VECTOR CALCULUS FROM PAGE 16 – PARTIAL DERIVATIVE
Vector Calculus Lecture Notes 2015 GREAT PROFESSOR Andrea
Moiola University of Reading 23 Sep 2015 11
{
Position Vector r equals xi + yj + zk
Fields are functions of position described by position vector so their domain is
Euclidean space of subset of Euclidean Space R3
}
((
SAME AS
))
((
SAME AS
))
((
SAME AS
))
((
SAME AS
))
((
SAME AS
))
((
))
((((((((
NOTES NOTES VECTOR CALCULUS MADE AT HOME
NOTES NOTES VECTOR CALCULUS MADE AT HOME
((
VECTOR CALCULUS ANDREA MOIOLA
PAGE 2
We use the hat symbol (ˆ) to denote unit vectors, i.e. vectors of length 1.
i j k with hat symbol denote vectors
i j k are three fixed vectors that constitute the canonical basis of Euclidean
Space viz R3
Vector u viz
Magnitude of Vector and Direction of Vector
Length and direction uniquely identify a vector
Every vector satisfies ~u = |~u|ˆu. Therefore length and direction uniquely
identify a vector.
The vector of length 0 (i.e. ~0 := 0ˆı + 0ˆj + 0ˆk) does not have a specified
direction
POSITION VECTOR
Vectors defined as geometric entities fully described by magnitude and direction are
sometimes called “Euclidean vectors” or “geometric vectors”
Page 3
⋆ Remark 1.5. The addition, the scalar multiplication and the scalar product are defined
for Euclidean spaces of any dimension, while the vector product (thus also the triple
product) is defined only in three dimensions.
The addition, the scalar multiplication and the scalar product are defined for Euclidean
spaces of any dimension
Vector product thus also the triple product is defined only in three dimensions
)
(
IMPORTANT RESULT
VECTOR CALCULUS ANDREA MOIOLA
PAGE 6
)
(
Gradient is Vector field viz partial derivative of Scalar Field
Directional Derivative is product of Unit Vector and Gradient
Normal derivative viz unit vector is orthogonal to surface then derivative of
scalar field
)
(
VERY IMPORTANT PROPERTIES OF GRADIENT
)
THE REAL BOOK Mathematics
PAGE 183 OF 2321 – THE REAL BOOK
Acceleration due to gravity or velocity of fluid examples of vector
field
Vector product used to compute angular momentum of moving
object Torque of force Lorentz force acting on charge moving in
magnetic field
Vector product used to compute angular momentum of moving
object, Torque of force, Lorentz force acting on charge moving in
magnetic field
Partial Derivatives of Scalar Fields
(
Partial Derivatives of Vector Fields
)
(
Directional Derivative : The component of Delta f in any direction is rate of
change of f in that direction
Page 185 & 186
DIRECTIONAL DERIVATIVE
DIRECTIONAL DERIVATIVE
)
Gradient is orthogonal to tangent plane and hence to the surface
(
THE REAL BOOK
PAGE 186 OF 2321
Gradient is Orthogonal to Tangent Plane and hence to Surface
)
(
Page 186
Tangent Plane to Surface at point
)
(
Page 187
Gradient of function viz Delta of Function is in direction of maximum
directional derivative
Magnitude of Gradient is value of directional derivative in that
direction
Directional Derivative defined viz
Gradient of function is Zero the Gradient is in direction of maximum
directional derivative
Magnitude of Gradient viz Mod of Gradient is value of directional
derivative in that direction
Gradient points in uphill direction and magnitude of gradient is uphill
slope
Value of Directional Derivative is Mod of Gradient
Directional Derivative θ angle between Gradient and Terrain
)
(
Curl of vector field F
Curl is operated on Vector Field
CURL OF VECTOR
((
Irrotational Vector viz Curl of Vector equals zero
Solenoidal Vector viz divergence free or incompressible vector
Conservative Vector Field
Scalar potential of Vector Field
Vector Potential of Vector Field
Irrotational Vector viz Curl of Vector equals zero
))
(
Gradient vis a vis Divergence
Divergence vis a vis Gradient
Gradient is a vector and Divergence is a scalar
More specifically (and perhaps helpfully), the gradient vector points in the
direction of the fastest (local) increase in the value of the (scalar) function.
)
(
Gradient Divergence Curl
)
((((
GREAT PROFESSOR ANDREA MOIOLA UNIVERSITY OF READING –
VECTOR CALCULUS
Vector Calculus Lecture Notes 2015 GREAT PROFESSOR Andrea
Moiola University of Reading 23 Sep 2015 11
GREAT PROFESSOR ANDREA MOIOLA UNIVERSITY OF READING –
VECTOR CALCULUS
Vector Calculus Lecture Notes 2015 GREAT PROFESSOR Andrea
Moiola University of Reading 23 Sep 2015 11
(
FIELDS FIELDS
FIELDS FIELDS SCALAR FIELDS VECTORS FIELDS
Page 7 8 9
Vector field is a function of position that assigns a vector to each
point in space
r is point
r is point
Fields are functions of position described by the position vector r = xi + yj
+ zk
Fields domain is Euclidean Space R3
or subset of it
Fields depending on the kind of output they are called either scalar fields
or vector fields
Vector functions are vector valued functions of a real variable.
F capital denotes Vector field
Vector field is a function of position that assigns a vector to each
point in space
Scalar Field is function where domain D is an open subset of
Euclidean Space
Page 7
Scalar functions in particular real functions of a real variable viz rules that
associate to every number t ∈ R a second number f(t) ∈ R.
Scalar functions in particular real functions of a real variable viz
rules that associate to every number Real Number to second Real
number
Vector functions whose domains or codomains or both are three
dimensional Euclidean space viz Real Number cubed as opposed to
real line R
Three different extensions of concept to Vector case viz consider functions
whose domains or codomains or both are three dimensional Euclidean
space as opposed to the real line R.
.
