Chapter 8: Further Applications of Integration
Section 8.2: Area of a Surface of Revolution
Alea Wittig
SUNY Albany
Outline
Surface Area Integral Formula
Examples
Surface Area Integral Formula
Surface of Revolution
▶ A surface of revolution is formed when a curve is rotated
about a line.
▶ A surface is ’hollow’ on the inside, unlike a solid of revolution.
Surface Area of a Circular Cylinder
eg, To compute the surface
area of a circular cylinder
with base radius r and
height h we could cut the
cylinder down the side to
obtain a rectangle of length
2πr and width h.
Surface Area = length · width
= 2πr · h
Surface Area of a Circular Cone
▶ Take circular cone with base radius r and slant height ℓ.
▶ Cut it down the slant to obtain a sector of the circle of radius l
and arc length 2πr.
▶ the area of the circle of radius ℓ is πℓ2
.
▶ the area of the sector is 2πr
2πℓ
times the area of the circle of
radius ℓ
πℓ2
·
2πr
2πℓ
= πrℓ
Area of a Surface of Revolution
▶ For a more complicated surface of revolution:
▶ Approximate the curve with
a polygonal path of n line
segments like in 8.1
▶ Rotate the approximated
path.
▶ The resulting approximated
surface is made up of
bands.
▶ Sum the areas of the bands
to approximate surface
area.
▶ Take the limit n → ∞ we
get the exact surface area.
Area of a Band
▶ Each band is a portion of a
circular cone.
▶ Below we find the formula
for the area of a band:
A = πr2(ℓ1 + ℓ)
| {z }
area of whole cone
− πr1ℓ1
| {z }
area of small cone
= πr2ℓ1 + πr2ℓ − πr1ℓ
= π(r2 − r1)ℓ1 + πr2ℓ
▶ Using similar triangle we have
ℓ1
r1
=
ℓ1 + ℓ
r2
Area of a Band
ℓ1
r1
=
ℓ1 + ℓ
r2
=⇒
r2ℓ1 = r1ℓ1 + r1ℓ =⇒
(r2 − r1)ℓ1 = r1ℓ =⇒
Area of band = π(r2 − r1)ℓ1 + πr2ℓ
= πr1ℓ + πr2ℓ
= π(r1 + r2)ℓ
A = 2πrl
where r = r1+r2
2 , the average radius of the band.
Area of a Surface of Revolution
▶ For the ith band has length
ℓi = |Pi−1Pi |,
ℓi =
q
(△x)2 + (△yi )2
and the average radius is
ri =
yi−1 + yi
2
▶ So the area of the ith band is
Ai = 2πri ℓi
= 2π
yi−1 + yi
2
·
q
(△x)2 + (△yi )2
Area of a Surface of Revolution
▶ As we take larger and larger n, we have yi ≈ yi−1 and so
Ai = 2π
yi−1 + yi
2
·
q
(△x)2 + (△yi )2
≈ 2πyi
q
(△x)2 + (△yi )2
= 2πyi
s
1 +
△yi
△xi
2
△x
= 2πf (x∗
i )
q
1 + [f ′(x∗
i )]2△x
for some x∗
i in (xi−1, xi ) by MVT.
▶ Now taking the limit as n → ∞
lim
n→∞
n
X
i=1
Ai = lim
n→∞
n
X
i=1
2πf (x∗
i )
q
1 + [f ′(x∗
i )]2△x
=
Z b
a
2πf (x)
q
1 + [f ′(x)]2dx
Surface Area Formulas (4) and (5)
▶ Now we have that the area of the surface obtained by rotating
a positive curve y = f (x), a ≤ x ≤ b with continuous
derivative about the x − axis is
S =
Z b
a
2πf (x)
q
1 + [f ′(x)]2dx (4)
▶ In Liebniz notation this is
S =
Z b
a
2πy
r
1 +
dy
dx
2
dx (5)
▶ Note: for equation (5) we plug in y = f (x) so the whole
integral is in terms of x.
Surface Area Formulas (6) and (7)
▶ If the curve is described as x = g(y), c ≤ y ≤ d then
S =
Z d
c
2πy
s
1 +
dx
dy
2
dy (6)
▶ Note: for equation (6) we leave y as y so the whole integral is
in terms of y.
