Objective   Multiply two binomials.
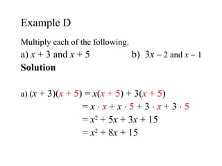
Multiply each of the following. a)  x  + 3 and  x  + 5 b)  3 x     2 and  x     1 Solution  a) ( x  + 3)( x  + 5 ) =  x ( x  + 5 ) + 3( x  + 5 )   =  x     x  +  x      5  + 3     x  + 3     5   =  x 2  + 5 x  + 3 x  + 15   =  x 2  + 8 x  + 15 Example D
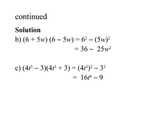
Solution b) ( 3 x     2)( x     1) =  3 x ( x  – 1 )    2( x     1 )   = 3 x     x     3 x      1     2     x     2(  1 )   = 3 x 2     3 x     2 x  + 2   = 3 x 2     5 x  + 2 continued
Objective   Multiply any two polynomials.
Product of Two Polynomials To multiply two polynomials  P  and  Q , select one of the polynomials, say  P . Then multiply each term of  P  by every term of  Q  and collect like terms.
Multiply:  (5 x 3  +  x 2  + 4 x )( x 2  + 3 x ) Solution  5 x 3  +  x 2  + 4 x x 2  +  3 x 15 x 4  + 3 x 3  + 12 x 2 5 x 5  +  x 4  + 4 x 3   5 x 5  + 16 x 4  + 7 x 3  + 12 x 2   Example E  Multiplying the top row by 3 x Multiplying the top row by  x 2 Collecting like terms
Multiply:  (  3 x 2     4)(2 x 2     3 x +  1) Solution  2 x 2     3 x +  1  3 x 2     4        8 x 2   +  12 x      4  6 x 4  + 9 x 3     3 x 2  6 x 4  + 9 x 3      11 x 2  + 12 x      4 Example F  Multiplying by   4 Multiplying by   3 x 2 Collecting like terms
1.  Multiply:  –3 x 2 (6 x 3  – 5 x  + 2).  a)  –18 x 5  + 15 x 3  – 6 x 2 b)  3 x 5  – 8 x 3  –  x 2 c)  18 x 6  + 15 x 2  – 6 x 2 d)   18 x 5  – 5 x  + 2
Section 4.5 1.  Multiply:  –3 x 2 (6 x 3  – 5 x  + 2).  a)  –18 x 5  + 15 x 3  – 6 x 2 b)  3 x 5  – 8 x 3  –  x 2 c)  18 x 6  + 15 x 2  – 6 x 2 d)   18 x 5  – 5 x  + 2
Section 4.5 2.  Multiply:  (3 a  – 4)( a  + 6) a)  3 a 2  + 22 a  – 24  b)  4 a  + 2 c)  3 a 2  – 24  d)  3 a 2  + 14 a  – 24
Section 4.5 2.  Multiply:  (3 a  – 4)( a  + 6) a)  3 a 2  + 22 a  – 24  b)  4 a  + 2 c)  3 a 2  – 24  d)  3 a 2  + 14 a  – 24
Objective   Multiply two binomials mentally using the FOIL method.
