What is PCR?
0Polymerase chain reaction or PCR is
a technique that results in
exponential amplification of a
desired region of a DNA molecule in
vitro.
0With this technique, small amounts the
genetic material can be amplified (i.e., to
make a huge number of copies of a DNA)
to be able to identify and manipulate
DNA, detect infectious organisms, detect
genetic variations including mutation in
human genes and numerous other tasks.
History
0 The of PCR technique was
invented by Kary Mullis, a Research
Scientist at a California Biotech
Company, Cetus, in 1983.
0 For this work, Mullis received the
1993 Noble Prize in Chemistry.
PCR
0why “Polymerase”?
Because the only enzyme used in the
reaction is DNA polymerase.
0Why “Chain” ?
Because the products of the first
reaction become the substrates of the
following one and so on.
Setting up PCR Reaction
0 Constituents of PCR reaction :
1. Target DNA
2. Pair of primers
3. dNTPs
4. Thermostable DNA
Polymerase
5. Mg++ ions
6. Buffer solution
0 Steps in PCR reaction :
1. Denaturation
2. Annealing
3. Extension
PCR Machine
PCR Protocol
Types of PCR
0 PCR is of different types
1. Inverse PCR
2. Multiplex PCR
3. Hot start PCR
4. Nested PCR
5. In situ PCR
6. Long PCR
7. Colony PCR
8. Real time PCR
9. Touch down PCR
10. Band stab PCR
11. Reverse transcriptase
PCR
12. Degenerate PCR
13. Anchored PCR
14. Asymmetric PCR
15. Assembly PCR
16. Quantitative PCR
17. Methylation specific PCR
18. Ligation mediated PCR
19. Allele specific PCR
20.Digital PCR
21. Overlap Extension PCR
22. Solid phase PCR
23. Miniprimer PCR
24. Universal fast walking
PCR
25.VNTR PCR
26. ISSR PCR
27. Semi quantitative PCR
28. Differential display
reverse transcriptase PCR
1.Inverse PCR
0 Also k/a inverted PCR or inside out PCR.
0 It is used to amplify unknown DNA segment that
flanks one end of known DNA sequence for which no
primers are available.
.
Inverse PCR Steps
0 Target DNA is lightly cut into smaller fragments of several
kilobases by restriction endonuclease digestion.
0 Self-ligation is induced under low concentrations causing the
phosphate backbone to reform. This gives a circular DNA
ligation product.
0 Target DNA is then restriction digested with a known
endonuclease. This generates a cut within the known internal
sequence generating a linear product with known terminal
sequences. This can now be used for PCR (polymerase chain
reaction).
0 Standard PCR is conducted with primers complementary to
the now known internal sequences
significance
0 Amplification and identification of sequences flanking
transposable elements.
0 Cloning of unknown cDNA sequences from total RNA.
0 Construction of end specific probes for chromosome
walking.
0 Amplification of integration sites used by viruses and
transgenes.
2.Multiplex PCR
0 Multiplex PCR is a widespread molecular biology
technique for amplification of multiple targets in a
single PCR experiment.
0 In a multiplexing assay, more than one target
sequence can be amplified by using multiple primer
pairs in a reaction mixture.
0 Generally up to eight primer pairs c/b used in a
standard multiplex reaction, otherwise the yield of
some amplicons is reduced and not visible on agarose
gel.
MULTIPLEX PCR
0 Following points s/b considered during multiplex
PCR:
1. Make sure that all target templates c/b amplified in
separate reactions by the same PCR program.
2. Optimize the amount of primer pairs in the reaction.
3. Mg2+ concentration is kept higher than the optimal
range, if the reaction is partial for smaller products.
3.Hot start PCR
0 In conventional PCR, the Taq DNA polymerase is active at
room temperature and to a lesser degree, even on ice. In
some instances, when all the reaction components are put
together, nonspecific primer annealing can occur due to
these low temperatures. This nonspecific annealed primer
can then be extended by the Taq DNA polymerase,
generating nonspecific products and lowering product
yields.
0 The hot start PCR is a modified form of Polymerase chain
reaction (PCR) which avoids a non-specific amplification
of DNA by inactivating the taq polymerase at lower
temperature.
0 Manual method:
Previously Hot start PCR was performed manually i.e.,
by adding an essential component of the reaction
mixture only after heating to an elevated temperature.
0 Semi-automated method;
• Here the primers, Mg2+, buffer and dNTPs are mixed
together at the room temperature in the bottom of the
PCR tube and then covered with melted wax(e.g.,
Ampliwax PCR Gems from Perkin-ELMER).
• The wax solidifies on cooling and limits the reagent to
the bottom of the tube.
• The remaining components are then added on top of
the barrier.
• Wax layer melts upon heating during the denaturation step
and mixes the two layers allowing a fully active reaction to
occur.
0 Automated method:
• Taq DNA polymerase directed Abs, as thermolabile
inhibitors of enzymes are used which at low temperature,
(ambient temp for Ag-Ab reaction) block the action of
polymerase.
• Now when the temperature raises for amplification to
72℃, the specific antibody detaches from Taq-polymerase
and the amplification with greater specificity starts.
• Different Taq DNA polymerases with Abs or ligands are
commercially available e.g., Amplitaq Gold DNA
polymerase, TaqStart, TthStart, Platinum Taq
polymerase.
0 Advantage- reduces non specific amplification,
increases specificity, sensitivity, precision of
amplification of low copies of target DNA.
It is used in multiplex PCR where multiple primer
pairs are used to amplify multiple sequences as it
prevents dimer formation.
4.Colony PCR
0Colony PCR is used for the screening
recombinants from bacterial, bacteriophage or
yeast transformation products.
STEPS
• Selected colonies of bacteria or yeast
are picked with a sterile toothpick or
pipette tip from a growth plate.
• Swirl it into 25micro l of TE buffer with
autoclaved d H2O in an micro centrifuge
tube
• Heat the mix in boiling water bath at
90-100c for 2 mins
• Again centrifuge it at 6000 rpm
• Collect the supernatant. Take 1-2 micro
l of it and it is used as template in a
25micro l PCR tube
• Conduct standard PCR
significance
0 Colony PCR is a fast and reliable method for the
screening of recombinants.
0 A no of colonies or plaques c/b assayed
simultaneously and there is no need to store large no
of transformed clones for long periods.
0 This method c/b used for cDNA library screening.
5.Nested PCR
0 Two pairs instead of one pair of PCR primers are used
to amplify a fragment.
0 First pair amplifies a fragment similar to standard
PCR.
0 Second pairs bind inside the 1st PCR product fragment
allow amplification of 2nd PCR product which is
shorter than the 1st one.
0 Advantage – very low probability of non-specific
amplification.
0 It is most commonly used to specifically amplifying
long DNA fragments than conventional PCR, but it
requires more detailed knowledge of target
sequences.
6.Long PCR
0 It is a PCR, which is extended longer than standard
PCR, over 5kbp ( frequently over 10kbp ).
