Batch: Jan - May 2008 R. Ganesh Narayanan 1
Engineering Mechanics – Statics
Instructor
R. Ganesh Narayanan
Department of Mechanical Engineering
IIT Guwahati
Batch: Jan - May 2008 R. Ganesh Narayanan 2
-These lecture slides were prepared and used by me to conduct lectures for 1st year B. Tech.
students as part of ME 101 – Engineering Mechanics course at IITG.
- Theories, Figures, Problems, Concepts used in the slides to fulfill the course requirements are
taken from the following textbooks
- Kindly assume that the referencing of the following books have been done in this slide
- I take responsibility for any mistakes in solving the problems. Readers are requested to rectify
when using the same
- I thank the following authors for making their books available for reference
R. Ganesh Narayanan
1. Vector Mechanics for Engineers – Statics & Dynamics, Beer & Johnston; 7th edition
2. Engineering Mechanics Statics & Dynamics, Shames; 4th edition
3. Engineering Mechanics Statics Vol. 1, Engineering Mechanics Dynamics Vol. 2, Meriam &
Kraige; 5th edition
4. Schaum’s solved problems series Vol. 1: Statics; Vol. 2: Dynamics, Joseph F. Shelley
R. Ganesh Narayanan 3
Engineering mechanics
- Deals with effect of forces on objects
Mechanics principles used in vibration, spacecraft
design, fluid flow, electrical, mechanical m/c design
etc.
Statics: deals with effect of force on bodies which
are not moving
Dynamics: deals with force effect on moving bodies
We consider RIGID BODIES – Non deformable
R. Ganesh Narayanan 4
Scalar quantity: Only magnitude; time, volume, speed,
density, mass…
Vector quantity: Both direction and magnitude; Force,
displacement, velocity, acceleration, moment…
V = IvI n, where IvI = magnitude, n = unit vector
n = V / IvI
n - dimensionless and in direction of vector ‘V’
In our course:
y
x
z
j
i
k
i, j, k – unit vectors
R. Ganesh Narayanan 5
Dot product of vectors: A.B = AB cos θ; A.B = B.A (commutative)
A.(B+C) = A.B+A.C (distributive operation)
A.B = (Axi+Ayj+Azk).(Bxi+Byj+Bzk) = AxBx+AyBy+AzBz
Cross product of vectors: A x B = C; ICI = IAI IBI Sin θ; AxB = -(BxA)
C x (A+B) = C x A + C x B
i j k
A
B
θ
i . i = 1
i . j = 0
k i
j
k x j = -i;
i x i = 0
AxB = (Axi+Ayj+Azk)x(Bxi+Byj+Bzk) = (AyBz- AzBy)i+( )j+( )k
i j k
Ax AY AZ
BX BY BZ
R. Ganesh Narayanan 6
Force:
- action of one body on another
- required force can move a body in the direction of action,
otherwise no effect
- some times plastic deformation, failure is possible
- Magnitude, direction, point of application; VECTOR
Force
< P kN
Force,
P kN
Direction of motion
Body moves
Body does
not move
P, kN
bulging
R. Ganesh Narayanan 7
Force system:
θ
P
WIREBracket
Magnitude, direction and point of application
is important
External effect: Forces applied (applied force); Forces exerted by
bracket, bolts, foundation….. (reactive force)
Internal effect: Deformation, strain pattern – permanent strain;
depends on material properties of bracket, bolts…
R. Ganesh Narayanan 8
Transmissibility principle:
A force may be applied at any point on a line of action
without changing the resultant effects of the force
applied external to rigid body on which it acts
Magnitude, direction and line of action is important; not
point of application
PP
Line of
action
R. Ganesh Narayanan 9
Concurrent force:
Forces are said to be concurrent at a point if their lines of
action intersect at that point
A
F1
F2
R
F1, F2 are concurrent forces
R will be on same plane
R = F1+F2
Plane
Parallelogram law of forces
Polygon law of forces
A
F1
F2
R
F2
F1
A
F1
F2
R
Use triangle law
A F1
R
F2
R does not
pass through ‘A’
R = F1+F2 R = F1+F2
R. Ganesh Narayanan 10
Two dimensional force system
Rectangular components:
Fx
Fy
j
i
F θ
F = Fx + Fy; both are vector components in x, y direction
Fx = fx i ; Fy = fy j; fx, fy are scalar quantities
Therefore, F = fx i + fy j
Fx = F cos θ; Fy = F sin θ
F = fx2 + fy2 ; θ = tan -1 (fy/fx)
+ ve
+ ve
- ve
- ve
R. Ganesh Narayanan 11
Two concurrent forces F1, F2
Rx = Σ Fx; Ry = Σ Fy
DERIVATION
F2
F1
R
i
j
R. Ganesh Narayanan 12
Moment: Tendency to rotate; torque
Moment about a point: M = Fd
Magnitude of moment is
proportional to the force ‘F’ and
moment arm ‘d’ i.e, perpendicular
distance from the axis of rotation
to the LOA of force
UNIT : N-m
Moment is perpendicular to plane about axis O-O
Counter CW = + ve; CW = -ve
B
A
F
d
r
O
O
M
α
R. Ganesh Narayanan 13
Cross product:
M = r x F; where ‘r’ is the position vector which runs from
the moment reference point ‘A’ to any point on the
LOA of ‘F’
M = Fr sin α; M = Fd
M = r x F = -(F x r): sense is important
B
A
d
r α
Sin α = d / r
R. Ganesh Narayanan 14
Varignon’s theorem:
The moment of a force about any point is equal to the
sum of the moments of the components of the forces
about the same point
o
Q
P R
r
B Mo = r x R = r x (P+Q) = r x P + r x Q
Moment of ‘P’
Moment of ‘Q’
Resultant ‘R’ – moment arm ‘d’
Force ‘P’ – moment arm ‘p’; Force ‘Q’ – moment arm ‘q’
Mo= Rd = -pP + qQ
Concurrent forces – P, Q
Usefulness:
R. Ganesh Narayanan 15
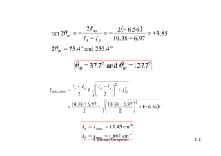
Pb:2/5 (Meriam / Kraige):
Calculate the magnitude of the moment
about ‘O’ of the force 600 N
1) Mo = 600 cos 40 (4) + 600 sin 40 (2)
= 2610 Nm (app.)
2) Mo = r x F = (2i + 4j) x (600cos40i-600sin40j)
= -771.34-1839 = 2609.85 Nm (CW);
mag = 2610 Nm
o
600N4
2
A
in mm
40 deg
r
i
j
R. Ganesh Narayanan 16
Couple: Moment produced by two equal, opposite and
non-collinear forces
-F
+F
a
d
o
=>-F and F produces rotation
=>Mo = F (a+d) – Fa = Fd;
Perpendicular to plane
⇒Independent of distance from ‘o’,
depends on ‘d’ only
⇒ moment is same for all moment
centers
M
R. Ganesh Narayanan 17
Vector algebra method
-F
+F
o
rb
ra
r M = ra x F + rb x (-F) = (ra-rb) x F = r x F
CCW
Couple
CW
Couple
Equivalent couples
•Changing the F and d values does not change a given couple
as long as the product (Fd) remains same
•Changing the plane will not alter couple as long as it is parallel
R. Ganesh Narayanan 18
M
-F +Fd
M
-F
+F
d
M
-F
+F d
-2F
d/2+2F
M
EXAMPLE
All four are equivalent couples
R. Ganesh Narayanan 19
Force-couple system
=>Effect of force is two fold – 1) to push or pull, 2)
rotate the body about any axis
⇒Dual effect can be represented by a force-couple
syatem
⇒ a force can be replaced by a force and couple
F
A
B
F
A
B F
-F
B F
M = Fd
R. Ganesh Narayanan 20
o
80N
o
80N
80 N80 N o80 N
Mo = Y N m
60deg
9 m
Mo = 80 (9 sin 60) = 624 N m; CCW
EXAMPLE
9
60 deg
R. Ganesh Narayanan 21
Resultants
To describe the resultant action of a group or system of forces
Resultant: simplest force combination which replace the original
forces without altering the external effect on the body to which
the forces are applied
R
R = F1+F2+F3+….. = Σ F
Rx = Σ Fx; Ry = Σ Fy; R = (Σ Fx)2 + (Σ Fy)2
Θ = tan -1 (Ry/Rx)
R. Ganesh Narayanan 22
F1 F2
F3
F1 – D1; F2 – D2; F3 – D3
F1 F2
F3
M1 = F1d1;
M2 = F2d2;
M3 = F3d3
R= ΣF
Mo= ΣFd
NON-CONCURRENT FORCES
R
d
Mo=Rd
How to obtain resultant force ?
R. Ganesh Narayanan 23
Principle of moments
Summarize the above process: R = ΣF
Mo = ΣM = Σ(Fd)
Mo = Rd
First two equations: reduce the system of forces to a force-couple
system at some point ‘O’
Third equation: distance ‘d’ from point ‘O’ to the line of action ‘R’
=> VARIGNON’S THEOREM IS EXTENDED HERE FOR NON-
CONCURENT FORCES
R= ΣF
Mo= ΣFd
R
d
Mo=Rd
R. Ganesh Narayanan 24
STATICS – MID SEMESTER – DYNAMICS
Tutorial: Monday 8 am to 8.55 am
1. Vector Mechanics for Engineers – Statics & Dynamics, Beer & Johnston; 7th edition
2. Engineering Mechanics Statics & Dynamics, Shames; 4th edition
3. Engineering Mechanics Statics Vol. 1, Engineering Mechanics Dynamics Vol. 2,
Meriam & Kraige; 5th edition
4. Schaum’s solved problems series Vol. 1: Statics; Vol. 2: Dynamics, Joseph F. Shelley
Reference books
R. Ganesh Narayanan 25
ENGINEERING MECHANICS
TUTORIAL CLASS: Monday 8 AM TO 8.55 AM
07010605 (5 Students)07010601
Dr. Saravana Kumar120507010449 (36 Students)07010414TG5
07010413 (13 Students)07010401
Dr. M. Pandey120207010353 (28 Students)07010326TG4
07010325 (25 Students)07010301
R. Ganesh Narayanan1G207010249 (16 Students)07010234TG3
07010233 (33 Students)07010201
Dr. senthilvelan1G107010149 (8 Students)07010142TG2
Prof. R. TiwariL207010141 (41 Students)07010101TG1
ToFrom
TutorsClass RoomRoll NumbersTutorial Groups
LECTURE CLASSES: LT2 (one will be optional):
Monday 3 pm to 3.55 pm
Tuesday 2 pm to 2.55 pm
Thursday 5 pm to 5.55 pm
Friday 4 pm to 4.55 pm
R. Ganesh Narayanan 26
Three dimensional force system
Rectangular components
Fx = F cos θx; Fy = F cos θy; Fz = F cos θz
F = Fx i + Fy j + Fz k
= F (i cos θx + j cos θy + k cos θz) = F (l i + m j + n k)
F = F nf
o
Fx i
Fy j
Fz k
F
θz
θx
θy
l, m, n are directional cosines of ‘F’
R. Ganesh Narayanan 27
F
r
Mo
d
αA
A - a plane in 3D structure
Mo = F d (TEDIOUS to find d)
or Mo = r x F = – (F x r) (BETTER)
Evaluating the cross product
Described in determinant form: i j k
rx rY rZ
FX FY FZ
Moment in 3D
Expanding …
R. Ganesh Narayanan 28
Mo = (ryFz - rzFy) i + (rzFx – rxFz) j + (rxFy – ryFx) k
Mx = ryFz – rzFy; My = rzFx – rxFz; Mz = rxFy – ryFx
Moment about any arbitrary axis λ:
F
r
Mo n
o
λ
Magnitude of the moment Mλ of F about λ
= Mo . n (scalar reprn.)
Similarly, Mλ = (r x F.n) n (vector reprn.)
Scalar triple product
rx ry rz
Fx FY FZ
α β γ
α, β, γ – DCs of n
R. Ganesh Narayanan 29
Varignon’s theorem in 3D
o F1
F3
F2
r
B
Mo = rxF1 + rxF2 + rx F3 +…= Σ(r x F)
= r x (F1+F2+F3+…)
= r x (ΣF) = r x R
Couples in 3D
B
M
A
r
ra
rb
d
-F
+F
M = ra x F + rb x –F = (ra-
rb) x F = rxF
R. Ganesh Narayanan 30
Beer-Johnston; 2.3
F1 = 150N
30
F4 = 100N
15
F3 = 110N
F2 = 80N
20
• Evaluate components of F1, F2, F3, F4
• Rx = ΣFx; Ry = ΣFy
• R = Rx i + Ry j
• α = tan -1 (Ry/Rx)
Ry
Rx
R
α
• R = 199i + 14.3j; α = 4.1 deg
2D force system; equ. Force-couple; principle of
moments
R. Ganesh Narayanan 31
F1
F2 R =3000 N
30 DEG
45 DEG
15 DEG
Find F1 and F2
3000 (cos15i – sin 15j) = F1 (cos 30i – Sin 30j)+ F2 (cos45i – sin 45j)
EQUATING THE COMPONENTS OF VECTOR,
F1 = 2690 N; F2 = 804 N
R = F1 + F2
Boat
R. Ganesh Narayanan 32
o
A
B
20 DEG
C
OC – FLAG POLE
OAB – LIGHT FRAME
D – POWER WINCH
D
780 N
Find the moment Mo of 780 N
about the hinge point
10m
10
10
T = -780 COS20 i – 780 sin20 j
= -732.9 i – 266.8 j
r = OA = 10 cos 60 i + 10 sin 60 j = 5 i + 8.6 j
Mo = r x F = 5014 k ; Mag = 5014 Nm
Meriam / kraige; 2/37
R. Ganesh Narayanan 33
Meriam / kraige; 2/6
Replace couple 1 by eq. couple p, -p; find Θ
M = 100 (0.1) = 10 Nm (CCW)
M = 400 (0.04) cos θ
10 = 400 (0.04) cos θ
=> Θ = 51.3 deg
M
P
-P
40
100
100
100
100N 100N
60
θ
θ
1
2
1
2
R. Ganesh Narayanan 34
80N
30 deg
60 N
40 N
50 N2m
5m
45
2m
2m
1m
o
140Nm
Find the resultant of four forces and one
couple which act on the plate
Rx = 40+80cos30-60cos45 = 66.9 N
Ry = 50+80sin 30+60cos45 = 132.4 N
R = 148.3 N; Θ = tan-1 (132.4/66.9) = 63.2 deg
Mo = 140-50(5)+60cos45(4)-60sin45(7) = -237 Nm
o
R = 148.3N
63.2 deg
237 Nm
o
R = 148.3N
63.2 deg
148.3 d = 237; d = 1.6 mFinal LOA of R:
o
R = 148.3N
b
x
y
(Xi + yj) x (66.9i+132.4j) = -237k
(132.4 x – 66.9 y)k = -237k
132.4 x -66.9 y = -237
Y = 0 => x = b = -1.792 m
Meriam / kraige; 2/8
LOA of R with x-axis:
R. Ganesh Narayanan 35
Couples in 3D
B
M
A
r
ra
rb
d
-F
+F
M = ra x F + rb x –F = (ra-
rb) x F = rxF
F
AB
F
M = Fd
F
AB
F
-F
r
B
Equivalent couples
R. Ganesh Narayanan 36
How to find resultant ?
R = ΣF = F1+F2+F3+…
Mo = ΣM = M1+M2+M3+… = Σ(rxF)
M = Mx2 + My2 + Mz2; R = ΣFx2 + ΣFy2 + ΣFz2
Mx = ; My = ; Mz =
R. Ganesh Narayanan 37
Equilibrium
Body in equilibrium - necessary & sufficient condition:
R = ΣF = 0; M = ΣM = 0
Equilibrium in 2D
Mechanical system: body or group of bodies which can be conceptually
isolated from all other bodies
System: single body, combination of bodies; rigid or non-rigid;
combination of fluids and solids
Free body diagram - FBD:
=> Body to be analyzed is isolated; Forces acting on the body are
represented – action of one body on other, gravity attraction,
magnetic force etc.