▶ Formulas (5) and (6) can be summarized as
S =
Z
2πyds (7)
where we can use either
ds =
r
1 +
dy
dx
2
dx
| {z }
if using (5)
or ds =
s
1 +
dx
dy
2
dy
| {z }
if using (6)
Surface Area Formula (8) for Rotation about y-axis
▶ For rotation about the y axis we use
S =
Z
2πxds (8)
Examples
Example 1
1/2
The curve y =
√
4 − x2, −1 ≤ x ≤ 1, is an arc of the circle
x2 + y2 = 4. Find the area of the surface obtained by rotating this
curve about the x-axis.
Example 1
2/2
▶ We use formula (5) A =
Z b
a
2πy
r
1 +
dy
dx
2
dx since
rotation is about the x-axis and the curve is given in the form
y = f (x).
y =
p
4 − x2,
dy
dx
=
−2x
2
√
4 − x2
=
−x
√
4 − x2
1 +
dy
dx
2
= 1 +
x2
(4 − x2)
=
4 − x2 + x2
4 − x2
=
4
4 − x2
A =
Z 1
−1
2π
p
4 − x2
r
4
4 − x2
dx
=
Z 1
−1
4πdx
= 8π
Example 2
1/2
The portion of the curve x = 2
3y
3
2 between y = 0 and y = 3 is
rotated about the x − axis. Find the area of the resulting surface.
Example 2
2/2
▶ We use formula (6) A =
Z d
c
2πy
s
1 +
dx
dy
2
dy since we
are rotating about the x-axis and the curve is given in the
form x = g(y).
x =
2
3
y
3
2 ,
dx
dy
=
√
y
Z 3
0
2πy
s
1 +
dx
dy
2
dy =
Z 3
0
2πy
p
1 + ydy
=
Z 4
1
2π(u − 1)
√
udu
= 2π
Z 4
1
u3/2
− u1/2
du
= 2π
2
5
u5/2
−
2
3
u3/2
4
1
=
232π
15
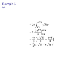
Example 3
1/4
The arc of the parabola y = x2 from (1, 1) to (2, 4) is rotated
about the y − axis. Find the area of the resulting surface
a. integrating with respect to x
b. integrating with respect to y.

Section 8.2

  • 1.
    Chapter 8: FurtherApplications of Integration Section 8.2: Area of a Surface of Revolution Alea Wittig SUNY Albany
  • 2.
  • 3.
  • 4.
    Surface of Revolution ▶A surface of revolution is formed when a curve is rotated about a line. ▶ A surface is ’hollow’ on the inside, unlike a solid of revolution.
  • 5.
    Surface Area ofa Circular Cylinder eg, To compute the surface area of a circular cylinder with base radius r and height h we could cut the cylinder down the side to obtain a rectangle of length 2πr and width h. Surface Area = length · width = 2πr · h
  • 6.
    Surface Area ofa Circular Cone ▶ Take circular cone with base radius r and slant height ℓ. ▶ Cut it down the slant to obtain a sector of the circle of radius l and arc length 2πr. ▶ the area of the circle of radius ℓ is πℓ2 . ▶ the area of the sector is 2πr 2πℓ times the area of the circle of radius ℓ πℓ2 · 2πr 2πℓ = πrℓ
  • 7.
    Area of aSurface of Revolution ▶ For a more complicated surface of revolution: ▶ Approximate the curve with a polygonal path of n line segments like in 8.1 ▶ Rotate the approximated path. ▶ The resulting approximated surface is made up of bands. ▶ Sum the areas of the bands to approximate surface area. ▶ Take the limit n → ∞ we get the exact surface area.
  • 8.
    Area of aBand ▶ Each band is a portion of a circular cone. ▶ Below we find the formula for the area of a band: A = πr2(ℓ1 + ℓ) | {z } area of whole cone − πr1ℓ1 | {z } area of small cone = πr2ℓ1 + πr2ℓ − πr1ℓ = π(r2 − r1)ℓ1 + πr2ℓ ▶ Using similar triangle we have ℓ1 r1 = ℓ1 + ℓ r2
  • 9.
