RADAR
RADAR-Radio detection and Ranging
• RADAR is an electromagnetic based detection
system that works by sending the
electromagnetic waves and then studying the
echo or the reflected back waves.
Transmitting Path– TXR->duplexer->
antenna->electromagnetic wave ->aim
Receiving Path– aim(Traget)->echo
signal-> antenna->RXR ->display
Receiving path
Application of RADAR
• Controlling the Air Traffic
• Ship safety
• Sensing the remote places
• Military application
Range calculation
Speed=Distance/Time
⇒Distance=Speed×Time
⇒2R=C×T
R=CT/2
PRF-Pulse repetition frequeny
• Radar signals should be transmitted at every clock pulse.
• The duration between the two clock pulses should be
properly chosen in such a way that the echo signal
corresponding to present clock pulse should be received
before the next clock pulse.
• The time interval between the successive clock pulses is
called pulse repetition time, TP
Echo Signal
1st clock
Pulse
2nd clock
Pulse
Simple Radar block diagram
• Bi static Radar
• Mono static Radar
RADAR frequency band
Functions of Radar
• RADAR is a method of using electromagnetic waves to
remote place -sense the position, velocity and identifying
characteristics of targets.
Radar Range Equation
That is Gain of an antenna=power density radiated by directive
antenna/power density radiated by isotropic antenna.
Gt=power density radiated by directive antenna/(pt/4piR^2)
• Maximum Range (Rmax): Maximum radar range is the
distance beyond which the target cannot be detected.
It occurs when the received echo signal power pr just
equals the minimum detectable signal (Smin).
• where, λ = Wavelength of radiated energy,
• Ae = Capture (or effective) area of receiving antenna
• G = Transmitter gain
• σ = Radar cross-section of target
• Note: By increasing Pt by 16 times, Rmax becomes just
double.
Radar Range Measurement
Target
• Target range =
ct
2
where c = speed of light
t = round trip time
Block diagram of Pulsed Radar
Display
Transmitter
• The transmitter is an oscillator, such as a
magnetron, that is “pulsed” (turned on and
off) by the modulator to generate a repetitive
train of pulses.
• Pulsed modulator is triggered by the trigger
source.
• The magnetron has been the most widely
used microwave generators for radar.
• The waveform generated by the transmitter
travels via a transmission line to the antenna,
where it is radiated into space.
• A single antenna is generally used for both
transmitting and receiving.
• The receiver must be protected from damage
caused by the high power of the transmitter. This
is the function of the duplexer.
• The duplexer also serves to channel the returned
echo signals to the receiver and not to the
transmitter.
• The duplexer consists of two gas-discharge
devices, one known as a TR (transmit-receive)
and the other as ATR (anti-transmit-receive).
• The TR protects the receiver during transmission .
• ATR directs the echo signal to the receiver during
reception.
• Solid- state ferrite circulators and receiver
protectors with gas-plasma TR devices and/or
diode limiters are also employed as duplexers.
• The receiver is usually of the super heterodyne
type.
• The first stage normally is a low-noise RF
amplifier, such as a parametric amplifier or a low
noise transistor.
• The mixer and local oscillator (LO) convert the RF
signal to an intermediate frequency IF.
• Typical IF amplifier center frequencies are 30 or
60 MHz and will have a bandwidth of the order of
one megahertz.
• IF amplifier should be designed as a matched
filter i.e., its frequency-response function H(f)
should maximize the peak-signal-to-mean-noise-
power ratio at the output.
• This occurs when the magnitude of the
frequency-response function |H(f)|is equal to the
magnitude of the echo signal spectrum |S(f)|,
and the phase spectrum of the matched filter is
the negative of the phase spectrum of the echo
signal
• After maximizing the signal-to-noise ratio in the
IF amplifier, the pulse modulation is extracted by
the second detector and amplified by the video
amplifier to a level where it can be properly
displayed, usually on a cathode-ray tube (CRT).