The FOIL Method To multiply two binomials,  A  +  B  and  C  +  D , multiply the First terms  AC , the Outer terms  AD , the Inner terms  BC , and then the Last terms  BD . Then combine like terms, if possible. ( A  +  B )( C  +  D ) =  AC  +  AD  +  BC  +  BD Multiply  F irst terms:  AC . Multiply  O uter terms:  AD . Multiply  I nner terms : BC Multiply  L ast terms:  BD ↓ FOIL ( A + B )( C + D ) O I F L
Multiply:  ( x  + 4)( x 2   +  3) Solution  F  O  I  L ( x  + 4)( x 2   +  3) =  x 3  + 3 x  + 4 x 2  + 12   =  x 3  + 4 x 2  + 3 x  + 12 Example A  The terms are rearranged in descending order for the final answer. O I F L
Multiply. a) ( x  + 8)( x   +  5) b) ( y  + 4) ( y     3) c) (5 t 3  + 4 t )(2 t 2     1) d) (4    3 x )(8    5 x 3 ) Solution  a)  ( x  + 8)( x   +  5) =  x 2  + 5 x  + 8 x  + 40 =  x 2  + 13 x  + 40 b) ( y  + 4) ( y     3) =  y 2     3 y  + 4 y     12 =  y 2  +  y     12  Example  B
Solution  c)  (5 t 3  + 4 t )(2 t 2     1) = 10 t 5     5 t 3  + 8 t 3     4 t   = 10 t 5  + 3 t 3     4 t d) (4    3 x )(8    5 x 3 ) = 32    20 x 3     24 x  + 15 x 4   = 32    24 x     20 x 3  + 15 x 4 continued  In general, if the original binomials are written in  ascending  order, the answer is also written that way.
Objective   Multiply the sum and the difference of two terms mentally.
Product of the Sum and Difference The product of the sum and difference of the same two terms is the square of the first term minus the square of the second term. ( A  +  B )( A   –  B ) =  A 2   –  B 2 .
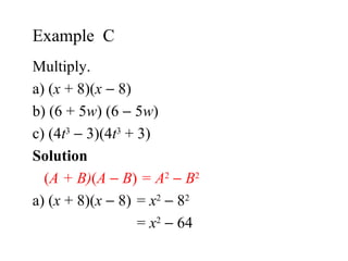
Multiply. a) ( x  + 8)( x     8) b) (6 + 5 w ) (6    5 w ) c) (4 t 3     3)(4 t 3  + 3) Solution  ( A + B) ( A     B )  = A 2      B 2 a)  ( x  + 8)( x     8) =  x 2     8 2 =  x 2     64 Example  C
continued  Solution   b) (6 + 5 w ) (6    5 w ) = 6 2     (5 w ) 2   = 36     25 w 2 c) (4 t 3     3)(4 t 3  + 3) = (4 t 3 ) 2     3 2   =  16 t 6     9
Objective   Square a binomial mentally.
Square of a Binomial The square of a binomial is the square of the first term, plus twice the product of the two terms, plus the square of the last term: ( A  +  B ) 2  =   A 2  +   2 AB + B 2 ; ( A   –  B ) 2  =  A 2  – 2 AB  +  B 2 .
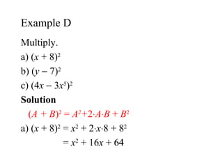
Multiply. a) ( x  + 8) 2 b) ( y     7) 2 c) (4 x     3 x 5 ) 2 Solution  ( A + B ) 2  =  A 2 + 2  A  B  +  B 2 a)  ( x  + 8) 2  =  x 2  + 2  x  8 + 8 2   =  x 2  + 16 x  + 64 Example D
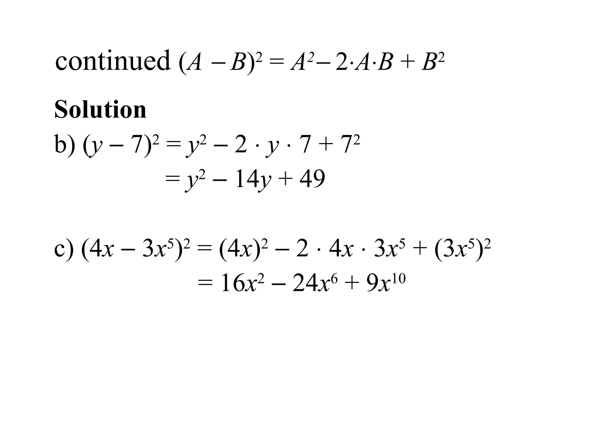
continued  ( A    B ) 2  =  A 2    2  A  B  +  B 2   Solution  b) ( y     7) 2  =  y 2     2     y    7 + 7 2   =  y 2     14 y  + 49 c) (4 x     3 x 5 ) 2  = (4 x ) 2     2    4 x     3 x 5  + (3 x 5 ) 2   = 16 x 2     24 x 6  + 9 x 10
Objective   Find special products when polynomial products are mixed together.