    Area of aBand ℓ1 r1 = ℓ1 + ℓ r2 =⇒ r2ℓ1 = r1ℓ1 + r1ℓ =⇒ (r2 − r1)ℓ1 = r1ℓ =⇒ Area of band = π(r2 − r1)ℓ1 + πr2ℓ = πr1ℓ + πr2ℓ = π(r1 + r2)ℓ A = 2πrl where r = r1+r2 2 , the average radius of the band.
  • 10.
    Area of aSurface of Revolution ▶ For the ith band has length ℓi = |Pi−1Pi |, ℓi = q (△x)2 + (△yi )2 and the average radius is ri = yi−1 + yi 2 ▶ So the area of the ith band is Ai = 2πri ℓi = 2π yi−1 + yi 2 · q (△x)2 + (△yi )2
  • 11.
    Area of aSurface of Revolution ▶ As we take larger and larger n, we have yi ≈ yi−1 and so Ai = 2π yi−1 + yi 2 · q (△x)2 + (△yi )2 ≈ 2πyi q (△x)2 + (△yi )2 = 2πyi s 1 + △yi △xi 2 △x = 2πf (x∗ i ) q 1 + [f ′(x∗ i )]2△x for some x∗ i in (xi−1, xi ) by MVT. ▶ Now taking the limit as n → ∞ lim n→∞ n X i=1 Ai = lim n→∞ n X i=1 2πf (x∗ i ) q 1 + [f ′(x∗ i )]2△x = Z b a 2πf (x) q 1 + [f ′(x)]2dx
  • 12.
    Surface Area Formulas(4) and (5) ▶ Now we have that the area of the surface obtained by rotating a positive curve y = f (x), a ≤ x ≤ b with continuous derivative about the x − axis is S = Z b a 2πf (x) q 1 + [f ′(x)]2dx (4) ▶ In Liebniz notation this is S = Z b a 2πy r 1 + dy dx 2 dx (5) ▶ Note: for equation (5) we plug in y = f (x) so the whole integral is in terms of x.
  • 13.
    Surface Area Formulas(6) and (7) ▶ If the curve is described as x = g(y), c ≤ y ≤ d then S = Z d c 2πy s 1 + dx dy 2 dy (6) ▶ Note: for equation (6) we leave y as y so the whole integral is in terms of y. ▶ Formulas (5) and (6) can be summarized as S = Z 2πyds (7) where we can use either ds = r 1 + dy dx 2 dx | {z } if using (5) or ds = s 1 + dx dy 2 dy | {z } if using (6)
  • 14.
    Surface Area Formula(8) for Rotation about y-axis ▶ For rotation about the y axis we use S = Z 2πxds (8)
  • 15.
  • 16.
    Example 1 1/2 The curvey = √ 4 − x2, −1 ≤ x ≤ 1, is an arc of the circle x2 + y2 = 4. Find the area of the surface obtained by rotating this curve about the x-axis.
  • 17.
    Example 1 2/2 ▶ Weuse formula (5) A = Z b a 2πy r 1 + dy dx 2 dx since rotation is about the x-axis and the curve is given in the form y = f (x). y = p 4 − x2, dy dx = −2x 2 √ 4 − x2 = −x √ 4 − x2 1 + dy dx 2 = 1 + x2 (4 − x2) = 4 − x2 + x2 4 − x2 = 4 4 − x2 A = Z 1 −1 2π p 4 − x2 r 4 4 − x2 dx = Z 1 −1 4πdx = 8π
  • 18.
    Example 2 1/2 The portionof the curve x = 2 3y 3 2 between y = 0 and y = 3 is rotated about the x − axis. Find the area of the resulting surface.
  • 19.
    Example 2 2/2 ▶ Weuse formula (6) A = Z d c 2πy s 1 + dx dy 2 dy since we are rotating about the x-axis and the curve is given in the form x = g(y). x = 2 3 y 3 2 , dx dy = √ y Z 3 0 2πy s 1 + dx dy 2 dy = Z 3 0 2πy p 1 + ydy = Z 4 1 2π(u − 1) √ udu = 2π Z 4 1 u3/2 − u1/2 du = 2π 2 5 u5/2 − 2 3 u3/2
  • 22.
  • 23.
    Example 3 1/4 The arcof the parabola y = x2 from (1, 1) to (2, 4) is rotated about the y − axis. Find the area of the resulting surface a. integrating with respect to x b. integrating with respect to y.