0 In standard PCR it is very difficult to get long PCR
product, due to damage of template and products on
exposure to high temperature and difficulties in
denaturing of long DNA molecules.
0 In long PCR a special mixture of proficient
polymerases along with accurate polymerases like pfu
are mixed together.
0 There recent reports of amplification of 42 kbps with
the blend of enzymes primarily containing non-
proofreading polymerase with a very small amount of
reading polymerase for example,
0 45:1 Tth DNA polymerase- 22kbp
0 125:1 Tth DNA polymerase- 39kbp
0 160:1 to 640:1 klentaq- 35kbp
0 This type of PCR is useful only if it is accurate.
7.Touchdown PCR
0 This type of PCR is used to optimize yield of
amplified product at different annealing
temperature.
0 It is very difficult to find out the annealing
temperature when there is mismatches between
primers and the template strands.
0 In Touchdown PCR, the Ta during the first 2 cycles is
set at ~3C above the calculated Ta. The annealing
temperature is then reduced by 1C for every 1 or 2
cycles.
0 Amplification of the specific target DNA starts when
optimum Ta is achieved.
0 The higher temperatures - greater specificity for
primer binding
0 lower temperature - more efficient amplification
from the specific products formed during the initial
cycles
Cont.…
0 It is the quickest method to optimize PCR when it is
required to use new template and primer
combinations.
0 Nowadays, modern PCR machine which have the
facility of gradient setting are easily programmed to
run Touchdown PCR.
8.In situ PCR
0 It is a collective term used to describe amplification of
DNA and RNA template by PCR and its subsequent
detection within the histological tissue section or cell
preparation.
0 It c/b performed in a fixed tissue or cells or on a slide.
0 Detection of products is done by in situ hybridisation.
0 It is somewhat difficult to detect the genes of low copy
number by in situ PCR as it is below the detection
limit.
9.Asymmetric PCR
0 In standard PCR, amplification of ds DNA occurs
exponentially during the early stages of PCR, but in
the end slows down and plateau is formed because of
–ve feed back between the ds products and the Taq
DNA polymerase.
0 The plateau value in standard PCR is unsuitable for
end point analysis of starting target numbers
0 In asymmetric PCR, the end product is a single
stranded DNA as a result of unequal primer
concentration.
0 PCR is carried out as usual, but with a great excess of
the primer for the strand targeted for amplification.
0 As asymmetric PCR proceeds, the lower concentration
primer is quantitatively incorporated into the ds DNA.
0 The higher concentration of primer continues
synthesis of DNA out of the template strand in a
linear amplification.
Abundant primer
Limiting primer
PCR
ss DNA
ds DNA
Asymmetric PCR
0 Asymmetric PCR is useful in end point analysis.
0 The advanced form of asymmetric PCR, Linear-After-
The-Exponential PCR(LATE PCR) uses a limiting
primer and a excess primer that differ 10-50 folds in
their relative concentration
.
10.Band-stab PCR
0 When the yield of amplicons is very low, then the
desired fragment c/b recovered by gel electrophoresis
and reamplified, with which is k/a Band-stab PCR.
0 In this type of PCR, EtBr stained agarose gel is
analyzed by UV illumination and excess fluid is
removed by placing a Whatman 3mm paper on the
surface of the gel.
0 Each band of interest is sampled carefully with the
help of hypodermic needle. The DNA of that band is
reamplified by nested primer.
0 The template is kept in the PCR mixture for 1 hr or 2
before commencement of reaction so that the DNA
diffuses into the mixture.
11.Anchored PCR
0 A variation of the PCR technique that is applied
to dsDNA fragments for which the sequence at only
one end of the gene is known.
0 The technique allows amplification of a complete
sequence of a gene when 5’ sequence of molecule of
interest is unknown.
0 A short polynucleotide of known sequence is ligated
to the 3'-ends of the dsDNA ( catalyzed by the
terminal deoxynucleotidyl transferase) so that a
primer complementray to it can be added, along with
the primer determined from the partial protein
sequence.
limitations
0 It is relatively difficult protocol.
0 Large amount of starting templates are required.
0 It generates nonspecific products due to use of
homopolymer containing primers in the PCR.
Reverse transcriptase PCR
0 In RT-PCR, the RNA template is first converted into
a complementary DNA (cDNA) using a reverse
transcriptase enzyme. The cDNA is then used as a
template for exponential amplification using PCR.
RT PCR procedure constitutes two steps
0 First Strand Reaction-
RNA strand i.e., mRNA strand is first reverse
transcribed into ss cDNA template using dNTPs and
RNA- dependent DNA polymerase (reverse
transcriptase) through the process of reverse
transcription.
0 second Strand Reaction-
After the cDNA is generated, standard PCR is
initiated. After ~35 cycles, millions of copies of the
sequence of interest are generated.
The original RNA template is degraded by Rnase H
leaving pure cDNA.
0 Depending on the requirement, the primer for first
cDNA strand synthesis can be of 2 types;
1. oligo dT is used as universal primer which binds
to poly (A) tail of mRNA; and
2. reverse primers are specifically designed which
can hybridize to a particular target genes or defined
mRNA family.
0 The reverse transcriptase is RNA dependent DNA
polymerase which is used for cDNA synthesis. The
most commonly used and commercially available RT
are : AMV ( Avian Myelobastosis Virus) RT
Mo- MLV (Moloney Murine Leukemia Virus) RT
One step & two step RT-PCR
0 The quantification of mRNA using RT-PCR can be achieved
as either a one-step or a two-step reaction.
0 The difference between the two approaches lies in the
number of tubes used when performing the procedure.
0 In the one-step approach, the entire reaction from cDNA
synthesis to PCR amplification occurs in a single tube.
0 In two-step reaction requires that the reverse
transcriptase reaction and PCR amplification be performed
in separate tubes.
However, the starting RNA templates are prone to
degradation in the one-step approach, and the use of this
approach is not recommended when repeated assays from
the same sample is required.
Advantage
0 Useful in generating large cDNA libraries from small
amounts of mRNA.
Degenerate PCR
0 Degenerate PCR is similar to standard PCR, except,
that instead of using specific primers of a given
sequence, mixed primers are used in degenerate
PCR.
0 In this type of PCR, the selection and designing of
primers is done basing on the property of degeneracy
of codon i.e., different codons may code for single
amino acid.
0 Usually many codon families share the first two bases
and vary only at the 3rd position of the codon.
0 So, the degenerate DNA primers can be designed such
that these have a mixture of all possible bases in every
3rd position.
0 For example;
if the protein motif is :
Met-Trp-Asp-Arg-Lys-Glu-Ala-Cys &
the probable codon will be:
ATG-TGG-GAC(T)-CGT(CAG)-AAA(G)-GAA(G)-
GCT(CAG)-TGT(C)
Thus, corresponding primer is :
ATG – TGG - GAC/T - CGT/C/A/G - AAA/G -
GAA/G - GCT/C/A/G - TGT/C
0 Such degenerate primers, which have a number of
positions in the sequence, allow annealing and
amplification of a variety related sequences.