Remark 1.27 we summarise the mapping properties of all these objects.
Scalar fields, vector fields and
vector functions are described in [1] in Sections 12.1, 15.1 and 11.1
respectively.
Scalar Field is function where domain D is an open subset of
Euclidean Space
Scalar field is a function where domain d is an open subset of
Euclidean Space
Scalar field value viz Value of function at the point r may be written
as f(r) or f(x y z)
r is point
Scalar field can equivalently be interpreted as a function of one
vector variable or as a function of three scalar variables
Scalar field may also be called multivariate functions or functions of
several variables
Examples of Scalar Fields are
1.2.1 Scalar fields
A scalar field is a function f : D → R, where the domain D is an open
subset of R3. The value of f at the
point ~r may be written as f(~r) or f(x, y, z). (This is because a scalar field
can equivalently be interpreted as a function of one vector variable or as a
function of three scalar variables.) Scalar field may also be called
“multivariate functions” or “functions of several variables” (as in the first-
year calculus modulus, see handout 5). Some examples of scalar fields
are
f(~r) = x2 − y2, g(~r) = xyez, h(~r) = |~r|4.
Two dimensional may also be thought as Three Dimensional fields
that do not depend on Third Variable
Two different scalar fields may have the same level surfaces
associated with different field
Vector functions are vector valued functions of a Real Variable
)
CURVE DEFINITION LOOP DEFINITION
If variable of which Vector function is comprised is continous viz its
three components are continous real functions then we call it Curve
If the interval of Vector function is closed and bounded then vector
valued function of real variable is Loop
Injective viz of the nature of or relating to an injection or one-to-one
mapping.
Curve indicates a function of real variable whose image its path is a
subset of R3
and not the image itself
Indeed, different curves may define the same path
Curve” indicates a function ~a, whose image (its path) is a subset of R3,
and not the image itself. Indeed, different curves may define the same
path
Function space is an infinite dimensional vector space whose
elements are functions
F capitalised F is symbol for vector field
(
SCALAR PRODUCT
)
(
VECTOR PRODUCT
VECTOR CALCULUS ANDREA MOIOLA
PAGE 4
Vector product is distributive with respect to sum but is not associative
)
((
VECTOR PRODUCT OF TWO IDENTICAL VECTORS IS ZERO
VECTOR PRODUCT OF TWO EQUAL VECTORS IS ZERO
CROSS PRODUCT OF TWO IDENTICAL VECTORS IS ZERO
CROSS PRODUCT OF TWO EQUAL VECTORS IS ZERO
https://www.quora.com/If-two-vectors-are-equal-then-what-will-be-
their-cross-product
))
(
BEAUTIFUL MATHEMATICS BEAUTIFUL EXAMPLE
VECTOR CALCULUS ANDREA MOIOLA
PAGE 5 & 83
)
(
VECTOR CALCULUS ANDREA MOIOLA
PAGE 5 & 83
Vector product j x j equals zero viz equals zeroz
j component is “0 1 0” viz i j k equals “0 1 0”
Product of j x j equals “0 1 0” x “0 1 0” equals zeroz
)
(
VECTOR CALCULUS ANDREA MOIOLA
PAGE 5 & 83
VERY IMPORTANT RESULT IN VECTOR CALCULUS
Vector u x (v x w) = v(u.w) – w(u.v)
)
(
Magnitude of Vector Product
)
(
VERY IMPORTANT EXAMPLE
Sum of Perpendicular and Parallel Vectors
Page 4
Vector Calculus Lecture Notes 2015 GREAT PROFESSOR Andrea
Moiola University of Reading 23 Sep 2015 11
Page 83
)
(
Vector product is not associative
)
Jacobi Identity
Binet Cauchy Identity
Lagrange Identity
GREAT PROFESSOR ON VECTOR CALCULUS
))
(
REFER BOOK
Vector Calculus Lecture Notes 2015 GREAT PROFESSOR Andrea
Moiola University of Reading 23 Sep 2015 11
Page 7 of 112
COMPLEMENT OF OPEN SET IS CLOSED AND VICE VERSA
COMPLEMENT OF CLOSED SET IS OPEN AND VICE VERSA
)
(
Angle θ between Tangent Planes to Surface:
Angle Theta between Tangent Planes to Surface
)
(
Vector Space
Vector space viz space consisting of vectors together with the
associative and commutative operation of addition of vectors and
the associative and distributive operation of multiplication of vectors
by scalars
EUCLIDEAN SPACE DEFINED
VECTORS are in Euclidean space R3
If the considered vector space is real, finite-dimensional and is provided
with an inner product, then it is an Euclidean space (i.e., Rn for some
natural number n).
If a basis is fixed, then elements of Rn can be represented as n-tuples of
real numbers (i.e., ordered
sets of n real numbers).
)
Scalar multiplication and the scalar product are defined for Euclidean
spaces of any dimension, while the vector product (thus also the triple
product) is defined only in three dimensions.
