TRANSPORT PHENOMENA
Prof. Sunando DasGupta (3 classes)
and
Prof. Manish Kaushal (1 class)
Basic Overview
Over the last few decades, the subject has revolutionized the way
Chemical Engineering science is taught. This course deals with the
unified treatment of the different transport processes, ubiquitous in
industry as well as in nature. Momentum, heat and mass transfer are
taught together due to the underlying similarities of the mathematics and
molecular mechanisms describing such processes.
Books
1. Transport Phenomena by Bird, Stewart and Lightfoot (Wiley)
2. Transport Phenomena Fundamentals by J. L. Plawsky (CRC Press)
3. Heat and Mass Transfer – A Transport Phenomena Approach by K. S. Gandhi (New Age)
4. Fluid Mechanics by R. W. Fox, P. J. Pritchard and A. T. McDonald (Wiley)
5. Introduction to Heat and Mass Transfer by F. P. Incropera & D. P. DeWitt (Wiley)
TRANSPORT PHENOMENA
Grading: 2-3 class tests for TA, relative grading
Course Plan
Formulation and solution of momentum transfer in laminar flow.
Navier-Stokes equation and its applications
Boundary Layer concepts, boundary layer thicknesses (disturbance, displacement
and momentum), Blasius solution for flow over a flat plate
Use of momentum integral equation, turbulent boundary layers, fluid flow about
immersed bodies, drag
Formulation and solution of heat transfer in laminar flow
Development and use of energy equation
Transient conduction - lumped capacitance, analytical solutions and other methods.
Formulation and solution of mass transfer in laminar flow. Development and use of
species balance equation
Introduction to convective flow, natural convection, relevant examples from heat
and mass transfer
Mathematical treatment of the similarities between heat, mass and momentum
transfer, similarity parameters, and relevant analogies.
Solution of coupled heat, mass and momentum transfer problems based on analogy.
Phenomenological Relations
Governing Equations
Re Pr Sc
f Nu Sh
f = f (Re) Nu=f (???) Sh = f (???)
TRANSPORT PHENOMENA
Application of Navier Stokes Equations
Equation of Motion –
Navier Stokes equation
/ [ . ]
Dv Dt p g
  
= − −  +
𝜕𝑣𝑥
𝜕𝑥
+
𝜕𝑣𝑦
𝜕𝑦
+
𝜕𝑣𝑧
𝜕𝑧
= 0
𝜌
𝜕 𝑣𝑧
𝜕𝑡
+ 𝑣𝑥
𝜕 𝑣𝑧
𝜕𝑥
+ 𝑣𝑦
𝜕 𝑣𝑧
𝜕𝑦
+ 𝑣𝑧
𝜕 𝑣𝑧
𝜕𝑧
= −
𝜕 𝑃
𝜕𝑧
+ 𝜇
𝜕2 𝑣𝑧
𝜕𝑥2
+
𝜕2 𝑣𝑧
𝜕𝑦2
+
𝜕2 𝑣𝑧
𝜕𝑧2
+ 𝜌 𝑔𝑧
Continuity Equation
Cartesian Coordinate – z component
Relevant Boundary Conditions
No slip at the liquid-solid interface
No shear at the liquid-vapor interface
6
The Equation of Continuity
The Equation of Motion for a Newtonian Fluid with constant μ, ρ
The Navier Stokes Equation
The record-write head for a computer disk storage system floats
above the spinning disk on a very thin film of air (the film
thickness is 0.5micron). The head location is 150mm from the
disk centre line, the disk spins at 3600rpm. The record-write
head is 10mm x 10mm square. Determine for standard air
(density=1.23kg/m3, viscosity=1.78x10-5 kg/(m.s)) in the gap
between the head and the disk -
(a) the Reynold's number of the flow, (b) the viscous shear stress
and (c) the power required to overcome viscous shear stress.
For such a small gap the flow can be considered as flow
between parallel plates.
Transport Phenomena - Momentum Transfer
10
11
Flow between parallel plates
Couette Flow Pressure gradient Driven Flow
Couette and Pressure gradient Driven Flow
U
U
dP/dx < 0
dP/dx < 0
V
V
V
Solution
Since the gap is too small, the situation can be approximated by the
case of flow between two parallel plates with one plate moving and
the other stationary with no applied pressure gradient.
Here,
V=Rω = 0.15 m x 3600 rev/min x 2 π rad/rev x 1/60 min/s=56.5 m/s
Re = (ρ V a)/µ = (V a)/(μ/ρ) = 56.5 m/s x 0.5 x 10 -6 m/(1.45 x 10 -5
m2 /s) = 1.95 (Laminar Flow)
For Couette flow between two parallel plates, with no applied
pressure gradient, the velocity profile will be linear with no-slip
boundary conditions at the bottom (stationary) and top (moving)
plates.
12
Therefore, the shear stress, τ, can be expressed as
τ = μdu/dy = μ V/a (linear velocity profile)
τ=1.78 x 10 – 5 kg /(m.s) x 56.5 m/s x 1/(0.5x10 – 6 m) = 2.01 KN/m2
Therefore,
Force, F = τ A = τ x (W x L), Torque, T = F x R = τ x (WL) x R
Power dissipation rate. P = T x ω = τ WL R ω
P = 2.01x10- 3 x 0.01x 0.01 x 0.15 x 3600 x 2π x 1/60 = 11.4 W
Thus the power required to overcome viscous shear stress is 11.4 W
13
Transport Phenomena - Momentum Transfer
Problem 2
An oil skimmer uses a 5 m
wide x 6 m long moving
belt above a fixed platform
( = 30º) to skim oil off of
rivers (T = 10ºC). The belt
travels at 3 m/s. The
distance between the belt
and the fixed platform is 2
mm.
The belt discharges into an open tank on the ship. The fluid is actually a
mixture of oil and water. To simplify the analysis, assume crude oil
dominates. Find the discharge of oil into the tank on the ship, the force
acting on the belt and the power required (kW) to move the belt. For oil:
 = 860 kg/m3, viscosity,  = 1x10 – 2N.s/m2
14
The x-component of the equation of motion is given as
𝜌
𝜕 𝑢
𝜕𝑡
+ 𝑢
𝜕 𝑢
𝜕𝑥
+ 𝑣
𝜕 𝑣
𝜕𝑦
+ 𝑤
𝜕 𝑤
𝜕𝑧
= −
𝜕 𝑃
𝜕𝑥
+ 𝜇
𝜕2
𝑢
𝜕𝑥2
+
𝜕2
𝑢
𝜕𝑦2
+
𝜕2
𝑢
𝜕𝑧2
+ 𝜌 𝑔𝑥
15
Considering one-dimensional flow (v = 0 = w), no
applied pressure gradient, u is a function of only y, and a
steady state process, the above equation reduces to the
following governing equation
𝑑2𝑢
𝑑𝑦2 =
𝜌𝑔
𝜇
sinθ
The relevant boundary conditions (no slip) are
BC 1 At y = 0 u = 0
BC 2 At y = h, u = U
Therefore,
𝑑𝑢
𝑑𝑦
=
𝜌𝑔𝑠𝑖𝑛𝜃
𝜇
𝑦 + 𝐴 𝑎𝑛𝑑 𝑢 =
𝜌𝑔𝑠𝑖𝑛𝜃
𝜇
𝑦2
2
+ 𝐴𝑦 + 𝐵
Applying the BC s ➔ B = 0 and 𝐴 =
𝜌𝑔𝑠𝑖𝑛𝜃
𝜇
ℎ
2
+
𝑢
ℎ
Thus
𝑢 = −
𝜌𝑔𝑠𝑖𝑛𝜃
𝜇
ℎ𝑦
2
−
𝑦2
2
+
𝑈𝑦
ℎ
The volumetric flow rate per unit width of the film is given by
𝑄 = න
0
ℎ
𝑢𝑑𝑦 = − න
0
ℎ
𝜌𝑔𝑠𝑖𝑛𝜃
𝜇
ℎ𝑦
2
−
𝑦2
2
+
𝑈𝑦
ℎ
𝑑𝑦 = −
𝜌𝑔ℎ3
12𝜇
𝑠𝑖𝑛𝜃 +
𝑈ℎ
2
17
𝑄 = −
860 𝑥 9,81 𝑥 0.002
12 𝑥 10−2 sin 30 +
3 𝑥 0.002
2
= 0.0027
𝑚2
𝑠
(𝑝𝑒𝑟 𝑢𝑛𝑖𝑡 𝑤𝑖𝑑𝑡ℎ)
For the width of 5 m, the volumetric flow rate will be equal to 0.0135 m3/s.
Evaluate τ = μ du/dy at the moving belt from the expression for velocity as
𝑑𝑢
𝑑𝑦
= −
𝜌𝑔𝑠𝑖𝑛𝜃
𝜇
ℎ
2
− 𝑦 +
𝑈
ℎ
And at the moving belt,
𝜏 = 𝜇
𝑑𝑢
𝑑𝑦 𝑦 = ℎ =
𝜌𝑔𝑠𝑖𝑛𝜃
2
ℎ +
𝜇𝑈
ℎ
Using the values h = 0.002m, μ = 10-2N.s/m2 and U = 3 m/s
τ│at the belt = 19.21 N/m2
Power = (τ x L x W) U = 19.21 x 6 x 5 x 3 = 1.73 KW
18
Consider two concentric
cylinders with a Newtonian
liquid of constant density,
ρ, and viscosity, μ,
contained between them.
The outer pipe, with radius,
Ro, is fixed while the inner
pipe, with radius, Ri, and
mass per unit length, m,
falls under the action of
Transport Phenomena - Momentum Transfer
Problem 3
19
gravity at a constant speed. There is no pressure gradient within the flow and no
swirl velocity component. Determine the vertical speed, V, of the inner cylinder as a
function of the following parameters: g, Ro, Ri, m, ρ, and μ. The space between the
two cylinders is not ‘too small’ compared to the radii of the cylinders
Solution
For the inner cylinder moving at constant velocity, the downward force
is exactly balanced by the viscous force as
𝜏𝑤 𝐴𝑤 │𝐼𝑛𝑛𝑒𝑟 𝐶𝑦𝑙𝑖𝑛𝑑𝑒𝑟 = 𝑚 𝐿 𝑔
The z component of the equation of motion in cylindrical coordinate is
Cancelling the terms with the observations i) steady state, ii) vz is a
function of r only, not of z or θ, iii) no applied pressure gradient
The following simplified form of the NS equation can be obtained.
𝜌
𝜕𝑣𝑧
𝜕𝑡
+ 𝑣𝑟
𝜕𝑣𝑧
𝜕𝑟
+
𝑣𝜃
𝑟
𝜕𝑣𝑧
𝜕𝜃
+ 𝑣𝑧
𝜕𝑣𝑧
𝜕𝑧
= −
𝜕𝑝
𝜕𝑧
+ µ
1
𝑟
𝜕
𝜕𝑟
𝑟
𝜕𝑣𝑧
𝜕𝑟
+
1
𝑟2
𝜕2𝑣𝑧
𝜕𝜃2 +
𝜕2𝑣𝑧
𝜕𝑧2 + 𝜌𝑔𝑧
20
1
𝑟
𝑑
𝑑𝑟
𝑟
𝑑𝑣𝑧
𝑑𝑟
= −
𝜌𝑔
𝜇
𝑣𝑧 = −
𝜌𝑔𝑟2
4𝜇
+ 𝐶1 ln 𝑟 + 𝐶2
Upon integration (with C1 and C2 being the constants of integration)
Governing equation
Boundary Conditions
vz = V at r = Ri => 𝑉 = −
𝜌𝑔
4𝜇
𝑅𝑖2
+ 𝐶1 ln 𝑅𝑖 + 𝐶2
vz = 0 at r = Ro => 0 = −
𝜌𝑔
4𝜇
𝑅𝑜2
+ 𝐶1 ln 𝑅𝑜 + 𝐶2
21
𝑉 =
𝜌𝑔
4𝜇
𝑅𝑜2
− 𝑅𝑖2
+ 𝐶1 ln
𝑅𝑖
𝑅𝑜
𝐶1 =
1
ln
𝑅𝑖
𝑅𝑜
𝑉 −
𝜌𝑔
4𝜇
𝑅𝑜2
− 𝑅𝑖2
Therefore
𝑑𝑣𝑧
𝑑𝑟
= −
𝜌𝑔𝑟
2𝜇
+
𝐶1
𝑟
𝜏𝑟𝑧 = 𝜇
𝑑𝑣𝑧
𝑑𝑟
= −
𝜌𝑔𝑟
2
+
𝐶1𝜇
𝑟
Since the force on the inner cylinder = force due to gravity
Upon substitution for the expression of the shear stress
𝜏│𝑟=𝑅𝑖 2𝜋𝑅𝑖𝐿 = 𝑚 𝐿 𝑔
𝑉 = 𝑅𝑖 ln
𝑅𝑖
𝑅𝑜
𝜌𝑔𝑅𝑖
2𝜇
−
𝑚𝑔
2𝜋𝑅𝑖𝜇
−
𝜌𝑔
4𝜇
𝑅𝑖
2
− 𝑅0
2
22
Order of magnitude analysis of NS Equation
Is it possible to identify the relative magnitudes of the different terms
(even approximately)?
It may then be possible to neglect the term(s) that may not play a
crucial role in the transport process thereby simplifying NS equations.
External Incompressible Viscous Flow – Boundary Layer
Approach
Velocity
V
Freestream Velocity, U∞
Boundary Layer
Thickness, δ
Inviscid
Viscous
y
x
Flow
vx = f (x, y)
vx = f (x, y) Viscous 2D flow inside BL
Inviscid flow outside BL
vx = U∞
Flow over a flat plate
vx = 0.99U∞
at y = δ
δ - boundary layer thickness
Flow Inside the Boundary Layer
Boundary Layer Approximations
2 2
2 2
x x x x
x y
v v v v
v v
x y x y

