Polynomial Operations
Chapter 6
p.333

1
2
3
What is polynomial?
A polynomial of a letter is an algebraic expression that is the sum
of the products between real numbers and the non-negative integer
powers of the letter.
Examples, Suppose that the letter is x, then
3 x + 2, 2 x 2 − 3 x + 5, x 3 + 2 x 2 − 4 x, x100 are all polynomials of x.
Note:
1. The Polynomial letter could be any letter.
3 y + 2, 2t 2 − 3t + 5, r 3 + 2r 2 − 4r , p100 are all polynomials .
2. Any number is also considered as a polynomial. This is because
5 = 5x 0 , which is 5 times the zero power of x.
3. Each product is called the term of the polynomial
2 y 2 − 3 y + 5 has three terms: 2 y 2 , − 3 y, 5.
4
4. Each number of the product is called the coeficient of the polynomial
3 x + 2 has 2 coeficients 3 and 2
2 y 2 − 3 y + 5 has 3 coeficients 2, − 3 and 5.
x 3 + 2 x 2 − 4 x − 3, has 4 coeficients 1, 2, − 4 and − 3.
x100 has one coeficient 1.
5. The heighest power exponent of x is called the degree of the polynomial.
3 x + 2 has degree =1,
2 y 2 − 3 y + 5 has degree =2
x3 + 2 x 2 − 4 x − 3
x100 has degree =100
5 has degree = 0.
6. A singleton term polynomial is called monomial, such as
x100 , 2x, 5
5
7. A two terms polynomial is called binomial, such as
2 x + 5, 9 p 5 + 7, x 2 − 4.
8. A three terms polynomial is called trinomial, such as
2 x 2 − 3 x + 5, 9 p 5 + 7 p 2 + p, x 2 + 4 x + 4.
9.

2 x 2 − 3x + 5 x ,

1
+ 4 x + 4,
2
x

x +1
x−2

are not polynomials. Why?
10. Polynomial could have more than one letters, if all letters have
non-negative powers, such as
2 x 2 y − 3 xy 3 + 5 x 6 y 2 , 8m 2 p 5 + 9m3 p 2
They are called multi-varialbles polynomials. In the above examples,
we also can consider that only one letter as variable and other letters
as numbers.
6
Polynomial Operations
1. Add and subtract: We only do on the same power terms.
ax n ± bx n = ( a ± b ) x n
3x 3 + 5 x 3 = ( 3 + 5 ) x 3 = 8 x 3

3m 5 − 7 m 5 = ( 3 − 7 ) m 5 = − 4m 5

when we have multiple terms, we just add or subtract terms with
the same powers
Examples:
(2 x 4 − 3 x 2 + 5 x) + ( x 4 + 2 x 2 + 4 x)
= (2 + 1) x 4 + (−3 + 2) x 2 + (5 + 4) x = 3x 4 − x 2 + 9 x
(3 x 2 + 7 x − 6) − (5 x 2 − 4 x + 8)
= (3 − 5) x 2 + (7 − (−4)) x + (−6 − 8) = −2 x 2 + 11x − 14
Can we do addition 2 x 4 + 3 x 2 ?
7
Do operation vertically
(3 x 2 + 7 x − 6) − (5 x 2 − 4 x + 8) = − 2 x 2 + 11x − 14
3x 2 + 7 x − 6
5 x 2 − 4 x + 8 (−
− 2 x 2 + 11x − 14
or
(3 x 3 + 7 x 2 − 6) + (5 x 3 − 4 x + 8) = 8 x 3 + 7 x 2 − 4 x + 2
3 x 3 + 7 x 2 + 0 ×x − 6
5 x3 + 0 ×x 2 − 4 x + 8 (+
8 x3 + 7 x 2 − 4 x + 2
Align the same power terms vetically. Put 0s for the missing power
terms. Then do numbers operations veritcally.
8
2. Multiplication: Use formula

( ax ) ×( bx )
m

n

= abx m + n

( 3x ) ( 5 x ) = ( 3 ×5 ) x = 15x
( 3m ) ( −7m ) = ( 3 ×( −7 ) ) m
2

3+ 2

3

5

2

5

5+ 2

= − 21m7

When two polynomials have multiple terms, then every term of the
1st polynomial must multiply to every term of the 2nd polynoimial.
Examples:
(3 x − 4)(2 x 2 − 3 x + 5)
= (3 x)(2 x 2 − 3 x + 5) + (−4)(2 x 2 − 3 x + 5)
= (3 x)(2 x 2 ) + (3 x)(−3 x) + (3 x)(5) + ( −4)(2 x 2 ) + (−4)(−3 x) + (−4)(5)
= 6 x 3 − 9 x 2 + 15 x − 8 x 2 + 12 x − 20
= 6 x 3 − 17 x 2 + 27 x − 20
9
Do multiplication vertically, put 0 for missing power terms
(3 x − 4)(2 x 2 − 3x + 5) = 6 x 3 − 17 x 2 + 27 x − 20
2x2

6 x3
6 x3

−8 x 2
−9 x 2
−17 x 2

−3 x
3x
+12 x
+15 x
+27 x

+5
−4 (×
−20
(+
−20

(2 x + 3)( x 2 − 5) = 2 x 3 + 3x 2 − 10 x − 15
x2

2 x3
2 x3

3x 2
0 x2
+3 x 2

0 ×x
2x
0x
−10 x
−10 x

−5
+3 (×
−15
(+
−15

10
Multiplication vertically example2
( x 2 + 2 x − 3)(2 x 2 − 3x + 5) = 2 x 4 + x 3 − 7 x 2 + 19 x − 15
x2

+ 2x

−3

2x2

−3 x

+ 5 (×

5x2

+10 x −15

−3 x 3

−6 x 2

+9 x

2 x4

+4 x 3

−6 x 2

2 x4

+ x3

− 7 x2

+ 19 x

Multiply by

5

Multiply by

−3x
Multiply by 2x2
− 15

11
Vertical multiplication with numbers only
(3 x − 4)(2 x 2 − 3 x + 5) = 6 x3 − 17 x 2 + 27 x − 20

(2 x + 3)( x 2 − 5) = 2 x 3 + 3 x 2 − 10 x − 15

12
( x 2 + 2 x − 3)(2 x 2 − 3 x + 5) = 2 x 4 + x 3 − 7 x 2 + 19 x − 15

13
Two binomial multiplication. Use FOIL rule
First terms, Outside terms, Inside terms, Last terms
(2 x − 3)(6 x + 5) = ( 2 x ) ( 6 x ) + ( 2 x ) ( 5 ) + ( −3) ( 6 x ) + ( −3) ( 5 )
1 24 124 1 24 124
4 3 4 3
4 3 4 3
F
O
I
L
= 12 x 2 + 10 x − 18 x − 15
= 12 x 2 − 8 x − 15
or simply vertical way

2x
6x
12 x 2
12 x 2

−3
+5

(×

10 x −15
−18 x
− 8x

− 15
14
Exercises
1. (3 x 2 − 4 x + 5) + ( −2 x 2 + 3 x − 2)
2. (4m3 − 3m 2 + 5) + ( −3m3 − m 2 + 5)
3. 2(12 x − 8 x + 6) − 4(3 x − 4 x + 2)
2

