THE INDIAN INSTITUTE OF PLANNING AND MANAGEMENT,
AHMEDABAD.
Report submission
ON
CRM
A new business Initiative
The shoe Care business
SUBMITTED TO: -
Madam. Mukta Rae
SUBMITTED BY: -
 Pratik Negi
 Avinash Singh
 Akash goswami
 Jigar joshi
 Sunil kumar
 Harsh patel
 Karan patel
Project report
ON
the business line selected
And
Innovations that we as a Group
Would like to bring in
The business.
SHOE CARE INDUSTRY:
The secondary findings from various sources
Introduction:
The shoe care market includes a wide range of individual products which are used by consumers to
clean, polish, care for, change the color of, make more comfortable, or otherwise extend the life of
various forms of footwear, including shoes and boots made from leather, suede or synthetic
materials, as well as training/sports/casual footwear.
Segmentation:
The three main categories of shoe care products are as follows:
(a) Chemical products: Comprising polishes of various types (pastes, liquids, creams etc), desalters,
color changers/dyes, soaps and shampoos, deodorizers
(b) Insoles: Comprising inserts to improve the fit or comfort of footwear, to provide an anti-slip action
(c) Accessories: Comprising shapers, laces, brushes, dusters.
Demand for shoe polish products has been stagnant, one reason being a switch from formal leather
shoes to other non maintenance material shoes, another being reduced interest on the part of
consumers in the appearance of their shoes. Overall demand is relatively insensitive to price, and
because the products are an infrequent purchase, and the items are comparatively low-priced,
consumers tend not to shop around or be sensitive to differences in price between retail outlets.
• The range of applied shoe care and shoe polish products available within India
• Consumer demand
• Brand loyalty and advertising in the market for shoe polish products
• the size and structure of the market for shoe polish products markets
• Competition and industry pricing.
[The market for applied shoe care and shoe polish products is small in comparison with many other
consumer products and one on which there is limited published information available.]
Proper functions that have to be performed for shoe care
• Remove Grass stains, Grease, Oil, Food, Tar, Dust, Paint
• Bring Shine
• Restore Gloss
• Improve the life of the footwear by nourishing the material
Secondary Research from internet+ blogs + SSI:
1.The various Shoe type material available in the market are
• Leather
• Canvass
• Smooth leather
• Suede
• Nubuck
• Nylon mesh
2. The various footwear available in the markets are:
• Maujri
• Athletic
• Skets
• Sandals
• Floaters
• Casual wear
• Slippers
• Sportswear
• Outdoor
• Hiking and trekking
• Formal wear
3. Broadly in India there are 2 types of shoe care:
• Wax polish
• Liquid polish
4. Leather industry is shifting to the non leather industry which is keeping in with the current trends
and fashions. They are maintenance free and require no shoe care.
5. Occasion when people shop most often: (In order of preference)
• Diwali and Id
• Discounts season
• They are April-March (Because of the market trends)
• Sep-Dec is the other peak season due to the festival season
• January and June are off-season
• Semi planned purchase
7. Key drivers for choice of footwear:
• Road Shops – the fashion trends and synchronism with their apparels and comfort ability.
• Branded Shops – Comfort ability and then fashion trends.
Observations:
Some crucial observation in addition
1. There were few, if any, generally perceived quality differences: a tin of black polish, for example,
would not be thought of as having any particularly high or low quality but merely as being useful in
cleaning black shoes.
2. What most of the students look out for is time convenience and are not price conscious as it is an
infrequent purchase
3. They do not lay a major stress on the packaging but the handling and designing
4. Girls do not find any need and requirement to polish their sandals but usually do just use a cloth or
home remedies
5. A very striking observation that has been made is that although that the shoe market is increasing
the shoe care market has been stagnant
What’s our business proposal for
Ahmedabad which include CRM & CSR BOTH
 Name of the business -- [ PAKSH – AJ ] shoe maintenance
 Geographical presence -- Ahmedabad ( Gujarat)
 Covered market -- 4 classes of society
 Segment of market -- all 6 zones of Ahmedabad
 Workers and labor force -- cobblers of all area and rag pickers ( 6 management head)
 Compensation and wages -- according to standards set and plus CSR help.
Task defined and business proposal
{ Shoes + floaters + sleepers + etc } Target Market.
What is paksh—aj ?
