Porphyrias: a review and case report
Anemia
MCV=HCT/RBC
80-100<80 >100
Microcytic Sudden massive blood lose
Marrow failure hemolysis
Megaloblastic anemia
Spurious macrocytic anemia
Microcytic anemia
Defect in hemoglobin synthesis
3-dimensional structure of hemoglobin. The four subunits
are shown in red and yellow, and the heme groups in
green.
Microcytic anemia
Defect in hemoglobin sythesis
Iron binding capacityLow or normal High
High Low or normalIron
Iron deficiency
Defect in:
Porphyrin synthesis
Heme synthesis
Globin synthesis
Defect in:
Porphyrin synthesis
Heme synthesis
Globin synthesis
Hemoglobin electrophoresis
AbnormalNormal
Defect in:
Porphyrin synthesis
Heme synthesis
Defect in:
Globin synthesis
Quantitative QualitativeBoth
Thalassemia Sickle-thal S,C,F,ect
Heme
Non-erythroid Erythroid
Haemoproteins Haemoglobin
Electron transfer and energy trapping
myoglobin Cytochromes Others
Porphyrins synthesis
URO I
Spontaneous
COPRO I
Mitochondrion Cytosol
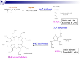
ALA synthase
D-ALA
ALA dehydrase
PBG deaminase
Hydroxymethylbilane
NH2-CH2-COOH+
Glycine
PBG
Water-soluble
Excreted in urine
Water-soluble
Excreted in urine
Hydroxymethylbilane
Uroporphyrinogen III
URO I
URO III synthase Spontaneous
Coproporphyrinogen III
COPRO I
URO III
decarboxylase
Less water-soluble
Excreted in urine/feces
Water-soluble
Excreted in urine
CORPO III
Protoporphyrinogen IX
COPRO oxidase
PROTO oxidase
Protoporphyrin IX
Ferrochelatase
Heme
Poor water-solubility
Excreted in feces
Acute
Porphyrias Acute Intermittent Porphyria
Variegate Porphyria
Hereditary Coproporphyria
Porphyria Cutanea Tarda
Congenital Erythropietic Porphyria
Non-acute
Porphyrias
ALAD Deficiency Porphyria
Secondary
Porphyrias
Lead Poisoning
Iron Deficiency
Coproporphyrinuria
Glycine +Succinyl CoA
ALA synthase
ALA
ALA dehydrase
PBG
PBG deaminase
Hydroxymethylbilane
URO III URO I
URO III synthase Spontaneous
COPRO III
COPRO I
PROTO IX
COPRO oxidase
URO III
decarboxylase
PROTO oxidase
Protoporphyrin IX
Ferrochelatase
Heme
Erythropoietic Protoporphyria
(Neurological
Porphyrias)
(Cutaneous
Porphyrias)
(Unstable)
Main Types of Porphyria
Main Types of Porphyria
Acute
Porphyrias
Acute Intermittent Porphyria
Variegate Porphyria
Hereditary Coproporphyria
Porphyria Cutanea Tarda
Congenital Erythropietic Porphyria
Non-acute
Porphyrias
ALAD Deficiency Porphyria
Secondary
Porphyrias
Lead Poisoning
Iron Deficiency
Coproporphyrinuria
Erythropoietic Protoporphyria
(Neurological
Porphyrias)
(Cutaneous
Porphyrias)
InheritanceTissue expression
Liver
Erythroid cells
E , L
Autosomal recessive
Liver
Liver
Liver
Liver
Autosomal dominant
Autosomal dominant
Autosomal dominant
Autosomal dominant
Autosomal dominant
Autosomal recessive
Acute
Porphyrias Acute Intermittent Porphyria
Variegate Porphyria
Hereditary Coproporphyria
Porphyria Cutanea Tarda
Congenital Erythropietic Porphyria
Non-acute
Porphyrias
ALAD Deficiency Porphyria
Secondary
Porphyrias
Lead Poisoning
Iron Deficiency
Coproporphyrinuria
Glycine +Succinyl CoA
ALA synthase
ALA
ALA dehydrase
PBG
PBG deaminase
Hydroxymethylbilane
URO III URO I
URO III synthase Spontaneous
COPRO III
COPRO I
PROTO IX
COPRO oxidase
URO III
decarboxylase
PROTO oxidase
Protoporphyrin IX
Ferrochelatase
Heme
urine
Erythropoietic Protoporphyria
Acute
Porphyrias Acute Intermittent Porphyria
Variegate Porphyria
Hereditary Coproporphyria
Porphyria Cutanea Tarda
Congenital Erythropietic Porphyria
