Chapter 7: Techniques of Integration
Section 7.4: Integration of Rational Functions by Partial
Fractions
Alea Wittig
SUNY Albany
Outline
Introduction to Method of Partial Fractions
Step 1: Polynomial Long Division
Step 2: Factoring Q(x)
Partial Fraction Decomposition
Case I: Distinct Linear Factors
Case II: Repeated Linear Factors
Case III: Distinct Irreducible Quadratic Factors
Case IV: Repeated Irreducible Quadratic Factors
Rationalizing Substitutions
Introduction to Method of Partial Fractions
Rational Functions
➤ A rational function is a ratio of polynomials.
f (x) =
P(x)
Q(x)
=
anxn + an−1xn−1 + . . . + a1x + a0
bmxm + bm−1xm−1 + . . . + b1x + b0
➤ In this section we will learn that any given rational function
can be broken down into a set of standard integrals, each of
which can be computed routinely.
➤ As a warmup exercise, compute the following standard
integrals:
Z
A
x + a
dx (a)
Z
B
(x + a)2
dx (b)
Exercise a
To compute Z
A
x + a
dx (a)
we first make the u sub: u = x + a, du = dx
Z
A
x + a
dx =
Z
A
u
du
= A
Z
1
u
du
= A ln |u| + C
= A ln |x + a| + C
Exercise b
To compute Z
B
(x + a)2
dx (b)
we first make the u sub: u = x + a, du = dx
Z
B
(x + a)2
dx =
Z
B
u2
du
= B
Z
1
u2
du
= B
Z
u−2
du
= B
u−2+1
−2 + 1
+ C
= B
u−1
−1
+ C
= −
B
u
+ C = −
B
x + a
+ C
The Method of Partial Fractions
The Method of Partial Fractions can be broken down into 3 steps:
Step 1: Polynomial Long Division
Step 2: Factorization of Q(x)
Step 3: Partial Fraction Decomposition
Step 1: Polynomial Long Division
Proper vs. Improper
f (x) =
P(x)
Q(x)
➤ f is called proper if the degree (highest power) of P is less
than the degree of Q.
eg, f (x) =
x2
− 2x + 1
x3 + x
➤ f is called improper if the degree of P is greater than or equal
to the degree of Q.
eg, f (x) =
3x5
+ x
x2 − 2x + 1
Polynomial Long Division
➤ Any rational function f can be written in the form
f (x) =
P(x)
Q(x)
= S(x)
|{z}
polynomial
+
R(x)
Q(x)
| {z }
proper rational
➤ If f is proper, then S(x) = 0 and R(x) = P(x)
➤ If f is improper then we must divide Q into P using long
division until a remainder R(x) is obtained with
deg(R) < deg(Q).
➤ Warning: Partial fraction decomposition (step 3) only works
on proper rational functions.
Example 1
Video Example 1
Exercise c
As an exercise, use long division to show that
x3 + x
x − 1
= x2
+ x + 2 +
2
x − 1
Use this to compute the integral
Z
x3 + x
x − 1
dx
➤ In example 1 and exercise c we were able to write the rational
function as a sum of standard integrals which were simple to
compute.
➤ If we are not able to integrate after step 1 then move on to
step 2.
Step 2: Factoring Q(x)
Factor Q(x)
➤ After Step 1 we have
f (x) =
P(x)
Q(x)
= S(x)
|{z}
polynomial
+
R(x)
Q(x)
| {z }
proper rational
➤ Step 2 is to factor Q(x) as far as possible.
Factor Q(x)
➤ Theorem: Any polynomial Q(x) can be factored as a product
of
➤ linear factors
ax + b
➤ and irreducible quadratic factors
ax2
+ bx + c where b2
− 4ac < 0
➤ For example,
x4
− 16 = (x2
+ 4)(x2
− 4)
= (x2
+ 4)
| {z }
irreducible
(x + 2)
| {z }
linear
(x − 2)
| {z }
linear
Partial Fraction Decomposition
Partial Fraction Decomposition
➤ After Step 2 we have
f (x) = S(x)
|{z}
polynomial
+
R(x)
Q(x)
| {z }
proper rational
where Q is completely factored into its
I) distinct linear factors
II) repeated linear factors
III) distinct irreducible quadratic factors
IV) repeated irreducible quadratic factors
➤ Q(x) may have any combination of these four types of factors.
➤ Step 3 is the partial fraction decomposition of R(x)
Q(x).
Partial Fractions
➤ Theorem: Any proper rational function R(x)
Q(x) can be written
as the sum of partial fractions of the form
A
(ax + b)i
or
Ax + B
(ax2 + bx + c)j
where i, j are positive integers.
➤ The types of factors present in Q(x) (I,II, III, IV) will
determine the partial fraction decomposition.
➤ The coefficients A, B, and C must be computed algebraically.
Case I: Distinct Linear Factors
Case I: Q(x) is a Product of Distinct Linear Factors
➤ Case I: Q(x) can be written as a product of distinct linear
factors
Q(x) = (a1x + b1)(a2x + b2) . . . (akx + bk)
where no factor is repeated and no factor is a constant
multiple of another.
