PyTorch for Tensor ow Developers
Overview
PyTorch constructs
Dynamic Graphs
--- Abdul Muneer
https://www.minds.ai/
Why do we use any Framework?
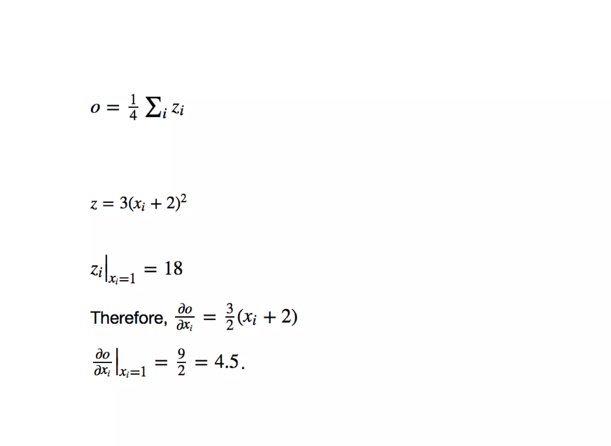
Model Prediction
Gradient computation ---- (automatic differentiation)
Why should we explore non TF frameworks?
Engineering is a key component in Deep Learning practice
What engineering problems are existing tools fails to solve?
Improves our understanding of TF
We do not end up being one trick pony
Helps understand n/w implementation in those frameworks.
alternative paradigm for implementing neural networks
simple and intuitive to program and debug
What is PyTorch?
It’s a Python based scienti c computing package targeted at two sets of audiences:
A replacement for numpy to use the power of GPUs
a deep learning research platform that provides maximum exibility and speed
In [ ]: # MNIST example
import torch
import torch.nn as nn
from torch.autograd import Variable
class CNN(nn.Module):
def __init__(self):
super(CNN, self).__init__()
self.layer1 = nn.Sequential(
nn.Conv2d(1, 16, kernel_size=5, padding=2),
nn.BatchNorm2d(16),
nn.ReLU(),
nn.MaxPool2d(2))
self.layer2 = nn.Sequential(
nn.Conv2d(16, 32, kernel_size=5, padding=2),
nn.BatchNorm2d(32),
nn.ReLU(),
nn.MaxPool2d(2))
self.fc = nn.Linear(7*7*32, 10)
def forward(self, x):
out = self.layer1(x)
out = self.layer2(out)
out = out.view(out.size(0), -1)
out = self.fc(out)
return out
In [ ]: cnn = CNN()
# Loss and Optimizer
criterion = nn.CrossEntropyLoss()
optimizer = torch.optim.Adam(cnn.parameters(), lr=learning_rate)
# Train the Model
for epoch in range(num_epochs):
for i, (images, labels) in enumerate(train_loader):
images = Variable(images)
labels = Variable(labels)
# Forward + Backward + Optimize
optimizer.zero_grad()
outputs = cnn(images)
loss = criterion(outputs, labels)
loss.backward()
optimizer.step()
PyTorch is imperative
In [1]:
In [2]:
import torch
x = torch.Tensor(5, 3)
x
Out[2]: 0.0000e+00 -8.5899e+09 0.0000e+00
-8.5899e+09 6.6449e-33 1.9432e-19
4.8613e+30 5.0832e+31 7.5338e+28
4.5925e+24 1.7448e+22 1.1429e+33
4.6114e+24 2.8031e+20 1.2410e+28
[torch.FloatTensor of size 5x3]
PyTorch is imperative
No need for placeholders, everything is a tensor.
Debug it with a regular python debugger.
You can go almost as high level as keras and as low level as pure Tensor ow.
Let's talk about Tensors and Variables
Tensors
similar to numpy’s ndarrays
can also be used on a GPU to accelerate computing.