Non-acute
Porphyrias
ALAD Deficiency Porphyria
Secondary
Porphyrias
Lead Poisoning
Iron Deficiency
Coproporphyrinuria
Glycine +Succinyl CoA
ALA synthase
ALA
ALA dehydrase
PBG
PBG deaminase
Hydroxymethylbilane
URO III URO I
URO III synthase Spontaneous
COPRO III
COPRO I
PROTO IX
COPRO oxidase
URO III
decarboxylase
PROTO oxidase
Protoporphyrin IX
Ferrochelatase
Heme
urine
urine
Erythropoietic Protoporphyria urine
Acute
Porphyrias Acute Intermittent Porphyria
Variegate Porphyria
Hereditary Coproporphyria
Porphyria Cutanea Tarda
Congenital Erythropietic Porphyria
Non-acute
Porphyrias
ALAD Deficiency Porphyria
Secondary
Porphyrias
Lead Poisoning
Iron Deficiency
Coproporphyrinuria
Glycine +Succinyl CoA
ALA synthase
ALA
ALA dehydrase
PBG
PBG deaminase
Hydroxymethylbilane
URO III URO I
URO III synthase Spontaneous
COPRO III
COPRO I
PROTO IX
COPRO oxidase
URO III
decarboxylase
PROTO oxidase
Protoporphyrin IX
Ferrochelatase
Heme
urine
urine
Erythropoietic Protoporphyria urine
Urine
feces
urine
Acute
Porphyrias Acute Intermittent Porphyria
Variegate Porphyria
Hereditary Coproporphyria
Porphyria Cutanea Tarda
Congenital Erythropietic Porphyria
Non-acute
Porphyrias
ALAD Deficiency Porphyria
Secondary
Porphyrias
Lead Poisoning
Iron Deficiency
Coproporphyrinuria
Glycine +Succinyl CoA
ALA synthase
ALA
ALA dehydrase
PBG
PBG deaminase
Hydroxymethylbilane
URO III URO I
URO III synthase Spontaneous
COPRO III
COPRO I
PROTO IX
COPRO oxidase
URO III
decarboxylase
PROTO oxidase
Protoporphyrin IX
Ferrochelatase
Heme
urine
urine
Erythropoietic Protoporphyria urine
Urine
feces
feces
urine
Acute
Porphyrias Acute Intermittent Porphyria
Variegate Porphyria
Hereditary Coproporphyria
Porphyria Cutanea Tarda
Congenital Erythropietic PorphyriaNon-acute
Porphyrias
ALAD Deficiency Porphyria
Secondary
Porphyrias
Lead Poisoning
Iron Deficiency
Coproporphyrinuria
Glycine +Succinyl CoA
ALA synthase
ALA
ALA dehydrase
PBG
PBG deaminase
Hydroxymethylbilane
URO III URO I
URO III synthase Spontaneous
COPRO III
COPRO I
PROTO IX
COPRO oxidase
URO III
decarboxylase
PROTO oxidase
Protoporphyrin IX
Ferrochelatase
Heme
Erythropoietic Protoporphyria
Urine
Urine
Feces
Acute
Porphyrias Acute Intermittent Porphyria
Variegate Porphyria
Hereditary Coproporphyria
Porphyria Cutanea Tarda
Congenital Erythropietic PorphyriaNon-acute
Porphyrias
ALAD Deficiency Porphyria
Secondary
Porphyrias
Lead Poisoning
Iron Deficiency
Coproporphyrinuria
Glycine +Succinyl CoA
ALA synthase
ALA
ALA dehydrase
PBG
PBG deaminase
Hydroxymethylbilane
URO III URO I
URO III synthase Spontaneous
COPRO III
COPRO I
PROTO IX
COPRO oxidase
URO III
decarboxylase
PROTO oxidase
Protoporphyrin IX
Ferrochelatase
Heme
Erythropoietic Protoporphyria
urine Urine
Urine
Feces
Acute
Porphyrias Acute Intermittent Porphyria
Variegate Porphyria
Hereditary Coproporphyria
Porphyria Cutanea Tarda
Congenital Erythropietic PorphyriaNon-acute
Porphyrias
ALAD Deficiency Porphyria
Secondary
Porphyrias
Lead Poisoning
Iron Deficiency
Coproporphyrinuria
Glycine +Succinyl CoA
ALA synthase
ALA
ALA dehydrase
PBG
PBG deaminase
Hydroxymethylbilane
URO III URO I
URO III synthase Spontaneous
COPRO III
COPRO I
PROTO IX
COPRO oxidase
URO III
decarboxylase
PROTO oxidase
Protoporphyrin IX
Ferrochelatase
Heme
Erythropoietic Protoporphyria
Feces
Feces
Acute
Porphyrias Acute Intermittent Porphyria
Variegate Porphyria
Hereditary Coproporphyria
Porphyria Cutanea Tarda
Congenital Erythropietic PorphyriaNon-acute