➤ In this case the theorem of partial fractions states that
there exist constants A1, A2, . . . , Ak such that
R(x)
Q(x)
=
A1
a1x + b1
+
A2
a2x + b2
+ . . . +
Ak
akx + bk
(1)
Example 2
<1/7>
Evaluate Z
x2 + 2x − 1
2x3 + 3x2 − 2x
dx
➤ Step 1: This rational function is proper since the degree of
the numerator is 2 and the degree of the denominator is 3.
This means we do not have to do long division.
➤ Step 2: Factor the denominator:
x2 + 2x − 1
2x3 + 3x2 − 2x
=
x2 + 2x − 1
x(2x2 + 3x − 2)
=
x2 + 2x − 1
x(2x − 1)(x + 2)
The denominator factors into 3 distinct linear factors.
Example 2
<2/7>
➤ Step 3: Partial fraction decomposition:
➤ Step 3a:
x2
+ 2x − 1
x(2x − 1)(x + 2)
=
A1
x
+
A2
2x − 1
+
A3
x + 2
➤ Step 3b: Solve for the unknown constants A1, A2, and A3 by
first multiplying both sides of the equation by Q(x):
x2
+ 2x − 1 =
A1
x(2x − 1)(x + 2)

x
+
A2x

(2x − 1)(x + 2)


2x − 1
. . .
. . . +
A3x(2x − 1)

(x + 2)


x + 2
= A1(2x − 1)(x + 2) + A2x(x + 2) + A3x(2x − 1)
➤ Q(x) obviously cancels out on the left side, and on the right
side a factor cancels with the denominator for each term.
Example 2
3/7
➤ Now we have the equation
x2
+2x−1 = A1(2x−1)(x+2)+A2x(x+2)+A3x(2x−1) (♠)
➤ There are two different methods we will outline for how to find
the constants from this point.
➤ Step 3c; Method 1: Distribute and match:
x2
+ 2x − 1 = A1(2x2
+ 3x − 2) + A2(x2
+ 2x) + A3(2x2
− x)
= (2A1 + A2 + 2A3)x2
+ (3A1 + 2A2 − A3)x − 2A1
➤ First we distributed the factors on right hand side (RHS) of
(♠) and collected like terms.
➤ Now we will match the coefficients of xn on each side of the
equation (next slide).
Example 2
4/7
1x2
+ 2x−1 = (2A1 + A2 + 2A3)x2
+ (3A1 + 2A2 − A3)x + −2A1
2A1 + A2 + 2A3 = 1 (i)
3A1 + 2A2 − A3 = 2 (ii)
−2A1 = −1 (iii)
➤ Matching the coefficients we have formed 3 equations for our
3 unknowns A1, A2, A3. This is called a system of linear
equations.
➤ We can immediately solve (iii) for A1: A1 =
1
2
➤ We could then plug this into (i) to solve for A2 in terms of A3.
2
1
2

+ A2 + 2A3 = 1 =⇒ A2 = −2A3
➤ Now plug A1 = 1
2 and A2 = −2A3 into (ii) (next slide).
Example 2
5/7
3A1 + 2A2 − A3 = 2 =⇒
3
1
2

+ 2(−2A3) − A3 = 2
3
2
− 4A3 − A3 = 2 =⇒
−5A3 =
1
2
=⇒ A3 = −
1
10
➤ Now since A2 = −2A3, A2 = −2 1
10

=⇒ A2 =
1
5
.
➤ So we have found all of the coefficients and we could then
plug them in and integrate.
➤ Remark: There are many other ways you could have solved
the system of linear equations. Give it a try.
Example 2
6/7
➤ Step 3c; Method 2: Find the zeroes of the Q(x), and sub
them into (♠)
x2
+2x−1 = A1(2x−1)(x+2)+A2x(x+2)+A3x(2x−1) (♠)
and solve for A1, A2, and A3.
➤ The zeroes of (x)(2x − 1)(x + 2) are x = 0, 1
2, and − 2
(x = 0) : −1 = −2A1 =⇒ A1 =
1
2
(x =
1
2
) :
1
4
= A2
1
2
(
1
2
+ 2) =
5A2
4
=⇒ A2 =
1
5
(x = −2) : −1 = A3(−2)(−4 − 1) = 10 =⇒ A3 = −
1
10
Example 2
7/7
➤ Remark: Method 2 will always work for Case I: distinct linear
factors. It won’t work immediately for other cases, ie,
repeated linear (case II) or irreducible quadratic (cases III 
IV). Method 1 will work in all possible cases.
➤ Once we have found the coefficients, we plug in and integrate.
Z
x2 + 2x − 1
2x3 + 3x2 − 2x
dx =
Z
1
2x
+
1
5(2x − 1)
+
1
10(x + 2)
dx
=
1
2
Z
1
x
dx +
1
5
Z
1
2x − 1
dx
| {z }
u1=2x−1, du1=2dx
dx=
du1
2
+
1
10
Z
1
x + 2
dx
| {z }
u2=x+2,
du2=dx
=
1
2
ln |x| +
1
10
ln |2x − 1| −
1
10
ln |x + 2| + C
Example 3
1/4
Show Z
dx
x2 − a2
=
1
2a
ln
x − a
x + a
+ C
where a ̸= 0. This formula can be used for future problems.
