NETWORK ANALYSIS
CONTENTS
2.STEADY STATE ANALYSIS OF AC CIRCUITS
2.1 Response to Sinusoidal Excitation-Pure Resistance
2.2 Response to Sinusoidal Excitation-Pure Inductance
2.3 Response to Sinusoidal Excitation-Pure Capacitance
2.4 Impedance concept and phase angle
2.5 Series Circuits-RL,RC,RLC
2.6 Steady state AC Mesh Analysis
2.7 Steady state AC Nodal Analysis
2.8 Star-Delta &Delta-Star Transformation
2.STEADY STATE ANALYSIS OFAC CIRCUITS
2.1 Response to Sinusoidal Excitation-Pure Resistance :
• The circuit which contains only a resistance of R ohms in
the AC circuit is known as Pure Resistive AC Circuit.
• Let a sinusoidal alternating voltage is
applied across a pure resistance as shown in the Fig.2.1(a).
𝑣(𝑡) = 𝑉𝑚sin𝜔𝑡
• The current flowing through the resistance R is
𝑖(𝑡) =
)𝑣(𝑡
𝑅
=
𝑉𝑚
𝑅
sin𝜔𝑡
where
• The current flowing through the resistance is also
sinusoidal and it is in phase with the applied voltage.
• The phase angle between voltage and current is zero.
• In pure resistance, current and voltage are in phase.
i. Instantaneous power
𝑖(𝑡) = 𝐼 𝑚sin𝜔𝑡
𝐼 𝑚 =
𝑉𝑚
𝑅
)𝑝(𝑡) = 𝑣(𝑡) × 𝑖(𝑡
𝑝(𝑡) = 𝑉𝑚 𝐼 𝑚sin2
𝜔𝑡
The average power is given by
𝑃𝑎𝑣 =
1
𝑇
0
𝑇
𝑝(𝑡)𝑑𝑡
=
1
𝑇
0
𝑇
𝑉𝑚 𝐼 𝑚
2
−
𝑉𝑚 𝐼 𝑚
2
cos2𝜔𝑡 𝑑 𝑡
=
𝑉𝑚 𝐼 𝑚
2
=
𝑉𝑚
2
𝐼 𝑚
2
𝑃𝑎𝑣 = 𝑉𝑟.𝑚.𝑠 𝐼𝑟.𝑚.𝑠
Where Pav is average power
Vr.m.s is root mean square value of supply voltage
Ir.m.s is root mean square value of the current
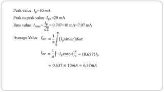
Example 2.1 A sinusoidal voltage is applied to the resistive circuit shown in
Fig.2.1(d).Determine the following values
(a) (b) (c) (d)𝐼𝑟𝑚𝑠 𝐼 𝑎𝑣 𝐼 𝑝 𝐼 𝑝𝑝
Solution The function given to the circuit shown is
The current passing through the resistor is
𝑣(𝑡) = 𝑉𝑝sin𝜔𝑡 = 20sin𝜔𝑡
𝑖(𝑡) =
)𝑣(𝑡
𝑅
=
20
2 × 103
sin𝜔𝑡 = 10 × 10−3sin𝜔𝑡
Peak value
Peak to peak value
Rms value = 0.707×10 mA=7.07 mA
𝐼 𝑝=10 mA
𝐼 𝑝𝑝=20 mA
𝐼𝑟𝑚𝑠=
𝐼 𝑝
2
Average Value =
1
𝜋
0
𝜋
𝐼 𝑝sin𝜔𝑡 𝑑𝜔𝑡𝐼 𝑎𝑣
𝐼 𝑎𝑣 =
1
𝜋
−𝐼 𝑝cos𝜔𝑡
0
𝜋
= 0.637 𝐼 𝑃
= 0.637 × 10𝑚𝐴 = 6.37𝑚𝐴
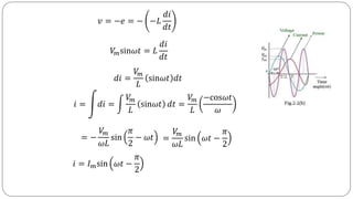
2.2 Response to Sinusoidal Excitation-Pure Inductance :
• The circuit which contains only inductance (L) in the
Circuit is called a Pure inductive circuit.
• Let a sinusoidal alternating voltage is
applied across a pure inductance as shown in the
Fig.2.2(a).
𝑣(𝑡) = 𝑉𝑚sin𝜔𝑡
• As a result, an alternating current i(t) flows through the inductance which induces an
emf in it.
𝑒 = −𝐿
𝑑𝑖
𝑑𝑡
• The emf which is induced in the circuit is equal and opposite to the applied voltage
𝑣 = −𝑒 = − −𝐿
𝑑𝑖
𝑑𝑡
𝑉𝑚sin𝜔𝑡 = 𝐿
𝑑𝑖
𝑑𝑡
𝑑𝑖 =
𝑉𝑚
𝐿
sin𝜔𝑡 𝑑𝑡
𝑖 = 𝑑𝑖 =
𝑉𝑚
𝐿
sin𝜔𝑡 𝑑𝑡 =
𝑉𝑚
𝐿
−cos𝜔𝑡
𝜔
= −
𝑉𝑚
𝜔𝐿
sin
𝜋
2
− 𝜔𝑡 =
𝑉𝑚
𝜔𝐿
sin 𝜔𝑡 −
𝜋
2
𝑖 = 𝐼 𝑚sin 𝜔𝑡 −
𝜋
2
Where
𝐼 𝑚 =
𝑉𝑚
ω𝐿
=
𝑉𝑚
𝑋 𝐿
Where
𝑋 𝐿 = 𝜔𝐿 = 2𝜋𝑓𝐿 Ω
• In pure inductance circuit, current flowing through the inductor lags
the voltage by 90 degrees.
i. Instantaneous power )𝑝(𝑡) = 𝑣(𝑡) × 𝑖(𝑡
= 𝑉𝑚sin𝜔𝑡 × 𝐼 𝑚sin ω𝑡 −
𝜋
2
= −𝑉𝑚 𝐼 𝑚sin 𝜔𝑡 cos 𝜔𝑡
𝑃(𝑡) = −
𝑉𝑚 𝐼 𝑚
2
sin 2𝜔𝑡
The average power is given by
𝑃𝑎𝑣 =
1
T 0
𝑇
−
𝑉𝑚 𝐼 𝑚
2
sin 2𝜔𝑡 𝑑 𝑡 = 0
ii. The energy stored in a pure inductor is obtained by integrating power expression
over a positive half cycle of power variation.
Energy Stored
=
𝑉𝑚 𝐼 𝑚
2𝜔
=
1
2
𝐿𝐼 𝑚
2
Energy stored in a pure inductor =
1
2
𝐿𝐼 𝑚
2 𝐽𝑜𝑢𝑙𝑒𝑠
= −
𝑉𝑚 𝐼 𝑚
2
−cos2𝜔𝑡
2𝜔 𝑇
2
𝑇
𝑊 =
𝑇
2
𝑇
𝑃 𝑡 𝑑𝑡 = −
𝑉𝑚 𝐼 𝑚
2
𝑇
2
𝑇
sin2𝜔𝑡 𝑑𝑡
Example 2.2 Determine the rms current in the circuit shown in Fig 2.2(d)
Solution Inductive reactance 𝑋 𝐿 = 2𝜋𝑓𝐿
= 2𝜋 × 10 × 103
× 50 × 10−3
𝑋 𝐿 = 3.141𝑘𝛺
𝐼𝑟𝑚𝑠 =
𝑉𝑟𝑚𝑠
𝑋 𝐿
𝐼𝑟𝑚𝑠 =
10
3.141 × 103
= 3.18 mA
2.3 Response to Sinusoidal Excitation-Pure Capacitance :
• The circuit which contains only a pure capacitor of
capacitance C farads is known as a Pure Capacitor
Circuit.