 
   
+ = +
 
   
 
2
2
x x x
x y
v v v
v v
x y y

  
+ =
  
2 2
2 2
x x x x
x y
v v v v
v v
y x y x
   
   
Flow between two parallel disks with liquid entry through
a small hole at the centre of the top plate
Flow In
Flow Out
Z = + b
Z = - b
Disk radius = r2
Hole radius = r1
The pressure is p1 at r = r1 and p2 at r = r2
( ) ( ) ( )
1 1
0
r z
r v v v
t r r r z


  

   
+ + + =
   
( )
2
2 2
2 2 2 2
1 1 2
r r r r
r z
r r
r r
v v
v v v v
v v
t r r r z
v
v v
P
rv g
r r r r r r z
 



 
 
 
   
+ + − +
 
   
 
 

 
  
 
= − + + − + +
 
 
     
 
 
The governing equation
2
2
r r
r
v v
P
v
r r z
 
 

= − +
  
( )
r
z
v
r

=
Major assumption on the nature of the flow
Assume a constant applied pressure difference
Boundary Conditions
2
2
2
1
( , ) 1
2 ln
r
Pb z
v r z
r b
r
r

 
  
= −
 
 
 
 
 
3
2
1
4
2 2 ( )
3 ln
b b
r
b b
Pb
Q r v dz z dz
r
r

  

+ +
− −

= = =
 
An incompressible fluid flows between two porous, parallel flat plates
as shown in the figure. An identical fluid is injected at a constant
speed V through the bottom plate and simultaneously extracted from
the upper plate at the same velocity. Assume the flow to be steady,
fully-developed, the pressure gradient in the x-direction is a constant,
and neglect body forces.
Determine expressions for the y component of velocity.
Show that the x component of velocity can be expressed as
𝑢𝑥 =
ℎ
𝜌𝑉
𝜕𝑝
𝜕𝑥
1 − exp
𝜌 𝑉 𝑦
𝜇
1 − exp
𝜌 𝑉 ℎ
𝜇
−
𝑦
ℎ
𝜕𝑣𝑥
𝜕𝑥
+
𝜕𝑣𝑦
𝜕𝑦
+
𝜕𝑣𝑧
𝜕𝑧
= 0
The equation of continuity for fully developed, steady flow in x-direction
The x component of the NS equation
𝜌
𝜕 𝑣𝑥
𝜕𝑡
+ 𝑣𝑥
𝜕 𝑣𝑥
𝜕𝑥
+ 𝑣𝑦
𝜕 𝑣𝑥
𝜕𝑦
+ 𝑣𝑧
𝜕 𝑣𝑥
𝜕𝑧
= −
𝜕 𝑃
𝜕𝑥
+ 𝜇
𝜕2 𝑣𝑥
𝜕𝑥2
+
𝜕2 𝑣𝑥
𝜕𝑦2
+
𝜕2 𝑥
𝜕𝑧2
+ 𝜌 𝑔𝑥
The governing equation
2
2
x x
y
v v
P
v
y x y
 