=> After FBD, equilibrium equns. can be formed
R. Ganesh Narayanan 38
Modeling the action of forces
Meriam/Kraige
Imp
Imp
R. Ganesh Narayanan 39
FBD - Examples
Meriam/Kraige
Equilibrium equns. Can be
solved,
• Some forces can be zero
• Assumed sign can be
different
R. Ganesh Narayanan 40
Types of 2D equilibrium
x
F1
F2
F3
Collinear: ΣFx = 0 F1 F2
F3
F4
Parallel: ΣFx = 0; ΣMz = 0
F1
F2
F3
F4
X
Y
Concurrent at a point: ΣFx = 0; ΣFy = 0
X
Y
M
General: ΣFx = 0; ΣFy = 0; ΣMz = 0
R. Ganesh Narayanan 41
General equilibrium conditions
ΣFx = 0; ΣFy = 0; ΣFz = 0
ΣMx = 0; ΣMy = 0; ΣMz = 0
⇒These equations can be used to solve unknown forces,
reactions applied to rigid body
⇒For a rigid body in equilibrium, the system of external forces will
impart no translational, rotational motion to the body
⇒Necessary and sufficient equilibrium conditions
R. Ganesh Narayanan 42
Written in three alternate ways,
A
B
C
D
PY
Px
QY
Qx
RY
Rx
W
BY
AX
AY
ΣMB = 0 => will not provide new information; used to check the
solution; To find only three unknowns
A B
C D
P Q R
RollerPin
ΣFx = 0; ΣFy = 0; ΣMA = 0 I
R. Ganesh Narayanan 43
ΣFx = 0; ΣMA = 0; ΣMB = 0 II
• Point B can not lie on the line that passes through point A
• First two equ. indicate that the ext. forces reduced to a single vertical force at A
• Third eqn. (ΣMB = 0) says this force must be zero
Rigid body in equilibrium =>
ΣMA = 0; ΣMB = 0; ΣMc = 0; III
Body is statically indeterminate: more unknown reactions than
independent equilibrium equations
R. Ganesh Narayanan 44
Meriam / Kraige; 2/10
z
x
12 m
9
B
O
A
15
T = 10kN
Y
Find the moment Mz of T about the z-axis passing
thro the base O
3D force system
R. Ganesh Narayanan 45
F = T = ITI nAB = 10 [12i-15j+9k/21.21] = 10(0.566i-0.707j+0.424k) k N
Mo = rxF = 15j x 10(0.566i-0.707j+0.424k) = 150 (-0.566k+0.424i) k Nm
Mz = Mo.k= 150 (-0.566k+0.424i).k = -84.9 kN. m
R. Ganesh Narayanan 46
Merial / Kraige; 2/117
Replace the 750N tensile force which the cable exerts on point B by a force-
couple system at point O
R. Ganesh Narayanan 47
F = f λ, where λ is unit vector along BC
= (750) BC/IBCI = 750 (-1.6i+1.1j+0.5k/2.005)
F = -599i+412j+188.5k
rob = OB = 1.6i-0.4j+0.8k
Mo = rob x F
= (1.6i-0.4j+0.7k) x (-599i+412j+188.5k)
Mo = - 363i-720j+419.2k
R. Ganesh Narayanan 48
Meriem / Kraige; 3/4
ΣMA = (T cos 25) (0.25) + (T sin 25) (5-0.12) –
10(5-1.5-0.12) – 4.66 (2.5-0.12) = 0
T = 19.6 kN T
25 deg
y
Ax
Ay
10 kN
0.5 m
4.66 kN
5m
1.5m
0.12 m
ΣFx = Ax – 19.6 cos 25 = 0
Ax = 17.7 kN
ΣFy = Ay+19.61 sin 25-4.66-10 = 0
Ay = 6.37 kN
A = Ax2 + Ay2 = 18.88kN
2D equilibrium
Find T and force at A; I-beam with mass of 95
kg/meter of length
95 kg/meter => 95(10-3)(5)(9.81) = 4.66kN
R. Ganesh Narayanan 49
A
B
40 50 30 10
60
60 a 80
mm, N
Beer/Johnston; 4.5
Find reactions at A, B if (a) a = 100 mm; (b)
a=70 mm
40 50 30 10
Bx
By
Ay
a = 100 mm
ΣMa = 0 => (-40x60)+(-50x120)+(-30x220)+
(-10x300)+(-Byx120) = 0
By = 150 N
ΣFy = 0 => By-Ay-40-50-30-10 = 0
= 150-Ay-130 = 0 => Ay = 20 N
a = 70 mm
By = 140 N Ay = 10 N
R. Ganesh Narayanan 50
A B
20 20 20 20
C
2.25
3.75
E
D
4.5
F
1.8
A B
20 20 20 20
C
2.25
3.75
E
D
4.5
F
1.8
150 kN
Ex
Ey
Find the reaction at the fixed end
‘E’
DF = 7.5 m
ΣFx = Ex + 150 (4.5/7.5) = 0 => Ex = - 90 kN (sign change)
ΣFy = Ey – 4(20)-150 (6/7.5) = 0 => Ey = 200 kN
ΣME= 20 (7.2) + 20 (5.4) + 20 (3.6) +20 (1.8) – (6/7.5) (150) (4.5) +
ME= 0
ME= +180 kN.m => ccw
ME
Beer/Johnston; 4.4
R. Ganesh Narayanan 51
Instructions for TUTORIAL
• Bring pen, pencil, tagged A4 sheets, calculator, text books
• Submitted in same tutorial class
• Solve div II tutorial problems also
• Solve more problems as home work
• Tutorial : 10 % contribution in grading
• Do not miss any tutorial class
QUIZ 1 – FEB, 11TH, 2008
R. Ganesh Narayanan 52
3D equilibrium
3D equilibrium equns. can be written in scalar and vector form
ΣF = 0 (or) ΣFX = 0; ΣFY = 0; ΣFZ = 0
ΣM = 0 (or) ΣMX = 0; ΣMY = 0; ΣMZ = 0
ΣF = 0 => Only if the coefficients of i, j, k are zero; ΣFX = 0
ΣM = 0 => Only if the coefficients of i, j, k are zero; ΣMX = 0
R. Ganesh Narayanan 53
Modeling forces in 3D
R. Ganesh Narayanan 54
Types of 3D equilibrium
R. Ganesh Narayanan 55
Meriem / Kraige
B
A
7 m
6 m
2 m
y
x
z
By
Bx
G
W=mg=200 x 9.81
W = 1962 N
Ay
AzAx
h
3.5
3.5
7 = 22 + 62 + h2 => h = 3 m
rAG = -1i-3j+1.5k m; rAB = -2i-6j+3k m
ΣMA = 0 => rAB x (Bx+By) + rAG x W = 0
(-2i-6j+3k) x (Bx i + By j) + (-i-3j+1.5k) x (-1962k) = 0
(-3By+5886)i + (3Bx-1962)j + (-2By+6Bx)k = 0
=> By = 1962 N; Bx = 654 N
ΣF = 0 => (654-Ax) i + (1962-Ay) j + (-1962+Az)k = 0
=> Ax = 654 N; Ay = 1963 N; Az = 1962 N; find A
R. Ganesh Narayanan 56
Meriem / Kraige; 3/64
R. Ganesh Narayanan 57
I.H. Shames
Find forces at A, B, D. Pin connection at C; E has welded connection
R. Ganesh Narayanan 58
F.B.D. - 1
F.B.D. - 2
ΣMc = 0 => (Dy) (15) – 200 (15) (15/2) –
(1/2)(15)(300)[2/3 (15)] = 0
Dy = 3000 N
F.B.D. - 2
R. Ganesh Narayanan 59
F.B.D. - 1
ΣMB = 0 => -Ay (13) +(3000) (21) – 200
(34) (34/2-13) – ½ (300) (15) [6+2/3(15)]
= 0
Ay = -15.4 N
ΣFy = 0 => Ay+By+3000-200(34)-
(1/2)(300)(15) = 0
Sub. ‘Ay’ here,
=> By = 6065 N
R. Ganesh Narayanan 60
2D, 3D force system
• Rectangular components
• Moment
• Varignon’s theorem
• Couple
• Force-couple system
• Resultant
• Principle of moment
Equilibrium equations
ΣFx = 0; ΣFy = 0; ΣMA = 0
ΣFx = 0; ΣMA = 0; ΣMB = 0
ΣMA = 0; ΣMB = 0; ΣMc = 0
2D
ΣF = 0 (or) ΣFX = 0; ΣFY = 0; ΣFZ = 0
ΣM = 0 (or) ΣMX = 0; ΣMY = 0; ΣMZ = 0
3D
R. Ganesh Narayanan 61
Structures
Truss: Framework composed of members joined at their ends to form a rigid
structures
Plane truss: Members of truss lie in same plane
Bridge truss
Roof truss
R. Ganesh Narayanan 62
•Three bars joined with pins at end
• Rigid bars and non-collapsible
• Deformation due to induced internal strains is negligible
B D
CA
Non-rigid rigid
E
Non rigid body can be made rigid by
adding BC, DE, CE elements
B
C
D
A
A
B
c
R. Ganesh Narayanan 63
Instructions for TUTORIAL
• Bring pen, pencil, tagged A4 sheets, calculator, text books
• Submitted in same tutorial class
• Solve div II tutorial problems also
• Solve more problems as home work
• Tutorial : 10 % contribution in grading
• Do not miss any tutorial class
QUIZ 1 – FEB, 11TH, 2008
R. Ganesh Narayanan 64
Structures
Truss: Framework composed of members joined at their ends to form a rigid
structures
Plane truss: Members of truss lie in same plane
Bridge truss
Roof truss
R. Ganesh Narayanan 65
•Three bars joined with pins at end
• Rigid bars and non-collapsible
• Deformation due to induced internal strains is negligible
Non rigid body can be made rigid by
adding BC, DE, CE elements
B D
CA
Non-rigid rigid
E
B
C
D
A
A
B
c
Simple truss: structures built from basic triangle
More members are present to prevent collapsing => statically indeterminate truss;
they can not be analyzed by equilibrium equations
Additional members not necessary for maintaining equilibrium - redundant
R. Ganesh Narayanan 66
In designing simples truss or truss => assumptions are followed
1. Two force members – equilibrium only in two forces; either tension or compression
2. Each member is a straight link joining two points of application of force
3. Two forces are applied at the end; they are equal, opposite and collinear for
equilibrium
4. Newton’s third law is followed for each joint
5. Weight can be included; effect of bending is not accepted
6. External forces are applied only in pin connections
7. Roller or rocker is also provided at joints to allow expansion and contraction due to
temperature changes and deformation for applied loads
T
T c
c weight
TWO FORCE MEMBERS
R. Ganesh Narayanan 67
Method of joints
•This method consists of satisfying the conditions of equilibrium for the
forces acting on the connecting pin of each joint
•This method deals with equilibrium of concurrent forces and only two
independent equilibrium equations are solved
• Newton’s third law is followed
Two methods to analyze force in simple truss
R. Ganesh Narayanan 68
Example
A
B
C
D
EF
L
ΣFy = 0; ΣFx = 0
Finally sign can be changed if
not applied correctly
R. Ganesh Narayanan 69
Internal and external redundancy
external redundancy: If a plane truss has more supports than are necessary to
ensure a stable equilibrium, the extra supports constitute external redundancy
Internal redundancy: More internal members than are necessary to prevent collapse,
the extra members constitute internal redundancy
Condition for statically determinate truss: m + 3 = 2j
- Equilibrium of each joint can be specified by two scalar force equations, then ‘2j’
equations are present for a truss with ‘j’ joints
-The entire truss composed of ‘m’ two force members and having the maximum of
three unknown support reactions, there are (m + 3) unknowns
j – no. of joints; m – no. of members
m + 3 > 2 j =>more members than independent equations; statically
indeterminate
m + 3 < 2 j => deficiency of internal members; truss is unstable
R. Ganesh Narayanan 70
A
C E
F
DB
1000
10
10
10 10
1000
I. H. Shames
Determine the force transmitted by each member;
A, F = 1000 N
Pin A
FAB
FAC
1000
A
ΣFx = 0 =>FAC – 0.707FAB = 0
ΣFy = 0 => -0.707FAB+1000 = 0
FAB = 1414 N; FAC = 1000 N
Pin B
B
FBC
1414
FBD
ΣFx = 0 => -FBD + 1414COS45 = 0 => FBD = 1000 N
ΣFy = 0 => -FBC+1414 COS45 = 0 => FBC = 1000 N
1000
FAC
FAB
1414
FBC
FBD
R. Ganesh Narayanan 71
Pin C
B
1000
1000
FCE
FDC
1000
10001000
1000
FDC
FCE
ΣFx = 0 => -1000 + FCE + FDC COS 45 = 0 => FCE = 1000 N
ΣFy = 0 => -1000+1000+ FDC COS 45 = 0 => FDC = 0
SIMILARLY D, E, F pins are solved
R. Ganesh Narayanan 72
B D
A
C E
30 20
5 5
5
5 55 5
kN, m
Find the force in each member of the loaded
cantilever truss by method of joints
Meriem / Kraige (similar pbm. 6.1 in Beer/Johnston)
R. Ganesh Narayanan 73
ΣME = 0 => 5T-20(5)-30 (10) = 0; T = 80 kN
ΣFx = 0 => 80 cos 30 – Ex = 0; Ex = 69.28 kN
ΣFy = 0 => Ey +80sin30-20-30 = 0 => Ey = 10kN
ΣFx = 0; ΣFy = 0
Find AB, AC forces
ΣFx = 0; ΣFy = 0
Find BC, BD forces
ΣFx = 0; ΣFy = 0
Find CD, CE forces
ΣFy = 0
Find DE forces
ΣFx = 0 can be checked
FBD of entire truss
FBD of joints
R. Ganesh Narayanan 74
Q = 100 N; smooth surfaces; Find
reactions at A, B, C Q
Q
A
B 30°
c
roller
100
100
RA
Rc
roller
RB
ΣF = 0 => (-RA cos 60 - RB cos 60 + Rc) i + (-2 x 100 + RB
sin 60 + RA sin 60) j = 0
RC = (RA + RB)/2
RB + RA = 230.94
RC = 115.5 N
RB
100
Rc
RAB
30°
ΣF = 0 => (-RAB cos 30 - RB cos 60 + Rc) i + (RB Sin 60 – 100 - RAB
sin 30) j = 0
0.866 RAB + 0.5 RB = 115.5; -0.5 RAB + 0.866 RB = 100
RAB = 50 N (app.); RB = 144.4 N; RA = 230.94-144.4 = 86.5 N
R. Ganesh Narayanan 75
Method of joints
•This method consists of satisfying the conditions of equilibrium for the
forces acting on the connecting pin of each joint
•This method deals with equilibrium of concurrent forces and only two
independent equilibrium equations are solved
• Newton’s third law is followed
Two methods to analyze force in plane truss
Method of sections
R. Ganesh Narayanan 76
Methodology for method of joints
A
B
C
D
EF
L
ΣFy = 0; ΣFx = 0
Finally sign can be changed if
not applied correctly
R. Ganesh Narayanan 77
5B D
A
C E
30 20
5 5
5 55 5
kN, m
R. Ganesh Narayanan 78
Method of sections
• In method of joints, we need only two equilibrium equations, as we
deal with concurrent force system
• In method of sections, we will consider three equilibrium
equations, including one moment equilibrium eqn.
• force in almost any desired member can be obtained directly from
an analysis of a section which has cut the member
• Not necessary to proceed from joint to joint
•Not more than three members whose forces are unknown should
be cut. Only three independent equilibrium eqns. are present
•Efficiently find limited information
R. Ganesh Narayanan 79
A
B
C
D
EF
L
•The external forces are obtained initially from method of joints, by
considering truss as a whole
• Assume we need to find force in BE, then entire truss has to be
sectioned across FE, BE, BC as shown in figure; we have only 3
equilibrium equns.
• AA – section across FE, BE, BC; Forces in these members are
initially unknown
A
B
C
D
EF
LR1 R2
A
A
Methodology for method of sections
R. Ganesh Narayanan 80
• Now each section will apply opposite forces on each other
• The LHS is in equilibrium with R1, L, three forces exerted on the cut
members (EF, BE, BC) by the RHS which has been removed
• IN this method the initial direction of forces is decided by moment about
any point where known forces are present
• For eg., take moment about point B for the LHS, this will give BE, BC to
be zero; Then moment by EF should be opposite to moment by R1;
Hence EF should be towards left hand side - compressive
Section 1 Section 2
R. Ganesh Narayanan 81
• Now take moment about ‘F’ => BE should be opposite to R1
moment; Hence BE must be up and to the right; So BE is tensile
• Now depending on the magnitudes of known forces, BC direction
has to be decided, which in this case is outwards i.e., tensile
Σ MB = 0 => FORCE IN EF; BE, BC = 0
Σ Fy = 0 => FORCE IN BE; BC, EF = 0
Σ ME = 0 => FORCE IN BC; EF, BE = 0
Section 1 Section 2
R. Ganesh Narayanan 82
Section AA and BB are
possible
convenient
R. Ganesh Narayanan 83
Important points
• IN method of sections, an entire portion of the truss is considered a
single body in equilibrium
• Force in members internal to the section are not involved in the
analysis of the section as a whole
• The cutting section is preferably passed through members and not
through joints
• Either portion of the truss can be used, but the one with smaller
number of forces will yield a simpler solution
• Method sections and method of joints can be combined
• Moment center can be selected through which many unknown forces
pass through
• Positive force value will sense the initial assumption of force direction
R. Ganesh Narayanan 84
Meriem/Kraige
Find the forces included in members KL,
CL, CB by the 20 ton load on the cantilever
truss
Section 1 Section 2
x
Σ Moment abt. ‘L’ => CB is compressive => creates CW moment
Σ Moment abt. C => KL is tensile => creates CW moment
CL is assumed to be compressive
y
KL
20 T
C CB
CL
G
P
L
K
R. Ganesh Narayanan 85
y
KL
20 T
C CB
CL
G
P
L
K
x
Section 1 Section 2
Σ ML = 0 => 20 (5) (12)- CB (21) = 0 => CB = 57.1 t (C)
Σ Mc = 0 => 20 (4)(12) – 12/13 (KL) (16) = 0; KL = 65 t (T)
Σ Mp = 0 => find PC distance and find CL; CL = 5.76 t (C)
BL = 16 + (26-16)/2 = 12 ft
Θ = tan -1 (5/12) => cos Θ = 12/13
θ
R. Ganesh Narayanan 86
Meriem/Kraige
Find the force in member DJ of the truss
shown. Neglect the horizontal force in
supports
Section 2 cuts four members, but we have only
3 equi. Equns
Hence consider section 1 which cuts only 3
members – CD, CJ, KJ
Consider FBD for whole truss and find
reaction at A
ΣMG = -Ay (24) +(10) (20) + 10(16) + 10
(8) = 0
Ay = 18. 3 kN => creates CW moment
Force direction
Σ Moment abt. A => CD, JK – Eliminated; CJ will be upwards creating CCW moment
Σ Moment abt. C => JK must be towards right creating CCW moment
ASSUME CD TO HAVE TENSILE FORCE
R. Ganesh Narayanan 87
ΣMA = 0 => CJ (12) (0.707) – 10 (4) -10( 8) =0; CJ = 14.14 Kn
ΣMJ = 0 => 0.894 (CD) (6) +18.33 (12)-10(4)-10(8) = 0; CD = -18.7 kN
CD direction is changed
From section 1 FBD
From section 2 FBD
ΣMG = 0 => 12 DJ +10(16)+10(20)-18.3 (24)-
14.14 (0.707)(12) = 0
DJ = 16.7 kN
R. Ganesh Narayanan 88
I.H. Shames FBD - 1
FBD - 2
From FBD-2
ΣMB = 0 => -(10)(500)+30 (789)- FAC Sin 30 (30) = 0
FAC = 1244.67 N
From FBD -1
ΣFx = 0 => FDA Cos 30 – (1244.67) cos 30 – 1000 sin 30 = 0 ;
FDA = 1822 N
ΣFy = 0 => (1822)Sin 30 + (1244.67) sin 30 +FAB – 1000 Cos 30 = 0; FAB = -667 N
R. Ganesh Narayanan 89
Frames and machines
Multi force members: Members on which three or more forces acting
on it (or) one with two or more forces and one or more couples acting
on it
Frame or machine: At least one of its member is multi force member
Frame: Structures which are designed to support applied loads and
are fixed in position
Machine: Structure which contain moving parts and are designed to
transmit input forces or couples to output forces or couples
Frames and machines contain multi force members, the forces in
these members will not be in directions of members
Method of joints and sections are not applicable
R. Ganesh Narayanan 90
Inter-connected rigid bodies with multi force members
• Previously we have seen equilibrium of single rigid bodies
• Now we have equilibrium of inter-connected members which
involves multi force members
• Isolate members with FBD and applying the equilibrium equations
• Principle of action and reaction should be remembered
• Statically determinate structures will be studied
R. Ganesh Narayanan 91
Force representation and FBD
• Representing force by rectangular components
• Calculation of moment arms will be simplified
• Proper sense of force is necessary; Some times arbitrary assignment
is done; Final force answer will yield correct force direction
• Force direction should be consistently followed
R. Ganesh Narayanan 92
Frames and machines
Multi force members: Members on which three or more forces acting
on it (or) one with two or more forces and one or more couples acting
on it
Frame or machine: At least one of its member is multi force member
Frame: Structures which are designed to support applied loads and
are fixed in position
Machine: Structure which contain moving parts and are designed to
transmit input forces or couples to output forces or couples
Frames and machines contain multi force members, the forces in
these members will not be in directions of members
Method of joints and sections are not applicable
R. Ganesh Narayanan 93
Inter-connected rigid bodies with multi force members
• Previously we have seen equilibrium of single rigid bodies
• Now we have equilibrium of inter-connected members which
involves multi force members
• Isolate members with FBD and applying the equilibrium equations
• Principle of action and reaction should be remembered
• Statically determinate structures will be studied
R. Ganesh Narayanan 94
Force representation and FBD
• Representing force by rectangular components
• Calculation of moment arms will be simplified
• Proper sense of force is necessary; Some times arbitrary assignment
is done; Final force answer will yield correct force direction
• Force direction should be consistently followed
R. Ganesh Narayanan 95
AFAE
BD
Full truss
K, J are un-necessary
here
R. Ganesh Narayanan 96
Meriem/Kraige
A
B
C
D
E
F
30 lb
50 lb
12
12
30 ft
20 ft
20 ft
Find the forces in all the frames;
neglect weight of each member
Ax
Ay
50 lb
30 lb
Cx
Cy
Σ Mc = 0 => 50 (12) +30(40)-30 (Ay) = 0; Ay = 60 lb
Σ Fy = 0 => Cy – 50 (4/5) – 60 = 0 => Cy = 100 lb
FBD of full frame
R. Ganesh Narayanan 97
ED:
ΣMD = 0 => 50(12)-12E = 0 => E = 50 lb
ΣF = 0 => D-50-50 = 0 => D= 100 lb
(components will be eliminated)
EF: Two force member; E, F are
compressive
EF: F = 50 lb (opposite and equal to E)
AB:
ΣMA = 0 => 50(3/5)(20)-Bx (40) = 0 => Bx = 15 lb
ΣFx = 0 => Ax+15-50(3/5) = 0 => Ax = 15 lb
ΣFy = 0 => 50 (4/5)-60-By = 0 =>By = -20 lb
BC: ΣFx = 0 => 30 +100 (3/5)-15-Cx = 0 => Cx = 75 lb
FBD of individual members
D
Σ Fx = -50 (cos 53.1)+15+15 = -30+15+15 = 0
F
Fx
Fy
53.1 deg
E
R. Ganesh Narayanan 98
A
B
C
E
D
60
100 150
480 N
160
60
80
Find the force in link DE and components of
forces exerted at C on member BCD
A
B
C
E
D
100 150
480 N
160
Ax
Ay
Bx
80
θ
Σ Fy = 0 => Ay-480 = 0 =>Ay = 480 N
Σ MA = 0 => Bx (160)-480 (100) = 0 => Bx = 300 N
Σ Fx = 0 => 300+Ax = 0 => Ax = -300 N
FBD of full frame
Θ = tan -1 (80/150) = 28.07 deg
R. Ganesh Narayanan 99
FBD of BCD
B
C
D
480 N
300 Cx
Cy
FDE
Σ Mc = 0 => -FDE sin 28.07 (250) – 300(80)-480 (100) = 0; FDE = -561 N
Σ Fx = 0 => Cx – (-561) cos 28.07 +300 = 0 => Cx = -795 N
Σ Fy = 0 => Cy – (-561) sin 28.07 – 480 = 0 => Cy = 216 N
θ
E
D
FDE
FDE
DE: Two force member
D
FDE
A
E
Ax
Ay
FDE
Cy
Cx
FBD of AE
FBD of DE
R. Ganesh Narayanan 100
A
B
C
D
E
F
400 kg
3m
2m
1.5m
0.5m
1.5m
1.5m
R =0.5 m
Find the horizontal and vertical
components of all the forces; neglect
weight of each member
Meriem/Kraige
FBD of full frame
Ay
Ax
0.4 x 9.81 = 3.92
Σ MA = 0 => 5.5 (-0.4) (9.81) + 5Dx = 0 => Dx = 4.32 kN
Σ Fx = 0 => -Ax + 4.32 = 0 => Ax = 4.32 kN
Σ Fy = 0 => Ay – 3.92 = 0 => Ay = 3.92 kN
Dx
R. Ganesh Narayanan 101
FBD of individual members
3.92
4.32
3.92
Bx
By
4.32
Cx
Cy
A
D
3.92
3.92
3.92
3.92
F
C
E
Cx
Cy
ExEy
E
EyEx
Bx
By
B
3.92
3.92
A
B
C
D
E
F
400 kg
3m
2m
1.5m
0.5m
1.5m
1.5m
R =0.5 m
Apply equilibrium equn. And solve for
forces
R. Ganesh Narayanan 102
Machines
• Machines are structures designed to transmit and modify forces. Their main purpose
is to transform input forces into output forces.
• Given the magnitude of P, determine the
magnitude of Q.