Try this on you own before going ahead for the solution.
Example 3
2/4
Z
dx
x2 − a2
➤ Step 1: The rational function is proper since the numerator
has degree 0 and the denominator has degree 2. No need for
long division.
➤ Step 2: Factor the denominator:
1
x2 − a2
=
1
(x − a)(x + a)
➤ Step 3: Partial Fraction Decomposition:
Case I :
1
(x − a)(x + a)
=
A1
x − a
+
A2
x + a
Mult. by Q(x) : 1 = A1(x + a) + A2(x − a)
Example 3
3/4
➤ Method 2: The zeroes are x = ±a:
1 = A1(x + a) + A2(x − a) =⇒
(x = −a) : 1 = −2aA2 =⇒ A2 = −
1
2a
(x = a) : 1 = 2aA1 =⇒ A1 =
1
2a
➤ Plugging in we have
1
x2 − a2
=
1
2a(x − a)
−
1
2a(x + a)
Z
1
x2 − a2
dx =
Z
1
2a(x − a)
−
1
2a(x + a)
dx
=
1
2a
Z
1
x − a
dx −
1
2a
Z
1
x + a
dx
Example 3
4/4
1
2a
Z
1
x − a
dx
| {z }
u=x−a
du=dx
−
1
2a
Z
1
x + a
dx
| {z }
u=x+a
du=dx
=
1
2a
ln |x − a| −
1
2a
ln |x + a| + C
=
1
2a
ln
x − a
x + a
+ C ✓
Case II: Repeated Linear Factors
Case II: Repeated Linear Factors
➤ Case II: Q(x) contains a product of repeated linear factors.
➤ Suppose the first linear factor is repeated r times, ie,
(a1x + b1)r
occurs in the decomposition of Q(x). Then the
single term A1
a1x+b1
is replaced by the sum
A1
(a1x + b)
+
A2
(a1 + b1x)2
+ . . . +
Ar
(a1x + b1)r
(2)
➤ For example,
x3
− x + 1
(x + 1)3x2
=
A
x + 1
+
B
(x + 1)2
+
C
(x + 1)3
+
D
x
+
E
x2
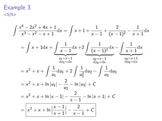
Example 3
1/5
Find Z
x4 − 2x2 + 4x + 1
x3 − x2 − x + 1
dx
➤ Step 1: This rational function is improper since the degree of
the numerator is 4 and the degree of the denominator is 3.
This means we must do long division before we can do partial
fractions.
Example 3
2/5
x4 − 2x2 + 4x + 1
x3 − x2 − x + 1
= x + 1 +
4x
x3 − x2 − x + 1
➤ Step 2: Factor Q(x):
x3
− x2
− x + 1 = (x3
− x) − (x2
− 1)
= x(x2
− 1) − (x2
− 1)
= (x2
− 1)(x − 1)
= (x + 1)(x − 1)(x − 1)
= (x + 1)(x − 1)2
➤ This method of factoring is called factoring by grouping.
Example 3
3/5
➤ Step 3: Partial Fraction Decomposition:
4x
x3 − x2 − x + 1
=
4x
(x − 1)2
| {z }
2×repeated linear
· (x + 1)
| {z }
distinct linear
=
A
x − 1
+
B
(x − 1)2
+
C
x + 1
➤ Multiply both sides by Q(x):
4x = A(x − 1)(x + 1) + B(x + 1) + C(x − 1)2
(♣)
➤ Q(x) has two zeroes x = ±1
➤ If we plug x = 1 into (♣), we can solve for B
4 = B(2) =⇒ B = 2
Example 3
4/5
➤ If we plug the other zero, x = −1, into (♣) we can solve for C
−4 = C(−1 − 1)2
=⇒ −4 = 4C =⇒ C = −1
➤ But we still have to find A and the only zeros are x = ±1.
➤ No worries, we can plug B and C into (♣) to get the equation
4x = A(x − 1)(x + 1) + 2(x + 1) − (x − 1)2
then plug in any other value for x and then solve for A:
(x = 0) : 0 = A(−1)(1) + 2(1) − (−1)2
=⇒
0 = −A + 2 − 1 =⇒ A = 1
➤ Remark: Method 1 would have also worked. Notice that, as
mentioned earlier, method 2 doesn’t work immediately since
we have only 2 zeroes for 3 unknowns. But we can always plug
in other values of x to find the remaining unknown(s).