Porphyrias
ALAD Deficiency Porphyria
Secondary
Porphyrias
Lead Poisoning
Iron Deficiency
Coproporphyrinuria
Glycine +Succinyl CoA
ALA synthase
ALA
ALA dehydrase
PBG
PBG deaminase
Hydroxymethylbilane
URO III URO I
URO III synthase Spontaneous
COPRO III
COPRO I
PROTO IX
COPRO oxidase
URO III
decarboxylase
PROTO oxidase
Protoporphyrin IX
Ferrochelatase
Heme
Erythropoietic Protoporphyria
Feces
Feces
urine
Urine
Feces
Zn-protoporphyrin
Acute
Porphyrias Acute Intermittent Porphyria
Variegate Porphyria
Hereditary Coproporphyria
Porphyria Cutanea Tarda
Congenital Erythropietic PorphyriaNon-acute
Porphyrias
ALAD Deficiency Porphyria
Secondary
Porphyrias
Lead Poisoning
Iron Deficiency
Coproporphyrinuria
Glycine +Succinyl CoA
ALA synthase
ALA
ALA dehydrase
PBG
PBG deaminase
Hydroxymethylbilane
URO III URO I
URO III synthase Spontaneous
COPRO III
COPRO I
PROTO IX
COPRO oxidase
URO III
decarboxylase
PROTO oxidase
Protoporphyrin IX
Ferrochelatase
Heme
Erythropoietic Protoporphyria
Zn-protoporphyrin
Hepatic Porphyrias (normal RBC Porphyrins) Erythropoietic Porphyrias (↑ RBC Porphyrins)
Acute Intermittent Porphyria (AIP) Congenital Erythropoietic Porphyria (CEP)
Variegate porphyria (VP) Erythropoietic Protoporphyria (EP)
Hereditary Coproporphyria (HCP)
Porphyria Cutanea Tarda (PCT)
Sunnybrook Health Sciences Center Sampling Guide
Presentation: Porphyrias Tests to order Sample
Acute symptoms AIP 1. Urine Porphyrin Precursors Screen & Quantitation Random (50 ml) or 24-h with Tartaric acid
Acute symptoms
+ skin lesions
(may occur
independently)
VP
HCP
2. Feces Porphyrins Screen & Quantitation Random
Skin lesions PCT
CEP
EP
1. Urine Porphyrin Precursors Screen & Quantitation
2. Feces Porphyrins Screen & Quantitation
3. Urine Porphyrins Screen & Quantitation
4. RBC Porphyrins Screen & Quantitation
Random (50 ml) or 24-h with Tartaric acid
Random
Random (50 ml) or 24-h with Na2CO3
Lavender-top (EDTA) blood; need Hct
Notes:
At time of acute attack:
1. Collect a random urine sample first (50 ml with no preservatives), before attempting to collect a 24-h sample.
2. Request "Porphyrin Precursors" (ALA & PBG) instead of "Porphyrins" screen and quantitation. The Laboratory will
have to adjust pH to 4-6 for "Porphyrin Precursors", but pH 8-10 for "Porphyrins". - The commonest problem causing
confusion!
3. All sample containers should be covered with tin foil to shield off from light.
Test Name Specimen Type Search / Alternate Name
Porphyrin
Precursors (ALA & PBG)
Urine (24h)
ALA,Aminolevulinic Acid,PBG,Porphobilinogen, -ALA,
-aminolevulinic Acid
Porphyrin
Precursors (ALA & PBG)
Urine (Random)
ALA,Aminolevulinic Acid,PBG, -ALA,Porphobilinogen
Porphyrins:
Quantitation
Urine (24h) Uroporphyrin,Heptacarboxylic Acid,Hexacarboxylic
Acid,Pentacarboxylic Acid,Coproporphyrin
Porphyrins:
Quantitation
Urine (Random) Uroporphyrin,Heptacarboxylic Acid,Hexacarboxylic
Acid,Pentacarboxylic Acid,Coproporphyrin
Porphyrins:
Quantitation
Whole blood
(EDTA) Free Protoporphyrin,Protoporphyrin - Free
Porphyrins:
Quantitation
Feces (Random) Coproporphyrin,Uroporphyrin,Heptacarboxylic
Acid,Hexacarboxylic Acid,Pentacarboxylic
Acid,Deuteroporphyrin,Mesoporphyrin,Protoporphyrin
Porphyrins:
Quantitation
Plasma (EDTA
or Heparin)
Uroporphyrin,Heptacarboxylic Acid,Hexacarboxylic
Acid,Pentacarboxylic Acid,Coproporphyrin
Bio-Rad
Column
HPLC
Porphyrin assays provided through HICL
Isocoproporphyrin Not Available
- See Note.