2

4. − (8 x + x − 3) + (2 x + x) − (4 x − 1)
2

2

2

5. 2 x 3 (3 x 2 − 5 x + 2)
6. ( x 2 + 5)(3 x − 2)
7. (4 x + 5)(3 x − 2)
8. (3 x 2 − 4 x + 5)(3 x + 1)
9. (3 x 2 − 4 x + 5)(2 x 2 + x − 2)
15
Some important formulas
1. ( x + y )( x − y ) = x 2 − y 2

(sum and difference product)

Use FOIL ( x + y )( x − y ) = x 2 − xy + xy − y 2
= x2 − y 2
or

(a + b)(a − b) = a 2 − b 2

2. ( x + y ) 2 = x 2 + 2 xy + y 2 (square of sum )
Use FOIL ( x + y ) 2 = ( x + y )( x + y ) = x 2 + xy + xy + y 2
= x 2 + 2 xy + y 2
or

(a + b) 2 = a 2 + 2ab + b 2

3. ( x − y ) 2 = x 2 − 2 xy + y 2

(square of difference )

Use FOIL ( x − y ) 2 = ( x − y )( x − y ) = x 2 − xy − xy + y 2
= x 2 − 2 xy + y
or

(a − b) 2 = a 2 − 2ab + b 2

16
4. ( x + y )( x 2 − xy + y 2 ) =x3 + y 3

(sum of cubic powers)

This is because
( x + y )( x 2 − xy + y 2 ) = x( x 2 − xy + y 2 ) + y ( x 2 − xy + y 2 )

(

) (

)

= x 3 − x 2 y + xy 2 + yx 2 − xy 2 + y 3 = x3 + y 3
Eexamples

( a + 1)( a 2 − a + 1) = a 3 + 1

(a + 2)(a 2 − 2a + 4) = ( a + 2)( a 2 − 2 ×a + 2 2 ) = a 3 + 23 = a 3 + 8
(a + 3)(a 2 − 3a + 9) = (a + 2)(a 2 − 3 ×a + 32 ) = a 3 + 33 = a 3 + 27
5. ( x − y )( x 2 + xy + y 2 ) =x 3 − y 3 (difference of cubic powers)
This is because, we can use − y to replace y in the above formula

( x + ( − y ) ) ( x 2 − x ( − y ) + ( − y ) 2 ) =x 3 + ( − y ) 3

which is
Examples

( x − y )( x 2 + xy + y 2 ) =x 3 − y 3
(a − 1)(a 2 + a + 1) = a 3 − 1

(a − 2)(a 2 + 2a + 4) = (a − 2)(a 2 + 2 ×a + 2 2 ) = a 3 − 23 = a 3 − 8
(a − 3)(a 2 + 3a + 9) = (a − 2)(a 2 + 3 ×a + 32 ) = a 3 − 33 = a 3 − 27

17
Example
1. (3 p + 11)(3 p − 11) = ( 3 p ) − 112 = 9 p 2 − 121
2

2. (5m − 3)(5m + 3) = ( 5m
3

3

)

3 2

− 32 = 25m6 − 9

3. (9k − 11r )(9k + 11r ) = ( 9k ) − ( 11r
3

2

3

)

3 2

= 81k 2 − 121r 6

4. (2m + 5) 2 = ( 2m ) + 2( 2m)(5) + ( 5 ) = 4 m 2 + 20 m + 25
2

( x + y )2

5. ( 3x − 7 y

2

x2

) = ( 3x )

4 2

( a −b ) 2

a2

y2

2 xy
2

− 2(3 x)(7 y )+ ( 7 y
4

2 ab

)

4 2

b2

= 9 x 2 − 42 xy 4 + 49 y 8
6. ( 3 x − 2 y ) ( 9 x + 6 xy + 4 y ) = ( 3 x ) − ( 2 y ) = 27 x 3 − 8 y 6
1 24 144 2444 {
4 3
4
3
1 3
2
2

(a − b)

2

2

a 2 + ab + b 2

3

4

a3

2 3

b3

18
Exercises
1. (3 x + 5)(3 x − 5)
2

2

2. (2m3 + n)(2m3 − n)
3. ( 5r + 4t

)

2 2

4. ( 2 x − 3 y )
4

2

5. (3 p + 5) 2
6. (4 − x)(16 + 4 x + x 2 )
7. (2a + 3b)(4a 2 − 6ab + 9b 2 )

19
Higher Power of binomial
We have (a + b) 2 = a 2 + 2ab + b 2 what is (a + b)3 ?
After calculating
( a + b) 3 = (a + b)( a + b) 2 = (a + b)( a 2 + 2 ab + b 2 )
= a (a 2 + 2ab + b 2 ) + b( a 2 + 2ab + b 2 )
= (a 3 + 2a 2b + ab 2 ) + (a 2b + 2a 2b + b3 )
= a 3 + 3a 2b + 3ab 2 + b3
We can see the powers of a is decreasing and the powers of b is
increasing. The coefficients are 1, 3, 3, 1. Similarly,
(a + b) 4 = (a + b)(a + b)3 = (a + b)(a 3 + 3a 2b + 3a 2b + b 3)
= a (a 3 + 3a 2b + 3a 2b + b3) + b(a 3 + 3a 2b + 3a 2b + b 3)
= a 4 + 4a 3b + 6a 2b 2 + 4ab3 + b 4
The coefficients are 1, 4, 6, 4, 1.
20
Pascal Triangle
We see that

( a + b ) has coefficients

1, 1

(a + b) 2 = a 2 + 2ab + b 2 has coefficients 1, 2, 1
( a + b)3 = a 3 + 3a 2b + 3a 2b + b3 has coefficients 1, 3, 3,1
(a + b) 4 = a 4 + 4a 3b + 6a 2b 2 + 4ab3 + b 4 has coefficients 1, 4, 6, 4, 1
So we can arrage them into a triangle like
1
1
1
1

1
2

3
4

1
3

6

1
4

1

Every number is the sum of two numbers on its shoulder.