 

= − +
  
Boundary Conditions
Assumptions:
Constant pressure gradient in the x direction
A thrust bearing as shown in the figure is lubricated by pumping oil at a high
pressure of p0. The angular velocity is equal to ω. Note that under laminar
conditions, both Vr and Vθ in the thin gap will be non-zero and p is a function of
r only. Neglect convective and body force terms in equations of motion. You
may also assume that the pressure at r = R is equal to patm, whereas the pressure
from r = 0 till r = R0 is equal to p0.
(i) Start with the equation of continuity to obtain the functional form of Vr.
(ii) Show that satisfies the θ component of the NS equation.
(iii) Write the r component of NS equation to show that is a constant.
(iv) Evaluate the pressure distribution using the boundary conditions
(v) Find the vertical load the bearing can support and the flow rate of oil
required.
1
2
r z
V
h

  
= +
 
 
r
p
r


The Equation of Continuity
(i) Start with the equation of continuity to obtain the functional form of Vr.
(ii) Show that satisfies the θ component of the NS equation.
1
2
r
z
V
h




=
+




(iii) Write the r component of NS equation to show that is a constant
r
p
r


r
p
r


r
p
r


r
p
r


r
p
r


r
p
r


r
p
r


r
p
r


r
p
r


r
p
r


r
p
r


r
p
r


r
p
r


r
p
r


p
r
r


(iv) Evaluate the pressure distribution using the boundary conditions
(v) Find the vertical load the bearing can support and the flow rate of
oil required.
( ) 0
1
;
2
2
2
=


+


=
−
z
v
v
r
r
r
z
d
v
d
r
v z
r
r

 
t
h
h o








=








+



3
2
1
1
2
1 2
2
2
Consider the spin-coating process used to coat silicon wafers with photoresist. The
process is designed to produce a very thin, uniform coating by spinning a viscous,
Newtonian, liquid onto a substrate (wafer). The process has angular symmetry, the
rotation rate is constant, and since the film is thin, there are no real pressure gradients or
fluid accelerations and body forces to speak of. The thin film also moves with the
substrate as if it were a rigid body, v  f(z)
b) What are the boundary conditions for this problem?
c) Solve the equations for vr and vz.
d) The velocity, vz, at the film/air interface is just the change in film thickness
with time. Use this to obtain a differential equation for h, and integrate this
equation to obtain the solution as:
a) Show that the continuity and momentum equations reduce to:
Where ω is the rate of rotation (vθ = 2πrω) and h0 is the initial height of the film.
In this case, the following conditions will hold:
The continuity and momentum equations in cylindrical coordinates become
Since the fluid moves essentially as a rigid body, vr = f (r, z). This film is
very thin with respect to the radial or angular dimensions so that
tan , 0, ,
0, 0, 0
r z
v Cons t g g g constant
P P P
t r z
   
 
= = = =
    
= = = = =
    
( )
1
0
z
r
v
r v
r r z


+ =
 
, r z
v v v

Thus since the angular velocity is constant and vz is small, we only need to deal
with the momentum equation for vr
Neglecting all the obvious terms,
( )
2 2
2
1
r r r
r z r
v
v v v
v v r v
r r z r r r z

 
 
   
  
 
− + = +
 
   
    
 
   
Since the film is very thin, vr changes rapidly with the film thickness, much
more rapidly than it changes with the radial position. vz is quite small as
compared to the other components
Thus 1st term on LHS is neglected w.r.t. the second term.
For the same reason, 1st and 3rd terms on the rhs can be neglected.
In one case, vz is very small and in the second is also very small.
vθ is quite large
r
v
r


()
2
2
2
1 r r r
r r z
v
v v v
r
v v v
r
r
r z rr z

 
   
 
  


+ = −
+
   
 

   
   
 
Thus
2
2
2
0
r v
d v
d z r


 + =
The boundary conditions are
Noting that , the above equation is solved
0; 0
; 0
r
r
z v
v
z h
z
= =

= =

2
v r
  
=
The coordinate system is such that z = 0
refers to the bottom plate, while z = h is the
free surface of the photoresist
2 2 2
4
2
r
z
v r h z
 

 
= −
 
 
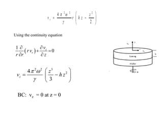
Using the continuity equation
( )
1
0
z
r
v
r v
r r z


+ =
 
2 2 3
2
4
3
z
z
v h z
 

 
= −
 
 
BC: vz = 0 at z = 0
2 2 3
0
1
h
z z
h dh
v v dz
h dt
 

= = − =

0
2 2
2 2
0
0
1 1 2
At t h h
t
h h
 

= =
− =
This can also be solved by assuming vz at z = h to be equal to dh/dt
One of the possible answers
A liquid spreads on a substrate in a film if the energy of the system is lowered by the
presence of the liquid film .
The surface energy per unit surface of the dry solid surface is γSG; the surface energy of the
wetted solid is γSL+γLG.
The spreading parameter S determines the type of spreading (total or partial)
S = γSG − (γSL + γLG)
If S > 0, the liquid spreads on the solid surface; if S < 0 the liquid forms a droplet.
Wetting: Partial or Total Wetting
54
Supplementary Information – in relation to the query about spreading of a droplet on a solid substrate
and contact line motion – slip velocity
Two parallel, plane circular disks (of radius R) lie one above the other a
small distance apart. The space between them is filled with a liquid. The
upper disk approaches the lower at a constant (small) velocity U,
displacing the liquid. The imposed pressure at r = R is po and pr is not a
function of z. Simplify the basic equations (continuity and motion, r
component) using an analysis based on your understanding and estimate
of the magnitudes of the different terms in the original equations.
Solve the these equations with proper boundary conditions to evaluate a
expression of the resistance to motion on the moving disk in terms of the
separation between the two plates. Take the origin to be at the centre of the
lower (stationary) plate.
Problem: One disk approaching another displacing a liquid in between
Assumptions and special considerations
1. R is very large compared to h
2. Leakage rate is small (Small vr)
3. ∂p/∂z is negligible
4. vz is very small as compared to vr
5. ∂vz/∂z may not be small (as z is very small)
6.
𝜕
𝜕𝑧
(
𝜕𝑣𝑧
𝜕𝑧
) can be appreciable
7. vr is not small as compared to vz
8.
𝜕𝑣𝑟
𝜕𝑟
is small compared to
𝜕𝑣𝑟
𝜕𝑧
9. Vθ = 0, no θ dependence of vr , vz
The equation of continuity
( ) ( )
1 1
0 ( )
z
r
v
r v v A
t r r r z





  
+ + + =
   
0
r r z
v v v
r r z
 
+ + =
 
The terms in the equation
Relative magnitudes of 1,2 w.r.t. 3
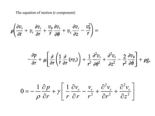
The equation of motion (r component)
2 2
2 2 2
1 1
0 r r r r
v v v v
p
r r r r r z


 
  

= − + − + +
 
   
 
Compare terms to arrive at the following equation
2
2
1
0 ( )
r
v
p
B
r z




= − +
 
2 2
2 2 2
1 1
0 r r r r
v v v v
p
r r r r r z


 
  

= − + − + +
 
   
 
