Stochastic Complexities of Reduced
Rank Regression in Bayesian
Estimationの証明概略
元論文
https://pdfs.semanticscholar.org/4972/55bf11a6726ee220e6b1
1e3442936ce3d6c6.pdf
http://watanabe­
www.math.dis.titech.ac.jp/users/aoyagi/isitamiki.pdf
2
示したいこと
Reduced Rank Regression model
p(y∣x, w) = exp( ∣∣y − BAx∣∣
{w = (A, B)} (AはHxM行列,BはNxH行列)
の学習係数(Real Log Canonical Threshold)は
λ = max{ ∣0 ≤ s ≤ min(M + r, H + r)}
で与えられる
√2π
N
1
2
1 2
2
(N+M)r−r +s(N−r)+(M−r−s)(H−r−s)2
3
方針
真の分布にたいして
KL distance
Φ ≡ ∥BA − B A ∣∣
を考え
サイズ  C : r × r, C : (N − r) × r  の行列に対して
Φ = ∣∣C ∣∣ + ∣∣C ∣∣ + ∣∣C ∣∣ + ∣∣B A ∣∣
と書けることを示し(Lemma 5)
行列の各要素sに再帰的にblow upすることで
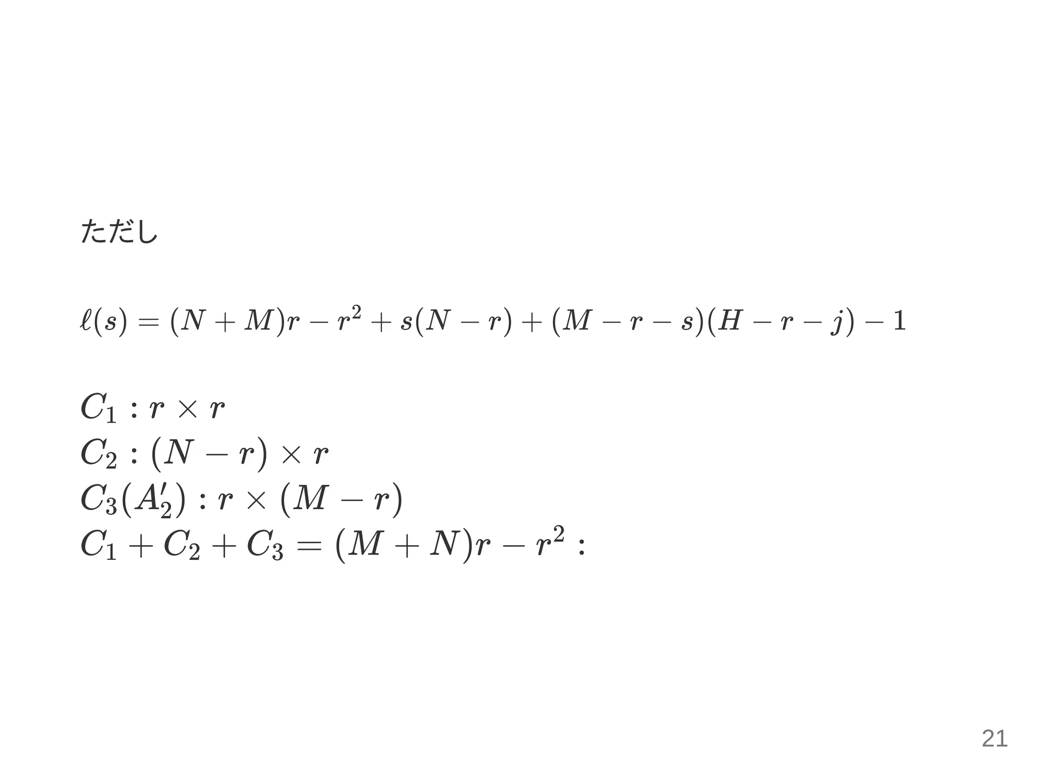
ℓ(s) = (N + M)r − r + s(N − r) + (M − r − s)(H − r − j) − 1
に対して
λ = max{ ∣0 ≤ s ≤ min(M + r, H + r)}
となることを示す。
0 0
2
1 2
′
1
2
2
2
3
2
4 4
2
2
2
ℓ(s)+1
4
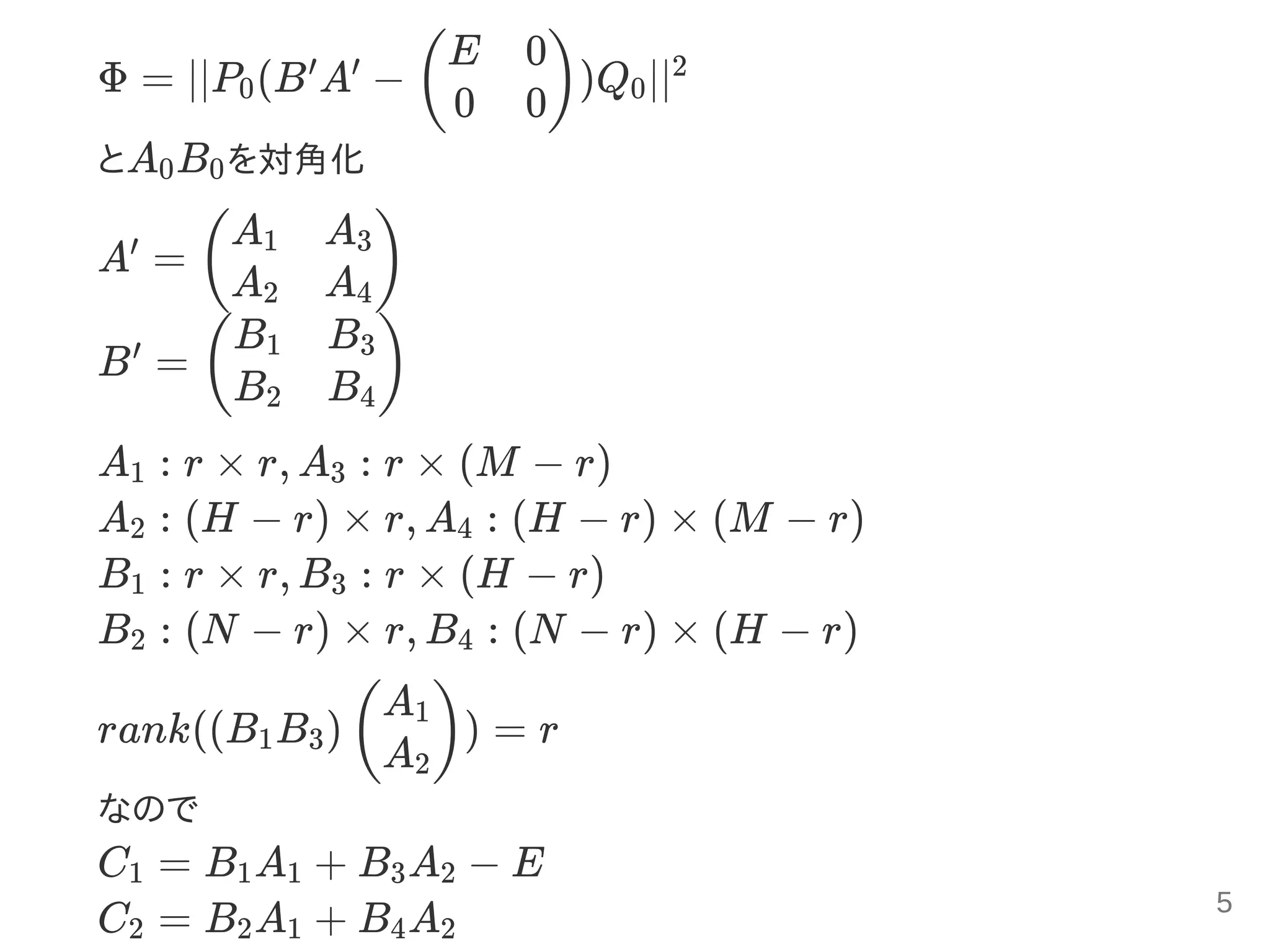
Φ = ∣∣P (B A − )Q ∣∣
とA B を対角化
A =
B =
A : r × r, A : r × (M − r)
A : (H − r) × r, A : (H − r) × (M − r)
B : r × r, B : r × (H − r)
B : (N − r) × r, B : (N − r) × (H − r)
rank((B B ) ) = r
なので
C = B A + B A − E
C = B A + B A
0
′ ′
(
E
0
0
0
) 0
2
0 0
′
(
A1
A2
A3
A4
)
′
(
B1
B2
B3
B4
)
1 3
2 4
1 3
2 4
1 3 (
A1
A2
)
1 1 1 3 2
2 2 1 4 2
5
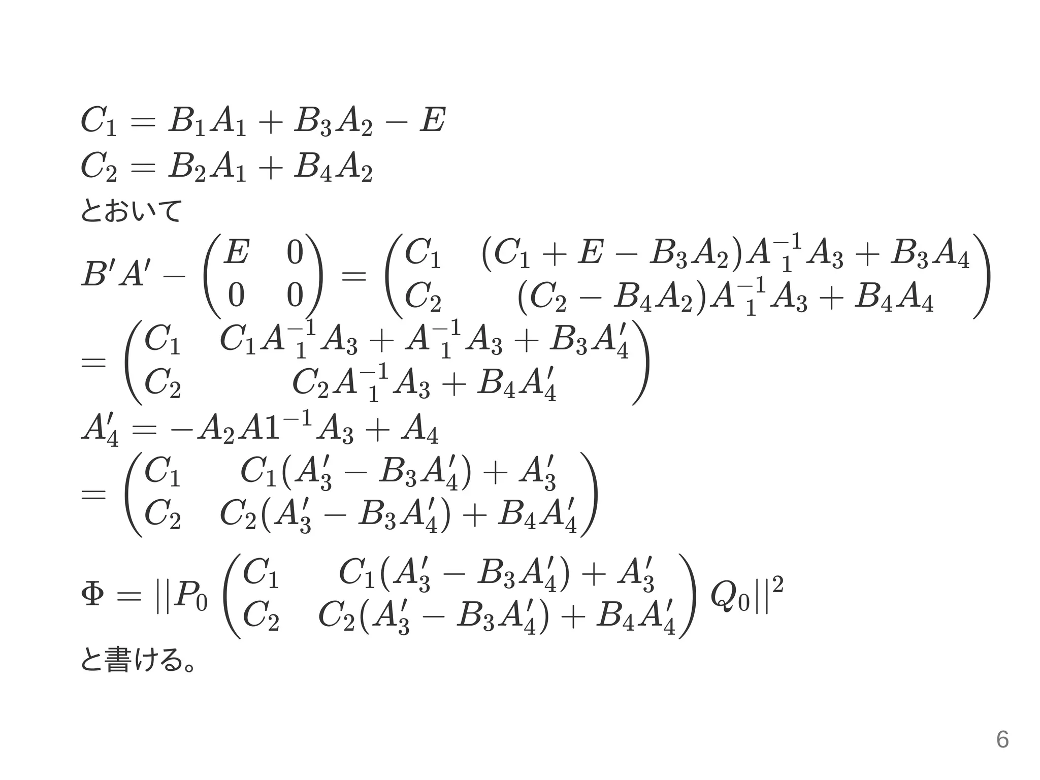
C = B A + B A − E
C = B A + B A
とおいて
B A − =
=
A = −A A1 A + A
=
Φ = ∣∣P Q ∣∣
と書ける。
1 1 1 3 2
2 2 1 4 2
′ ′
(
E
0
0
0
) (
C1
C2
(C + E − B A )A A + B A1 3 2 1