• Timing signals are also supplied to the indicator
to provide the range zero.
• Angle information is obtained from the pointing
direction of the antenna.
• The most common form of cathode-ray tube
display is the Plan Position Indicator, or PPI which
maps in polar coordinates the location of the
• Another form of display is the A-scope, which
plots target amplitude (y axis) vs. range (x axis),
for some fixed direction. This is a deflection-
modulated display. It is more suited for tracking-
radar application than for surveillance radar.
target in azimuth and range.
Doppler Shift -principle
• If the target is in motion with a velocity Vr relative to
the radar,
the received signal will be shifted in frequency from
the transmitted frequency fo by an amount +/-fd as
given by the equation : fd = 2Vr / λ = 2 Vr f0 / c .
• The plus sign indicates that if the distance between
target and radar is decreasing (approaching target) that
is, when the received signal frequency is greater than
the transmitted signal frequency.
• The minus sign applies if the distance is increasing
(receding target).
Problems
• A CW radar operates at the frequency of
10Ghz . What is the doppler frequency
produced
(i) By an aero plane flying at a speed of
250Kmph 1kmph=5/18 m/sec
(2*(250*5/18)*10G)/Velocity of light
(ii) By a baby crawling at a rate 2.5cm/sec
fd = 2Vr / λ
CW radar
• The transmitter generates a continuous
(unmodulated) oscillation of frequency fo,
which is radiated by the antenna.
• A portion of the radiated energy is intercepted
by the target and is scattered, some of it in the
direction of the radar, where it is collected by
the receiving antenna.
Doppler Shift -principle
• If the target is in motion with a velocity Vr relative to
the radar,
the received signal will be shifted in frequency from
the transmitted frequency fo by an amount +/-fd as
given by the equation : fd = 2Vr / λ = 2 Vr f0 / c .
• The plus sign indicates that if the distance between
target and radar is decreasing (approaching target) that
is, when the received signal frequency is greater than
the transmitted signal frequency.
• The minus sign applies if the distance is increasing
(receding target).
• The received echo signal at a frequency fo
+/- fd enters the radar via the antenna
• This signal is heterodyned in the detector (mixer) with a
portion of the transmitter signal fo to produce a Doppler
beat note of frequency fd.
• The sign of fd is lost in this process.
• The purpose of the Doppler amplifier is to eliminate
echoes from stationary targets and to amplify the
Doppler echo signal to a level where it can operate an
indicating device.
• Indiating device is a frequency meter, and is a video
display .. Speed can be calculated.
Application of CW Radar
• Measurement of the relative velocity of a moving
target, as in the police speed monitor or in the
rate-of-climb meter for vertical-take-off aircraft.
• Control of traffic lights, regulation of tollbooths,
vehicle counting. As a sensor in antilock braking
systems, and for collision avoidance.
• Monitoring the docking speed of large ships.
• Measurement of the velocity of missiles, and
baseballs
Maximum unambiguous Range
Once the radar transmitter transmits a pulse, sufficient time should be allotted so that
echo signal due to this pulse may be received and detected before the next pulse is
transmitted.
Maximum unambiguous Range
In a radar system, echoes from targets must be received and processed before the
next pulse is sent by the transmitter.
If the time for an echo pulse to return from a target is greater
than the pulse repetition time (also called pulse repetition
period), range ambiguity occurs
If PRF is too high, echoes may arrive after the transmission of the
next pulse. Such echoes are called second time around echoes.
The range beyond which targets appear as second-time-
around echoes (or the farthest target range that can be
detected by a Radar without ambiguity) is called the
maximum unambiguous range and is given by:
R unambig. = C /2fp
Where fp = pulse repetition frequency, in Hz. (PRF)
The local oscillator of MTI Radar must be stable because it employs doppler.
Stalo : The local oscillator of MTI Radar receiver is called stalo (fL) stands for stable oscillator.
IF stage is designed as matched filter.