Example 3
5/5
Z
x4 − 2x2 + 4x + 1
x3 − x2 − x + 1
dx =
Z
x + 1 +
1
x − 1
+
2
(x − 1)2
−
1
x + 1
dx
=
Z
x + 1dx +
Z
1
x − 1
dx
| {z }
u1=x−1
du1=dx
+2
Z
1
(x − 1)2
dx
| {z }
u2=x−1
du2=dx
−
Z
1
x + 1
dx
| {z }
u3=x+1
du3=dx
= x2
+ x +
Z
1
u1
du1 + 2
Z
1
u2
2
du2 −
Z
1
u3
du3
= x2
+ x + ln |u1| −
2
u2
− ln |u3| + C
= x2
+ x + ln |x − 1| −
2
x − 1
− ln |x + 1| + C
= x2
+ x + ln
x − 1
x + 1
−
2
x − 1
+ C
Case III: Distinct Irreducible Quadratic Factors
Case III: Distinct Irreducible Quadratic
➤ CASE III: Q(x) contains irreducible quadratic factors, none of
which are repeated. If Q(x) has the factor ax2 + bx + c where
b2 − 4ac  0, then, in addition to the partial fractions in
equations (1) and (2), the expression for R(x)
Q(x) will have a term
of the form
Ax + B
ax2 + bx + c
(3)
For example,
x
(x − 2)(x2 + 1)(x2 + 4)
=
A
x − 2
+
Bx + C
x2 + 1
+
Dx + E
x2 + 4

Section 7.4

  • 1.
    Chapter 7: Techniquesof Integration Section 7.4: Integration of Rational Functions by Partial Fractions Alea Wittig SUNY Albany
  • 2.
    Outline Introduction to Methodof Partial Fractions Step 1: Polynomial Long Division Step 2: Factoring Q(x) Partial Fraction Decomposition Case I: Distinct Linear Factors Case II: Repeated Linear Factors Case III: Distinct Irreducible Quadratic Factors Case IV: Repeated Irreducible Quadratic Factors Rationalizing Substitutions
  • 3.
    Introduction to Methodof Partial Fractions
  • 4.
    Rational Functions ➤ Arational function is a ratio of polynomials. f (x) = P(x) Q(x) = anxn + an−1xn−1 + . . . + a1x + a0 bmxm + bm−1xm−1 + . . . + b1x + b0 ➤ In this section we will learn that any given rational function can be broken down into a set of standard integrals, each of which can be computed routinely. ➤ As a warmup exercise, compute the following standard integrals: Z A x + a dx (a) Z B (x + a)2 dx (b)
  • 5.
    Exercise a To computeZ A x + a dx (a) we first make the u sub: u = x + a, du = dx Z A x + a dx = Z A u du = A Z 1 u du = A ln |u| + C = A ln |x + a| + C
  • 6.
    Exercise b To computeZ B (x + a)2 dx (b) we first make the u sub: u = x + a, du = dx Z B (x + a)2 dx = Z B u2 du = B Z 1 u2 du = B Z u−2 du = B u−2+1 −2 + 1 + C = B u−1 −1 + C = − B u + C = − B x + a + C
  • 7.
    The Method ofPartial Fractions The Method of Partial Fractions can be broken down into 3 steps: Step 1: Polynomial Long Division Step 2: Factorization of Q(x) Step 3: Partial Fraction Decomposition
  • 8.
    Step 1: PolynomialLong Division
  • 9.
    Proper vs. Improper f(x) = P(x) Q(x) ➤ f is called proper if the degree (highest power) of P is less than the degree of Q. eg, f (x) = x2 − 2x + 1 x3 + x ➤ f is called improper if the degree of P is greater than or equal to the degree of Q. eg, f (x) = 3x5 + x x2 − 2x + 1
  • 10.
    Polynomial Long Division ➤Any rational function f can be written in the form f (x) = P(x) Q(x) = S(x) |{z} polynomial + R(x) Q(x) | {z } proper rational ➤ If f is proper, then S(x) = 0 and R(x) = P(x) ➤ If f is improper then we must divide Q into P using long division until a remainder R(x) is obtained with deg(R) < deg(Q). ➤ Warning: Partial fraction decomposition (step 3) only works on proper rational functions.
  • 11.
  • 12.
    Exercise c As anexercise, use long division to show that x3 + x x − 1 = x2 + x + 2 + 2 x − 1 Use this to compute the integral Z x3 + x x − 1 dx
  • 13.
    ➤ In example1 and exercise c we were able to write the rational function as a sum of standard integrals which were simple to compute. ➤ If we are not able to integrate after step 1 then move on to step 2.
  • 14.
  • 15.
    Factor Q(x) ➤ AfterStep 1 we have f (x) = P(x) Q(x) = S(x) |{z} polynomial + R(x) Q(x) | {z } proper rational ➤ Step 2 is to factor Q(x) as far as possible.
  • 16.
    Factor Q(x) ➤ Theorem:Any polynomial Q(x) can be factored as a product of ➤ linear factors ax + b ➤ and irreducible quadratic factors ax2 + bx + c where b2 − 4ac < 0 ➤ For example, x4 − 16 = (x2 + 4)(x2 − 4) = (x2 + 4) | {z } irreducible (x + 2) | {z } linear (x − 2) | {z } linear
  • 17.
  • 18.
    Partial Fraction Decomposition ➤After Step 2 we have f (x) = S(x) |{z} polynomial + R(x) Q(x) | {z } proper rational where Q is completely factored into its I) distinct linear factors II) repeated linear factors III) distinct irreducible quadratic factors IV) repeated irreducible quadratic factors ➤ Q(x) may have any combination of these four types of factors. ➤ Step 3 is the partial fraction decomposition of R(x) Q(x).
  • 19.