2
1 2
1
2
r
P
v z C z C
r


= + +

2
1
: 0; 0 0
1
; 0
2
r
r
BC z v C
d p
z h v C h
dr

= =  =
= =  = −
( )
1
( )
2
r
P
v z h z C
r


= −

( )
1
0 ( )
z
r
v
r v A
r r z


+ =
 
Putting the expression of vr from (C ) to (A) and integrating w.r.t. z and as
: 0; 0
; 0;
r z
r z
BC z v v
z h v v U
= = =
= = = −
( )
3
0 0
1 1 1 1
2 12
h h
r
d d d p h d d p
U r v dz r z z h dz r
r dr r dr dr r dr dr
 
   
= = − = −
   
   
 
3
1
12
h d d p
U r
r dr dr

 
= −  
 
Integrating w.r.t. r
2
1
3
12
2
r d p
r C
h dr

− = +
As dp/dr is finite at r = 0 C1= 0 and p = po at r = r
( )
2 2
3
3
o
U
p p R r
h

− = −
( ) ( )
2 3
3
0 0
3
, 2 2
R R
o
U
Force F rdr p p R r r dr
h

 
= − = −
 
4
3
3
,
2
U R
Force F
h
 
=
A fluid (of constant density ρ) is in
incompressible, laminar flow through a
tube of length L. The radius of the tube
of circular cross section changes linearly
from R0 at the tube entrance (z = 0) to a
slightly smaller value RL at the tube exit
(z = L).
Using the lubrication approximation,
determine the mass flow rate vs. pressure
drop (ΔP) relationship for a Newtonian
fluid (of constant viscosity μ).
The approximation where a flow
between non-parallel surfaces is treated
locally as a flow between parallel
surfaces is commonly called the
lubrication approximation because it is
often employed in the theory of
lubrication.
The mass flow rate versus the pressure drop (W versus ΔP) relationship for a Newtonian
fluid in a circular tube is given by (where ΔP = P0 – PL)
4
4
8
(1)
8
P R P W
W or
L L R
  
  
 
= =
Even for a tapered tue, W does not change with Z
The above equation is assumed to be approximately valid for a differential
length dZ of the tube, whose radius R is slowly changing with Z.
Approximation that a flow between non-parallel surfaces can be treated
locally as a flow between parallel surfaces is know as LUBRICATION
APPROXIMATION.
4
8 1
(2)
[ ( ) ]
d P W
d Z R Z

 
− =
( )
( )
(3)
o L o
L o
Z
R Z R R R
L
R R
d R
d Z L
= + −
−
=
4
8 1
(2)
[ ( ) ]
d P W
d Z R Z

 
− =
From Eqns 2 and 3
4
8
L o
W L dR
d P
R R R

 
− =
−
Integrating the above equation between Z = 0 (R = Ro) and Z = L (R = RL)
4
8
L L
o o
P R
L o
P R
W L dR
d P
R R R

 
− =
−
 
( )
4
3 3
8
8 1 1
3
L L
o o
P R
L o
P R
o L
L o o L
W L dR
d P
R R R
P P W L
L R R R R

 

 
− =
−
 
−
= −
 
−  
 
Thus
( )
4
3
3 1
;
8 1
o L
o
P R R
W
R
L
  

  −
 −
 
= =
 
−
 
Taper correction to Hagen-Poiseuille equation
A cell separation (fractionation) system is based on cell density. Cells are
injected at the centre of a tube of radius R, and are carried by fluid flowing at
a flow rate of Q. Dense cells fall quickly under the action of gravity, adhere
to the tube wall and hence do not pass out of the tube. Assume that the
concentration of the cell is low enough that the laminar flow in the tube is
not perturbed by the presence of the cells. Let the cells be spherical, with
radius ‘a’ and let them have a density ρ + Δρ, where ρ is the density of the
flowing fluid.
Find the axial distance (L) that a cell travels
before it hits the bottom wall. You need to use
the fact that, in fully developed flow in the
presence of gravity, the pressure distribution
in the vertical distance is hydrostatic and the
axial velocity profile is the familiar parabolic
shape. You may assume that the cell is
spherical, that it reaches its terminal (falling)
velocity nearly immediately after injection
into the tube, and that it gets carried axially at
the local fluid velocity in the tube. State any
other assumptions you make.
We need to find the axial distance L that the cell travels before it hits the bottom wall.
The expressions of the forces acting on the spherical cell are:
Gravitational force
Buoyancy force
Drag force
( )
3
4
3
g cell
F m g a g
  
= = + 
3
4
3
b fluid
F m g a g
 
= =
6
d r
F av
 
=
The cell is moving downward with a
velocity vr in the r direction
( )
3 3
2
4 4
6
3 3
2
9
r
r
a g a g av
a g
v
      


+  = +

=
Find the radial location as a function of time as
( )
2
0
2
9
t
r
a g t
r t v dt



= =

2
9
2
r
R R
T
v a g


= =

The time T, when the cell will hit the wall
2
2
2 4
2
2
2
1
4
;
8 8
2
4
x
x x
P R r
v
L R
P R P R
v Q R v
L L
Q P R
R L



 
 
 
  
= −
 
 
 
 
 
 
= = =

=
( )
2
2
2
1
x
r t
Q
v
R R

 
 
 
= −  
 
 
 
 2
2 2
0 0
2
2 3
2
( )
2
1
2 2
9 3
T T
x
r t
Q
L v dt dt
R R
Q a g T
L T
R R


 
 
= = −
 
 
 
 

= −
 
 
 
 
 
 
2
2
9
2
6
R
As T
a g
Q
L
R a g



 
=
=

( )
2
2
9
a g t
r t



=
Epithelium is one basic type of animal tissue, which lines the cavities and surfaces
of structures throughout the body. Epithelial layers contain no blood vessels, so they
must receive nourishment via diffusion of substances from the underlying
connective tissue, through the basement membrane.
An apparatus has been built for testing the effect of various drugs on the rate at
which an epithelium can pump fluid from its luminal side ( the side facing the fluid )
to its basal side (which lies on the channel wall). The cells line the top and bottom
surface of a flow channel that has a separation of h (from top plate to bottom plate;
ignore the thickness of cells), a length L, and a depth into the page of W. Each of
these walls is porous so that any fluid pumped by the cells can leave the channel. Let
each cell layer (top and bottom) pump fluid at a rate of q per unit area of the channel
walls (q has thus units of length/time). The height of the channel is much less than its
length (h≪L).
Fluid enters the channel at the left at a flow rate Q0 and a gauge pressure of P0. Because
of the pumping action of the cells, the flow rate through the channel decreases as a
function of x, the distance from the beginning of the channel. To determine the rate at
which the cells are pumping fluid out of channel, the channel is instrumented with
pressure transducers that can measure P(x). We would like to use this information to find
the rate at which the cells pump fluid. The fluid in the channel has a density of ρ and a
viscosity of μ. The flow is dominated by viscous effects and is steady.
(a) Find the pressure distribution, P(x) , in the flow channel if q=0.
(b) Find the pressure distribution P(x) in the channel for q≠0.
(c) Given that P(x=L)=Pe , find q .
(d) Find the criterion necessary for the assumption that viscous flow dominates to be valid.
All answers must be given in terms of the known quantities e.g., x,L,W,h,Q0 , P0, Pe, ρ and
μ (not all of these parameters need necessarily be used).
(a) Find the pressure distribution, P(x) , in the flow channel if q=0
For q = 0, the situation is simply pressure driven flow between parallel plates.
2
2
2
1 2
0
1
2
x
x
d v dP
d y dx
dP
v y C y C
dx


− =
= + +
2
1
0, 0 0
1
, 0
2
x
x
At y v C
dP
At y h v C h
dx

= =  =
= =  =
2
1
1
2
x
dP h
v y
dx y

 
= −
 
 
3 2
2
0 0
1 1 1 1
2 3 2 12
h
h
x x
dP y h y dP
v v dy h
h h dx dx

 
= = − = −
 
 

3
0
3
1
12
12
x
o
dP
Q W h v h W
dx
dP
Q
dx W h

= = −
= −
Qo is the
flow rate
with q = 0
Integrating and imposing the B.C. that P ( x = 0) = Po
3
12
( ) o
o
Q
P x P x
W h