Multiplying Two Polynomials 1. Is the multiplication the product of a monomial and a polynomial? If so, multiply each term of the polynomial by the monomial. 2. Is the multiplication the product of two binomials? If so: a) Is the product of the sum and difference of the  same  two    terms? If so, use the pattern ( A + B )( A    B ) = ( A     B ) 2 b) Is the product the square of a binomial? If so, use the    pattern ( A  +  B ) 2  =  A 2  + 2 AB + B 2 , or  ( A  –  B ) 2  =  A 2  – 2 AB  +  B 2 . c) If neither (a) nor (b) applies, use FOIL. 3. Is the multiplication the product of two polynomials other than those above? If so, multiply each term of one by every term of the other. Use columns if you wish.
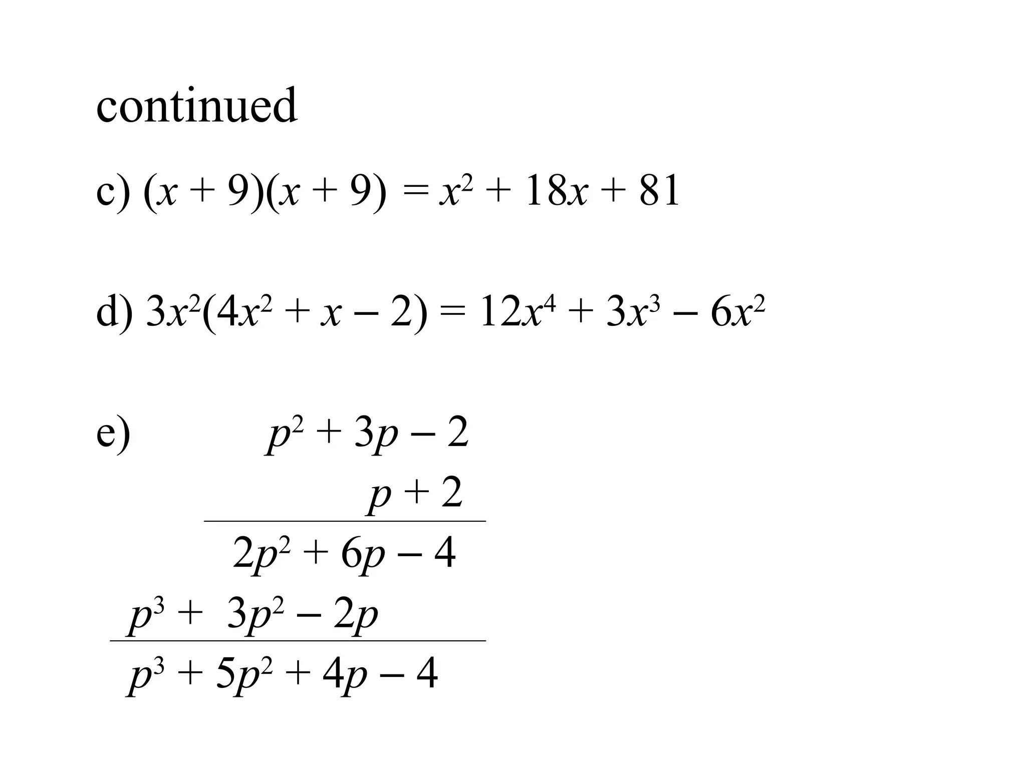
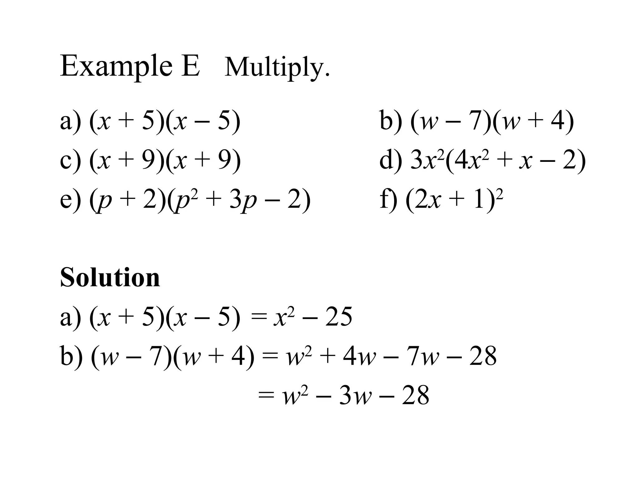
a) ( x  + 5)( x     5) b) ( w     7)( w  + 4) c) ( x  + 9)( x  + 9) d) 3 x 2 (4 x 2  +  x     2) e) ( p  + 2)( p 2  + 3 p     2) f) (2 x  + 1) 2 Solution  a) ( x  + 5)( x     5) =  x 2     25 b) ( w     7)( w  + 4) =  w 2  + 4 w     7 w     28   =  w 2     3 w     28 Example E  Multiply.