• Let a sinusoidal alternating voltage is
applied across a pure capacitance as shown in the
Fig.2.3(a).
𝑣 𝑡 = 𝑉𝑚sin𝜔𝑡
• Current flowing through the circuit is given by the equation
𝑖(𝑡) =
𝑑𝑞
𝑑𝑡
=
)𝑑(𝐶𝑉
𝑑𝑡
𝑖(𝑡) = 𝜔𝐶𝑉𝑚cos𝜔𝑡
= 𝐼 𝑚sin 𝜔𝑡 +
𝜋
2
𝐼 𝑚 = 𝜔𝐶𝑉𝑚
𝑉𝑚
𝐼 𝑚
=
1
𝜔𝐶
=
1
2𝜋𝑓𝐶
= 𝑋 𝐶
• In the pure Capacitor circuit, the current flowing through the
capacitor leads the voltage by an angle of 90 degrees.
i. Instantaneous power )𝑝(𝑡) = 𝑣(𝑡) × 𝑖(𝑡
= 𝑉𝑚sin𝜔𝑡 × 𝐼 𝑚sin ω𝑡 +
𝜋
2
= 𝑉𝑚 𝐼 𝑚sin𝜔𝑡cos𝜔𝑡
𝑝(𝑡) =
𝑉𝑚 𝐼 𝑚
2
sin2𝜔𝑡
The average power is given by
𝑃𝑎𝑣 =
1
𝑇 0
T
𝑉𝑚 𝐼 𝑚
2
sin 2𝜔𝑡 𝑑 𝜔𝑡 = 0
ii. The energy stored in a pure capacitor is obtained by integrating power
expression over a positive half cycle of power variation.
Energy Stored = 𝑊 =
0
𝑇 2
)𝑝(𝑡 𝑑𝑡 =
𝑉𝑚 𝐼 𝑚
2
0
𝑇 2
sin2𝜔𝑡 𝑑𝑡
=
𝑉𝑚 𝐼 𝑚
2𝜔
=
1
2
𝐶𝑉𝑚
2
Energy stored in a pure capacitor=
1
2
𝐶𝑉𝑚
2 Joules
Example 2.3 Determine the rms current in the circuit shown in Fig 2.3(d)
Solution Capacitive reactance 𝑋 𝐶 =
1
2𝜋𝑓𝐶
=
1
2𝜋 × 5 × 103 × 0.01 × 10−6
𝑋 𝐶 = 3.18𝐾𝛺
𝐼𝑟𝑚𝑠 =
𝑉𝑟𝑚𝑠
𝑋 𝐶
𝐼𝑟𝑚𝑠 =
5
3.18𝐾
= 1.57 mA
2.4 Impedance and Phase angle :
• Impedance is defined as the opposition offered by the circuit elements to the flow
of alternating current.
• It can also be defined as the ratio of voltage function to current function and it is
denoted with Z.
• If voltage and current are both sinusoidal functions of time, the phase difference
between voltage and current is called phase angle.
Impedance=Z=
𝑉𝑜𝑙𝑡𝑎𝑔𝑒 𝑓𝑢𝑛𝑐𝑡𝑖𝑜𝑛
𝐶𝑢𝑟𝑟𝑒𝑛𝑡 𝑓𝑢𝑛𝑐𝑡𝑖𝑜𝑛
𝑍 =
𝑣
𝑖
=
𝑉 𝑚
𝐼 𝑚
=
𝑉 𝑅𝑀𝑆
𝐼 𝑅𝑀𝑆
ohms
Impedance Table for R,L and C Elements:
2.5.1 Series RL Circuit :
• Consider a circuit consisting of pure resistance
connected in series with pure inductance.
• Let a sinusoidal alternating voltage is applied across a
series RL circuit as shown in the Fig.2.5(a).
By applying Kirchhoff’s voltage law to the circuit
shown in Fig.2.5(a)
We get,
𝑉 = 𝑉𝑅 + 𝑉𝐿
𝑉 = 𝐼𝑅 + 𝐼𝑋 𝐿
• Generally, for series a.c. circuit, current is taken as the reference phasor and the
phasor diagram is shown in the Fig.2.5(b).
Steps to draw Phasor diagram:
1. Take current as a reference phasor.
2. In case of resistance, voltage and current are in phase, so
VR will be along current phasor.
3. In case of inductance, current lags voltage by 90 degrees.
4. Supply voltage is obtained by the vector sum of VL and
VR .
𝑉 = 𝑉𝑅
2 + 𝑉𝐿
2 = 𝐼𝑅 2 + 𝐼 × 𝑋 𝐿
2
= 𝐼 𝑅 2 + 𝑋 𝐿
2
𝑉𝑆 =
Consider the right angle triangle OAB,
𝑉 = 𝐼𝑍
𝑍 = 𝑅 2 + 𝑋 𝐿
2Impedance,
From impedance triangle,
tan𝜙 =
𝑋 𝐿
𝑅
In polar form, impedance can be represented as
𝑍 = |𝑍|∠𝜙
𝑍 = 𝑅 + 𝑗𝑋 𝐿
In rectangular form, impedance can be represented as
|𝑍| = 𝑅 2 + 𝑋 𝐿
2 𝜙 = tan−1
𝑋 𝐿
𝑅and
𝑅 = 𝑍cos𝜙, 𝑋 𝐿 = 𝑍sin𝜙
Instantaneous power )𝑝(𝑡) = 𝑣(𝑡) × 𝑖(𝑡
Where and𝑣(𝑡) = 𝑉𝑚sin𝜔𝑡 )𝑖(𝑡) = 𝐼 𝑚sin(𝜔𝑡 − 𝜙
𝑝(𝑡) = 𝑉𝑚sin𝜔𝑡 × )𝐼 𝑚sin(𝜔𝑡 − 𝜙
𝑝(𝑡) =
𝑉𝑚 𝐼 𝑚
2
2sin 𝜔𝑡 − 𝜙 sin𝜔𝑡
𝑝(𝑡) =
𝑉𝑚
2
𝐼 𝑚
2
)cos𝜙 − cos(2𝜔𝑡 − 𝜙
𝑝(𝑡) =
𝑉𝑚
2
𝐼 𝑚
2
cos𝜙 −
𝑉𝑚
2
𝐼 𝑚
2
cos 2𝜔𝑡 − 𝜙
The average power consumed in the circuit over one complete cycle is given by
𝑃𝑎𝑣 =
1
𝑇
0
𝑇
𝑝(𝑡)𝑑 𝑡 =
𝑉𝑚 𝐼 𝑚
2𝑇
0
𝑇
cos𝜙 − cos 2𝜔𝑡 − 𝜙 𝑑 𝑡
= 𝑉𝑟.𝑚.𝑠 𝐼𝑟.𝑚.𝑠cos𝜙 = 𝑉𝐼cos𝜙𝑃𝑎𝑣 =
𝑉𝑚
2
𝐼 𝑚
2
cos𝜙
Example 2.4 To the circuit shown in the Fig.2.5(e),consisting a 1KW resistor connected
in series with a 50mH coil, a 10Vrms,10KHZ signal is applied. Find impedance Z,current
I, phase angle ,voltage across the resistance and the voltage across the inductance .𝑉𝑅 𝑉𝐿
Solution Inductive reactance
In rectangular form,
Total impedance
𝑋 𝐿 = 𝜔𝐿 = 2𝜋𝑓𝐿 = 6.28 104 50 × 10−3 = 3140𝛺
𝑍 = 1000 + 𝑗3140 𝛺
= 𝑅2 + 𝑋 𝐿
2 = 1000 2 + 3140 2 = 3295.4𝛺
𝜃
Current
Phase angle
Therefore, in polar form in total impedance
Voltage across the resistance
Voltage across the inductance
𝐼 =
𝑉𝑆
𝑍
=
10
3295.4
= 3.03𝑚𝐴
𝜃 = tan−1
𝑋 𝐿
𝑅
= tan−1
3140
1000
= 72.330
𝑍 = 3295.4∠72.330
𝑉𝑅 = 𝐼𝑅 = 3.03 × 10−3
× 1000 = 3.03𝑉
𝑉𝐿 = 𝐼𝑋 𝐿 = 3.03 × 10−3 × 3140 = 9.51𝑉
Example 2.5 Determine the source voltage and the phase angle, if voltage across the
resistance is 70V and the voltage across the inductance is 20V as shown in Fig.