= −
Find the pressure distribution P(x) in the channel for q≠0.
The assumption of viscous flow allows all inertial terms
in the 2D NS Eqn to be neglected
So long the trans-cellular velocity at the channel wall is small compared to the axial
velocity, i.e., q << Qo/(Wh), the flow Can be treated as nearly Poiseuille Flow and
There will still be no slip at the channel wall but now with a flow rate that depends on x
Given that P(x=L)=Pe , find q .
(d) Find the criterion necessary for the assumption that viscous flow dominates to be valid.
The inertial terms must be quite small as compared to the viscous terms
The Equation of Continuity
The Equation of Motion for a Newtonian Fluid with constant μ, ρ
The Navier Stokes Equation
NS Equation .pdf

NS Equation .pdf

  • 1.
    TRANSPORT PHENOMENA Prof. SunandoDasGupta (3 classes) and Prof. Manish Kaushal (1 class)
  • 2.
    Basic Overview Over thelast few decades, the subject has revolutionized the way Chemical Engineering science is taught. This course deals with the unified treatment of the different transport processes, ubiquitous in industry as well as in nature. Momentum, heat and mass transfer are taught together due to the underlying similarities of the mathematics and molecular mechanisms describing such processes. Books 1. Transport Phenomena by Bird, Stewart and Lightfoot (Wiley) 2. Transport Phenomena Fundamentals by J. L. Plawsky (CRC Press) 3. Heat and Mass Transfer – A Transport Phenomena Approach by K. S. Gandhi (New Age) 4. Fluid Mechanics by R. W. Fox, P. J. Pritchard and A. T. McDonald (Wiley) 5. Introduction to Heat and Mass Transfer by F. P. Incropera & D. P. DeWitt (Wiley) TRANSPORT PHENOMENA Grading: 2-3 class tests for TA, relative grading
  • 3.
    Course Plan Formulation andsolution of momentum transfer in laminar flow. Navier-Stokes equation and its applications Boundary Layer concepts, boundary layer thicknesses (disturbance, displacement and momentum), Blasius solution for flow over a flat plate Use of momentum integral equation, turbulent boundary layers, fluid flow about immersed bodies, drag Formulation and solution of heat transfer in laminar flow Development and use of energy equation Transient conduction - lumped capacitance, analytical solutions and other methods. Formulation and solution of mass transfer in laminar flow. Development and use of species balance equation Introduction to convective flow, natural convection, relevant examples from heat and mass transfer Mathematical treatment of the similarities between heat, mass and momentum transfer, similarity parameters, and relevant analogies. Solution of coupled heat, mass and momentum transfer problems based on analogy.
  • 4.
    Phenomenological Relations Governing Equations RePr Sc f Nu Sh f = f (Re) Nu=f (???) Sh = f (???)
  • 5.
    TRANSPORT PHENOMENA Application ofNavier Stokes Equations
  • 6.
    Equation of Motion– Navier Stokes equation / [ . ] Dv Dt p g    = − −  + 𝜕𝑣𝑥 𝜕𝑥 + 𝜕𝑣𝑦 𝜕𝑦 + 𝜕𝑣𝑧 𝜕𝑧 = 0 𝜌 𝜕 𝑣𝑧 𝜕𝑡 + 𝑣𝑥 𝜕 𝑣𝑧 𝜕𝑥 + 𝑣𝑦 𝜕 𝑣𝑧 𝜕𝑦 + 𝑣𝑧 𝜕 𝑣𝑧 𝜕𝑧 = − 𝜕 𝑃 𝜕𝑧 + 𝜇 𝜕2 𝑣𝑧 𝜕𝑥2 + 𝜕2 𝑣𝑧 𝜕𝑦2 + 𝜕2 𝑣𝑧 𝜕𝑧2 + 𝜌 𝑔𝑧 Continuity Equation Cartesian Coordinate – z component Relevant Boundary Conditions No slip at the liquid-solid interface No shear at the liquid-vapor interface 6
  • 7.
    The Equation ofContinuity
  • 8.
    The Equation ofMotion for a Newtonian Fluid with constant μ, ρ The Navier Stokes Equation
  • 10.
    The record-write headfor a computer disk storage system floats above the spinning disk on a very thin film of air (the film thickness is 0.5micron). The head location is 150mm from the disk centre line, the disk spins at 3600rpm. The record-write head is 10mm x 10mm square. Determine for standard air (density=1.23kg/m3, viscosity=1.78x10-5 kg/(m.s)) in the gap between the head and the disk - (a) the Reynold's number of the flow, (b) the viscous shear stress and (c) the power required to overcome viscous shear stress. For such a small gap the flow can be considered as flow between parallel plates. Transport Phenomena - Momentum Transfer 10
  • 11.
    11 Flow between parallelplates Couette Flow Pressure gradient Driven Flow Couette and Pressure gradient Driven Flow U U dP/dx < 0 dP/dx < 0 V V V
  • 12.
    Solution Since the gapis too small, the situation can be approximated by the case of flow between two parallel plates with one plate moving and the other stationary with no applied pressure gradient. Here, V=Rω = 0.15 m x 3600 rev/min x 2 π rad/rev x 1/60 min/s=56.5 m/s Re = (ρ V a)/µ = (V a)/(μ/ρ) = 56.5 m/s x 0.5 x 10 -6 m/(1.45 x 10 -5 m2 /s) = 1.95 (Laminar Flow) For Couette flow between two parallel plates, with no applied pressure gradient, the velocity profile will be linear with no-slip boundary conditions at the bottom (stationary) and top (moving) plates. 12
  • 13.
    Therefore, the shearstress, τ, can be expressed as τ = μdu/dy = μ V/a (linear velocity profile) τ=1.78 x 10 – 5 kg /(m.s) x 56.5 m/s x 1/(0.5x10 – 6 m) = 2.01 KN/m2 Therefore, Force, F = τ A = τ x (W x L), Torque, T = F x R = τ x (WL) x R Power dissipation rate. P = T x ω = τ WL R ω P = 2.01x10- 3 x 0.01x 0.01 x 0.15 x 3600 x 2π x 1/60 = 11.4 W Thus the power required to overcome viscous shear stress is 11.4 W 13
  • 14.
    Transport Phenomena -Momentum Transfer Problem 2 An oil skimmer uses a 5 m wide x 6 m long moving belt above a fixed platform ( = 30º) to skim oil off of rivers (T = 10ºC). The belt travels at 3 m/s. The distance between the belt and the fixed platform is 2 mm. The belt discharges into an open tank on the ship. The fluid is actually a mixture of oil and water. To simplify the analysis, assume crude oil dominates. Find the discharge of oil into the tank on the ship, the force acting on the belt and the power required (kW) to move the belt. For oil:  = 860 kg/m3, viscosity,  = 1x10 – 2N.s/m2 14
  • 15.
    The x-component ofthe equation of motion is given as 𝜌 𝜕 𝑢 𝜕𝑡 + 𝑢 𝜕 𝑢 𝜕𝑥 + 𝑣 𝜕 𝑣 𝜕𝑦 + 𝑤 𝜕 𝑤 𝜕𝑧 = − 𝜕 𝑃 𝜕𝑥 + 𝜇 𝜕2 𝑢 𝜕𝑥2 + 𝜕2 𝑢 𝜕𝑦2 + 𝜕2 𝑢 𝜕𝑧2 + 𝜌 𝑔𝑥 15
  • 16.
    Considering one-dimensional flow(v = 0 = w), no applied pressure gradient, u is a function of only y, and a steady state process, the above equation reduces to the following governing equation 𝑑2𝑢 𝑑𝑦2 = 𝜌𝑔 𝜇 sinθ The relevant boundary conditions (no slip) are BC 1 At y = 0 u = 0 BC 2 At y = h, u = U
  • 17.
    Therefore, 𝑑𝑢 𝑑𝑦 = 𝜌𝑔𝑠𝑖𝑛𝜃 𝜇 𝑦 + 𝐴𝑎𝑛𝑑 𝑢 = 𝜌𝑔𝑠𝑖𝑛𝜃 𝜇 𝑦2 2 + 𝐴𝑦 + 𝐵 Applying the BC s ➔ B = 0 and 𝐴 = 𝜌𝑔𝑠𝑖𝑛𝜃 𝜇 ℎ 2 + 𝑢 ℎ Thus 𝑢 = − 𝜌𝑔𝑠𝑖𝑛𝜃 𝜇 ℎ𝑦 2 − 𝑦2 2 + 𝑈𝑦 ℎ The volumetric flow rate per unit width of the film is given by 𝑄 = න 0 ℎ 𝑢𝑑𝑦 = − න 0 ℎ 𝜌𝑔𝑠𝑖𝑛𝜃 𝜇 ℎ𝑦 2 − 𝑦2 2 + 𝑈𝑦 ℎ 𝑑𝑦 = − 𝜌𝑔ℎ3 12𝜇 𝑠𝑖𝑛𝜃 + 𝑈ℎ 2 17