21
1
1
1
1
1
1

2
3

4
5

1
1
3
6

10

1
4

10

1
5

1

It we continue to calculate the numbers on the next line, we
will get numbers 1, 5, 10, 10, 5, 1, which are coefficients
of power (a + b)5 . Therefore we get

(a + b)5 = a 5 + 5a 4b + 10a 3b 2 + 10a 2b3 + 6ab 4 +b 5
This triangle is called the Pascal Triangle.
22
Powers of (a − b)

n

Similarly, we have
(a − b) 2 = a 2 − 2ab + b 2
(a − b)3 = a 3 − 3a 2b + 3a 2b − b3
(a − b) 4 = a 4 − 4a 3b + 6a 2b 2 − 4ab3 + b 4
(a − b)5 = a 5 − 5a 4b + 10a 3b 2 − 10a 2b3 + 6ab 4 − b5
The coeficient is negative if the power exponent of b is odd number
Practice Exercises
1. ( x + 3)3
2. ( x − 2) 4
3. ( x − 1)5
4. ( x + 1)6
23
3. Division
Case 1: If the devisor is monomial
4 x 3 − 8 x 2 + 6 x 4 x3 8x 2 6x
=
−
+
= 2x2 − 4x + 3
2x
2x
2x
2x
Sometimes, we may have remainder
4 x 3 − 8 x 2 + 6 x + 3 4 x3 8x 2 6x
3
3
=
−
+
+
= 2x2 − 4x + 3 +
2x
2x
2x
2x
2x 2 x
Case 2: If the devisor is binomial
Use factoring

ab + ac = a (b + c) or

ab − ac = a (b − c )

4x2 + 2x
2 x ×2 x + 2 x 2 x (2 x + 1)
=
=
= 2x
2x +1
2x +1
2x +1

2
4x2 − 6x − 3 4x2 + 2x − 8x − 4 + 1 ( 4 x + 2x ) − ( 8x + 4) + 1
=
=
2x +1
2x +1
2x +1
4x2 + 2x 8x + 4
1
1
=
−
+
= 2x − 4 +
2x +1
2x +1 2x +1
2x +1

24
Other methods to get result
4x2 − 6x − 3
1
= 2x − 4 +
2x +1
2x +1
vertical division

25
13
2

4m − 8m + 4m + 6
1
2
= 2m − 3m + +
2m − 1
2 2m − 1
vertical way with number only
3

2

26
3x 3 − 2 x 2 − 150 3 x 3 − 2 x 2 + 0 ×x − 150
12 x − 158
=
= 3x − 2 +
2
2
x −4
x + 0 ×x − 4
x2 − 4
Put 0s for the missing terms

Remainder

27
Exercises
Do divisions
−4 x 7 − 14 x 6 + 10 x 4 − 14 x 2
1.
−2 x 2
10 x8 − 16 x 6 − 4 x 4
2.
−2 x 6
Use vertical devision with number only
12 x 3 − 2 x + 5
3.
x −3
6 x 4 + 9 x3 + 2 x 2 − 8 x + 7
4.
3x 2 − 2
5x4 + 2x2 − 3
5.
x2 − x + 1

28
Factoring
Factoring is the reverse of polynomial multiplication and based on
ab + ac = a (b + c ) here a could number or formula
Factor the Greatest Common Factor GCF, including the largest
posssible common number factor and lowest power of x or anything
Examples:
9 x 2 + 6 x −12 = (3 × x 2 + 3 × x − 3 × ) = 3(3 x 2 + 2 x − 4)
3
2
4
9 x 5 + 6 x 3 − 12 x 2 = (3 x 2 × x 3 + 3 x 2 × x − 3 x 2 × ) = 3 x 2 (3 x 3 + 2 x − 4)
3
2
4
6 x 2t + 8 xt + 12t = (2t × x 2 + 2t × x + 2t × ) = 2t (3 x 2 + 4 x + 6)
3
4
6
14(m + 1)3 − 28(m + 1) 2 − 7( m + 1)

= ( 7(m + 1) × m + 1) 2 − 7(m + 1) × m + 1) − 7( m + 1) × )
2(
4(
1
= 7(m + 1) ( 2(m + 1) 2 − 4(m + 1) − 1)

29
Group Factoring
If there are four terms, we can group the 1st two and the last two terms.
Then do the preliminary factors on two grous and factor again.
x 3 + 2 x 2 + 2 x + 4 = ( x 3 + 2 x 2 ) + ( 2 x + 4 ) = x 2 ( x + 2 ) + 2( x + 2)
= ( x 2 ( x + 2 ) + 2( x + 2) ) = ( x + 2 ) ( x 2 + 2 )

4 x 3 + 2 x 2 − 6 x − 3 = ( 4 x 3 + 2 x 2 ) − ( 6 x + 3 ) = 2 x 2 ( 2 x + 1) − 3(2 x + 1)
= ( 2 x 2 ( 2 x + 1) − 3(2 x + 1) ) = ( 2 x + 1) ( 2 x 2 − 3)

mp 2 + 7m 2 + 3 p 2 + 21m = ( mp 2 + 7m 2 ) + ( 3 p 2 + 21m )
= m ( p 2 + 7m ) + 3 ( p 2 + 7m )

(

)

= m ( p 2 + 7m ) + 3 ( p 2 + 7 m ) ¬ − − We can skip this
= ( p 2 + 7 m ) ( m + 3)

30
Factor the following

Exercises

1. 12m + 60
2. 4 p 3 q 4 − 6 p 2 q 5
3. 4k 2 m3 + 8k 4 m3 − 12k 2 m 4
4. 4( y − 2) 2 + 3( y − 2)
5. 6 st + 9t − 10 s − 15
6. 20 z 2 − 8 x + 5 pz 2 − 2 px
31
Quadratic polynomials
Factoring is the reverse of polynomial multiplication.
(3x − 4)(2 x + 5) = 6 x 2 + 7 x − 20

is multiplication

6 x 2 + 7 x − 20 = (3x − 4)(2 x + 5) is factoring
How to obtain numbers 3, − 4, 2 and 5 from 6, 7 and − 20?
Because 6 x 2 = 3 x ×2 x so we have 6 = 3 ×2 and − 20= ( −4 ) ×
5
Also 7 x = 3 x × + ( −4 ) ×2 x so we have 7 = 3 × + ( −4 ) ×2
5
5
Therefore we have chcart (answer are 4 corner numbers)

2x+5
3x−4

32
Example 2. Factor 6 x 2 − 13 x + 6
This is not match

This is match

2x−3
3x−2

Answer: 6 x 2 − 11x + 6 = (2 x − 3)(3 x − 2)
33
Example 3. Factor 4 x 2 − 11xy + 6 y 2

4x−3y
x−2y
Answer: 4 x 2 − 11xy + 6 y 2 = (4 x − 3 y )( x − 2 y )

Example 4. Factor 6 p 2 − 7 p − 5

Answer: 6 p 2 − 7 p − 5 = (2 p + 1)(3 p − 5)

34
Example 5. Factor x − 11x + 30
2

Answer: x 2 − 11x + 30 = ( x − 5)( x − 6)

Example 6. Factor a 2 − 5ab − 14b 2

Answer: a 2 − 5ab − 14b 2 = (a + 2b)(a − 7b)

35
Note: If the first coefficient is one like x 2 + px + q
then we only need to decompose q to the product of two number
such that their sum is p.
Examples:
1.

x 2 − 11x + 30
because
30 = ( −5)(−6) and
so

2.