Solution Source voltage is given by 𝑉𝑆 = 𝑉𝑅
2
+ 𝑉𝐿
2
= 70 2 + 20 2 = 72.8𝑉
The angle between the current and source voltage is
𝜃 = tan−1
20
70
= 15.940
2.5.2 Series RC Circuit :
• Consider a circuit consisting of pure resistance R ohms
connected in series with a pure capacitor of capacitance C
farads.
• Let a sinusoidal alternating voltage is applied across a series
RC circuit as shown in the Fig.2.6(a).
By applying Kirchhoff’s voltage law to the circuit shown in Fig.2.6(a)
𝑉 = 𝑉𝑅 + 𝑉𝐶
𝑉 = 𝐼𝑅 + 𝐼𝑋 𝐶
• Generally, for series a.c. circuit, current is taken as the reference phasor and the
phasor diagram is shown in the Fig.2.6(b).
Steps to draw Phasor diagram:
1. Take current as a reference phasor.
2. In case of resistance, voltage and current are in phase, so VR
will be along current phasor.
3. In case of pure capacitance, current leads the voltage by 90
degrees.
4. Supply voltage is attained by the vector sum of VC and VR .
Consider the right angle triangle OAB,
𝑉 = 𝑉𝑅
2 + 𝑉𝐶
2 = 𝐼𝑅 2 + 𝐼 × 𝑋 𝐶
2𝑉𝑆 =
= 𝐼 𝑅 2 + 𝑋 𝐶
2
𝑉 = 𝐼𝑍
𝑍 = 𝑅 2 + 𝑋 𝐶
2Impedance,
From impedance triangle,
tan𝜙 =
𝑋 𝐶
𝑅
In rectangular form, impedance can be represented as
𝑍 = 𝑅 − 𝑗𝑋 𝐶
𝑅 = 𝑍cos𝜙, 𝑋 𝐶 = 𝑍sin𝜙where
In polar form, impedance can be represented as
𝑍 = |𝑍|∠𝜙
|𝑍| = 𝑅 2 + 𝑋 𝐶
2 and 𝜙 = tan−1
𝑋 𝐶
𝑅
Instantaneous power )𝑝(𝑡) = 𝑣(𝑡) × 𝑖(𝑡
Where and𝑣(𝑡) = 𝑉𝑚sin𝜔𝑡 )𝑖(𝑡) = 𝐼 𝑚sin(𝜔𝑡 + 𝜙
𝑝(𝑡) = 𝑉𝑚sin𝜔𝑡 × )𝐼 𝑚sin(𝜔𝑡 + 𝜙
𝑝(𝑡) =
𝑉𝑚 𝐼 𝑚
2
2sin 𝜔𝑡 + 𝜙 sin𝜔𝑡
𝑝(𝑡) =
𝑉𝑚
2
𝐼 𝑚
2
)cos𝜙 − cos(2𝜔𝑡 + 𝜙
The average power consumed in the circuit over one complete cycle is given by
𝑃𝑎𝑣 =
1
𝑇
0
𝑇
𝑝(𝑡)𝑑 𝜔𝑡 =
𝑉𝑚 𝐼 𝑚
2𝑇
0
𝑇
cos𝜙 − cos 2𝜔𝑡 + 𝜙 𝑑 𝜔𝑡
= 𝑉𝑟.𝑚.𝑠 𝐼𝑟.𝑚.𝑠cos𝜙 = 𝑉𝐼cos𝜙𝑃𝑎𝑣 =
𝑉𝑚
2
𝐼 𝑚
2
cos𝜙
Example 2.6 Determine the source voltage and phase angle when the voltage across the
Resistor is 20V and the capacitor is 30V as shown in Fig.
Solution Source voltage is given by
𝑉𝑆 = 𝑉𝑅
2
+ 𝑉𝐶
2
= 20 2 + 30 2 = 36𝑉
The angle between the current and source voltage is
𝜃 = tan−1
30
20
= 56.30
Example 2.7 A sine wave generator supplies a 500Hz,10V rms signal to a 2kΩ resistor in
Series with a 0.1μF capacitor as shown in Fig.Determine the
total impedance Z,current I, phase angle ϴ,capacitive voltage
and resistive voltage .𝑉𝐶 𝑉𝑅
Solution Capacitive reactance
𝑋 𝐶 =
1
2𝜋𝑓𝐶
=
1
6.28 × 500 × 0.1 × 10−6
= 3184.7𝛺
Total impedance 𝑍 = 2000 − 𝑗3184.7 𝛺
𝑍 = 2000 2 + 3184.7 2 = 3760.6𝛺
Phase angle 𝜃 = tan−1
−𝑋 𝐶
𝑅
= tan−1
−3184.7
2000
= −57.870
Current 𝐼 =
𝑉𝑆
𝑍
=
10
3760.6
= 2.66𝑚𝐴
Capacitive Voltage 𝑉𝐶 = 𝐼𝑋 𝐶 = 2.66 × 10−3 × 3184.7 = 8.47𝑉
Resistive Voltage 𝑉𝑅 = 𝐼𝑅 = 2.66 × 10−3 × 2000 = 5.32𝑉
Total applied voltage in rectangular form, 𝑉𝑆 = 5.32 − 𝑗8.47𝑉
Total applied voltage in polar form, 𝑉𝑆 = 10∠ − 57.870 𝑉
2.5.3 Series RLC Circuit :
• Consider a circuit consisting of a pure resistance R
ohms, a pure inductance L Henry and a pure
capacitor of capacitance C farads are connected in
series.
• Let a sinusoidal alternating voltage is applied across a series RLC circuit as shown in the
Fig.2.7(a)
By applying Kirchhoff’s voltage law to the circuit shown in Fig.2.7(a)
𝑉 = 𝑉𝑅 + 𝑉𝐿 + 𝑉𝐶
• Generally, for series a.c. circuit, current is taken as the reference phasor and the phasor
diagram is shown in the Fig.2.7(b).
Steps to draw Phasor diagram:
1.Take current as reference.
2. is in phase with I.
3. leads current I by
𝑉𝑅
𝑉𝐿 900
4. Lags current I by
5. Obtain the resultant of and .Both and are in phase opposition ( out of phase).
6.Add that with by law of parallelogram to get the supply voltage.