Porphobilinogen
Deaminase
Whole blood
(Heparin)
Uroporphyrinogen 1
Synthetase,HMB,Hydroxymethylbilane Synthase
Porphyrins
: Screen
Urine (24h)
Porphyrins:
Screen
Feces
(Random)
Porphyrins:
Screen
Urine
(Random)
Zinc
Protoporphyrin
Whole blood
(Heparin) ZPP,Metal
ICP-MS
Lead Whole blood
(heparin)
Pb,Zinc Protoporphyrin,ZPP,Metal
Enzymatic
Spectrophometric
Screening
CASE
A boy, average hematologic parameters over the subsequent 3 years were as
follows:
Defect in:
Porphyrin
synthesis
Heme synthesis
Globin synthesis
microcytic
Iron studies were unremarkable →
Hemoglobin (Hb) level, 70.0 g/L;
Mean corpuscular volume (MCV), 67 fL →
Mean corpuscular hemoglobin level, consistently < 20 pg;
Reticulocyte counts ranged from 3.6% to 6.7%;
A physical examination revealed scars on the face, hands, and
forearms. → photosensitive bullous dermatosis
A 50-mL urine sample contained 2003 ug uroporphyrin (normal,
trace); 92% of this was uro-I. → CEP
The diapers exhibited brilliant pink fluorescence when illuminated with
long-range ultraviolet light. → Photosensitive porphyrin rings
Fluorescent red cells were detected using a microscope fitted with a
405 nm light source. → CEP or EP
Erythrocyte UROS activity was 21% of the normal mean.
Collectively, these findings confirmed the diagnosis of CEP.
Erythrocyte UROS activity was normal in both parents, an unexpected finding
as obligate carriers (heterozygotes) for UROS mutations generally have half-
normal enzymatic activity.
UROS was sequenced, and no mutations or deletions were found in the
child or the parents.
A GATA1 point mutation was found in the child at codon 216, changing
arginine to tryptophan (R216W), as well as on 1 of the 2 GATA1 alleles of his
mother and maternal grandmother.
GATA1 gene, at Xp11.23, encodes a transcription factor, GATA binding
factor 1 (GATA-1), that is critical for normal erythropoiesis, globin
gene expression, and megakaryocyte development.
GATA-1 also regulates expression of UROS in developing erythrocytes.
General Symptomology:
__Abdominal pain
___Abdominal tenderness
___Loss of appetite
___Nausea
___Vomiting
___Constipation
___Carbohydrate craving
___Breast secretions
___Diarrhea
___Partial ileus [Intestinal blockage]
___Abdominal distention
___Dysuria [Painful Urination]
___Bladder Dysfunction
___Urinary Retention
___Amenorrhea [Lack of menses]
Physical Findings of Acute Attack
__Red or dark urine
___Tachycardia [Pulse] >100
___Labile hypertension >90 diastolic [blood pressure]
___Fever [Pyrexia]
___Profused sweating
___Edema [Retention of fluids] [Swelling]
___Postural Hypotension [Low Blood Pressure]
___Hypertrichosis [excessive body hair growth]
___Hyperpigmentation [skin coloring]
Neurological Symptoms of Acute Attack
[Peripheral manifestations]
___Peripheral neuropathy
___Muscle weakness
___Paresis . paralysis
___Sensory disorde
___Respiratory paralysis
___Foot drop
___Wrist drop
___Abnormal Gait
___Pain: Arms, legs, hips and/or lower back
___Loss of sensation
___Dyesthesia
___Numbness
___Tingling
___Burning Sensation
___Bulbar paresis
___Tongue paralization
___Mouth paralization
___Throat paralization
[Cerebral manifestations]
___Behavorial change
___Anxiety
___Irritability
___Delirium
___Depression
___Confusion
___Hallucination
___Insomnia
___ANS [altered neurological state]
___Restlessness
___Sensory loss
___Seizure
___Depressed or absent tendon reflexes
___Cranial nerve involvement
Hematology/Blood Chemistry
___Hyponatremia [Below normal sodium level] <130
___Increased Bun [Urea Nitrogen]
___Increased AST [Aspartate Aminotransferase]
___Elevated Alkaline Phosphatase [Liver panel test]
___Increased ALT [Aspartate Aminotransferase]
___Hypokalemia [Below normal potassium level]
___Leukocytosis [Abnormal increase in WBC] > 10,000
___Increased ESR >22
___Hypochloremia < 90 [A decrease in the chloride level]
___Anemia [Iron deficiency]
Cutaneous manifestations
___Skin photosensitivity
___Blistering
___Severe Tissue Scarring
___Increased Hair growth
___Pigmentation Darkening
___Thickening of skin
___Severe Itching
Special lab studies
___Decreased blood volume
___EEG abnormalities
___Electromyographic abnormalities
___Muscle denervation
___Decreased nerve conduction velocity
___Abnormal CSF
___Increased fibrillation potential

Porphyria r (1)

  • 1.