    Partial Fractions ➤ Theorem:Any proper rational function R(x) Q(x) can be written as the sum of partial fractions of the form A (ax + b)i or Ax + B (ax2 + bx + c)j where i, j are positive integers. ➤ The types of factors present in Q(x) (I,II, III, IV) will determine the partial fraction decomposition. ➤ The coefficients A, B, and C must be computed algebraically.
  • 20.
    Case I: DistinctLinear Factors
  • 21.
    Case I: Q(x)is a Product of Distinct Linear Factors ➤ Case I: Q(x) can be written as a product of distinct linear factors Q(x) = (a1x + b1)(a2x + b2) . . . (akx + bk) where no factor is repeated and no factor is a constant multiple of another. ➤ In this case the theorem of partial fractions states that there exist constants A1, A2, . . . , Ak such that R(x) Q(x) = A1 a1x + b1 + A2 a2x + b2 + . . . + Ak akx + bk (1)
  • 22.
    Example 2 <1/7> Evaluate Z x2+ 2x − 1 2x3 + 3x2 − 2x dx ➤ Step 1: This rational function is proper since the degree of the numerator is 2 and the degree of the denominator is 3. This means we do not have to do long division. ➤ Step 2: Factor the denominator: x2 + 2x − 1 2x3 + 3x2 − 2x = x2 + 2x − 1 x(2x2 + 3x − 2) = x2 + 2x − 1 x(2x − 1)(x + 2) The denominator factors into 3 distinct linear factors.
  • 23.
    Example 2 <2/7> ➤ Step3: Partial fraction decomposition: ➤ Step 3a: x2 + 2x − 1 x(2x − 1)(x + 2) = A1 x + A2 2x − 1 + A3 x + 2 ➤ Step 3b: Solve for the unknown constants A1, A2, and A3 by first multiplying both sides of the equation by Q(x): x2 + 2x − 1 = A1 x(2x − 1)(x + 2) x + A2x (2x − 1)(x + 2) 2x − 1 . . . . . . + A3x(2x − 1) (x + 2) x + 2 = A1(2x − 1)(x + 2) + A2x(x + 2) + A3x(2x − 1) ➤ Q(x) obviously cancels out on the left side, and on the right side a factor cancels with the denominator for each term.
  • 24.
    Example 2 3/7 ➤ Nowwe have the equation x2 +2x−1 = A1(2x−1)(x+2)+A2x(x+2)+A3x(2x−1) (♠) ➤ There are two different methods we will outline for how to find the constants from this point. ➤ Step 3c; Method 1: Distribute and match: x2 + 2x − 1 = A1(2x2 + 3x − 2) + A2(x2 + 2x) + A3(2x2 − x) = (2A1 + A2 + 2A3)x2 + (3A1 + 2A2 − A3)x − 2A1 ➤ First we distributed the factors on right hand side (RHS) of (♠) and collected like terms. ➤ Now we will match the coefficients of xn on each side of the equation (next slide).
  • 25.
    Example 2 4/7 1x2 + 2x−1= (2A1 + A2 + 2A3)x2 + (3A1 + 2A2 − A3)x + −2A1 2A1 + A2 + 2A3 = 1 (i) 3A1 + 2A2 − A3 = 2 (ii) −2A1 = −1 (iii) ➤ Matching the coefficients we have formed 3 equations for our 3 unknowns A1, A2, A3. This is called a system of linear equations. ➤ We can immediately solve (iii) for A1: A1 = 1 2 ➤ We could then plug this into (i) to solve for A2 in terms of A3. 2 1 2 + A2 + 2A3 = 1 =⇒ A2 = −2A3 ➤ Now plug A1 = 1 2 and A2 = −2A3 into (ii) (next slide).
  • 26.
    Example 2 5/7 3A1 +2A2 − A3 = 2 =⇒ 3 1 2 + 2(−2A3) − A3 = 2 3 2 − 4A3 − A3 = 2 =⇒ −5A3 = 1 2 =⇒ A3 = − 1 10 ➤ Now since A2 = −2A3, A2 = −2 1 10 =⇒ A2 = 1 5 . ➤ So we have found all of the coefficients and we could then plug them in and integrate. ➤ Remark: There are many other ways you could have solved the system of linear equations. Give it a try.
  • 27.
    Example 2 6/7 ➤ Step3c; Method 2: Find the zeroes of the Q(x), and sub them into (♠) x2 +2x−1 = A1(2x−1)(x+2)+A2x(x+2)+A3x(2x−1) (♠) and solve for A1, A2, and A3. ➤ The zeroes of (x)(2x − 1)(x + 2) are x = 0, 1 2, and − 2 (x = 0) : −1 = −2A1 =⇒ A1 = 1 2 (x = 1 2 ) : 1 4 = A2 1 2 ( 1 2 + 2) = 5A2 4 =⇒ A2 = 1 5 (x = −2) : −1 = A3(−2)(−4 − 1) = 10 =⇒ A3 = − 1 10
  • 28.