Taking moments about A,
P
b
a
QbQaPM A =−==∑ 0
R. Ganesh Narayanan 103
Center of mass & center of gravity
A B
C
W
G
A
B
C
W
G
W
G
AB
C
G
•Body of mass ‘m’
•Body at equilibrium w.r.t. forces in the cord and resultant of gravitational
forces at all particles ‘W’
•W is collinear with point A
•Changing the point of hanging to B, C – Same effect
•All practical purposes, LOA coincides with G; G – center of gravity
BODY
R. Ganesh Narayanan 104
dw
G
w
z Y
X
Moment abt. Y axis = dw (x)
Sum of moments for small regions through out the
body: ∫ x dw
Moment of ‘w’ force with Y axis = w x
∫ x dw = w x
Sum of moments Moment of the sum
W = mg
r
r
X = (∫ x dm) / m
X = (∫ x dw) / w Y = (∫ y dw) / w Z = (∫ z dw) / w
Y = (∫ y dm) / m Z = (∫ z dm) / m
1
2
R. Ganesh Narayanan 105
r = (∫ r dm) / mIn vector form,
ρ = m/V; dm = ρ dv
X = (∫ x ρ dv) / ∫ ρ dv
Y = (∫ y ρ dv) / ∫ ρ dv
Z = (∫ z ρ dv) / ∫ ρ dv
ρ = not constant through out
body
3
4
Equns 2, 3, 4 are independent of ‘g’; They depend only on mass distribution;
This define a co-ordinate point – center of mass
This is same as center of gravity as long as gravitational field is uniform and parallel
R. Ganesh Narayanan 106
Centroids of lines, areas, volumes
X = (∫ xc dv) / v Y = (∫ yc dv) / v Z = (∫ zc dv) / v
Suppose if density is constant, then the expression define a purely
geometrical property of the body; It is called as centroid
Centroid of volume
X = (∫ x dA) / A Y = (∫ y dA) / A Z = (∫ z dA) / A
Centroid of area
X = (∫ x dL) / L Y = (∫ y dL) / L Z = (∫ z dL) / L
Centroid of line
R. Ganesh Narayanan 107
x
y
h
xy
dy
Find the y-coordinate of centroid of the triangular area
AY = ∫ y dA
½ b h (y) = ∫ y (x dy) = ∫ y [b (h-y) / h] dy = b h2 / 6
b
X / (h-y) = b/h
0
h
0
h
Y = h / 3
R. Ganesh Narayanan 108
Beams
Structural members which offer resistance to bending due to
applied loads
• Reactions at beam supports are determinate if they involve only three
unknowns. Otherwise, they are statically indeterminate
R. Ganesh Narayanan 109
External effects in beams
Reaction due to supports, distributed load, concentrated loads
Internal effects in beams
Shear, bending, torsion of beams
v
v
M M
SHEAR BENDING TORSION
R. Ganesh Narayanan 110
Cx
W
D
E
B
C
F
G A
SECTION - J
F
D
J
T
V
M
V – SHEAR FORCE
F – AXIAL FORCE
M – BENDING MOMENT AT J
T
D
Cy
FBE
AX
AY
J
A
A
J
F
V
M
Internal forces in beam
compression
Tension
R. Ganesh Narayanan 111
Shear force and bending moment in beam
To determine bending moment and shearing
force at any point in a beam subjected to
concentrated and distributed loads.
1. Determine reactions at supports by
treating whole beam as free-body
FINDING REACTION FORCES AT A AND B
R. Ganesh Narayanan 112
2. SECTION beam at C and draw free-body
diagrams for AC and CB. By definition,
positive sense for internal force-couple
systems are as shown.
DIRECTION OF V AND M
SECTION C
SECTION C SECTION C
+ VE SHEAR FORCE
+VE BENDING MOMENT
V
M
V
M
R. Ganesh Narayanan 113
EVALUATING V AND M
Apply vertical force equilibrium eqn. to AC, shear force at ‘C’, i.e.,
‘V’ can be determined
Apply moment equilibrium eqn. at C, bending moment at ‘C’, i.e.,
‘M’ can be determined; Couple if any should be included
+ ve value of ‘V’ => assigned shear force direction is correct
+ ve value of ‘M’ => assigned bending moment is correct
R. Ganesh Narayanan 114
Evaluate the Variation of shear and bending
moment along beam
Beer/Johnston
ΣMB= 0 =>RA (-L)+P (L/2) = 0; RA= +P/2
RB = +P/2
SECTION AT C
Between A & D
SECTION AT E
Between D & B
R. Ganesh Narayanan 115
SECTION AT C; C is at ‘x’ distance from A
Member AC: ΣFy = 0 => P/2-V = 0; V = +P/2
ΣMc = 0 => (- P/2) (X) + M = 0; M = +PX/2
Any section between A and D will
yield same result
V = +P/2 is valid from A to D
V = +P/2 yields straight line from A
to D (or beam length : 0 to L/2)
M = +PX/2 yield a linear straight line
fit for beam length from 0 to L/2
R. Ganesh Narayanan 116
SECTION AT E; E is at ‘x’ distance from A
CONSIDER AE:
ΣFy = 0 => P/2-P-V = 0; V = -P/2
ΣME = 0 => (- P/2) (X) +P(X-L/2)+ M = 0; M = +P(L-X)/2
EB CAN ALSO BE CONSIDERED
R. Ganesh Narayanan 117
V = V0 + (NEGATIVE OF THE AREA UNDER THE LOADING
CURVE FROM X0 TO X) = V0 - ∫w dx
M = M0 + (AREA UNDER SHEAR DIAGRAM FROM X0 TO X) = M0
+ ∫V dx
c1
Slide 117
c1 cclab9, 1/24/2008
R. Ganesh Narayanan 118
Beer/Johnston
:0=∑ AM
( ) ( )( ) ( )( ) 0cm22N400cm6N480cm32 =−−yB
N365=yB
:0=∑ BM
( )( ) ( )( ) ( ) 0cm32cm10N400cm26N480 =−+ A
N515=A
:0=∑ xF 0=xB
• The 400 N load at E may be replaced by a 400 N force and 1600 N-cm couple at
D.
• Taking entire beam as free-body, calculate
reactions at A and B.
• Determine equivalent internal force-couple
systems at sections cut within segments AC,
CD, and DB.
R. Ganesh Narayanan 119
:02 =∑ M ( ) 06480515 =+−+− Mxx
( ) cmN352880 ⋅+= xM
From C to D:
∑ = :0yF 0480515 =−− V
N35=V
:01 =∑ M ( ) 040515 2
1 =+−− Mxxx
2
20515 xxM −=
From A to C:
∑ = :0yF 040515 =−− Vx
xV 40515 −=
V = 515 + (-40 X) = 515-40X = 515 - ∫40 dx
M = ∫515-40x dx = 515x-20 x2
0
x
0
x
R. Ganesh Narayanan 120
• Evaluate equivalent internal force-couple systems
at sections cut within segments AC, CD, and DB.
From D to B:
∑ = :0yF 0400480515 =−−− V
N365−=V
:02 =∑ M
( ) ( ) 01840016006480515 =+−+−−+− Mxxx
( ) cmN365680,11 ⋅−= xM
R. Ganesh Narayanan 121
Shear force & Bending moment plot
AC: (35X12) + (1/2 x 12 x 480) = 3300
0 to 3300
CD: 3300 +(35X6) = 3510
3300 to 3510
DB: 365 x 14 = 5110
5110 to 0
AREA UNDER SHEAR FORCE DIAGRAM GIVES BM DIAGRAM
R. Ganesh Narayanan 122
300 lb
4 ft 4 2 2
100 lb/ftFind the shear force and
bending moment for the
loaded beam
R. Ganesh Narayanan 123
Machine
R. Ganesh Narayanan 124
R. Ganesh Narayanan 125
Friction
•Earlier we assumed action and reaction forces at contacting surfaces
are normal
• Seen as smooth surface – not practically true
• Normal & tangential forces are important
• Tangential forces generated near contacting surfaces are
FRICTIONAL FORCES
• Sliding of one contact surface to other – friction occurs and it is
opposite to the applied force
• Reduce friction in bearings, power screws, gears, aircraft propulsion,
missiles through the atmosphere, fluid flow etc.
• Maximize friction in brakes, clutches, belt drives etc.
• Friction – dissipated as heat – loss of energy, wear of parts etc.
R. Ganesh Narayanan 126
Friction
Dry friction
(coulomb friction)
Fluid friction
• Occurs when un-lubricated surfaces are
in contact during sliding
• friction force always oppose the sliding
motion
• Occurs when the adjacent layers in a
fluid (liquid, gas) are moving at different
velocities
• This motion causes friction between
fluid elements
• Depends on the relative velocity
between layers
• No relative velocity – no fluid friction
• depends on the viscosity of fluid –
measure of resistance to shearing action
between the fluid layers
R. Ganesh Narayanan 127
Dry friction: Laws of dry friction
W
N
• W – weight; N – Reaction of the surface
• Only vertical component
• P – applied load
• F – static friction force : resultant of many forces acting over
the entire contact area
• Because of irregularities in surface & molecular attraction
A
W
P
N
F
A
R. Ganesh Narayanan 128
P
W
N
F
A B
•‘P’ is increased; ‘F’ is also increased and continue to oppose ‘P’
• This happens till maximum ‘Fm’ is reached – Body tend to move till Fm is reached
• After this point, block is in motion
• Block in motion: ‘Fm’ reduced to ‘Fk – lower value – kinetic friction force’ and it
remains same – related to irregularities interaction
•‘N’ reaches ‘B’ from ‘A’ – Then tipping occurs abt. ‘B’
Fm
Fk
F
p
Equilibrium Motion
More irregularities
interaction
Less irregularities
interaction
R. Ganesh Narayanan 129
EXPERIMENTAL EVIDENCE:
Fm proportional to N
Fm = µs N; µs – static friction co-efficient
Similarly, Fk = µk N; µk – kinetic friction co-efficient
µs and µk depends on the nature of
surface; not on contact area of
surface
µk = 0.75 µs
R. Ganesh Narayanan 130
Four situations can occur when a rigid body is in contact with a
horizontal surface:
We have horizontal and vertical force equilibrium equns. and
F = µ N
• No motion,
(Px < Fm)
Fm
Fk
F
p
Equilibrium Motion
R. Ganesh Narayanan 131
• No motion • Motion• No friction • Motion impending
It is sometimes convenient to replace normal force N and friction force
F by their resultant R:
ss
sm
s
N
N
N
F
µφ
µ
φ
=
==
tan
tan
kk
kk
k
N
N
N
F
µφ
µ
φ
=
==
tan
tan
Φs – angle of static
friction – maximum angle
(like Fm)
Φk – angle of kinetic
friction; Φk < Φs
R. Ganesh Narayanan 132
Consider block of weight W resting on board with variable inclination
angle θ.
Angle of inclination =
angle of repose; θ= φs
R – Not vertical
ANGLE OF INCLINATION IS INCREASING
R. Ganesh Narayanan 133
Three categories of problems
• All applied forces are given, co-effts. of friction are known
• Find whether the body will remain at rest or slide
• Friction force ‘F’ required to maintain equilibrium is unknown
(magnitude not equal to µs N)
• Determine ‘F’ required for equilibrium, by solving equilibrium equns; Also find
‘N’
• Compare ‘F’ obtained with maximum value ‘Fm’ i.e., from Fm = µs N
• ‘F’ is smaller or equal to ‘Fm’, then body is at rest
• Otherwise body starts moving
• Actual friction force magnitude = Fk = µk N
Solution
First category: to know a body slips or not
R. Ganesh Narayanan 134
A 100 N force acts as shown on a 300 N block
placed on an inclined plane. The coefficients of
friction between the block and plane are µs = 0.25
and µk = 0.20. Determine whether the block is in
equilibrium and find the value of the friction force.
Beer/Johnston
:0=∑ xF ( ) 0N300-N100 5
3 =− F
N80−=F
:0=∑ yF ( ) 0N300- 5
4 =N
N240=N
The block will slide down the plane.
Fm < F
Fm = µs N = 0.25 (240) = 60 N
Θ = 36.9 DEG
Θ = 36.9
DEG
R. Ganesh Narayanan 135
• If maximum friction force is less than friction force
required for equilibrium, block will slide. Calculate
kinetic-friction force.
( )N240200
N
.
FF kkactual
=
== µ
N48=actualF
Fm
Fk
F
p
Equilibrium Motion
R. Ganesh Narayanan 136
Meriam/Kraige; 6/8
M
30°
Cylinder weight: 30 kg; Dia: 400 mm
Static friction co-efft: 0.30 between cylinder and surface
Calculate the applied CW couple M which cause the cylinder
to slip
30 x 9.81
NA
FA = 0.3 NANB
FB = 0.3 NB
M
C
ΣFx = 0 = -NA+0.3NB Cos 30-NB Sin 30 = 0
ΣFy = 0 =>-294.3+0.3NA+NBCos 30-0.3NB Sin 30 = 0
Find NA & NB by solving these two equns.
ΣMC = 0 = > 0.3 NA (0.2)+0.3 NB (0.2) - M = 0
Put NA & NB; Find ‘M’
NA = 237 N & NB = 312 N; M = 33 Nm
R. Ganesh Narayanan 137
Meriam/Kraige; 6/5
Wooden block: 1.2 kg; Paint: 9 kg
Determine the magnitude and direction of (1) the friction
force exerted by roof surface on the wooden block, (2)
total force exerted by roof surface on the wooden block
Θ = tan-1 (4/12) = 18.43°
Paint
Wooden
block
12
4
Roof
surface
Θ
(2) Total force = 10.2 x 9.81 = 100.06 N UP
N
F
10.2x 9.81
X
Y
(1)ΣFx = 0 => -F+100.06 sin 18.43 => F = 31.6 N
ΣFy = 0 => N = 95 N
Second category: Impending relative motion when two or
three bodies in contact with each other
R. Ganesh Narayanan 138
Beer/Johnston
20 x 9.81 = 196.2 N
N1
F1
T
30 x 9.81 = 294.3 N
F2
For 20 kg block For 30 kg block
F1
P
N1
N2
(a)
R. Ganesh Narayanan 139
(B)
490.5 N
N
P
R. Ganesh Narayanan 140
Beer/Johnston
A
B
6 m
2.5 m
A 6.5-m ladder AB of mass 10 kg leans against a wall as shown.
Assuming that the coefficient of static friction on µs is the same at
both surfaces of contact, determine the smallest value of µs for which
equilibrium can be maintained.
A
B
FB
NB
FA
NA
W
1.25 1.25
O
Slip impends at both A and B, FA= µsNA, FB= µsNB
ΣFx=0=> FA−NB=0, NB=FA=µsNA
ΣFy=0=> NA−W+FB=0, NA+FB=W
NA+µsNB=W; W = NA(1+µs
2)
ΣMo = 0 => (6) NB - (2.5) (NA) +(W) (1.25) = 0
6µsNA - 2.5 NA + NA(1+µs
2) 1.25 = 0
µs = -2.4 ± 2.6 = > Min µs = 0.2
R. Ganesh Narayanan 141
Wedges
Wedges - simple machines used to raise heavy
loads like wooden block, stone etc.
Loads can be raised by applying force ‘P’ to
wedge
Force required to lift block is significantly less
than block weight
Friction at AC & CD prevents wedge from sliding
out
Want to find minimum force P to raise block
A – wooden block
C, D – Wedges
R. Ganesh Narayanan 142
0
:0
0
:0
21
21
=+−−
=
=+−
=
∑
∑
NNW
F
NN
F
s
y
s
x
µ
µ
FBD of block
( )
( ) 06sin6cos
:0
0
6sin6cos
:0
32
32
=°−°+−
=
=+
°−°−−
=
∑
∑
s
y
ss
x
NN
F
P
NN
F
µ
µµ
FBD of wedge
N3
6°
F3
6°
R. Ganesh Narayanan 143
Two 8° wedges of negligible weight are used to move
and position a 530-N block. Knowing that the
coefficient of static friction is 0.40 at all surfaces of
contact, determine the magnitude of the force P for
which motion of the block is impending
Beer/Johnston
Φs = tan−1 µs = tan−1 (0.4) = 21.801°
21.8°
R1
FBD of block
20°
21.8°
530
R2
530
R2
R141.8°
91.8° 46.4° (R2/Sin 41.8) = (530/sin 46.4)
R2 = 487.84 N
Using sine law,
slip impends at wedge/block
wedge/wedge and block/incline
R. Ganesh Narayanan 144
P = 440.6 N
R. Ganesh Narayanan 145
Beer/Johnston
A 6° steel wedge is driven into the end of an ax handle
to lock the handle to the ax head. The coefficient of
static friction between the wedge and the handle is
0.35. Knowing that a force P of magnitude 60 N was
required to insert the wedge to the equilibrium position
shown, determine the magnitude of the forces exerted
on the handle by the wedge after force P is removed.
P = 60 N Φs = tan −1 µs= tan −1 (0.35 ) = 19.29°
19.29°
3°
19.29°
3°
6°
By symmetry R1= R2; in EQUILIBRIUM
ΣFy = 0: 2R1 sin 22.29° −60 N =0
R1 = R2 = 79.094 N
WHAT WILL HAPPEN IF ‘P’ IS REMOVED ?
R1R2
R. Ganesh Narayanan 146
Vertical component of R1, R2 will be eliminated
Hence, H1 = H2 = 79.094 N cos22.29° = 73.184 N
Final force = 73.184 N
Since included angle is 3°(< φs) from the normal, the
wedge is self-locking and will remain in place.
• No motion
R. Ganesh Narayanan 147
Screws
Used for fastening, transmitting power or motion, lifting body
Square threaded jack - screw jack V-thread is also
possible
W- AXIAL LOAD
M – APPLIED MOMENT ABOUT AXIS OF SCREW
M = P X r
L – LEAD DISTANCE – Advancement per revolution
α – HELIX ANGLE
M
Upward
motion
R. Ganesh Narayanan 148
α
2πr
L
W
φ
α
RP = M/r
One full thread
of screw
To raise load
M
F
Φ – angle of friction
R
P
w Φ+α
tan (Φ+α) = P/W = M/rW
=> M = rW tan (Φ+α)
α = tan-1 (L/2πr)
To lower load – unwinding condition
φ
α
P = M/r
W
R
α < φ
Screw will remain in place –
self locking
=> M = rW tan (Φ-α)
α = φ In verge of un-winding
Moment required to
lower the screw
R. Ganesh Narayanan 149
α
P = M/r
W
R
φ
α > φ Screw will unwind itself
=> M = rW tan (α-φ)
Moment required to
prevent unwinding
R. Ganesh Narayanan 150
Beer/Johnston A clamp is used to hold two pieces of wood together
as shown. The clamp has a double square thread of
mean diameter equal to 10 mm with a pitch of 2 mm.
The coefficient of friction between threads is µs =
0.30.
If a maximum torque of 40 Nm is applied in
tightening the clamp, determine (a) the force exerted
on the pieces of wood, and (b) the torque required to
loosen the clamp.
Lead distance = 2 x pitch = 2 x 2 = 4 mm
r = 5 mm
( )
30.0tan
1273.0
mm10
mm22
2
tan
==
===
ss
r
L
µφ
ππ
θ °= 3.7θ
°= 7.16sφ
(double square thread)
R. Ganesh Narayanan 151
a) Forces exerted on the wooded pieces
M/r tan (Φ+α) = W
W = 40 / (0.005) tan (24) = 17.96 kN
b) the torque required to loosen the clamp
M = rW tan (Φ-α) = 0.005 (17.96) tan (9.4)
M = 14.87 Nm
R. Ganesh Narayanan 152
The position of the automobile jack shown is
controlled by a screw ABC that is single-
threaded at each end (right-handed thread at A,
left-handed thread at C). Each thread has a pitch
of 2 mm and a mean diameter of 7.5 mm. If the
coefficient of static friction is 0.15, determine the
magnitude of the couple M that must be applied
to raise the automobile.
Beer/Johnston
FBD joint D:
ΣFy = 0 => 2FADsin25°−4 kN=0
FAD = FCD = 4.73 kN
By symmetry:
4 kN
FAD FCD
25° 25°D
R. Ganesh Narayanan 153
FBD joint A:
4.73 kN
FAC
FAE = 4.73
25°
25°A
ΣFx = 0 => FAC−2(4.73) cos25°=0
FAC = 8.57 kN
L = Pitch = 2 mm
W = FAC = 8.57
φ
θ
R
Joint A
P = M/r
Π (7.5)
θ
Here θ is used instead of α used earlier
MA = rW tan (Φ+α) = (7.5/2) (8.57) tan (13.38) = 7.63 Nm
Similarly, at ‘C’, Mc = 7.63 Nm (by symmetry); Total moment = 7.63 (2) = 15.27 Nm
R. Ganesh Narayanan 154
Journal & Thrust bearing
Journal bearings provide lateral support to rotating shafts
Thrust bearings provide axial support
Journal bearing - Axle friction Thrust bearing - Disc friction
shaft
bearing
shaft
bearing
R. Ganesh Narayanan 155
Friction between two
ring shaped areas
Friction in full circular area
- DISK FRICTION (Eg., Disc clutch)
Consider Hollow shaft (R1, R2)
M – Moment required for shaft
rotation at constant speed
P – axial force which maintains
shaft in contact with bearing
R. Ganesh Narayanan 156
Couple moment required to overcome friction
resistance, M
Equilibrium conditions and moment equations are
necessary to solve problems
R. Ganesh Narayanan 157
A .178 m-diameter buffer weighs 10.1 N. The
coefficient of kinetic friction between the buffing pad
and the surface being polished is 0.60. Assuming
that the normal force per unit area between the pad
and the surface is uniformly distributed, determine
the magnitude Q of the horizontal forces required to
prevent motion of the buffer.