In [2]: import torch
x = torch.Tensor(5, 3)
print(x)
0.0000 0.0000 0.0000
-2.0005 0.0000 0.0000
0.0000 0.0000 0.0000
0.0000 0.0000 0.0000
0.0000 0.0000 0.0000
[torch.FloatTensor of size 5x3]
Construct a randomly initialized matrix
In [3]:
In [4]:
x = torch.rand(5, 3)
print(x)
x.size()
0.6543 0.1334 0.1410
0.6995 0.5005 0.6566
0.2181 0.1329 0.7526
0.6533 0.6995 0.6978
0.7876 0.7880 0.9808
[torch.FloatTensor of size 5x3]
Out[4]: torch.Size([5, 3])
Operations
Addition
In [5]:
In [6]:
y = torch.rand(5, 3)
print(x + y)
print(torch.add(x, y))
0.9243 0.3856 0.7254
1.6529 0.9123 1.4620
0.3295 1.0813 1.4391
1.5626 1.5122 0.8225
1.2842 1.1281 1.1330
[torch.FloatTensor of size 5x3]
0.9243 0.3856 0.7254
1.6529 0.9123 1.4620
0.3295 1.0813 1.4391
1.5626 1.5122 0.8225
1.2842 1.1281 1.1330
[torch.FloatTensor of size 5x3]
Operations
Any operation that mutates a tensor in-place is post- xed with an _
For example: x.copy_(y), x.t_() etc. will change x.
Addition: in-place
In [8]:
In [9]:
print(y)
# adds x to y
y.add_(x)
print(y)
0.9243 0.3856 0.7254
1.6529 0.9123 1.4620
0.3295 1.0813 1.4391
1.5626 1.5122 0.8225
1.2842 1.1281 1.1330
[torch.FloatTensor of size 5x3]
1.5786 0.5190 0.8664
2.3523 1.4128 2.1186
0.5476 1.2142 2.1917
2.2159 2.2116 1.5204
2.0718 1.9161 2.1138
[torch.FloatTensor of size 5x3]
numpy-like indexing applies..
In [13]: y[:,1]
Out[13]: 0.5190
1.4128
1.2142
2.2116
1.9161
[torch.FloatTensor of size 5]
Numpy Bridge
The torch Tensor and numpy array will share their underlying memory locations,
Changing one will change the other.
In [6]:
In [7]:
a = torch.ones(3)
print(a)
b = a.numpy()
print(b)
1
1
1
[torch.FloatTensor of size 3]
[ 1. 1. 1.]
In [8]: a.add_(1)
print(a)
print(b)
2
2
2
[torch.FloatTensor of size 3]
[ 2. 2. 2.]
Converting numpy Array to torch Tensor
In [13]:
In [16]:
In [17]:
import numpy as np
a = np.ones(5)
b = torch.from_numpy(a)
np.add(a, 1, out=a)
print(a)
print(b)
Out[16]: array([ 4., 4., 4., 4., 4.])
[ 4. 4. 4. 4. 4.]
4
4
4
4
4
[torch.DoubleTensor of size 5]
Autograd: automatic di erentiation
autograd package is central to all neural networks in PyTorch.
Variable
The central class of the autograd package
data
the raw tensor
grad
the gradient w.r.t. this variable
creator
creator of this Variable in the graph
Function
Function is another class which is very important for autograd implementation (think
operations in TF)
Variable and Function are interconnected and build up an acyclic graph
The graph encodes a complete history of computation.
Variables and Functions examples:
In [18]: import torch
from torch.autograd import Variable
In [21]: # Create a variable:
x = Variable(torch.ones(2, 2), requires_grad=True)
print(x)
Variable containing:
1 1
1 1
[torch.FloatTensor of size 2x2]
In [22]: print(x.data)
1 1
1 1
[torch.FloatTensor of size 2x2]
In [24]: print(x.grad)
None
In [25]: print(x.creator)
None
In [26]: #Do an operation of variable:
y = x + 2
print(y)
Variable containing:
3 3
3 3
[torch.FloatTensor of size 2x2]
In [27]: print(y.data)
3 3
3 3
[torch.FloatTensor of size 2x2]
In [28]: print(y.grad)
None
In [29]: print(y.creator)
<torch.autograd._functions.basic_ops.AddConstant object at 0x106b449e8>
In [32]: # Do more operations on y
z = y * y * 3
out = z.mean()
print(z, out)
Variable containing:
27 27
27 27
[torch.FloatTensor of size 2x2]
Variable containing:
27
[torch.FloatTensor of size 1]
Gradients
gradients computed automatically upon invoking the .backward method
In [33]: out.backward()
print(x.grad)
Variable containing:
4.5000 4.5000
4.5000 4.5000
[torch.FloatTensor of size 2x2]
Updating Weights
weight = weight - learning_rate * gradient
In [ ]: learning_rate = 0.01
# The learnable parameters of a model are returned by net.parameters()
for f in net.parameters():
f.data.sub_(f.grad.data * learning_rate) # weight = weight - learning_rate * g
radient
Use Optimizers instead of updating weights by hand.