−1
3 3 4
(C − B A )A A + B A2 4 2 1
−1
3 4 4
)
(
C1
C2
C A A + A A + B A1 1
−1
3 1
−1
3 3 4
′
C A A + B A2 1
−1
3 4 4
′ )
4
′
2
−1
3 4
(
C1
C2
C (A − B A ) + A1 3
′
3 4
′
3
′
C (A − B A ) + B A2 3
′
3 4
′
4 4
′ )
0 (
C1
C2
C (A − B A ) + A1 3
′
3 4
′
3
′
C (A − B A ) + B A2 3
′
3 4
′
4 4
′ ) 0
2
6
(lennma2,3から)
Φ ψdw
の極は
∣∣ ∣∣ ψdw
で決まる。
これをblow upしていく。
∫U(A ,B )′ ′
z
∫U(A ,B )′ ′ (
C1
C2
A3
′
B A4 4
′ ) 2z
7
まず
A =
B =
のようにblow upしていく。
{
a = u11 11
a = u a    (i, j) ≠ (1, 1)ij 11 ij
′
4
⎝
⎜
⎜
⎛ a11
a21
aH−r,1
...
...
⋮
...
a1,M−r
a2,M−r
aH−r,M−r
⎠
⎟
⎟
⎞
4
⎝
⎜
⎜
⎛ b11
b21
bN−r,1
...
...
⋮
...
b1,H−r
b2,H−r
bN−r,H−r
⎠
⎟
⎟
⎞
8
逐次的な特異点解消
Φ = u ...u (∣∣C ∣∣ + ∣∣C ∣∣ + ∣∣C ∣∣ + ∣∣b ∣∣
+∣∣ b D + B A ∣∣ )
A = B =
b =
というかたちに持っていきたい
→
′′
11
2
ss
2
1
2
2
2
3
2
∑i=1
s
i
2
∑i=1
s
i i
(s+1) (s+1) 2
s+1
⎝
⎜
⎜
⎛as+1,s+1
as+2,s+1
aH−r,s+1
...
...
⋮
...
a1,M−r
a2,M−r
aH−r,M−r
⎠
⎟
⎟
⎞
4
⎝
⎜
⎜
⎛ b11
b21
bN−r,1
...
...
⋮
...
b1,H−r
b2,H−r
bN−r,H−r
⎠
⎟
⎟
⎞
i
⎝
⎜
⎜
⎛ b1i
b2i
⋮
bN−r,i
⎠
⎟
⎟
⎞
9
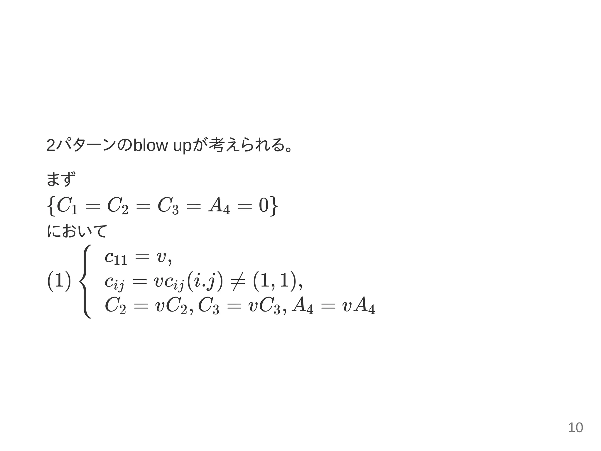
2パターンのblow upが考えられる。
まず
{C = C = C = A = 0}
において
(1)
1 2 3 4
⎩
⎨
⎧ c = v,11
c = vc (i.j) ≠ (1, 1),ij ij
C = vC , C = vC , A = vA2 2 3 3 4 4
10
すると
Φ = v (1 + (c ) + ∣∣C ∣∣ + ∣∣C ∣∣ + ∣∣B A ∣∣ )
となりヤコビアンはv となる。
この指数がλに効いてくる。
′ 2
∑′
ij
(1) 2
2
2
3
2
4 4
2
ℓ(0)
11
別のblow upとして
(2)
を考える。(一般にはa = u という形が含まれる)
これによって
⎩
⎨
⎧ a = u ,11 11
a = u a (i.j) ≠ (1, 1),ij 11 ij