  • 18.
    𝑄 = − 860𝑥 9,81 𝑥 0.002 12 𝑥 10−2 sin 30 + 3 𝑥 0.002 2 = 0.0027 𝑚2 𝑠 (𝑝𝑒𝑟 𝑢𝑛𝑖𝑡 𝑤𝑖𝑑𝑡ℎ) For the width of 5 m, the volumetric flow rate will be equal to 0.0135 m3/s. Evaluate τ = μ du/dy at the moving belt from the expression for velocity as 𝑑𝑢 𝑑𝑦 = − 𝜌𝑔𝑠𝑖𝑛𝜃 𝜇 ℎ 2 − 𝑦 + 𝑈 ℎ And at the moving belt, 𝜏 = 𝜇 𝑑𝑢 𝑑𝑦 𝑦 = ℎ = 𝜌𝑔𝑠𝑖𝑛𝜃 2 ℎ + 𝜇𝑈 ℎ Using the values h = 0.002m, μ = 10-2N.s/m2 and U = 3 m/s τ│at the belt = 19.21 N/m2 Power = (τ x L x W) U = 19.21 x 6 x 5 x 3 = 1.73 KW 18
  • 19.
    Consider two concentric cylinderswith a Newtonian liquid of constant density, ρ, and viscosity, μ, contained between them. The outer pipe, with radius, Ro, is fixed while the inner pipe, with radius, Ri, and mass per unit length, m, falls under the action of Transport Phenomena - Momentum Transfer Problem 3 19 gravity at a constant speed. There is no pressure gradient within the flow and no swirl velocity component. Determine the vertical speed, V, of the inner cylinder as a function of the following parameters: g, Ro, Ri, m, ρ, and μ. The space between the two cylinders is not ‘too small’ compared to the radii of the cylinders
  • 20.
    Solution For the innercylinder moving at constant velocity, the downward force is exactly balanced by the viscous force as 𝜏𝑤 𝐴𝑤 │𝐼𝑛𝑛𝑒𝑟 𝐶𝑦𝑙𝑖𝑛𝑑𝑒𝑟 = 𝑚 𝐿 𝑔 The z component of the equation of motion in cylindrical coordinate is Cancelling the terms with the observations i) steady state, ii) vz is a function of r only, not of z or θ, iii) no applied pressure gradient The following simplified form of the NS equation can be obtained. 𝜌 𝜕𝑣𝑧 𝜕𝑡 + 𝑣𝑟 𝜕𝑣𝑧 𝜕𝑟 + 𝑣𝜃 𝑟 𝜕𝑣𝑧 𝜕𝜃 + 𝑣𝑧 𝜕𝑣𝑧 𝜕𝑧 = − 𝜕𝑝 𝜕𝑧 + µ 1 𝑟 𝜕 𝜕𝑟 𝑟 𝜕𝑣𝑧 𝜕𝑟 + 1 𝑟2 𝜕2𝑣𝑧 𝜕𝜃2 + 𝜕2𝑣𝑧 𝜕𝑧2 + 𝜌𝑔𝑧 20
  • 21.
    1 𝑟 𝑑 𝑑𝑟 𝑟 𝑑𝑣𝑧 𝑑𝑟 = − 𝜌𝑔 𝜇 𝑣𝑧 =− 𝜌𝑔𝑟2 4𝜇 + 𝐶1 ln 𝑟 + 𝐶2 Upon integration (with C1 and C2 being the constants of integration) Governing equation Boundary Conditions vz = V at r = Ri => 𝑉 = − 𝜌𝑔 4𝜇 𝑅𝑖2 + 𝐶1 ln 𝑅𝑖 + 𝐶2 vz = 0 at r = Ro => 0 = − 𝜌𝑔 4𝜇 𝑅𝑜2 + 𝐶1 ln 𝑅𝑜 + 𝐶2 21
  • 22.
    𝑉 = 𝜌𝑔 4𝜇 𝑅𝑜2 − 𝑅𝑖2 +𝐶1 ln 𝑅𝑖 𝑅𝑜 𝐶1 = 1 ln 𝑅𝑖 𝑅𝑜 𝑉 − 𝜌𝑔 4𝜇 𝑅𝑜2 − 𝑅𝑖2 Therefore 𝑑𝑣𝑧 𝑑𝑟 = − 𝜌𝑔𝑟 2𝜇 + 𝐶1 𝑟 𝜏𝑟𝑧 = 𝜇 𝑑𝑣𝑧 𝑑𝑟 = − 𝜌𝑔𝑟 2 + 𝐶1𝜇 𝑟 Since the force on the inner cylinder = force due to gravity Upon substitution for the expression of the shear stress 𝜏│𝑟=𝑅𝑖 2𝜋𝑅𝑖𝐿 = 𝑚 𝐿 𝑔 𝑉 = 𝑅𝑖 ln 𝑅𝑖 𝑅𝑜 𝜌𝑔𝑅𝑖 2𝜇 − 𝑚𝑔 2𝜋𝑅𝑖𝜇 − 𝜌𝑔 4𝜇 𝑅𝑖 2 − 𝑅0 2 22
  • 23.
    Order of magnitudeanalysis of NS Equation Is it possible to identify the relative magnitudes of the different terms (even approximately)? It may then be possible to neglect the term(s) that may not play a crucial role in the transport process thereby simplifying NS equations.
  • 24.
    External Incompressible ViscousFlow – Boundary Layer Approach Velocity V Freestream Velocity, U∞ Boundary Layer Thickness, δ Inviscid Viscous y x Flow vx = f (x, y) vx = f (x, y) Viscous 2D flow inside BL Inviscid flow outside BL vx = U∞ Flow over a flat plate vx = 0.99U∞ at y = δ δ - boundary layer thickness
  • 25.
    Flow Inside theBoundary Layer Boundary Layer Approximations 2 2 2 2 x x x x x y v v v v v v x y x y        + = +         2 2 x x x x y v v v v v x y y     + =    2 2 2 2 x x x x x y v v v v v v y x y x        
  • 26.
    Flow between twoparallel disks with liquid entry through a small hole at the centre of the top plate Flow In Flow Out Z = + b Z = - b Disk radius = r2 Hole radius = r1 The pressure is p1 at r = r1 and p2 at r = r2
  • 27.
    ( ) () ( ) 1 1 0 r z r v v v t r r r z           + + + =     ( ) 2 2 2 2 2 2 2 1 1 2 r r r r r z r r r r v v v v v v v v t r r r z v v v P rv g r r r r r r z                + + − +                   = − + + − + +              
  • 28.
    The governing equation 2 2 rr r v v P v r r z      = − +    ( ) r z v r  = Major assumption on the nature of the flow
  • 29.
    Assume a constantapplied pressure difference
  • 30.
    Boundary Conditions 2 2 2 1 ( ,) 1 2 ln r Pb z v r z r b r r       = −          
  • 31.
    3 2 1 4 2 2 () 3 ln b b r b b Pb Q r v dz z dz r r      + + − −  = = =  
  • 32.
    An incompressible fluidflows between two porous, parallel flat plates as shown in the figure. An identical fluid is injected at a constant speed V through the bottom plate and simultaneously extracted from the upper plate at the same velocity. Assume the flow to be steady, fully-developed, the pressure gradient in the x-direction is a constant, and neglect body forces. Determine expressions for the y component of velocity. Show that the x component of velocity can be expressed as 𝑢𝑥 = ℎ 𝜌𝑉 𝜕𝑝 𝜕𝑥 1 − exp 𝜌 𝑉 𝑦 𝜇 1 − exp 𝜌 𝑉 ℎ 𝜇 − 𝑦 ℎ
  • 33.
    𝜕𝑣𝑥 𝜕𝑥 + 𝜕𝑣𝑦 𝜕𝑦 + 𝜕𝑣𝑧 𝜕𝑧 = 0 The equationof continuity for fully developed, steady flow in x-direction The x component of the NS equation 𝜌 𝜕 𝑣𝑥 𝜕𝑡 + 𝑣𝑥 𝜕 𝑣𝑥 𝜕𝑥 + 𝑣𝑦 𝜕 𝑣𝑥 𝜕𝑦 + 𝑣𝑧 𝜕 𝑣𝑥 𝜕𝑧 = − 𝜕 𝑃 𝜕𝑥 + 𝜇 𝜕2 𝑣𝑥 𝜕𝑥2 + 𝜕2 𝑣𝑥 𝜕𝑦2 + 𝜕2 𝑥 𝜕𝑧2 + 𝜌 𝑔𝑥
  • 34.
    The governing equation 2 2 xx y v v P v y x y      = − +    Boundary Conditions Assumptions: Constant pressure gradient in the x direction
  • 37.
    A thrust bearingas shown in the figure is lubricated by pumping oil at a high pressure of p0. The angular velocity is equal to ω. Note that under laminar conditions, both Vr and Vθ in the thin gap will be non-zero and p is a function of r only. Neglect convective and body force terms in equations of motion. You may also assume that the pressure at r = R is equal to patm, whereas the pressure from r = 0 till r = R0 is equal to p0. (i) Start with the equation of continuity to obtain the functional form of Vr. (ii) Show that satisfies the θ component of the NS equation. (iii) Write the r component of NS equation to show that is a constant. (iv) Evaluate the pressure distribution using the boundary conditions (v) Find the vertical load the bearing can support and the flow rate of oil required. 1 2 r z V h     = +     r p r  
  • 39.
    The Equation ofContinuity (i) Start with the equation of continuity to obtain the functional form of Vr.
  • 40.
    (ii) Show thatsatisfies the θ component of the NS equation. 1 2 r z V h     = +    
  • 41.
    (iii) Write ther component of NS equation to show that is a constant r p r   r p r   r p r   r p r   r p r   r p r   r p r   r p r   r p r   r p r   r p r   r p r   r p r   r p r   p r r  
  • 43.
    (iv) Evaluate thepressure distribution using the boundary conditions
  • 46.
    (v) Find thevertical load the bearing can support and the flow rate of oil required.
  • 47.