In [ ]: import torch.optim as optim
# create your optimizer
optimizer = optim.SGD(net.parameters(), lr=0.01)
for i in range(num_epochs):
# in your training loop:
optimizer.zero_grad() # zero the gradient buffers
output = net(input)
loss = criterion(output, target)
loss.backward()
optimizer.step()
Dynamic Computational Graph
Why should we have a Graph in the rst place?
TF begins everything by talking about the graph and sessions
What is Dynamic Graph
Backprop is de ned by how the code is run.
Every single iteration can be different.
Dynamic Computational Graph
Dynamic Computational Graph
Dynamic Computational Graph
Dynamic Computational Graph
Dynamic Computational Graph
DL frameworks usually consists two “interpreters” in the framework.
1. The host language (i.e. Python)
2. The computational graph.
i.e. , a language that sets up the computational graph
and
an execution mechanism that is different from the host language.
Static computational graphs can optimize computation.
Dynamic computational graphs are valuable when you cannot
determine the computation.
e.g. recursive computations that are based on variable data.
Case against dynamic graphs
case against dynamic graphs
You don’t always need a dynamic graph.
Case against dynamic graphs
Dynamic capabilities can be added to a static computation graph.
.. probably not a natural t that your head will appreciate.
exhibit A: tf.while_loop
exhibit B: A whole new library called tensorflow fold
Problems of achieving same result with static graphs
Dif culty in expressing complex ow-control logic
look very different in the graph than in the imperative coding style of the
host language
requires sophistication on the developer’s part.
Complexity of the computation graph implementation
Forced to address all possible cases.
Reduces opportunity for optimization
Case FOR dynamic graphs
Suits well for dynamic data
Any kind of additional convenience will help speed up in
your explorations
it works just like Python
** no split-brain experience that there’s another execution engine that running the
computation.
Easier to debug
Easier to create unique extensions.
Use cases of Dynamic Graphs
Variably sized inputs
Variably structured inputs
Nontrivial inference algorithms
Variably structured outputs
Why Dynamic Computation Graphs are awesome
Deep Learning architectures will traverse the same evolutionary path as
traditional computation.
monolithic stand-alone programs, to more modular programs
In the old days we had monolithic DL systems with single analytic objective
functions.
With dynamic graphs, systems can have multiple networks competing/coperating.
Richer modularity. Similar to Information Encapsulation in OOP
Future Prospects
I predict it will coexist with TF
sort of like Angular vs React in JS world, with pytorch similar to React
sort of like java vs python, with pytorch similar to python.
Increased developer adoption
Better supports for visualization and input management tools
Java
Python
public class HelloWorld {
public static void main(String[] args) {
System.out.println("Hello World");
}
}
print("Hellow World")
Thank You
Pytorch for tf_developers

Pytorch for tf_developers

  • 1.
    PyTorch for Tensorow Developers Overview PyTorch constructs Dynamic Graphs --- Abdul Muneer https://www.minds.ai/
  • 2.
    Why do weuse any Framework? Model Prediction Gradient computation ---- (automatic differentiation)
  • 3.
    Why should weexplore non TF frameworks? Engineering is a key component in Deep Learning practice What engineering problems are existing tools fails to solve? Improves our understanding of TF We do not end up being one trick pony Helps understand n/w implementation in those frameworks.
  • 4.
    alternative paradigm forimplementing neural networks simple and intuitive to program and debug
  • 5.
    What is PyTorch? It’sa Python based scienti c computing package targeted at two sets of audiences: A replacement for numpy to use the power of GPUs a deep learning research platform that provides maximum exibility and speed
  • 6.
    In [ ]: # MNISTexample import torch import torch.nn as nn from torch.autograd import Variable class CNN(nn.Module): def __init__(self): super(CNN, self).__init__() self.layer1 = nn.Sequential( nn.Conv2d(1, 16, kernel_size=5, padding=2), nn.BatchNorm2d(16), nn.ReLU(), nn.MaxPool2d(2)) self.layer2 = nn.Sequential( nn.Conv2d(16, 32, kernel_size=5, padding=2), nn.BatchNorm2d(32), nn.ReLU(), nn.MaxPool2d(2)) self.fc = nn.Linear(7*7*32, 10) def forward(self, x): out = self.layer1(x) out = self.layer2(out) out = out.view(out.size(0), -1) out = self.fc(out) return out
  • 7.