C = vC , C = vC , A = vA2 2 3 3 4 4
ij 11
12
a と列b に関わる項B A から出すと
Φ = u (∣∣C ∣∣ + ∣∣C ∣∣ + ∣∣C ∣∣
+∣∣b + B a ∣∣ + ∣∣(b   B ) ∣∣
と書ける
11 1 4 4
′
11
2
1
2
2
2
3
2
1
(2)
1
2
1
(2)
(
a1
A(2)) 2
13
b = B + B a と書き換えると
Φ = u (∣∣C ∣∣ + ∣∣C ∣∣ + ∣∣C ∣∣
+∣∣b ∣∣ + ∣∣(b − a B   b B ) ∣∣
= u (∣∣C ∣∣ + ∣∣C ∣∣ + ∣∣C ∣∣ + ∣∣b ∣∣
+∣∣(b   0) + B (−a   E) ∣∣
= u (∣∣C ∣∣ + ∣∣C ∣∣ + ∣∣C ∣∣ + ∣∣b ∣∣
+∣∣b + B (−a + A )∣∣
A = −a + A   とおき直すと
1 1
(2)
1
′
11
2
1
2
2
2
3
2
1
2
1 1
(2)
1
(2)
(
a1
A(2)) 2
11
2
1
2
2
2
3
2
1
2
1 (
a¯1
A(2)) (2)
1 (
a¯1
A(2)) 2
11
2
1
2
2
2
3
2
1
2
1a¯ (2)
1a¯1
(2)
(2)
1a¯1
(2)
14
Φ = u (∣∣C ∣∣ + ∣∣C ∣∣ + ∣∣C ∣∣ + ∣∣b ∣∣
+∣∣b + B A ∣∣
とかけ、ヤコビアンはu となる。
B A の各列に対してこの処理を繰り返す。
′
11
2
1
2
2
2
3
2
1
2
1a¯1
(2) (2) 2
11
ℓ
4 4
15
再帰的処理
blow up(1)をΦ
= ∣∣C ∣∣ + ∣∣C ∣∣ + ∣∣C ∣∣ + ∣∣B A ∣∣
に対して行うと
Φ = u ...u v (1 + (c ) + ∣∣C ∣∣ + ∣∣C ∣∣
+ ∣∣b ∣∣ + ∣∣ b D + B A ∣∣
(D はB A のs+1行s+1列以降B A 以外の部分であり再帰
的に定義される。)
c , c , c , b に対しては同じ式の形になり
ヤコビアンはu ...u v
(Φ dw = Φ u ...u v dw)
′
1
2
2
2
3
2
4 4
2
′′
11
2
ss
2 2
∑′
ij
(1) 2
2
2
3
2
∑i=1
s
i
2
∑i=1
s
i i
(s+1) (s+1) 2
i 4 4
(s+1) (s+1)
ji
(1)
ji
(2)
ji
(3)
ji
11
ℓ(0)
ss
ℓ(s+1) ℓ(s)
′z ′ ′′z
11
ℓ(0)
ss
ℓ(s+1) ℓ(s)
16
blow up(2)をΦ に行うと
Φ = u ...u u (∣∣C ∣∣ + ∣∣C ∣∣ + ∣∣C ∣∣
∣∣b ∣∣
+∣∣ b D + (b   B ) ∣∣
= u ...u u (∣∣C ∣∣ + ∣∣C ∣∣ + ∣∣C ∣∣
+ ∣∣b ∣∣
+∣∣ b D + (b + B a   0) + (b   B ) ∣∣
= (a , ..., a )
a = (a , ..., a )
と変換される。
′
′′
11
2
ss
2
s+1,s+1