0 In simple words, a degenerate primer is a mixture of
closely related primers, and the gene of interest is
recognized by one of the primers from this mixture.
0 Deoxyinosine(dI) can be used instead of mixed oligos
at degenerate positions. This makes complementary
base pairs with any other base, effectively giving a 4-
fold degeneracy at any position.
Uses
0 To find the corresponding gene when the amino acid
sequence of a protein is known.
0 To clone the homologous gene from another source
(say rice) when the gene of interest from one source
(say Arabidopsis) has been found.
0 To study gene families.
Assembly PCR
0 Assembly PCR (also known as Polymerase Cycling
Assembly or PCA) is the synthesis of long DNA
structures by performing PCR on a pool of long
oligonucleotides with short overlapping segments, to
assemble two or more pieces of DNA into one piece.
0 It involves an initial PCR with primers that have an
overlap and a second PCR using the products as the
template that generates the final full-length product.
Gibson Assembly
0 A modification of this method, Gibson Assembly,
described by Gibson et al.(2009) allows for single-step
isothermal assembly of DNA with up to several
hundreds Kb. By using T5 exonuclease to 'chew back'
complementary ends, an overlap of about 40bp can be
created. The reaction takes place at 50°C, a
temperature where the T5 exonuclease is unstable.
After a short time step it is degraded, the overlaps can
anneal and be ligated using 2 enzymes; Phusion
Polymerase and Taq DNA ligase.
0 Adjacent segments should have identical sequences on
the ends (sequences A and B in the figures). These
identical sequences can be created via PCR with
primers that contain a 5' end that is identical to an
adjacent segment and a 3' end that anneals to the
target sequence.
Why Gibson assembly?
0 No need for specific restriction sites. Join almost any 2
fragments regardless of sequence.
0 No scar between joined fragments.
0 Fewer steps. One tube reaction.
0 Can combine many DNA fragments at once.
Real- time PCR
0 Real time PCR also k/a kinetic PCR, qPCR, qRT PCR
and RT-qPCR, is a quantitative PCR method for the
determination of copy number of PCR templates such
as DNA or cDNA in a PCR reaction.
0 Real-time PCR monitors the fluoroscence emitted
during the reaction as an indicator of amplicon
production at each PCR cycle.
0 Thus in Real-time PCR one can visually see the
progress of the reaction in “real time”.
0 Based on the molecule used for the detection, the real
time PCR techniques can be categorically placed
under two heads:
1. Non-specific Detection using DNA Binding Dyes
2. Specific Detection Target Specific Probes
Non-specific Detection using DNA Binding
Dyes
0In real time PCR, DNA binding dyes are used as
fluorescent reporters to monitor the real time PCR
reaction. The fluorescence of the reporter dye
increases as the product accumulates with each
successive cycle of amplification.
0By recording the amount of fluorescence emission
at each cycle, it is possible to monitor the PCR
reaction during exponential phase.
0If a graph is drawn between the log of the starting
amount of template and the corresponding increase
the fluorescence of the reporter dye fluorescence
during real time PCR, a linear relationship is
observed.
SYBR® Green is the most widely used double-strand DNA-
specific dye reported for real time PCR. SYBR® Green binds to the
minor groove of the DNA double helix. In the solution , the
unbound dye exhibits very little fluorescence.
0 This fluorescence is substantially enhanced when the dye is
bound to double stranded DNA. SYBR® Green remains stable
under PCR conditions and the optical filter of the thermocycler
can be affixed to harmonize the excitation and emission
wavelengths.
Ethidium bromide can also be used for detection but its
carcinogenic nature renders its use restrictive.
0 Although these double-stranded DNA-binding dyes provide the
simplest and cheapest option for real time PCR, the principal
drawback to intercalation based detection of PCR product
accumulation is that both specific and nonspecific products
generate signal.
Specific Detection using Target Specific
Probes
0 Specific detection of real time PCR is done with some
oligonucleotide probes labelled with both a reporter
fluorescent dye and a quencher dye. Probes based on
different chemistries are available for real time
detection, these include:
0 a. Molecular Beacons
b. TaqMan® probe
c. Hybridization Probe
d. Scorpion Probe
Advantages
0 Quantification of gene expression
0 Genotyping
0 Methylation detection
0 DNA damage measurement
0 Viral quantification
Digital PCR
0 Digital PCR is a new approach to nucleic acid detection and
quantification that uses molecular counting. It offers an
alternate method to conventional real-time quantitative
PCR for absolute quantification and rare allele detection
relative.
0 Digital PCR works by partitioning a sample of DNA or cDNA
into many individual, parallel PCR reactions; some of these
reactions contain the target molecule (positive) while
others do not (negative).
0 A single molecule can be amplified a million-fold or more.
During amplification, TaqMan® chemistry with dye-
labelled probes is used to detect sequence-specific targets.
When no target sequence is present, no signal
accumulates. Following PCR analysis, the fraction of
negative reactions is used to generate an absolute count of
the number of target molecules in the sample, without the
need for standards or endogenous controls.
0 The use of a nanofluidic chip provides a convenient
and straightforward mechanism to run thousands of
PCR reactions in parallel.
0 Each well is loaded with a mixture of sample, master
mix, and TaqMan® Assay reagents, and individually
analyzed to detect the presence (positive) or absence
(negative) of an endpoint signal.
0 To account for wells that may have received more
than one molecule of the target sequence, a correction
factor is applied using the Poisson model.