Scalar Product
Orthogonal or Perpendicular Vectors viz Scalar Product is zero
Parallel vectors
Vector function take real number as input and return a Vector
Vector fields might be thought as combinations of three scalar fields
viz the components
Vector fields might be thought as combinations of three scalar fields
viz three functions whose domain D are an open subset of Euclidean
Space
Scalar Field is function where domain D is an open subset of
Euclidean Space
Scalar Field is function where domain D is an open subset of
Euclidean Space
Vector functions as combinations of three real functions
(
Differentiable Scalar Field
Differentiable Vector Field
)
(
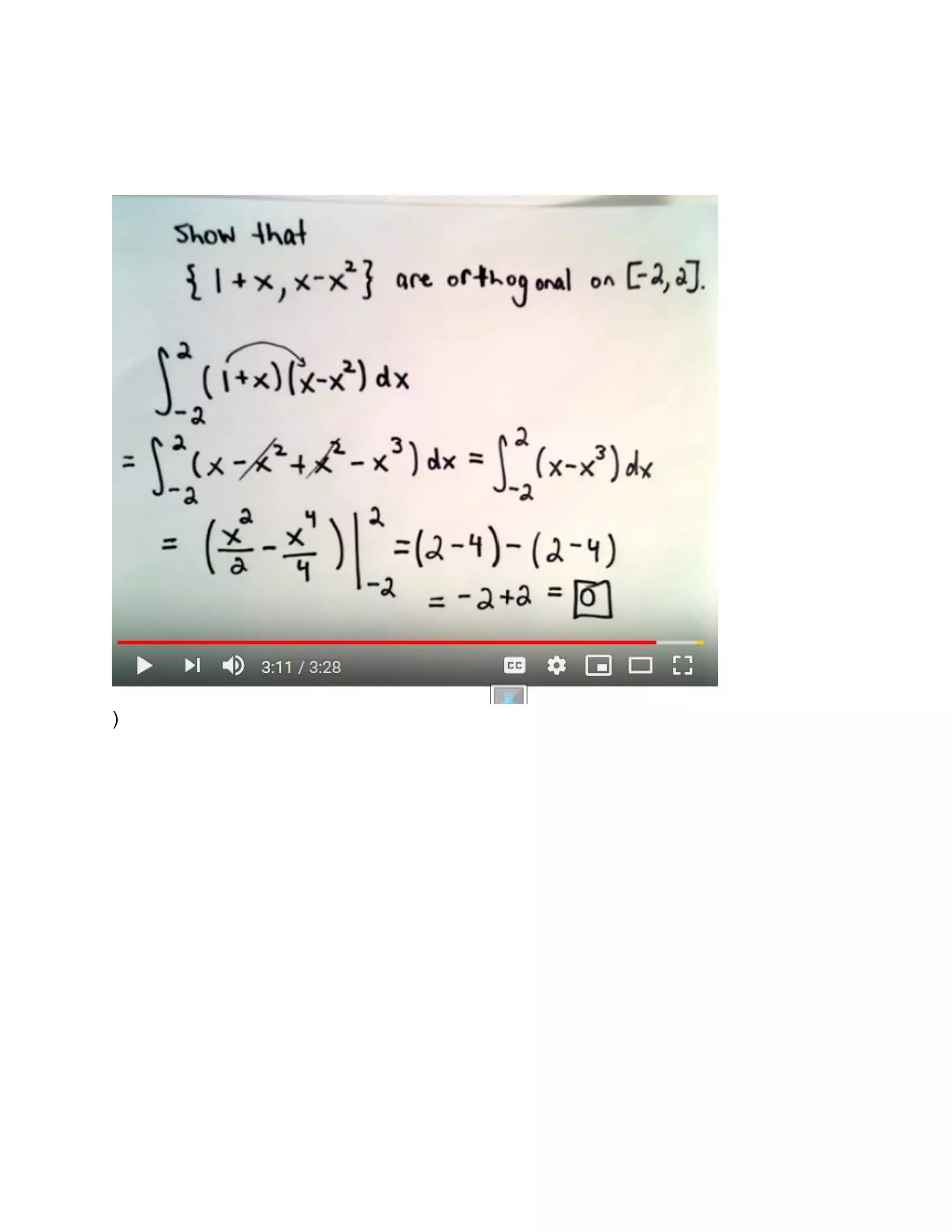
ORTHOGONAL FUNCTIONS INNER PRODUCT IS ZERO
TWO FUNCTIONS ARE ORTHOGONAL IF INNER PRODUCT OF
THESE TWO FUNCTIONS IS ZERO
)
(
Scalar Fields and Gradients comparision
Similarity between Function Derivative and Scalar Fields and their
Gradients
Relations between functions and derivative carry over to Scalar
Fields and their Gradients
Page 14
)
(
JACOBIAN MATRIX
F capital is Vector Field
Vector field has nine partial derivatives three of each component viz i
j k
Vector field is a function of position that assigns a vector to each
point in space
Jacobian Matrix is Matrix of nine partial derivatives of VECTOR
FIELD
Scalar field has three first order partial derivatives that can be
collected in a vector field
Vector field has nine partial derivatives three for each component
which is scalar field to represent them compactly we collect them in
a matrix called Jacobian Matrix
Vector field has nine partial derivatives three for each component
which is scalar field
Second order derivative of scalar field in Hessian viz Jacobian gradient of
scalar field
Whereas Jacobian of Vector field is first order derivative
)
((
VERY IMPORTANT EXAMPLE
Product of Orthogonal functions is Zero
Inner Product of Orthogonal functions is Zero
Orthogonal Functions need not be with one gradient of other
Page 15 and 85
))
((
LAPLACIAN viz smooth Scalar field obtained as sum of pure second
partial derivatives of function f
Scalar field whose Laplacian vanishes everywhere is called harmonic
function
Scalar field whose Laplacian vanishes viz second order derivative is
zero everywhere is called harmonic function since there is no
dissonance
Scalar field whose Laplacian vanishes everywhere is called harmonic
function viz No Dissonance
HARMONIC : an overtone accompanying a fundamental tone at a fixed interval,
produced by vibration of a string, column of air, etc. in an exact fraction of its
length
Hessian Matrix is second derivative of Scalar Field f
Laplacian equals trace of Hessian viz sum of diagonal terms viz
Laplacian is second order derivative of Gradient viz above
Hessian Matrix is second derivative of Scalar Field f
Hessian Matrix is Jacobian Matrix of Gradient
Vector Laplacian is Laplace operator applied componentwise to
Vector fields
))
((
DIVERGENCE DIVERGENCE DIVERGENT DIVERGENT
Divergent is always applied on vector field and resultant is scalar
Solenoidal Vector viz Divergence of vector equals zero
))))
VERY VERY IMPORTANT
’
’))
((
CURL CURL
Curl maps vector fields to vector fields
CURL OPERATOR
))
((
VECTOR CALCULUS ANDREA MOIOLA
Scalar fields take as input vector and return a real number
Vector fields take as input vector and return a vector
Vector functions take as input real number and return a vector
))
((
VECTOR CALCULUS ANDREA MOIOLA
PAGE 21
Divergence is Trace of Jacobian Matrix
Jacobian Matrix of Gradient is Hessian
Trace of Hessian is Laplacian
Divergence is Trace of Jacobian Matrix
Jacobian Matrix of Gradient is Hessian
Trace of Hessian is Laplacian
))
(
VECTOR PRODUCT OR CROSS PRODUCTS
https://betterexplained.com/articles/cross-product/
Integrals are "multiplication, taking changes into account" and the dot product is
"multiplication, taking direction into account".