2
1
2
2
2
3
2
∑i=1
s
s
2
∑i=1
s
i i s+1
(s+2)
(
1
as+1
a¯s+1
A(s+2)) 2
11
2
ss
2
s+1,s+1
2
1
2
2
2
3
2
∑i=1
s
1
2
∑i=1
s
s i s+1
(s+2)
s+1 s+1
(s+2)
(
a¯s+1
A(s+2)) 2
a¯s+1 s+1,s+2 s+1,M+r
s+1 s+2,s+1 H−r,s+1
T
17
D = (Col1(D )  D )
とおくと
Φ /u ...u u
= ∣∣C ∣∣ + ∣∣C ∣∣ + ∣∣C ∣∣ + ∣∣b ∣∣ + ∣∣b ∣∣
+∣∣ b D + (b − B a − b Col(D )  B ) ∣∣
b をまとめて項を分割
= ∣∣C ∣∣ + ∣∣C ∣∣ + ∣∣C ∣∣ + ∣∣b ∣∣
+∣∣ b D + (b − b Col(D )  0)
+(−B a   B ) ∣∣
b = b + B a + b Col(D )
とおき直す。
i i i
′
′′
11
2
ss
2
s+1,s+1
2
1
2
2
2
3
2
∑i=1
s
s
2
s+1
2
∑i=1
s
i i
′
s+1
(s+2)
s+1 ∑s
i i
(s+2)
(
a¯s+1
A(s+2)) 2
s+1
1
2
2
2
3
2
∑i=1
s+1
i
2
∑i=1
s
i i
′
s+1 ∑s
i i (
a¯s+1
A(s+2))
(s+2)
s+1
(s+2)
(
a¯s+1
A(s+2)) 2
s+1 s+1
s+2)
s+1 ∑s
i i
18
計算とb_iでのくくり出し
= ∣∣C ∣∣ + ∣∣C ∣∣ + ∣∣C ∣∣ + ∣∣b ∣∣
+∣∣ b (D − Col(D ) ) + b
+B (−a   E) ∣∣
(Eは単位行列)
= ∣∣C ∣∣ + ∣∣C ∣∣ + ∣∣C ∣∣ + ∣∣b ∣∣
+∣∣ b (D − Col(D ) ) + b
+B (−a + A )∣∣
1
2
2
2
3
2
∑i=1
s+1
s
2
∑i=1
s
i i
′
i a¯s+1 s+1a¯s+1
(s+2)
s+1 (
a¯s+1
A(s+2)) 2
1
2
2
2
3
2
∑i=1
s+1
s
2
∑i=1
s
i i
′
i a¯s+1 s+1a¯s+1
(s+2)
s+1a¯s+1
(s+2) 2
19
A = −a + A とおき直すと
= ∣∣C ∣∣ + ∣∣C ∣∣ + ∣∣C ∣∣ + ∣∣b ∣∣
+∣∣ b (D − Col(D ) ) + b
+B A ∣∣
D = D − Col(D ) ,   D =
とおき直すと元の形
Φ = ∣∣C ∣∣ + ∣∣C ∣∣ + ∣∣C ∣∣ + ∣∣b ∣∣
+∣∣ b D + D + B A ∣∣
= ∣∣C ∣∣ + ∣∣C ∣∣ + ∣∣C ∣∣ + ∣∣b ∣∣ + ∣∣ b D + B A ∣∣
戻るのでblow up(1),(2)を繰り返す。すると各変数の指数はℓ(s)
なので最大の極の指数(Real Log Canonical Threshold)は
λ = max{ ∣0 ≤ s ≤ min(M + r, H + r)}
と書ける。