c) ( x  + 9)( x  + 9) =  x 2  + 18 x  + 81 d) 3 x 2 (4 x 2  +  x     2) = 12 x 4  + 3 x 3     6 x 2 e)  p 2  + 3 p     2   p  + 2   2 p 2  + 6 p     4 p 3  +  3 p 2     2 p p 3  + 5 p 2  + 4 p     4 continued
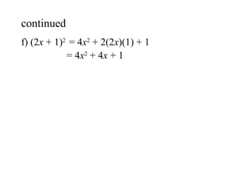
f) (2 x  + 1) 2  = 4 x 2  + 2(2 x )(1) + 1 = 4 x 2  + 4 x  + 1 continued
Section 4.6 1. Multiply (4 t  + 3) 2 a)  16 t 2  + 9 b)  4 t 2  + 24 t  + 9 c)  16 t 2  + 24 t  + 9 d)  16 t 2  + 12 t  + 9
Section 4.6 1. Multiply (4 t  + 3) 2 a)  16 t 2  + 9 b)  4 t 2  + 24 t  + 9 c)  16 t 2  + 24 t  + 9 d)  16 t 2  + 12 t  + 9
Section 4.6 2. Multiply (5 x  + 1)(5 x  – 1) a)  25 x 2  – 1  b)  25 x 2  + 1 c)  10 x 2  – 1  d)  25 x 2  – 10 x  + 1
Section 4.6 2. Multiply (5 x  + 1)(5 x  – 1) a)  25 x 2  – 1  b)  25 x 2  + 1 c)  10 x 2  – 1  d)  25 x 2  – 10 x  + 1

Polynomials2

  • 1.
    Objective Multiply two binomials.
  • 2.
    Multiply each ofthe following. a) x + 3 and x + 5 b) 3 x  2 and x  1 Solution a) ( x + 3)( x + 5 ) = x ( x + 5 ) + 3( x + 5 ) = x  x + x  5 + 3  x + 3  5 = x 2 + 5 x + 3 x + 15 = x 2 + 8 x + 15 Example D
  • 3.
    Solution b) (3 x  2)( x  1) = 3 x ( x – 1 )  2( x  1 ) = 3 x  x  3 x  1  2  x  2(  1 ) = 3 x 2  3 x  2 x + 2 = 3 x 2  5 x + 2 continued
  • 4.
    Objective Multiply any two polynomials.
  • 5.
    Product of TwoPolynomials To multiply two polynomials P and Q , select one of the polynomials, say P . Then multiply each term of P by every term of Q and collect like terms.
  • 6.
    Multiply: (5x 3 + x 2 + 4 x )( x 2 + 3 x ) Solution 5 x 3 + x 2 + 4 x x 2 + 3 x 15 x 4 + 3 x 3 + 12 x 2 5 x 5 + x 4 + 4 x 3 5 x 5 + 16 x 4 + 7 x 3 + 12 x 2 Example E Multiplying the top row by 3 x Multiplying the top row by x 2 Collecting like terms
  • 7.