𝑉𝐶 900
𝑉𝐿 𝑉𝐶 𝑉𝐿 𝑉𝐶 1800
𝑉𝑅
i) :𝑿 𝑳 > 𝑿 𝑪
𝑉 = 𝑉𝑅
2 + 𝑉𝐿 − 𝑉𝐶
2 = 𝐼𝑅 2 + 𝐼𝑋 𝐿 − 𝐼𝑋 𝐶
2
= 𝐼 𝑅 2 + 𝑋 𝐿 − 𝑋 𝐶
2
From the Voltage triangle,
𝑉 = 𝐼𝑍
𝑍 = 𝑅 2 + 𝑋 𝐿 − 𝑋 𝐶
2
𝑿 𝑳 < 𝑿 𝑪ii) :
From the Voltage triangle, 𝑉 = 𝑉𝑅
2 + 𝑉𝐶 − 𝑉𝐿
2 = 𝐼𝑅 2 + 𝐼𝑋 𝐶 − 𝐼𝑋 𝐿
2
= 𝐼 𝑅 2 + 𝑋 𝐶 − 𝑋 𝐿
2
𝑉 = 𝐼𝑍
𝑍 = 𝑅 2 + 𝑋 𝐶 − 𝑋 𝐿
2
iii) :𝑿 𝑳 = 𝑿 𝑪
𝑉 = 𝑉𝑅
From the phasor diagram,
𝑉 = 𝐼𝑅
𝑉 = 𝐼𝑍
𝑍 = 𝑅
2.6 Steady State AC Mesh Analysis:
A mesh is defined as a loop which does not contain any other loops within it.
Number of equations=branches-(nodes-1)
M=B-(N-1)
By applying Kirchhoff’s voltage law around the first mesh
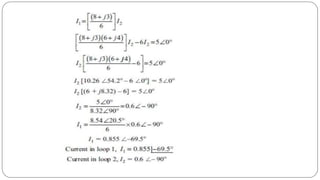
𝑉1 = 𝐼1 𝑍1 + 𝐼1 − 𝐼2 𝑍2
By applying Kirchhoff’s voltage law around the second mesh
𝑍2 𝐼2 − 𝐼1 + 𝑍3 𝐼2 = 0
3
b aV V
Z

𝑉𝑆 = 3.29∠185.450Ans:
2.7 Steady State AC Nodal Analysis:
• In general, in a N node circuit, one of the nodes is choosen as reference or datum node,
then it is possible to write N-1 nodal equations by assuming N-1 node voltages.
• The node voltage is the voltage of a given node with respect to one particular node,
called the reference node (which is assumed at zero potential).
𝑉𝑎 − 𝑉1
𝑍1
+
𝑉𝑎
𝑍2
+
𝑉𝑎 − 𝑉𝑏
𝑍3
= 0
−𝑉1
𝑍1
+ 𝑉𝑎
1
𝑍1
+
1
𝑍2
+
1
𝑍3
−
𝑉𝑏
𝑍3
= 0 … … … (1)
𝑉𝑏 − 𝑉𝑎
𝑍3
+
𝑉𝑏
𝑍4
+
𝑉𝑏
𝑍5 + 𝑍6
= 0
−
𝑉𝑎
𝑍3
+ 𝑉𝑏
1
𝑍3
+
1
𝑍4
+
1
𝑍5 + 𝑍6
= 0 … … … (2)
2.8 Delta-Star transformation:
Three resistances may be connected in star (or Y) and delta(or Δ) connection as shown
in figure
In the star connection,
𝑅 𝑎𝑏 = 𝑅 𝑎 + 𝑅 𝑏 … … … (1)
𝑅 𝑏𝑐 = 𝑅 𝑏 + 𝑅 𝑐 … … … (2)
𝑅 𝑐𝑎 = 𝑅 𝑐 + 𝑅 𝑎 … … … (3)
Similarly in delta connection, the resistance seen from
ab,bc and ca are given by
𝑅 𝑎𝑏 = 𝑅1|| 𝑅2 + 𝑅3 … … … (4)
𝑅 𝑏𝑐 = 𝑅2|| 𝑅1 + 𝑅3 … … … (5)
𝑅 𝑐𝑎 = 𝑅3|| 𝑅1 + 𝑅2 … … … (6)
𝑅 𝑎𝑏 + 𝑅 𝑏𝑐 + 𝑅 𝑐𝑎 = 2 𝑅 𝑎 + 𝑅 𝑏 + 𝑅 𝑐 … … … (7)
Adding the equations 1,2 and 3 we get
Similarly, adding the equations 4,5 and 6,we get
𝑅 𝑎𝑏 + 𝑅 𝑏𝑐 + 𝑅 𝑐𝑎 =
2 𝑅1 𝑅2 + 𝑅2 𝑅3 + 𝑅3 𝑅1
𝑅1 + 𝑅2 + 𝑅3
… … … (8)
From equations 7 and 8
2 𝑅 𝑎 + 𝑅 𝑏 + 𝑅 𝑐 =
2 𝑅1 𝑅2 + 𝑅2 𝑅3 + 𝑅3 𝑅1
𝑅1 + 𝑅2 + 𝑅3
𝑅 𝑎 + 𝑅 𝑏 + 𝑅 𝐶 =
𝑅1 𝑅2 + 𝑅2 𝑅3 + 𝑅3 𝑅1
𝑅1 + 𝑅2 + 𝑅3
… … … (9)
Subtracting equation 5 from 9
𝑅 𝑎 =
𝑅1 𝑅2 + 𝑅2 𝑅3 + 𝑅3 𝑅1
𝑅1 + 𝑅2 + 𝑅3
−
𝑅2 𝑅1 + 𝑅3
𝑅1 + 𝑅2 + 𝑅3
𝑅 𝑎 =
𝑅1 𝑅3
𝑅1 + 𝑅2 + 𝑅3
… … … (10)
𝑅 𝑏 =
𝑅1 𝑅2
𝑅1 + 𝑅2 + 𝑅3
… … … (11)
𝑅 𝑐 =
𝑅2 𝑅3
𝑅1 + 𝑅2 + 𝑅3
… … … (12)
Star-Delta transformation:
Multiplying the equations 10 and 11,11 and 12 and 12 and 10
𝑅 𝑎 𝑅 𝑏 =
𝑅1
2
𝑅2 𝑅3
𝑅1 + 𝑅2 + 𝑅3
2
… … … (13)
𝑅 𝑏 𝑅 𝑐 =
𝑅1 𝑅2
2
𝑅3
𝑅1 + 𝑅2 + 𝑅3
2
… … … (14)
𝑅 𝑐 𝑅 𝑎 =
𝑅1 𝑅2 𝑅3
2
𝑅1 + 𝑅2 + 𝑅3
2
… … … (15)
Adding equations 13,14 and 15,we get
𝑅 𝑎 𝑅 𝑏 + 𝑅 𝑏 𝑅 𝑐 + 𝑅 𝑐 𝑅 𝑎 =
𝑅1 𝑅2 𝑅3 𝑅1 + 𝑅2 + 𝑅3
𝑅1 + 𝑅2 + 𝑅3
2
𝑅 𝑎 𝑅 𝑏 + 𝑅 𝑏 𝑅 𝑐 + 𝑅 𝑐 𝑅 𝑎 =
𝑅1 𝑅2 𝑅3
𝑅1 + 𝑅2 + 𝑅3
… … … (16)
Dividing equation 16 by 12,we get
𝑅1 =
𝑅 𝑎 𝑅 𝑏 + 𝑅 𝑏 𝑅 𝑐 + 𝑅 𝑐 𝑅 𝑎
𝑅 𝑐
𝑅2 =
𝑅 𝑎 𝑅 𝑏 + 𝑅 𝑏 𝑅 𝑐 + 𝑅 𝑐 𝑅 𝑎
𝑅 𝑎
𝑅3 =
𝑅 𝑎 𝑅 𝑏 + 𝑅 𝑏 𝑅 𝑐 + 𝑅 𝑐 𝑅 𝑎
𝑅 𝑏
Ans:4Ω
Ans:28.94Ω

Network analysis unit 2

  • 1.
