ELECTROMAGNETIC THEORY
POYNTING’S THEOREM
Poynting’s Theorem
• Poynting's theorem is a
statement of
conservation of energy
for the electromagnetic
field, in the form of a
partial differential
equation, due to the
British physicist John
Henry Poynting.
Poynting’s Theorem
• Poynting's theorem is
analogous to the work-
energy theorem in classical
mechanics, and
mathematically similar to
the continuity equation,
because it relates the
energy stored in the
electromagnetic field to the
work done on a charge
distribution (i.e. an
electrically charged object),
through energy flux.
Continuity equation
Statement:
The rate of energy transfer (per unit volume) from a
region of space equals the rate of work done on a
charge distribution plus the energy flux leaving that
region.
Or
The decrease in the electromagnetic energy per
unit time in a certain volume is equal to the sum of
work done by the field forces and the net outward
flux per unit time"
Expression(general representation):
• ∇•S is the divergence of
the Poynting vector
(energy flow)
• J•E is the rate at which
the fields do work on a
charged object (J is the
current density
corresponding to the
motion of charge, E is
the electric field.
• u is the Energy Density
POYNTING THEOREM -
DERIVATION
Maxwell's Equations:
• Energy can be
transported from one
point (where a
transmitter is located)
to another point (with a
receiver) by means of
EM waves.
• The rate of such energy
transportation can be
obtained from
Maxwell's equations:
Poynting’s Theorem
POYNTING VECTOR
Poynting Vector
• The cross product E × H is known as the Poynting
vector, S,
• The direction of the vector S indicates the
direction of the instantaneous power flow at a
point
• Many of us think of the Poynting vector as a
“pointing” vector. This homonym, while
accidental, is correct.
Poynting Vector
• Because S is given by the cross product of E
and H, the direction of power flow at any
point is normal to both the E and H vectors.
• This certainly agrees with our experience with
the uniform plane wave, for propagation in
the +z direction was associated with an Ex and
Hy component,
Poynting Vector
Dipole radiation of a dipole vertically in the page showing electric field
strength (colour) and Poynting vector (arrows) in the plane of the page.
Across any plane P between the battery and resistor, the Poynting
flux is in the direction of the resistor. The magnitudes (lengths) of the
vectors are not shown accurately; only the directions are significant.
Poynting Theorem -
Applications
1. Co-Axial Cable
• Poynting vector within the dielectric insulator of a
coaxial cable is nearly parallel to the wire axis
• Electrical energy delivered to the load is flowing
entirely through the dielectric between the conductors.
• Very little energy flows in the conductors themselves,
since the electric field strength is nearly zero.
• The energy flowing in the conductors flows radially into
the conductors and accounts for energy lost to resistive
heating of the conductor.
• No energy flows outside the cable, either, since there
the magnetic fields of inner and outer conductors
cancel to zero.
2. Plane waves
• Propagating sinusoidal
linearly polarized
electromagnetic plane
wave of a fixed
frequency, the Poynting
vector always points in
the direction of
propagation while
oscillating in
magnitude.
2. Plane waves
• The time-averaged magnitude of the Poynting
vector is
• Em is the complex amplitude of the electric
field and η is the characteristic impedance of
the transmission medium, or just η = 377Ω for
a plane wave in free space
3. Radiation Pressure
• Radiation pressure is
the pressure exerted
upon any surface
exposed to
electromagnetic
radiation.
• c is the speed of light in
free space
4. Static Fields
• Shows the relativistic
nature of the Maxwell
equations and allows a
better understanding of
the magnetic component
of the Lorentz force, q(v ×
B)
• Circulating energy flow
may seem nonsensical or
paradoxical, it is
necessary to maintain
conservation of
momentum.
POISSON’S AND LAPLACE’S
EQUATION
Poisson’s equation
• Poisson's equation is a partial differential
equation of elliptic type with broad utility in
mechanical engineering and theoretical
physics.
• It arises, for instance, to describe the potential
field caused by a given charge or mass density
distribution; with the potential field known,
one can then calculate gravitational or
electrostatic field.
Poisson’s equation
• For a homogeneous medium,
• Solving Poisson's equation for the potential
requires knowing the charge density
distribution
• It is a generalization of Laplace's equation
Laplace’s equation
• If the charge density is zero in Poisson’s
equation, then Laplace's equation results,
when pv = 0
• Laplace's equation is a second-order partial
differential equation named after Pierre-
Simon Laplace who first studied its properties
Laplace’s Equations
Boundary Conditions
• If the field exists in a region consisting of two
different media, the conditions that the field
must satisfy at the interface separating the
media are called boundary conditions.
• These conditions are helpful in determining
the field on one side of the boundary if the
field on the other side is known
UNIQUENESS THEOREM
Statement:
“If a solution of Laplace's equation can be found
that satisfies the boundary conditions, then the
solution is unique”
The theorem applies to any solution of Poisson's
or Laplace's equation in a given region or closed
surface.
