Chapter 11: Sequences, Series, and Power Series
Section 11.2: Series
Alea Wittig
SUNY Albany
Outline
Infinite Series
Sum of a Geometric Series
Divergent Series
Test for Divergence
Properties of Convergent Series
Infinite Series
▶ Zenos Paradox. If the distance between the person and the
wall is 1 then intuitively we know
1
2
+
1
4
+
1
8
+
1
16
+ . . . +
1
2n
+ . . . = 1
▶ We can write out π as
π = 3.14159 26535 89793 . . .
π = 3 +
1
10
+
4
102
+
1
103
+
5
104
+ . . .
▶ Though we can’t literally add an infinite number of terms, the
more we add, the closer we get to the actual value of π.
Infinite Series
▶ An infinite series (or just a series) is the sum
a1 + a2 + . . . + an + . . . =
∞
X
n=1
an =
X
an
of an infinite sequence {an}∞
n=1.
Sum of an Infinite Series - Zeno’s Paradox
▶ Consider the example given in Zeno’s paradox.
▶ We know that
∞
X
n=1
1
2n
= 1
intuitively. But how do we prove it mathematically?
▶ Let sn =
n
X
i=1
1
2i
=
1
2
+
1
4
+
1
8
+ . . . +
1
2n−1
+
1
2n
▶ this is called the nth
partial sum of the series
∞
X
n=1
1
2n
Sum of an Infinite Series - Zeno’s Paradox
2sn = 2
n
X
i=1
1
2i
=
2
2
+
2
22
+
2
23
+ . . . +
2
2n−1
+
2
2n
= 1 +
1
2
+
1
4
+ . . . +
1
2n−1
= 1 +
n−1
X
i=1
1
2i
= 1 +
n
X
i=1
1
2i
−
1
2n
=⇒
2sn = 1 + sn −
1
2n
sn = 1 −
1
2n
Now,
lim
n→∞
sn = lim
n→∞
1 −
1
2n
= 1 ✓
Sum of an Infinite Series
We take this general approach as follows:
▶ Given a series
∞
X
n=1
an = a1 + a2 + . . . + an + . . .
let sn denote its nth partial sum:
sn =
n
X
i=1
ai = a1 + a2 + . . . + an−1 + an
Sum of an Infinite Series
▶ If the sequence of terms an is convergent and the sequence of
partial sums is convergent, ie,
lim
n→∞
n
X
i=1
an = lim
n→∞
sn = s
exists as a real number, then the series
∞
X
n=1
an is convergent
and we write
∞
X
n=1
an = s
▶ The number s is called the sum of the series.
▶ If the sequence sn is divergent then the series is called
divergent.
Sum of an Infinite Series
▶ Remark: Any series can be written
∞
X
n=1
an =
N
X
n=1
an +
∞
X
n=N+1
aN
▶ Taking the limit of both sides,
lim
N→∞
∞
X
n=1
an = lim
N→∞
N
X
n=1
an + lim
N→∞
∞
X
n=N+1
aN
∞
X
n=1
an = lim
N→∞
N
X
n=1
an
= lim
N→∞
sN
lim
n→∞
n
X
i=1
ai =
∞
X
n=1
an
Example 1
Suppose we know that the nth partial sum of the series
∞
X
n=1
an is
sn =
2n
3n + 5
To determine if the series
∞
X
n=1
an converges, we take the limit of sn.
lim
n→∞
sn = lim
n→∞
2n
3n + 5
= lim
n→∞
2n
n
3n
n + 5
n
= lim
n→∞
2
3 + 5
n
=
2
3
So the series
P∞
n=1 an converges to 2
3 , ie,
P∞
n=1 an = 2
3 .
Example 2
1/2
Suppose we want to determine whether the following series
converges, and find the sum if possible.
∞
X
n=1
1
n(n + 1)
▶ This time we must find a formula for the partial sum:
sn =
n
X
i=1
1
i(i + 1)
▶ We can write 1
i(i+1) = i+1−i
i(i+1) = i+1
i(i+1) − i
i(i+1) = 1
i − 1
i+1 so
sn =
n
X
i=1
1
i
−
1
i + 1
Example 2
2/2
sn =
n
X
i=1
1
i
−
1
i + 1