    In [ ]: cnn =CNN() # Loss and Optimizer criterion = nn.CrossEntropyLoss() optimizer = torch.optim.Adam(cnn.parameters(), lr=learning_rate) # Train the Model for epoch in range(num_epochs): for i, (images, labels) in enumerate(train_loader): images = Variable(images) labels = Variable(labels) # Forward + Backward + Optimize optimizer.zero_grad() outputs = cnn(images) loss = criterion(outputs, labels) loss.backward() optimizer.step()
  • 8.
    PyTorch is imperative In [1]: In [2]: importtorch x = torch.Tensor(5, 3) x Out[2]: 0.0000e+00 -8.5899e+09 0.0000e+00 -8.5899e+09 6.6449e-33 1.9432e-19 4.8613e+30 5.0832e+31 7.5338e+28 4.5925e+24 1.7448e+22 1.1429e+33 4.6114e+24 2.8031e+20 1.2410e+28 [torch.FloatTensor of size 5x3]
  • 9.
    PyTorch is imperative Noneed for placeholders, everything is a tensor. Debug it with a regular python debugger. You can go almost as high level as keras and as low level as pure Tensor ow.
  • 10.
    Let's talk aboutTensors and Variables
  • 11.
    Tensors similar to numpy’sndarrays can also be used on a GPU to accelerate computing. In [2]: import torch x = torch.Tensor(5, 3) print(x) 0.0000 0.0000 0.0000 -2.0005 0.0000 0.0000 0.0000 0.0000 0.0000 0.0000 0.0000 0.0000 0.0000 0.0000 0.0000 [torch.FloatTensor of size 5x3]
  • 12.
    Construct a randomlyinitialized matrix In [3]: In [4]: x = torch.rand(5, 3) print(x) x.size() 0.6543 0.1334 0.1410 0.6995 0.5005 0.6566 0.2181 0.1329 0.7526 0.6533 0.6995 0.6978 0.7876 0.7880 0.9808 [torch.FloatTensor of size 5x3] Out[4]: torch.Size([5, 3])
  • 13.
    Operations Addition In [5]: In [6]: y = torch.rand(5,3) print(x + y) print(torch.add(x, y)) 0.9243 0.3856 0.7254 1.6529 0.9123 1.4620 0.3295 1.0813 1.4391 1.5626 1.5122 0.8225 1.2842 1.1281 1.1330 [torch.FloatTensor of size 5x3] 0.9243 0.3856 0.7254 1.6529 0.9123 1.4620 0.3295 1.0813 1.4391 1.5626 1.5122 0.8225 1.2842 1.1281 1.1330 [torch.FloatTensor of size 5x3]
  • 14.
    Operations Any operation thatmutates a tensor in-place is post- xed with an _ For example: x.copy_(y), x.t_() etc. will change x.
  • 15.
    Addition: in-place In [8]: In [9]: print(y) # addsx to y y.add_(x) print(y) 0.9243 0.3856 0.7254 1.6529 0.9123 1.4620 0.3295 1.0813 1.4391 1.5626 1.5122 0.8225 1.2842 1.1281 1.1330 [torch.FloatTensor of size 5x3] 1.5786 0.5190 0.8664 2.3523 1.4128 2.1186 0.5476 1.2142 2.1917 2.2159 2.2116 1.5204 2.0718 1.9161 2.1138 [torch.FloatTensor of size 5x3]
  • 16.
    numpy-like indexing applies.. In [13]:y[:,1] Out[13]: 0.5190 1.4128 1.2142 2.2116 1.9161 [torch.FloatTensor of size 5]
  • 17.
    Numpy Bridge The torchTensor and numpy array will share their underlying memory locations, Changing one will change the other. In [6]: In [7]: a = torch.ones(3) print(a) b = a.numpy() print(b) 1 1 1 [torch.FloatTensor of size 3] [ 1. 1. 1.]
  • 18.
  • 19.
    Converting numpy Arrayto torch Tensor In [13]: In [16]: In [17]: import numpy as np a = np.ones(5) b = torch.from_numpy(a) np.add(a, 1, out=a) print(a) print(b) Out[16]: array([ 4., 4., 4., 4., 4.]) [ 4. 4. 4. 4. 4.] 4 4 4 4 4 [torch.DoubleTensor of size 5]
  • 20.
    Autograd: automatic dierentiation autograd package is central to all neural networks in PyTorch.
  • 21.
    Variable The central classof the autograd package data the raw tensor grad the gradient w.r.t. this variable creator creator of this Variable in the graph
  • 22.
