 2917403 920681 548056 22 Oktober 2001 3195135 983617 563863 23 November 2001 2990559 1020520 619536 24 Desember 2001 3282847 778790 680262 25 Januari 2002 3112297 1091936 634121 26 Februari 2002 3447633 1145307 611758 27 Maret 2002 3581430 1171561 642804 28 April 2002 3751476 1300589 640654 29 Mei 2002 3834888 1367699 612801 30 Juni 2002 3973770 1377839 691381 31 Juli 2002 4203235 1359701 739886 32 Agustus 2002 4332623 1336314 743216 33 September 2002 4335671 1401950 786999 34 Oktober 2002 4163789 1448925 840330 35 November 2002 3638981 1341418 794463 36 Desember 2002 3518782 1110442 958024 37 Januari 2003 3446392 1613483 820418 38 Februari 2003 3856683 1610372 869070 39 Maret 2003 4078189 1772848 928791 40 April 2003 4212589 1908257 946153 41 Mei 2003 4038811 1999776 994894 42 Juni 2003 4179666 1933444 1000301 43 Juli 2003 4089569 2003048 998111 44 Agustus 2003 4168058 2024860 1052485 45 September 2003 4145996 1858362 1057633 46 Oktober 2003 3836759 1761992 1139958 47 November 2003 4168058 1596941 1131921 48 Desember 2003 3327175 1333943 1400854 49 Januari 2004 3238119 1380102 1274389 50 Februari 2004 3464242 1377251 1264113 51 Maret 2004 3366303 1373525 1289269 52 April 2004 3311874 1373785 1313522 53 Mei 2004 3432910 1426518 1362709 54 Juni 2004 3819780 1426586 1323798 55 Juli 2004 3821311 1423206 1359843 56 Agustus 2004 3946829 1581767 1410440 57 September 2004 3935154 1562872 1472314 58 Oktober 2004 3678888 1547685 1485312 59 November 2004 3608926 1481821 1460787 60 Desember 2004 3850955 1477424 1673399 Ket (*) = Dalam ribu rupiah
  • 28.
    Lampiran 2. HasilPerhitungan − Y1 − Y2 − Y3 − 791.199 -2.228.597 368.513 -781.591 389136 -422.530 809.389 -2.210.407 364.796 -785.308 377461 -434.205 610.565 -2.409.231 382488 -767.616 406214 -405.452 874.923 -2.144.873 384629 -765.475 396318 -415.348 890.685 -2.129.111 385682 -764.422 404982 -406.684 990.786 -2.029.010 378648 -771.456 398263 -413.403 1.064.211 -1.955.585 379893 -770.211 398608 -413.058 1.195.459 -1.824.337 393182 -756.922 397076 -414.590 1.263.922 -1.755.874 456124 -693.980 405663 -406.003 1.429.461 -1.590.335 467407 -682.697 411800 -399.866 1.472.768 -1.547.028 482958 -667.146 424665 -387.001 1.478.973 -1.540.823 457383 -692.721 464017 -347.649 1.916.461 -1.103.335 481284 -668.820 446809 -364.857 1.985.477 -1.034.319 588703 -561.401 419337 -392.329 2.064.140 -955.656 749125 -400.979 446872 -364.794 2.291.096 -728.700 762912 -387.192 443200 -368.466 2.416.645 -603.151 821244 -328.860 447984 -363.682 2.645.407 -374.389 861083 -289.021 463159 -348.507 2.852.282 -167.514 907388 -242.716 499293 -312.373 2.840.157 -179.639 925644 -224.460 520461 -291.205 2.917.403 -102.393 920681 -229.423 548056 -263.610 3.195.135 175.339 983617 -166.487 563863 -247.803 2.990.559 -29.237 1020520 -129.584 619536 -192.130 3.282.847 263.051 778790 -371.314 680262 -131.404 3.112.297 92.501 1091936 -58.168 634121 -177.545 3.447.633 427.837 1145307 -4.797 611758 -199.908 3.581.430 561.634 1171561 21.457 642804 -168.862 3.751.476 731.680 1300589 150.485 640654 -171.012 3.834.888 815.092 1367699 217.595 612801 -198.865 3.973.770 953.974 1377839 227.735 691381 -120.285 4.203.235 1.183.439 1359701 209.597 739886 -71.780 4.332.623 1.312.827 1336314 186.210 743216 -68.450 4.335.671 1.315.875 1401950 251.846 786999 -24.667 4.163.789 1.143.993 1448925 298.821 840330 28.664 3.638.981 619.185 1341418 191.314 794463 -17.203 3.518.782 498.986 1110442 -39.662 958024 146.358 3.446.392 426.596 1613483 463.379 820418 8.752 3.856.683 836.887 1610372 460.268 869070 57.404 4.078.189 1.058.393 1772848 622.744 928791 117.125 4.212.589 1.192.793 1908257 758.153 946153 134.487 4.038.811 1.019.015 1999776 849.672 994894 183.228 4.179.666 1.159.870 1933444 783.340 1000301 188.635 4.089.569 1.069.773 2003048 852.944 998111 186.445 4.168.058 1.148.262 2024860 874.756 1052485 240.819 4.145.996 1.126.200 1858362 708.258 1057633 245.967 3.836.759 816.963 1761992 611.888 1139958 328.292 4.168.058 1.148.262 