    ( ) 0 1 ; 2 2 2 =   +   = − z v v r r r z d v d r vz r r    t h h o         =         +    3 2 1 1 2 1 2 2 2 Consider the spin-coating process used to coat silicon wafers with photoresist. The process is designed to produce a very thin, uniform coating by spinning a viscous, Newtonian, liquid onto a substrate (wafer). The process has angular symmetry, the rotation rate is constant, and since the film is thin, there are no real pressure gradients or fluid accelerations and body forces to speak of. The thin film also moves with the substrate as if it were a rigid body, v  f(z) b) What are the boundary conditions for this problem? c) Solve the equations for vr and vz. d) The velocity, vz, at the film/air interface is just the change in film thickness with time. Use this to obtain a differential equation for h, and integrate this equation to obtain the solution as: a) Show that the continuity and momentum equations reduce to: Where ω is the rate of rotation (vθ = 2πrω) and h0 is the initial height of the film.
  • 48.
    In this case,the following conditions will hold: The continuity and momentum equations in cylindrical coordinates become Since the fluid moves essentially as a rigid body, vr = f (r, z). This film is very thin with respect to the radial or angular dimensions so that tan , 0, , 0, 0, 0 r z v Cons t g g g constant P P P t r z       = = = =      = = = = =      ( ) 1 0 z r v r v r r z   + =   , r z v v v  Thus since the angular velocity is constant and vz is small, we only need to deal with the momentum equation for vr
  • 49.
    Neglecting all theobvious terms, ( ) 2 2 2 1 r r r r z r v v v v v v r v r r z r r r z               − + = +                 
  • 50.
    Since the filmis very thin, vr changes rapidly with the film thickness, much more rapidly than it changes with the radial position. vz is quite small as compared to the other components Thus 1st term on LHS is neglected w.r.t. the second term. For the same reason, 1st and 3rd terms on the rhs can be neglected. In one case, vz is very small and in the second is also very small. vθ is quite large r v r   () 2 2 2 1 r r r r r z v v v v r v v v r r r z rr z               + = − +                 
  • 51.
    Thus 2 2 2 0 r v d v dz r    + = The boundary conditions are Noting that , the above equation is solved 0; 0 ; 0 r r z v v z h z = =  = =  2 v r    = The coordinate system is such that z = 0 refers to the bottom plate, while z = h is the free surface of the photoresist
  • 52.
    2 2 2 4 2 r z vr h z      = −     Using the continuity equation ( ) 1 0 z r v r v r r z   + =   2 2 3 2 4 3 z z v h z      = −     BC: vz = 0 at z = 0
  • 53.
    2 2 3 0 1 h zz h dh v v dz h dt    = = − =  0 2 2 2 2 0 0 1 1 2 At t h h t h h    = = − = This can also be solved by assuming vz at z = h to be equal to dh/dt One of the possible answers
  • 54.
    A liquid spreadson a substrate in a film if the energy of the system is lowered by the presence of the liquid film . The surface energy per unit surface of the dry solid surface is γSG; the surface energy of the wetted solid is γSL+γLG. The spreading parameter S determines the type of spreading (total or partial) S = γSG − (γSL + γLG) If S > 0, the liquid spreads on the solid surface; if S < 0 the liquid forms a droplet. Wetting: Partial or Total Wetting 54 Supplementary Information – in relation to the query about spreading of a droplet on a solid substrate and contact line motion – slip velocity
  • 55.
    Two parallel, planecircular disks (of radius R) lie one above the other a small distance apart. The space between them is filled with a liquid. The upper disk approaches the lower at a constant (small) velocity U, displacing the liquid. The imposed pressure at r = R is po and pr is not a function of z. Simplify the basic equations (continuity and motion, r component) using an analysis based on your understanding and estimate of the magnitudes of the different terms in the original equations. Solve the these equations with proper boundary conditions to evaluate a expression of the resistance to motion on the moving disk in terms of the separation between the two plates. Take the origin to be at the centre of the lower (stationary) plate. Problem: One disk approaching another displacing a liquid in between
  • 56.
    Assumptions and specialconsiderations 1. R is very large compared to h 2. Leakage rate is small (Small vr) 3. ∂p/∂z is negligible 4. vz is very small as compared to vr 5. ∂vz/∂z may not be small (as z is very small) 6. 𝜕 𝜕𝑧 ( 𝜕𝑣𝑧 𝜕𝑧 ) can be appreciable 7. vr is not small as compared to vz 8. 𝜕𝑣𝑟 𝜕𝑟 is small compared to 𝜕𝑣𝑟 𝜕𝑧 9. Vθ = 0, no θ dependence of vr , vz
  • 57.
    The equation ofcontinuity ( ) ( ) 1 1 0 ( ) z r v r v v A t r r r z         + + + =     0 r r z v v v r r z   + + =   The terms in the equation Relative magnitudes of 1,2 w.r.t. 3
  • 58.
    The equation ofmotion (r component) 2 2 2 2 2 1 1 0 r r r r v v v v p r r r r r z         = − + − + +        
  • 59.
    Compare terms toarrive at the following equation 2 2 1 0 ( ) r v p B r z     = − +   2 2 2 2 2 1 1 0 r r r r v v v v p r r r r r z         = − + − + +         2 1 2 1 2 r P v z C z C r   = + +  2 1 : 0; 0 0 1 ; 0 2 r r BC z v C d p z h v C h dr  = =  = = =  = −
  • 60.
    ( ) 1 ( ) 2 r P vz h z C r   = −  ( ) 1 0 ( ) z r v r v A r r z   + =   Putting the expression of vr from (C ) to (A) and integrating w.r.t. z and as : 0; 0 ; 0; r z r z BC z v v z h v v U = = = = = = − ( ) 3 0 0 1 1 1 1 2 12 h h r d d d p h d d p U r v dz r z z h dz r r dr r dr dr r dr dr       = = − = −          
  • 61.
    3 1 12 h d dp U r r dr dr    = −     Integrating w.r.t. r 2 1 3 12 2 r d p r C h dr  − = + As dp/dr is finite at r = 0 C1= 0 and p = po at r = r ( ) 2 2 3 3 o U p p R r h  − = − ( ) ( ) 2 3 3 0 0 3 , 2 2 R R o U Force F rdr p p R r r dr h    = − = −   4 3 3 , 2 U R Force F h   =
  • 62.
    A fluid (ofconstant density ρ) is in incompressible, laminar flow through a tube of length L. The radius of the tube of circular cross section changes linearly from R0 at the tube entrance (z = 0) to a slightly smaller value RL at the tube exit (z = L). Using the lubrication approximation, determine the mass flow rate vs. pressure drop (ΔP) relationship for a Newtonian fluid (of constant viscosity μ). The approximation where a flow between non-parallel surfaces is treated locally as a flow between parallel surfaces is commonly called the lubrication approximation because it is often employed in the theory of lubrication.
  • 63.