Advantages of digital PCR
0 No need to rely on references or standards
0 Ability to increase precision by using more PCR
replicates
0 High tolerance to inhibitors
0 Capability to analyze complex mixtures
0 Linear detection of small-fold changes
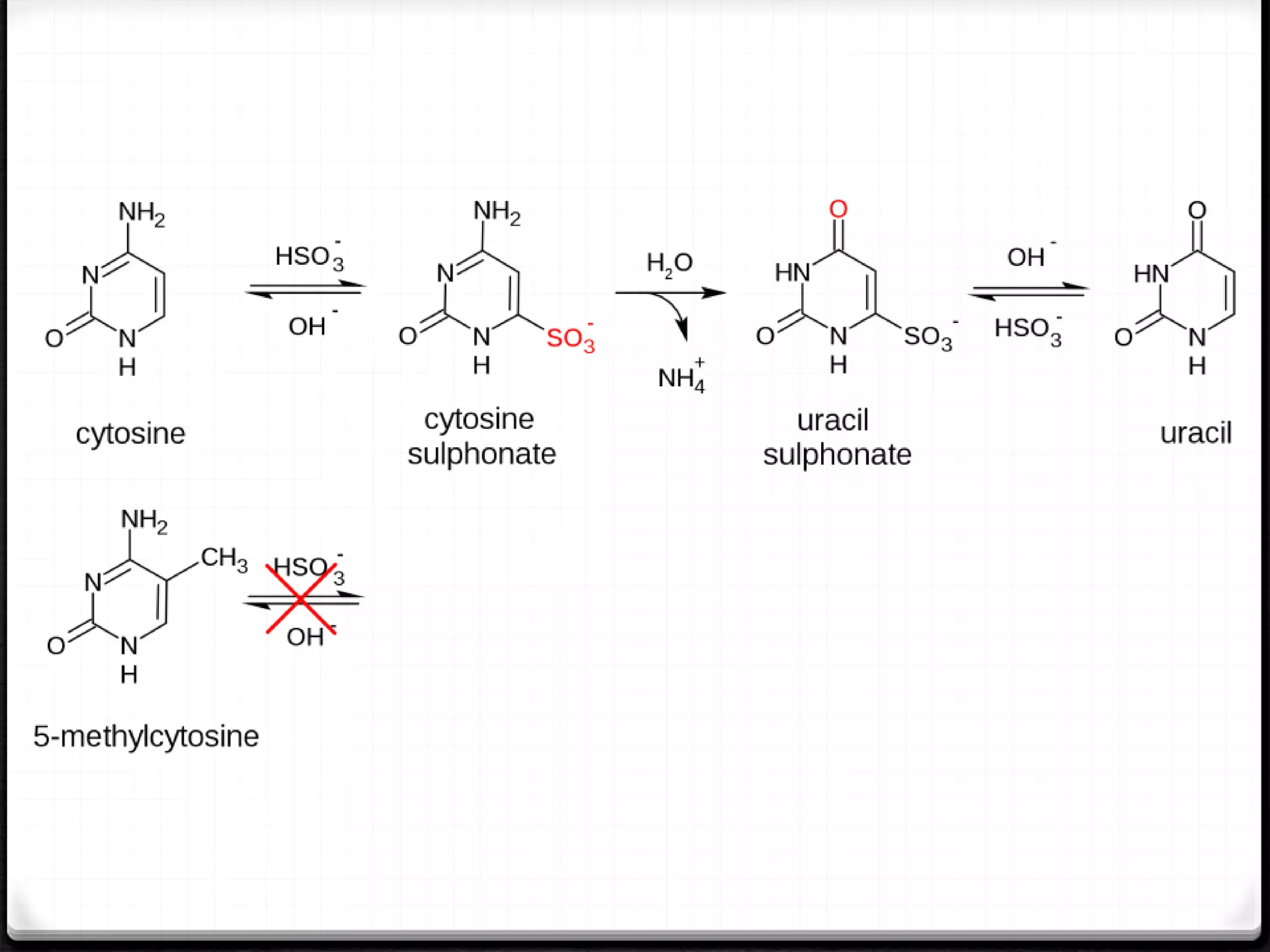
0 Methylation-specific PCR (MSP) is a method for
analysis of DNA methylation patterns in CpG islands.
0 For performing MSP, DNA is modified by and PCR
performed with two primer pairs, which are
detectable methylated and unmethylated DNA,
respectively.
0 MSP is a rapid measure for accession of the
methylation status in CpG island.
Methylation specific PCR
0 Target DNA is first treated with sodium bisulphite,
which converts unmethylated cytosine bases to uracil,
which is complementary to adenosine in PCR primers.
0 Two amplifications are then carried out on the
bisulphite-treated DNA: One primer set anneals to
DNA with cytosines (corresponding to methylated
cytosine), and the other set anneals to DNA with
uracil (corresponding to unmethylated cytosine).
0 MSP used in Q-PCR provides quantitative information
about the methylation state of a given CpG island.
advantage
0 Excessive methylation of CpG dinucleotides in
promoter represses the gene expression. In cancer,
especially, gene silencing is occurred through aberrant
methylation in promoter of tumor suppressor genes.
Ligation mediated PCR
0 Ligation-mediated PCR uses small DNA
oligonucleotide 'linkers' (or adaptors) that are first
ligated to fragments of the target DNA. PCR primers
that anneal to the linker sequences are then used to
amplify the target fragments. This method is
developed for DNA sequencing, genome walking,
and DNA footprinting.
0 In this protocol, cleaved DNA is denatured and a gene-
specific primer (primer 1) is annealed to the region of
interest. In the first-strand synthesis, this primer is
extended with a processive polymerase (Vent DNA
polymerase) to the cleavage site to create a blunt end. DNA
ligase catalyzes the attachment of a unidirectional
(staggered) linker to this blunt end.
0 The 3’end of the longer strand of the linker is ligated to the
5’end of the genomic DNA. The shorter strand of the linker
lacks a 5’phosphate and therefore is not ligated to the
extension product of the gene-specific primer. The DNA is
denatured and a second gene-specific primer (primer 2) is
annealed to the genomic DNA and extended by Vent DNA
polymerase through the ligated linker regionThe extended
product is now a suitable substrate for a PCR reaction
overlap extension polymerase
chain reaction (or OE-PCR)
0 The overlap extension polymerase chain
reaction (or OE-PCR) is a variant of PCR It is also
referred to as Splicing by overlap
extension / Splicing by overhang extension (SOE)
PCR. It is used to insert specific mutation at specific
points in a sequence or to splice smaller DNA
fragments into a larger polynucleotide.
To splice two DNA molecules,
0 special primers are used at the ends that are to be
joined. For each molecule, the primer at the end to be
joined is constructed such that it has a 5' overhang
complementary to the end of the other molecule.
0 Following annealing when replication occurs, the
DNA is extended by a new sequence that is
complementary to the molecule it is to be joined to.
Once both DNA molecules are extended in such a
manner, they are mixed and a PCR is carried out with
only the primers for the far ends. The overlapping
complementary sequences introduced will serve as
primers and the two sequences will be fused.
To insert a mutation into a DNA
sequence
0 a specific primer is designed. The primer may contain
a single substitution or contain a new sequence at its
5' end. If a deletion is required, a sequence that is 5' of
the deletion is added, because the 3' end of the primer
must have complementarity to the template strand so
that the primer can sufficiently anneal to the template
DNA.
0 Following annealing of the primer to the template,
DNA replication proceeds to the end of the template.
The duplex is denatured and the second primer
anneals to the newly formed DNA strand, containing
sequence from the first primer. Replication proceeds
to produce a strand of the required sequence,
containing the mutation.
MINIPRIMER PCR
0 This reaction uses a thermostable polymerase (S-Tbr)
that can extend from short primers ("smalligos") as
short as 9 or 10 nucleotides. This method permits PCR
targeting to smaller primer binding regions, and is
used to amplify conserved DNA sequences, such as the
16S (or eukaryotic 18S) rRNA gene
VARIABLE NUMBER OF TANDEM
REPEATS (VNTR) PCR
0 This method targets areas of the genome that exhibit
length variation. The analysis of the genotypes of the
sample usually involves sizing of the amplification
products by gel electrophoresis. Analysis of smaller
VNTR segments known as Short Tandem Repeats (or
STRs) is the basis for DNA Fingerprinting databases
such as CODIS
SOLID PHASE PCR
0 encompasses multiple meanings, including Colony
Amplification (where PCR colonies are derived in a gel
matrix, for example), 'Bridge PCR' (primers are covalently
linked to a solid-support surface), conventional Solid Phase
PCR (where Asymmetric PCR is applied in the presence of
solid support bearing primer with sequence matching one
of the aqueous primers) and Enhanced Solid Phase PCR
(where conventional Solid Phase PCR can be improved by
employing high Tm and nested solid support primer with
optional application of a thermal 'step' to favor solid
support priming).