(
MAGNITUDE OF VECTOR PRODUCT VIZ CROSS PRODUCT:
VECTOR PRODUCT CROSS PRODUCT
)
((
VECTOR PRODUCT OR CROSS PRODUCT
Magnitude of Vector Product or Cross Product
Vector Calculus Lecture Notes 2015 GREAT PROFESSOR Andrea
Moiola University of Reading 23 Sep 2015 11
Page 4 of 112
))
((
REFERENCE Vector Calculus Revision of Basic Vectors
Page 1 of 17
Scalar Product or Dot Product
Vector Product or Cross Product
Scalar Triple Product
Vector Triple Product
))
((
Angle Between Two Surfaces
Angle Between Two Vectors
Projection of Vector
))
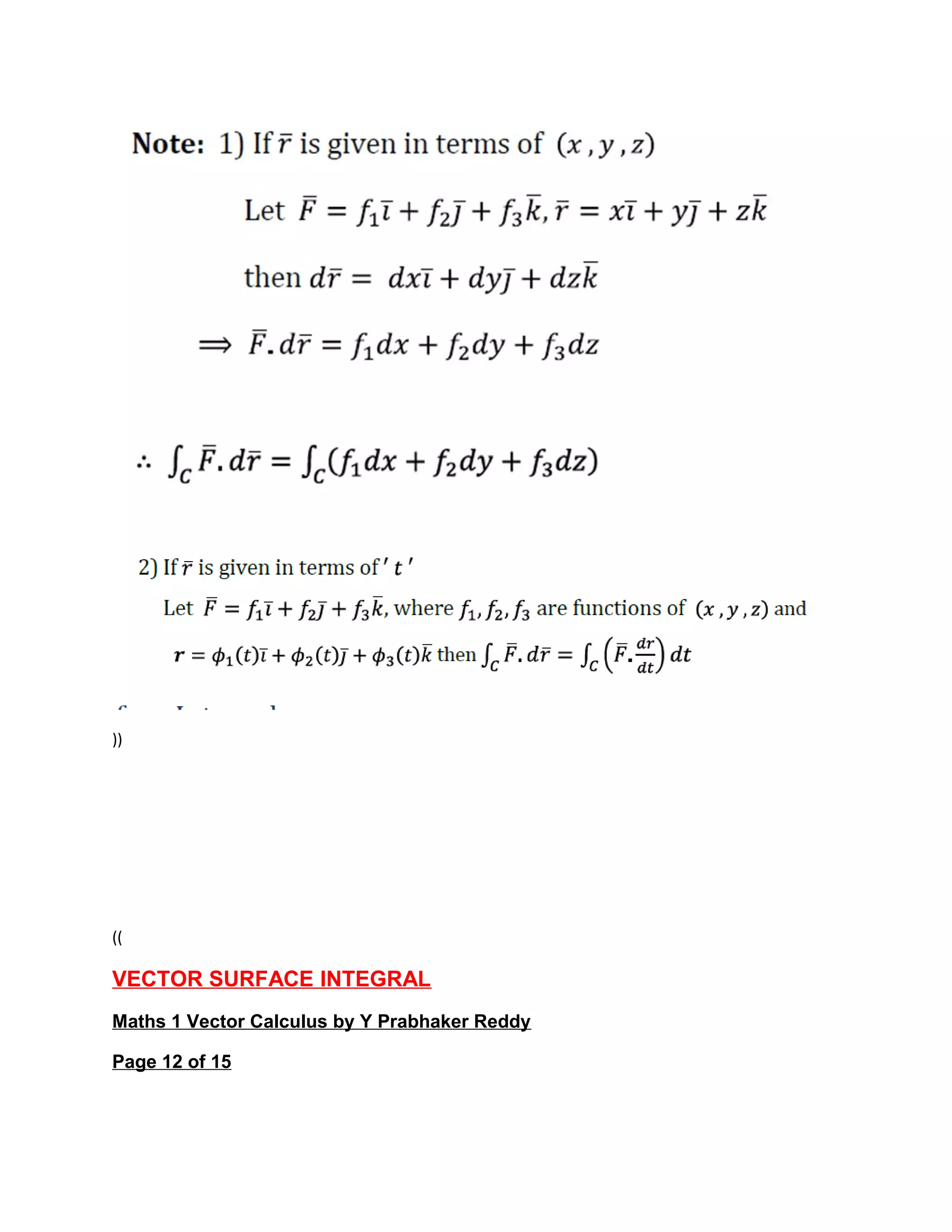
((
VECTOR INTEGRATION
Maths 1 Vector Calculus by Y Prabhaker Reddy
Page 11 of 15
r co-ordinate in 3D viz Euclidean Space
F is field vector
))
((
VECTOR SURFACE INTEGRAL
Maths 1 Vector Calculus by Y Prabhaker Reddy
Page 12 of 15
))
((
VECTOR SURFACE INTEGRAL AS PROJECTION OF
SURFACE ON XY YZ XZ PLANE
Maths 1 Vector Calculus by Y Prabhaker Reddy
Page 12 of 15
))
((
VOLUME INTEGRAL OF VECTOR FIELD
Maths 1 Vector Calculus by Y Prabhaker Reddy
Page 13 of 15
))
((
VOLUME INTEGRAL OF SCALAR FIELD
Maths 1 Vector Calculus by Y Prabhaker Reddy
Page 13 of 15
))
((
VECTOR INTEGRATION
Maths 1 Vector Calculus by Y Prabhaker Reddy
Page 13 14 15 of 15
Green’s Theorem for Vector Integration
Gauss Divergence Theorem for Vector Integration
Stokes Theorem for Vector Integration
))
((
Advection Operator applied to Vector Field
Vector Calculus Lecture Notes 2015 GREAT PROFESSOR Andrea
Moiola University of Reading 23 Sep 2015 11
Page 23 of 112
))
((
Derivative of Vector Function is Vector Function
Page 26 of 112
))
((
Curve is SMOOTH if its three components are smooth functions
Page 26 of 112
))
((
DERIVATIVE OF COMPOSITE FIELD SCALAR FIELD AND VECTOR FIELD
USING CHAIN RULE
Partial Derivatives of composition of Scalar Field with Vector Field
Scalar field as composite of scalar and vector field
(
Below Derivatives are special cases of a more general result for functions
between Euclidean spaces of Arbitrary Dimensions
)
))
((
VECTOR CALCULUS BY ANDREA MOIOLA
PAGE 27 OF 112
Scalar field f evaluated on smooth curve a viz f(a)
Scalar field f equals xyez
and curve a equals ti + t3
j
Compute total derivate of f(a)
Scalar field f evaluated on smooth curve a viz f(a)
Since the Scalar field f evaluated on smooth curve a viz f(a) viz 3D filed
evaluated on 2D smooth curve the Gradient of f has i component has yez
which
corresponds to yth componet of curve viz t3
viz yez
= t3
Gradient of f has i component yez
which corresponds to yth componet of curve
viz t3
viz yez
= t3
There is a strong emphasis on f((a)t) viz Scalar field f evaluated on smooth
curve a therefore gradient of “f” in terms of “a” will have x and y co-ordinates
in terms of curve “a”
Gradient of f has j component xez
which corresponds to xth componet of curve
viz t viz xez
= t
Since 3D function f is expressed in terms of 2D curve viz gradient of function with x
coordinate corresponds to x coordinate of “a” and gradient of function with y
coordinate corresponds to y coordinate of “a”
))
((
Derivative of Vector field g(r) constrained to 2d SURFACE