    The mass flowrate versus the pressure drop (W versus ΔP) relationship for a Newtonian fluid in a circular tube is given by (where ΔP = P0 – PL) 4 4 8 (1) 8 P R P W W or L L R         = = Even for a tapered tue, W does not change with Z The above equation is assumed to be approximately valid for a differential length dZ of the tube, whose radius R is slowly changing with Z. Approximation that a flow between non-parallel surfaces can be treated locally as a flow between parallel surfaces is know as LUBRICATION APPROXIMATION. 4 8 1 (2) [ ( ) ] d P W d Z R Z    − =
  • 64.
    ( ) ( ) (3) oL o L o Z R Z R R R L R R d R d Z L = + − − = 4 8 1 (2) [ ( ) ] d P W d Z R Z    − = From Eqns 2 and 3 4 8 L o W L dR d P R R R    − = − Integrating the above equation between Z = 0 (R = Ro) and Z = L (R = RL) 4 8 L L o o P R L o P R W L dR d P R R R    − = −  
  • 65.
    ( ) 4 3 3 8 81 1 3 L L o o P R L o P R o L L o o L W L dR d P R R R P P W L L R R R R       − = −   − = −   −     Thus ( ) 4 3 3 1 ; 8 1 o L o P R R W R L       −  −   = =   −   Taper correction to Hagen-Poiseuille equation
  • 66.
    A cell separation(fractionation) system is based on cell density. Cells are injected at the centre of a tube of radius R, and are carried by fluid flowing at a flow rate of Q. Dense cells fall quickly under the action of gravity, adhere to the tube wall and hence do not pass out of the tube. Assume that the concentration of the cell is low enough that the laminar flow in the tube is not perturbed by the presence of the cells. Let the cells be spherical, with radius ‘a’ and let them have a density ρ + Δρ, where ρ is the density of the flowing fluid. Find the axial distance (L) that a cell travels before it hits the bottom wall. You need to use the fact that, in fully developed flow in the presence of gravity, the pressure distribution in the vertical distance is hydrostatic and the axial velocity profile is the familiar parabolic shape. You may assume that the cell is spherical, that it reaches its terminal (falling) velocity nearly immediately after injection into the tube, and that it gets carried axially at the local fluid velocity in the tube. State any other assumptions you make.
  • 67.
    We need tofind the axial distance L that the cell travels before it hits the bottom wall. The expressions of the forces acting on the spherical cell are: Gravitational force Buoyancy force Drag force ( ) 3 4 3 g cell F m g a g    = = +  3 4 3 b fluid F m g a g   = = 6 d r F av   = The cell is moving downward with a velocity vr in the r direction ( ) 3 3 2 4 4 6 3 3 2 9 r r a g a g av a g v          +  = +  =
  • 68.
    Find the radiallocation as a function of time as ( ) 2 0 2 9 t r a g t r t v dt    = =  2 9 2 r R R T v a g   = =  The time T, when the cell will hit the wall 2 2 2 4 2 2 2 1 4 ; 8 8 2 4 x x x P R r v L R P R P R v Q R v L L Q P R R L             = −             = = =  =
  • 69.
    ( ) 2 2 2 1 x r t Q v RR        = −          2 2 2 0 0 2 2 3 2 ( ) 2 1 2 2 9 3 T T x r t Q L v dt dt R R Q a g T L T R R       = = −          = −             2 2 9 2 6 R As T a g Q L R a g      = =  ( ) 2 2 9 a g t r t    =
  • 70.
    Epithelium is onebasic type of animal tissue, which lines the cavities and surfaces of structures throughout the body. Epithelial layers contain no blood vessels, so they must receive nourishment via diffusion of substances from the underlying connective tissue, through the basement membrane. An apparatus has been built for testing the effect of various drugs on the rate at which an epithelium can pump fluid from its luminal side ( the side facing the fluid ) to its basal side (which lies on the channel wall). The cells line the top and bottom surface of a flow channel that has a separation of h (from top plate to bottom plate; ignore the thickness of cells), a length L, and a depth into the page of W. Each of these walls is porous so that any fluid pumped by the cells can leave the channel. Let each cell layer (top and bottom) pump fluid at a rate of q per unit area of the channel walls (q has thus units of length/time). The height of the channel is much less than its length (h≪L).
  • 71.
    Fluid enters thechannel at the left at a flow rate Q0 and a gauge pressure of P0. Because of the pumping action of the cells, the flow rate through the channel decreases as a function of x, the distance from the beginning of the channel. To determine the rate at which the cells are pumping fluid out of channel, the channel is instrumented with pressure transducers that can measure P(x). We would like to use this information to find the rate at which the cells pump fluid. The fluid in the channel has a density of ρ and a viscosity of μ. The flow is dominated by viscous effects and is steady. (a) Find the pressure distribution, P(x) , in the flow channel if q=0. (b) Find the pressure distribution P(x) in the channel for q≠0. (c) Given that P(x=L)=Pe , find q . (d) Find the criterion necessary for the assumption that viscous flow dominates to be valid. All answers must be given in terms of the known quantities e.g., x,L,W,h,Q0 , P0, Pe, ρ and μ (not all of these parameters need necessarily be used).
  • 72.
    (a) Find thepressure distribution, P(x) , in the flow channel if q=0 For q = 0, the situation is simply pressure driven flow between parallel plates. 2 2 2 1 2 0 1 2 x x d v dP d y dx dP v y C y C dx   − = = + + 2 1 0, 0 0 1 , 0 2 x x At y v C dP At y h v C h dx  = =  = = =  = 2 1 1 2 x dP h v y dx y    = −     3 2 2 0 0 1 1 1 1 2 3 2 12 h h x x dP y h y dP v v dy h h h dx dx    = = − = −     
  • 73.
    3 0 3 1 12 12 x o dP Q W hv h W dx dP Q dx W h  = = − = − Qo is the flow rate with q = 0 Integrating and imposing the B.C. that P ( x = 0) = Po 3 12 ( ) o o Q P x P x W h  = −
  • 74.
    Find the pressuredistribution P(x) in the channel for q≠0. The assumption of viscous flow allows all inertial terms in the 2D NS Eqn to be neglected So long the trans-cellular velocity at the channel wall is small compared to the axial velocity, i.e., q << Qo/(Wh), the flow Can be treated as nearly Poiseuille Flow and
  • 75.
    There will stillbe no slip at the channel wall but now with a flow rate that depends on x
  • 76.
  • 77.
    (d) Find thecriterion necessary for the assumption that viscous flow dominates to be valid. The inertial terms must be quite small as compared to the viscous terms
  • 79.
    The Equation ofContinuity
  • 80.
    The Equation ofMotion for a Newtonian Fluid with constant μ, ρ The Navier Stokes Equation