    Example 2 7/7 ➤ Remark:Method 2 will always work for Case I: distinct linear factors. It won’t work immediately for other cases, ie, repeated linear (case II) or irreducible quadratic (cases III IV). Method 1 will work in all possible cases. ➤ Once we have found the coefficients, we plug in and integrate. Z x2 + 2x − 1 2x3 + 3x2 − 2x dx = Z 1 2x + 1 5(2x − 1) + 1 10(x + 2) dx = 1 2 Z 1 x dx + 1 5 Z 1 2x − 1 dx | {z } u1=2x−1, du1=2dx dx= du1 2 + 1 10 Z 1 x + 2 dx | {z } u2=x+2, du2=dx = 1 2 ln |x| + 1 10 ln |2x − 1| − 1 10 ln |x + 2| + C
  • 29.
  • 32.
  • 35.
    + C where a̸= 0. This formula can be used for future problems. Try this on you own before going ahead for the solution.
  • 36.
    Example 3 2/4 Z dx x2 −a2 ➤ Step 1: The rational function is proper since the numerator has degree 0 and the denominator has degree 2. No need for long division. ➤ Step 2: Factor the denominator: 1 x2 − a2 = 1 (x − a)(x + a) ➤ Step 3: Partial Fraction Decomposition: Case I : 1 (x − a)(x + a) = A1 x − a + A2 x + a Mult. by Q(x) : 1 = A1(x + a) + A2(x − a)
  • 37.
    Example 3 3/4 ➤ Method2: The zeroes are x = ±a: 1 = A1(x + a) + A2(x − a) =⇒ (x = −a) : 1 = −2aA2 =⇒ A2 = − 1 2a (x = a) : 1 = 2aA1 =⇒ A1 = 1 2a ➤ Plugging in we have 1 x2 − a2 = 1 2a(x − a) − 1 2a(x + a) Z 1 x2 − a2 dx = Z 1 2a(x − a) − 1 2a(x + a) dx = 1 2a Z 1 x − a dx − 1 2a Z 1 x + a dx
  • 38.
    Example 3 4/4 1 2a Z 1 x −a dx | {z } u=x−a du=dx − 1 2a Z 1 x + a dx | {z } u=x+a du=dx = 1 2a ln |x − a| − 1 2a ln |x + a| + C = 1 2a ln
  • 41.
  • 44.
  • 45.
    Case II: RepeatedLinear Factors
  • 46.
    Case II: RepeatedLinear Factors ➤ Case II: Q(x) contains a product of repeated linear factors. ➤ Suppose the first linear factor is repeated r times, ie, (a1x + b1)r occurs in the decomposition of Q(x). Then the single term A1 a1x+b1 is replaced by the sum A1 (a1x + b) + A2 (a1 + b1x)2 + . . . + Ar (a1x + b1)r (2) ➤ For example, x3 − x + 1 (x + 1)3x2 = A x + 1 + B (x + 1)2 + C (x + 1)3 + D x + E x2
  • 47.
    Example 3 1/5 Find Z x4− 2x2 + 4x + 1 x3 − x2 − x + 1 dx ➤ Step 1: This rational function is improper since the degree of the numerator is 4 and the degree of the denominator is 3. This means we must do long division before we can do partial fractions.
  • 48.
    Example 3 2/5 x4 −2x2 + 4x + 1 x3 − x2 − x + 1 = x + 1 + 4x x3 − x2 − x + 1 ➤ Step 2: Factor Q(x): x3 − x2 − x + 1 = (x3 − x) − (x2 − 1) = x(x2 − 1) − (x2 − 1) = (x2 − 1)(x − 1) = (x + 1)(x − 1)(x − 1) = (x + 1)(x − 1)2 ➤ This method of factoring is called factoring by grouping.
  • 49.
    Example 3 3/5 ➤ Step3: Partial Fraction Decomposition: 4x x3 − x2 − x + 1 = 4x (x − 1)2 | {z } 2×repeated linear · (x + 1) | {z } distinct linear = A x − 1 + B (x − 1)2 + C x + 1 ➤ Multiply both sides by Q(x): 4x = A(x − 1)(x + 1) + B(x + 1) + C(x − 1)2 (♣) ➤ Q(x) has two zeroes x = ±1 ➤ If we plug x = 1 into (♣), we can solve for B 4 = B(2) =⇒ B = 2
  • 50.
    Example 3 4/5 ➤ Ifwe plug the other zero, x = −1, into (♣) we can solve for C −4 = C(−1 − 1)2 =⇒ −4 = 4C =⇒ C = −1 ➤ But we still have to find A and the only zeros are x = ±1. ➤ No worries, we can plug B and C into (♣) to get the equation 4x = A(x − 1)(x + 1) + 2(x + 1) − (x − 1)2 then plug in any other value for x and then solve for A: (x = 0) : 0 = A(−1)(1) + 2(1) − (−1)2 =⇒ 0 = −A + 2 − 1 =⇒ A = 1 ➤ Remark: Method 1 would have also worked. Notice that, as mentioned earlier, method 2 doesn’t work immediately since we have only 2 zeroes for 3 unknowns. But we can always plug in other values of x to find the remaining unknown(s).
  • 51.