0 COLD-PCR (co-amplification at lower denaturation
temperature-PCR) is a modified PCR protocol that
enriches variant alleles from a mixture of wildtype
and mutation-containing DNA.
0 InterSequence-Specific PCR (or ISSR-PCR) is
method for DNA fingerprinting that uses primers
selected from segments repeated throughout a
genome to produce a unique fingerprint of amplified
product lengths.
The use of primers from a commonly repeated
segment is called Alu PCR, and can help amplify
sequences adjacent (or between) these repeats.
Universal fast walking PCR
0 Universal fast walking (UFW) is a powerful new PCR-
based approach for the determination of DNA
sequence flanking a known region.
0 Used for genome walking and genetic fingerprinting
using a more specific 'two-sided' PCR than
conventional 'one-sided' approaches by virtue of a
mechanism involving lariat structure formation.
Quantitative PCR (QPCR)
0 In quantitative PCR (QPCR), the amount of amplified
product is linked to fluorescence intensity using a
fluorescent reporter molecule. The point at which the
fluorescent signal is measured in order to calculate
the initial template quantity can either be at the end
of the reaction (endpoint semi- quantitative PCR) or
while the amplification is still progressing (real- time
QPCR).
0 In endpoint semi- quantitative PCR, fluorescence
data are collected after the amplification reaction has
been completed, usually after 30– 40 cycles, and this
final fluorescence is used to back- calculate the
amount of template present prior to PCR. This method
of quantification can give somewhat inconsistent
results
End point variation in semi qpcr
Polymerase chain reaction and its types

Polymerase chain reaction and its types

  • 2.
    What is PCR? 0Polymerasechain reaction or PCR is a technique that results in exponential amplification of a desired region of a DNA molecule in vitro.
  • 3.
    0With this technique,small amounts the genetic material can be amplified (i.e., to make a huge number of copies of a DNA) to be able to identify and manipulate DNA, detect infectious organisms, detect genetic variations including mutation in human genes and numerous other tasks.
  • 4.
    History 0 The ofPCR technique was invented by Kary Mullis, a Research Scientist at a California Biotech Company, Cetus, in 1983. 0 For this work, Mullis received the 1993 Noble Prize in Chemistry.
  • 5.
    PCR 0why “Polymerase”? Because theonly enzyme used in the reaction is DNA polymerase. 0Why “Chain” ? Because the products of the first reaction become the substrates of the following one and so on.
  • 6.
    Setting up PCRReaction 0 Constituents of PCR reaction : 1. Target DNA 2. Pair of primers 3. dNTPs 4. Thermostable DNA Polymerase 5. Mg++ ions 6. Buffer solution 0 Steps in PCR reaction : 1. Denaturation 2. Annealing 3. Extension
  • 7.
  • 8.
  • 9.
    Types of PCR 0PCR is of different types 1. Inverse PCR 2. Multiplex PCR 3. Hot start PCR 4. Nested PCR 5. In situ PCR 6. Long PCR 7. Colony PCR 8. Real time PCR 9. Touch down PCR 10. Band stab PCR
  • 10.
    11. Reverse transcriptase PCR 12.Degenerate PCR 13. Anchored PCR 14. Asymmetric PCR 15. Assembly PCR 16. Quantitative PCR 17. Methylation specific PCR 18. Ligation mediated PCR 19. Allele specific PCR 20.Digital PCR 21. Overlap Extension PCR 22. Solid phase PCR 23. Miniprimer PCR 24. Universal fast walking PCR 25.VNTR PCR 26. ISSR PCR 27. Semi quantitative PCR 28. Differential display reverse transcriptase PCR
  • 11.
    1.Inverse PCR 0 Alsok/a inverted PCR or inside out PCR. 0 It is used to amplify unknown DNA segment that flanks one end of known DNA sequence for which no primers are available. .
  • 12.
    Inverse PCR Steps 0Target DNA is lightly cut into smaller fragments of several kilobases by restriction endonuclease digestion. 0 Self-ligation is induced under low concentrations causing the phosphate backbone to reform. This gives a circular DNA ligation product. 0 Target DNA is then restriction digested with a known endonuclease. This generates a cut within the known internal sequence generating a linear product with known terminal sequences. This can now be used for PCR (polymerase chain reaction). 0 Standard PCR is conducted with primers complementary to the now known internal sequences
  • 14.
    significance 0 Amplification andidentification of sequences flanking transposable elements. 0 Cloning of unknown cDNA sequences from total RNA. 0 Construction of end specific probes for chromosome walking. 0 Amplification of integration sites used by viruses and transgenes.
  • 15.
    2.Multiplex PCR 0 MultiplexPCR is a widespread molecular biology technique for amplification of multiple targets in a single PCR experiment. 0 In a multiplexing assay, more than one target sequence can be amplified by using multiple primer pairs in a reaction mixture. 0 Generally up to eight primer pairs c/b used in a standard multiplex reaction, otherwise the yield of some amplicons is reduced and not visible on agarose gel.
  • 16.
  • 18.
    0 Following pointss/b considered during multiplex PCR: 1. Make sure that all target templates c/b amplified in separate reactions by the same PCR program. 2. Optimize the amount of primer pairs in the reaction. 3. Mg2+ concentration is kept higher than the optimal range, if the reaction is partial for smaller products.
  • 19.
    3.Hot start PCR 0In conventional PCR, the Taq DNA polymerase is active at room temperature and to a lesser degree, even on ice. In some instances, when all the reaction components are put together, nonspecific primer annealing can occur due to these low temperatures. This nonspecific annealed primer can then be extended by the Taq DNA polymerase, generating nonspecific products and lowering product yields. 0 The hot start PCR is a modified form of Polymerase chain reaction (PCR) which avoids a non-specific amplification of DNA by inactivating the taq polymerase at lower temperature.
  • 20.
    0 Manual method: PreviouslyHot start PCR was performed manually i.e., by adding an essential component of the reaction mixture only after heating to an elevated temperature. 0 Semi-automated method; • Here the primers, Mg2+, buffer and dNTPs are mixed together at the room temperature in the bottom of the PCR tube and then covered with melted wax(e.g., Ampliwax PCR Gems from Perkin-ELMER). • The wax solidifies on cooling and limits the reagent to the bottom of the tube. • The remaining components are then added on top of the barrier.
  • 21.
    • Wax layermelts upon heating during the denaturation step and mixes the two layers allowing a fully active reaction to occur. 0 Automated method: • Taq DNA polymerase directed Abs, as thermolabile inhibitors of enzymes are used which at low temperature, (ambient temp for Ag-Ab reaction) block the action of polymerase. • Now when the temperature raises for amplification to 72℃, the specific antibody detaches from Taq-polymerase and the amplification with greater specificity starts. • Different Taq DNA polymerases with Abs or ligands are commercially available e.g., Amplitaq Gold DNA polymerase, TaqStart, TthStart, Platinum Taq polymerase.