=
1
1
−


1
2

+



1
2
−


1
3

+



1
3
−


1
4

+ . . . +



1
n
−
1
n + 1

= 1 −
1
n + 1
▶ A sum which has terms that cancel in pairs is called
telescoping.
▶ The sum collapses into two terms like a pirates collapsing
telescope.
lim
n→∞
sn = lim
n→∞
1 −
1
n + 1
= 1 =⇒
∞
X
n=1
1
n(n + 1)
= 1
Sum of a Geometric Series
Geometric Series
▶ A geometric series is a series of the form
∞
X
n=1
arn−1
= a + ar + ar2
+ . . . + arn−1
+ . . . (a ̸= 0)
eg, The series in Zenos paradox is geometric with a = r = 1
2
eg,
∞
X
n=1
7n
5n+1
is a geometric series with a = 1
5 and r = 7
5 because
we can write
7n
5n+1
=
7n
5 · 5n
=
1
5
·
7n
5n
=
1
5
7
5
n
▶ Now let’s determine for which values of r the geometric series
∞
X
n=1
arn−1
converges.
▶ If r = 1 then
sn =
n
X
i=1
a = a + a + a + . . . + a = na
=⇒ lim
n→∞
sn = lim
n→∞
na
= a lim
n→∞
n =
(
∞ if a  0
−∞ if a  0
▶ Note: infinite series of a nonzero constant is always divergent
∞
X
n=1
a = a + a + a + . . . + a + . . . → ±∞
▶ If r ̸= 1 we have
sn = a + ar + ar2
+ . . . + arn−2
+ arn−1
rsn = ar + ar2
+ ar3
+ . . . + arn−1
| {z }
sn−a
+arn
= sn − a + arn
=⇒
rsn − sn = arn
− a
sn(r − 1) = a(rn
− 1) =⇒
sn =
a(1 − rn)
1 − r
▶ Now taking the limit of sn we have
lim
n→∞
sn = lim
n→∞
a(1 − rn)
1 − r
=
a
1 − r
lim
n→∞
(1 − rn
)
=
a
1 − r
−
a
1 − r
lim
n→∞
rn
▶ Recall from 11.1 that {rn} is convergent if −1  r ≤ 1 and
divergent for all other values of r.
▶ In particular
lim
n→∞
rn
=





0 if − 1  r  1
1 if r = 1
Diverges for all other values of r
Geometric Series Convergence
▶ So for −1  r  1,
lim
n→∞
sn =
a
1 − r
−
a
1 − r
lim
n→∞
rn
=
a
1 − r
∞
X
n=1
arn−1
=
a
1 − r
if |r|  1 and divergent for all other values of r
Example 3
5 −
10
3
+
20
9
−
40
27
+ . . .
▶ To determine if the series converges and find its sum if
possible, we notice it is geometric and write it in the form
P∞
n=1 arn−1.
5 −
10
3
+
20
9
−
40
27
+ . . . = 5

1 −
2
3
+
4
9
−
8
27
− . . .

= 5
∞
X
n=1

−
2
3
n−1
=
∞
X
n=1
5

−
2
3
n−1
▶ a = 5, r = −2
3 and since |r| = 2
3  1, the series converges to
s =
5
1 + 2
3
=
5
5
3
= 3
Example 4
∞
X
n=1
22n
31−n
∞
X
n=1
22n
31−n
=
X
n=1
(22
)n 3
3n
=
X
n=1
3
4
3
n
=
X
n=1
3
4
3
4
3
n−1
=
X
n=1
4
4
3
n−1
So a = 4 and r = 4
3  1 so this series diverges.
Example 5
1/2
▶ A rational number q is a number that can be written in the
form q = m
n where m and n are integers and n ̸= 0.
▶ Any number with a repeated decimal representation is a
rational number because it can be written in this form.
▶ As an example, let’s write the number
2.34 = 2.3434343434 . . . as a ratio of integers.
2.34 = 2 +
3
10
+
4
100
+ +
3
1, 000
+
4
10, 000
+
3
105
+
4
106
+ . . .
= 2 + 3
 1
10
+
1
1, 000
+
1
105
+ . . .