Beer/Johnston
O
M
Q - Q
0.2 m
Σ Mo = 0 => (0.2) Q – M = 0; Q = M / 0.2
M = 2/3 (0.6) (10.1) (0.178/2) = 0.36 Nm
Q = M / 0.2 = 0.36/0.2 = 1.8 N
R. Ganesh Narayanan 158
Belt friction
Draw free-body diagram for PP’ element of belt
( ) 0
2
cos
2
cos:0 =∆−
∆
−
∆
∆+=∑ NTTTF sx µ
θθ
( ) 0
2
sin
2
sin:0 =
∆
−
∆
∆+−∆=∑
θθ
TTTNFy
dT / T = µS dθ
∫ dT / T = µS ∫ dθ
T1
T2
0
β
ln (T2/T1) = µS β; T2/T1 = e µS β
Consider flat belt, cylindrical
drum
β – angle of
contact
R. Ganesh Narayanan 159
α
V- Belt
T2/T1 = e µS β/sin (α/2)
ln (T2/T1) = µS β; T2/T1 = e µS β
Applicable to belts passing over fixed drums; ropes wrapped around a post; belt
drives
T2 > T1
This formula can be used only if belt, rope are about to slip;
Angle of contact is radians; rope is wrapped ‘n’ times - 2πn rad
In belt drives, pulley with lesser β value slips first, with ‘µS’ remaining same
R. Ganesh Narayanan 160
Beer/Johnston
A flat belt connects pulley A to pulley B. The
coefficients of friction are µs = 0.25 and µk = 0.20
between both pulleys and the belt.
Knowing that the maximum allowable tension in the
belt is 600 N, determine the largest torque which can
be exerted by the belt on pulley A.
Since angle of contact is smaller, slippage will occur on pulley B first. Determine
belt tensions based on pulley B; β = 120 deg = 2π/3 rad
( )
N4.355
1.688
N600
688.1
N600
1
3225.0
11
2 s
==
===
T
e
T
e
T
T πβµ
R. Ganesh Narayanan 161
( )( ) 0N600N4.355mc8:0 =−+=∑ AA MM
mcN8.1956 ⋅=AM
Check for belt not sliping at pulley A:
ln (600/355.4) = µ x 4π/3 => µ = 0.125 < 0.25
R. Ganesh Narayanan 162
A 120-kg block is supported by a rope which is
wrapped 1.5 - times around a horizontal rod. Knowing
that the coefficient of static friction between the rope
and the rod is 0.15, determine the range of values of P
for which equilibrium is maintained.
Beer/Johnston
P
W = 9.81 X 120 =
1177.2 N
β= 1.5 turns = 3π rad For impending motion of W up
P = W e µsβ = (1177.2 N) e (0.15)3π
= 4839.7 N
For impending motion of W down
P = W e−µsβ = (1177.2 N) e−(0.15)3π
= 286.3 N
For equilibrium: 286 N ≤ P ≤ 4.84 kN
R. Ganesh Narayanan 163
In the pivoted motor mount shown, the weight W of the
175-N motor is used to maintain tension in the drive
belt. Knowing that the coefficient of static friction
between the flat belt and drums A and B is 0.40, and
neglecting the weight of platform CD, determine the
largest couple which can be transmitted to drum B when
the drive drum A is rotating clockwise.
Beer/Johnston
For impending belt slip: CW rotation β = π radians
Obtain FBD of motor and mount; ΣMD = 0 => find T1 and T2
Obtain FBD of drum at B; MB in CCW; ΣMB = 0; Find MB
T1 = 54.5 N, T2 = 191.5 N
MB=10.27 N.m
R. Ganesh Narayanan 164
Virtual work
We have analyzed equilibrium of a body by isolating it with a FBD
and equilibrium equations
Class of problems where interconnected members move relative to
each other; equilibrium equations are not the direct and
conventional method
Concept of work done by force is more direct => Method of virtual
work
R. Ganesh Narayanan 165
Work of a force
U = +(F cos α) ∆S (+ ve)
F
A
α
A’
∆S
F
A
α
A’
∆S
U = +F (cos α ∆S)
Work done ‘U’ by the force F on the body during
displacement is the compt. Of force in the
displacement direction times the displacement
Work is a scalar quantity as we get same result regardless
of direction in which we resolve vectors
F
A
α
A’
∆S U = -(F cos α) ∆S
U = 0 if ∆S = 0 and α = 90 deg
R. Ganesh Narayanan 166
F
A
A’
drA1
A2
Work done by force F during
displacement dr is given by, dU = F.dr
dU = (Fx i + Fy j + Fz k).(dx i + dy j + dz k)
= Fx dx + Fy dy + Fz dz
U = ∫ F.dr = ∫ Fx dx + Fy dy + Fz dz
We should know relation between the force and their coordinates
Work of a couple
dθ
M
dU = M dθ
U = ∫M d θ
F
-F
Moment can be taken
instead of forces
R. Ganesh Narayanan 167
Forces which do no work
• ds = 0; cos α = 0
• reaction at a frictionless pin due to rotation of a body around the
pin
• reaction at a frictionless surface due to motion of a body along the
surface
• weight of a body with cg moving horizontally
• friction force on a wheel moving without slipping
Only work done by applied forces, loads, friction forces need to
be considered
R. Ganesh Narayanan 168
Sum of work done by several forces may be zero
• bodies connected by a frictionless pin
=> W.D by F and –F is opposite and will cancel
• bodies connected by an inextensible cord
• internal forces holding together particles of a rigid
body
Rigid body
A, B – particles
F, -F are acting as shown
Though dr, dr’ are different, components of these
displacements along AB must be equal, otherwise
distance between the particles will change and this is
not a rigid body; so U done by F and –F cancel each
other, i.e, U of internal forces = 0
R. Ganesh Narayanan 169
Principle of virtual work
Imagine the small virtual displacement of particle which is
acted upon by several forces F1, F2, ….. Fn
Imagine the small displacement A to A’
This is possible displacement, but will not occur
AA’ ---- VIRTUAL DISPLACEMENT, δr (not dr)
Work done by these forces F1, F2, ….Fn during virtual
displacement δr is called VIRTUAL WORK, δU
δU = F1. δr + F2. δr + …..+ Fn. δr = R . δr
Total virtual work of the
forces
Virtual work of
the resultant
R. Ganesh Narayanan 170
Principle of virtual work for particle
Principle of virtual work for rigid body
Principle of virtual work for system of interconnected rigid bodies
Work of internal forces is zero (proved earlier)
R. Ganesh Narayanan 171
Applications of Principle of virtual work
Mainly applicable to the solutions of problems involving machines or mechanisms
consisting of several interconnected rigid bodies
Wish to determine the force of the vice on the block for a given force
P assuming no friction
Virtual displacement ‘δθ’ is given; This results in δxB and –δyc.
Here no work is done by Ax, Ay at A and N at B
TOGGLE VISE
R. Ganesh Narayanan 172
δUQ = -Q δxB ; δUP = -P δyc
In this problem, we have eliminated all un-known reactions, while
ΣMA = 0 would have eliminated only TWO unknowns
The same problem can be used to find ‘θ’ for which the
linkage is in equilibrium under two forces P and Q
Output work = Input work
R. Ganesh Narayanan 173
Real machines
For an ideal machine without friction, the output work is equal to the input
work; 2Ql cos θ δθ = Pl sin θ δθ
In real machine, output work < input work => because of presence of
friction forces
( )µθ
θδθµθδθθδθ
δδδδ
−=
−+−=
=−−−=
tan
cossincos20
0
2
1 PQ
PlPlQl
xFyPxQU BCB
Output work = Input work –
friction force work
Q = 0 if tan θ = µ => θ = φ, angle of friction
R. Ganesh Narayanan 174
Mechanical efficiency
Mechanical efficiency of m/c, η = Output work / Input work
For toggle vise, η = 2Ql cos θ δθ / Pl sin θ δθ
Substituting Q = ½ P (tan θ – µ) here
η = 1 – µ cot θ
In the absence of friction forces, µ = 0 and hence η = 1 => Ideal m/c
For real m/c, η < 1
R. Ganesh Narayanan 175
Beer/Johnston
Determine the magnitude of the couple M
required to maintain the equilibrium of the
mechanism.
Virtual displacement = δθ, δxD, Work done by Ex,
Ey, A is zero
By virtual work principle,
δU = δUM + δUp = 0
M δθ + P δxD = 0
δxD = -3l sin θ δθ can be obtained from
geometry
M = 3Pl sin θ
R. Ganesh Narayanan 176
Beer/Johnston
A hydraulic lift table consisting of two identical
linkages and hydraulic cylinders is used to raise a
1000-kg crate. Members EDB and CG are each
of length 2a and member AD is pinned to the
midpoint of EDB.
Determine the force exerted by each cylinder in
raising the crate for θ = 60o, a = 0.70 m, and L =
3.20 m.
Work done is zero for Ex, Ey, Fcg; Work done by W, FDH will be considered
R. Ganesh Narayanan 177
W, δy are in opposite
direction, (-)sign will come
FDH, δs are in same direction,
(+) sign will come
1)
2) Express δy, δs in terms of δθ
δy = 2a cos δθ; δs = (aL sinθ/s) δθ
---- (1)
Substituting δy & δs in (1) gives,
-(1/2) W (2a cos δθ) + (FDH) (aL sinθ/s) δθ = 0
FDH = W (s/L) cot θ
3) Apply numerical data
FDH = (1000 X 9.81) (2.91/3.2) cot 60 = 5.15 kN
‘S’ is obtained from this triangle
R. Ganesh Narayanan 178
The mechanism shown is acted upon by the force P.
Derive an expression for the magnitude of the force Q
required for equilibrium.
Beer/Johnston
YF
W.D. by Ay, Bx, By will be zero
δ U = 0 => +Q (δXA) - P (δYF)
Find δXA and δYF in terms of δθ
(Check calculation of δXA and δYF)
δ U = Q(2l cosθ δθ) - P(3l sinθ δθ) = 0
Q Bx
By
P
Ay
δYf
XAδXA
δθ
x
y
R. Ganesh Narayanan 179
Work of force using finite displacement
Work of force F corresponding to infinitesimal displacement,
dr = dU = F. dr
Work of F corresponding to a finite displacement of particle
from A1 to A2 and covering distances S1, S2,
U1-2 = ∫ F . dr or U1-2 = ∫ (F cosα) ds = F (S2-S1)
A2
A1
S2
S1
S1, S2 – distance along the path traveled by the particle
Area under curve = U1-2
Similarly, work of a couple of moment M, dU = M dθ
U1-2 = ∫M dθ = M (θ2-θ1)
θ2
θ1
R. Ganesh Narayanan 180
Work of a weight
yW
WyWy
WdyU
WdydU
y
y
∆−=
−=
−=
−=
∫→
21
21
2
1
Work is equal to product of W and
vertical displacement of CG of body;
Body moves upwards; Body moving
downwards will have +ve work done
( )
2
22
12
12
1
21
2
1
kxkx
dxkxU
dxkxFdxdU
x
x
−=
−=
−=−=
∫→
Work of a spring
F = k x
k – spring
constant, N/m
+ve work done is expected if x2 < x1, i.e.,
when spring is returning to its un-deformed
position
( ) xFFU ∆212
1
21 +−=→
R. Ganesh Narayanan 181
Potential Energy
Work of a weight: 2121 WyWyU −=→
The work is independent of path and depends only on
positions (A1, A2) or Wy
potential energy of the body with
respect to the force of gravity W
r== gVWy
( ) ( )2121 gg VVU −=→
Vg1 < Vg2 => PE is increasing with displacement in this
case, work done is negative
Work is positive, if PE decreases
Unit of PE – Joule (J)
R. Ganesh Narayanan 182
Work of a spring
( ) ( )
=
−=
−=→
e
ee
V
VV
kxkxU
21
2
22
12
12
1
21
potential energy of the body with
respect to the elastic force F
r
Here PE increases, work done is (-ve)
Now in general, it is possible to find a function V, called potential energy, such
that, dU = -dV
U1-2 = V1 – V2 => A force which satisfies this eqn. is conservative force
Work is independent of path & negative of change in PE for the
cases seen
R. Ganesh Narayanan 183
Potential energy & equilibrium
Considering virtual displacement, δU = -δV = 0
=> (dV / dθ) = 0 => position of the variable defined by single independent
variable, θ
In terms of potential energy, the virtual work principle states that if a system is in
equilibrium, the derivative of its total potential energy is zero
(δV/δθ) = 0
Example:
Initial spring length = AD
Work is done only by W, F
For equilibrium, δU = (δVe + δVg)
1
2
R. Ganesh Narayanan 184
Total potential energy of the system, V = Vg + Ve
For ‘W’ For ‘F’
dv/dθ = 4kl2sinθ cosθ – Wl sinθ = 0
Θ = 0 and θ = cos-1 (W/4kl)
R. Ganesh Narayanan 185
PO
C
k
B
A
θ
b
b
b
b
Two uniform links of mass, m are connected as
shown. As the angle θ increases with P applied in
the direction shown, the light rod connected at A,
passes thro’ pivoted collar B, compresses the
spring (k). If the uncompressed position of the
spring is at θ = 0, find the force which will
produce equilibrium at the angle θ
Compression distance of spring, x = movement of ‘A’ away from B; X = 2b sin θ/2
δU = (δVe + δVg)
Find Ve, δVe; Vg, δVg; δU (of P)
Vg = 0
Ve = ½ k x2; Vg = mgh
δU = P δ (4b sin θ/2)
2Pb cos θ/2 δθ = 2kb2sin θ/2 cos θ/2 δθ + mgb sin θ/2 δθ
P = kb sin θ/2 + ½ mg tan θ/2
4bsinθ/2
R. Ganesh Narayanan 186
Meriam/Kraige, 7/39
For the device shown the spring would be un-stretched
in the position θ=0. Specify the stiffness k of the spring
which will establish an equilibrium position θ in the
vertical plane. The mass of links are negligible.
Spring stretch distance, x = 2b-2b cos θ
Ve = ½ k [(2b)(1-cos θ)]2 = 2kb2 (1-cos θ)2
Vg = -mgy = -mg (2bsinθ) = -2mgbsin θ
V = 2kb2 (1-cos θ)2 - 2mgbsin θ
For equilibrium, dv / dθ = 4kb2(1-cos θ) sin θ - 2mgb cosθ = 0
=> K = (mg/2b) (cot θ/1-cos θ)
k
b b
b
θ
m
y
Vg = 0
R. Ganesh Narayanan 187
0=
θd
dV
0=
θd
dV
d2V / dθ2 < 0d2V / dθ2 > 0
Must examine higher
order derivatives and are
zero
AB AB
Stability of equilibrium (one DOF ‘θ’)
R. Ganesh Narayanan 188
Knowing that the spring BC is un-stretched when θ = 0,
determine the position or positions of equilibrium and state
whether the equilibrium is stable, unstable, or neutral.
Beer/Johnston
( ) ( )θθ cos2
2
1
2
2
1
bmgak
mgyks
VVV ge
+=
+=
+=
( )( )
( )( )( )
θ
θθθ
θθ
θ
8699.0
m3.0sm81.9kg10
m08.0mkN4
sin
sin0
2
22
2
=
==
−==
mgb
ka
mgbka
d
dV
°=== 7.51rad902.00 θθ
R. Ganesh Narayanan 189
( )( ) ( )( )( )
θ
θ
θ
θ
cos43.296.25
cosm3.0sm81.9kg10m08.0mkN4
cos
22
2
2
2
−=
−=
−= mgbka
d
Vd
at θ = 0: 083.32
2
<−=
θd
Vd
unstable
at θ = 51.7o:
036.72
2
>+=
θd
Vd stable
R. Ganesh Narayanan 190
Spring AB of constant 2 kN/m is attached to two
identical drums as shown.
Knowing that the spring is un-stretched when θ =
0, determine (a) the range of values of the mass
m of the block for which a position of equilibrium
exists, (b) the range of values of θ for which the
equilibrium is stable.
Beer/Johnston (10.81)
A
B
A
B
R. Ganesh Narayanan 191
(Sin θ varies from 0 to 1)
(Cos θ varies from 1 to 0)
R. Ganesh Narayanan 192
XV = (∫ xc dv) YV = (∫ yc dv) ZV = (∫ zc dv)
Centroid of volume:
XA = (∫ xc dA) YA = (∫ yc dA) ZA = (∫ zc dA)
Centroid of area:
Moments of inertia : The moment of inertia of an object about a given axis
describes how difficult it is to change its angular motion about that axis.
First moment of volume
w.r.t. ‘yz’ plane
Symmetry plane
Centroid of
volume
∫ xc dv = 0
R. Ganesh Narayanan 193
Consider a beam subjected to pure bending.
Internal forces vary linearly with distance from
the neutral axis which passes through the section
centroid.
X-axis => neutral axis => centroid of section
passes
∆F = k y ∆A vary linearly with distance ‘y’
momentsecond
momentfirst0
22
==
====
∆=∆
∫∫
∫∫
dAydAykM
QdAydAykR
AkyF
x
r
∆MX = y ∆F = k y2 ∆A;
Moment of inertia of beam
section w.r.t x-axis, IX (+VE)
R. Ganesh Narayanan 194
Second moments or moments of inertia of an area with
respect to the x and y axes,
∫∫ == dAxIdAyI yx
22
For a rectangular area,
3
3
1
0
22
bhbdyydAyI
h
x === ∫∫
IY = ∫ x2 dA = ∫ x2 h dx = 1/3 b3h
0
b
Rectangular moment of inertia
R. Ganesh Narayanan 195
The polar moment of inertia is an important parameter in problems involving
torsion of cylindrical shafts and rotations of slabs.
∫= dArJ 2
0
The polar moment of inertia is related to the rectangular moments of
inertia,
( )
xy II
dAydAxdAyxdArJ
+=
+=+== ∫∫∫∫
22222
0
Polar moment of inertia
R. Ganesh Narayanan 196
• Consider area A with moment of inertia Ix. Imagine that
the area is concentrated in a thin strip parallel to the x axis
with equivalent Ix.
A
I
kAkI x
xxx == 2
kx = radius of gyration with respect to the x axis
A
J
kAkJ
A
I
kAkI
O
OOO
y
yyy
==
==
2
2
222
yxO kkk +=
Radius of gyration
R. Ganesh Narayanan 197
Beer/Johnston
( )
h
hh
x
yy
h
h
b
dyyhy
h
b
dy
h
yh
bydAyI
0
43
0
32
0
22
43






−=
−=
−
== ∫∫∫
12
3
bh
I x=
Determine the moment of inertia of a
triangle with respect to its base.
For similar triangles,
dy
h
yh
bdA
h
yh
bl
h
yh
b
l −
=
−
=
−
=
dA = l dy
Determination of MI by area of integration
R. Ganesh Narayanan 198
y
MI of rectangular area:
dA = bdy
x
b
h
y
dy
Ix = ∫ y2 dA = ∫ y2 bdy = 1/3 bh3; Iy = 1/3 hb3
0
h
MI - Ix and Iy for elemental strip:
y
dIx = 1/3 dx (y3) = 1/3 y3 dx
dIy = x2dA = x2y dx or 1/3 x3dy
x
Y
X
dA = Ydx From this, MI of whole area can be
calculated by integration
dx
dy
About centroidal axis (X, Y): Ix = 1/12 bh3; Iy = 1/12 b3h
X
Y
R. Ganesh Narayanan 199
y
x
a
b
y = k x5/2
Find MI w.r.t Y axis
Beer/Johnston (9.1)
R. Ganesh Narayanan 200
Triangle: bh3/12 (about base)
Circular area: π/4 r4 (about dia)
Rectangular area: bh3/3 (about base)
R. Ganesh Narayanan 201
Parallel axis theorem
• Consider moment of inertia I of an area A with respect
to the axis AA’
∫= dAyI 2
• The axis BB’ passes through the area centroid and
is called a centroidal axis.
( )
∫∫∫
∫∫
+′+′=
+′==
dAddAyddAy
dAdydAyI
22
22
2
2
AdII +=
dA
A A’
y
CB B’
d
y’
C – Centroid
BB’ – Centroidal axis
MI of area with
centroidal axis
0
Parallel axis theorem
Jo = Jc + Ad2
First moment of
area
R. Ganesh Narayanan 202
Moments of Inertia of Composite Areas
The moment of inertia of a composite area A about a given axis is
obtained by adding the moments of inertia of the component areas A1,
A2, A3, ... , with respect to the same axis.
x
y
It should be noted that the radius of gyration of a composite area is not
equal to sum of radii of gyration of the component areas
R. Ganesh Narayanan 203
MI of some common geometric shapes
R. Ganesh Narayanan 204
Moment of inertia IT of a circular area with respect to a
tangent to the circle T,
( )
4
4
5
224
4
12
r
rrrAdIIT
π
ππ
=
+=+=
Application 1:
Application 2: Moment of inertia of a triangle with respect to a
centroidal axis,
( )
3
36
1
2
3
1
2
13
12
12
2
bh
hbhbhAdII
AdII
AABB
BBAA
=
−=−=
+=
′′
′′
IDD’ = IBB
’ + ad’2 = 1/36 bh3 + 1/2bh (2/3h)2 = ¼ bh3
R. Ganesh Narayanan 205
Find the centroid of the area of the un-equal Z section. Find the
moment of inertia of area about the centroidal axes
shames
Ai xi yi Aixi Aiyi
2x1=2 1 7.5 2 15
8x1=8 2.5 4 20 32
4x1=4 5 0.5 20 2
ΣAi = 14 ΣAixi = 42 ΣAiyi = 49
1
2
3
Xc = 42/14 = 3 in.; Yc = 49/14 = 3.5in
y
x
1
6
2 1 4
1
1
2
3
Xc, Yc
Ixcxc = [(1/12)(2)(13)+(2)(42)] + [(1/12)(1)(83)+(8)(1/2)2] +
[(1/12)(4)(13)+(4)(32)] = 113.16 in4
Similarly, Iycyc = 32.67 in4
R. Ganesh Narayanan 206
Beer/Johnston:
Determine the moment of inertia of the shaded area
with respect to the x axis.