    Porphyrias: a reviewand case report
  • 2.
    Anemia MCV=HCT/RBC 80-100<80 >100 Microcytic Suddenmassive blood lose Marrow failure hemolysis Megaloblastic anemia Spurious macrocytic anemia
  • 3.
    Microcytic anemia Defect inhemoglobin synthesis 3-dimensional structure of hemoglobin. The four subunits are shown in red and yellow, and the heme groups in green.
  • 4.
    Microcytic anemia Defect inhemoglobin sythesis Iron binding capacityLow or normal High High Low or normalIron Iron deficiency Defect in: Porphyrin synthesis Heme synthesis Globin synthesis
  • 5.
    Defect in: Porphyrin synthesis Hemesynthesis Globin synthesis Hemoglobin electrophoresis AbnormalNormal Defect in: Porphyrin synthesis Heme synthesis Defect in: Globin synthesis Quantitative QualitativeBoth Thalassemia Sickle-thal S,C,F,ect
  • 6.
    Heme Non-erythroid Erythroid Haemoproteins Haemoglobin Electrontransfer and energy trapping myoglobin Cytochromes Others
  • 7.
  • 8.
    ALA synthase D-ALA ALA dehydrase PBGdeaminase Hydroxymethylbilane NH2-CH2-COOH+ Glycine PBG Water-soluble Excreted in urine Water-soluble Excreted in urine
  • 9.
    Hydroxymethylbilane Uroporphyrinogen III URO I UROIII synthase Spontaneous Coproporphyrinogen III COPRO I URO III decarboxylase Less water-soluble Excreted in urine/feces Water-soluble Excreted in urine
  • 10.
    CORPO III Protoporphyrinogen IX COPROoxidase PROTO oxidase Protoporphyrin IX Ferrochelatase Heme Poor water-solubility Excreted in feces
  • 11.
    Acute Porphyrias Acute IntermittentPorphyria Variegate Porphyria Hereditary Coproporphyria Porphyria Cutanea Tarda Congenital Erythropietic Porphyria Non-acute Porphyrias ALAD Deficiency Porphyria Secondary Porphyrias Lead Poisoning Iron Deficiency Coproporphyrinuria Glycine +Succinyl CoA ALA synthase ALA ALA dehydrase PBG PBG deaminase Hydroxymethylbilane URO III URO I URO III synthase Spontaneous COPRO III COPRO I PROTO IX COPRO oxidase URO III decarboxylase PROTO oxidase Protoporphyrin IX Ferrochelatase Heme Erythropoietic Protoporphyria (Neurological Porphyrias) (Cutaneous Porphyrias) (Unstable) Main Types of Porphyria
  • 12.
    Main Types ofPorphyria Acute Porphyrias Acute Intermittent Porphyria Variegate Porphyria Hereditary Coproporphyria Porphyria Cutanea Tarda Congenital Erythropietic Porphyria Non-acute Porphyrias ALAD Deficiency Porphyria Secondary Porphyrias Lead Poisoning Iron Deficiency Coproporphyrinuria Erythropoietic Protoporphyria (Neurological Porphyrias) (Cutaneous Porphyrias) InheritanceTissue expression Liver Erythroid cells E , L Autosomal recessive Liver Liver Liver Liver Autosomal dominant Autosomal dominant Autosomal dominant Autosomal dominant Autosomal dominant Autosomal recessive
  • 13.
    Acute Porphyrias Acute IntermittentPorphyria Variegate Porphyria Hereditary Coproporphyria Porphyria Cutanea Tarda Congenital Erythropietic Porphyria Non-acute Porphyrias ALAD Deficiency Porphyria Secondary Porphyrias Lead Poisoning Iron Deficiency Coproporphyrinuria Glycine +Succinyl CoA ALA synthase ALA ALA dehydrase PBG PBG deaminase Hydroxymethylbilane URO III URO I URO III synthase Spontaneous COPRO III COPRO I PROTO IX COPRO oxidase URO III decarboxylase PROTO oxidase Protoporphyrin IX Ferrochelatase Heme urine Erythropoietic Protoporphyria
  • 14.