The phase detector is mixer like device that combines the received signal at IF and the reference
signal from the coho so to produce difference between the received signal and the reference
signal frequencies. The difference is fd.
Coho : Coho stands for coherent oscillator is the reference signal which has the phase of
transmitted signal.
The power amplifier gets the input i.e. combined signal of both state (fc) and coho (fc), so the
input to power amplifier is fL + fC. The pulse modulator makes transmitter ON and OFF. The
combination of the stalo and coho is called Receiver – excitation of MTI radar.
The echo signal fL + fC + fd given to mixer from duplexer. The mixer gets 2 signals as inputs,
i.e. fL + fc + fd
and signal stalo with frequency fL. The signal i.e. fc + fd from mixer will be given to IF
amplifier to convert RF to IF.
The signal fc + fd fed to phase detector and from coho the signal with frequency fc given to
phase detector, both the signals will be compared and only doppler frequency shifted signal i.e.
fd given to delay line canceller power amplifier may be klystron or TWTA.
At low frequencies, i.e. at UHF triode and tetrode will be used as amplifiers. There can be
replaced at low frequency by solid state transistors.
UNIT – 8 : MTI AND PULSE DOPPLAR RADAR – LECTURE 5
MOVING TARGET DETECTOR
A block diagram of the MTD processor is shown in Fig . The input on the left is from the output of the I
and Q AID converters. The three-pulse canceller and the eight-pulse Doppler filter-bank eliminate zero-
velocity clutter and generate eight overlapping filters covering the doppler interval, as described in the
previous section. The use of a three-pulse canceller ahead of the fi1ter:bank eliminates stationary clutter and
thereby reduces the dynamic range required of the doppler filter-bank. The fast Fourier transform algorithm
is listed to implement the doppler filter-bank.
Since the first two pulses of a three-pulse canceller are meaningless only the last eight of the ten pulses
output from the canceller are passed to the filter-bank. Following the filter-bank, weighting is applied in
the frequency domain to reduce the filter sidelobes.
Separate thresholds are applied to each filter. The thresholds for the nonzero-velocity resolution cells are
established by summing the detected outputs of the signals in the same velocity filter in 16 range cells, eight
on either side of the cell of interest. Thus, each filter output is averaged over cne mile in range to establish
the statistical mean level of nonzero-velocity clutter (such as rain) or noise. The filter thresholds are
determined by multiplying the mean levels by an appropriate constant to obtain the desired false-alarm
probability. This application of an adaptive threshold to each doppler filter at each range cell provides a
constant false-alarm rate (CFAR) and results in Subweather visibility in that an aircraft with a radial
velocity sufficiently different from the rain so as to fall into another filter can be seen even if the aircraft
echo is substantially less than the weather echo.
A digital clutter map is generated which establishes the thresholds for the zero-velocity cells. The map is
implemented with one word for each of the 365,000 range-azimuth cells. The original MTD stored the map
on a magnetic disc memory. The purpose of the zero-velocity filter is to recover the clutter signal
eliminated by the MTI delay-line canceler and to use this signal as a means for detecting targets on-crossing
trajectories with zero velocities that would normally be lost in the usual MTI. Only targets larger than the
clutter would be so detected.
LIMITATIONS TO MTI PERFORMANCE
The improvement in signal-to-clutter ratio of an MTI is affected by factors other than the design of the
doppler signal processor. Instabilities of the transmitter and receiver, physical motions of the clutter, the
finite time on target (or scanning modulation), and limiting in the receiver can all detract from the
performance of an MTI radar.
MTI improvement f actor: The signal-to-clutter ratio at the output of the MTI system divided by the
signal-to-clutter ratio at the input, averaged uniformly over all target radial velocities of interest.
Subclutter visibility : The ratio by which the target echo power may be weaker than the coincident clutter
echo power and still be detected with specified detection and false alarm probabilities.
Clutter visibility factor : The signal-to-clutter ratio, after cancellation or doppler filtering, that provides
stated probabilities of detection and false alarm.