+ 4
 1
100
+
1
10, 000
+
1
106
+ . . .
= 2 + 3
 1
101
+
1
103
+
1
105
+ . . .

+ 4
 1
102
+
1
104
+
1
106
+ . . .

= 2 + 3
∞
X
n=1
1
102n−1
+ 4
∞
X
n=1
1
102n
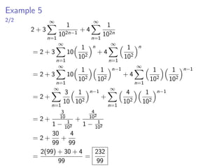
Example 5
2/2
2 + 3
∞
X
n=1
1
102n−1
+ 4
∞
X
n=1
1
102n
= 2 + 3
∞
X
n=1
10
 1
102
n
+ 4
∞
X
n=1
 1
102
n
= 2 + 3
∞
X
n=1
10
 1
102
 1
102
n−1
+ 4
∞
X
n=1
 1
102
 1
102
n−1
= 2 +
∞
X
n=1
3
10
 1
102
n−1
+
∞
X
n=1
 4
102
 1
102
n−1
= 2 +
3
10
1 − 1
102
+
4
102
1 − 1
102
= 2 +
30
99
+
4
99
=
2(99) + 30 + 4
99
=
232
99
Example 6
1/2
Find the sum of the series
∞
X
n=0
xn
where |x|  1
∞
X
n=0
xn
= x0
+ x1
+ x2
+ x3
+ . . .
= 1 + x + x2
+ x3
+ . . .
= 1 +
∞
X
n=1
xn
= 1 +
∞
X
n=1
x · xn−1
Example 6
2/2
1 +
∞
X
n=1
x · xn−1
| {z }
a=x, r=x
= 1 +
x
1 − x
| {z }
a
1−r
=
1 − x
1 − x
+
x
1 − x
=
1
1 − x
▶ This example demonstrates that on the interval (−1, 1), the
function f (x) =
1
1 − x
has the power series representation
f (x) =
∞
X
n=0
xn
.
Divergent Series
▶ A series
∞
X
n=1
an is divergent if its sequence of partial sums
sn =
n
X
i=1
ai is divergent.
Harmonic Series
Show that the harmonic series
∞
X
n=1
1
n
is divergent.
▶ The harmonic series is an important series whose name derives
from the concept of overtones in music.
▶ It will be difficult to find a simple formula for the nth partial
sum.
▶ Instead we will show that the 2nth partial sum s2n , is divergent.
▶ Writing out the first few terms of s2n we will observe that
s2n  1 + n
2 for each n.
Harmonic Series
s21 = s2 = 1 +
1
2
(n=1)
s22 = s4 = s2 +
1
3
+
1
4
(n=2)
 s2 +
1
4
+
1
4
= s2 +
1
2
= 1 +
2
2
Harmonic Series
s23 = s8 = s4 +
1
5
+
1
6
+
1
7
+
1
8
(n=3)
 s4 +
1
8
+
1
8
+
1
8
+
1
8
= s4 +
4
8
 1 +
2
2
+
4
8
since s4  1 +
2
2
= 1 +
3
2
Harmonic Series
s24 = s16 = s8 +
1
9
+
1
10
+
1
11
+ . . . +
1
16
(n=4)
 s8 +
1
16
+
1
16
+
1
16
+ . . . +
1
16
= s8 +
8
16
 1 +
4
2