    Example 3 5/5 Z x4 −2x2 + 4x + 1 x3 − x2 − x + 1 dx = Z x + 1 + 1 x − 1 + 2 (x − 1)2 − 1 x + 1 dx = Z x + 1dx + Z 1 x − 1 dx | {z } u1=x−1 du1=dx +2 Z 1 (x − 1)2 dx | {z } u2=x−1 du2=dx − Z 1 x + 1 dx | {z } u3=x+1 du3=dx = x2 + x + Z 1 u1 du1 + 2 Z 1 u2 2 du2 − Z 1 u3 du3 = x2 + x + ln |u1| − 2 u2 − ln |u3| + C = x2 + x + ln |x − 1| − 2 x − 1 − ln |x + 1| + C = x2 + x + ln
  • 54.
  • 57.
  • 58.
    Case III: DistinctIrreducible Quadratic Factors
  • 59.
    Case III: DistinctIrreducible Quadratic ➤ CASE III: Q(x) contains irreducible quadratic factors, none of which are repeated. If Q(x) has the factor ax2 + bx + c where b2 − 4ac 0, then, in addition to the partial fractions in equations (1) and (2), the expression for R(x) Q(x) will have a term of the form Ax + B ax2 + bx + c (3) For example, x (x − 2)(x2 + 1)(x2 + 4) = A x − 2 + Bx + C x2 + 1 + Dx + E x2 + 4
  • 60.
    Integrating Term (3) ➤To integrate the term Ax + B ax2 + bx + c (3) · if b = 0 Z Ax + B ax2 + c dx = Z Ax ax2 + c dx | {z } (i) u sub + Z B ax2 + c dx | {z } (ii) use † Z dx x2 + a2 = 1 a tan−1 x a + C (†) · if b ̸= 0, start by completing the square: ax2 + bx + c = a x + b 2a 2 + c − b2 4a then do a u sub, u = x + b 2a , du = dx.
  • 61.
    Example 4 1/4 Evaluate Z 2x2− x + 4 x3 + 4x dx ➤ Step 1: The rational function is proper so we don’t need to do long division. ➤ Step 2: Factor Q(x): x3 + 4x = x(x2 + 4) = x |{z} distinct linear (x2 + 4) | {z } distinct irreducible quadratic ➤ Remark: Quadratics of the form ax2 + c where a, c 0 are always irreducible since b2 − 4ac = 02 − 4ac = −4ac 0
  • 62.
    Example 4 2/4 2x2 −x + 4 x3 + 4x = A x + Bx + C x2 + 4 ➤ Now multiplying both sides by Q(x) we have 2x2 − x + 4 = A(x2 + 4) + (Bx + C)x (♢) ➤ Since x2 + 4 is irreducible, it has no roots. So Q(x) only has one zero at x = 0. ➤ Plugging x = 0 into ♢ we can solve for A: 4 = 4A =⇒ A = 1 ➤ We can then plug A = 1 into ♢ to get 2x2 − x + 4 = x2 + 4 + (Bx + C)x (♢♢)
  • 63.
    Example 4 3/4 ➤ Wecan find B and C by method 1 (distribute and match) on ♢♢: 2x2 − x + 4 = x2 + 4 + (Bx + C)x = x2 + 4 + Bx2 + Cx = (B + 1)x2 + Cx + 4 2x2 −1x + 4 = (B + 1)x2 + Cx + 4 B + 1 = 2 =⇒ B = 1 C = −1 ➤ Remark: We could have skipped plugging in x = 0 just used method 1 on ♢. Alternatively, we could’ve found A as we did, then plugged two other values for x, eg x = 12, into ♢♢ to get a system of linear equations to solve for C and B.
  • 64.
    Example 4 4/4 ➤ Pluggingin A, B, and C: Z 2x2 − x + 4 x3 + 4x dx = Z 1 x dx + Z x − 1 x2 + 4 dx = ln |x| + Z x x2 + 4 dx | {z } u=x2+4 du=2xdx du 2 =xdx − Z 1 x2 + 4 dx | {z } use †, a=2 = ln |x| + Z du 2u − 1 2 · 2 tan−1 x 2 = ln |x| + 1 2 ln |x2 + 4| − 1 4 tan−1 x 2 + C
  • 65.
    Case IV: RepeatedIrreducible Quadratic Factors
  • 66.
    Case IV: RepeatedIrreducible Quadratic ➤ Case IV: Q(x) contains a repeated irreducible quadratic factor. ➤ If Q(x) has the factor (ax2 + bx + c)r where b2 − 4ac 0, then, instead of the single partial fraction (3), the sum A1x + B1 ax2 + bx + c + A2x + B3 (ax2 + bx + c)2 +. . .+ Ar x + Br (ax2 + bx + c)r (4) occurs in the partial fraction decomposition of R(x) Q(x). ➤ Each term in (4) can be integrated using substitution, completing the square first if necessary.
  • 67.
    Example 5 1/2 Write thepartial fraction decomposition of the following rational function; don’t solve for constants. x3 + x2 + 1 x(x − 2)(x2 + x + 1)(2x2 + 1)3 ➤ x and x − 2 are distinct linear factors which will contribute A x + B x − 2 ➤ x2 + x + 1 has a = 1, b = 1, c = 1 so b2 − 4ac = −3 0. This is a distinct irreducible quadratic which will contribute Cx + D x2 + x + 1 ➤ (2x2 + 1)3 is an irreducible quadratic repeated (×3). It will contribute Ex + F 2x2 + 1 + Gx + H (2x2 + 1)2 + Ix + J (2x2 + 1)3
  • 68.