Vector field g(r) and position vector “r”
VECTOR CALCULUS BY ANDREA MOIOLA
PAGE 28 OF 112
Vector field g(r) and position vector “r”
Value of field g depends upon Sh viz position vector
))
((
VERY VERY IMPORTANT RESULTS
Partial Derivatives and Total Derivatives of Composite Functions
Given Curve Scalar field and Vector field F = xi + zj –yk compute
Partial Derivatives and Total Derivatives of Composite Functions
Given Curve a(t) Scalar field “g” and Vector field F = xi + zj –yk
compute partial derivatives of gF and total derivatives of ga and Gfa
by calculating compositions and then deriving them and by using
Vector formulas
VECTOR CALCULUS BY ANDREA MOIOLA
PAGE 29 OF 112
CONSIDER g scalar function composite of Vector Field F and Curve “a”
Curve “a” pertains to x y co-ordinate therefore F vector field evaluated on
Curve “a” has sint j as y component corresponds to y coordinate on F
vector field viz yk
Therefore
))
END END GREAT PROFESSOR ANDREA MOIOLA UNIVERSITY OF
READING – VECTOR CALCULUS
Vector Calculus Lecture Notes 2015 GREAT PROFESSOR Andrea
Moiola University of Reading 23 Sep 2015 11
))))
))))))))
((
))

Notes notes vector calculus made at home (wecompress.com)

  • 1.
    VECTOR CALCULUS FROMPAGE 16 – PARTIAL DERIVATIVE Vector Calculus Lecture Notes 2015 GREAT PROFESSOR Andrea Moiola University of Reading 23 Sep 2015 11
  • 3.
    { Position Vector requals xi + yj + zk Fields are functions of position described by position vector so their domain is Euclidean space of subset of Euclidean Space R3 }
  • 5.
  • 6.
  • 7.
    (( )) (((((((( NOTES NOTES VECTORCALCULUS MADE AT HOME NOTES NOTES VECTOR CALCULUS MADE AT HOME (( VECTOR CALCULUS ANDREA MOIOLA PAGE 2 We use the hat symbol (ˆ) to denote unit vectors, i.e. vectors of length 1. i j k with hat symbol denote vectors i j k are three fixed vectors that constitute the canonical basis of Euclidean Space viz R3 Vector u viz
  • 9.
    Magnitude of Vectorand Direction of Vector Length and direction uniquely identify a vector Every vector satisfies ~u = |~u|ˆu. Therefore length and direction uniquely identify a vector. The vector of length 0 (i.e. ~0 := 0ˆı + 0ˆj + 0ˆk) does not have a specified direction POSITION VECTOR Vectors defined as geometric entities fully described by magnitude and direction are sometimes called “Euclidean vectors” or “geometric vectors” Page 3
  • 10.
    ⋆ Remark 1.5.The addition, the scalar multiplication and the scalar product are defined for Euclidean spaces of any dimension, while the vector product (thus also the triple product) is defined only in three dimensions. The addition, the scalar multiplication and the scalar product are defined for Euclidean spaces of any dimension Vector product thus also the triple product is defined only in three dimensions ) ( IMPORTANT RESULT VECTOR CALCULUS ANDREA MOIOLA PAGE 6 ) ( Gradient is Vector field viz partial derivative of Scalar Field
  • 11.
    Directional Derivative isproduct of Unit Vector and Gradient Normal derivative viz unit vector is orthogonal to surface then derivative of scalar field )
  • 12.