since s8  1 +
3
2
▶ In general s2n  1 + n
2 for each n.
lim
n→∞
s2n  1 + lim
n→∞
n
2
= ∞
▶ Since s2n diverges, that means sn must diverge as well.
▶ Thus the harmonic series diverges.
Divergent Series
▶ Finding a formula for the nth partial sum of a series can be
quite challenging.
▶ In many cases, taking the limit of the partial sum won’t be the
most efficient method to determine whether a series converges
or diverges.
▶ In order for the series
∞
X
n=1
an to converge, it’s sequence of
terms an must converge as well.
▶ In fact, the next theorem tells us something even stronger.
Test for Divergence
Test for Divergence
Theorem 6: If the series
∞
X
n=1
an is convergent, then lim
n→∞
an = 0.
▶ WARNING: The converse of this theorem is false.
▶ ie, lim
n→∞
an = 0 does not imply that the series
∞
X
n=1
an converges.
▶ The harmonic series is an example of when the converse fails
since limn→∞
1
n = 0 but
P 1
n diverges.
▶ However, the contrapositive statement of the theorem, which
is equivalent to the theorem, is called the Test for Divergence
and will be very useful.
Test for Divergence : lim
n→∞
an ̸= 0 =⇒
∞
X
n=1
an is divergent.
Example 7
1/2
Show that the series
∞
X
n=1
n2
5n2 + 4
diverges.
Example 7
2/2
lim
n→∞
n2
5n2 + 4
= lim
n→∞
1
5 + 4
n2
=
1
5
̸= 0
=⇒
∞
X
n=1
n2
5n2 + 4
diverges by the test for divergence
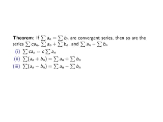
Properties of Convergent Series
Theorem: If
P
an =
P
bn are convergent series, then so are the
series
P
can,
P
an +
P
bn, and
P
an −
P
bn
(i)
P
can = c
P
an
(ii)
P
(an + bn) =
P
an +
P
bn
(iii)
P
(an − bn) =
P
an −
P
bn
Example 8
1/2
Find the sum of the series
∞
X
n=1
 3
n(n + 1)
+
1
2n
Example 8
2/2
▶ From example 1 we have,
∞
X
n=1
1
n(n + 1)
= 1
▶ And from the geometric series theorem,
∞
X
n=1
1
2n
= 1
∞
X
n=1
3
n(n + 1)
+
1
2n
= 3
∞
X
n=1
1
n(n + 1)
+
∞
X
n=1
1
2n
= 3 + 1
= 4