    Multiply: ( 3 x 2  4)(2 x 2  3 x + 1) Solution 2 x 2  3 x + 1  3 x 2  4  8 x 2 + 12 x  4  6 x 4 + 9 x 3  3 x 2  6 x 4 + 9 x 3  11 x 2 + 12 x  4 Example F Multiplying by  4 Multiplying by  3 x 2 Collecting like terms
  • 8.
    1. Multiply: –3 x 2 (6 x 3 – 5 x + 2). a) –18 x 5 + 15 x 3 – 6 x 2 b) 3 x 5 – 8 x 3 – x 2 c) 18 x 6 + 15 x 2 – 6 x 2 d)  18 x 5 – 5 x + 2
  • 9.
    Section 4.5 1. Multiply: –3 x 2 (6 x 3 – 5 x + 2). a) –18 x 5 + 15 x 3 – 6 x 2 b) 3 x 5 – 8 x 3 – x 2 c) 18 x 6 + 15 x 2 – 6 x 2 d)  18 x 5 – 5 x + 2
  • 10.
    Section 4.5 2. Multiply: (3 a – 4)( a + 6) a) 3 a 2 + 22 a – 24 b) 4 a + 2 c) 3 a 2 – 24 d) 3 a 2 + 14 a – 24
  • 11.
    Section 4.5 2. Multiply: (3 a – 4)( a + 6) a) 3 a 2 + 22 a – 24 b) 4 a + 2 c) 3 a 2 – 24 d) 3 a 2 + 14 a – 24
  • 12.
    Objective Multiply two binomials mentally using the FOIL method.
  • 13.
    The FOIL MethodTo multiply two binomials, A + B and C + D , multiply the First terms AC , the Outer terms AD , the Inner terms BC , and then the Last terms BD . Then combine like terms, if possible. ( A + B )( C + D ) = AC + AD + BC + BD Multiply F irst terms: AC . Multiply O uter terms: AD . Multiply I nner terms : BC Multiply L ast terms: BD ↓ FOIL ( A + B )( C + D ) O I F L
  • 14.
    Multiply: (x + 4)( x 2 + 3) Solution F O I L ( x + 4)( x 2 + 3) = x 3 + 3 x + 4 x 2 + 12 = x 3 + 4 x 2 + 3 x + 12 Example A The terms are rearranged in descending order for the final answer. O I F L
  • 15.
    Multiply. a) (x + 8)( x + 5) b) ( y + 4) ( y  3) c) (5 t 3 + 4 t )(2 t 2  1) d) (4  3 x )(8  5 x 3 ) Solution a) ( x + 8)( x + 5) = x 2 + 5 x + 8 x + 40 = x 2 + 13 x + 40 b) ( y + 4) ( y  3) = y 2  3 y + 4 y  12 = y 2 + y  12 Example B
  • 16.
    Solution c) (5 t 3 + 4 t )(2 t 2  1) = 10 t 5  5 t 3 + 8 t 3  4 t = 10 t 5 + 3 t 3  4 t d) (4  3 x )(8  5 x 3 ) = 32  20 x 3  24 x + 15 x 4 = 32  24 x  20 x 3 + 15 x 4 continued In general, if the original binomials are written in ascending order, the answer is also written that way.
  • 17.
    Objective Multiply the sum and the difference of two terms mentally.
  • 18.
    Product of theSum and Difference The product of the sum and difference of the same two terms is the square of the first term minus the square of the second term. ( A + B )( A – B ) = A 2 – B 2 .
  • 19.
    Multiply. a) (x + 8)( x  8) b) (6 + 5 w ) (6  5 w ) c) (4 t 3  3)(4 t 3 + 3) Solution ( A + B) ( A  B ) = A 2  B 2 a) ( x + 8)( x  8) = x 2  8 2 = x 2  64 Example C
  • 20.
    continued Solution b) (6 + 5 w ) (6  5 w ) = 6 2  (5 w ) 2 = 36  25 w 2 c) (4 t 3  3)(4 t 3 + 3) = (4 t 3 ) 2  3 2 = 16 t 6  9
  • 21.