    ( VERY IMPORTANT PROPERTIESOF GRADIENT ) THE REAL BOOK Mathematics PAGE 183 OF 2321 – THE REAL BOOK
  • 13.
    Acceleration due togravity or velocity of fluid examples of vector field Vector product used to compute angular momentum of moving object Torque of force Lorentz force acting on charge moving in magnetic field Vector product used to compute angular momentum of moving object, Torque of force, Lorentz force acting on charge moving in magnetic field Partial Derivatives of Scalar Fields
  • 14.
    ( Partial Derivatives ofVector Fields ) ( Directional Derivative : The component of Delta f in any direction is rate of change of f in that direction Page 185 & 186 DIRECTIONAL DERIVATIVE
  • 15.
  • 17.
    Gradient is orthogonalto tangent plane and hence to the surface
  • 18.
    ( THE REAL BOOK PAGE186 OF 2321 Gradient is Orthogonal to Tangent Plane and hence to Surface ) ( Page 186 Tangent Plane to Surface at point )
  • 19.
    ( Page 187 Gradient offunction viz Delta of Function is in direction of maximum directional derivative Magnitude of Gradient is value of directional derivative in that direction Directional Derivative defined viz Gradient of function is Zero the Gradient is in direction of maximum directional derivative Magnitude of Gradient viz Mod of Gradient is value of directional derivative in that direction Gradient points in uphill direction and magnitude of gradient is uphill slope Value of Directional Derivative is Mod of Gradient Directional Derivative θ angle between Gradient and Terrain )
  • 20.
    ( Curl of vectorfield F Curl is operated on Vector Field CURL OF VECTOR
  • 21.
    (( Irrotational Vector vizCurl of Vector equals zero Solenoidal Vector viz divergence free or incompressible vector Conservative Vector Field Scalar potential of Vector Field Vector Potential of Vector Field Irrotational Vector viz Curl of Vector equals zero
  • 22.
    )) ( Gradient vis avis Divergence Divergence vis a vis Gradient Gradient is a vector and Divergence is a scalar More specifically (and perhaps helpfully), the gradient vector points in the direction of the fastest (local) increase in the value of the (scalar) function. )
  • 23.
  • 24.
    (((( GREAT PROFESSOR ANDREAMOIOLA UNIVERSITY OF READING – VECTOR CALCULUS Vector Calculus Lecture Notes 2015 GREAT PROFESSOR Andrea Moiola University of Reading 23 Sep 2015 11 GREAT PROFESSOR ANDREA MOIOLA UNIVERSITY OF READING – VECTOR CALCULUS Vector Calculus Lecture Notes 2015 GREAT PROFESSOR Andrea Moiola University of Reading 23 Sep 2015 11 ( FIELDS FIELDS FIELDS FIELDS SCALAR FIELDS VECTORS FIELDS Page 7 8 9 Vector field is a function of position that assigns a vector to each point in space r is point r is point Fields are functions of position described by the position vector r = xi + yj + zk Fields domain is Euclidean Space R3 or subset of it Fields depending on the kind of output they are called either scalar fields or vector fields Vector functions are vector valued functions of a real variable. F capital denotes Vector field Vector field is a function of position that assigns a vector to each point in space Scalar Field is function where domain D is an open subset of Euclidean Space
  • 25.
    Page 7 Scalar functionsin particular real functions of a real variable viz rules that associate to every number t ∈ R a second number f(t) ∈ R. Scalar functions in particular real functions of a real variable viz rules that associate to every number Real Number to second Real number Vector functions whose domains or codomains or both are three dimensional Euclidean space viz Real Number cubed as opposed to real line R Three different extensions of concept to Vector case viz consider functions whose domains or codomains or both are three dimensional Euclidean space as opposed to the real line R. . Remark 1.27 we summarise the mapping properties of all these objects. Scalar fields, vector fields and vector functions are described in [1] in Sections 12.1, 15.1 and 11.1 respectively. Scalar Field is function where domain D is an open subset of Euclidean Space Scalar field is a function where domain d is an open subset of Euclidean Space Scalar field value viz Value of function at the point r may be written as f(r) or f(x y z) r is point Scalar field can equivalently be interpreted as a function of one vector variable or as a function of three scalar variables
  • 26.
    Scalar field mayalso be called multivariate functions or functions of several variables Examples of Scalar Fields are 1.2.1 Scalar fields A scalar field is a function f : D → R, where the domain D is an open subset of R3. The value of f at the point ~r may be written as f(~r) or f(x, y, z). (This is because a scalar field can equivalently be interpreted as a function of one vector variable or as a function of three scalar variables.) Scalar field may also be called “multivariate functions” or “functions of several variables” (as in the first- year calculus modulus, see handout 5). Some examples of scalar fields are f(~r) = x2 − y2, g(~r) = xyez, h(~r) = |~r|4. Two dimensional may also be thought as Three Dimensional fields that do not depend on Third Variable Two different scalar fields may have the same level surfaces associated with different field Vector functions are vector valued functions of a Real Variable ) CURVE DEFINITION LOOP DEFINITION If variable of which Vector function is comprised is continous viz its three components are continous real functions then we call it Curve
  • 27.
    If the intervalof Vector function is closed and bounded then vector valued function of real variable is Loop Injective viz of the nature of or relating to an injection or one-to-one mapping. Curve indicates a function of real variable whose image its path is a subset of R3 and not the image itself Indeed, different curves may define the same path Curve” indicates a function ~a, whose image (its path) is a subset of R3, and not the image itself. Indeed, different curves may define the same path Function space is an infinite dimensional vector space whose elements are functions F capitalised F is symbol for vector field ( SCALAR PRODUCT )
  • 28.
    ( VECTOR PRODUCT VECTOR CALCULUSANDREA MOIOLA PAGE 4 Vector product is distributive with respect to sum but is not associative )
  • 29.