  • 2.
    CONTENTS 2.STEADY STATE ANALYSISOF AC CIRCUITS 2.1 Response to Sinusoidal Excitation-Pure Resistance 2.2 Response to Sinusoidal Excitation-Pure Inductance 2.3 Response to Sinusoidal Excitation-Pure Capacitance 2.4 Impedance concept and phase angle 2.5 Series Circuits-RL,RC,RLC 2.6 Steady state AC Mesh Analysis 2.7 Steady state AC Nodal Analysis 2.8 Star-Delta &Delta-Star Transformation
  • 3.
    2.STEADY STATE ANALYSISOFAC CIRCUITS 2.1 Response to Sinusoidal Excitation-Pure Resistance : • The circuit which contains only a resistance of R ohms in the AC circuit is known as Pure Resistive AC Circuit. • Let a sinusoidal alternating voltage is applied across a pure resistance as shown in the Fig.2.1(a). 𝑣(𝑡) = 𝑉𝑚sin𝜔𝑡 • The current flowing through the resistance R is 𝑖(𝑡) = )𝑣(𝑡 𝑅 = 𝑉𝑚 𝑅 sin𝜔𝑡
  • 4.
    where • The currentflowing through the resistance is also sinusoidal and it is in phase with the applied voltage. • The phase angle between voltage and current is zero. • In pure resistance, current and voltage are in phase. i. Instantaneous power 𝑖(𝑡) = 𝐼 𝑚sin𝜔𝑡 𝐼 𝑚 = 𝑉𝑚 𝑅 )𝑝(𝑡) = 𝑣(𝑡) × 𝑖(𝑡 𝑝(𝑡) = 𝑉𝑚 𝐼 𝑚sin2 𝜔𝑡 The average power is given by
  • 5.
    𝑃𝑎𝑣 = 1 𝑇 0 𝑇 𝑝(𝑡)𝑑𝑡 = 1 𝑇 0 𝑇 𝑉𝑚 𝐼𝑚 2 − 𝑉𝑚 𝐼 𝑚 2 cos2𝜔𝑡 𝑑 𝑡 = 𝑉𝑚 𝐼 𝑚 2 = 𝑉𝑚 2 𝐼 𝑚 2 𝑃𝑎𝑣 = 𝑉𝑟.𝑚.𝑠 𝐼𝑟.𝑚.𝑠 Where Pav is average power Vr.m.s is root mean square value of supply voltage Ir.m.s is root mean square value of the current
  • 6.
    Example 2.1 Asinusoidal voltage is applied to the resistive circuit shown in Fig.2.1(d).Determine the following values (a) (b) (c) (d)𝐼𝑟𝑚𝑠 𝐼 𝑎𝑣 𝐼 𝑝 𝐼 𝑝𝑝 Solution The function given to the circuit shown is The current passing through the resistor is 𝑣(𝑡) = 𝑉𝑝sin𝜔𝑡 = 20sin𝜔𝑡 𝑖(𝑡) = )𝑣(𝑡 𝑅 = 20 2 × 103 sin𝜔𝑡 = 10 × 10−3sin𝜔𝑡
  • 7.
    Peak value Peak topeak value Rms value = 0.707×10 mA=7.07 mA 𝐼 𝑝=10 mA 𝐼 𝑝𝑝=20 mA 𝐼𝑟𝑚𝑠= 𝐼 𝑝 2 Average Value = 1 𝜋 0 𝜋 𝐼 𝑝sin𝜔𝑡 𝑑𝜔𝑡𝐼 𝑎𝑣 𝐼 𝑎𝑣 = 1 𝜋 −𝐼 𝑝cos𝜔𝑡 0 𝜋 = 0.637 𝐼 𝑃 = 0.637 × 10𝑚𝐴 = 6.37𝑚𝐴
  • 8.
    2.2 Response toSinusoidal Excitation-Pure Inductance : • The circuit which contains only inductance (L) in the Circuit is called a Pure inductive circuit. • Let a sinusoidal alternating voltage is applied across a pure inductance as shown in the Fig.2.2(a). 𝑣(𝑡) = 𝑉𝑚sin𝜔𝑡 • As a result, an alternating current i(t) flows through the inductance which induces an emf in it. 𝑒 = −𝐿 𝑑𝑖 𝑑𝑡 • The emf which is induced in the circuit is equal and opposite to the applied voltage
  • 9.
    𝑣 = −𝑒= − −𝐿 𝑑𝑖 𝑑𝑡 𝑉𝑚sin𝜔𝑡 = 𝐿 𝑑𝑖 𝑑𝑡 𝑑𝑖 = 𝑉𝑚 𝐿 sin𝜔𝑡 𝑑𝑡 𝑖 = 𝑑𝑖 = 𝑉𝑚 𝐿 sin𝜔𝑡 𝑑𝑡 = 𝑉𝑚 𝐿 −cos𝜔𝑡 𝜔 = − 𝑉𝑚 𝜔𝐿 sin 𝜋 2 − 𝜔𝑡 = 𝑉𝑚 𝜔𝐿 sin 𝜔𝑡 − 𝜋 2 𝑖 = 𝐼 𝑚sin 𝜔𝑡 − 𝜋 2
  • 10.
    Where 𝐼 𝑚 = 𝑉𝑚 ω𝐿 = 𝑉𝑚 𝑋𝐿 Where 𝑋 𝐿 = 𝜔𝐿 = 2𝜋𝑓𝐿 Ω • In pure inductance circuit, current flowing through the inductor lags the voltage by 90 degrees. i. Instantaneous power )𝑝(𝑡) = 𝑣(𝑡) × 𝑖(𝑡 = 𝑉𝑚sin𝜔𝑡 × 𝐼 𝑚sin ω𝑡 − 𝜋 2 = −𝑉𝑚 𝐼 𝑚sin 𝜔𝑡 cos 𝜔𝑡 𝑃(𝑡) = − 𝑉𝑚 𝐼 𝑚 2 sin 2𝜔𝑡 The average power is given by 𝑃𝑎𝑣 = 1 T 0 𝑇 − 𝑉𝑚 𝐼 𝑚 2 sin 2𝜔𝑡 𝑑 𝑡 = 0
  • 11.
    ii. The energystored in a pure inductor is obtained by integrating power expression over a positive half cycle of power variation. Energy Stored = 𝑉𝑚 𝐼 𝑚 2𝜔 = 1 2 𝐿𝐼 𝑚 2 Energy stored in a pure inductor = 1 2 𝐿𝐼 𝑚 2 𝐽𝑜𝑢𝑙𝑒𝑠 = − 𝑉𝑚 𝐼 𝑚 2 −cos2𝜔𝑡 2𝜔 𝑇 2 𝑇 𝑊 = 𝑇 2 𝑇 𝑃 𝑡 𝑑𝑡 = − 𝑉𝑚 𝐼 𝑚 2 𝑇 2 𝑇 sin2𝜔𝑡 𝑑𝑡
  • 12.
    Example 2.2 Determinethe rms current in the circuit shown in Fig 2.2(d) Solution Inductive reactance 𝑋 𝐿 = 2𝜋𝑓𝐿 = 2𝜋 × 10 × 103 × 50 × 10−3 𝑋 𝐿 = 3.141𝑘𝛺 𝐼𝑟𝑚𝑠 = 𝑉𝑟𝑚𝑠 𝑋 𝐿 𝐼𝑟𝑚𝑠 = 10 3.141 × 103 = 3.18 mA
  • 13.