  • 22.
    0 Advantage- reducesnon specific amplification, increases specificity, sensitivity, precision of amplification of low copies of target DNA. It is used in multiplex PCR where multiple primer pairs are used to amplify multiple sequences as it prevents dimer formation.
  • 23.
    4.Colony PCR 0Colony PCRis used for the screening recombinants from bacterial, bacteriophage or yeast transformation products.
  • 24.
    STEPS • Selected coloniesof bacteria or yeast are picked with a sterile toothpick or pipette tip from a growth plate. • Swirl it into 25micro l of TE buffer with autoclaved d H2O in an micro centrifuge tube • Heat the mix in boiling water bath at 90-100c for 2 mins • Again centrifuge it at 6000 rpm • Collect the supernatant. Take 1-2 micro l of it and it is used as template in a 25micro l PCR tube • Conduct standard PCR
  • 25.
    significance 0 Colony PCRis a fast and reliable method for the screening of recombinants. 0 A no of colonies or plaques c/b assayed simultaneously and there is no need to store large no of transformed clones for long periods. 0 This method c/b used for cDNA library screening.
  • 26.
    5.Nested PCR 0 Twopairs instead of one pair of PCR primers are used to amplify a fragment. 0 First pair amplifies a fragment similar to standard PCR. 0 Second pairs bind inside the 1st PCR product fragment allow amplification of 2nd PCR product which is shorter than the 1st one.
  • 28.
    0 Advantage –very low probability of non-specific amplification. 0 It is most commonly used to specifically amplifying long DNA fragments than conventional PCR, but it requires more detailed knowledge of target sequences.
  • 29.
    6.Long PCR 0 Itis a PCR, which is extended longer than standard PCR, over 5kbp ( frequently over 10kbp ). 0 In standard PCR it is very difficult to get long PCR product, due to damage of template and products on exposure to high temperature and difficulties in denaturing of long DNA molecules. 0 In long PCR a special mixture of proficient polymerases along with accurate polymerases like pfu are mixed together.
  • 30.
    0 There recentreports of amplification of 42 kbps with the blend of enzymes primarily containing non- proofreading polymerase with a very small amount of reading polymerase for example, 0 45:1 Tth DNA polymerase- 22kbp 0 125:1 Tth DNA polymerase- 39kbp 0 160:1 to 640:1 klentaq- 35kbp 0 This type of PCR is useful only if it is accurate.
  • 31.
    7.Touchdown PCR 0 Thistype of PCR is used to optimize yield of amplified product at different annealing temperature. 0 It is very difficult to find out the annealing temperature when there is mismatches between primers and the template strands.
  • 32.
    0 In TouchdownPCR, the Ta during the first 2 cycles is set at ~3C above the calculated Ta. The annealing temperature is then reduced by 1C for every 1 or 2 cycles. 0 Amplification of the specific target DNA starts when optimum Ta is achieved. 0 The higher temperatures - greater specificity for primer binding 0 lower temperature - more efficient amplification from the specific products formed during the initial cycles
  • 33.
    Cont.… 0 It isthe quickest method to optimize PCR when it is required to use new template and primer combinations. 0 Nowadays, modern PCR machine which have the facility of gradient setting are easily programmed to run Touchdown PCR.
  • 34.
    8.In situ PCR 0It is a collective term used to describe amplification of DNA and RNA template by PCR and its subsequent detection within the histological tissue section or cell preparation. 0 It c/b performed in a fixed tissue or cells or on a slide.
  • 36.
    0 Detection ofproducts is done by in situ hybridisation. 0 It is somewhat difficult to detect the genes of low copy number by in situ PCR as it is below the detection limit.
  • 37.
    9.Asymmetric PCR 0 Instandard PCR, amplification of ds DNA occurs exponentially during the early stages of PCR, but in the end slows down and plateau is formed because of –ve feed back between the ds products and the Taq DNA polymerase. 0 The plateau value in standard PCR is unsuitable for end point analysis of starting target numbers
  • 39.
    0 In asymmetricPCR, the end product is a single stranded DNA as a result of unequal primer concentration. 0 PCR is carried out as usual, but with a great excess of the primer for the strand targeted for amplification. 0 As asymmetric PCR proceeds, the lower concentration primer is quantitatively incorporated into the ds DNA. 0 The higher concentration of primer continues synthesis of DNA out of the template strand in a linear amplification.
  • 40.
    Abundant primer Limiting primer PCR ssDNA ds DNA Asymmetric PCR
  • 41.
    0 Asymmetric PCRis useful in end point analysis. 0 The advanced form of asymmetric PCR, Linear-After- The-Exponential PCR(LATE PCR) uses a limiting primer and a excess primer that differ 10-50 folds in their relative concentration .
  • 42.
    10.Band-stab PCR 0 Whenthe yield of amplicons is very low, then the desired fragment c/b recovered by gel electrophoresis and reamplified, with which is k/a Band-stab PCR. 0 In this type of PCR, EtBr stained agarose gel is analyzed by UV illumination and excess fluid is removed by placing a Whatman 3mm paper on the surface of the gel. 0 Each band of interest is sampled carefully with the help of hypodermic needle. The DNA of that band is reamplified by nested primer.
  • 43.
    0 The templateis kept in the PCR mixture for 1 hr or 2 before commencement of reaction so that the DNA diffuses into the mixture.
  • 44.
    11.Anchored PCR 0 Avariation of the PCR technique that is applied to dsDNA fragments for which the sequence at only one end of the gene is known. 0 The technique allows amplification of a complete sequence of a gene when 5’ sequence of molecule of interest is unknown. 0 A short polynucleotide of known sequence is ligated to the 3'-ends of the dsDNA ( catalyzed by the terminal deoxynucleotidyl transferase) so that a primer complementray to it can be added, along with the primer determined from the partial protein sequence.
  • 46.
    limitations 0 It isrelatively difficult protocol. 0 Large amount of starting templates are required. 0 It generates nonspecific products due to use of homopolymer containing primers in the PCR.
  • 47.
    Reverse transcriptase PCR 0In RT-PCR, the RNA template is first converted into a complementary DNA (cDNA) using a reverse transcriptase enzyme. The cDNA is then used as a template for exponential amplification using PCR.
  • 48.
    RT PCR procedureconstitutes two steps 0 First Strand Reaction- RNA strand i.e., mRNA strand is first reverse transcribed into ss cDNA template using dNTPs and RNA- dependent DNA polymerase (reverse transcriptase) through the process of reverse transcription. 0 second Strand Reaction- After the cDNA is generated, standard PCR is initiated. After ~35 cycles, millions of copies of the sequence of interest are generated. The original RNA template is degraded by Rnase H leaving pure cDNA.
  • 50.