Cltrtter attenuation: The ratio of clutter power at the canceller input to the clutter residue at the output,
normalized to the attenuation of a single pulse passing through the unprocessed channel of the canceller.
Cancellation ratio: The ratio of canceller voltage amplification for the fixed-target echoes received with a
fixed antenna, to the gain for a single pulse passing through the unprocessed channel of the canceller.
Equipment instabilities : Pulse-to-pulse changes in the amplitude, frequency, or phase of the transmitter
signal, changes in the stalo or coho oscillators in the receiver, jitter in the timing of the pulse transmission,
variations in the time delay through the delay lines, and changes in the pulse width can cause the apparent
frequency spectrum from perfectly stationary clutter to broaden and thereby lower the improvement factor
of an MTI radar.
Internal fluctuation of clutter : Although clutter targets such as buildings, water towers, bare hills. or
mountains produce echo signals that are constant in both phase and amplitude as a function of time, there
are many types of clutter that cannot be considered as absolutely stationary. Echoes from trees, vegetation,
sea, rain, and chaff fluctuate with time, and these fluctuations can limit the performance of MTI radar.
Antenna scanning modulation: As the antenna scans by a target, it observes the target for a finite time
equal to , to = n where n, = number of hits received, fp = pulse repetition frequency, 0, = antenna
beamwidth and antenna scanning rate. The received pulse train of finite duration to has a frequency
spectrum (which can be found by taking the Fourier transform of the waveform) whose width is
proportional to l/to. Therefore, even if the clutter were perfectly stationary, there will still be a finite width
to the clutter spectrum because of the finite time on target. If the clutter spectrum is too wide because the
observation time is too short, it will affect the improvement factor. This limitation has sometimes been
called scanning fluctuations or scanning modulation.
NONCOHERENT MTI
The composite echo signal from a moving target and clutter fluctuates in both phase and amplitude. The
coherent MTI and the pulse-doppler radar make use of the phase fluctuations in the echo signal to recognize
the doppler component produced by a moving target. In these systems, amplitude fluctuations are removed
by the phase detector. The operation of this type of radar, which may be called coherent MTI, depends upon
a reference signal at the radar receiver that is coherent with the transmitter signal.
It is also possible to use the amplitude fluctuations to recognize the doppler component produced by a
moving target. MTI radar which uses amplitude instead of phase fluctuations is called noncoherent.
The noncoherent MTI radar does not require an internal coherent reference signal or a phase detector as
does the coherent form of MTI. Amplitude limiting cannot be employed in the non coherent MTI receiver,
else the desired amplitude fluctuations would be lost. Therefore tile IF amplifier must be linear, or if a large
dynamic range is required, it can be logarithmic. A logarithmic gain characteristic not only provides
protection from saturation, but it also tends to make the clutter fluctuations at its output more uniform with
variations in the clutter input amplitude.
The detector following the IF amplifier is a conventional amplitude detector. The phase detector is not used
since phase information is of no interest to the non coherent radar. The local oscillator of the noncoherent
radar does not have to he as frequency-stable as in the coherent MTI. The transmitter must be sufficiently
stable over the pulse duration to prevent beats between overlapping ground clutter, but this is not as severe
a requirement as in the case of coherent radar. The output of the amplitude detector is followed by an MTI
processor such as a delay-line canceller.
The advantage of the noncoherent MTI is its simplicity; hence it is attractive for those applications where
space and weight are limited. Its chief limitation is that the target must be in the presence of relatively large
clutter signals if moving-target detection is to take place.
Clutter echoes may not always be present over the range at which detection is desired. The clutter serves the
same function as does the reference signal in the coherent MTI. If clutter were not present, the desired
targets would not be detected. It is possible, however, to provide a switch to disconnect the non coherent
MTI operation and revert to normal radar whenever sufficient clutter echoes are not present. If the radar is
stationary, a map of the clutter might be stored in a digital memory and used to determine when to switch in
or out the non coherent MTI.