 P – Prompt service
 A-- Anytime
 K – Knowledge of your product
 S – Serviceable
 H—humble
 A -- Anywhere
 J—just in time
Areas covered according to the Ahmedabad geography
Lower middle class Upper middle class Middle class Niche class
maninagar
SG highway
& satellite
CG road
and
N-pura
Chandkheda
&
D.cabin
Area –
opposite
the river
Vadaj +
area
132 ring
road +
area
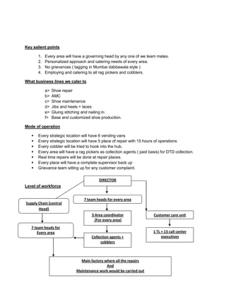
Key salient points
1. Every area will have a governing head by any one of we team mates.
2. Personalized approach and catering needs of every area.
3. No grievances ( tagging in Mumbai dabbawala style )
4. Employing and catering to all rag pickers and cobblers.
What business lines we cater to
a> Shoe repair
b> AMC
c> Shoe maintenance
d> Jibs and heels + laces
e> Gluing stitching and nailing in
f> Base and customized shoe production.
Mode of operation
 Every strategic location will have 6 vending vans
 Every strategic location will have 5 place of repair with 15 hours of operations
 Every cobbler will be tried to hook into the hub.
 Every area will have a rag pickers as collection agents ( paid basis) for DTD collection.
 Real time repairs will be done at repair places.
 Every place will have a complete supervisor back up
 Grievance team sitting up for any customer complaint.
Level of workforce
7 team heads for every area
3 Area coordinator
(For every area)
Collection agents +
cobblers
Customer care unit
1 TL + 15 call center
executives
DIRECTOR
Supply Chain (central
Head)
7 team heads for
Every area
Main factory where all the repairs
And
Maintenance work would be carried out
Charges & customer payments
Footwear charges {annual maintenance contract}
o Footwear MRP – [ > 50] – [ no AMC]
o 50 – 300 [ no AMC ] We provide 1 time solution to the
o 300- 1000 [ 5 rs – a month] Shoe problems
o 1000- 3000 [ 10 rs – a month ]
o 3000 – 10000 [ 20 rs – a month ]
Single time damages -- On the Spot payment
Real time Repairs – On the Spot Payment
Freight Charges – only for special footwear repairs (those require factory repairs)
CSR and CRM Used
 Rag picker used as collection agents
 1 TL and 15 call center executives
 C- DBASE – customer data base maintenance and ( oracle database used for record storage)
 Using promotional message and sign boards for advertising
 Local TV and slip ins used for promotion
 We believe in WOM [ word of mouth publicity] – so customer is the god.
 Customer feedback and regular customer checks and asking customers for AMC pitching.
 Asking customers for continuous feedback and including customer in spreading the news.
**- this is just an overview of the business line and the proposal that we will be pitching in for the new
business line. But the overall draft of the business needs a much more concrete research that needs to be
done and plus major factors that will be considered for the outlining the business and major facts that have
to be scrutinized before placing it in perfections
Factors that need to be checked very minutely
For laying the foundation of the business
Supply chain needs to be checked
Adding people to the line who think of welfare first
Asking people that this is a business for the people from the people
Developing target customer base
Scrutinizing and placing customer base ( call center and infra for the same)
Placing infra for the SSI ( small scale industry – setup )
Infra and vehicle for the supply chain
Collaborating various agents for integrating the cobblers
Integrating the rag pickers and asking ( AMC for help)
Developing a PAGH- rakha bazaar kind of step up
Developing links with raw material supplies ( backward integration)
Developing a forwards integration – for various customer base
Revenue model proposed
Defining a revenue model for our business will help us to:
1. Stay focused on a niche/middle class and a target audience
2. Give you a foundation for your product or service development plans
3. Provide a foundation for our marketing plans
4. Begin a line of credit or get a loan
5. Raise capital through initial phase and later through networks.
Our business revenue models can be broadly classified into two types.
1. Revenue from conventional b2c and c2c [if we include networking in later stages] business
models. b2b [future innovations when the company reaches its peak]
2. Revenue from customer and revenue from agents if getting involved.
HEREBY We have prepared the Excel tabulation for the proposed business revenue model in
the attached file with the document
QUESTIONAIRE For primary research
Questioners for the opening of a
Revolutionary service at your door step
SHOE care in Ahmedabad and future trends
Hello sir/madam,
We are currently conducting a survey on strategies for shoe care in
Ahmedabad and future trends; on the behalf of your given information we can
understand and analyze that what strategies should be taken to make people
aware for shoe care and would help us to analyze the market needs and
demands. Therefore we request you to spare some of your precious time to
answer the following questions.