UNIQUENESS THEOREM -
DERIVATION
Application
Before we begin to solve boundary-value problems,
we should bear in mind the three things that
uniquely describe a problem:
1. The appropriate differential equation (Laplace's or
Poisson's equation in this chapter)
2. The solution region
3. The prescribed boundary conditions
A problem does not have a unique solution and
cannot be solved completely if any of the three
items is missing.
Poyntings and uniqueness theorem

Poyntings and uniqueness theorem

  • 1.
  • 2.
  • 3.
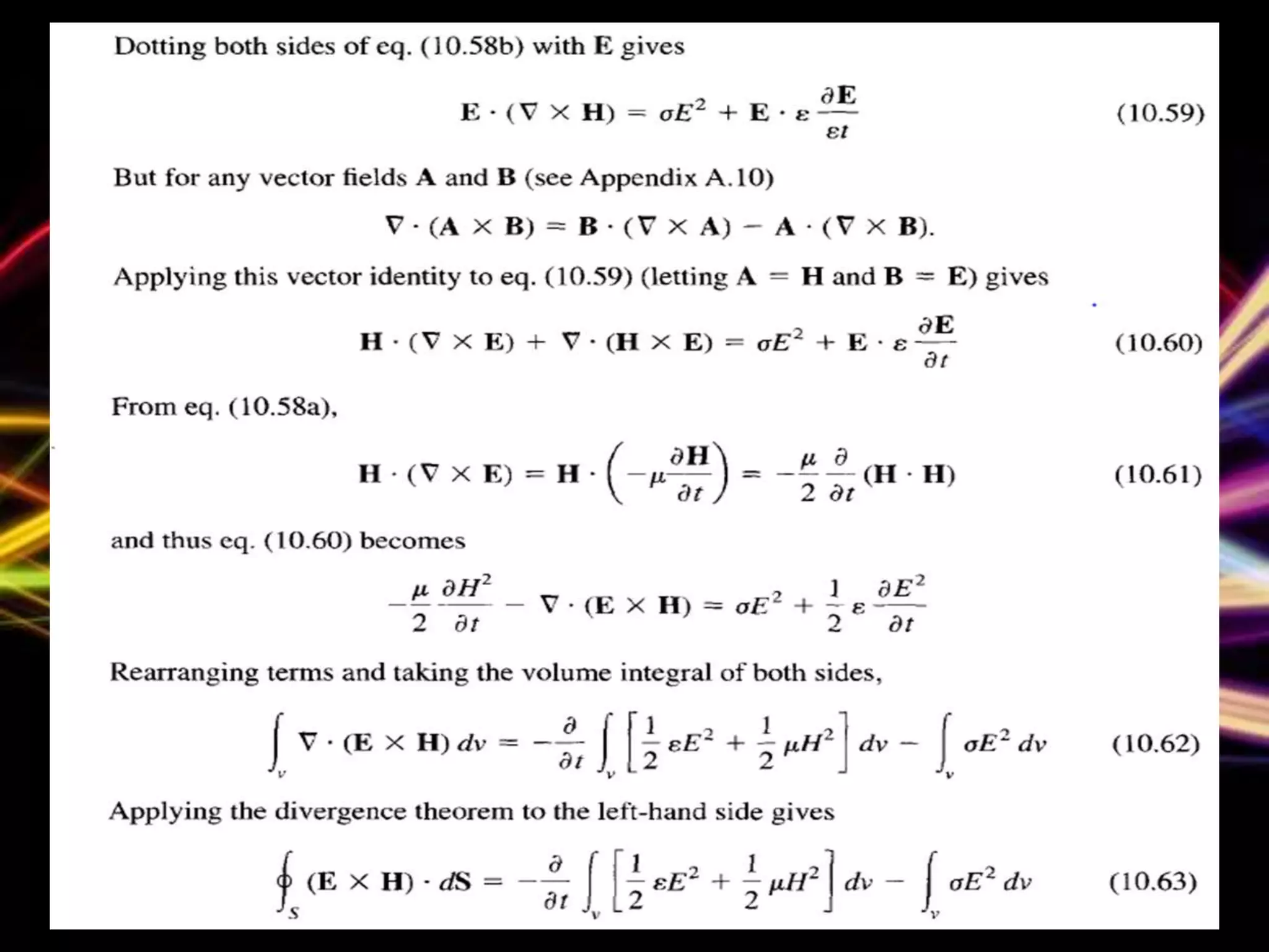
    Poynting’s Theorem • Poynting'stheorem is a statement of conservation of energy for the electromagnetic field, in the form of a partial differential equation, due to the British physicist John Henry Poynting.
  • 4.