RADAR

  • 1.
  • 2.
    RADAR-Radio detection andRanging • RADAR is an electromagnetic based detection system that works by sending the electromagnetic waves and then studying the echo or the reflected back waves.
  • 3.
  • 4.
    Receiving Path– aim(Traget)->echo signal->antenna->RXR ->display Receiving path
  • 5.
    Application of RADAR •Controlling the Air Traffic • Ship safety • Sensing the remote places • Military application
  • 6.
  • 7.
    PRF-Pulse repetition frequeny •Radar signals should be transmitted at every clock pulse. • The duration between the two clock pulses should be properly chosen in such a way that the echo signal corresponding to present clock pulse should be received before the next clock pulse. • The time interval between the successive clock pulses is called pulse repetition time, TP Echo Signal 1st clock Pulse 2nd clock Pulse
  • 8.
    Simple Radar blockdiagram • Bi static Radar • Mono static Radar
  • 9.
  • 10.
    Functions of Radar •RADAR is a method of using electromagnetic waves to remote place -sense the position, velocity and identifying characteristics of targets.
  • 11.
  • 12.
    That is Gainof an antenna=power density radiated by directive antenna/power density radiated by isotropic antenna. Gt=power density radiated by directive antenna/(pt/4piR^2)
  • 15.
    • Maximum Range(Rmax): Maximum radar range is the distance beyond which the target cannot be detected. It occurs when the received echo signal power pr just equals the minimum detectable signal (Smin). • where, λ = Wavelength of radiated energy, • Ae = Capture (or effective) area of receiving antenna • G = Transmitter gain • σ = Radar cross-section of target • Note: By increasing Pt by 16 times, Rmax becomes just double.
  • 16.
    Radar Range Measurement Target •Target range = ct 2 where c = speed of light t = round trip time
  • 17.
    Block diagram ofPulsed Radar Display
  • 18.
    Transmitter • The transmitteris an oscillator, such as a magnetron, that is “pulsed” (turned on and off) by the modulator to generate a repetitive train of pulses. • Pulsed modulator is triggered by the trigger source. • The magnetron has been the most widely used microwave generators for radar.
  • 19.
    • The waveformgenerated by the transmitter travels via a transmission line to the antenna, where it is radiated into space. • A single antenna is generally used for both transmitting and receiving. • The receiver must be protected from damage caused by the high power of the transmitter. This is the function of the duplexer. • The duplexer also serves to channel the returned echo signals to the receiver and not to the transmitter.
  • 20.
    • The duplexerconsists of two gas-discharge devices, one known as a TR (transmit-receive) and the other as ATR (anti-transmit-receive). • The TR protects the receiver during transmission . • ATR directs the echo signal to the receiver during reception. • Solid- state ferrite circulators and receiver protectors with gas-plasma TR devices and/or diode limiters are also employed as duplexers.
  • 21.
    • The receiveris usually of the super heterodyne type. • The first stage normally is a low-noise RF amplifier, such as a parametric amplifier or a low noise transistor. • The mixer and local oscillator (LO) convert the RF signal to an intermediate frequency IF. • Typical IF amplifier center frequencies are 30 or 60 MHz and will have a bandwidth of the order of one megahertz.
  • 22.
    • IF amplifiershould be designed as a matched filter i.e., its frequency-response function H(f) should maximize the peak-signal-to-mean-noise- power ratio at the output. • This occurs when the magnitude of the frequency-response function |H(f)|is equal to the magnitude of the echo signal spectrum |S(f)|, and the phase spectrum of the matched filter is the negative of the phase spectrum of the echo signal
  • 23.
    • After maximizingthe signal-to-noise ratio in the IF amplifier, the pulse modulation is extracted by the second detector and amplified by the video amplifier to a level where it can be properly displayed, usually on a cathode-ray tube (CRT). • Timing signals are also supplied to the indicator to provide the range zero. • Angle information is obtained from the pointing direction of the antenna.