(Disclaimer: Information which is providing by you will not be utilized by any
means and will be kept discreet)
{ Demographic information }
 Name- _______________________________________
 AREA – ( Ahmedabad )_________________________
 Age:
15 – 20
20 – 25
25 – 30
30 – 35
35 – Above
Gender: Male Female
Occupation:
Service
Business
Housewife
Student
Others
 Income:
10000- 15000
15000-20000
20000-25000
25000-30000
30000- above.
 Telephone no. (residence ________________),(office_______________),
(Mobile____________________)
 Email ID (_______________@____________________)
1> do you care for the footwear that you use daily or specifically?
Ans. 1. YES ( ) (please tick your Preferences)
2 No ( )
3. Sometime ( )
If yes what category of vehicle you use (please tick your Preferences)
1. Party wear shoes/sandals ( )
2. Daily use ( )
3. Multi use footwear ( )
4. Only Branded ( )
5. Both branded as well as unbranded ( )
6. I care for them at any cost ( )
2>. Where do you use your precious footwear?
Ans :-- 1> Personal use/ office use ( )
2> party use ( )
3> anywhere ( )
4> other please specify ______________________
3>—what is your preferred location in your area for footwear purchase?
Sol—
A________________________
B________________________
C________________________
D________________________
4>. Tell me do agree with the statement one (1) or statement (2)
Statement 1 – You must care for your footwear
Statement 2 – its only waste of time but sometimes it is useful to mend the high priced
footwear.
Response:
A> Agree with the first
B> Agree with the second
C> No opinion
5>. Brand which you know?
Ans: please write
___________________
___________________
___________________
___________________
___________________
___________________
IF any sub-brands or local preferred shops please specify
 _________________
 _________________
 _________________
why( please specify)
________________________________________________________________
6>. Are you aware of the best places of footwear repair and maintenance in your area?
Ans: -- please tick
1. Yes ( )
2. No ( )
IF yes where do you go for a the repair
o high class repair ( )
o local cobbler ( )
o showroom ( )
o anywhere else ( please specify_______________________________)
7> Are you a user/consumer of branded footwear? If any please specify?
Ans :-- 1> yes ( ) please specify _________________
2> No ( )
8>. Type of footwear used or proffered by you?
Ans: -- please tick
1. shoes ( )
2. sandals ( )
3. chappals ( )
4. high heels ( )
5. boots ( )
6. stilettos ( )
7. leather footwear( )
8. OTHERS please specify ( ___________________ )
9>. When you buy the footwear it must be?
Ans : Please rank on a scale of 1 to 5 (1 being the lowest and 5 the highest)
1. Value for money _____
2. Looks must be there _____
3. Comfort _____
4. low in budget _____
5. Spare availability _____
6. Overall satisfaction _____
7. Other please specify ( _____________________ )
10>. On what norms would you like to replace your current footwear with branded one?
Ans Please tick on the available options
1 2 3 4
# Price ( ) ( ) ( ) ( )
# Environment and trend ( ) ( ) ( ) ( )
# Saves money ( ) ( ) ( ) ( )
# Serve my needs while commuting ( ) ( ) ( ) ( )
# Satisfaction from product ( ) ( ) ( ) ( )
# Quality of footwear used most often ( ) ( ) ( ) ( )
11>How much money you spend to maintain your footwear in a year if you k now please tell a rough
figure or else monthly estimate?
Sol—A> monthly Rs________________
B> yearly Rs_________________
Any comments
____________________________________________________________________________
____________________________________________________________________________
12>. What type of marketing strategy would be best for making penetration in this segment?
Ans :
Strongly agree Agree Can’t say Disagree
Advertisement is
the only possible
way.
Educating people
about the
availability of
such service
Co branding/and
collaboration with
stores+ brands +
local footwear
manufacturer
compensating
with prices and
charges
13>. Thanks for your feedback? Would you like to comment something on the ―PAKSH-AJ shoe
maintenance and repair services coming in your area?
Ans ____________________________________________________________________________
____________________________________________________________________________
___________________________________________________________________________
___________________________________________________________________________
Thanks: -- For the cooperation and time that you have spent with us, it will
certainly guide us in our overall understanding of the project, and will certainly show
us the best path out, for the completion of the project, your inputs are highly
honored.