3.

x 2 − 11x + 30 = ( x − 5)( x − 6)

a 2 − 5a − 14
because
− 14 = 2 ×(−7) and
so

(−5) + (−6) = −11

2 + (−7) = −5

a 2 − 5a − 14 = (a + 2)(a − 7)

x 2 + 10 x − 39
because
− 39 = 13 ×( −3) and 13 + ( −3) = 10
so

x 2 + 10 x − 39 = ( x + 13)( x − 3)

36
Factor the following

Exercises

1. 8h 2 − 2h − 21
2. 3m 2 + 14m + 8
3. 9 y 2 − 18 y + 8
4. 6k 2 − 5kp − 6 p 2
5. 5a 2 − 7 ab − 6b 2
6. 24a 4 + 10a 3b − 2a 2b 2
7. 18 x 5 + 15 x 4 z − 75 x 3 z 2
8.

x 2 + 12 x + 27

9.

x 2 + x − 12

10.

x 2 + 11x − 12

11.

x 2 + 10 x − 24

12.

x 2 − 5 x − 24

13.

x2 − 2 x + 5

37
Prime Polynomial
If a integer coefficients polynomial cannot be factored to a product
of polynomials with integer, then it called prime polynomials.
1. Suppose that m and n are positive integers, then mx 2 + n is prime
such as

x 2 + 9, 2 y 2 + 5,

x2 + y2

are all prime.

2. For quadratice polynoimal ax 2 + bx + c
if number

b 2 − 4ac < 0

Example: x 2 + x + 1,

then ax 2 + bx + c is prime

x 2 + 2 xy + 3 y 2 are all prime.

if number b 2 − 4ac is not a square number then ax 2 + bx + c is prime
Example: x 2 + 3 x + 1, b 2 − 4ac = 32 − 4 × × = 5 not a square number
11
so x 2 + 3 x + 1 is prime
38
Use Formulas
We have the following formulas
x 2 − y 2 = ( x + y )( x − y )

difference of squares

x 2 + 2 xy + y 2 = ( x + y ) 2

perfect saqure of sum

x 2 − 2 xy + y 2 = ( x − y ) 2

perfect saqure of difference

x 3 + y 3 = ( x + y )( x 2 − xy + y 2 ) sum of cubic powers
x 3 − y 3 = ( x − y )( x 2 + xy + y 2 ) difference of cubic powers
Examples
1. 4m 2 − 9 = (2m) 2 − 32 = (2m + 3)(2m − 3)
1 3 1 3
2
2
2
2
x

y

x+ y

x− y

2. 4 x 2 − 9 y 2 = (2 x) 2 − (3 y ) 2 = (2 x + 3 y )(2 x − 3 y )
39
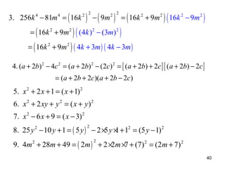
3. 256k − 81m = ( 16k
4

4

= ( 16k 2 + 9m 2

) − ( 9m ) = ( 16k
) ( (4k ) − (3m) )
2 2

2 2

2

2

+ 9m 2 ) ( 16k 2 − 9m 2 )

2

= ( 16k 2 + 9m 2 ) ( 4k + 3m ) ( 4k − 3m )

4. (a + 2b) 2 − 4c 2 = ( a + 2b) 2 − (2c) 2 = [ ( a + 2b) + 2c ] [ ( a + 2b) − 2c ]
= (a + 2b + 2c)(a + 2b − 2c)

5. x 2 + 2 x + 1 = ( x + 1) 2
6. x 2 + 2 xy + y 2 = ( x + y ) 2
7. x 2 − 6 x + 9 = ( x − 3) 2
8. 25 y 2 − 10 y + 1 = ( 5 y ) − 2 × y × + 12 = (5 y − 1) 2
5 1
2

9. 4m + 28m + 49 = ( 2m ) + 2 ×2m ×7 + (7) 2 = (2m + 7) 2
2

2

40
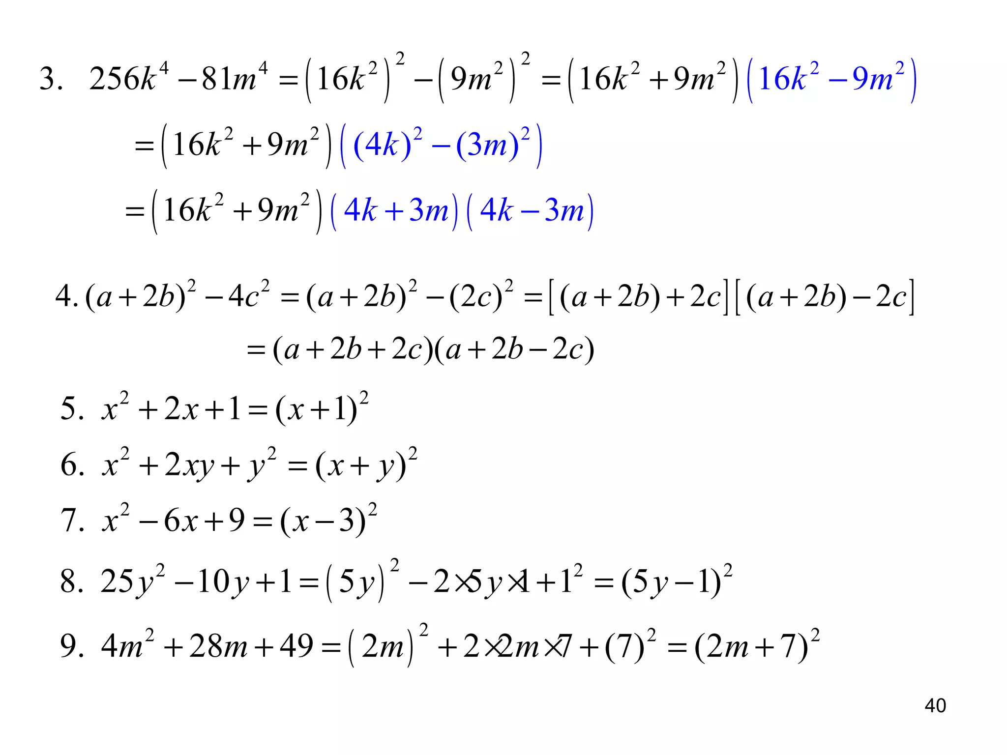
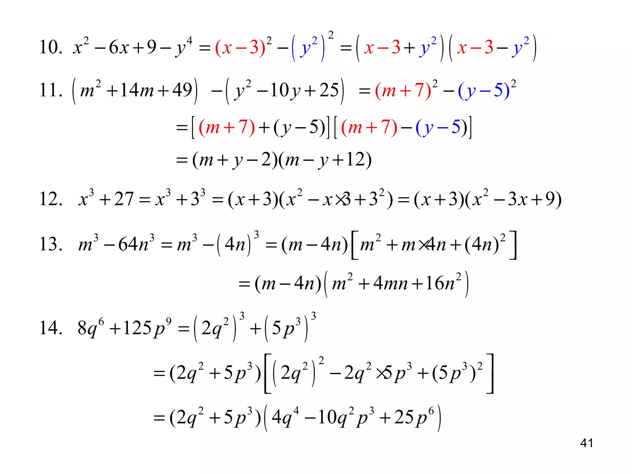
10. x − 6 x + 9 − y = ( x − 3) − ( y