    0 Depending onthe requirement, the primer for first cDNA strand synthesis can be of 2 types; 1. oligo dT is used as universal primer which binds to poly (A) tail of mRNA; and 2. reverse primers are specifically designed which can hybridize to a particular target genes or defined mRNA family. 0 The reverse transcriptase is RNA dependent DNA polymerase which is used for cDNA synthesis. The most commonly used and commercially available RT are : AMV ( Avian Myelobastosis Virus) RT Mo- MLV (Moloney Murine Leukemia Virus) RT
  • 51.
    One step &two step RT-PCR 0 The quantification of mRNA using RT-PCR can be achieved as either a one-step or a two-step reaction. 0 The difference between the two approaches lies in the number of tubes used when performing the procedure. 0 In the one-step approach, the entire reaction from cDNA synthesis to PCR amplification occurs in a single tube. 0 In two-step reaction requires that the reverse transcriptase reaction and PCR amplification be performed in separate tubes. However, the starting RNA templates are prone to degradation in the one-step approach, and the use of this approach is not recommended when repeated assays from the same sample is required.
  • 52.
    Advantage 0 Useful ingenerating large cDNA libraries from small amounts of mRNA.
  • 53.
    Degenerate PCR 0 DegeneratePCR is similar to standard PCR, except, that instead of using specific primers of a given sequence, mixed primers are used in degenerate PCR. 0 In this type of PCR, the selection and designing of primers is done basing on the property of degeneracy of codon i.e., different codons may code for single amino acid. 0 Usually many codon families share the first two bases and vary only at the 3rd position of the codon.
  • 55.
    0 So, thedegenerate DNA primers can be designed such that these have a mixture of all possible bases in every 3rd position. 0 For example; if the protein motif is : Met-Trp-Asp-Arg-Lys-Glu-Ala-Cys & the probable codon will be: ATG-TGG-GAC(T)-CGT(CAG)-AAA(G)-GAA(G)- GCT(CAG)-TGT(C) Thus, corresponding primer is : ATG – TGG - GAC/T - CGT/C/A/G - AAA/G - GAA/G - GCT/C/A/G - TGT/C
  • 56.
    0 Such degenerateprimers, which have a number of positions in the sequence, allow annealing and amplification of a variety related sequences. 0 In simple words, a degenerate primer is a mixture of closely related primers, and the gene of interest is recognized by one of the primers from this mixture. 0 Deoxyinosine(dI) can be used instead of mixed oligos at degenerate positions. This makes complementary base pairs with any other base, effectively giving a 4- fold degeneracy at any position.
  • 57.
    Uses 0 To findthe corresponding gene when the amino acid sequence of a protein is known. 0 To clone the homologous gene from another source (say rice) when the gene of interest from one source (say Arabidopsis) has been found. 0 To study gene families.
  • 58.
    Assembly PCR 0 AssemblyPCR (also known as Polymerase Cycling Assembly or PCA) is the synthesis of long DNA structures by performing PCR on a pool of long oligonucleotides with short overlapping segments, to assemble two or more pieces of DNA into one piece. 0 It involves an initial PCR with primers that have an overlap and a second PCR using the products as the template that generates the final full-length product.
  • 59.
    Gibson Assembly 0 Amodification of this method, Gibson Assembly, described by Gibson et al.(2009) allows for single-step isothermal assembly of DNA with up to several hundreds Kb. By using T5 exonuclease to 'chew back' complementary ends, an overlap of about 40bp can be created. The reaction takes place at 50°C, a temperature where the T5 exonuclease is unstable. After a short time step it is degraded, the overlaps can anneal and be ligated using 2 enzymes; Phusion Polymerase and Taq DNA ligase.
  • 61.
    0 Adjacent segmentsshould have identical sequences on the ends (sequences A and B in the figures). These identical sequences can be created via PCR with primers that contain a 5' end that is identical to an adjacent segment and a 3' end that anneals to the target sequence.
  • 62.
    Why Gibson assembly? 0No need for specific restriction sites. Join almost any 2 fragments regardless of sequence. 0 No scar between joined fragments. 0 Fewer steps. One tube reaction. 0 Can combine many DNA fragments at once.
  • 63.
    Real- time PCR 0Real time PCR also k/a kinetic PCR, qPCR, qRT PCR and RT-qPCR, is a quantitative PCR method for the determination of copy number of PCR templates such as DNA or cDNA in a PCR reaction. 0 Real-time PCR monitors the fluoroscence emitted during the reaction as an indicator of amplicon production at each PCR cycle. 0 Thus in Real-time PCR one can visually see the progress of the reaction in “real time”.
  • 64.
    0 Based onthe molecule used for the detection, the real time PCR techniques can be categorically placed under two heads: 1. Non-specific Detection using DNA Binding Dyes 2. Specific Detection Target Specific Probes
  • 65.
    Non-specific Detection usingDNA Binding Dyes 0In real time PCR, DNA binding dyes are used as fluorescent reporters to monitor the real time PCR reaction. The fluorescence of the reporter dye increases as the product accumulates with each successive cycle of amplification. 0By recording the amount of fluorescence emission at each cycle, it is possible to monitor the PCR reaction during exponential phase. 0If a graph is drawn between the log of the starting amount of template and the corresponding increase the fluorescence of the reporter dye fluorescence during real time PCR, a linear relationship is observed.
  • 66.
    SYBR® Green isthe most widely used double-strand DNA- specific dye reported for real time PCR. SYBR® Green binds to the minor groove of the DNA double helix. In the solution , the unbound dye exhibits very little fluorescence. 0 This fluorescence is substantially enhanced when the dye is bound to double stranded DNA. SYBR® Green remains stable under PCR conditions and the optical filter of the thermocycler can be affixed to harmonize the excitation and emission wavelengths. Ethidium bromide can also be used for detection but its carcinogenic nature renders its use restrictive. 0 Although these double-stranded DNA-binding dyes provide the simplest and cheapest option for real time PCR, the principal drawback to intercalation based detection of PCR product accumulation is that both specific and nonspecific products generate signal.
  • 67.
    Specific Detection usingTarget Specific Probes 0 Specific detection of real time PCR is done with some oligonucleotide probes labelled with both a reporter fluorescent dye and a quencher dye. Probes based on different chemistries are available for real time detection, these include: 0 a. Molecular Beacons b. TaqMan® probe c. Hybridization Probe d. Scorpion Probe
  • 69.
    Advantages 0 Quantification ofgene expression 0 Genotyping 0 Methylation detection 0 DNA damage measurement 0 Viral quantification
  • 70.
    Digital PCR 0 DigitalPCR is a new approach to nucleic acid detection and quantification that uses molecular counting. It offers an alternate method to conventional real-time quantitative PCR for absolute quantification and rare allele detection relative. 0 Digital PCR works by partitioning a sample of DNA or cDNA into many individual, parallel PCR reactions; some of these reactions contain the target molecule (positive) while others do not (negative). 0 A single molecule can be amplified a million-fold or more. During amplification, TaqMan® chemistry with dye- labelled probes is used to detect sequence-specific targets. When no target sequence is present, no signal accumulates. Following PCR analysis, the fraction of negative reactions is used to generate an absolute count of the number of target molecules in the sample, without the need for standards or endogenous controls.