    Acute Porphyrias Acute IntermittentPorphyria Variegate Porphyria Hereditary Coproporphyria Porphyria Cutanea Tarda Congenital Erythropietic Porphyria Non-acute Porphyrias ALAD Deficiency Porphyria Secondary Porphyrias Lead Poisoning Iron Deficiency Coproporphyrinuria Glycine +Succinyl CoA ALA synthase ALA ALA dehydrase PBG PBG deaminase Hydroxymethylbilane URO III URO I URO III synthase Spontaneous COPRO III COPRO I PROTO IX COPRO oxidase URO III decarboxylase PROTO oxidase Protoporphyrin IX Ferrochelatase Heme urine urine Erythropoietic Protoporphyria urine
  • 15.
    Acute Porphyrias Acute IntermittentPorphyria Variegate Porphyria Hereditary Coproporphyria Porphyria Cutanea Tarda Congenital Erythropietic Porphyria Non-acute Porphyrias ALAD Deficiency Porphyria Secondary Porphyrias Lead Poisoning Iron Deficiency Coproporphyrinuria Glycine +Succinyl CoA ALA synthase ALA ALA dehydrase PBG PBG deaminase Hydroxymethylbilane URO III URO I URO III synthase Spontaneous COPRO III COPRO I PROTO IX COPRO oxidase URO III decarboxylase PROTO oxidase Protoporphyrin IX Ferrochelatase Heme urine urine Erythropoietic Protoporphyria urine Urine feces urine
  • 16.
    Acute Porphyrias Acute IntermittentPorphyria Variegate Porphyria Hereditary Coproporphyria Porphyria Cutanea Tarda Congenital Erythropietic Porphyria Non-acute Porphyrias ALAD Deficiency Porphyria Secondary Porphyrias Lead Poisoning Iron Deficiency Coproporphyrinuria Glycine +Succinyl CoA ALA synthase ALA ALA dehydrase PBG PBG deaminase Hydroxymethylbilane URO III URO I URO III synthase Spontaneous COPRO III COPRO I PROTO IX COPRO oxidase URO III decarboxylase PROTO oxidase Protoporphyrin IX Ferrochelatase Heme urine urine Erythropoietic Protoporphyria urine Urine feces feces urine
  • 17.
    Acute Porphyrias Acute IntermittentPorphyria Variegate Porphyria Hereditary Coproporphyria Porphyria Cutanea Tarda Congenital Erythropietic PorphyriaNon-acute Porphyrias ALAD Deficiency Porphyria Secondary Porphyrias Lead Poisoning Iron Deficiency Coproporphyrinuria Glycine +Succinyl CoA ALA synthase ALA ALA dehydrase PBG PBG deaminase Hydroxymethylbilane URO III URO I URO III synthase Spontaneous COPRO III COPRO I PROTO IX COPRO oxidase URO III decarboxylase PROTO oxidase Protoporphyrin IX Ferrochelatase Heme Erythropoietic Protoporphyria Urine Urine Feces
  • 18.
    Acute Porphyrias Acute IntermittentPorphyria Variegate Porphyria Hereditary Coproporphyria Porphyria Cutanea Tarda Congenital Erythropietic PorphyriaNon-acute Porphyrias ALAD Deficiency Porphyria Secondary Porphyrias Lead Poisoning Iron Deficiency Coproporphyrinuria Glycine +Succinyl CoA ALA synthase ALA ALA dehydrase PBG PBG deaminase Hydroxymethylbilane URO III URO I URO III synthase Spontaneous COPRO III COPRO I PROTO IX COPRO oxidase URO III decarboxylase PROTO oxidase Protoporphyrin IX Ferrochelatase Heme Erythropoietic Protoporphyria urine Urine Urine Feces
  • 19.
    Acute Porphyrias Acute IntermittentPorphyria Variegate Porphyria Hereditary Coproporphyria Porphyria Cutanea Tarda Congenital Erythropietic PorphyriaNon-acute Porphyrias ALAD Deficiency Porphyria Secondary Porphyrias Lead Poisoning Iron Deficiency Coproporphyrinuria Glycine +Succinyl CoA ALA synthase ALA ALA dehydrase PBG PBG deaminase Hydroxymethylbilane URO III URO I URO III synthase Spontaneous COPRO III COPRO I PROTO IX COPRO oxidase URO III decarboxylase PROTO oxidase Protoporphyrin IX Ferrochelatase Heme Erythropoietic Protoporphyria Feces Feces
  • 20.