(s+2)
s+1a¯s+1
(s+2)
1
2
2
2
3
2
∑i=1
s+1
s
2
∑i=1
s
i i
′
i a¯s+1 s+1a¯s+1
(s+2) (s+2) 2
i i
′
i a¯s+1 s+1 a¯s+1
1
2
2
2
3
2
∑i=1
s+1
s
2
∑i=1
s
i i s+1a¯s+1
(s+2) (s+2) 2
1
2
2
2
3
2
∑i=1
s+1
s
2
∑i=1
s+1
i i
(s+2) (s+2) 2
2
(N+M)r−r +s(N−r)+(M−r−s)(H−r−s)2
20
ただし
ℓ(s) = (N + M)r − r + s(N − r) + (M − r − s)(H − r − j) − 1
C : r × r
C : (N − r) × r
C (A ) : r × (M − r)
C + C + C = (M + N)r − r :
2
1
2
3 2
′
1 2 3
2
21
Lemma2(元論文の8 page)
ζ(z) = ∣f(w)∣ g(w)dw
の極−Λ(f, g)は
∣f ∣ ≤ ∣f ∣, ∣g ∣ ≤ ∣g ∣)の時Λ(f , g ) ≤ Λ(f , g )
∫W
z
1 2 1 2 1 2 2 2
22
Lemma3(元論文の9 page)
T (w), T (w), T (w)をそれぞれN × H , N × M , H × M
行列の関数とすると
∃α, β.st.
α(∣∣T ∣∣ + ∣∣T ∣∣ ) ≤ ∣∣T ∣∣ + ∣∣T + T T∣∣ ≤ β(∣∣T ∣∣ + ∣∣T ∣∣ )
1 2 3
′ ′ ′ ′ ′ ′
1
2
2
2
1
2
2 1
2
1
2
2
2
23
24

Stochastic complexities of reduced rank regression証明概略

  • 1.
  • 2.
  • 3.
    示したいこと Reduced Rank Regression model p(y∣x, w) =exp( ∣∣y − BAx∣∣ {w = (A, B)} (AはHxM行列,BはNxH行列) の学習係数(Real Log Canonical Threshold)は λ = max{ ∣0 ≤ s ≤ min(M + r, H + r)} で与えられる √2π N 1 2 1 2 2 (N+M)r−r +s(N−r)+(M−r−s)(H−r−s)2 3
  • 4.
    方針 真の分布にたいして KL distance Φ ≡ ∥BA− B A ∣∣ を考え サイズ  C : r × r, C : (N − r) × r  の行列に対して Φ = ∣∣C ∣∣ + ∣∣C ∣∣ + ∣∣C ∣∣ + ∣∣B A ∣∣ と書けることを示し(Lemma 5) 行列の各要素sに再帰的にblow upすることで ℓ(s) = (N + M)r − r + s(N − r) + (M − r − s)(H − r − j) − 1 に対して λ = max{ ∣0 ≤ s ≤ min(M + r, H + r)} となることを示す。 0 0 2 1 2 ′ 1 2 2 2 3 2 4 4 2 2 2 ℓ(s)+1 4
  • 5.