) = ( x −3+ y ) ( x −3− y )
11. ( m + 14m + 49 ) − ( y − 10 y + 25 ) = (m + 7) − ( y − 5)
2

4

2

2

2 2

2

2

2

2

2

= [ (m + 7) + ( y − 5) ] [ (m + 7) − ( y − 5) ]
= (m + y − 2)(m − y + 12)

12. x 3 + 27 = x 3 + 33 = ( x + 3)( x 2 − x × + 32 ) = ( x + 3)( x 2 − 3 x + 9)
3
13. m − 64n = m − ( 4n ) = ( m − 4n)  m 2 + m ×4n + ( 4n) 2 


3

3

3

3

= (m − 4n) ( m 2 + 4mn + 16n 2 )

14. 8q + 125 p = ( 2q
6

9

= (2q

2

= (2q 2

) +(5p )
+ 5 p ) ( 2q ) − 2q × p + (5 p )
5


+ 5 p ) ( 4q − 10q p + 25 p )
2 3

3 3

2 2

3

3

4

2

2

3

3

3 2





6

41
Exercises

Factor the following by formulas
1. 9m 2 − 12m + 4
2. 16 p 2 + 40 p + 25
3. 36 x 2 − 60 xy + 25 y 2
4. 9 x 2 − 6 x3 + x 4
5. 4 x 2 y 2 + 28 xy + 49
6. ( a − 2b) 2 − 6( a − 2b) + 9
7. 9m 2 n 2 − 4 p 2
8. ( a + 2b) 2 − 25( a − 3b) 2
9.

8 x3 + 27

10.

x 4 − 81

11.

27 − ( m + 2n)3

12. x 4 − 16
13.

x4 − 5x2 + 4

42

Polynomial operations (1)