Submitted by
 Pratik Negi
 Avinash Singh
 Akash goswami
 Jigar joshi
 Sunil kumar
 Harsh patel
 Karan patel
A
PAKSH-AJ
Initiative
Soon knocking
Your door

Report shoe care ( pratik & grp)

  • 1.
    THE INDIAN INSTITUTEOF PLANNING AND MANAGEMENT, AHMEDABAD. Report submission ON CRM A new business Initiative The shoe Care business SUBMITTED TO: - Madam. Mukta Rae SUBMITTED BY: -  Pratik Negi  Avinash Singh  Akash goswami  Jigar joshi  Sunil kumar  Harsh patel  Karan patel
  • 2.
    Project report ON the businessline selected And Innovations that we as a Group Would like to bring in The business. SHOE CARE INDUSTRY: The secondary findings from various sources Introduction: The shoe care market includes a wide range of individual products which are used by consumers to clean, polish, care for, change the color of, make more comfortable, or otherwise extend the life of various forms of footwear, including shoes and boots made from leather, suede or synthetic materials, as well as training/sports/casual footwear. Segmentation: The three main categories of shoe care products are as follows: (a) Chemical products: Comprising polishes of various types (pastes, liquids, creams etc), desalters, color changers/dyes, soaps and shampoos, deodorizers (b) Insoles: Comprising inserts to improve the fit or comfort of footwear, to provide an anti-slip action (c) Accessories: Comprising shapers, laces, brushes, dusters. Demand for shoe polish products has been stagnant, one reason being a switch from formal leather shoes to other non maintenance material shoes, another being reduced interest on the part of consumers in the appearance of their shoes. Overall demand is relatively insensitive to price, and because the products are an infrequent purchase, and the items are comparatively low-priced,
  • 3.
    consumers tend notto shop around or be sensitive to differences in price between retail outlets. • The range of applied shoe care and shoe polish products available within India • Consumer demand • Brand loyalty and advertising in the market for shoe polish products • the size and structure of the market for shoe polish products markets • Competition and industry pricing. [The market for applied shoe care and shoe polish products is small in comparison with many other consumer products and one on which there is limited published information available.] Proper functions that have to be performed for shoe care • Remove Grass stains, Grease, Oil, Food, Tar, Dust, Paint • Bring Shine • Restore Gloss • Improve the life of the footwear by nourishing the material Secondary Research from internet+ blogs + SSI: 1.The various Shoe type material available in the market are • Leather • Canvass • Smooth leather • Suede • Nubuck • Nylon mesh 2. The various footwear available in the markets are: • Maujri • Athletic • Skets • Sandals • Floaters • Casual wear • Slippers • Sportswear • Outdoor • Hiking and trekking • Formal wear
  • 4.
    3. Broadly inIndia there are 2 types of shoe care: • Wax polish • Liquid polish 4. Leather industry is shifting to the non leather industry which is keeping in with the current trends and fashions. They are maintenance free and require no shoe care. 5. Occasion when people shop most often: (In order of preference) • Diwali and Id • Discounts season • They are April-March (Because of the market trends) • Sep-Dec is the other peak season due to the festival season • January and June are off-season • Semi planned purchase 7. Key drivers for choice of footwear: • Road Shops – the fashion trends and synchronism with their apparels and comfort ability. • Branded Shops – Comfort ability and then fashion trends. Observations: Some crucial observation in addition 1. There were few, if any, generally perceived quality differences: a tin of black polish, for example, would not be thought of as having any particularly high or low quality but merely as being useful in cleaning black shoes. 2. What most of the students look out for is time convenience and are not price conscious as it is an infrequent purchase 3. They do not lay a major stress on the packaging but the handling and designing 4. Girls do not find any need and requirement to polish their sandals but usually do just use a cloth or home remedies 5. A very striking observation that has been made is that although that the shoe market is increasing the shoe care market has been stagnant
  • 5.
    What’s our businessproposal for Ahmedabad which include CRM & CSR BOTH  Name of the business -- [ PAKSH – AJ ] shoe maintenance  Geographical presence -- Ahmedabad ( Gujarat)  Covered market -- 4 classes of society  Segment of market -- all 6 zones of Ahmedabad  Workers and labor force -- cobblers of all area and rag pickers ( 6 management head)  Compensation and wages -- according to standards set and plus CSR help. Task defined and business proposal { Shoes + floaters + sleepers + etc } Target Market. What is paksh—aj ?  P – Prompt service  A-- Anytime  K – Knowledge of your product  S – Serviceable  H—humble  A -- Anywhere  J—just in time Areas covered according to the Ahmedabad geography Lower middle class Upper middle class Middle class Niche class maninagar SG highway & satellite CG road and N-pura Chandkheda & D.cabin Area – opposite the river Vadaj + area 132 ring road + area
  • 6.