    Φ = ∣∣P(B A − )Q ∣∣ とA B を対角化 A = B = A : r × r, A : r × (M − r) A : (H − r) × r, A : (H − r) × (M − r) B : r × r, B : r × (H − r) B : (N − r) × r, B : (N − r) × (H − r) rank((B B ) ) = r なので C = B A + B A − E C = B A + B A 0 ′ ′ ( E 0 0 0 ) 0 2 0 0 ′ ( A1 A2 A3 A4 ) ′ ( B1 B2 B3 B4 ) 1 3 2 4 1 3 2 4 1 3 ( A1 A2 ) 1 1 1 3 2 2 2 1 4 2 5
  • 6.
    C = BA + B A − E C = B A + B A とおいて B A − = = A = −A A1 A + A = Φ = ∣∣P Q ∣∣ と書ける。 1 1 1 3 2 2 2 1 4 2 ′ ′ ( E 0 0 0 ) ( C1 C2 (C + E − B A )A A + B A1 3 2 1 −1 3 3 4 (C − B A )A A + B A2 4 2 1 −1 3 4 4 ) ( C1 C2 C A A + A A + B A1 1 −1 3 1 −1 3 3 4 ′ C A A + B A2 1 −1 3 4 4 ′ ) 4 ′ 2 −1 3 4 ( C1 C2 C (A − B A ) + A1 3 ′ 3 4 ′ 3 ′ C (A − B A ) + B A2 3 ′ 3 4 ′ 4 4 ′ ) 0 ( C1 C2 C (A − B A ) + A1 3 ′ 3 4 ′ 3 ′ C (A − B A ) + B A2 3 ′ 3 4 ′ 4 4 ′ ) 0 2 6
  • 7.
    (lennma2,3から) Φ ψdw の極は ∣∣ ∣∣ψdw で決まる。 これをblow upしていく。 ∫U(A ,B )′ ′ z ∫U(A ,B )′ ′ ( C1 C2 A3 ′ B A4 4 ′ ) 2z 7
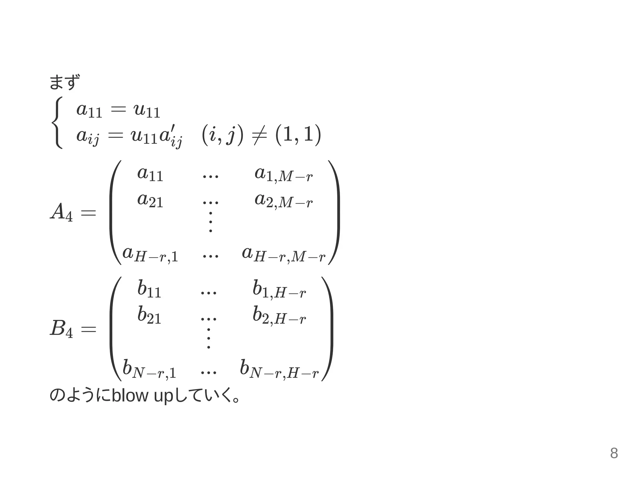
  • 8.
    まず A = B = のようにblow upしていく。 { a= u11 11 a = u a    (i, j) ≠ (1, 1)ij 11 ij ′ 4 ⎝ ⎜ ⎜ ⎛ a11 a21 aH−r,1 ... ... ⋮ ... a1,M−r a2,M−r aH−r,M−r ⎠ ⎟ ⎟ ⎞ 4 ⎝ ⎜ ⎜ ⎛ b11 b21 bN−r,1 ... ... ⋮ ... b1,H−r b2,H−r bN−r,H−r ⎠ ⎟ ⎟ ⎞ 8
  • 9.
    逐次的な特異点解消 Φ = u...u (∣∣C ∣∣ + ∣∣C ∣∣ + ∣∣C ∣∣ + ∣∣b ∣∣ +∣∣ b D + B A ∣∣ ) A = B = b = というかたちに持っていきたい → ′′ 11 2 ss 2 1 2 2 2 3 2 ∑i=1 s i 2 ∑i=1 s i i (s+1) (s+1) 2 s+1 ⎝ ⎜ ⎜ ⎛as+1,s+1 as+2,s+1 aH−r,s+1 ... ... ⋮ ... a1,M−r a2,M−r aH−r,M−r ⎠ ⎟ ⎟ ⎞ 4 ⎝ ⎜ ⎜ ⎛ b11 b21 bN−r,1 ... ... ⋮ ... b1,H−r b2,H−r bN−r,H−r ⎠ ⎟ ⎟ ⎞ i ⎝ ⎜ ⎜ ⎛ b1i b2i ⋮ bN−r,i ⎠ ⎟ ⎟ ⎞ 9
  • 10.
    2パターンのblow upが考えられる。 まず {C = C= C = A = 0} において (1) 1 2 3 4 ⎩ ⎨ ⎧ c = v,11 c = vc (i.j) ≠ (1, 1),ij ij C = vC , C = vC , A = vA2 2 3 3 4 4 10
  • 11.