    Example 5 2/2 So thepartial fraction decomposition of x3 + x2 + 1 x(x − 2)(x2 + x + 1)(2x2 + 1)3 is A x + B x − 2 + Cx + D x2 + x + 1 + Ex + F 2x2 + 1 + Gx + H (2x2 + 1)2 + Ix + J (2x2 + 1)3
  • 69.
    Example 6 1/6 Evaluate Z 1− x + 2x2 − x3 x(x2 + 1)2 dx ➤ Step 1: The numerator is of degree 3 and the denominator is degree 1 + 2 · 2 = 5 so this is proper. ➤ Step 2: Since x2 + 1 is obviously irreducible, Q(x) is already completely factored. ➤ Step 3: Partial fraction decomposition: 1 − x + 2x2 − x3 x(x2 + 1)2 = A x + Bx + C x2 + 1 + Dx + E (x2 + 1)2 ▶ Multiplying both sides by Q(x): 1−x +2x2 −x3 = A(x2 +1)2 +(Bx +C)x(x2 +1)+(Dx +E)x (♡)
  • 70.
    Example 6 2/6 ➤ Again,Q(x) only has one root, x = 0. Plugging this into ♡ we get A = 1 and plugging A = 1 into ♡ we get 1−x +2x2 −x3 = (x2 +1)2 +(Bx +C)x(x2 +1)+(Dx +E)x (♡♡) ➤ Now we use method 1 on ♡♡: distribute and match: 1 − x + 2x2 − x3 = (x4 + 2x2 + 1) + (Bx2 + Cx)(x2 + 1) + (Dx2 + Ex) 1 − x + 2x2 − x3 = (x4 + 2x2 + 1) + (Bx2 + Cx)(x2 + 1) + (Dx2 + Ex) −x − x3 = x4 + (Bx4 + Bx2 + Cx3 + Cx) + (Dx2 + Ex) = (1 + B)x4 + Cx3 + (B + D)x2 + (C + E)x
  • 71.
    Example 6 3/6 0x4 −1x3 + 0x2 −1x= (1 + B)x4 + Cx3 + (B + D)x2 + (C + E)x 0 = 1 + B =⇒ B = −1 C = −1 0 = B + D =⇒ D = −B =⇒ D = 1 −1 = C + E =⇒ E = −1 − C =⇒ E = 0 1 − x + 2x2 − x3 x(x2 + 1)2 = A x + Bx + C x2 + 1 + Dx + E (x2 + 1)2 = 1 x + −x − 1 x2 + 1 + x (x2 + 1)2
  • 72.
    Example 6 4/6 Z 1 x + −x −1 x2 + 1 + x (x2 + 1)2 dx = Z dx x | {z } (i) − Z x + 1 x2 + 1 dx | {z } (ii) + Z x (x2 + 1)2 dx | {z } (iii) (i) Z dx x = ln |x| + C1 (ii) Z x + 1 x2 + 1 dx = Z x x2 + 1 dx | {z } u=x2+1 du=2xdx du 2 =dx + Z 1 x2 + 1 dx | {z } use †, a=1 = Z du 2u + tan−1 x = 1 2 ln |x2 + 1| + tan−1 x + C2
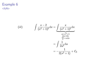
  • 73.
    Example 6 5/6 (iii) Z x −2 (x2 + 1)2 dx = Z x (x2 + 1)2 dx | {z } u=x2+1 du=2x du 2 =xdx = Z 1 2u2 du = − 1 2(x2 + 1) + C3
  • 74.
    Example 6 6/6 Putting itall together we have: ln |x| − 1 2 ln |x2 + 1| + tan−1 x − 1 2(x2 + 1) + C where C = C1 + C2 + C3. We could just wait until the very end to add C of course.
  • 75.
  • 76.
    Rationalizing Substitution ➤ Whenan integrand contains an expression of the form n p g(x) then the substitution u = n p g(x) may be helpful. ➤ For example, to evaluate Z √ x + 4 x dx we make the substitution u = √ x + 4. ➤ Then to compute dx in terms of u and du we can · Solve for x and then differentiate: u2 = x + 4 =⇒ x = u2 − 4 =⇒ dx = 2udu · Or do implicit differentiation: du dx = d dx √ x + 4 = 1 2 √ x + 4 = 1 2u =⇒ dx = 2udu
  • 77.
    Z √ x +4 x dx = Z u u2 − 4 2udu = 2 Z u2 u2 − 4 du = 2 Z u2 − 4 + 4 u2 − 4 du = 2 Z u2 − 4 u2 − 4 + 4 u2 − 4 du = 2 Z 1 + 4 u2 − 4 du = 2u + 8 Z du u2 − 4 = 2u + 8 1 2 · 2 ln
  • 80.
  • 83.
    + C = 2 √ x+ 4 + 2 ln
  • 86.
    √ x + 4− 2 √ x + 4 + 2
  • 89.