    2.3 Response toSinusoidal Excitation-Pure Capacitance : • The circuit which contains only a pure capacitor of capacitance C farads is known as a Pure Capacitor Circuit. • Let a sinusoidal alternating voltage is applied across a pure capacitance as shown in the Fig.2.3(a). 𝑣 𝑡 = 𝑉𝑚sin𝜔𝑡 • Current flowing through the circuit is given by the equation 𝑖(𝑡) = 𝑑𝑞 𝑑𝑡 = )𝑑(𝐶𝑉 𝑑𝑡
  • 14.
    𝑖(𝑡) = 𝜔𝐶𝑉𝑚cos𝜔𝑡 =𝐼 𝑚sin 𝜔𝑡 + 𝜋 2 𝐼 𝑚 = 𝜔𝐶𝑉𝑚 𝑉𝑚 𝐼 𝑚 = 1 𝜔𝐶 = 1 2𝜋𝑓𝐶 = 𝑋 𝐶 • In the pure Capacitor circuit, the current flowing through the capacitor leads the voltage by an angle of 90 degrees. i. Instantaneous power )𝑝(𝑡) = 𝑣(𝑡) × 𝑖(𝑡 = 𝑉𝑚sin𝜔𝑡 × 𝐼 𝑚sin ω𝑡 + 𝜋 2 = 𝑉𝑚 𝐼 𝑚sin𝜔𝑡cos𝜔𝑡
  • 15.
    𝑝(𝑡) = 𝑉𝑚 𝐼𝑚 2 sin2𝜔𝑡 The average power is given by 𝑃𝑎𝑣 = 1 𝑇 0 T 𝑉𝑚 𝐼 𝑚 2 sin 2𝜔𝑡 𝑑 𝜔𝑡 = 0 ii. The energy stored in a pure capacitor is obtained by integrating power expression over a positive half cycle of power variation. Energy Stored = 𝑊 = 0 𝑇 2 )𝑝(𝑡 𝑑𝑡 = 𝑉𝑚 𝐼 𝑚 2 0 𝑇 2 sin2𝜔𝑡 𝑑𝑡 = 𝑉𝑚 𝐼 𝑚 2𝜔 = 1 2 𝐶𝑉𝑚 2 Energy stored in a pure capacitor= 1 2 𝐶𝑉𝑚 2 Joules
  • 16.
    Example 2.3 Determinethe rms current in the circuit shown in Fig 2.3(d) Solution Capacitive reactance 𝑋 𝐶 = 1 2𝜋𝑓𝐶 = 1 2𝜋 × 5 × 103 × 0.01 × 10−6 𝑋 𝐶 = 3.18𝐾𝛺 𝐼𝑟𝑚𝑠 = 𝑉𝑟𝑚𝑠 𝑋 𝐶 𝐼𝑟𝑚𝑠 = 5 3.18𝐾 = 1.57 mA
  • 17.
    2.4 Impedance andPhase angle : • Impedance is defined as the opposition offered by the circuit elements to the flow of alternating current. • It can also be defined as the ratio of voltage function to current function and it is denoted with Z. • If voltage and current are both sinusoidal functions of time, the phase difference between voltage and current is called phase angle. Impedance=Z= 𝑉𝑜𝑙𝑡𝑎𝑔𝑒 𝑓𝑢𝑛𝑐𝑡𝑖𝑜𝑛 𝐶𝑢𝑟𝑟𝑒𝑛𝑡 𝑓𝑢𝑛𝑐𝑡𝑖𝑜𝑛 𝑍 = 𝑣 𝑖 = 𝑉 𝑚 𝐼 𝑚 = 𝑉 𝑅𝑀𝑆 𝐼 𝑅𝑀𝑆 ohms
  • 18.
    Impedance Table forR,L and C Elements:
  • 19.
    2.5.1 Series RLCircuit : • Consider a circuit consisting of pure resistance connected in series with pure inductance. • Let a sinusoidal alternating voltage is applied across a series RL circuit as shown in the Fig.2.5(a). By applying Kirchhoff’s voltage law to the circuit shown in Fig.2.5(a) We get, 𝑉 = 𝑉𝑅 + 𝑉𝐿 𝑉 = 𝐼𝑅 + 𝐼𝑋 𝐿 • Generally, for series a.c. circuit, current is taken as the reference phasor and the phasor diagram is shown in the Fig.2.5(b).
  • 20.
    Steps to drawPhasor diagram: 1. Take current as a reference phasor. 2. In case of resistance, voltage and current are in phase, so VR will be along current phasor. 3. In case of inductance, current lags voltage by 90 degrees. 4. Supply voltage is obtained by the vector sum of VL and VR . 𝑉 = 𝑉𝑅 2 + 𝑉𝐿 2 = 𝐼𝑅 2 + 𝐼 × 𝑋 𝐿 2 = 𝐼 𝑅 2 + 𝑋 𝐿 2 𝑉𝑆 = Consider the right angle triangle OAB,
  • 21.
    𝑉 = 𝐼𝑍 𝑍= 𝑅 2 + 𝑋 𝐿 2Impedance, From impedance triangle, tan𝜙 = 𝑋 𝐿 𝑅 In polar form, impedance can be represented as 𝑍 = |𝑍|∠𝜙 𝑍 = 𝑅 + 𝑗𝑋 𝐿 In rectangular form, impedance can be represented as |𝑍| = 𝑅 2 + 𝑋 𝐿 2 𝜙 = tan−1 𝑋 𝐿 𝑅and 𝑅 = 𝑍cos𝜙, 𝑋 𝐿 = 𝑍sin𝜙
  • 22.
    Instantaneous power )𝑝(𝑡)= 𝑣(𝑡) × 𝑖(𝑡 Where and𝑣(𝑡) = 𝑉𝑚sin𝜔𝑡 )𝑖(𝑡) = 𝐼 𝑚sin(𝜔𝑡 − 𝜙 𝑝(𝑡) = 𝑉𝑚sin𝜔𝑡 × )𝐼 𝑚sin(𝜔𝑡 − 𝜙 𝑝(𝑡) = 𝑉𝑚 𝐼 𝑚 2 2sin 𝜔𝑡 − 𝜙 sin𝜔𝑡 𝑝(𝑡) = 𝑉𝑚 2 𝐼 𝑚 2 )cos𝜙 − cos(2𝜔𝑡 − 𝜙 𝑝(𝑡) = 𝑉𝑚 2 𝐼 𝑚 2 cos𝜙 − 𝑉𝑚 2 𝐼 𝑚 2 cos 2𝜔𝑡 − 𝜙 The average power consumed in the circuit over one complete cycle is given by
  • 23.
    𝑃𝑎𝑣 = 1 𝑇 0 𝑇 𝑝(𝑡)𝑑 𝑡= 𝑉𝑚 𝐼 𝑚 2𝑇 0 𝑇 cos𝜙 − cos 2𝜔𝑡 − 𝜙 𝑑 𝑡 = 𝑉𝑟.𝑚.𝑠 𝐼𝑟.𝑚.𝑠cos𝜙 = 𝑉𝐼cos𝜙𝑃𝑎𝑣 = 𝑉𝑚 2 𝐼 𝑚 2 cos𝜙 Example 2.4 To the circuit shown in the Fig.2.5(e),consisting a 1KW resistor connected in series with a 50mH coil, a 10Vrms,10KHZ signal is applied. Find impedance Z,current I, phase angle ,voltage across the resistance and the voltage across the inductance .𝑉𝑅 𝑉𝐿 Solution Inductive reactance In rectangular form, Total impedance 𝑋 𝐿 = 𝜔𝐿 = 2𝜋𝑓𝐿 = 6.28 104 50 × 10−3 = 3140𝛺 𝑍 = 1000 + 𝑗3140 𝛺 = 𝑅2 + 𝑋 𝐿 2 = 1000 2 + 3140 2 = 3295.4𝛺 𝜃
  • 24.