Rectangle:
( )( ) 46
3
13
3
1 mm102.138120240 ×=== bhIx
3
Half-circle:
moment of inertia with respect to AA’,
( ) 464
8
14
8
1 mm1076.2590 ×===′ ππrI AA
R. Ganesh Narayanan 207
( )( )
( )
23
2
2
12
2
1
mm1072.12
90
mm81.8a-120b
mm2.38
3
904
3
4
×=
==
==
===
ππ
ππ
rA
r
a
moment of inertia with respect to x’,
( )( )
46
362
mm1020.7
1072.121076.25
×=
××=−= ′′ AaII AAx =25.76x106 – (12.72x103) (38.2)2
moment of inertia with respect to x,
( )( )
46
2362
mm103.92
8.811072.121020.7
×=
×+×=+= ′ AbII xx
46
mm109.45 ×=xI
xI = 46
mm102.138 × − 46
mm103.92 ×
R. Ganesh Narayanan 208
Product of inertia, Ixy
∫= dAxyI xy
[Similar to Ixx (or Ix), Iyy (or Iy)]
When the x axis, the y axis, or both are an axis of symmetry,
the product of inertia is zero.
The contributions to Ixy of dA and dA’ will cancel out
Parallel axis theorem for products of inertia:
AyxII xyxy +=
Centroid ‘C’ is defined by x, y
R. Ganesh Narayanan 209
Moment of inertia, Product of inertia about rotated axes
Given
∫
∫∫
=
==
dAxyI
dAxIdAyI
xy
yx
22
we wish to determine moments and product of
inertia with respect to new axes x’ and y’
x, y rotated to x’, y’
θθ
θθ
θθ
2cos2sin
2
2sin2cos
22
2sin2cos
22
xy
yx
yx
xy
yxyx
y
xy
yxyx
x
I
II
I
I
IIII
I
I
IIII
I
+
−
=
+
−
−
+
=
−
−
+
+
=
′′
′
′
The change of axes yields
Ix’+Iy’ = Ix+Iy
R. Ganesh Narayanan 210
y
xa
θ
Imax
Imin
•Assume Ixx, Iyy, Ixy are known for the reference axes x, y
•At what angle of θ, we have maximum and minimum ‘I’
•Minimum angle will be at right angles to maximum angle
•These axes are called Principal axes & MI are Principal MI
Principal axes & Principal MI
Imax, min = (Ix+Iy/2) ± (Ix-Iy/2)2 + Ixy2
tan 2θ = 2Ixy / (Iy-Ix)
R. Ganesh Narayanan 211
For the section shown, the moments of inertia with
respect to the x and y axes are Ix = 10.38 cm4 and Iy =
6.97 cm4.
Determine (a) the orientation of the principal axes of the
section about O, and (b) the values of the principal
moments of inertia about O.
Apply the parallel axis theorem to each rectangle,
( )∑ += ′′ AyxII yxxy
Note that the product of inertia with respect to centroidal axes parallel to the xy
axes is zero for each rectangle.
56.6
28.375.125.15.1
0005.1
28.375.125.15.1
cm,cm,cm,cmArea,Rectangle 42
−=
−−+
−+−
∑ Ayx
III
II
I
Ayxyx
R. Ganesh Narayanan 212
( )
°°=
+=
−
−
−=
−
−=
255.4and4.752
85.3
97.638.10
56.622
2tan
m
yx
xy
m
II
I
θ
θ
°=°= 7.127and7.37 mm θθ
( )2
2
2
2
minmax,
56.6
2
97.638.10
2
97.638.10
22
−+




 −
±
+
=
+




 −
±
+
= xy
yxyx
I
IIII
I
4
min
4
max
cm897.1
cm45.15
==
==
II
II
b
a

Mechanics full notes

  • 1.
    Batch: Jan -May 2008 R. Ganesh Narayanan 1 Engineering Mechanics – Statics Instructor R. Ganesh Narayanan Department of Mechanical Engineering IIT Guwahati
  • 2.
    Batch: Jan -May 2008 R. Ganesh Narayanan 2 -These lecture slides were prepared and used by me to conduct lectures for 1st year B. Tech. students as part of ME 101 – Engineering Mechanics course at IITG. - Theories, Figures, Problems, Concepts used in the slides to fulfill the course requirements are taken from the following textbooks - Kindly assume that the referencing of the following books have been done in this slide - I take responsibility for any mistakes in solving the problems. Readers are requested to rectify when using the same - I thank the following authors for making their books available for reference R. Ganesh Narayanan 1. Vector Mechanics for Engineers – Statics & Dynamics, Beer & Johnston; 7th edition 2. Engineering Mechanics Statics & Dynamics, Shames; 4th edition 3. Engineering Mechanics Statics Vol. 1, Engineering Mechanics Dynamics Vol. 2, Meriam & Kraige; 5th edition 4. Schaum’s solved problems series Vol. 1: Statics; Vol. 2: Dynamics, Joseph F. Shelley
  • 3.
    R. Ganesh Narayanan3 Engineering mechanics - Deals with effect of forces on objects Mechanics principles used in vibration, spacecraft design, fluid flow, electrical, mechanical m/c design etc. Statics: deals with effect of force on bodies which are not moving Dynamics: deals with force effect on moving bodies We consider RIGID BODIES – Non deformable
  • 4.
    R. Ganesh Narayanan4 Scalar quantity: Only magnitude; time, volume, speed, density, mass… Vector quantity: Both direction and magnitude; Force, displacement, velocity, acceleration, moment… V = IvI n, where IvI = magnitude, n = unit vector n = V / IvI n - dimensionless and in direction of vector ‘V’ In our course: y x z j i k i, j, k – unit vectors
  • 5.
    R. Ganesh Narayanan5 Dot product of vectors: A.B = AB cos θ; A.B = B.A (commutative) A.(B+C) = A.B+A.C (distributive operation) A.B = (Axi+Ayj+Azk).(Bxi+Byj+Bzk) = AxBx+AyBy+AzBz Cross product of vectors: A x B = C; ICI = IAI IBI Sin θ; AxB = -(BxA) C x (A+B) = C x A + C x B i j k A B θ i . i = 1 i . j = 0 k i j k x j = -i; i x i = 0 AxB = (Axi+Ayj+Azk)x(Bxi+Byj+Bzk) = (AyBz- AzBy)i+( )j+( )k i j k Ax AY AZ BX BY BZ
  • 6.
    R. Ganesh Narayanan6 Force: - action of one body on another - required force can move a body in the direction of action, otherwise no effect - some times plastic deformation, failure is possible - Magnitude, direction, point of application; VECTOR Force < P kN Force, P kN Direction of motion Body moves Body does not move P, kN bulging
  • 7.
    R. Ganesh Narayanan7 Force system: θ P WIREBracket Magnitude, direction and point of application is important External effect: Forces applied (applied force); Forces exerted by bracket, bolts, foundation….. (reactive force) Internal effect: Deformation, strain pattern – permanent strain; depends on material properties of bracket, bolts…
  • 8.
    R. Ganesh Narayanan8 Transmissibility principle: A force may be applied at any point on a line of action without changing the resultant effects of the force applied external to rigid body on which it acts Magnitude, direction and line of action is important; not point of application PP Line of action
  • 9.
    R. Ganesh Narayanan9 Concurrent force: Forces are said to be concurrent at a point if their lines of action intersect at that point A F1 F2 R F1, F2 are concurrent forces R will be on same plane R = F1+F2 Plane Parallelogram law of forces Polygon law of forces A F1 F2 R F2 F1 A F1 F2 R Use triangle law A F1 R F2 R does not pass through ‘A’ R = F1+F2 R = F1+F2
  • 10.
    R. Ganesh Narayanan10 Two dimensional force system Rectangular components: Fx Fy j i F θ F = Fx + Fy; both are vector components in x, y direction Fx = fx i ; Fy = fy j; fx, fy are scalar quantities Therefore, F = fx i + fy j Fx = F cos θ; Fy = F sin θ F = fx2 + fy2 ; θ = tan -1 (fy/fx) + ve + ve - ve - ve
  • 11.
    R. Ganesh Narayanan11 Two concurrent forces F1, F2 Rx = Σ Fx; Ry = Σ Fy DERIVATION F2 F1 R i j
  • 12.
    R. Ganesh Narayanan12 Moment: Tendency to rotate; torque Moment about a point: M = Fd Magnitude of moment is proportional to the force ‘F’ and moment arm ‘d’ i.e, perpendicular distance from the axis of rotation to the LOA of force UNIT : N-m Moment is perpendicular to plane about axis O-O Counter CW = + ve; CW = -ve B A F d r O O M α
  • 13.
    R. Ganesh Narayanan13 Cross product: M = r x F; where ‘r’ is the position vector which runs from the moment reference point ‘A’ to any point on the LOA of ‘F’ M = Fr sin α; M = Fd M = r x F = -(F x r): sense is important B A d r α Sin α = d / r
  • 14.
    R. Ganesh Narayanan14 Varignon’s theorem: The moment of a force about any point is equal to the sum of the moments of the components of the forces about the same point o Q P R r B Mo = r x R = r x (P+Q) = r x P + r x Q Moment of ‘P’ Moment of ‘Q’ Resultant ‘R’ – moment arm ‘d’ Force ‘P’ – moment arm ‘p’; Force ‘Q’ – moment arm ‘q’ Mo= Rd = -pP + qQ Concurrent forces – P, Q Usefulness:
  • 15.
    R. Ganesh Narayanan15 Pb:2/5 (Meriam / Kraige): Calculate the magnitude of the moment about ‘O’ of the force 600 N 1) Mo = 600 cos 40 (4) + 600 sin 40 (2) = 2610 Nm (app.) 2) Mo = r x F = (2i + 4j) x (600cos40i-600sin40j) = -771.34-1839 = 2609.85 Nm (CW); mag = 2610 Nm o 600N4 2 A in mm 40 deg r i j
  • 16.
    R. Ganesh Narayanan16 Couple: Moment produced by two equal, opposite and non-collinear forces -F +F a d o =>-F and F produces rotation =>Mo = F (a+d) – Fa = Fd; Perpendicular to plane ⇒Independent of distance from ‘o’, depends on ‘d’ only ⇒ moment is same for all moment centers M
  • 17.
    R. Ganesh Narayanan17 Vector algebra method -F +F o rb ra r M = ra x F + rb x (-F) = (ra-rb) x F = r x F CCW Couple CW Couple Equivalent couples •Changing the F and d values does not change a given couple as long as the product (Fd) remains same •Changing the plane will not alter couple as long as it is parallel
  • 18.
    R. Ganesh Narayanan18 M -F +Fd M -F +F d M -F +F d -2F d/2+2F M EXAMPLE All four are equivalent couples
  • 19.
    R. Ganesh Narayanan19 Force-couple system =>Effect of force is two fold – 1) to push or pull, 2) rotate the body about any axis ⇒Dual effect can be represented by a force-couple syatem ⇒ a force can be replaced by a force and couple F A B F A B F -F B F M = Fd
  • 20.
    R. Ganesh Narayanan20 o 80N o 80N 80 N80 N o80 N Mo = Y N m 60deg 9 m Mo = 80 (9 sin 60) = 624 N m; CCW EXAMPLE 9 60 deg
  • 21.
    R. Ganesh Narayanan21 Resultants To describe the resultant action of a group or system of forces Resultant: simplest force combination which replace the original forces without altering the external effect on the body to which the forces are applied R R = F1+F2+F3+….. = Σ F Rx = Σ Fx; Ry = Σ Fy; R = (Σ Fx)2 + (Σ Fy)2 Θ = tan -1 (Ry/Rx)
  • 22.
    R. Ganesh Narayanan22 F1 F2 F3 F1 – D1; F2 – D2; F3 – D3 F1 F2 F3 M1 = F1d1; M2 = F2d2; M3 = F3d3 R= ΣF Mo= ΣFd NON-CONCURRENT FORCES R d Mo=Rd How to obtain resultant force ?
  • 23.
    R. Ganesh Narayanan23 Principle of moments Summarize the above process: R = ΣF Mo = ΣM = Σ(Fd) Mo = Rd First two equations: reduce the system of forces to a force-couple system at some point ‘O’ Third equation: distance ‘d’ from point ‘O’ to the line of action ‘R’ => VARIGNON’S THEOREM IS EXTENDED HERE FOR NON- CONCURENT FORCES R= ΣF Mo= ΣFd R d Mo=Rd
  • 24.
    R. Ganesh Narayanan24 STATICS – MID SEMESTER – DYNAMICS Tutorial: Monday 8 am to 8.55 am 1. Vector Mechanics for Engineers – Statics & Dynamics, Beer & Johnston; 7th edition 2. Engineering Mechanics Statics & Dynamics, Shames; 4th edition 3. Engineering Mechanics Statics Vol. 1, Engineering Mechanics Dynamics Vol. 2, Meriam & Kraige; 5th edition 4. Schaum’s solved problems series Vol. 1: Statics; Vol. 2: Dynamics, Joseph F. Shelley Reference books
  • 25.
    R. Ganesh Narayanan25 ENGINEERING MECHANICS TUTORIAL CLASS: Monday 8 AM TO 8.55 AM 07010605 (5 Students)07010601 Dr. Saravana Kumar120507010449 (36 Students)07010414TG5 07010413 (13 Students)07010401 Dr. M. Pandey120207010353 (28 Students)07010326TG4 07010325 (25 Students)07010301 R. Ganesh Narayanan1G207010249 (16 Students)07010234TG3 07010233 (33 Students)07010201 Dr. senthilvelan1G107010149 (8 Students)07010142TG2 Prof. R. TiwariL207010141 (41 Students)07010101TG1 ToFrom TutorsClass RoomRoll NumbersTutorial Groups LECTURE CLASSES: LT2 (one will be optional): Monday 3 pm to 3.55 pm Tuesday 2 pm to 2.55 pm Thursday 5 pm to 5.55 pm Friday 4 pm to 4.55 pm
  • 26.
    R. Ganesh Narayanan26 Three dimensional force system Rectangular components Fx = F cos θx; Fy = F cos θy; Fz = F cos θz F = Fx i + Fy j + Fz k = F (i cos θx + j cos θy + k cos θz) = F (l i + m j + n k) F = F nf o Fx i Fy j Fz k F θz θx θy l, m, n are directional cosines of ‘F’
  • 27.
    R. Ganesh Narayanan27 F r Mo d αA A - a plane in 3D structure Mo = F d (TEDIOUS to find d) or Mo = r x F = – (F x r) (BETTER) Evaluating the cross product Described in determinant form: i j k rx rY rZ FX FY FZ Moment in 3D Expanding …
  • 28.
    R. Ganesh Narayanan28 Mo = (ryFz - rzFy) i + (rzFx – rxFz) j + (rxFy – ryFx) k Mx = ryFz – rzFy; My = rzFx – rxFz; Mz = rxFy – ryFx Moment about any arbitrary axis λ: F r Mo n o λ Magnitude of the moment Mλ of F about λ = Mo . n (scalar reprn.) Similarly, Mλ = (r x F.n) n (vector reprn.) Scalar triple product rx ry rz Fx FY FZ α β γ α, β, γ – DCs of n
  • 29.
    R. Ganesh Narayanan29 Varignon’s theorem in 3D o F1 F3 F2 r B Mo = rxF1 + rxF2 + rx F3 +…= Σ(r x F) = r x (F1+F2+F3+…) = r x (ΣF) = r x R Couples in 3D B M A r ra rb d -F +F M = ra x F + rb x –F = (ra- rb) x F = rxF
  • 30.
    R. Ganesh Narayanan30 Beer-Johnston; 2.3 F1 = 150N 30 F4 = 100N 15 F3 = 110N F2 = 80N 20 • Evaluate components of F1, F2, F3, F4 • Rx = ΣFx; Ry = ΣFy • R = Rx i + Ry j • α = tan -1 (Ry/Rx) Ry Rx R α • R = 199i + 14.3j; α = 4.1 deg 2D force system; equ. Force-couple; principle of moments
  • 31.
    R. Ganesh Narayanan31 F1 F2 R =3000 N 30 DEG 45 DEG 15 DEG Find F1 and F2 3000 (cos15i – sin 15j) = F1 (cos 30i – Sin 30j)+ F2 (cos45i – sin 45j) EQUATING THE COMPONENTS OF VECTOR, F1 = 2690 N; F2 = 804 N R = F1 + F2 Boat
  • 32.
    R. Ganesh Narayanan32 o A B 20 DEG C OC – FLAG POLE OAB – LIGHT FRAME D – POWER WINCH D 780 N Find the moment Mo of 780 N about the hinge point 10m 10 10 T = -780 COS20 i – 780 sin20 j = -732.9 i – 266.8 j r = OA = 10 cos 60 i + 10 sin 60 j = 5 i + 8.6 j Mo = r x F = 5014 k ; Mag = 5014 Nm Meriam / kraige; 2/37
  • 33.
    R. Ganesh Narayanan33 Meriam / kraige; 2/6 Replace couple 1 by eq. couple p, -p; find Θ M = 100 (0.1) = 10 Nm (CCW) M = 400 (0.04) cos θ 10 = 400 (0.04) cos θ => Θ = 51.3 deg M P -P 40 100 100 100 100N 100N 60 θ θ 1 2 1 2
  • 34.
    R. Ganesh Narayanan34 80N 30 deg 60 N 40 N 50 N2m 5m 45 2m 2m 1m o 140Nm Find the resultant of four forces and one couple which act on the plate Rx = 40+80cos30-60cos45 = 66.9 N Ry = 50+80sin 30+60cos45 = 132.4 N R = 148.3 N; Θ = tan-1 (132.4/66.9) = 63.2 deg Mo = 140-50(5)+60cos45(4)-60sin45(7) = -237 Nm o R = 148.3N 63.2 deg 237 Nm o R = 148.3N 63.2 deg 148.3 d = 237; d = 1.6 mFinal LOA of R: o R = 148.3N b x y (Xi + yj) x (66.9i+132.4j) = -237k (132.4 x – 66.9 y)k = -237k 132.4 x -66.9 y = -237 Y = 0 => x = b = -1.792 m Meriam / kraige; 2/8 LOA of R with x-axis:
  • 35.
    R. Ganesh Narayanan35 Couples in 3D B M A r ra rb d -F +F M = ra x F + rb x –F = (ra- rb) x F = rxF F AB F M = Fd F AB F -F r B Equivalent couples
  • 36.
    R. Ganesh Narayanan36 How to find resultant ? R = ΣF = F1+F2+F3+… Mo = ΣM = M1+M2+M3+… = Σ(rxF) M = Mx2 + My2 + Mz2; R = ΣFx2 + ΣFy2 + ΣFz2 Mx = ; My = ; Mz =
  • 37.
    R. Ganesh Narayanan37 Equilibrium Body in equilibrium - necessary & sufficient condition: R = ΣF = 0; M = ΣM = 0 Equilibrium in 2D Mechanical system: body or group of bodies which can be conceptually isolated from all other bodies System: single body, combination of bodies; rigid or non-rigid; combination of fluids and solids Free body diagram - FBD: => Body to be analyzed is isolated; Forces acting on the body are represented – action of one body on other, gravity attraction, magnetic force etc. => After FBD, equilibrium equns. can be formed
  • 38.
    R. Ganesh Narayanan38 Modeling the action of forces Meriam/Kraige Imp Imp
  • 39.
    R. Ganesh Narayanan39 FBD - Examples Meriam/Kraige Equilibrium equns. Can be solved, • Some forces can be zero • Assumed sign can be different
  • 40.
    R. Ganesh Narayanan40 Types of 2D equilibrium x F1 F2 F3 Collinear: ΣFx = 0 F1 F2 F3 F4 Parallel: ΣFx = 0; ΣMz = 0 F1 F2 F3 F4 X Y Concurrent at a point: ΣFx = 0; ΣFy = 0 X Y M General: ΣFx = 0; ΣFy = 0; ΣMz = 0
  • 41.
    R. Ganesh Narayanan41 General equilibrium conditions ΣFx = 0; ΣFy = 0; ΣFz = 0 ΣMx = 0; ΣMy = 0; ΣMz = 0 ⇒These equations can be used to solve unknown forces, reactions applied to rigid body ⇒For a rigid body in equilibrium, the system of external forces will impart no translational, rotational motion to the body ⇒Necessary and sufficient equilibrium conditions
  • 42.