  • 71.
    0 The useof a nanofluidic chip provides a convenient and straightforward mechanism to run thousands of PCR reactions in parallel. 0 Each well is loaded with a mixture of sample, master mix, and TaqMan® Assay reagents, and individually analyzed to detect the presence (positive) or absence (negative) of an endpoint signal. 0 To account for wells that may have received more than one molecule of the target sequence, a correction factor is applied using the Poisson model.
  • 73.
    Advantages of digitalPCR 0 No need to rely on references or standards 0 Ability to increase precision by using more PCR replicates 0 High tolerance to inhibitors 0 Capability to analyze complex mixtures 0 Linear detection of small-fold changes
  • 74.
    0 Methylation-specific PCR(MSP) is a method for analysis of DNA methylation patterns in CpG islands. 0 For performing MSP, DNA is modified by and PCR performed with two primer pairs, which are detectable methylated and unmethylated DNA, respectively. 0 MSP is a rapid measure for accession of the methylation status in CpG island. Methylation specific PCR
  • 75.
    0 Target DNAis first treated with sodium bisulphite, which converts unmethylated cytosine bases to uracil, which is complementary to adenosine in PCR primers. 0 Two amplifications are then carried out on the bisulphite-treated DNA: One primer set anneals to DNA with cytosines (corresponding to methylated cytosine), and the other set anneals to DNA with uracil (corresponding to unmethylated cytosine). 0 MSP used in Q-PCR provides quantitative information about the methylation state of a given CpG island.
  • 78.
    advantage 0 Excessive methylationof CpG dinucleotides in promoter represses the gene expression. In cancer, especially, gene silencing is occurred through aberrant methylation in promoter of tumor suppressor genes.
  • 79.
    Ligation mediated PCR 0Ligation-mediated PCR uses small DNA oligonucleotide 'linkers' (or adaptors) that are first ligated to fragments of the target DNA. PCR primers that anneal to the linker sequences are then used to amplify the target fragments. This method is developed for DNA sequencing, genome walking, and DNA footprinting.
  • 80.
    0 In thisprotocol, cleaved DNA is denatured and a gene- specific primer (primer 1) is annealed to the region of interest. In the first-strand synthesis, this primer is extended with a processive polymerase (Vent DNA polymerase) to the cleavage site to create a blunt end. DNA ligase catalyzes the attachment of a unidirectional (staggered) linker to this blunt end. 0 The 3’end of the longer strand of the linker is ligated to the 5’end of the genomic DNA. The shorter strand of the linker lacks a 5’phosphate and therefore is not ligated to the extension product of the gene-specific primer. The DNA is denatured and a second gene-specific primer (primer 2) is annealed to the genomic DNA and extended by Vent DNA polymerase through the ligated linker regionThe extended product is now a suitable substrate for a PCR reaction
  • 82.
    overlap extension polymerase chainreaction (or OE-PCR) 0 The overlap extension polymerase chain reaction (or OE-PCR) is a variant of PCR It is also referred to as Splicing by overlap extension / Splicing by overhang extension (SOE) PCR. It is used to insert specific mutation at specific points in a sequence or to splice smaller DNA fragments into a larger polynucleotide.
  • 83.
    To splice twoDNA molecules, 0 special primers are used at the ends that are to be joined. For each molecule, the primer at the end to be joined is constructed such that it has a 5' overhang complementary to the end of the other molecule. 0 Following annealing when replication occurs, the DNA is extended by a new sequence that is complementary to the molecule it is to be joined to. Once both DNA molecules are extended in such a manner, they are mixed and a PCR is carried out with only the primers for the far ends. The overlapping complementary sequences introduced will serve as primers and the two sequences will be fused.
  • 85.
    To insert amutation into a DNA sequence 0 a specific primer is designed. The primer may contain a single substitution or contain a new sequence at its 5' end. If a deletion is required, a sequence that is 5' of the deletion is added, because the 3' end of the primer must have complementarity to the template strand so that the primer can sufficiently anneal to the template DNA. 0 Following annealing of the primer to the template, DNA replication proceeds to the end of the template. The duplex is denatured and the second primer anneals to the newly formed DNA strand, containing sequence from the first primer. Replication proceeds to produce a strand of the required sequence, containing the mutation.
  • 87.
    MINIPRIMER PCR 0 Thisreaction uses a thermostable polymerase (S-Tbr) that can extend from short primers ("smalligos") as short as 9 or 10 nucleotides. This method permits PCR targeting to smaller primer binding regions, and is used to amplify conserved DNA sequences, such as the 16S (or eukaryotic 18S) rRNA gene
  • 88.
    VARIABLE NUMBER OFTANDEM REPEATS (VNTR) PCR 0 This method targets areas of the genome that exhibit length variation. The analysis of the genotypes of the sample usually involves sizing of the amplification products by gel electrophoresis. Analysis of smaller VNTR segments known as Short Tandem Repeats (or STRs) is the basis for DNA Fingerprinting databases such as CODIS
  • 89.
    SOLID PHASE PCR 0encompasses multiple meanings, including Colony Amplification (where PCR colonies are derived in a gel matrix, for example), 'Bridge PCR' (primers are covalently linked to a solid-support surface), conventional Solid Phase PCR (where Asymmetric PCR is applied in the presence of solid support bearing primer with sequence matching one of the aqueous primers) and Enhanced Solid Phase PCR (where conventional Solid Phase PCR can be improved by employing high Tm and nested solid support primer with optional application of a thermal 'step' to favor solid support priming).
  • 90.
    0 COLD-PCR (co-amplificationat lower denaturation temperature-PCR) is a modified PCR protocol that enriches variant alleles from a mixture of wildtype and mutation-containing DNA. 0 InterSequence-Specific PCR (or ISSR-PCR) is method for DNA fingerprinting that uses primers selected from segments repeated throughout a genome to produce a unique fingerprint of amplified product lengths. The use of primers from a commonly repeated segment is called Alu PCR, and can help amplify sequences adjacent (or between) these repeats.
  • 91.
    Universal fast walkingPCR 0 Universal fast walking (UFW) is a powerful new PCR- based approach for the determination of DNA sequence flanking a known region. 0 Used for genome walking and genetic fingerprinting using a more specific 'two-sided' PCR than conventional 'one-sided' approaches by virtue of a mechanism involving lariat structure formation.
  • 93.
    Quantitative PCR (QPCR) 0In quantitative PCR (QPCR), the amount of amplified product is linked to fluorescence intensity using a fluorescent reporter molecule. The point at which the fluorescent signal is measured in order to calculate the initial template quantity can either be at the end of the reaction (endpoint semi- quantitative PCR) or while the amplification is still progressing (real- time QPCR).
  • 94.
    0 In endpointsemi- quantitative PCR, fluorescence data are collected after the amplification reaction has been completed, usually after 30– 40 cycles, and this final fluorescence is used to back- calculate the amount of template present prior to PCR. This method of quantification can give somewhat inconsistent results
  • 95.
    End point variationin semi qpcr