1596941 446.837 1131921 320.255 3.327.175 307.379 1333943 183.839 1400854 589.188 3.238.119 218.323 1380102 229.998 1274389 462.723 3.464.242 444.446 1377251 227.147 1264113 452.447 3.366.303 346.507 1373525 223.421 1289269 477.603 3.311.874 292.078 1373785 223.681 1313522 501.856 3.432.910 413.114 1426518 276.414 1362709 551.043 3.819.780 799.984 1426586 276.482 1323798 512.132 3.821.311 801.515 1423206 273.102 1359843 548.177 3.946.829 927.033 1581767 431.663 1410440 598.774 3.935.154 915.358 1562872 412.768 1472314 660.648 3.678.888 659.092 1547685 397.581 1485312 673.646 3.608.926 589.130 1481821 331.717 1460787 649.121 3.850.955 831.159 1477424 327.320 1673399 861.733
  • 29.
    Lampiran 3. Hasilperhitungan − ( − ) ( − ) ( − ) ( − ) × ( − ) ( − ) × ( − ) ( − ) × ( − ) 1 4966644662696 610884569440 178531544563 941648948879 1741851482283 330.245.614.250 2 4885899179329 616708733395 188533924131 959769631311 1735850423965 340.984.629.496 3 5804394091669 589234400218 164391270244 976827373554 1849364396551 311.231.411.530 4 4600480257625 585952052173 172513905724 890868574735 1641846779677 317.938.480.036 5 4533113721291 584341070526 165391821631 865875242761 1627539408038 310.878.166.021 6 4116881647734 595144437082 170901985289 838798692653 1565292052868 318.922.194.008 7 3824312757411 593225061542 170616856290 807769905442 1506213189051 318.141.784.543 8 3328205550380 572930989776 171884812821 756351762117 1380880914546 313.812.262.248 9 3083093562405 481608309798 164838381875 712890001330 1218541537880 281.757.935.975 10 2529165465236 466075262079 159892764641 635920795752 1085717024390 272.987.293.082 11 2393295684352 445083852031 149769722401 598701286343 1032093630559 258.186.144.020 12 2374135568690 479862453113 120859780848 535665478200 1067360537970 240.823.734.130 13 1217348159003 447320259282 133120581801 402559430620 737932581014 244.023.632.395 14 1069815828238 315171138941 153921991930 405793276535 580667781992 220.253.875.119 15 913278422191 160784198539 133074613797 348617517233 383198041690 146.274.724.834 16 531003714290 149917683583 135767144027 268501131761 282146853288 142.667.080.082 17 363791148906 108148932486 132264548633 219355127833 198352273499 119.600.458.780 18 140167135801 83533167343 121457082581 130477168072 108206306705 100.725.839.804 19 28060945780 58911080928 97576849479 52326844761 40658340445 75.817.924.506 20 32270176309 50382314046 84800313198 52311767872 40321782663 65.363.873.896 21 10484329862 52634935871 69490196952 26991816297 23491318182 60.478.194.916 22 30743759076 27717937818 61406293769 -43449514398 -29191670085 41.255.979.352 23 854803144 16792026014 36913911283 5617306063 3788651030 24.896.974.888 24 69195819833 137874123727 17266993695 -34565933877 -97674525978 48.792.126.672 25 8556431918 3383522041 31522203352 -16423080919 -5380601824 10.327.442.559 26 183044484308 23011689 39963181810 -85528007142 -2052355401 958.968.352 27 315432731235 460400703 28514352529 -94838600251 12050952299 -3.623.262.060 28 535355598011 22645720177 29245081342 -125126008531 110106825708 -25.734.722.237 29 664374941294 47347562266 39547261710 -162093212926 177359899359 -43.272.005.225 30 910066360877 51863207452 14468465187 -114748696987 217253217396 -27.393.083.278 31 1400527827273 43930881449 5152358829 -84947171328 248045201418 -15.044.855.098 32 1723514688168 34674145479 4685393373 -89862919487 244461446925 -12.746.058.664 33 1731526971763 63426382531 608457600 -32458600489 331397785259 -6.212.267.259 34 1308719945916 89293960159 821628718 32791491140 341849070073 8.565.423.632 35 383390043586 36601027465 295940915 -10651797989 118458724942 -3.291.161.128 36 248987011563 1573078210 21420683678 73030623814 -19790807020 -5.804.860.958 37 181984132996 214720051303 76598671 3733596486 197675598831 4.055.523.462 38 700379822873 211846585797 3295226870 48040716184 385192256201 26.421.252.086 39 1120195707169 387810027262 13718281242 123964348732 659107827093 72.938.926.660
  • 30.