    R. Ganesh Narayanan42 Written in three alternate ways, A B C D PY Px QY Qx RY Rx W BY AX AY ΣMB = 0 => will not provide new information; used to check the solution; To find only three unknowns A B C D P Q R RollerPin ΣFx = 0; ΣFy = 0; ΣMA = 0 I
  • 43.
    R. Ganesh Narayanan43 ΣFx = 0; ΣMA = 0; ΣMB = 0 II • Point B can not lie on the line that passes through point A • First two equ. indicate that the ext. forces reduced to a single vertical force at A • Third eqn. (ΣMB = 0) says this force must be zero Rigid body in equilibrium => ΣMA = 0; ΣMB = 0; ΣMc = 0; III Body is statically indeterminate: more unknown reactions than independent equilibrium equations
  • 44.
    R. Ganesh Narayanan44 Meriam / Kraige; 2/10 z x 12 m 9 B O A 15 T = 10kN Y Find the moment Mz of T about the z-axis passing thro the base O 3D force system
  • 45.
    R. Ganesh Narayanan45 F = T = ITI nAB = 10 [12i-15j+9k/21.21] = 10(0.566i-0.707j+0.424k) k N Mo = rxF = 15j x 10(0.566i-0.707j+0.424k) = 150 (-0.566k+0.424i) k Nm Mz = Mo.k= 150 (-0.566k+0.424i).k = -84.9 kN. m
  • 46.
    R. Ganesh Narayanan46 Merial / Kraige; 2/117 Replace the 750N tensile force which the cable exerts on point B by a force- couple system at point O
  • 47.
    R. Ganesh Narayanan47 F = f λ, where λ is unit vector along BC = (750) BC/IBCI = 750 (-1.6i+1.1j+0.5k/2.005) F = -599i+412j+188.5k rob = OB = 1.6i-0.4j+0.8k Mo = rob x F = (1.6i-0.4j+0.7k) x (-599i+412j+188.5k) Mo = - 363i-720j+419.2k
  • 48.
    R. Ganesh Narayanan48 Meriem / Kraige; 3/4 ΣMA = (T cos 25) (0.25) + (T sin 25) (5-0.12) – 10(5-1.5-0.12) – 4.66 (2.5-0.12) = 0 T = 19.6 kN T 25 deg y Ax Ay 10 kN 0.5 m 4.66 kN 5m 1.5m 0.12 m ΣFx = Ax – 19.6 cos 25 = 0 Ax = 17.7 kN ΣFy = Ay+19.61 sin 25-4.66-10 = 0 Ay = 6.37 kN A = Ax2 + Ay2 = 18.88kN 2D equilibrium Find T and force at A; I-beam with mass of 95 kg/meter of length 95 kg/meter => 95(10-3)(5)(9.81) = 4.66kN
  • 49.
    R. Ganesh Narayanan49 A B 40 50 30 10 60 60 a 80 mm, N Beer/Johnston; 4.5 Find reactions at A, B if (a) a = 100 mm; (b) a=70 mm 40 50 30 10 Bx By Ay a = 100 mm ΣMa = 0 => (-40x60)+(-50x120)+(-30x220)+ (-10x300)+(-Byx120) = 0 By = 150 N ΣFy = 0 => By-Ay-40-50-30-10 = 0 = 150-Ay-130 = 0 => Ay = 20 N a = 70 mm By = 140 N Ay = 10 N
  • 50.
    R. Ganesh Narayanan50 A B 20 20 20 20 C 2.25 3.75 E D 4.5 F 1.8 A B 20 20 20 20 C 2.25 3.75 E D 4.5 F 1.8 150 kN Ex Ey Find the reaction at the fixed end ‘E’ DF = 7.5 m ΣFx = Ex + 150 (4.5/7.5) = 0 => Ex = - 90 kN (sign change) ΣFy = Ey – 4(20)-150 (6/7.5) = 0 => Ey = 200 kN ΣME= 20 (7.2) + 20 (5.4) + 20 (3.6) +20 (1.8) – (6/7.5) (150) (4.5) + ME= 0 ME= +180 kN.m => ccw ME Beer/Johnston; 4.4
  • 51.
    R. Ganesh Narayanan51 Instructions for TUTORIAL • Bring pen, pencil, tagged A4 sheets, calculator, text books • Submitted in same tutorial class • Solve div II tutorial problems also • Solve more problems as home work • Tutorial : 10 % contribution in grading • Do not miss any tutorial class QUIZ 1 – FEB, 11TH, 2008
  • 52.
    R. Ganesh Narayanan52 3D equilibrium 3D equilibrium equns. can be written in scalar and vector form ΣF = 0 (or) ΣFX = 0; ΣFY = 0; ΣFZ = 0 ΣM = 0 (or) ΣMX = 0; ΣMY = 0; ΣMZ = 0 ΣF = 0 => Only if the coefficients of i, j, k are zero; ΣFX = 0 ΣM = 0 => Only if the coefficients of i, j, k are zero; ΣMX = 0
  • 53.
    R. Ganesh Narayanan53 Modeling forces in 3D
  • 54.
    R. Ganesh Narayanan54 Types of 3D equilibrium
  • 55.
    R. Ganesh Narayanan55 Meriem / Kraige B A 7 m 6 m 2 m y x z By Bx G W=mg=200 x 9.81 W = 1962 N Ay AzAx h 3.5 3.5 7 = 22 + 62 + h2 => h = 3 m rAG = -1i-3j+1.5k m; rAB = -2i-6j+3k m ΣMA = 0 => rAB x (Bx+By) + rAG x W = 0 (-2i-6j+3k) x (Bx i + By j) + (-i-3j+1.5k) x (-1962k) = 0 (-3By+5886)i + (3Bx-1962)j + (-2By+6Bx)k = 0 => By = 1962 N; Bx = 654 N ΣF = 0 => (654-Ax) i + (1962-Ay) j + (-1962+Az)k = 0 => Ax = 654 N; Ay = 1963 N; Az = 1962 N; find A
  • 56.
    R. Ganesh Narayanan56 Meriem / Kraige; 3/64
  • 57.
    R. Ganesh Narayanan57 I.H. Shames Find forces at A, B, D. Pin connection at C; E has welded connection
  • 58.
    R. Ganesh Narayanan58 F.B.D. - 1 F.B.D. - 2 ΣMc = 0 => (Dy) (15) – 200 (15) (15/2) – (1/2)(15)(300)[2/3 (15)] = 0 Dy = 3000 N F.B.D. - 2
  • 59.
    R. Ganesh Narayanan59 F.B.D. - 1 ΣMB = 0 => -Ay (13) +(3000) (21) – 200 (34) (34/2-13) – ½ (300) (15) [6+2/3(15)] = 0 Ay = -15.4 N ΣFy = 0 => Ay+By+3000-200(34)- (1/2)(300)(15) = 0 Sub. ‘Ay’ here, => By = 6065 N
  • 60.
    R. Ganesh Narayanan60 2D, 3D force system • Rectangular components • Moment • Varignon’s theorem • Couple • Force-couple system • Resultant • Principle of moment Equilibrium equations ΣFx = 0; ΣFy = 0; ΣMA = 0 ΣFx = 0; ΣMA = 0; ΣMB = 0 ΣMA = 0; ΣMB = 0; ΣMc = 0 2D ΣF = 0 (or) ΣFX = 0; ΣFY = 0; ΣFZ = 0 ΣM = 0 (or) ΣMX = 0; ΣMY = 0; ΣMZ = 0 3D
  • 61.
    R. Ganesh Narayanan61 Structures Truss: Framework composed of members joined at their ends to form a rigid structures Plane truss: Members of truss lie in same plane Bridge truss Roof truss
  • 62.
    R. Ganesh Narayanan62 •Three bars joined with pins at end • Rigid bars and non-collapsible • Deformation due to induced internal strains is negligible B D CA Non-rigid rigid E Non rigid body can be made rigid by adding BC, DE, CE elements B C D A A B c
  • 63.
    R. Ganesh Narayanan63 Instructions for TUTORIAL • Bring pen, pencil, tagged A4 sheets, calculator, text books • Submitted in same tutorial class • Solve div II tutorial problems also • Solve more problems as home work • Tutorial : 10 % contribution in grading • Do not miss any tutorial class QUIZ 1 – FEB, 11TH, 2008
  • 64.
    R. Ganesh Narayanan64 Structures Truss: Framework composed of members joined at their ends to form a rigid structures Plane truss: Members of truss lie in same plane Bridge truss Roof truss
  • 65.
    R. Ganesh Narayanan65 •Three bars joined with pins at end • Rigid bars and non-collapsible • Deformation due to induced internal strains is negligible Non rigid body can be made rigid by adding BC, DE, CE elements B D CA Non-rigid rigid E B C D A A B c Simple truss: structures built from basic triangle More members are present to prevent collapsing => statically indeterminate truss; they can not be analyzed by equilibrium equations Additional members not necessary for maintaining equilibrium - redundant
  • 66.
    R. Ganesh Narayanan66 In designing simples truss or truss => assumptions are followed 1. Two force members – equilibrium only in two forces; either tension or compression 2. Each member is a straight link joining two points of application of force 3. Two forces are applied at the end; they are equal, opposite and collinear for equilibrium 4. Newton’s third law is followed for each joint 5. Weight can be included; effect of bending is not accepted 6. External forces are applied only in pin connections 7. Roller or rocker is also provided at joints to allow expansion and contraction due to temperature changes and deformation for applied loads T T c c weight TWO FORCE MEMBERS
  • 67.
    R. Ganesh Narayanan67 Method of joints •This method consists of satisfying the conditions of equilibrium for the forces acting on the connecting pin of each joint •This method deals with equilibrium of concurrent forces and only two independent equilibrium equations are solved • Newton’s third law is followed Two methods to analyze force in simple truss
  • 68.
    R. Ganesh Narayanan68 Example A B C D EF L ΣFy = 0; ΣFx = 0 Finally sign can be changed if not applied correctly
  • 69.
    R. Ganesh Narayanan69 Internal and external redundancy external redundancy: If a plane truss has more supports than are necessary to ensure a stable equilibrium, the extra supports constitute external redundancy Internal redundancy: More internal members than are necessary to prevent collapse, the extra members constitute internal redundancy Condition for statically determinate truss: m + 3 = 2j - Equilibrium of each joint can be specified by two scalar force equations, then ‘2j’ equations are present for a truss with ‘j’ joints -The entire truss composed of ‘m’ two force members and having the maximum of three unknown support reactions, there are (m + 3) unknowns j – no. of joints; m – no. of members m + 3 > 2 j =>more members than independent equations; statically indeterminate m + 3 < 2 j => deficiency of internal members; truss is unstable
  • 70.
    R. Ganesh Narayanan70 A C E F DB 1000 10 10 10 10 1000 I. H. Shames Determine the force transmitted by each member; A, F = 1000 N Pin A FAB FAC 1000 A ΣFx = 0 =>FAC – 0.707FAB = 0 ΣFy = 0 => -0.707FAB+1000 = 0 FAB = 1414 N; FAC = 1000 N Pin B B FBC 1414 FBD ΣFx = 0 => -FBD + 1414COS45 = 0 => FBD = 1000 N ΣFy = 0 => -FBC+1414 COS45 = 0 => FBC = 1000 N 1000 FAC FAB 1414 FBC FBD
  • 71.
    R. Ganesh Narayanan71 Pin C B 1000 1000 FCE FDC 1000 10001000 1000 FDC FCE ΣFx = 0 => -1000 + FCE + FDC COS 45 = 0 => FCE = 1000 N ΣFy = 0 => -1000+1000+ FDC COS 45 = 0 => FDC = 0 SIMILARLY D, E, F pins are solved
  • 72.
    R. Ganesh Narayanan72 B D A C E 30 20 5 5 5 5 55 5 kN, m Find the force in each member of the loaded cantilever truss by method of joints Meriem / Kraige (similar pbm. 6.1 in Beer/Johnston)
  • 73.
    R. Ganesh Narayanan73 ΣME = 0 => 5T-20(5)-30 (10) = 0; T = 80 kN ΣFx = 0 => 80 cos 30 – Ex = 0; Ex = 69.28 kN ΣFy = 0 => Ey +80sin30-20-30 = 0 => Ey = 10kN ΣFx = 0; ΣFy = 0 Find AB, AC forces ΣFx = 0; ΣFy = 0 Find BC, BD forces ΣFx = 0; ΣFy = 0 Find CD, CE forces ΣFy = 0 Find DE forces ΣFx = 0 can be checked FBD of entire truss FBD of joints
  • 74.
    R. Ganesh Narayanan74 Q = 100 N; smooth surfaces; Find reactions at A, B, C Q Q A B 30° c roller 100 100 RA Rc roller RB ΣF = 0 => (-RA cos 60 - RB cos 60 + Rc) i + (-2 x 100 + RB sin 60 + RA sin 60) j = 0 RC = (RA + RB)/2 RB + RA = 230.94 RC = 115.5 N RB 100 Rc RAB 30° ΣF = 0 => (-RAB cos 30 - RB cos 60 + Rc) i + (RB Sin 60 – 100 - RAB sin 30) j = 0 0.866 RAB + 0.5 RB = 115.5; -0.5 RAB + 0.866 RB = 100 RAB = 50 N (app.); RB = 144.4 N; RA = 230.94-144.4 = 86.5 N
  • 75.
    R. Ganesh Narayanan75 Method of joints •This method consists of satisfying the conditions of equilibrium for the forces acting on the connecting pin of each joint •This method deals with equilibrium of concurrent forces and only two independent equilibrium equations are solved • Newton’s third law is followed Two methods to analyze force in plane truss Method of sections
  • 76.
    R. Ganesh Narayanan76 Methodology for method of joints A B C D EF L ΣFy = 0; ΣFx = 0 Finally sign can be changed if not applied correctly
  • 77.
    R. Ganesh Narayanan77 5B D A C E 30 20 5 5 5 55 5 kN, m
  • 78.
    R. Ganesh Narayanan78 Method of sections • In method of joints, we need only two equilibrium equations, as we deal with concurrent force system • In method of sections, we will consider three equilibrium equations, including one moment equilibrium eqn. • force in almost any desired member can be obtained directly from an analysis of a section which has cut the member • Not necessary to proceed from joint to joint •Not more than three members whose forces are unknown should be cut. Only three independent equilibrium eqns. are present •Efficiently find limited information
  • 79.
    R. Ganesh Narayanan79 A B C D EF L •The external forces are obtained initially from method of joints, by considering truss as a whole • Assume we need to find force in BE, then entire truss has to be sectioned across FE, BE, BC as shown in figure; we have only 3 equilibrium equns. • AA – section across FE, BE, BC; Forces in these members are initially unknown A B C D EF LR1 R2 A A Methodology for method of sections
  • 80.
    R. Ganesh Narayanan80 • Now each section will apply opposite forces on each other • The LHS is in equilibrium with R1, L, three forces exerted on the cut members (EF, BE, BC) by the RHS which has been removed • IN this method the initial direction of forces is decided by moment about any point where known forces are present • For eg., take moment about point B for the LHS, this will give BE, BC to be zero; Then moment by EF should be opposite to moment by R1; Hence EF should be towards left hand side - compressive Section 1 Section 2
  • 81.
    R. Ganesh Narayanan81 • Now take moment about ‘F’ => BE should be opposite to R1 moment; Hence BE must be up and to the right; So BE is tensile • Now depending on the magnitudes of known forces, BC direction has to be decided, which in this case is outwards i.e., tensile Σ MB = 0 => FORCE IN EF; BE, BC = 0 Σ Fy = 0 => FORCE IN BE; BC, EF = 0 Σ ME = 0 => FORCE IN BC; EF, BE = 0 Section 1 Section 2
  • 82.
    R. Ganesh Narayanan82 Section AA and BB are possible convenient
  • 83.
    R. Ganesh Narayanan83 Important points • IN method of sections, an entire portion of the truss is considered a single body in equilibrium • Force in members internal to the section are not involved in the analysis of the section as a whole • The cutting section is preferably passed through members and not through joints • Either portion of the truss can be used, but the one with smaller number of forces will yield a simpler solution • Method sections and method of joints can be combined • Moment center can be selected through which many unknown forces pass through • Positive force value will sense the initial assumption of force direction
  • 84.
    R. Ganesh Narayanan84 Meriem/Kraige Find the forces included in members KL, CL, CB by the 20 ton load on the cantilever truss Section 1 Section 2 x Σ Moment abt. ‘L’ => CB is compressive => creates CW moment Σ Moment abt. C => KL is tensile => creates CW moment CL is assumed to be compressive y KL 20 T C CB CL G P L K
  • 85.
    R. Ganesh Narayanan85 y KL 20 T C CB CL G P L K x Section 1 Section 2 Σ ML = 0 => 20 (5) (12)- CB (21) = 0 => CB = 57.1 t (C) Σ Mc = 0 => 20 (4)(12) – 12/13 (KL) (16) = 0; KL = 65 t (T) Σ Mp = 0 => find PC distance and find CL; CL = 5.76 t (C) BL = 16 + (26-16)/2 = 12 ft Θ = tan -1 (5/12) => cos Θ = 12/13 θ
  • 86.
    R. Ganesh Narayanan86 Meriem/Kraige Find the force in member DJ of the truss shown. Neglect the horizontal force in supports Section 2 cuts four members, but we have only 3 equi. Equns Hence consider section 1 which cuts only 3 members – CD, CJ, KJ Consider FBD for whole truss and find reaction at A ΣMG = -Ay (24) +(10) (20) + 10(16) + 10 (8) = 0 Ay = 18. 3 kN => creates CW moment Force direction Σ Moment abt. A => CD, JK – Eliminated; CJ will be upwards creating CCW moment Σ Moment abt. C => JK must be towards right creating CCW moment ASSUME CD TO HAVE TENSILE FORCE
  • 87.
    R. Ganesh Narayanan87 ΣMA = 0 => CJ (12) (0.707) – 10 (4) -10( 8) =0; CJ = 14.14 Kn ΣMJ = 0 => 0.894 (CD) (6) +18.33 (12)-10(4)-10(8) = 0; CD = -18.7 kN CD direction is changed From section 1 FBD From section 2 FBD ΣMG = 0 => 12 DJ +10(16)+10(20)-18.3 (24)- 14.14 (0.707)(12) = 0 DJ = 16.7 kN
  • 88.
    R. Ganesh Narayanan88 I.H. Shames FBD - 1 FBD - 2 From FBD-2 ΣMB = 0 => -(10)(500)+30 (789)- FAC Sin 30 (30) = 0 FAC = 1244.67 N From FBD -1 ΣFx = 0 => FDA Cos 30 – (1244.67) cos 30 – 1000 sin 30 = 0 ; FDA = 1822 N ΣFy = 0 => (1822)Sin 30 + (1244.67) sin 30 +FAB – 1000 Cos 30 = 0; FAB = -667 N
  • 89.
    R. Ganesh Narayanan89 Frames and machines Multi force members: Members on which three or more forces acting on it (or) one with two or more forces and one or more couples acting on it Frame or machine: At least one of its member is multi force member Frame: Structures which are designed to support applied loads and are fixed in position Machine: Structure which contain moving parts and are designed to transmit input forces or couples to output forces or couples Frames and machines contain multi force members, the forces in these members will not be in directions of members Method of joints and sections are not applicable
  • 90.
    R. Ganesh Narayanan90 Inter-connected rigid bodies with multi force members • Previously we have seen equilibrium of single rigid bodies • Now we have equilibrium of inter-connected members which involves multi force members • Isolate members with FBD and applying the equilibrium equations • Principle of action and reaction should be remembered • Statically determinate structures will be studied
  • 91.
    R. Ganesh Narayanan91 Force representation and FBD • Representing force by rectangular components • Calculation of moment arms will be simplified • Proper sense of force is necessary; Some times arbitrary assignment is done; Final force answer will yield correct force direction • Force direction should be consistently followed
  • 92.
    R. Ganesh Narayanan92 Frames and machines Multi force members: Members on which three or more forces acting on it (or) one with two or more forces and one or more couples acting on it Frame or machine: At least one of its member is multi force member Frame: Structures which are designed to support applied loads and are fixed in position Machine: Structure which contain moving parts and are designed to transmit input forces or couples to output forces or couples Frames and machines contain multi force members, the forces in these members will not be in directions of members Method of joints and sections are not applicable
  • 93.
    R. Ganesh Narayanan93 Inter-connected rigid bodies with multi force members • Previously we have seen equilibrium of single rigid bodies • Now we have equilibrium of inter-connected members which involves multi force members • Isolate members with FBD and applying the equilibrium equations • Principle of action and reaction should be remembered • Statically determinate structures will be studied
  • 94.
    R. Ganesh Narayanan94 Force representation and FBD • Representing force by rectangular components • Calculation of moment arms will be simplified • Proper sense of force is necessary; Some times arbitrary assignment is done; Final force answer will yield correct force direction • Force direction should be consistently followed
  • 95.
    R. Ganesh Narayanan95 AFAE BD Full truss K, J are un-necessary here
  • 96.