    Objective Square a binomial mentally.
  • 22.
    Square of aBinomial The square of a binomial is the square of the first term, plus twice the product of the two terms, plus the square of the last term: ( A + B ) 2 = A 2 + 2 AB + B 2 ; ( A – B ) 2 = A 2 – 2 AB + B 2 .
  • 23.
    Multiply. a) (x + 8) 2 b) ( y  7) 2 c) (4 x  3 x 5 ) 2 Solution ( A + B ) 2 = A 2 + 2  A  B + B 2 a) ( x + 8) 2 = x 2 + 2  x  8 + 8 2 = x 2 + 16 x + 64 Example D
  • 24.
    continued (A  B ) 2 = A 2  2  A  B + B 2 Solution b) ( y  7) 2 = y 2  2  y  7 + 7 2 = y 2  14 y + 49 c) (4 x  3 x 5 ) 2 = (4 x ) 2  2  4 x  3 x 5 + (3 x 5 ) 2 = 16 x 2  24 x 6 + 9 x 10
  • 25.
    Objective Find special products when polynomial products are mixed together.
  • 26.
    Multiplying Two Polynomials1. Is the multiplication the product of a monomial and a polynomial? If so, multiply each term of the polynomial by the monomial. 2. Is the multiplication the product of two binomials? If so: a) Is the product of the sum and difference of the same two terms? If so, use the pattern ( A + B )( A  B ) = ( A  B ) 2 b) Is the product the square of a binomial? If so, use the pattern ( A + B ) 2 = A 2 + 2 AB + B 2 , or ( A – B ) 2 = A 2 – 2 AB + B 2 . c) If neither (a) nor (b) applies, use FOIL. 3. Is the multiplication the product of two polynomials other than those above? If so, multiply each term of one by every term of the other. Use columns if you wish.
  • 27.
    a) ( x + 5)( x  5) b) ( w  7)( w + 4) c) ( x + 9)( x + 9) d) 3 x 2 (4 x 2 + x  2) e) ( p + 2)( p 2 + 3 p  2) f) (2 x + 1) 2 Solution a) ( x + 5)( x  5) = x 2  25 b) ( w  7)( w + 4) = w 2 + 4 w  7 w  28 = w 2  3 w  28 Example E Multiply.
  • 28.
    c) ( x + 9)( x + 9) = x 2 + 18 x + 81 d) 3 x 2 (4 x 2 + x  2) = 12 x 4 + 3 x 3  6 x 2 e) p 2 + 3 p  2 p + 2 2 p 2 + 6 p  4 p 3 + 3 p 2  2 p p 3 + 5 p 2 + 4 p  4 continued
  • 29.
    f) (2 x + 1) 2 = 4 x 2 + 2(2 x )(1) + 1 = 4 x 2 + 4 x + 1 continued
  • 30.
    Section 4.6 1.Multiply (4 t + 3) 2 a) 16 t 2 + 9 b) 4 t 2 + 24 t + 9 c) 16 t 2 + 24 t + 9 d) 16 t 2 + 12 t + 9
  • 31.
    Section 4.6 1.Multiply (4 t + 3) 2 a) 16 t 2 + 9 b) 4 t 2 + 24 t + 9 c) 16 t 2 + 24 t + 9 d) 16 t 2 + 12 t + 9
  • 32.
    Section 4.6 2.Multiply (5 x + 1)(5 x – 1) a) 25 x 2 – 1 b) 25 x 2 + 1 c) 10 x 2 – 1 d) 25 x 2 – 10 x + 1
  • 33.
    Section 4.6 2.Multiply (5 x + 1)(5 x – 1) a) 25 x 2 – 1 b) 25 x 2 + 1 c) 10 x 2 – 1 d) 25 x 2 – 10 x + 1