    Current Phase angle Therefore, inpolar form in total impedance Voltage across the resistance Voltage across the inductance 𝐼 = 𝑉𝑆 𝑍 = 10 3295.4 = 3.03𝑚𝐴 𝜃 = tan−1 𝑋 𝐿 𝑅 = tan−1 3140 1000 = 72.330 𝑍 = 3295.4∠72.330 𝑉𝑅 = 𝐼𝑅 = 3.03 × 10−3 × 1000 = 3.03𝑉 𝑉𝐿 = 𝐼𝑋 𝐿 = 3.03 × 10−3 × 3140 = 9.51𝑉 Example 2.5 Determine the source voltage and the phase angle, if voltage across the resistance is 70V and the voltage across the inductance is 20V as shown in Fig. Solution Source voltage is given by 𝑉𝑆 = 𝑉𝑅 2 + 𝑉𝐿 2 = 70 2 + 20 2 = 72.8𝑉
  • 25.
    The angle betweenthe current and source voltage is 𝜃 = tan−1 20 70 = 15.940 2.5.2 Series RC Circuit : • Consider a circuit consisting of pure resistance R ohms connected in series with a pure capacitor of capacitance C farads. • Let a sinusoidal alternating voltage is applied across a series RC circuit as shown in the Fig.2.6(a). By applying Kirchhoff’s voltage law to the circuit shown in Fig.2.6(a) 𝑉 = 𝑉𝑅 + 𝑉𝐶
  • 26.
    𝑉 = 𝐼𝑅+ 𝐼𝑋 𝐶 • Generally, for series a.c. circuit, current is taken as the reference phasor and the phasor diagram is shown in the Fig.2.6(b). Steps to draw Phasor diagram: 1. Take current as a reference phasor. 2. In case of resistance, voltage and current are in phase, so VR will be along current phasor. 3. In case of pure capacitance, current leads the voltage by 90 degrees. 4. Supply voltage is attained by the vector sum of VC and VR .
  • 27.
    Consider the rightangle triangle OAB, 𝑉 = 𝑉𝑅 2 + 𝑉𝐶 2 = 𝐼𝑅 2 + 𝐼 × 𝑋 𝐶 2𝑉𝑆 = = 𝐼 𝑅 2 + 𝑋 𝐶 2 𝑉 = 𝐼𝑍 𝑍 = 𝑅 2 + 𝑋 𝐶 2Impedance, From impedance triangle, tan𝜙 = 𝑋 𝐶 𝑅 In rectangular form, impedance can be represented as 𝑍 = 𝑅 − 𝑗𝑋 𝐶 𝑅 = 𝑍cos𝜙, 𝑋 𝐶 = 𝑍sin𝜙where
  • 28.
    In polar form,impedance can be represented as 𝑍 = |𝑍|∠𝜙 |𝑍| = 𝑅 2 + 𝑋 𝐶 2 and 𝜙 = tan−1 𝑋 𝐶 𝑅 Instantaneous power )𝑝(𝑡) = 𝑣(𝑡) × 𝑖(𝑡 Where and𝑣(𝑡) = 𝑉𝑚sin𝜔𝑡 )𝑖(𝑡) = 𝐼 𝑚sin(𝜔𝑡 + 𝜙 𝑝(𝑡) = 𝑉𝑚sin𝜔𝑡 × )𝐼 𝑚sin(𝜔𝑡 + 𝜙 𝑝(𝑡) = 𝑉𝑚 𝐼 𝑚 2 2sin 𝜔𝑡 + 𝜙 sin𝜔𝑡 𝑝(𝑡) = 𝑉𝑚 2 𝐼 𝑚 2 )cos𝜙 − cos(2𝜔𝑡 + 𝜙 The average power consumed in the circuit over one complete cycle is given by
  • 29.
    𝑃𝑎𝑣 = 1 𝑇 0 𝑇 𝑝(𝑡)𝑑 𝜔𝑡= 𝑉𝑚 𝐼 𝑚 2𝑇 0 𝑇 cos𝜙 − cos 2𝜔𝑡 + 𝜙 𝑑 𝜔𝑡 = 𝑉𝑟.𝑚.𝑠 𝐼𝑟.𝑚.𝑠cos𝜙 = 𝑉𝐼cos𝜙𝑃𝑎𝑣 = 𝑉𝑚 2 𝐼 𝑚 2 cos𝜙 Example 2.6 Determine the source voltage and phase angle when the voltage across the Resistor is 20V and the capacitor is 30V as shown in Fig. Solution Source voltage is given by 𝑉𝑆 = 𝑉𝑅 2 + 𝑉𝐶 2 = 20 2 + 30 2 = 36𝑉 The angle between the current and source voltage is 𝜃 = tan−1 30 20 = 56.30
  • 30.
    Example 2.7 Asine wave generator supplies a 500Hz,10V rms signal to a 2kΩ resistor in Series with a 0.1μF capacitor as shown in Fig.Determine the total impedance Z,current I, phase angle ϴ,capacitive voltage and resistive voltage .𝑉𝐶 𝑉𝑅 Solution Capacitive reactance 𝑋 𝐶 = 1 2𝜋𝑓𝐶 = 1 6.28 × 500 × 0.1 × 10−6 = 3184.7𝛺 Total impedance 𝑍 = 2000 − 𝑗3184.7 𝛺 𝑍 = 2000 2 + 3184.7 2 = 3760.6𝛺 Phase angle 𝜃 = tan−1 −𝑋 𝐶 𝑅 = tan−1 −3184.7 2000 = −57.870
  • 31.
    Current 𝐼 = 𝑉𝑆 𝑍 = 10 3760.6 =2.66𝑚𝐴 Capacitive Voltage 𝑉𝐶 = 𝐼𝑋 𝐶 = 2.66 × 10−3 × 3184.7 = 8.47𝑉 Resistive Voltage 𝑉𝑅 = 𝐼𝑅 = 2.66 × 10−3 × 2000 = 5.32𝑉 Total applied voltage in rectangular form, 𝑉𝑆 = 5.32 − 𝑗8.47𝑉 Total applied voltage in polar form, 𝑉𝑆 = 10∠ − 57.870 𝑉 2.5.3 Series RLC Circuit : • Consider a circuit consisting of a pure resistance R ohms, a pure inductance L Henry and a pure capacitor of capacitance C farads are connected in series.
  • 32.
    • Let asinusoidal alternating voltage is applied across a series RLC circuit as shown in the Fig.2.7(a) By applying Kirchhoff’s voltage law to the circuit shown in Fig.2.7(a) 𝑉 = 𝑉𝑅 + 𝑉𝐿 + 𝑉𝐶 • Generally, for series a.c. circuit, current is taken as the reference phasor and the phasor diagram is shown in the Fig.2.7(b). Steps to draw Phasor diagram: 1.Take current as reference. 2. is in phase with I. 3. leads current I by 𝑉𝑅 𝑉𝐿 900
  • 33.
    4. Lags currentI by 5. Obtain the resultant of and .Both and are in phase opposition ( out of phase). 6.Add that with by law of parallelogram to get the supply voltage. 𝑉𝐶 900 𝑉𝐿 𝑉𝐶 𝑉𝐿 𝑉𝐶 1800 𝑉𝑅 i) :𝑿 𝑳 > 𝑿 𝑪 𝑉 = 𝑉𝑅 2 + 𝑉𝐿 − 𝑉𝐶 2 = 𝐼𝑅 2 + 𝐼𝑋 𝐿 − 𝐼𝑋 𝐶 2 = 𝐼 𝑅 2 + 𝑋 𝐿 − 𝑋 𝐶 2 From the Voltage triangle,
  • 34.