    Key salient points 1.Every area will have a governing head by any one of we team mates. 2. Personalized approach and catering needs of every area. 3. No grievances ( tagging in Mumbai dabbawala style ) 4. Employing and catering to all rag pickers and cobblers. What business lines we cater to a> Shoe repair b> AMC c> Shoe maintenance d> Jibs and heels + laces e> Gluing stitching and nailing in f> Base and customized shoe production. Mode of operation  Every strategic location will have 6 vending vans  Every strategic location will have 5 place of repair with 15 hours of operations  Every cobbler will be tried to hook into the hub.  Every area will have a rag pickers as collection agents ( paid basis) for DTD collection.  Real time repairs will be done at repair places.  Every place will have a complete supervisor back up  Grievance team sitting up for any customer complaint. Level of workforce 7 team heads for every area 3 Area coordinator (For every area) Collection agents + cobblers Customer care unit 1 TL + 15 call center executives DIRECTOR Supply Chain (central Head) 7 team heads for Every area Main factory where all the repairs And Maintenance work would be carried out
  • 7.
    Charges & customerpayments Footwear charges {annual maintenance contract} o Footwear MRP – [ > 50] – [ no AMC] o 50 – 300 [ no AMC ] We provide 1 time solution to the o 300- 1000 [ 5 rs – a month] Shoe problems o 1000- 3000 [ 10 rs – a month ] o 3000 – 10000 [ 20 rs – a month ] Single time damages -- On the Spot payment Real time Repairs – On the Spot Payment Freight Charges – only for special footwear repairs (those require factory repairs) CSR and CRM Used  Rag picker used as collection agents  1 TL and 15 call center executives  C- DBASE – customer data base maintenance and ( oracle database used for record storage)  Using promotional message and sign boards for advertising  Local TV and slip ins used for promotion  We believe in WOM [ word of mouth publicity] – so customer is the god.  Customer feedback and regular customer checks and asking customers for AMC pitching.  Asking customers for continuous feedback and including customer in spreading the news. **- this is just an overview of the business line and the proposal that we will be pitching in for the new business line. But the overall draft of the business needs a much more concrete research that needs to be done and plus major factors that will be considered for the outlining the business and major facts that have to be scrutinized before placing it in perfections Factors that need to be checked very minutely For laying the foundation of the business Supply chain needs to be checked Adding people to the line who think of welfare first Asking people that this is a business for the people from the people Developing target customer base Scrutinizing and placing customer base ( call center and infra for the same) Placing infra for the SSI ( small scale industry – setup ) Infra and vehicle for the supply chain Collaborating various agents for integrating the cobblers Integrating the rag pickers and asking ( AMC for help) Developing a PAGH- rakha bazaar kind of step up Developing links with raw material supplies ( backward integration) Developing a forwards integration – for various customer base
  • 8.
    Revenue model proposed Defininga revenue model for our business will help us to: 1. Stay focused on a niche/middle class and a target audience 2. Give you a foundation for your product or service development plans 3. Provide a foundation for our marketing plans 4. Begin a line of credit or get a loan 5. Raise capital through initial phase and later through networks. Our business revenue models can be broadly classified into two types. 1. Revenue from conventional b2c and c2c [if we include networking in later stages] business models. b2b [future innovations when the company reaches its peak] 2. Revenue from customer and revenue from agents if getting involved. HEREBY We have prepared the Excel tabulation for the proposed business revenue model in the attached file with the document QUESTIONAIRE For primary research Questioners for the opening of a Revolutionary service at your door step SHOE care in Ahmedabad and future trends Hello sir/madam, We are currently conducting a survey on strategies for shoe care in Ahmedabad and future trends; on the behalf of your given information we can understand and analyze that what strategies should be taken to make people aware for shoe care and would help us to analyze the market needs and demands. Therefore we request you to spare some of your precious time to answer the following questions.
  • 9.