    R. Ganesh Narayanan96 Meriem/Kraige A B C D E F 30 lb 50 lb 12 12 30 ft 20 ft 20 ft Find the forces in all the frames; neglect weight of each member Ax Ay 50 lb 30 lb Cx Cy Σ Mc = 0 => 50 (12) +30(40)-30 (Ay) = 0; Ay = 60 lb Σ Fy = 0 => Cy – 50 (4/5) – 60 = 0 => Cy = 100 lb FBD of full frame
  • 97.
    R. Ganesh Narayanan97 ED: ΣMD = 0 => 50(12)-12E = 0 => E = 50 lb ΣF = 0 => D-50-50 = 0 => D= 100 lb (components will be eliminated) EF: Two force member; E, F are compressive EF: F = 50 lb (opposite and equal to E) AB: ΣMA = 0 => 50(3/5)(20)-Bx (40) = 0 => Bx = 15 lb ΣFx = 0 => Ax+15-50(3/5) = 0 => Ax = 15 lb ΣFy = 0 => 50 (4/5)-60-By = 0 =>By = -20 lb BC: ΣFx = 0 => 30 +100 (3/5)-15-Cx = 0 => Cx = 75 lb FBD of individual members D Σ Fx = -50 (cos 53.1)+15+15 = -30+15+15 = 0 F Fx Fy 53.1 deg E
  • 98.
    R. Ganesh Narayanan98 A B C E D 60 100 150 480 N 160 60 80 Find the force in link DE and components of forces exerted at C on member BCD A B C E D 100 150 480 N 160 Ax Ay Bx 80 θ Σ Fy = 0 => Ay-480 = 0 =>Ay = 480 N Σ MA = 0 => Bx (160)-480 (100) = 0 => Bx = 300 N Σ Fx = 0 => 300+Ax = 0 => Ax = -300 N FBD of full frame Θ = tan -1 (80/150) = 28.07 deg
  • 99.
    R. Ganesh Narayanan99 FBD of BCD B C D 480 N 300 Cx Cy FDE Σ Mc = 0 => -FDE sin 28.07 (250) – 300(80)-480 (100) = 0; FDE = -561 N Σ Fx = 0 => Cx – (-561) cos 28.07 +300 = 0 => Cx = -795 N Σ Fy = 0 => Cy – (-561) sin 28.07 – 480 = 0 => Cy = 216 N θ E D FDE FDE DE: Two force member D FDE A E Ax Ay FDE Cy Cx FBD of AE FBD of DE
  • 100.
    R. Ganesh Narayanan100 A B C D E F 400 kg 3m 2m 1.5m 0.5m 1.5m 1.5m R =0.5 m Find the horizontal and vertical components of all the forces; neglect weight of each member Meriem/Kraige FBD of full frame Ay Ax 0.4 x 9.81 = 3.92 Σ MA = 0 => 5.5 (-0.4) (9.81) + 5Dx = 0 => Dx = 4.32 kN Σ Fx = 0 => -Ax + 4.32 = 0 => Ax = 4.32 kN Σ Fy = 0 => Ay – 3.92 = 0 => Ay = 3.92 kN Dx
  • 101.
    R. Ganesh Narayanan101 FBD of individual members 3.92 4.32 3.92 Bx By 4.32 Cx Cy A D 3.92 3.92 3.92 3.92 F C E Cx Cy ExEy E EyEx Bx By B 3.92 3.92 A B C D E F 400 kg 3m 2m 1.5m 0.5m 1.5m 1.5m R =0.5 m Apply equilibrium equn. And solve for forces
  • 102.
    R. Ganesh Narayanan102 Machines • Machines are structures designed to transmit and modify forces. Their main purpose is to transform input forces into output forces. • Given the magnitude of P, determine the magnitude of Q. Taking moments about A, P b a QbQaPM A =−==∑ 0
  • 103.
    R. Ganesh Narayanan103 Center of mass & center of gravity A B C W G A B C W G W G AB C G •Body of mass ‘m’ •Body at equilibrium w.r.t. forces in the cord and resultant of gravitational forces at all particles ‘W’ •W is collinear with point A •Changing the point of hanging to B, C – Same effect •All practical purposes, LOA coincides with G; G – center of gravity BODY
  • 104.
    R. Ganesh Narayanan104 dw G w z Y X Moment abt. Y axis = dw (x) Sum of moments for small regions through out the body: ∫ x dw Moment of ‘w’ force with Y axis = w x ∫ x dw = w x Sum of moments Moment of the sum W = mg r r X = (∫ x dm) / m X = (∫ x dw) / w Y = (∫ y dw) / w Z = (∫ z dw) / w Y = (∫ y dm) / m Z = (∫ z dm) / m 1 2
  • 105.
    R. Ganesh Narayanan105 r = (∫ r dm) / mIn vector form, ρ = m/V; dm = ρ dv X = (∫ x ρ dv) / ∫ ρ dv Y = (∫ y ρ dv) / ∫ ρ dv Z = (∫ z ρ dv) / ∫ ρ dv ρ = not constant through out body 3 4 Equns 2, 3, 4 are independent of ‘g’; They depend only on mass distribution; This define a co-ordinate point – center of mass This is same as center of gravity as long as gravitational field is uniform and parallel
  • 106.
    R. Ganesh Narayanan106 Centroids of lines, areas, volumes X = (∫ xc dv) / v Y = (∫ yc dv) / v Z = (∫ zc dv) / v Suppose if density is constant, then the expression define a purely geometrical property of the body; It is called as centroid Centroid of volume X = (∫ x dA) / A Y = (∫ y dA) / A Z = (∫ z dA) / A Centroid of area X = (∫ x dL) / L Y = (∫ y dL) / L Z = (∫ z dL) / L Centroid of line
  • 107.
    R. Ganesh Narayanan107 x y h xy dy Find the y-coordinate of centroid of the triangular area AY = ∫ y dA ½ b h (y) = ∫ y (x dy) = ∫ y [b (h-y) / h] dy = b h2 / 6 b X / (h-y) = b/h 0 h 0 h Y = h / 3
  • 108.
    R. Ganesh Narayanan108 Beams Structural members which offer resistance to bending due to applied loads • Reactions at beam supports are determinate if they involve only three unknowns. Otherwise, they are statically indeterminate
  • 109.
    R. Ganesh Narayanan109 External effects in beams Reaction due to supports, distributed load, concentrated loads Internal effects in beams Shear, bending, torsion of beams v v M M SHEAR BENDING TORSION
  • 110.
    R. Ganesh Narayanan110 Cx W D E B C F G A SECTION - J F D J T V M V – SHEAR FORCE F – AXIAL FORCE M – BENDING MOMENT AT J T D Cy FBE AX AY J A A J F V M Internal forces in beam compression Tension
  • 111.
    R. Ganesh Narayanan111 Shear force and bending moment in beam To determine bending moment and shearing force at any point in a beam subjected to concentrated and distributed loads. 1. Determine reactions at supports by treating whole beam as free-body FINDING REACTION FORCES AT A AND B
  • 112.
    R. Ganesh Narayanan112 2. SECTION beam at C and draw free-body diagrams for AC and CB. By definition, positive sense for internal force-couple systems are as shown. DIRECTION OF V AND M SECTION C SECTION C SECTION C + VE SHEAR FORCE +VE BENDING MOMENT V M V M
  • 113.
    R. Ganesh Narayanan113 EVALUATING V AND M Apply vertical force equilibrium eqn. to AC, shear force at ‘C’, i.e., ‘V’ can be determined Apply moment equilibrium eqn. at C, bending moment at ‘C’, i.e., ‘M’ can be determined; Couple if any should be included + ve value of ‘V’ => assigned shear force direction is correct + ve value of ‘M’ => assigned bending moment is correct
  • 114.
    R. Ganesh Narayanan114 Evaluate the Variation of shear and bending moment along beam Beer/Johnston ΣMB= 0 =>RA (-L)+P (L/2) = 0; RA= +P/2 RB = +P/2 SECTION AT C Between A & D SECTION AT E Between D & B
  • 115.
    R. Ganesh Narayanan115 SECTION AT C; C is at ‘x’ distance from A Member AC: ΣFy = 0 => P/2-V = 0; V = +P/2 ΣMc = 0 => (- P/2) (X) + M = 0; M = +PX/2 Any section between A and D will yield same result V = +P/2 is valid from A to D V = +P/2 yields straight line from A to D (or beam length : 0 to L/2) M = +PX/2 yield a linear straight line fit for beam length from 0 to L/2
  • 116.
    R. Ganesh Narayanan116 SECTION AT E; E is at ‘x’ distance from A CONSIDER AE: ΣFy = 0 => P/2-P-V = 0; V = -P/2 ΣME = 0 => (- P/2) (X) +P(X-L/2)+ M = 0; M = +P(L-X)/2 EB CAN ALSO BE CONSIDERED
  • 117.
    R. Ganesh Narayanan117 V = V0 + (NEGATIVE OF THE AREA UNDER THE LOADING CURVE FROM X0 TO X) = V0 - ∫w dx M = M0 + (AREA UNDER SHEAR DIAGRAM FROM X0 TO X) = M0 + ∫V dx c1
  • 118.
  • 119.
    R. Ganesh Narayanan118 Beer/Johnston :0=∑ AM ( ) ( )( ) ( )( ) 0cm22N400cm6N480cm32 =−−yB N365=yB :0=∑ BM ( )( ) ( )( ) ( ) 0cm32cm10N400cm26N480 =−+ A N515=A :0=∑ xF 0=xB • The 400 N load at E may be replaced by a 400 N force and 1600 N-cm couple at D. • Taking entire beam as free-body, calculate reactions at A and B. • Determine equivalent internal force-couple systems at sections cut within segments AC, CD, and DB.
  • 120.
    R. Ganesh Narayanan119 :02 =∑ M ( ) 06480515 =+−+− Mxx ( ) cmN352880 ⋅+= xM From C to D: ∑ = :0yF 0480515 =−− V N35=V :01 =∑ M ( ) 040515 2 1 =+−− Mxxx 2 20515 xxM −= From A to C: ∑ = :0yF 040515 =−− Vx xV 40515 −= V = 515 + (-40 X) = 515-40X = 515 - ∫40 dx M = ∫515-40x dx = 515x-20 x2 0 x 0 x
  • 121.
    R. Ganesh Narayanan120 • Evaluate equivalent internal force-couple systems at sections cut within segments AC, CD, and DB. From D to B: ∑ = :0yF 0400480515 =−−− V N365−=V :02 =∑ M ( ) ( ) 01840016006480515 =+−+−−+− Mxxx ( ) cmN365680,11 ⋅−= xM
  • 122.
    R. Ganesh Narayanan121 Shear force & Bending moment plot AC: (35X12) + (1/2 x 12 x 480) = 3300 0 to 3300 CD: 3300 +(35X6) = 3510 3300 to 3510 DB: 365 x 14 = 5110 5110 to 0 AREA UNDER SHEAR FORCE DIAGRAM GIVES BM DIAGRAM
  • 123.
    R. Ganesh Narayanan122 300 lb 4 ft 4 2 2 100 lb/ftFind the shear force and bending moment for the loaded beam
  • 124.
  • 125.
  • 126.
    R. Ganesh Narayanan125 Friction •Earlier we assumed action and reaction forces at contacting surfaces are normal • Seen as smooth surface – not practically true • Normal & tangential forces are important • Tangential forces generated near contacting surfaces are FRICTIONAL FORCES • Sliding of one contact surface to other – friction occurs and it is opposite to the applied force • Reduce friction in bearings, power screws, gears, aircraft propulsion, missiles through the atmosphere, fluid flow etc. • Maximize friction in brakes, clutches, belt drives etc. • Friction – dissipated as heat – loss of energy, wear of parts etc.
  • 127.
    R. Ganesh Narayanan126 Friction Dry friction (coulomb friction) Fluid friction • Occurs when un-lubricated surfaces are in contact during sliding • friction force always oppose the sliding motion • Occurs when the adjacent layers in a fluid (liquid, gas) are moving at different velocities • This motion causes friction between fluid elements • Depends on the relative velocity between layers • No relative velocity – no fluid friction • depends on the viscosity of fluid – measure of resistance to shearing action between the fluid layers
  • 128.
    R. Ganesh Narayanan127 Dry friction: Laws of dry friction W N • W – weight; N – Reaction of the surface • Only vertical component • P – applied load • F – static friction force : resultant of many forces acting over the entire contact area • Because of irregularities in surface & molecular attraction A W P N F A
  • 129.
    R. Ganesh Narayanan128 P W N F A B •‘P’ is increased; ‘F’ is also increased and continue to oppose ‘P’ • This happens till maximum ‘Fm’ is reached – Body tend to move till Fm is reached • After this point, block is in motion • Block in motion: ‘Fm’ reduced to ‘Fk – lower value – kinetic friction force’ and it remains same – related to irregularities interaction •‘N’ reaches ‘B’ from ‘A’ – Then tipping occurs abt. ‘B’ Fm Fk F p Equilibrium Motion More irregularities interaction Less irregularities interaction
  • 130.
    R. Ganesh Narayanan129 EXPERIMENTAL EVIDENCE: Fm proportional to N Fm = µs N; µs – static friction co-efficient Similarly, Fk = µk N; µk – kinetic friction co-efficient µs and µk depends on the nature of surface; not on contact area of surface µk = 0.75 µs
  • 131.
    R. Ganesh Narayanan130 Four situations can occur when a rigid body is in contact with a horizontal surface: We have horizontal and vertical force equilibrium equns. and F = µ N • No motion, (Px < Fm) Fm Fk F p Equilibrium Motion
  • 132.
    R. Ganesh Narayanan131 • No motion • Motion• No friction • Motion impending It is sometimes convenient to replace normal force N and friction force F by their resultant R: ss sm s N N N F µφ µ φ = == tan tan kk kk k N N N F µφ µ φ = == tan tan Φs – angle of static friction – maximum angle (like Fm) Φk – angle of kinetic friction; Φk < Φs
  • 133.
    R. Ganesh Narayanan132 Consider block of weight W resting on board with variable inclination angle θ. Angle of inclination = angle of repose; θ= φs R – Not vertical ANGLE OF INCLINATION IS INCREASING
  • 134.
    R. Ganesh Narayanan133 Three categories of problems • All applied forces are given, co-effts. of friction are known • Find whether the body will remain at rest or slide • Friction force ‘F’ required to maintain equilibrium is unknown (magnitude not equal to µs N) • Determine ‘F’ required for equilibrium, by solving equilibrium equns; Also find ‘N’ • Compare ‘F’ obtained with maximum value ‘Fm’ i.e., from Fm = µs N • ‘F’ is smaller or equal to ‘Fm’, then body is at rest • Otherwise body starts moving • Actual friction force magnitude = Fk = µk N Solution First category: to know a body slips or not
  • 135.
    R. Ganesh Narayanan134 A 100 N force acts as shown on a 300 N block placed on an inclined plane. The coefficients of friction between the block and plane are µs = 0.25 and µk = 0.20. Determine whether the block is in equilibrium and find the value of the friction force. Beer/Johnston :0=∑ xF ( ) 0N300-N100 5 3 =− F N80−=F :0=∑ yF ( ) 0N300- 5 4 =N N240=N The block will slide down the plane. Fm < F Fm = µs N = 0.25 (240) = 60 N Θ = 36.9 DEG Θ = 36.9 DEG
  • 136.
    R. Ganesh Narayanan135 • If maximum friction force is less than friction force required for equilibrium, block will slide. Calculate kinetic-friction force. ( )N240200 N . FF kkactual = == µ N48=actualF Fm Fk F p Equilibrium Motion
  • 137.
    R. Ganesh Narayanan136 Meriam/Kraige; 6/8 M 30° Cylinder weight: 30 kg; Dia: 400 mm Static friction co-efft: 0.30 between cylinder and surface Calculate the applied CW couple M which cause the cylinder to slip 30 x 9.81 NA FA = 0.3 NANB FB = 0.3 NB M C ΣFx = 0 = -NA+0.3NB Cos 30-NB Sin 30 = 0 ΣFy = 0 =>-294.3+0.3NA+NBCos 30-0.3NB Sin 30 = 0 Find NA & NB by solving these two equns. ΣMC = 0 = > 0.3 NA (0.2)+0.3 NB (0.2) - M = 0 Put NA & NB; Find ‘M’ NA = 237 N & NB = 312 N; M = 33 Nm
  • 138.
    R. Ganesh Narayanan137 Meriam/Kraige; 6/5 Wooden block: 1.2 kg; Paint: 9 kg Determine the magnitude and direction of (1) the friction force exerted by roof surface on the wooden block, (2) total force exerted by roof surface on the wooden block Θ = tan-1 (4/12) = 18.43° Paint Wooden block 12 4 Roof surface Θ (2) Total force = 10.2 x 9.81 = 100.06 N UP N F 10.2x 9.81 X Y (1)ΣFx = 0 => -F+100.06 sin 18.43 => F = 31.6 N ΣFy = 0 => N = 95 N Second category: Impending relative motion when two or three bodies in contact with each other
  • 139.
    R. Ganesh Narayanan138 Beer/Johnston 20 x 9.81 = 196.2 N N1 F1 T 30 x 9.81 = 294.3 N F2 For 20 kg block For 30 kg block F1 P N1 N2 (a)
  • 140.
    R. Ganesh Narayanan139 (B) 490.5 N N P
  • 141.
    R. Ganesh Narayanan140 Beer/Johnston A B 6 m 2.5 m A 6.5-m ladder AB of mass 10 kg leans against a wall as shown. Assuming that the coefficient of static friction on µs is the same at both surfaces of contact, determine the smallest value of µs for which equilibrium can be maintained. A B FB NB FA NA W 1.25 1.25 O Slip impends at both A and B, FA= µsNA, FB= µsNB ΣFx=0=> FA−NB=0, NB=FA=µsNA ΣFy=0=> NA−W+FB=0, NA+FB=W NA+µsNB=W; W = NA(1+µs 2) ΣMo = 0 => (6) NB - (2.5) (NA) +(W) (1.25) = 0 6µsNA - 2.5 NA + NA(1+µs 2) 1.25 = 0 µs = -2.4 ± 2.6 = > Min µs = 0.2
  • 142.
    R. Ganesh Narayanan141 Wedges Wedges - simple machines used to raise heavy loads like wooden block, stone etc. Loads can be raised by applying force ‘P’ to wedge Force required to lift block is significantly less than block weight Friction at AC & CD prevents wedge from sliding out Want to find minimum force P to raise block A – wooden block C, D – Wedges
  • 143.
    R. Ganesh Narayanan142 0 :0 0 :0 21 21 =+−− = =+− = ∑ ∑ NNW F NN F s y s x µ µ FBD of block ( ) ( ) 06sin6cos :0 0 6sin6cos :0 32 32 =°−°+− = =+ °−°−− = ∑ ∑ s y ss x NN F P NN F µ µµ FBD of wedge N3 6° F3 6°
  • 144.
    R. Ganesh Narayanan143 Two 8° wedges of negligible weight are used to move and position a 530-N block. Knowing that the coefficient of static friction is 0.40 at all surfaces of contact, determine the magnitude of the force P for which motion of the block is impending Beer/Johnston Φs = tan−1 µs = tan−1 (0.4) = 21.801° 21.8° R1 FBD of block 20° 21.8° 530 R2 530 R2 R141.8° 91.8° 46.4° (R2/Sin 41.8) = (530/sin 46.4) R2 = 487.84 N Using sine law, slip impends at wedge/block wedge/wedge and block/incline
  • 145.
    R. Ganesh Narayanan144 P = 440.6 N
  • 146.
    R. Ganesh Narayanan145 Beer/Johnston A 6° steel wedge is driven into the end of an ax handle to lock the handle to the ax head. The coefficient of static friction between the wedge and the handle is 0.35. Knowing that a force P of magnitude 60 N was required to insert the wedge to the equilibrium position shown, determine the magnitude of the forces exerted on the handle by the wedge after force P is removed. P = 60 N Φs = tan −1 µs= tan −1 (0.35 ) = 19.29° 19.29° 3° 19.29° 3° 6° By symmetry R1= R2; in EQUILIBRIUM ΣFy = 0: 2R1 sin 22.29° −60 N =0 R1 = R2 = 79.094 N WHAT WILL HAPPEN IF ‘P’ IS REMOVED ? R1R2
  • 147.
    R. Ganesh Narayanan146 Vertical component of R1, R2 will be eliminated Hence, H1 = H2 = 79.094 N cos22.29° = 73.184 N Final force = 73.184 N Since included angle is 3°(< φs) from the normal, the wedge is self-locking and will remain in place. • No motion
  • 148.
    R. Ganesh Narayanan147 Screws Used for fastening, transmitting power or motion, lifting body Square threaded jack - screw jack V-thread is also possible W- AXIAL LOAD M – APPLIED MOMENT ABOUT AXIS OF SCREW M = P X r L – LEAD DISTANCE – Advancement per revolution α – HELIX ANGLE M Upward motion
  • 149.
    R. Ganesh Narayanan148 α 2πr L W φ α RP = M/r One full thread of screw To raise load M F Φ – angle of friction R P w Φ+α tan (Φ+α) = P/W = M/rW => M = rW tan (Φ+α) α = tan-1 (L/2πr) To lower load – unwinding condition φ α P = M/r W R α < φ Screw will remain in place – self locking => M = rW tan (Φ-α) α = φ In verge of un-winding Moment required to lower the screw
  • 150.