    (( VECTOR PRODUCT OFTWO IDENTICAL VECTORS IS ZERO VECTOR PRODUCT OF TWO EQUAL VECTORS IS ZERO CROSS PRODUCT OF TWO IDENTICAL VECTORS IS ZERO CROSS PRODUCT OF TWO EQUAL VECTORS IS ZERO https://www.quora.com/If-two-vectors-are-equal-then-what-will-be- their-cross-product ))
  • 30.
    ( BEAUTIFUL MATHEMATICS BEAUTIFULEXAMPLE VECTOR CALCULUS ANDREA MOIOLA PAGE 5 & 83 ) ( VECTOR CALCULUS ANDREA MOIOLA PAGE 5 & 83 Vector product j x j equals zero viz equals zeroz j component is “0 1 0” viz i j k equals “0 1 0” Product of j x j equals “0 1 0” x “0 1 0” equals zeroz ) (
  • 31.
    VECTOR CALCULUS ANDREAMOIOLA PAGE 5 & 83 VERY IMPORTANT RESULT IN VECTOR CALCULUS Vector u x (v x w) = v(u.w) – w(u.v) )
  • 32.
    ( Magnitude of VectorProduct ) ( VERY IMPORTANT EXAMPLE Sum of Perpendicular and Parallel Vectors Page 4 Vector Calculus Lecture Notes 2015 GREAT PROFESSOR Andrea Moiola University of Reading 23 Sep 2015 11 Page 83 )
  • 33.
    ( Vector product isnot associative ) Jacobi Identity Binet Cauchy Identity Lagrange Identity GREAT PROFESSOR ON VECTOR CALCULUS ))
  • 34.
    ( REFER BOOK Vector CalculusLecture Notes 2015 GREAT PROFESSOR Andrea Moiola University of Reading 23 Sep 2015 11 Page 7 of 112 COMPLEMENT OF OPEN SET IS CLOSED AND VICE VERSA COMPLEMENT OF CLOSED SET IS OPEN AND VICE VERSA )
  • 35.
    ( Angle θ betweenTangent Planes to Surface: Angle Theta between Tangent Planes to Surface ) ( Vector Space Vector space viz space consisting of vectors together with the associative and commutative operation of addition of vectors and the associative and distributive operation of multiplication of vectors by scalars EUCLIDEAN SPACE DEFINED VECTORS are in Euclidean space R3 If the considered vector space is real, finite-dimensional and is provided with an inner product, then it is an Euclidean space (i.e., Rn for some natural number n). If a basis is fixed, then elements of Rn can be represented as n-tuples of real numbers (i.e., ordered sets of n real numbers). )
  • 36.
    Scalar multiplication andthe scalar product are defined for Euclidean spaces of any dimension, while the vector product (thus also the triple product) is defined only in three dimensions. Scalar Product
  • 37.
    Orthogonal or PerpendicularVectors viz Scalar Product is zero Parallel vectors Vector function take real number as input and return a Vector Vector fields might be thought as combinations of three scalar fields viz the components Vector fields might be thought as combinations of three scalar fields viz three functions whose domain D are an open subset of Euclidean Space Scalar Field is function where domain D is an open subset of Euclidean Space Scalar Field is function where domain D is an open subset of Euclidean Space Vector functions as combinations of three real functions
  • 38.
  • 39.
    ( ORTHOGONAL FUNCTIONS INNERPRODUCT IS ZERO TWO FUNCTIONS ARE ORTHOGONAL IF INNER PRODUCT OF THESE TWO FUNCTIONS IS ZERO
  • 40.
  • 41.
    ( Scalar Fields andGradients comparision Similarity between Function Derivative and Scalar Fields and their Gradients Relations between functions and derivative carry over to Scalar Fields and their Gradients Page 14 )
  • 42.
    ( JACOBIAN MATRIX F capitalis Vector Field Vector field has nine partial derivatives three of each component viz i j k Vector field is a function of position that assigns a vector to each point in space Jacobian Matrix is Matrix of nine partial derivatives of VECTOR FIELD Scalar field has three first order partial derivatives that can be collected in a vector field Vector field has nine partial derivatives three for each component which is scalar field to represent them compactly we collect them in a matrix called Jacobian Matrix Vector field has nine partial derivatives three for each component which is scalar field
  • 43.
    Second order derivativeof scalar field in Hessian viz Jacobian gradient of scalar field Whereas Jacobian of Vector field is first order derivative
  • 44.
    ) (( VERY IMPORTANT EXAMPLE Productof Orthogonal functions is Zero Inner Product of Orthogonal functions is Zero Orthogonal Functions need not be with one gradient of other Page 15 and 85
  • 45.
    )) (( LAPLACIAN viz smoothScalar field obtained as sum of pure second partial derivatives of function f Scalar field whose Laplacian vanishes everywhere is called harmonic function Scalar field whose Laplacian vanishes viz second order derivative is zero everywhere is called harmonic function since there is no dissonance Scalar field whose Laplacian vanishes everywhere is called harmonic function viz No Dissonance HARMONIC : an overtone accompanying a fundamental tone at a fixed interval, produced by vibration of a string, column of air, etc. in an exact fraction of its length
  • 47.
    Hessian Matrix issecond derivative of Scalar Field f Laplacian equals trace of Hessian viz sum of diagonal terms viz Laplacian is second order derivative of Gradient viz above Hessian Matrix is second derivative of Scalar Field f Hessian Matrix is Jacobian Matrix of Gradient
  • 48.
    Vector Laplacian isLaplace operator applied componentwise to Vector fields ))
  • 49.
    (( DIVERGENCE DIVERGENCE DIVERGENTDIVERGENT Divergent is always applied on vector field and resultant is scalar Solenoidal Vector viz Divergence of vector equals zero ))))
  • 51.
  • 52.
    ’)) (( CURL CURL Curl mapsvector fields to vector fields CURL OPERATOR ))
  • 53.
    (( VECTOR CALCULUS ANDREAMOIOLA Scalar fields take as input vector and return a real number Vector fields take as input vector and return a vector Vector functions take as input real number and return a vector ))
  • 54.