    すると Φ = v(1 + (c ) + ∣∣C ∣∣ + ∣∣C ∣∣ + ∣∣B A ∣∣ ) となりヤコビアンはv となる。 この指数がλに効いてくる。 ′ 2 ∑′ ij (1) 2 2 2 3 2 4 4 2 ℓ(0) 11
  • 12.
    別のblow upとして (2) を考える。(一般にはa = uという形が含まれる) これによって ⎩ ⎨ ⎧ a = u ,11 11 a = u a (i.j) ≠ (1, 1),ij 11 ij C = vC , C = vC , A = vA2 2 3 3 4 4 ij 11 12
  • 13.
    a と列b に関わる項BA から出すと Φ = u (∣∣C ∣∣ + ∣∣C ∣∣ + ∣∣C ∣∣ +∣∣b + B a ∣∣ + ∣∣(b   B ) ∣∣ と書ける 11 1 4 4 ′ 11 2 1 2 2 2 3 2 1 (2) 1 2 1 (2) ( a1 A(2)) 2 13
  • 14.
    b = B+ B a と書き換えると Φ = u (∣∣C ∣∣ + ∣∣C ∣∣ + ∣∣C ∣∣ +∣∣b ∣∣ + ∣∣(b − a B   b B ) ∣∣ = u (∣∣C ∣∣ + ∣∣C ∣∣ + ∣∣C ∣∣ + ∣∣b ∣∣ +∣∣(b   0) + B (−a   E) ∣∣ = u (∣∣C ∣∣ + ∣∣C ∣∣ + ∣∣C ∣∣ + ∣∣b ∣∣ +∣∣b + B (−a + A )∣∣ A = −a + A   とおき直すと 1 1 (2) 1 ′ 11 2 1 2 2 2 3 2 1 2 1 1 (2) 1 (2) ( a1 A(2)) 2 11 2 1 2 2 2 3 2 1 2 1 ( a¯1 A(2)) (2) 1 ( a¯1 A(2)) 2 11 2 1 2 2 2 3 2 1 2 1a¯ (2) 1a¯1 (2) (2) 1a¯1 (2) 14
  • 15.
    Φ = u(∣∣C ∣∣ + ∣∣C ∣∣ + ∣∣C ∣∣ + ∣∣b ∣∣ +∣∣b + B A ∣∣ とかけ、ヤコビアンはu となる。 B A の各列に対してこの処理を繰り返す。 ′ 11 2 1 2 2 2 3 2 1 2 1a¯1 (2) (2) 2 11 ℓ 4 4 15
  • 16.
    再帰的処理 blow up(1)をΦ = ∣∣C ∣∣+ ∣∣C ∣∣ + ∣∣C ∣∣ + ∣∣B A ∣∣ に対して行うと Φ = u ...u v (1 + (c ) + ∣∣C ∣∣ + ∣∣C ∣∣ + ∣∣b ∣∣ + ∣∣ b D + B A ∣∣ (D はB A のs+1行s+1列以降B A 以外の部分であり再帰 的に定義される。) c , c , c , b に対しては同じ式の形になり ヤコビアンはu ...u v (Φ dw = Φ u ...u v dw) ′ 1 2 2 2 3 2 4 4 2 ′′ 11 2 ss 2 2 ∑′ ij (1) 2 2 2 3 2 ∑i=1 s i 2 ∑i=1 s i i (s+1) (s+1) 2 i 4 4 (s+1) (s+1) ji (1) ji (2) ji (3) ji 11 ℓ(0) ss ℓ(s+1) ℓ(s) ′z ′ ′′z 11 ℓ(0) ss ℓ(s+1) ℓ(s) 16
  • 17.
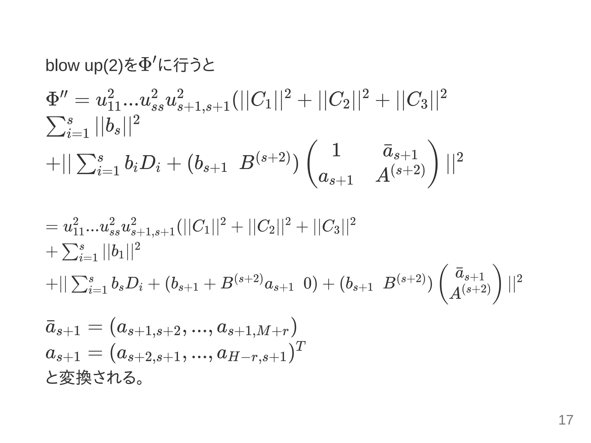
    blow up(2)をΦ に行うと Φ =u ...u u (∣∣C ∣∣ + ∣∣C ∣∣ + ∣∣C ∣∣ ∣∣b ∣∣ +∣∣ b D + (b   B ) ∣∣ = u ...u u (∣∣C ∣∣ + ∣∣C ∣∣ + ∣∣C ∣∣ + ∣∣b ∣∣ +∣∣ b D + (b + B a   0) + (b   B ) ∣∣ = (a , ..., a ) a = (a , ..., a ) と変換される。 ′ ′′ 11 2 ss 2 s+1,s+1 2 1 2 2 2 3 2 ∑i=1 s s 2 ∑i=1 s i i s+1 (s+2) ( 1 as+1 a¯s+1 A(s+2)) 2 11 2 ss 2 s+1,s+1 2 1 2 2 2 3 2 ∑i=1 s 1 2 ∑i=1 s s i s+1 (s+2) s+1 s+1 (s+2) ( a¯s+1 A(s+2)) 2 a¯s+1 s+1,s+2 s+1,M+r s+1 s+2,s+1 H−r,s+1 T 17
  • 18.