    𝑉 = 𝐼𝑍 𝑍= 𝑅 2 + 𝑋 𝐿 − 𝑋 𝐶 2 𝑿 𝑳 < 𝑿 𝑪ii) : From the Voltage triangle, 𝑉 = 𝑉𝑅 2 + 𝑉𝐶 − 𝑉𝐿 2 = 𝐼𝑅 2 + 𝐼𝑋 𝐶 − 𝐼𝑋 𝐿 2 = 𝐼 𝑅 2 + 𝑋 𝐶 − 𝑋 𝐿 2 𝑉 = 𝐼𝑍 𝑍 = 𝑅 2 + 𝑋 𝐶 − 𝑋 𝐿 2
  • 35.
    iii) :𝑿 𝑳= 𝑿 𝑪 𝑉 = 𝑉𝑅 From the phasor diagram, 𝑉 = 𝐼𝑅 𝑉 = 𝐼𝑍 𝑍 = 𝑅
  • 43.
    2.6 Steady StateAC Mesh Analysis: A mesh is defined as a loop which does not contain any other loops within it. Number of equations=branches-(nodes-1) M=B-(N-1) By applying Kirchhoff’s voltage law around the first mesh 𝑉1 = 𝐼1 𝑍1 + 𝐼1 − 𝐼2 𝑍2 By applying Kirchhoff’s voltage law around the second mesh 𝑍2 𝐼2 − 𝐼1 + 𝑍3 𝐼2 = 0
  • 46.
    3 b aV V Z  𝑉𝑆= 3.29∠185.450Ans:
  • 47.
    2.7 Steady StateAC Nodal Analysis: • In general, in a N node circuit, one of the nodes is choosen as reference or datum node, then it is possible to write N-1 nodal equations by assuming N-1 node voltages. • The node voltage is the voltage of a given node with respect to one particular node, called the reference node (which is assumed at zero potential). 𝑉𝑎 − 𝑉1 𝑍1 + 𝑉𝑎 𝑍2 + 𝑉𝑎 − 𝑉𝑏 𝑍3 = 0 −𝑉1 𝑍1 + 𝑉𝑎 1 𝑍1 + 1 𝑍2 + 1 𝑍3 − 𝑉𝑏 𝑍3 = 0 … … … (1) 𝑉𝑏 − 𝑉𝑎 𝑍3 + 𝑉𝑏 𝑍4 + 𝑉𝑏 𝑍5 + 𝑍6 = 0 − 𝑉𝑎 𝑍3 + 𝑉𝑏 1 𝑍3 + 1 𝑍4 + 1 𝑍5 + 𝑍6 = 0 … … … (2)
  • 53.
    2.8 Delta-Star transformation: Threeresistances may be connected in star (or Y) and delta(or Δ) connection as shown in figure In the star connection, 𝑅 𝑎𝑏 = 𝑅 𝑎 + 𝑅 𝑏 … … … (1) 𝑅 𝑏𝑐 = 𝑅 𝑏 + 𝑅 𝑐 … … … (2) 𝑅 𝑐𝑎 = 𝑅 𝑐 + 𝑅 𝑎 … … … (3) Similarly in delta connection, the resistance seen from ab,bc and ca are given by 𝑅 𝑎𝑏 = 𝑅1|| 𝑅2 + 𝑅3 … … … (4) 𝑅 𝑏𝑐 = 𝑅2|| 𝑅1 + 𝑅3 … … … (5) 𝑅 𝑐𝑎 = 𝑅3|| 𝑅1 + 𝑅2 … … … (6)
  • 54.
    𝑅 𝑎𝑏 +𝑅 𝑏𝑐 + 𝑅 𝑐𝑎 = 2 𝑅 𝑎 + 𝑅 𝑏 + 𝑅 𝑐 … … … (7) Adding the equations 1,2 and 3 we get Similarly, adding the equations 4,5 and 6,we get 𝑅 𝑎𝑏 + 𝑅 𝑏𝑐 + 𝑅 𝑐𝑎 = 2 𝑅1 𝑅2 + 𝑅2 𝑅3 + 𝑅3 𝑅1 𝑅1 + 𝑅2 + 𝑅3 … … … (8) From equations 7 and 8 2 𝑅 𝑎 + 𝑅 𝑏 + 𝑅 𝑐 = 2 𝑅1 𝑅2 + 𝑅2 𝑅3 + 𝑅3 𝑅1 𝑅1 + 𝑅2 + 𝑅3 𝑅 𝑎 + 𝑅 𝑏 + 𝑅 𝐶 = 𝑅1 𝑅2 + 𝑅2 𝑅3 + 𝑅3 𝑅1 𝑅1 + 𝑅2 + 𝑅3 … … … (9) Subtracting equation 5 from 9 𝑅 𝑎 = 𝑅1 𝑅2 + 𝑅2 𝑅3 + 𝑅3 𝑅1 𝑅1 + 𝑅2 + 𝑅3 − 𝑅2 𝑅1 + 𝑅3 𝑅1 + 𝑅2 + 𝑅3
  • 55.
    𝑅 𝑎 = 𝑅1𝑅3 𝑅1 + 𝑅2 + 𝑅3 … … … (10) 𝑅 𝑏 = 𝑅1 𝑅2 𝑅1 + 𝑅2 + 𝑅3 … … … (11) 𝑅 𝑐 = 𝑅2 𝑅3 𝑅1 + 𝑅2 + 𝑅3 … … … (12) Star-Delta transformation: Multiplying the equations 10 and 11,11 and 12 and 12 and 10 𝑅 𝑎 𝑅 𝑏 = 𝑅1 2 𝑅2 𝑅3 𝑅1 + 𝑅2 + 𝑅3 2 … … … (13) 𝑅 𝑏 𝑅 𝑐 = 𝑅1 𝑅2 2 𝑅3 𝑅1 + 𝑅2 + 𝑅3 2 … … … (14)
  • 56.
    𝑅 𝑐 𝑅𝑎 = 𝑅1 𝑅2 𝑅3 2 𝑅1 + 𝑅2 + 𝑅3 2 … … … (15) Adding equations 13,14 and 15,we get 𝑅 𝑎 𝑅 𝑏 + 𝑅 𝑏 𝑅 𝑐 + 𝑅 𝑐 𝑅 𝑎 = 𝑅1 𝑅2 𝑅3 𝑅1 + 𝑅2 + 𝑅3 𝑅1 + 𝑅2 + 𝑅3 2 𝑅 𝑎 𝑅 𝑏 + 𝑅 𝑏 𝑅 𝑐 + 𝑅 𝑐 𝑅 𝑎 = 𝑅1 𝑅2 𝑅3 𝑅1 + 𝑅2 + 𝑅3 … … … (16) Dividing equation 16 by 12,we get 𝑅1 = 𝑅 𝑎 𝑅 𝑏 + 𝑅 𝑏 𝑅 𝑐 + 𝑅 𝑐 𝑅 𝑎 𝑅 𝑐 𝑅2 = 𝑅 𝑎 𝑅 𝑏 + 𝑅 𝑏 𝑅 𝑐 + 𝑅 𝑐 𝑅 𝑎 𝑅 𝑎 𝑅3 = 𝑅 𝑎 𝑅 𝑏 + 𝑅 𝑏 𝑅 𝑐 + 𝑅 𝑐 𝑅 𝑎 𝑅 𝑏
  • 58.