    40 1422755101089 57479589559418086771101 160415229469 904319519053 101.961.766.330 41 1038391536258 721942422617 33572524414 186712145301 865828447968 155.683.748.699 42 1345298378238 613621477266 35583188376 218792151631 908572494751 147.765.383.691 43 1144414235870 727513381842 34761762884 199453895196 912456394008 159.027.191.621 44 1318505582369 765197972060 57993822870 276523379115 1004449002080 210.657.911.440 45 1268326402460 501629323738 60499797885 277008106381 797640091486 174.208.130.405 46 667428516137 374406863355 107775681036 268202466189 499889805098 200.877.959.674 47 1318505582369 199663259885 102563307726 367736718023 513085882434 143.101.797.211 48 94481839395 33796759537 347142577902 181104028924 56508229548 108.315.715.529 49 47664925052 52899057004 214112636425 101023080372 50213838605 106.425.356.751 50 197532232101 51595736894 204708348135 201088281451 100954549554 102.771.971.230 51 120067089499 49916920899 228104689289 165492797861 77416919398 106.706.530.878 52 85309548348 50033167393 251859511650 146581107876 65332280786 112.255.641.755 53 170663163226 76404671755 303648461321 227643596259 114190467933 152.315.990.677 54 639974373590 76442268676 262279253708 409697450685 221181131681 141.595.272.450 55 642426268508 74584675094 300498096419 439372132453 218895304903 149.708.225.852 56 859390152188 186332902403 358530382913 555083309365 400165792333 258.468.580.001 57 837880237652 170377380547 436455867990 604729481997 377830438297 272.694.348.149 58 434402242494 158070611803 453799023135 443994722144 262042416871 267.828.843.149 59 347074137262 110036134917 421358159190 382416683187 195424401225 215.324.460.415 60 690825255576 107138349668 742583878187 716237179595 272054916867 282.062.424.295 sum 76954009889877 15116237786679 8364440149990 17349814255631 31558636478356 8455962845629 dibagi n-1 1304305252371 256207420113 141770172034 294064648401 534892143701 143321404163
  • 31.
    Lampiran 4. Hasilperhitungan di minitab ————— 27/02/2015 22:43:49 ———————————————————— Welcome to Minitab, press F1 for help. MTB > Read 3 3 m1. DATA> 1304305252371;534892143701;294064648401 DATA> 534892143701;256207420113;143321404163 DATA> 294064648401;143321404163;141770172034 294064648401;143321404163;141770172034 3 rows read. MTB > print m1 Data Display Matrix M1 1,30431E+12 5,34892E+11 2,94065E+11 5,34892E+11 2,56207E+11 1,43321E+11 2,94065E+11 1,43321E+11 1,41770E+11 MTB > Invert M1 M2. MTB > print M2 Data Display Matrix M2 0,0000000 -0,0000000 0,0000000 -0,0000000 0,0000000 -0,0000000 0,0000000 -0,0000000 0,0000000 MTB > Read 3 1 m3. DATA> -12453 -12453 DATA> -103845601072 -103845601072 DATA> -414477584385 -414477584385 3 rows read.
  • 32.
    -747180 -6,23074E+12 -2,48687E+13 MTB> Multiply M5 M2 M6. MTB > PRINT M6 Data Display Matrix M6 59,9456 41,9192 -342,134