    Acute Porphyrias Acute IntermittentPorphyria Variegate Porphyria Hereditary Coproporphyria Porphyria Cutanea Tarda Congenital Erythropietic PorphyriaNon-acute Porphyrias ALAD Deficiency Porphyria Secondary Porphyrias Lead Poisoning Iron Deficiency Coproporphyrinuria Glycine +Succinyl CoA ALA synthase ALA ALA dehydrase PBG PBG deaminase Hydroxymethylbilane URO III URO I URO III synthase Spontaneous COPRO III COPRO I PROTO IX COPRO oxidase URO III decarboxylase PROTO oxidase Protoporphyrin IX Ferrochelatase Heme Erythropoietic Protoporphyria Feces Feces urine Urine Feces Zn-protoporphyrin
  • 21.
    Acute Porphyrias Acute IntermittentPorphyria Variegate Porphyria Hereditary Coproporphyria Porphyria Cutanea Tarda Congenital Erythropietic PorphyriaNon-acute Porphyrias ALAD Deficiency Porphyria Secondary Porphyrias Lead Poisoning Iron Deficiency Coproporphyrinuria Glycine +Succinyl CoA ALA synthase ALA ALA dehydrase PBG PBG deaminase Hydroxymethylbilane URO III URO I URO III synthase Spontaneous COPRO III COPRO I PROTO IX COPRO oxidase URO III decarboxylase PROTO oxidase Protoporphyrin IX Ferrochelatase Heme Erythropoietic Protoporphyria Zn-protoporphyrin
  • 22.
    Hepatic Porphyrias (normalRBC Porphyrins) Erythropoietic Porphyrias (↑ RBC Porphyrins) Acute Intermittent Porphyria (AIP) Congenital Erythropoietic Porphyria (CEP) Variegate porphyria (VP) Erythropoietic Protoporphyria (EP) Hereditary Coproporphyria (HCP) Porphyria Cutanea Tarda (PCT) Sunnybrook Health Sciences Center Sampling Guide Presentation: Porphyrias Tests to order Sample Acute symptoms AIP 1. Urine Porphyrin Precursors Screen & Quantitation Random (50 ml) or 24-h with Tartaric acid Acute symptoms + skin lesions (may occur independently) VP HCP 2. Feces Porphyrins Screen & Quantitation Random Skin lesions PCT CEP EP 1. Urine Porphyrin Precursors Screen & Quantitation 2. Feces Porphyrins Screen & Quantitation 3. Urine Porphyrins Screen & Quantitation 4. RBC Porphyrins Screen & Quantitation Random (50 ml) or 24-h with Tartaric acid Random Random (50 ml) or 24-h with Na2CO3 Lavender-top (EDTA) blood; need Hct Notes: At time of acute attack: 1. Collect a random urine sample first (50 ml with no preservatives), before attempting to collect a 24-h sample. 2. Request "Porphyrin Precursors" (ALA & PBG) instead of "Porphyrins" screen and quantitation. The Laboratory will have to adjust pH to 4-6 for "Porphyrin Precursors", but pH 8-10 for "Porphyrins". - The commonest problem causing confusion! 3. All sample containers should be covered with tin foil to shield off from light.
  • 24.
    Test Name SpecimenType Search / Alternate Name Porphyrin Precursors (ALA & PBG) Urine (24h) ALA,Aminolevulinic Acid,PBG,Porphobilinogen, -ALA, -aminolevulinic Acid Porphyrin Precursors (ALA & PBG) Urine (Random) ALA,Aminolevulinic Acid,PBG, -ALA,Porphobilinogen Porphyrins: Quantitation Urine (24h) Uroporphyrin,Heptacarboxylic Acid,Hexacarboxylic Acid,Pentacarboxylic Acid,Coproporphyrin Porphyrins: Quantitation Urine (Random) Uroporphyrin,Heptacarboxylic Acid,Hexacarboxylic Acid,Pentacarboxylic Acid,Coproporphyrin Porphyrins: Quantitation Whole blood (EDTA) Free Protoporphyrin,Protoporphyrin - Free Porphyrins: Quantitation Feces (Random) Coproporphyrin,Uroporphyrin,Heptacarboxylic Acid,Hexacarboxylic Acid,Pentacarboxylic Acid,Deuteroporphyrin,Mesoporphyrin,Protoporphyrin Porphyrins: Quantitation Plasma (EDTA or Heparin) Uroporphyrin,Heptacarboxylic Acid,Hexacarboxylic Acid,Pentacarboxylic Acid,Coproporphyrin Bio-Rad Column HPLC Porphyrin assays provided through HICL
  • 25.