  • 1.
  • 2.
  • 3.
  • 4.
    What is polynomial? Apolynomial of a letter is an algebraic expression that is the sum of the products between real numbers and the non-negative integer powers of the letter. Examples, Suppose that the letter is x, then 3 x + 2, 2 x 2 − 3 x + 5, x 3 + 2 x 2 − 4 x, x100 are all polynomials of x. Note: 1. The Polynomial letter could be any letter. 3 y + 2, 2t 2 − 3t + 5, r 3 + 2r 2 − 4r , p100 are all polynomials . 2. Any number is also considered as a polynomial. This is because 5 = 5x 0 , which is 5 times the zero power of x. 3. Each product is called the term of the polynomial 2 y 2 − 3 y + 5 has three terms: 2 y 2 , − 3 y, 5. 4
  • 5.
    4. Each numberof the product is called the coeficient of the polynomial 3 x + 2 has 2 coeficients 3 and 2 2 y 2 − 3 y + 5 has 3 coeficients 2, − 3 and 5. x 3 + 2 x 2 − 4 x − 3, has 4 coeficients 1, 2, − 4 and − 3. x100 has one coeficient 1. 5. The heighest power exponent of x is called the degree of the polynomial. 3 x + 2 has degree =1, 2 y 2 − 3 y + 5 has degree =2 x3 + 2 x 2 − 4 x − 3 x100 has degree =100 5 has degree = 0. 6. A singleton term polynomial is called monomial, such as x100 , 2x, 5 5
  • 6.
    7. A twoterms polynomial is called binomial, such as 2 x + 5, 9 p 5 + 7, x 2 − 4. 8. A three terms polynomial is called trinomial, such as 2 x 2 − 3 x + 5, 9 p 5 + 7 p 2 + p, x 2 + 4 x + 4. 9. 2 x 2 − 3x + 5 x , 1 + 4 x + 4, 2 x x +1 x−2 are not polynomials. Why? 10. Polynomial could have more than one letters, if all letters have non-negative powers, such as 2 x 2 y − 3 xy 3 + 5 x 6 y 2 , 8m 2 p 5 + 9m3 p 2 They are called multi-varialbles polynomials. In the above examples, we also can consider that only one letter as variable and other letters as numbers. 6
  • 7.
    Polynomial Operations 1. Addand subtract: We only do on the same power terms. ax n ± bx n = ( a ± b ) x n 3x 3 + 5 x 3 = ( 3 + 5 ) x 3 = 8 x 3 3m 5 − 7 m 5 = ( 3 − 7 ) m 5 = − 4m 5 when we have multiple terms, we just add or subtract terms with the same powers Examples: (2 x 4 − 3 x 2 + 5 x) + ( x 4 + 2 x 2 + 4 x) = (2 + 1) x 4 + (−3 + 2) x 2 + (5 + 4) x = 3x 4 − x 2 + 9 x (3 x 2 + 7 x − 6) − (5 x 2 − 4 x + 8) = (3 − 5) x 2 + (7 − (−4)) x + (−6 − 8) = −2 x 2 + 11x − 14 Can we do addition 2 x 4 + 3 x 2 ? 7
  • 8.
    Do operation vertically (3x 2 + 7 x − 6) − (5 x 2 − 4 x + 8) = − 2 x 2 + 11x − 14 3x 2 + 7 x − 6 5 x 2 − 4 x + 8 (− − 2 x 2 + 11x − 14 or (3 x 3 + 7 x 2 − 6) + (5 x 3 − 4 x + 8) = 8 x 3 + 7 x 2 − 4 x + 2 3 x 3 + 7 x 2 + 0 ×x − 6 5 x3 + 0 ×x 2 − 4 x + 8 (+ 8 x3 + 7 x 2 − 4 x + 2 Align the same power terms vetically. Put 0s for the missing power terms. Then do numbers operations veritcally. 8
  • 9.
    2. Multiplication: Useformula ( ax ) ×( bx ) m n = abx m + n ( 3x ) ( 5 x ) = ( 3 ×5 ) x = 15x ( 3m ) ( −7m ) = ( 3 ×( −7 ) ) m 2 3+ 2 3 5 2 5 5+ 2 = − 21m7 When two polynomials have multiple terms, then every term of the 1st polynomial must multiply to every term of the 2nd polynoimial. Examples: (3 x − 4)(2 x 2 − 3 x + 5) = (3 x)(2 x 2 − 3 x + 5) + (−4)(2 x 2 − 3 x + 5) = (3 x)(2 x 2 ) + (3 x)(−3 x) + (3 x)(5) + ( −4)(2 x 2 ) + (−4)(−3 x) + (−4)(5) = 6 x 3 − 9 x 2 + 15 x − 8 x 2 + 12 x − 20 = 6 x 3 − 17 x 2 + 27 x − 20 9
  • 10.
    Do multiplication vertically,put 0 for missing power terms (3 x − 4)(2 x 2 − 3x + 5) = 6 x 3 − 17 x 2 + 27 x − 20 2x2 6 x3 6 x3 −8 x 2 −9 x 2 −17 x 2 −3 x 3x +12 x +15 x +27 x +5 −4 (× −20 (+ −20 (2 x + 3)( x 2 − 5) = 2 x 3 + 3x 2 − 10 x − 15 x2 2 x3 2 x3 3x 2 0 x2 +3 x 2 0 ×x 2x 0x −10 x −10 x −5 +3 (× −15 (+ −15 10
  • 11.
    Multiplication vertically example2 (x 2 + 2 x − 3)(2 x 2 − 3x + 5) = 2 x 4 + x 3 − 7 x 2 + 19 x − 15 x2 + 2x −3 2x2 −3 x + 5 (× 5x2 +10 x −15 −3 x 3 −6 x 2 +9 x 2 x4 +4 x 3 −6 x 2 2 x4 + x3 − 7 x2 + 19 x Multiply by 5 Multiply by −3x Multiply by 2x2 − 15 11
  • 12.
    Vertical multiplication withnumbers only (3 x − 4)(2 x 2 − 3 x + 5) = 6 x3 − 17 x 2 + 27 x − 20 (2 x + 3)( x 2 − 5) = 2 x 3 + 3 x 2 − 10 x − 15 12
  • 13.
    ( x 2+ 2 x − 3)(2 x 2 − 3 x + 5) = 2 x 4 + x 3 − 7 x 2 + 19 x − 15 13
  • 14.
    Two binomial multiplication.Use FOIL rule First terms, Outside terms, Inside terms, Last terms (2 x − 3)(6 x + 5) = ( 2 x ) ( 6 x ) + ( 2 x ) ( 5 ) + ( −3) ( 6 x ) + ( −3) ( 5 ) 1 24 124 1 24 124 4 3 4 3 4 3 4 3 F O I L = 12 x 2 + 10 x − 18 x − 15 = 12 x 2 − 8 x − 15 or simply vertical way 2x 6x 12 x 2 12 x 2 −3 +5 (× 10 x −15 −18 x − 8x − 15 14
  • 15.
    Exercises 1. (3 x2 − 4 x + 5) + ( −2 x 2 + 3 x − 2) 2. (4m3 − 3m 2 + 5) + ( −3m3 − m 2 + 5) 3. 2(12 x − 8 x + 6) − 4(3 x − 4 x + 2) 2 2 4. − (8 x + x − 3) + (2 x + x) − (4 x − 1) 2 2 2 5. 2 x 3 (3 x 2 − 5 x + 2) 6. ( x 2 + 5)(3 x − 2) 7. (4 x + 5)(3 x − 2) 8. (3 x 2 − 4 x + 5)(3 x + 1) 9. (3 x 2 − 4 x + 5)(2 x 2 + x − 2) 15
  • 16.
    Some important formulas 1.( x + y )( x − y ) = x 2 − y 2 (sum and difference product) Use FOIL ( x + y )( x − y ) = x 2 − xy + xy − y 2 = x2 − y 2 or (a + b)(a − b) = a 2 − b 2 2. ( x + y ) 2 = x 2 + 2 xy + y 2 (square of sum ) Use FOIL ( x + y ) 2 = ( x + y )( x + y ) = x 2 + xy + xy + y 2 = x 2 + 2 xy + y 2 or (a + b) 2 = a 2 + 2ab + b 2 3. ( x − y ) 2 = x 2 − 2 xy + y 2 (square of difference ) Use FOIL ( x − y ) 2 = ( x − y )( x − y ) = x 2 − xy − xy + y 2 = x 2 − 2 xy + y or (a − b) 2 = a 2 − 2ab + b 2 16