Section 11.2

  • 1.
    Chapter 11: Sequences,Series, and Power Series Section 11.2: Series Alea Wittig SUNY Albany
  • 2.
    Outline Infinite Series Sum ofa Geometric Series Divergent Series Test for Divergence Properties of Convergent Series
  • 3.
  • 4.
    ▶ Zenos Paradox.If the distance between the person and the wall is 1 then intuitively we know 1 2 + 1 4 + 1 8 + 1 16 + . . . + 1 2n + . . . = 1 ▶ We can write out π as π = 3.14159 26535 89793 . . . π = 3 + 1 10 + 4 102 + 1 103 + 5 104 + . . . ▶ Though we can’t literally add an infinite number of terms, the more we add, the closer we get to the actual value of π.
  • 5.
    Infinite Series ▶ Aninfinite series (or just a series) is the sum a1 + a2 + . . . + an + . . . = ∞ X n=1 an = X an of an infinite sequence {an}∞ n=1.
  • 6.
    Sum of anInfinite Series - Zeno’s Paradox ▶ Consider the example given in Zeno’s paradox. ▶ We know that ∞ X n=1 1 2n = 1 intuitively. But how do we prove it mathematically? ▶ Let sn = n X i=1 1 2i = 1 2 + 1 4 + 1 8 + . . . + 1 2n−1 + 1 2n ▶ this is called the nth partial sum of the series ∞ X n=1 1 2n
  • 7.
    Sum of anInfinite Series - Zeno’s Paradox 2sn = 2 n X i=1 1 2i = 2 2 + 2 22 + 2 23 + . . . + 2 2n−1 + 2 2n = 1 + 1 2 + 1 4 + . . . + 1 2n−1 = 1 + n−1 X i=1 1 2i = 1 + n X i=1 1 2i − 1 2n =⇒ 2sn = 1 + sn − 1 2n sn = 1 − 1 2n Now, lim n→∞ sn = lim n→∞ 1 − 1 2n = 1 ✓
  • 8.
    Sum of anInfinite Series We take this general approach as follows: ▶ Given a series ∞ X n=1 an = a1 + a2 + . . . + an + . . . let sn denote its nth partial sum: sn = n X i=1 ai = a1 + a2 + . . . + an−1 + an
  • 9.
    Sum of anInfinite Series ▶ If the sequence of terms an is convergent and the sequence of partial sums is convergent, ie, lim n→∞ n X i=1 an = lim n→∞ sn = s exists as a real number, then the series ∞ X n=1 an is convergent and we write ∞ X n=1 an = s ▶ The number s is called the sum of the series. ▶ If the sequence sn is divergent then the series is called divergent.
  • 10.
    Sum of anInfinite Series ▶ Remark: Any series can be written ∞ X n=1 an = N X n=1 an + ∞ X n=N+1 aN ▶ Taking the limit of both sides, lim N→∞ ∞ X n=1 an = lim N→∞ N X n=1 an + lim N→∞ ∞ X n=N+1 aN ∞ X n=1 an = lim N→∞ N X n=1 an = lim N→∞ sN lim n→∞ n X i=1 ai = ∞ X n=1 an
  • 11.
    Example 1 Suppose weknow that the nth partial sum of the series ∞ X n=1 an is sn = 2n 3n + 5 To determine if the series ∞ X n=1 an converges, we take the limit of sn. lim n→∞ sn = lim n→∞ 2n 3n + 5 = lim n→∞ 2n n 3n n + 5 n = lim n→∞ 2 3 + 5 n = 2 3 So the series P∞ n=1 an converges to 2 3 , ie, P∞ n=1 an = 2 3 .
  • 12.
    Example 2 1/2 Suppose wewant to determine whether the following series converges, and find the sum if possible. ∞ X n=1 1 n(n + 1) ▶ This time we must find a formula for the partial sum: sn = n X i=1 1 i(i + 1) ▶ We can write 1 i(i+1) = i+1−i i(i+1) = i+1 i(i+1) − i i(i+1) = 1 i − 1 i+1 so sn = n X i=1 1 i − 1 i + 1
  • 13.