  • 24.
    • The mostcommon form of cathode-ray tube display is the Plan Position Indicator, or PPI which maps in polar coordinates the location of the • Another form of display is the A-scope, which plots target amplitude (y axis) vs. range (x axis), for some fixed direction. This is a deflection- modulated display. It is more suited for tracking- radar application than for surveillance radar. target in azimuth and range.
  • 25.
    Doppler Shift -principle •If the target is in motion with a velocity Vr relative to the radar, the received signal will be shifted in frequency from the transmitted frequency fo by an amount +/-fd as given by the equation : fd = 2Vr / λ = 2 Vr f0 / c . • The plus sign indicates that if the distance between target and radar is decreasing (approaching target) that is, when the received signal frequency is greater than the transmitted signal frequency. • The minus sign applies if the distance is increasing (receding target).
  • 26.
    Problems • A CWradar operates at the frequency of 10Ghz . What is the doppler frequency produced (i) By an aero plane flying at a speed of 250Kmph 1kmph=5/18 m/sec (2*(250*5/18)*10G)/Velocity of light (ii) By a baby crawling at a rate 2.5cm/sec fd = 2Vr / λ
  • 27.
  • 28.
    • The transmittergenerates a continuous (unmodulated) oscillation of frequency fo, which is radiated by the antenna. • A portion of the radiated energy is intercepted by the target and is scattered, some of it in the direction of the radar, where it is collected by the receiving antenna.
  • 29.
    Doppler Shift -principle •If the target is in motion with a velocity Vr relative to the radar, the received signal will be shifted in frequency from the transmitted frequency fo by an amount +/-fd as given by the equation : fd = 2Vr / λ = 2 Vr f0 / c . • The plus sign indicates that if the distance between target and radar is decreasing (approaching target) that is, when the received signal frequency is greater than the transmitted signal frequency. • The minus sign applies if the distance is increasing (receding target).
  • 30.
    • The receivedecho signal at a frequency fo +/- fd enters the radar via the antenna • This signal is heterodyned in the detector (mixer) with a portion of the transmitter signal fo to produce a Doppler beat note of frequency fd. • The sign of fd is lost in this process. • The purpose of the Doppler amplifier is to eliminate echoes from stationary targets and to amplify the Doppler echo signal to a level where it can operate an indicating device. • Indiating device is a frequency meter, and is a video display .. Speed can be calculated.
  • 31.
    Application of CWRadar • Measurement of the relative velocity of a moving target, as in the police speed monitor or in the rate-of-climb meter for vertical-take-off aircraft. • Control of traffic lights, regulation of tollbooths, vehicle counting. As a sensor in antilock braking systems, and for collision avoidance. • Monitoring the docking speed of large ships. • Measurement of the velocity of missiles, and baseballs
  • 32.
    Maximum unambiguous Range Oncethe radar transmitter transmits a pulse, sufficient time should be allotted so that echo signal due to this pulse may be received and detected before the next pulse is transmitted.
  • 33.
    Maximum unambiguous Range Ina radar system, echoes from targets must be received and processed before the next pulse is sent by the transmitter.
  • 34.
    If the timefor an echo pulse to return from a target is greater than the pulse repetition time (also called pulse repetition period), range ambiguity occurs If PRF is too high, echoes may arrive after the transmission of the next pulse. Such echoes are called second time around echoes.
  • 35.
    The range beyondwhich targets appear as second-time- around echoes (or the farthest target range that can be detected by a Radar without ambiguity) is called the maximum unambiguous range and is given by: R unambig. = C /2fp Where fp = pulse repetition frequency, in Hz. (PRF)
  • 42.