  • 17.
    4. ( x+ y )( x 2 − xy + y 2 ) =x3 + y 3 (sum of cubic powers) This is because ( x + y )( x 2 − xy + y 2 ) = x( x 2 − xy + y 2 ) + y ( x 2 − xy + y 2 ) ( ) ( ) = x 3 − x 2 y + xy 2 + yx 2 − xy 2 + y 3 = x3 + y 3 Eexamples ( a + 1)( a 2 − a + 1) = a 3 + 1 (a + 2)(a 2 − 2a + 4) = ( a + 2)( a 2 − 2 ×a + 2 2 ) = a 3 + 23 = a 3 + 8 (a + 3)(a 2 − 3a + 9) = (a + 2)(a 2 − 3 ×a + 32 ) = a 3 + 33 = a 3 + 27 5. ( x − y )( x 2 + xy + y 2 ) =x 3 − y 3 (difference of cubic powers) This is because, we can use − y to replace y in the above formula ( x + ( − y ) ) ( x 2 − x ( − y ) + ( − y ) 2 ) =x 3 + ( − y ) 3 which is Examples ( x − y )( x 2 + xy + y 2 ) =x 3 − y 3 (a − 1)(a 2 + a + 1) = a 3 − 1 (a − 2)(a 2 + 2a + 4) = (a − 2)(a 2 + 2 ×a + 2 2 ) = a 3 − 23 = a 3 − 8 (a − 3)(a 2 + 3a + 9) = (a − 2)(a 2 + 3 ×a + 32 ) = a 3 − 33 = a 3 − 27 17
  • 18.
    Example 1. (3 p+ 11)(3 p − 11) = ( 3 p ) − 112 = 9 p 2 − 121 2 2. (5m − 3)(5m + 3) = ( 5m 3 3 ) 3 2 − 32 = 25m6 − 9 3. (9k − 11r )(9k + 11r ) = ( 9k ) − ( 11r 3 2 3 ) 3 2 = 81k 2 − 121r 6 4. (2m + 5) 2 = ( 2m ) + 2( 2m)(5) + ( 5 ) = 4 m 2 + 20 m + 25 2 ( x + y )2 5. ( 3x − 7 y 2 x2 ) = ( 3x ) 4 2 ( a −b ) 2 a2 y2 2 xy 2 − 2(3 x)(7 y )+ ( 7 y 4 2 ab ) 4 2 b2 = 9 x 2 − 42 xy 4 + 49 y 8 6. ( 3 x − 2 y ) ( 9 x + 6 xy + 4 y ) = ( 3 x ) − ( 2 y ) = 27 x 3 − 8 y 6 1 24 144 2444 { 4 3 4 3 1 3 2 2 (a − b) 2 2 a 2 + ab + b 2 3 4 a3 2 3 b3 18
  • 19.
    Exercises 1. (3 x+ 5)(3 x − 5) 2 2 2. (2m3 + n)(2m3 − n) 3. ( 5r + 4t ) 2 2 4. ( 2 x − 3 y ) 4 2 5. (3 p + 5) 2 6. (4 − x)(16 + 4 x + x 2 ) 7. (2a + 3b)(4a 2 − 6ab + 9b 2 ) 19
  • 20.
    Higher Power ofbinomial We have (a + b) 2 = a 2 + 2ab + b 2 what is (a + b)3 ? After calculating ( a + b) 3 = (a + b)( a + b) 2 = (a + b)( a 2 + 2 ab + b 2 ) = a (a 2 + 2ab + b 2 ) + b( a 2 + 2ab + b 2 ) = (a 3 + 2a 2b + ab 2 ) + (a 2b + 2a 2b + b3 ) = a 3 + 3a 2b + 3ab 2 + b3 We can see the powers of a is decreasing and the powers of b is increasing. The coefficients are 1, 3, 3, 1. Similarly, (a + b) 4 = (a + b)(a + b)3 = (a + b)(a 3 + 3a 2b + 3a 2b + b 3) = a (a 3 + 3a 2b + 3a 2b + b3) + b(a 3 + 3a 2b + 3a 2b + b 3) = a 4 + 4a 3b + 6a 2b 2 + 4ab3 + b 4 The coefficients are 1, 4, 6, 4, 1. 20
  • 21.
    Pascal Triangle We seethat ( a + b ) has coefficients 1, 1 (a + b) 2 = a 2 + 2ab + b 2 has coefficients 1, 2, 1 ( a + b)3 = a 3 + 3a 2b + 3a 2b + b3 has coefficients 1, 3, 3,1 (a + b) 4 = a 4 + 4a 3b + 6a 2b 2 + 4ab3 + b 4 has coefficients 1, 4, 6, 4, 1 So we can arrage them into a triangle like 1 1 1 1 1 2 3 4 1 3 6 1 4 1 Every number is the sum of two numbers on its shoulder. 21
  • 22.
    1 1 1 1 1 1 2 3 4 5 1 1 3 6 10 1 4 10 1 5 1 It we continueto calculate the numbers on the next line, we will get numbers 1, 5, 10, 10, 5, 1, which are coefficients of power (a + b)5 . Therefore we get (a + b)5 = a 5 + 5a 4b + 10a 3b 2 + 10a 2b3 + 6ab 4 +b 5 This triangle is called the Pascal Triangle. 22
  • 23.
    Powers of (a− b) n Similarly, we have (a − b) 2 = a 2 − 2ab + b 2 (a − b)3 = a 3 − 3a 2b + 3a 2b − b3 (a − b) 4 = a 4 − 4a 3b + 6a 2b 2 − 4ab3 + b 4 (a − b)5 = a 5 − 5a 4b + 10a 3b 2 − 10a 2b3 + 6ab 4 − b5 The coeficient is negative if the power exponent of b is odd number Practice Exercises 1. ( x + 3)3 2. ( x − 2) 4 3. ( x − 1)5 4. ( x + 1)6 23
  • 24.
    3. Division Case 1:If the devisor is monomial 4 x 3 − 8 x 2 + 6 x 4 x3 8x 2 6x = − + = 2x2 − 4x + 3 2x 2x 2x 2x Sometimes, we may have remainder 4 x 3 − 8 x 2 + 6 x + 3 4 x3 8x 2 6x 3 3 = − + + = 2x2 − 4x + 3 + 2x 2x 2x 2x 2x 2 x Case 2: If the devisor is binomial Use factoring ab + ac = a (b + c) or ab − ac = a (b − c ) 4x2 + 2x 2 x ×2 x + 2 x 2 x (2 x + 1) = = = 2x 2x +1 2x +1 2x +1 2 4x2 − 6x − 3 4x2 + 2x − 8x − 4 + 1 ( 4 x + 2x ) − ( 8x + 4) + 1 = = 2x +1 2x +1 2x +1 4x2 + 2x 8x + 4 1 1 = − + = 2x − 4 + 2x +1 2x +1 2x +1 2x +1 24
  • 25.
    Other methods toget result 4x2 − 6x − 3 1 = 2x − 4 + 2x +1 2x +1 vertical division 25
  • 26.
    13 2 4m − 8m+ 4m + 6 1 2 = 2m − 3m + + 2m − 1 2 2m − 1 vertical way with number only 3 2 26
  • 27.
    3x 3 −2 x 2 − 150 3 x 3 − 2 x 2 + 0 ×x − 150 12 x − 158 = = 3x − 2 + 2 2 x −4 x + 0 ×x − 4 x2 − 4 Put 0s for the missing terms Remainder 27
  • 28.
    Exercises Do divisions −4 x7 − 14 x 6 + 10 x 4 − 14 x 2 1. −2 x 2 10 x8 − 16 x 6 − 4 x 4 2. −2 x 6 Use vertical devision with number only 12 x 3 − 2 x + 5 3. x −3 6 x 4 + 9 x3 + 2 x 2 − 8 x + 7 4. 3x 2 − 2 5x4 + 2x2 − 3 5. x2 − x + 1 28
  • 29.
    Factoring Factoring is thereverse of polynomial multiplication and based on ab + ac = a (b + c ) here a could number or formula Factor the Greatest Common Factor GCF, including the largest posssible common number factor and lowest power of x or anything Examples: 9 x 2 + 6 x −12 = (3 × x 2 + 3 × x − 3 × ) = 3(3 x 2 + 2 x − 4) 3 2 4 9 x 5 + 6 x 3 − 12 x 2 = (3 x 2 × x 3 + 3 x 2 × x − 3 x 2 × ) = 3 x 2 (3 x 3 + 2 x − 4) 3 2 4 6 x 2t + 8 xt + 12t = (2t × x 2 + 2t × x + 2t × ) = 2t (3 x 2 + 4 x + 6) 3 4 6 14(m + 1)3 − 28(m + 1) 2 − 7( m + 1) = ( 7(m + 1) × m + 1) 2 − 7(m + 1) × m + 1) − 7( m + 1) × ) 2( 4( 1 = 7(m + 1) ( 2(m + 1) 2 − 4(m + 1) − 1) 29