    Example 2 2/2 sn = n X i=1 1 i − 1 i+ 1 = 1 1 − 1 2 + 1 2 − 1 3 + 1 3 − 1 4 + . . . + 1 n − 1 n + 1 = 1 − 1 n + 1 ▶ A sum which has terms that cancel in pairs is called telescoping. ▶ The sum collapses into two terms like a pirates collapsing telescope. lim n→∞ sn = lim n→∞ 1 − 1 n + 1 = 1 =⇒ ∞ X n=1 1 n(n + 1) = 1
  • 14.
    Sum of aGeometric Series
  • 15.
    Geometric Series ▶ Ageometric series is a series of the form ∞ X n=1 arn−1 = a + ar + ar2 + . . . + arn−1 + . . . (a ̸= 0) eg, The series in Zenos paradox is geometric with a = r = 1 2 eg, ∞ X n=1 7n 5n+1 is a geometric series with a = 1 5 and r = 7 5 because we can write 7n 5n+1 = 7n 5 · 5n = 1 5 · 7n 5n = 1 5 7 5 n
  • 16.
    ▶ Now let’sdetermine for which values of r the geometric series ∞ X n=1 arn−1 converges. ▶ If r = 1 then sn = n X i=1 a = a + a + a + . . . + a = na =⇒ lim n→∞ sn = lim n→∞ na = a lim n→∞ n = ( ∞ if a 0 −∞ if a 0 ▶ Note: infinite series of a nonzero constant is always divergent ∞ X n=1 a = a + a + a + . . . + a + . . . → ±∞
  • 17.
    ▶ If r̸= 1 we have sn = a + ar + ar2 + . . . + arn−2 + arn−1 rsn = ar + ar2 + ar3 + . . . + arn−1 | {z } sn−a +arn = sn − a + arn =⇒ rsn − sn = arn − a sn(r − 1) = a(rn − 1) =⇒ sn = a(1 − rn) 1 − r
  • 18.
    ▶ Now takingthe limit of sn we have lim n→∞ sn = lim n→∞ a(1 − rn) 1 − r = a 1 − r lim n→∞ (1 − rn ) = a 1 − r − a 1 − r lim n→∞ rn ▶ Recall from 11.1 that {rn} is convergent if −1 r ≤ 1 and divergent for all other values of r. ▶ In particular lim n→∞ rn =      0 if − 1 r 1 1 if r = 1 Diverges for all other values of r
  • 19.
    Geometric Series Convergence ▶So for −1 r 1, lim n→∞ sn = a 1 − r − a 1 − r lim n→∞ rn = a 1 − r ∞ X n=1 arn−1 = a 1 − r if |r| 1 and divergent for all other values of r
  • 20.
    Example 3 5 − 10 3 + 20 9 − 40 27 +. . . ▶ To determine if the series converges and find its sum if possible, we notice it is geometric and write it in the form P∞ n=1 arn−1. 5 − 10 3 + 20 9 − 40 27 + . . . = 5 1 − 2 3 + 4 9 − 8 27 − . . . = 5 ∞ X n=1 − 2 3 n−1 = ∞ X n=1 5 − 2 3 n−1 ▶ a = 5, r = −2 3 and since |r| = 2 3 1, the series converges to s = 5 1 + 2 3 = 5 5 3 = 3
  • 21.
  • 22.
    Example 5 1/2 ▶ Arational number q is a number that can be written in the form q = m n where m and n are integers and n ̸= 0. ▶ Any number with a repeated decimal representation is a rational number because it can be written in this form. ▶ As an example, let’s write the number 2.34 = 2.3434343434 . . . as a ratio of integers. 2.34 = 2 + 3 10 + 4 100 + + 3 1, 000 + 4 10, 000 + 3 105 + 4 106 + . . . = 2 + 3 1 10 + 1 1, 000 + 1 105 + . . . + 4 1 100 + 1 10, 000 + 1 106 + . . . = 2 + 3 1 101 + 1 103 + 1 105 + . . . + 4 1 102 + 1 104 + 1 106 + . . . = 2 + 3 ∞ X n=1 1 102n−1 + 4 ∞ X n=1 1 102n
  • 23.
    Example 5 2/2 2 +3 ∞ X n=1 1 102n−1 + 4 ∞ X n=1 1 102n = 2 + 3 ∞ X n=1 10 1 102 n + 4 ∞ X n=1 1 102 n = 2 + 3 ∞ X n=1 10 1 102 1 102 n−1 + 4 ∞ X n=1 1 102 1 102 n−1 = 2 + ∞ X n=1 3 10 1 102 n−1 + ∞ X n=1 4 102 1 102 n−1 = 2 + 3 10 1 − 1 102 + 4 102 1 − 1 102 = 2 + 30 99 + 4 99 = 2(99) + 30 + 4 99 = 232 99
  • 24.
    Example 6 1/2 Find thesum of the series ∞ X n=0 xn where |x| 1 ∞ X n=0 xn = x0 + x1 + x2 + x3 + . . . = 1 + x + x2 + x3 + . . . = 1 + ∞ X n=1 xn = 1 + ∞ X n=1 x · xn−1