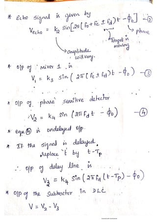
    The local oscillatorof MTI Radar must be stable because it employs doppler. Stalo : The local oscillator of MTI Radar receiver is called stalo (fL) stands for stable oscillator. IF stage is designed as matched filter. The phase detector is mixer like device that combines the received signal at IF and the reference signal from the coho so to produce difference between the received signal and the reference signal frequencies. The difference is fd. Coho : Coho stands for coherent oscillator is the reference signal which has the phase of transmitted signal. The power amplifier gets the input i.e. combined signal of both state (fc) and coho (fc), so the input to power amplifier is fL + fC. The pulse modulator makes transmitter ON and OFF. The combination of the stalo and coho is called Receiver – excitation of MTI radar. The echo signal fL + fC + fd given to mixer from duplexer. The mixer gets 2 signals as inputs, i.e. fL + fc + fd and signal stalo with frequency fL. The signal i.e. fc + fd from mixer will be given to IF amplifier to convert RF to IF. The signal fc + fd fed to phase detector and from coho the signal with frequency fc given to phase detector, both the signals will be compared and only doppler frequency shifted signal i.e. fd given to delay line canceller power amplifier may be klystron or TWTA. At low frequencies, i.e. at UHF triode and tetrode will be used as amplifiers. There can be replaced at low frequency by solid state transistors.
  • 56.
    UNIT – 8: MTI AND PULSE DOPPLAR RADAR – LECTURE 5 MOVING TARGET DETECTOR A block diagram of the MTD processor is shown in Fig . The input on the left is from the output of the I and Q AID converters. The three-pulse canceller and the eight-pulse Doppler filter-bank eliminate zero- velocity clutter and generate eight overlapping filters covering the doppler interval, as described in the previous section. The use of a three-pulse canceller ahead of the fi1ter:bank eliminates stationary clutter and thereby reduces the dynamic range required of the doppler filter-bank. The fast Fourier transform algorithm is listed to implement the doppler filter-bank. Since the first two pulses of a three-pulse canceller are meaningless only the last eight of the ten pulses output from the canceller are passed to the filter-bank. Following the filter-bank, weighting is applied in the frequency domain to reduce the filter sidelobes. Separate thresholds are applied to each filter. The thresholds for the nonzero-velocity resolution cells are established by summing the detected outputs of the signals in the same velocity filter in 16 range cells, eight on either side of the cell of interest. Thus, each filter output is averaged over cne mile in range to establish the statistical mean level of nonzero-velocity clutter (such as rain) or noise. The filter thresholds are determined by multiplying the mean levels by an appropriate constant to obtain the desired false-alarm probability. This application of an adaptive threshold to each doppler filter at each range cell provides a constant false-alarm rate (CFAR) and results in Subweather visibility in that an aircraft with a radial velocity sufficiently different from the rain so as to fall into another filter can be seen even if the aircraft echo is substantially less than the weather echo. A digital clutter map is generated which establishes the thresholds for the zero-velocity cells. The map is implemented with one word for each of the 365,000 range-azimuth cells. The original MTD stored the map on a magnetic disc memory. The purpose of the zero-velocity filter is to recover the clutter signal eliminated by the MTI delay-line canceler and to use this signal as a means for detecting targets on-crossing
  • 57.