  • 30.
    Group Factoring If thereare four terms, we can group the 1st two and the last two terms. Then do the preliminary factors on two grous and factor again. x 3 + 2 x 2 + 2 x + 4 = ( x 3 + 2 x 2 ) + ( 2 x + 4 ) = x 2 ( x + 2 ) + 2( x + 2) = ( x 2 ( x + 2 ) + 2( x + 2) ) = ( x + 2 ) ( x 2 + 2 ) 4 x 3 + 2 x 2 − 6 x − 3 = ( 4 x 3 + 2 x 2 ) − ( 6 x + 3 ) = 2 x 2 ( 2 x + 1) − 3(2 x + 1) = ( 2 x 2 ( 2 x + 1) − 3(2 x + 1) ) = ( 2 x + 1) ( 2 x 2 − 3) mp 2 + 7m 2 + 3 p 2 + 21m = ( mp 2 + 7m 2 ) + ( 3 p 2 + 21m ) = m ( p 2 + 7m ) + 3 ( p 2 + 7m ) ( ) = m ( p 2 + 7m ) + 3 ( p 2 + 7 m ) ¬ − − We can skip this = ( p 2 + 7 m ) ( m + 3) 30
  • 31.
    Factor the following Exercises 1.12m + 60 2. 4 p 3 q 4 − 6 p 2 q 5 3. 4k 2 m3 + 8k 4 m3 − 12k 2 m 4 4. 4( y − 2) 2 + 3( y − 2) 5. 6 st + 9t − 10 s − 15 6. 20 z 2 − 8 x + 5 pz 2 − 2 px 31
  • 32.
    Quadratic polynomials Factoring isthe reverse of polynomial multiplication. (3x − 4)(2 x + 5) = 6 x 2 + 7 x − 20 is multiplication 6 x 2 + 7 x − 20 = (3x − 4)(2 x + 5) is factoring How to obtain numbers 3, − 4, 2 and 5 from 6, 7 and − 20? Because 6 x 2 = 3 x ×2 x so we have 6 = 3 ×2 and − 20= ( −4 ) × 5 Also 7 x = 3 x × + ( −4 ) ×2 x so we have 7 = 3 × + ( −4 ) ×2 5 5 Therefore we have chcart (answer are 4 corner numbers) 2x+5 3x−4 32
  • 33.
    Example 2. Factor6 x 2 − 13 x + 6 This is not match This is match 2x−3 3x−2 Answer: 6 x 2 − 11x + 6 = (2 x − 3)(3 x − 2) 33
  • 34.
    Example 3. Factor4 x 2 − 11xy + 6 y 2 4x−3y x−2y Answer: 4 x 2 − 11xy + 6 y 2 = (4 x − 3 y )( x − 2 y ) Example 4. Factor 6 p 2 − 7 p − 5 Answer: 6 p 2 − 7 p − 5 = (2 p + 1)(3 p − 5) 34
  • 35.
    Example 5. Factorx − 11x + 30 2 Answer: x 2 − 11x + 30 = ( x − 5)( x − 6) Example 6. Factor a 2 − 5ab − 14b 2 Answer: a 2 − 5ab − 14b 2 = (a + 2b)(a − 7b) 35
  • 36.
    Note: If thefirst coefficient is one like x 2 + px + q then we only need to decompose q to the product of two number such that their sum is p. Examples: 1. x 2 − 11x + 30 because 30 = ( −5)(−6) and so 2. 3. x 2 − 11x + 30 = ( x − 5)( x − 6) a 2 − 5a − 14 because − 14 = 2 ×(−7) and so (−5) + (−6) = −11 2 + (−7) = −5 a 2 − 5a − 14 = (a + 2)(a − 7) x 2 + 10 x − 39 because − 39 = 13 ×( −3) and 13 + ( −3) = 10 so x 2 + 10 x − 39 = ( x + 13)( x − 3) 36
  • 37.
    Factor the following Exercises 1.8h 2 − 2h − 21 2. 3m 2 + 14m + 8 3. 9 y 2 − 18 y + 8 4. 6k 2 − 5kp − 6 p 2 5. 5a 2 − 7 ab − 6b 2 6. 24a 4 + 10a 3b − 2a 2b 2 7. 18 x 5 + 15 x 4 z − 75 x 3 z 2 8. x 2 + 12 x + 27 9. x 2 + x − 12 10. x 2 + 11x − 12 11. x 2 + 10 x − 24 12. x 2 − 5 x − 24 13. x2 − 2 x + 5 37
  • 38.
    Prime Polynomial If ainteger coefficients polynomial cannot be factored to a product of polynomials with integer, then it called prime polynomials. 1. Suppose that m and n are positive integers, then mx 2 + n is prime such as x 2 + 9, 2 y 2 + 5, x2 + y2 are all prime. 2. For quadratice polynoimal ax 2 + bx + c if number b 2 − 4ac < 0 Example: x 2 + x + 1, then ax 2 + bx + c is prime x 2 + 2 xy + 3 y 2 are all prime. if number b 2 − 4ac is not a square number then ax 2 + bx + c is prime Example: x 2 + 3 x + 1, b 2 − 4ac = 32 − 4 × × = 5 not a square number 11 so x 2 + 3 x + 1 is prime 38
  • 39.
    Use Formulas We havethe following formulas x 2 − y 2 = ( x + y )( x − y ) difference of squares x 2 + 2 xy + y 2 = ( x + y ) 2 perfect saqure of sum x 2 − 2 xy + y 2 = ( x − y ) 2 perfect saqure of difference x 3 + y 3 = ( x + y )( x 2 − xy + y 2 ) sum of cubic powers x 3 − y 3 = ( x − y )( x 2 + xy + y 2 ) difference of cubic powers Examples 1. 4m 2 − 9 = (2m) 2 − 32 = (2m + 3)(2m − 3) 1 3 1 3 2 2 2 2 x y x+ y x− y 2. 4 x 2 − 9 y 2 = (2 x) 2 − (3 y ) 2 = (2 x + 3 y )(2 x − 3 y ) 39
  • 40.
    3. 256k −81m = ( 16k 4 4 = ( 16k 2 + 9m 2 ) − ( 9m ) = ( 16k ) ( (4k ) − (3m) ) 2 2 2 2 2 2 + 9m 2 ) ( 16k 2 − 9m 2 ) 2 = ( 16k 2 + 9m 2 ) ( 4k + 3m ) ( 4k − 3m ) 4. (a + 2b) 2 − 4c 2 = ( a + 2b) 2 − (2c) 2 = [ ( a + 2b) + 2c ] [ ( a + 2b) − 2c ] = (a + 2b + 2c)(a + 2b − 2c) 5. x 2 + 2 x + 1 = ( x + 1) 2 6. x 2 + 2 xy + y 2 = ( x + y ) 2 7. x 2 − 6 x + 9 = ( x − 3) 2 8. 25 y 2 − 10 y + 1 = ( 5 y ) − 2 × y × + 12 = (5 y − 1) 2 5 1 2 9. 4m + 28m + 49 = ( 2m ) + 2 ×2m ×7 + (7) 2 = (2m + 7) 2 2 2 40
  • 41.
    10. x −6 x + 9 − y = ( x − 3) − ( y ) = ( x −3+ y ) ( x −3− y ) 11. ( m + 14m + 49 ) − ( y − 10 y + 25 ) = (m + 7) − ( y − 5) 2 4 2 2 2 2 2 2 2 2 2 = [ (m + 7) + ( y − 5) ] [ (m + 7) − ( y − 5) ] = (m + y − 2)(m − y + 12) 12. x 3 + 27 = x 3 + 33 = ( x + 3)( x 2 − x × + 32 ) = ( x + 3)( x 2 − 3 x + 9) 3 13. m − 64n = m − ( 4n ) = ( m − 4n)  m 2 + m ×4n + ( 4n) 2    3 3 3 3 = (m − 4n) ( m 2 + 4mn + 16n 2 ) 14. 8q + 125 p = ( 2q 6 9 = (2q 2 = (2q 2 ) +(5p ) + 5 p ) ( 2q ) − 2q × p + (5 p ) 5   + 5 p ) ( 4q − 10q p + 25 p ) 2 3 3 3 2 2 3 3 4 2 2 3 3 3 2    6 41
  • 42.
    Exercises Factor the followingby formulas 1. 9m 2 − 12m + 4 2. 16 p 2 + 40 p + 25 3. 36 x 2 − 60 xy + 25 y 2 4. 9 x 2 − 6 x3 + x 4 5. 4 x 2 y 2 + 28 xy + 49 6. ( a − 2b) 2 − 6( a − 2b) + 9 7. 9m 2 n 2 − 4 p 2 8. ( a + 2b) 2 − 25( a − 3b) 2 9. 8 x3 + 27 10. x 4 − 81 11. 27 − ( m + 2n)3 12. x 4 − 16 13. x4 − 5x2 + 4 42