  • 25.
    Example 6 2/2 1 + ∞ X n=1 x· xn−1 | {z } a=x, r=x = 1 + x 1 − x | {z } a 1−r = 1 − x 1 − x + x 1 − x = 1 1 − x ▶ This example demonstrates that on the interval (−1, 1), the function f (x) = 1 1 − x has the power series representation f (x) = ∞ X n=0 xn .
  • 26.
  • 27.
    ▶ A series ∞ X n=1 anis divergent if its sequence of partial sums sn = n X i=1 ai is divergent.
  • 28.
    Harmonic Series Show thatthe harmonic series ∞ X n=1 1 n is divergent. ▶ The harmonic series is an important series whose name derives from the concept of overtones in music. ▶ It will be difficult to find a simple formula for the nth partial sum. ▶ Instead we will show that the 2nth partial sum s2n , is divergent. ▶ Writing out the first few terms of s2n we will observe that s2n 1 + n 2 for each n.
  • 29.
    Harmonic Series s21 =s2 = 1 + 1 2 (n=1) s22 = s4 = s2 + 1 3 + 1 4 (n=2) s2 + 1 4 + 1 4 = s2 + 1 2 = 1 + 2 2
  • 30.
    Harmonic Series s23 =s8 = s4 + 1 5 + 1 6 + 1 7 + 1 8 (n=3) s4 + 1 8 + 1 8 + 1 8 + 1 8 = s4 + 4 8 1 + 2 2 + 4 8 since s4 1 + 2 2 = 1 + 3 2
  • 31.
    Harmonic Series s24 =s16 = s8 + 1 9 + 1 10 + 1 11 + . . . + 1 16 (n=4) s8 + 1 16 + 1 16 + 1 16 + . . . + 1 16 = s8 + 8 16 1 + 4 2 since s8 1 + 3 2 ▶ In general s2n 1 + n 2 for each n. lim n→∞ s2n 1 + lim n→∞ n 2 = ∞ ▶ Since s2n diverges, that means sn must diverge as well. ▶ Thus the harmonic series diverges.
  • 32.
    Divergent Series ▶ Findinga formula for the nth partial sum of a series can be quite challenging. ▶ In many cases, taking the limit of the partial sum won’t be the most efficient method to determine whether a series converges or diverges. ▶ In order for the series ∞ X n=1 an to converge, it’s sequence of terms an must converge as well. ▶ In fact, the next theorem tells us something even stronger.
  • 33.
  • 34.
    Test for Divergence Theorem6: If the series ∞ X n=1 an is convergent, then lim n→∞ an = 0. ▶ WARNING: The converse of this theorem is false. ▶ ie, lim n→∞ an = 0 does not imply that the series ∞ X n=1 an converges. ▶ The harmonic series is an example of when the converse fails since limn→∞ 1 n = 0 but P 1 n diverges. ▶ However, the contrapositive statement of the theorem, which is equivalent to the theorem, is called the Test for Divergence and will be very useful. Test for Divergence : lim n→∞ an ̸= 0 =⇒ ∞ X n=1 an is divergent.
  • 35.
    Example 7 1/2 Show thatthe series ∞ X n=1 n2 5n2 + 4 diverges.
  • 36.
    Example 7 2/2 lim n→∞ n2 5n2 +4 = lim n→∞ 1 5 + 4 n2 = 1 5 ̸= 0 =⇒ ∞ X n=1 n2 5n2 + 4 diverges by the test for divergence
  • 37.
  • 38.
    Theorem: If P an = P bnare convergent series, then so are the series P can, P an + P bn, and P an − P bn (i) P can = c P an (ii) P (an + bn) = P an + P bn (iii) P (an − bn) = P an − P bn
  • 39.
    Example 8 1/2 Find thesum of the series ∞ X n=1 3 n(n + 1) + 1 2n
  • 40.
    Example 8 2/2 ▶ Fromexample 1 we have, ∞ X n=1 1 n(n + 1) = 1 ▶ And from the geometric series theorem, ∞ X n=1 1 2n = 1 ∞ X n=1 3 n(n + 1) + 1 2n = 3 ∞ X n=1 1 n(n + 1) + ∞ X n=1 1 2n = 3 + 1 = 4