Embed presentation
Download as PDF, PPTX















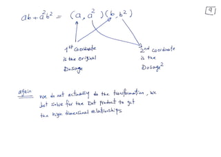
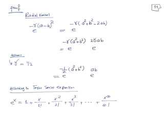
This Handwritten lecture covers the Radial Basis Function Kernel. the derivation of RBF is presented and its relation to Polynomial Kernel. the lecture comes in the way to focus on SVM as a good classifier to small and medium-sized, complex nonlinear dataset