    trajectories with zerovelocities that would normally be lost in the usual MTI. Only targets larger than the clutter would be so detected. LIMITATIONS TO MTI PERFORMANCE The improvement in signal-to-clutter ratio of an MTI is affected by factors other than the design of the doppler signal processor. Instabilities of the transmitter and receiver, physical motions of the clutter, the finite time on target (or scanning modulation), and limiting in the receiver can all detract from the performance of an MTI radar. MTI improvement f actor: The signal-to-clutter ratio at the output of the MTI system divided by the signal-to-clutter ratio at the input, averaged uniformly over all target radial velocities of interest. Subclutter visibility : The ratio by which the target echo power may be weaker than the coincident clutter echo power and still be detected with specified detection and false alarm probabilities. Clutter visibility factor : The signal-to-clutter ratio, after cancellation or doppler filtering, that provides stated probabilities of detection and false alarm. Cltrtter attenuation: The ratio of clutter power at the canceller input to the clutter residue at the output, normalized to the attenuation of a single pulse passing through the unprocessed channel of the canceller. Cancellation ratio: The ratio of canceller voltage amplification for the fixed-target echoes received with a fixed antenna, to the gain for a single pulse passing through the unprocessed channel of the canceller. Equipment instabilities : Pulse-to-pulse changes in the amplitude, frequency, or phase of the transmitter signal, changes in the stalo or coho oscillators in the receiver, jitter in the timing of the pulse transmission, variations in the time delay through the delay lines, and changes in the pulse width can cause the apparent frequency spectrum from perfectly stationary clutter to broaden and thereby lower the improvement factor of an MTI radar. Internal fluctuation of clutter : Although clutter targets such as buildings, water towers, bare hills. or mountains produce echo signals that are constant in both phase and amplitude as a function of time, there are many types of clutter that cannot be considered as absolutely stationary. Echoes from trees, vegetation, sea, rain, and chaff fluctuate with time, and these fluctuations can limit the performance of MTI radar. Antenna scanning modulation: As the antenna scans by a target, it observes the target for a finite time equal to , to = n where n, = number of hits received, fp = pulse repetition frequency, 0, = antenna beamwidth and antenna scanning rate. The received pulse train of finite duration to has a frequency spectrum (which can be found by taking the Fourier transform of the waveform) whose width is proportional to l/to. Therefore, even if the clutter were perfectly stationary, there will still be a finite width to the clutter spectrum because of the finite time on target. If the clutter spectrum is too wide because the observation time is too short, it will affect the improvement factor. This limitation has sometimes been called scanning fluctuations or scanning modulation. NONCOHERENT MTI The composite echo signal from a moving target and clutter fluctuates in both phase and amplitude. The coherent MTI and the pulse-doppler radar make use of the phase fluctuations in the echo signal to recognize the doppler component produced by a moving target. In these systems, amplitude fluctuations are removed by the phase detector. The operation of this type of radar, which may be called coherent MTI, depends upon a reference signal at the radar receiver that is coherent with the transmitter signal. It is also possible to use the amplitude fluctuations to recognize the doppler component produced by a moving target. MTI radar which uses amplitude instead of phase fluctuations is called noncoherent.
  • 58.
    The noncoherent MTIradar does not require an internal coherent reference signal or a phase detector as does the coherent form of MTI. Amplitude limiting cannot be employed in the non coherent MTI receiver, else the desired amplitude fluctuations would be lost. Therefore tile IF amplifier must be linear, or if a large dynamic range is required, it can be logarithmic. A logarithmic gain characteristic not only provides protection from saturation, but it also tends to make the clutter fluctuations at its output more uniform with variations in the clutter input amplitude. The detector following the IF amplifier is a conventional amplitude detector. The phase detector is not used since phase information is of no interest to the non coherent radar. The local oscillator of the noncoherent radar does not have to he as frequency-stable as in the coherent MTI. The transmitter must be sufficiently stable over the pulse duration to prevent beats between overlapping ground clutter, but this is not as severe a requirement as in the case of coherent radar. The output of the amplitude detector is followed by an MTI processor such as a delay-line canceller. The advantage of the noncoherent MTI is its simplicity; hence it is attractive for those applications where space and weight are limited. Its chief limitation is that the target must be in the presence of relatively large clutter signals if moving-target detection is to take place. Clutter echoes may not always be present over the range at which detection is desired. The clutter serves the same function as does the reference signal in the coherent MTI. If clutter were not present, the desired targets would not be detected. It is possible, however, to provide a switch to disconnect the non coherent MTI operation and revert to normal radar whenever sufficient clutter echoes are not present. If the radar is stationary, a map of the clutter might be stored in a digital memory and used to determine when to switch in or out the non coherent MTI.