    D = (Col1(D)  D ) とおくと Φ /u ...u u = ∣∣C ∣∣ + ∣∣C ∣∣ + ∣∣C ∣∣ + ∣∣b ∣∣ + ∣∣b ∣∣ +∣∣ b D + (b − B a − b Col(D )  B ) ∣∣ b をまとめて項を分割 = ∣∣C ∣∣ + ∣∣C ∣∣ + ∣∣C ∣∣ + ∣∣b ∣∣ +∣∣ b D + (b − b Col(D )  0) +(−B a   B ) ∣∣ b = b + B a + b Col(D ) とおき直す。 i i i ′ ′′ 11 2 ss 2 s+1,s+1 2 1 2 2 2 3 2 ∑i=1 s s 2 s+1 2 ∑i=1 s i i ′ s+1 (s+2) s+1 ∑s i i (s+2) ( a¯s+1 A(s+2)) 2 s+1 1 2 2 2 3 2 ∑i=1 s+1 i 2 ∑i=1 s i i ′ s+1 ∑s i i ( a¯s+1 A(s+2)) (s+2) s+1 (s+2) ( a¯s+1 A(s+2)) 2 s+1 s+1 s+2) s+1 ∑s i i 18
  • 19.
    計算とb_iでのくくり出し = ∣∣C ∣∣+ ∣∣C ∣∣ + ∣∣C ∣∣ + ∣∣b ∣∣ +∣∣ b (D − Col(D ) ) + b +B (−a   E) ∣∣ (Eは単位行列) = ∣∣C ∣∣ + ∣∣C ∣∣ + ∣∣C ∣∣ + ∣∣b ∣∣ +∣∣ b (D − Col(D ) ) + b +B (−a + A )∣∣ 1 2 2 2 3 2 ∑i=1 s+1 s 2 ∑i=1 s i i ′ i a¯s+1 s+1a¯s+1 (s+2) s+1 ( a¯s+1 A(s+2)) 2 1 2 2 2 3 2 ∑i=1 s+1 s 2 ∑i=1 s i i ′ i a¯s+1 s+1a¯s+1 (s+2) s+1a¯s+1 (s+2) 2 19
  • 20.
    A = −a+ A とおき直すと = ∣∣C ∣∣ + ∣∣C ∣∣ + ∣∣C ∣∣ + ∣∣b ∣∣ +∣∣ b (D − Col(D ) ) + b +B A ∣∣ D = D − Col(D ) ,   D = とおき直すと元の形 Φ = ∣∣C ∣∣ + ∣∣C ∣∣ + ∣∣C ∣∣ + ∣∣b ∣∣ +∣∣ b D + D + B A ∣∣ = ∣∣C ∣∣ + ∣∣C ∣∣ + ∣∣C ∣∣ + ∣∣b ∣∣ + ∣∣ b D + B A ∣∣ 戻るのでblow up(1),(2)を繰り返す。すると各変数の指数はℓ(s) なので最大の極の指数(Real Log Canonical Threshold)は λ = max{ ∣0 ≤ s ≤ min(M + r, H + r)} と書ける。 (s+2) s+1a¯s+1 (s+2) 1 2 2 2 3 2 ∑i=1 s+1 s 2 ∑i=1 s i i ′ i a¯s+1 s+1a¯s+1 (s+2) (s+2) 2 i i ′ i a¯s+1 s+1 a¯s+1 1 2 2 2 3 2 ∑i=1 s+1 s 2 ∑i=1 s i i s+1a¯s+1 (s+2) (s+2) 2 1 2 2 2 3 2 ∑i=1 s+1 s 2 ∑i=1 s+1 i i (s+2) (s+2) 2 2 (N+M)r−r +s(N−r)+(M−r−s)(H−r−s)2 20
  • 21.
    ただし ℓ(s) = (N+ M)r − r + s(N − r) + (M − r − s)(H − r − j) − 1 C : r × r C : (N − r) × r C (A ) : r × (M − r) C + C + C = (M + N)r − r : 2 1 2 3 2 ′ 1 2 3 2 21
  • 22.
    Lemma2(元論文の8 page) ζ(z) = ∣f(w)∣g(w)dw の極−Λ(f, g)は ∣f ∣ ≤ ∣f ∣, ∣g ∣ ≤ ∣g ∣)の時Λ(f , g ) ≤ Λ(f , g ) ∫W z 1 2 1 2 1 2 2 2 22
  • 23.
    Lemma3(元論文の9 page) T (w), T(w), T (w)をそれぞれN × H , N × M , H × M 行列の関数とすると ∃α, β.st. α(∣∣T ∣∣ + ∣∣T ∣∣ ) ≤ ∣∣T ∣∣ + ∣∣T + T T∣∣ ≤ β(∣∣T ∣∣ + ∣∣T ∣∣ ) 1 2 3 ′ ′ ′ ′ ′ ′ 1 2 2 2 1 2 2 1 2 1 2 2 2 23
  • 24.