    Function Function is anotherclass which is very important for autograd implementation (think operations in TF) Variable and Function are interconnected and build up an acyclic graph The graph encodes a complete history of computation.
  • 23.
  • 24.
    In [18]: import torch fromtorch.autograd import Variable
  • 25.
    In [21]: # Createa variable: x = Variable(torch.ones(2, 2), requires_grad=True) print(x) Variable containing: 1 1 1 1 [torch.FloatTensor of size 2x2]
  • 26.
    In [22]: print(x.data) 1 1 11 [torch.FloatTensor of size 2x2]
  • 27.
  • 28.
  • 29.
    In [26]: #Do anoperation of variable: y = x + 2 print(y) Variable containing: 3 3 3 3 [torch.FloatTensor of size 2x2]
  • 30.
    In [27]: print(y.data) 3 3 33 [torch.FloatTensor of size 2x2]
  • 31.
  • 32.
  • 33.
    In [32]: # Domore operations on y z = y * y * 3 out = z.mean() print(z, out) Variable containing: 27 27 27 27 [torch.FloatTensor of size 2x2] Variable containing: 27 [torch.FloatTensor of size 1]
  • 34.
    Gradients gradients computed automaticallyupon invoking the .backward method In [33]: out.backward() print(x.grad) Variable containing: 4.5000 4.5000 4.5000 4.5000 [torch.FloatTensor of size 2x2]
  • 36.
    Updating Weights weight =weight - learning_rate * gradient In [ ]: learning_rate = 0.01 # The learnable parameters of a model are returned by net.parameters() for f in net.parameters(): f.data.sub_(f.grad.data * learning_rate) # weight = weight - learning_rate * g radient
  • 37.
    Use Optimizers insteadof updating weights by hand. In [ ]: import torch.optim as optim # create your optimizer optimizer = optim.SGD(net.parameters(), lr=0.01) for i in range(num_epochs): # in your training loop: optimizer.zero_grad() # zero the gradient buffers output = net(input) loss = criterion(output, target) loss.backward() optimizer.step()
  • 38.
  • 39.
    Why should wehave a Graph in the rst place? TF begins everything by talking about the graph and sessions
  • 40.
    What is DynamicGraph Backprop is de ned by how the code is run. Every single iteration can be different.
  • 41.
  • 42.
  • 43.
  • 44.
  • 45.
  • 46.
    DL frameworks usuallyconsists two “interpreters” in the framework. 1. The host language (i.e. Python) 2. The computational graph. i.e. , a language that sets up the computational graph and an execution mechanism that is different from the host language.
  • 47.
    Static computational graphscan optimize computation. Dynamic computational graphs are valuable when you cannot determine the computation. e.g. recursive computations that are based on variable data.
  • 48.
  • 49.
    case against dynamicgraphs You don’t always need a dynamic graph.
  • 50.
    Case against dynamicgraphs Dynamic capabilities can be added to a static computation graph.
  • 51.
    .. probably nota natural t that your head will appreciate. exhibit A: tf.while_loop exhibit B: A whole new library called tensorflow fold
  • 52.
    Problems of achievingsame result with static graphs Dif culty in expressing complex ow-control logic look very different in the graph than in the imperative coding style of the host language requires sophistication on the developer’s part. Complexity of the computation graph implementation Forced to address all possible cases. Reduces opportunity for optimization
  • 53.
    Case FOR dynamicgraphs Suits well for dynamic data Any kind of additional convenience will help speed up in your explorations it works just like Python ** no split-brain experience that there’s another execution engine that running the computation. Easier to debug Easier to create unique extensions.
  • 54.
    Use cases ofDynamic Graphs Variably sized inputs Variably structured inputs Nontrivial inference algorithms Variably structured outputs
  • 55.
    Why Dynamic ComputationGraphs are awesome Deep Learning architectures will traverse the same evolutionary path as traditional computation. monolithic stand-alone programs, to more modular programs In the old days we had monolithic DL systems with single analytic objective functions. With dynamic graphs, systems can have multiple networks competing/coperating. Richer modularity. Similar to Information Encapsulation in OOP
  • 56.
    Future Prospects I predictit will coexist with TF sort of like Angular vs React in JS world, with pytorch similar to React sort of like java vs python, with pytorch similar to python. Increased developer adoption Better supports for visualization and input management tools
  • 57.
    Java Python public class HelloWorld{ public static void main(String[] args) { System.out.println("Hello World"); } } print("Hellow World")
  • 58.