    Isocoproporphyrin Not Available -See Note. Porphobilinogen Deaminase Whole blood (Heparin) Uroporphyrinogen 1 Synthetase,HMB,Hydroxymethylbilane Synthase Porphyrins : Screen Urine (24h) Porphyrins: Screen Feces (Random) Porphyrins: Screen Urine (Random) Zinc Protoporphyrin Whole blood (Heparin) ZPP,Metal ICP-MS Lead Whole blood (heparin) Pb,Zinc Protoporphyrin,ZPP,Metal Enzymatic Spectrophometric Screening
  • 26.
    CASE A boy, averagehematologic parameters over the subsequent 3 years were as follows: Defect in: Porphyrin synthesis Heme synthesis Globin synthesis microcytic Iron studies were unremarkable → Hemoglobin (Hb) level, 70.0 g/L; Mean corpuscular volume (MCV), 67 fL → Mean corpuscular hemoglobin level, consistently < 20 pg; Reticulocyte counts ranged from 3.6% to 6.7%;
  • 27.
    A physical examinationrevealed scars on the face, hands, and forearms. → photosensitive bullous dermatosis A 50-mL urine sample contained 2003 ug uroporphyrin (normal, trace); 92% of this was uro-I. → CEP The diapers exhibited brilliant pink fluorescence when illuminated with long-range ultraviolet light. → Photosensitive porphyrin rings Fluorescent red cells were detected using a microscope fitted with a 405 nm light source. → CEP or EP Erythrocyte UROS activity was 21% of the normal mean. Collectively, these findings confirmed the diagnosis of CEP.
  • 28.
    Erythrocyte UROS activitywas normal in both parents, an unexpected finding as obligate carriers (heterozygotes) for UROS mutations generally have half- normal enzymatic activity. UROS was sequenced, and no mutations or deletions were found in the child or the parents. A GATA1 point mutation was found in the child at codon 216, changing arginine to tryptophan (R216W), as well as on 1 of the 2 GATA1 alleles of his mother and maternal grandmother. GATA1 gene, at Xp11.23, encodes a transcription factor, GATA binding factor 1 (GATA-1), that is critical for normal erythropoiesis, globin gene expression, and megakaryocyte development. GATA-1 also regulates expression of UROS in developing erythrocytes.
  • 29.
    General Symptomology: __Abdominal pain ___Abdominaltenderness ___Loss of appetite ___Nausea ___Vomiting ___Constipation ___Carbohydrate craving ___Breast secretions ___Diarrhea ___Partial ileus [Intestinal blockage] ___Abdominal distention ___Dysuria [Painful Urination] ___Bladder Dysfunction ___Urinary Retention ___Amenorrhea [Lack of menses] Physical Findings of Acute Attack __Red or dark urine ___Tachycardia [Pulse] >100 ___Labile hypertension >90 diastolic [blood pressure] ___Fever [Pyrexia] ___Profused sweating ___Edema [Retention of fluids] [Swelling] ___Postural Hypotension [Low Blood Pressure] ___Hypertrichosis [excessive body hair growth] ___Hyperpigmentation [skin coloring]
  • 30.
    Neurological Symptoms ofAcute Attack [Peripheral manifestations] ___Peripheral neuropathy ___Muscle weakness ___Paresis . paralysis ___Sensory disorde ___Respiratory paralysis ___Foot drop ___Wrist drop ___Abnormal Gait ___Pain: Arms, legs, hips and/or lower back ___Loss of sensation ___Dyesthesia ___Numbness ___Tingling ___Burning Sensation ___Bulbar paresis ___Tongue paralization ___Mouth paralization ___Throat paralization [Cerebral manifestations] ___Behavorial change ___Anxiety ___Irritability ___Delirium ___Depression ___Confusion ___Hallucination ___Insomnia ___ANS [altered neurological state] ___Restlessness ___Sensory loss ___Seizure ___Depressed or absent tendon reflexes ___Cranial nerve involvement
  • 31.
    Hematology/Blood Chemistry ___Hyponatremia [Belownormal sodium level] <130 ___Increased Bun [Urea Nitrogen] ___Increased AST [Aspartate Aminotransferase] ___Elevated Alkaline Phosphatase [Liver panel test] ___Increased ALT [Aspartate Aminotransferase] ___Hypokalemia [Below normal potassium level] ___Leukocytosis [Abnormal increase in WBC] > 10,000 ___Increased ESR >22 ___Hypochloremia < 90 [A decrease in the chloride level] ___Anemia [Iron deficiency] Cutaneous manifestations ___Skin photosensitivity ___Blistering ___Severe Tissue Scarring ___Increased Hair growth ___Pigmentation Darkening ___Thickening of skin ___Severe Itching Special lab studies ___Decreased blood volume ___EEG abnormalities ___Electromyographic abnormalities ___Muscle denervation ___Decreased nerve conduction velocity ___Abnormal CSF ___Increased fibrillation potential