    Poynting’s Theorem • Poynting'stheorem is analogous to the work- energy theorem in classical mechanics, and mathematically similar to the continuity equation, because it relates the energy stored in the electromagnetic field to the work done on a charge distribution (i.e. an electrically charged object), through energy flux. Continuity equation
  • 5.
    Statement: The rate ofenergy transfer (per unit volume) from a region of space equals the rate of work done on a charge distribution plus the energy flux leaving that region. Or The decrease in the electromagnetic energy per unit time in a certain volume is equal to the sum of work done by the field forces and the net outward flux per unit time"
  • 6.
    Expression(general representation): • ∇•Sis the divergence of the Poynting vector (energy flow) • J•E is the rate at which the fields do work on a charged object (J is the current density corresponding to the motion of charge, E is the electric field. • u is the Energy Density
  • 7.
  • 8.
    Maxwell's Equations: • Energycan be transported from one point (where a transmitter is located) to another point (with a receiver) by means of EM waves. • The rate of such energy transportation can be obtained from Maxwell's equations:
  • 10.
  • 11.
  • 12.
    Poynting Vector • Thecross product E × H is known as the Poynting vector, S, • The direction of the vector S indicates the direction of the instantaneous power flow at a point • Many of us think of the Poynting vector as a “pointing” vector. This homonym, while accidental, is correct.
  • 13.
    Poynting Vector • BecauseS is given by the cross product of E and H, the direction of power flow at any point is normal to both the E and H vectors. • This certainly agrees with our experience with the uniform plane wave, for propagation in the +z direction was associated with an Ex and Hy component,
  • 14.
  • 15.
    Dipole radiation ofa dipole vertically in the page showing electric field strength (colour) and Poynting vector (arrows) in the plane of the page.
  • 16.
    Across any planeP between the battery and resistor, the Poynting flux is in the direction of the resistor. The magnitudes (lengths) of the vectors are not shown accurately; only the directions are significant.
  • 17.
  • 18.
    1. Co-Axial Cable •Poynting vector within the dielectric insulator of a coaxial cable is nearly parallel to the wire axis • Electrical energy delivered to the load is flowing entirely through the dielectric between the conductors. • Very little energy flows in the conductors themselves, since the electric field strength is nearly zero. • The energy flowing in the conductors flows radially into the conductors and accounts for energy lost to resistive heating of the conductor. • No energy flows outside the cable, either, since there the magnetic fields of inner and outer conductors cancel to zero.
  • 20.
    2. Plane waves •Propagating sinusoidal linearly polarized electromagnetic plane wave of a fixed frequency, the Poynting vector always points in the direction of propagation while oscillating in magnitude.
  • 21.
    2. Plane waves •The time-averaged magnitude of the Poynting vector is • Em is the complex amplitude of the electric field and η is the characteristic impedance of the transmission medium, or just η = 377Ω for a plane wave in free space
  • 22.
    3. Radiation Pressure •Radiation pressure is the pressure exerted upon any surface exposed to electromagnetic radiation. • c is the speed of light in free space
  • 23.
    4. Static Fields •Shows the relativistic nature of the Maxwell equations and allows a better understanding of the magnetic component of the Lorentz force, q(v × B) • Circulating energy flow may seem nonsensical or paradoxical, it is necessary to maintain conservation of momentum.
  • 24.
  • 25.
    Poisson’s equation • Poisson'sequation is a partial differential equation of elliptic type with broad utility in mechanical engineering and theoretical physics. • It arises, for instance, to describe the potential field caused by a given charge or mass density distribution; with the potential field known, one can then calculate gravitational or electrostatic field.
  • 26.
    Poisson’s equation • Fora homogeneous medium, • Solving Poisson's equation for the potential requires knowing the charge density distribution • It is a generalization of Laplace's equation
  • 27.
    Laplace’s equation • Ifthe charge density is zero in Poisson’s equation, then Laplace's equation results, when pv = 0 • Laplace's equation is a second-order partial differential equation named after Pierre- Simon Laplace who first studied its properties
  • 28.
  • 29.
    Boundary Conditions • Ifthe field exists in a region consisting of two different media, the conditions that the field must satisfy at the interface separating the media are called boundary conditions. • These conditions are helpful in determining the field on one side of the boundary if the field on the other side is known
  • 30.
  • 31.
    Statement: “If a solutionof Laplace's equation can be found that satisfies the boundary conditions, then the solution is unique” The theorem applies to any solution of Poisson's or Laplace's equation in a given region or closed surface.
  • 32.
  • 35.
    Application Before we beginto solve boundary-value problems, we should bear in mind the three things that uniquely describe a problem: 1. The appropriate differential equation (Laplace's or Poisson's equation in this chapter) 2. The solution region 3. The prescribed boundary conditions A problem does not have a unique solution and cannot be solved completely if any of the three items is missing.