    (Disclaimer: Information whichis providing by you will not be utilized by any means and will be kept discreet) { Demographic information }  Name- _______________________________________  AREA – ( Ahmedabad )_________________________  Age: 15 – 20 20 – 25 25 – 30 30 – 35 35 – Above Gender: Male Female Occupation: Service Business Housewife Student Others  Income: 10000- 15000 15000-20000 20000-25000 25000-30000 30000- above.
  • 10.
     Telephone no.(residence ________________),(office_______________), (Mobile____________________)  Email ID (_______________@____________________) 1> do you care for the footwear that you use daily or specifically? Ans. 1. YES ( ) (please tick your Preferences) 2 No ( ) 3. Sometime ( ) If yes what category of vehicle you use (please tick your Preferences) 1. Party wear shoes/sandals ( ) 2. Daily use ( ) 3. Multi use footwear ( ) 4. Only Branded ( ) 5. Both branded as well as unbranded ( ) 6. I care for them at any cost ( ) 2>. Where do you use your precious footwear? Ans :-- 1> Personal use/ office use ( ) 2> party use ( ) 3> anywhere ( ) 4> other please specify ______________________ 3>—what is your preferred location in your area for footwear purchase?
  • 11.
    Sol— A________________________ B________________________ C________________________ D________________________ 4>. Tell medo agree with the statement one (1) or statement (2) Statement 1 – You must care for your footwear Statement 2 – its only waste of time but sometimes it is useful to mend the high priced footwear. Response: A> Agree with the first B> Agree with the second C> No opinion 5>. Brand which you know? Ans: please write ___________________ ___________________ ___________________ ___________________ ___________________ ___________________ IF any sub-brands or local preferred shops please specify  _________________  _________________  _________________ why( please specify) ________________________________________________________________ 6>. Are you aware of the best places of footwear repair and maintenance in your area?
  • 12.
    Ans: -- pleasetick 1. Yes ( ) 2. No ( ) IF yes where do you go for a the repair o high class repair ( ) o local cobbler ( ) o showroom ( ) o anywhere else ( please specify_______________________________) 7> Are you a user/consumer of branded footwear? If any please specify? Ans :-- 1> yes ( ) please specify _________________ 2> No ( ) 8>. Type of footwear used or proffered by you? Ans: -- please tick 1. shoes ( ) 2. sandals ( ) 3. chappals ( ) 4. high heels ( ) 5. boots ( ) 6. stilettos ( ) 7. leather footwear( ) 8. OTHERS please specify ( ___________________ ) 9>. When you buy the footwear it must be? Ans : Please rank on a scale of 1 to 5 (1 being the lowest and 5 the highest) 1. Value for money _____ 2. Looks must be there _____ 3. Comfort _____ 4. low in budget _____
  • 13.
    5. Spare availability_____ 6. Overall satisfaction _____ 7. Other please specify ( _____________________ ) 10>. On what norms would you like to replace your current footwear with branded one? Ans Please tick on the available options 1 2 3 4 # Price ( ) ( ) ( ) ( ) # Environment and trend ( ) ( ) ( ) ( ) # Saves money ( ) ( ) ( ) ( ) # Serve my needs while commuting ( ) ( ) ( ) ( ) # Satisfaction from product ( ) ( ) ( ) ( ) # Quality of footwear used most often ( ) ( ) ( ) ( ) 11>How much money you spend to maintain your footwear in a year if you k now please tell a rough figure or else monthly estimate? Sol—A> monthly Rs________________ B> yearly Rs_________________ Any comments ____________________________________________________________________________ ____________________________________________________________________________ 12>. What type of marketing strategy would be best for making penetration in this segment? Ans : Strongly agree Agree Can’t say Disagree
  • 14.
    Advertisement is the onlypossible way. Educating people about the availability of such service Co branding/and collaboration with stores+ brands + local footwear manufacturer compensating with prices and charges 13>. Thanks for your feedback? Would you like to comment something on the ―PAKSH-AJ shoe maintenance and repair services coming in your area? Ans ____________________________________________________________________________ ____________________________________________________________________________ ___________________________________________________________________________ ___________________________________________________________________________ Thanks: -- For the cooperation and time that you have spent with us, it will certainly guide us in our overall understanding of the project, and will certainly show us the best path out, for the completion of the project, your inputs are highly honored.
  • 15.
    Submitted by  PratikNegi  Avinash Singh  Akash goswami  Jigar joshi  Sunil kumar  Harsh patel  Karan patel A PAKSH-AJ Initiative Soon knocking Your door