    (( VECTOR CALCULUS ANDREAMOIOLA PAGE 21 Divergence is Trace of Jacobian Matrix Jacobian Matrix of Gradient is Hessian Trace of Hessian is Laplacian Divergence is Trace of Jacobian Matrix Jacobian Matrix of Gradient is Hessian Trace of Hessian is Laplacian ))
  • 55.
    ( VECTOR PRODUCT ORCROSS PRODUCTS https://betterexplained.com/articles/cross-product/ Integrals are "multiplication, taking changes into account" and the dot product is "multiplication, taking direction into account". ( MAGNITUDE OF VECTOR PRODUCT VIZ CROSS PRODUCT: VECTOR PRODUCT CROSS PRODUCT )
  • 56.
    (( VECTOR PRODUCT ORCROSS PRODUCT Magnitude of Vector Product or Cross Product Vector Calculus Lecture Notes 2015 GREAT PROFESSOR Andrea Moiola University of Reading 23 Sep 2015 11 Page 4 of 112 ))
  • 57.
    (( REFERENCE Vector CalculusRevision of Basic Vectors Page 1 of 17 Scalar Product or Dot Product Vector Product or Cross Product Scalar Triple Product Vector Triple Product
  • 58.
    )) (( Angle Between TwoSurfaces Angle Between Two Vectors
  • 59.
    Projection of Vector )) (( VECTORINTEGRATION Maths 1 Vector Calculus by Y Prabhaker Reddy Page 11 of 15 r co-ordinate in 3D viz Euclidean Space F is field vector
  • 60.
    )) (( VECTOR SURFACE INTEGRAL Maths1 Vector Calculus by Y Prabhaker Reddy Page 12 of 15
  • 62.
  • 63.
    (( VECTOR SURFACE INTEGRALAS PROJECTION OF SURFACE ON XY YZ XZ PLANE Maths 1 Vector Calculus by Y Prabhaker Reddy Page 12 of 15 )) (( VOLUME INTEGRAL OF VECTOR FIELD Maths 1 Vector Calculus by Y Prabhaker Reddy Page 13 of 15 ))
  • 64.
    (( VOLUME INTEGRAL OFSCALAR FIELD Maths 1 Vector Calculus by Y Prabhaker Reddy Page 13 of 15 ))
  • 65.
    (( VECTOR INTEGRATION Maths 1Vector Calculus by Y Prabhaker Reddy Page 13 14 15 of 15 Green’s Theorem for Vector Integration
  • 66.
    Gauss Divergence Theoremfor Vector Integration Stokes Theorem for Vector Integration ))
  • 67.
    (( Advection Operator appliedto Vector Field Vector Calculus Lecture Notes 2015 GREAT PROFESSOR Andrea Moiola University of Reading 23 Sep 2015 11 Page 23 of 112 )) (( Derivative of Vector Function is Vector Function Page 26 of 112 ))
  • 68.
    (( Curve is SMOOTHif its three components are smooth functions Page 26 of 112 )) (( DERIVATIVE OF COMPOSITE FIELD SCALAR FIELD AND VECTOR FIELD USING CHAIN RULE
  • 69.
    Partial Derivatives ofcomposition of Scalar Field with Vector Field Scalar field as composite of scalar and vector field ( Below Derivatives are special cases of a more general result for functions between Euclidean spaces of Arbitrary Dimensions
  • 70.
  • 71.
    (( VECTOR CALCULUS BYANDREA MOIOLA PAGE 27 OF 112 Scalar field f evaluated on smooth curve a viz f(a) Scalar field f equals xyez and curve a equals ti + t3 j Compute total derivate of f(a) Scalar field f evaluated on smooth curve a viz f(a)
  • 72.
    Since the Scalarfield f evaluated on smooth curve a viz f(a) viz 3D filed evaluated on 2D smooth curve the Gradient of f has i component has yez which corresponds to yth componet of curve viz t3 viz yez = t3 Gradient of f has i component yez which corresponds to yth componet of curve viz t3 viz yez = t3 There is a strong emphasis on f((a)t) viz Scalar field f evaluated on smooth curve a therefore gradient of “f” in terms of “a” will have x and y co-ordinates in terms of curve “a” Gradient of f has j component xez which corresponds to xth componet of curve viz t viz xez = t Since 3D function f is expressed in terms of 2D curve viz gradient of function with x coordinate corresponds to x coordinate of “a” and gradient of function with y coordinate corresponds to y coordinate of “a”
  • 73.
  • 74.
    (( Derivative of Vectorfield g(r) constrained to 2d SURFACE Vector field g(r) and position vector “r” VECTOR CALCULUS BY ANDREA MOIOLA PAGE 28 OF 112 Vector field g(r) and position vector “r” Value of field g depends upon Sh viz position vector )) (( VERY VERY IMPORTANT RESULTS Partial Derivatives and Total Derivatives of Composite Functions Given Curve Scalar field and Vector field F = xi + zj –yk compute Partial Derivatives and Total Derivatives of Composite Functions
  • 75.
    Given Curve a(t)Scalar field “g” and Vector field F = xi + zj –yk compute partial derivatives of gF and total derivatives of ga and Gfa by calculating compositions and then deriving them and by using Vector formulas VECTOR CALCULUS BY ANDREA MOIOLA PAGE 29 OF 112 CONSIDER g scalar function composite of Vector Field F and Curve “a” Curve “a” pertains to x y co-ordinate therefore F vector field evaluated on Curve “a” has sint j as y component corresponds to y coordinate on F vector field viz yk Therefore
  • 76.
    )) END END GREATPROFESSOR ANDREA MOIOLA UNIVERSITY OF READING – VECTOR CALCULUS Vector Calculus Lecture Notes 2015 GREAT PROFESSOR Andrea Moiola University of Reading 23 Sep 2015 11 )))) ))))))))
  • 77.