    R. Ganesh Narayanan149 α P = M/r W R φ α > φ Screw will unwind itself => M = rW tan (α-φ) Moment required to prevent unwinding
  • 151.
    R. Ganesh Narayanan150 Beer/Johnston A clamp is used to hold two pieces of wood together as shown. The clamp has a double square thread of mean diameter equal to 10 mm with a pitch of 2 mm. The coefficient of friction between threads is µs = 0.30. If a maximum torque of 40 Nm is applied in tightening the clamp, determine (a) the force exerted on the pieces of wood, and (b) the torque required to loosen the clamp. Lead distance = 2 x pitch = 2 x 2 = 4 mm r = 5 mm ( ) 30.0tan 1273.0 mm10 mm22 2 tan == === ss r L µφ ππ θ °= 3.7θ °= 7.16sφ (double square thread)
  • 152.
    R. Ganesh Narayanan151 a) Forces exerted on the wooded pieces M/r tan (Φ+α) = W W = 40 / (0.005) tan (24) = 17.96 kN b) the torque required to loosen the clamp M = rW tan (Φ-α) = 0.005 (17.96) tan (9.4) M = 14.87 Nm
  • 153.
    R. Ganesh Narayanan152 The position of the automobile jack shown is controlled by a screw ABC that is single- threaded at each end (right-handed thread at A, left-handed thread at C). Each thread has a pitch of 2 mm and a mean diameter of 7.5 mm. If the coefficient of static friction is 0.15, determine the magnitude of the couple M that must be applied to raise the automobile. Beer/Johnston FBD joint D: ΣFy = 0 => 2FADsin25°−4 kN=0 FAD = FCD = 4.73 kN By symmetry: 4 kN FAD FCD 25° 25°D
  • 154.
    R. Ganesh Narayanan153 FBD joint A: 4.73 kN FAC FAE = 4.73 25° 25°A ΣFx = 0 => FAC−2(4.73) cos25°=0 FAC = 8.57 kN L = Pitch = 2 mm W = FAC = 8.57 φ θ R Joint A P = M/r Π (7.5) θ Here θ is used instead of α used earlier MA = rW tan (Φ+α) = (7.5/2) (8.57) tan (13.38) = 7.63 Nm Similarly, at ‘C’, Mc = 7.63 Nm (by symmetry); Total moment = 7.63 (2) = 15.27 Nm
  • 155.
    R. Ganesh Narayanan154 Journal & Thrust bearing Journal bearings provide lateral support to rotating shafts Thrust bearings provide axial support Journal bearing - Axle friction Thrust bearing - Disc friction shaft bearing shaft bearing
  • 156.
    R. Ganesh Narayanan155 Friction between two ring shaped areas Friction in full circular area - DISK FRICTION (Eg., Disc clutch) Consider Hollow shaft (R1, R2) M – Moment required for shaft rotation at constant speed P – axial force which maintains shaft in contact with bearing
  • 157.
    R. Ganesh Narayanan156 Couple moment required to overcome friction resistance, M Equilibrium conditions and moment equations are necessary to solve problems
  • 158.
    R. Ganesh Narayanan157 A .178 m-diameter buffer weighs 10.1 N. The coefficient of kinetic friction between the buffing pad and the surface being polished is 0.60. Assuming that the normal force per unit area between the pad and the surface is uniformly distributed, determine the magnitude Q of the horizontal forces required to prevent motion of the buffer. Beer/Johnston O M Q - Q 0.2 m Σ Mo = 0 => (0.2) Q – M = 0; Q = M / 0.2 M = 2/3 (0.6) (10.1) (0.178/2) = 0.36 Nm Q = M / 0.2 = 0.36/0.2 = 1.8 N
  • 159.
    R. Ganesh Narayanan158 Belt friction Draw free-body diagram for PP’ element of belt ( ) 0 2 cos 2 cos:0 =∆− ∆ − ∆ ∆+=∑ NTTTF sx µ θθ ( ) 0 2 sin 2 sin:0 = ∆ − ∆ ∆+−∆=∑ θθ TTTNFy dT / T = µS dθ ∫ dT / T = µS ∫ dθ T1 T2 0 β ln (T2/T1) = µS β; T2/T1 = e µS β Consider flat belt, cylindrical drum β – angle of contact
  • 160.
    R. Ganesh Narayanan159 α V- Belt T2/T1 = e µS β/sin (α/2) ln (T2/T1) = µS β; T2/T1 = e µS β Applicable to belts passing over fixed drums; ropes wrapped around a post; belt drives T2 > T1 This formula can be used only if belt, rope are about to slip; Angle of contact is radians; rope is wrapped ‘n’ times - 2πn rad In belt drives, pulley with lesser β value slips first, with ‘µS’ remaining same
  • 161.
    R. Ganesh Narayanan160 Beer/Johnston A flat belt connects pulley A to pulley B. The coefficients of friction are µs = 0.25 and µk = 0.20 between both pulleys and the belt. Knowing that the maximum allowable tension in the belt is 600 N, determine the largest torque which can be exerted by the belt on pulley A. Since angle of contact is smaller, slippage will occur on pulley B first. Determine belt tensions based on pulley B; β = 120 deg = 2π/3 rad ( ) N4.355 1.688 N600 688.1 N600 1 3225.0 11 2 s == === T e T e T T πβµ
  • 162.
    R. Ganesh Narayanan161 ( )( ) 0N600N4.355mc8:0 =−+=∑ AA MM mcN8.1956 ⋅=AM Check for belt not sliping at pulley A: ln (600/355.4) = µ x 4π/3 => µ = 0.125 < 0.25
  • 163.
    R. Ganesh Narayanan162 A 120-kg block is supported by a rope which is wrapped 1.5 - times around a horizontal rod. Knowing that the coefficient of static friction between the rope and the rod is 0.15, determine the range of values of P for which equilibrium is maintained. Beer/Johnston P W = 9.81 X 120 = 1177.2 N β= 1.5 turns = 3π rad For impending motion of W up P = W e µsβ = (1177.2 N) e (0.15)3π = 4839.7 N For impending motion of W down P = W e−µsβ = (1177.2 N) e−(0.15)3π = 286.3 N For equilibrium: 286 N ≤ P ≤ 4.84 kN
  • 164.
    R. Ganesh Narayanan163 In the pivoted motor mount shown, the weight W of the 175-N motor is used to maintain tension in the drive belt. Knowing that the coefficient of static friction between the flat belt and drums A and B is 0.40, and neglecting the weight of platform CD, determine the largest couple which can be transmitted to drum B when the drive drum A is rotating clockwise. Beer/Johnston For impending belt slip: CW rotation β = π radians Obtain FBD of motor and mount; ΣMD = 0 => find T1 and T2 Obtain FBD of drum at B; MB in CCW; ΣMB = 0; Find MB T1 = 54.5 N, T2 = 191.5 N MB=10.27 N.m
  • 165.
    R. Ganesh Narayanan164 Virtual work We have analyzed equilibrium of a body by isolating it with a FBD and equilibrium equations Class of problems where interconnected members move relative to each other; equilibrium equations are not the direct and conventional method Concept of work done by force is more direct => Method of virtual work
  • 166.
    R. Ganesh Narayanan165 Work of a force U = +(F cos α) ∆S (+ ve) F A α A’ ∆S F A α A’ ∆S U = +F (cos α ∆S) Work done ‘U’ by the force F on the body during displacement is the compt. Of force in the displacement direction times the displacement Work is a scalar quantity as we get same result regardless of direction in which we resolve vectors F A α A’ ∆S U = -(F cos α) ∆S U = 0 if ∆S = 0 and α = 90 deg
  • 167.
    R. Ganesh Narayanan166 F A A’ drA1 A2 Work done by force F during displacement dr is given by, dU = F.dr dU = (Fx i + Fy j + Fz k).(dx i + dy j + dz k) = Fx dx + Fy dy + Fz dz U = ∫ F.dr = ∫ Fx dx + Fy dy + Fz dz We should know relation between the force and their coordinates Work of a couple dθ M dU = M dθ U = ∫M d θ F -F Moment can be taken instead of forces
  • 168.
    R. Ganesh Narayanan167 Forces which do no work • ds = 0; cos α = 0 • reaction at a frictionless pin due to rotation of a body around the pin • reaction at a frictionless surface due to motion of a body along the surface • weight of a body with cg moving horizontally • friction force on a wheel moving without slipping Only work done by applied forces, loads, friction forces need to be considered
  • 169.
    R. Ganesh Narayanan168 Sum of work done by several forces may be zero • bodies connected by a frictionless pin => W.D by F and –F is opposite and will cancel • bodies connected by an inextensible cord • internal forces holding together particles of a rigid body Rigid body A, B – particles F, -F are acting as shown Though dr, dr’ are different, components of these displacements along AB must be equal, otherwise distance between the particles will change and this is not a rigid body; so U done by F and –F cancel each other, i.e, U of internal forces = 0
  • 170.
    R. Ganesh Narayanan169 Principle of virtual work Imagine the small virtual displacement of particle which is acted upon by several forces F1, F2, ….. Fn Imagine the small displacement A to A’ This is possible displacement, but will not occur AA’ ---- VIRTUAL DISPLACEMENT, δr (not dr) Work done by these forces F1, F2, ….Fn during virtual displacement δr is called VIRTUAL WORK, δU δU = F1. δr + F2. δr + …..+ Fn. δr = R . δr Total virtual work of the forces Virtual work of the resultant
  • 171.
    R. Ganesh Narayanan170 Principle of virtual work for particle Principle of virtual work for rigid body Principle of virtual work for system of interconnected rigid bodies Work of internal forces is zero (proved earlier)
  • 172.
    R. Ganesh Narayanan171 Applications of Principle of virtual work Mainly applicable to the solutions of problems involving machines or mechanisms consisting of several interconnected rigid bodies Wish to determine the force of the vice on the block for a given force P assuming no friction Virtual displacement ‘δθ’ is given; This results in δxB and –δyc. Here no work is done by Ax, Ay at A and N at B TOGGLE VISE
  • 173.
    R. Ganesh Narayanan172 δUQ = -Q δxB ; δUP = -P δyc In this problem, we have eliminated all un-known reactions, while ΣMA = 0 would have eliminated only TWO unknowns The same problem can be used to find ‘θ’ for which the linkage is in equilibrium under two forces P and Q Output work = Input work
  • 174.
    R. Ganesh Narayanan173 Real machines For an ideal machine without friction, the output work is equal to the input work; 2Ql cos θ δθ = Pl sin θ δθ In real machine, output work < input work => because of presence of friction forces ( )µθ θδθµθδθθδθ δδδδ −= −+−= =−−−= tan cossincos20 0 2 1 PQ PlPlQl xFyPxQU BCB Output work = Input work – friction force work Q = 0 if tan θ = µ => θ = φ, angle of friction
  • 175.
    R. Ganesh Narayanan174 Mechanical efficiency Mechanical efficiency of m/c, η = Output work / Input work For toggle vise, η = 2Ql cos θ δθ / Pl sin θ δθ Substituting Q = ½ P (tan θ – µ) here η = 1 – µ cot θ In the absence of friction forces, µ = 0 and hence η = 1 => Ideal m/c For real m/c, η < 1
  • 176.
    R. Ganesh Narayanan175 Beer/Johnston Determine the magnitude of the couple M required to maintain the equilibrium of the mechanism. Virtual displacement = δθ, δxD, Work done by Ex, Ey, A is zero By virtual work principle, δU = δUM + δUp = 0 M δθ + P δxD = 0 δxD = -3l sin θ δθ can be obtained from geometry M = 3Pl sin θ
  • 177.
    R. Ganesh Narayanan176 Beer/Johnston A hydraulic lift table consisting of two identical linkages and hydraulic cylinders is used to raise a 1000-kg crate. Members EDB and CG are each of length 2a and member AD is pinned to the midpoint of EDB. Determine the force exerted by each cylinder in raising the crate for θ = 60o, a = 0.70 m, and L = 3.20 m. Work done is zero for Ex, Ey, Fcg; Work done by W, FDH will be considered
  • 178.
    R. Ganesh Narayanan177 W, δy are in opposite direction, (-)sign will come FDH, δs are in same direction, (+) sign will come 1) 2) Express δy, δs in terms of δθ δy = 2a cos δθ; δs = (aL sinθ/s) δθ ---- (1) Substituting δy & δs in (1) gives, -(1/2) W (2a cos δθ) + (FDH) (aL sinθ/s) δθ = 0 FDH = W (s/L) cot θ 3) Apply numerical data FDH = (1000 X 9.81) (2.91/3.2) cot 60 = 5.15 kN ‘S’ is obtained from this triangle
  • 179.
    R. Ganesh Narayanan178 The mechanism shown is acted upon by the force P. Derive an expression for the magnitude of the force Q required for equilibrium. Beer/Johnston YF W.D. by Ay, Bx, By will be zero δ U = 0 => +Q (δXA) - P (δYF) Find δXA and δYF in terms of δθ (Check calculation of δXA and δYF) δ U = Q(2l cosθ δθ) - P(3l sinθ δθ) = 0 Q Bx By P Ay δYf XAδXA δθ x y
  • 180.
    R. Ganesh Narayanan179 Work of force using finite displacement Work of force F corresponding to infinitesimal displacement, dr = dU = F. dr Work of F corresponding to a finite displacement of particle from A1 to A2 and covering distances S1, S2, U1-2 = ∫ F . dr or U1-2 = ∫ (F cosα) ds = F (S2-S1) A2 A1 S2 S1 S1, S2 – distance along the path traveled by the particle Area under curve = U1-2 Similarly, work of a couple of moment M, dU = M dθ U1-2 = ∫M dθ = M (θ2-θ1) θ2 θ1
  • 181.
    R. Ganesh Narayanan180 Work of a weight yW WyWy WdyU WdydU y y ∆−= −= −= −= ∫→ 21 21 2 1 Work is equal to product of W and vertical displacement of CG of body; Body moves upwards; Body moving downwards will have +ve work done ( ) 2 22 12 12 1 21 2 1 kxkx dxkxU dxkxFdxdU x x −= −= −=−= ∫→ Work of a spring F = k x k – spring constant, N/m +ve work done is expected if x2 < x1, i.e., when spring is returning to its un-deformed position ( ) xFFU ∆212 1 21 +−=→
  • 182.
    R. Ganesh Narayanan181 Potential Energy Work of a weight: 2121 WyWyU −=→ The work is independent of path and depends only on positions (A1, A2) or Wy potential energy of the body with respect to the force of gravity W r== gVWy ( ) ( )2121 gg VVU −=→ Vg1 < Vg2 => PE is increasing with displacement in this case, work done is negative Work is positive, if PE decreases Unit of PE – Joule (J)
  • 183.
    R. Ganesh Narayanan182 Work of a spring ( ) ( ) = −= −=→ e ee V VV kxkxU 21 2 22 12 12 1 21 potential energy of the body with respect to the elastic force F r Here PE increases, work done is (-ve) Now in general, it is possible to find a function V, called potential energy, such that, dU = -dV U1-2 = V1 – V2 => A force which satisfies this eqn. is conservative force Work is independent of path & negative of change in PE for the cases seen
  • 184.
    R. Ganesh Narayanan183 Potential energy & equilibrium Considering virtual displacement, δU = -δV = 0 => (dV / dθ) = 0 => position of the variable defined by single independent variable, θ In terms of potential energy, the virtual work principle states that if a system is in equilibrium, the derivative of its total potential energy is zero (δV/δθ) = 0 Example: Initial spring length = AD Work is done only by W, F For equilibrium, δU = (δVe + δVg) 1 2
  • 185.
    R. Ganesh Narayanan184 Total potential energy of the system, V = Vg + Ve For ‘W’ For ‘F’ dv/dθ = 4kl2sinθ cosθ – Wl sinθ = 0 Θ = 0 and θ = cos-1 (W/4kl)
  • 186.
    R. Ganesh Narayanan185 PO C k B A θ b b b b Two uniform links of mass, m are connected as shown. As the angle θ increases with P applied in the direction shown, the light rod connected at A, passes thro’ pivoted collar B, compresses the spring (k). If the uncompressed position of the spring is at θ = 0, find the force which will produce equilibrium at the angle θ Compression distance of spring, x = movement of ‘A’ away from B; X = 2b sin θ/2 δU = (δVe + δVg) Find Ve, δVe; Vg, δVg; δU (of P) Vg = 0 Ve = ½ k x2; Vg = mgh δU = P δ (4b sin θ/2) 2Pb cos θ/2 δθ = 2kb2sin θ/2 cos θ/2 δθ + mgb sin θ/2 δθ P = kb sin θ/2 + ½ mg tan θ/2 4bsinθ/2
  • 187.
    R. Ganesh Narayanan186 Meriam/Kraige, 7/39 For the device shown the spring would be un-stretched in the position θ=0. Specify the stiffness k of the spring which will establish an equilibrium position θ in the vertical plane. The mass of links are negligible. Spring stretch distance, x = 2b-2b cos θ Ve = ½ k [(2b)(1-cos θ)]2 = 2kb2 (1-cos θ)2 Vg = -mgy = -mg (2bsinθ) = -2mgbsin θ V = 2kb2 (1-cos θ)2 - 2mgbsin θ For equilibrium, dv / dθ = 4kb2(1-cos θ) sin θ - 2mgb cosθ = 0 => K = (mg/2b) (cot θ/1-cos θ) k b b b θ m y Vg = 0
  • 188.
    R. Ganesh Narayanan187 0= θd dV 0= θd dV d2V / dθ2 < 0d2V / dθ2 > 0 Must examine higher order derivatives and are zero AB AB Stability of equilibrium (one DOF ‘θ’)
  • 189.
    R. Ganesh Narayanan188 Knowing that the spring BC is un-stretched when θ = 0, determine the position or positions of equilibrium and state whether the equilibrium is stable, unstable, or neutral. Beer/Johnston ( ) ( )θθ cos2 2 1 2 2 1 bmgak mgyks VVV ge += += += ( )( ) ( )( )( ) θ θθθ θθ θ 8699.0 m3.0sm81.9kg10 m08.0mkN4 sin sin0 2 22 2 = == −== mgb ka mgbka d dV °=== 7.51rad902.00 θθ
  • 190.
    R. Ganesh Narayanan189 ( )( ) ( )( )( ) θ θ θ θ cos43.296.25 cosm3.0sm81.9kg10m08.0mkN4 cos 22 2 2 2 −= −= −= mgbka d Vd at θ = 0: 083.32 2 <−= θd Vd unstable at θ = 51.7o: 036.72 2 >+= θd Vd stable
  • 191.
    R. Ganesh Narayanan190 Spring AB of constant 2 kN/m is attached to two identical drums as shown. Knowing that the spring is un-stretched when θ = 0, determine (a) the range of values of the mass m of the block for which a position of equilibrium exists, (b) the range of values of θ for which the equilibrium is stable. Beer/Johnston (10.81) A B A B
  • 192.
    R. Ganesh Narayanan191 (Sin θ varies from 0 to 1) (Cos θ varies from 1 to 0)
  • 193.
    R. Ganesh Narayanan192 XV = (∫ xc dv) YV = (∫ yc dv) ZV = (∫ zc dv) Centroid of volume: XA = (∫ xc dA) YA = (∫ yc dA) ZA = (∫ zc dA) Centroid of area: Moments of inertia : The moment of inertia of an object about a given axis describes how difficult it is to change its angular motion about that axis. First moment of volume w.r.t. ‘yz’ plane Symmetry plane Centroid of volume ∫ xc dv = 0
  • 194.
    R. Ganesh Narayanan193 Consider a beam subjected to pure bending. Internal forces vary linearly with distance from the neutral axis which passes through the section centroid. X-axis => neutral axis => centroid of section passes ∆F = k y ∆A vary linearly with distance ‘y’ momentsecond momentfirst0 22 == ==== ∆=∆ ∫∫ ∫∫ dAydAykM QdAydAykR AkyF x r ∆MX = y ∆F = k y2 ∆A; Moment of inertia of beam section w.r.t x-axis, IX (+VE)
  • 195.
    R. Ganesh Narayanan194 Second moments or moments of inertia of an area with respect to the x and y axes, ∫∫ == dAxIdAyI yx 22 For a rectangular area, 3 3 1 0 22 bhbdyydAyI h x === ∫∫ IY = ∫ x2 dA = ∫ x2 h dx = 1/3 b3h 0 b Rectangular moment of inertia
  • 196.
    R. Ganesh Narayanan195 The polar moment of inertia is an important parameter in problems involving torsion of cylindrical shafts and rotations of slabs. ∫= dArJ 2 0 The polar moment of inertia is related to the rectangular moments of inertia, ( ) xy II dAydAxdAyxdArJ += +=+== ∫∫∫∫ 22222 0 Polar moment of inertia
  • 197.
    R. Ganesh Narayanan196 • Consider area A with moment of inertia Ix. Imagine that the area is concentrated in a thin strip parallel to the x axis with equivalent Ix. A I kAkI x xxx == 2 kx = radius of gyration with respect to the x axis A J kAkJ A I kAkI O OOO y yyy == == 2 2 222 yxO kkk += Radius of gyration
  • 198.
    R. Ganesh Narayanan197 Beer/Johnston ( ) h hh x yy h h b dyyhy h b dy h yh bydAyI 0 43 0 32 0 22 43       −= −= − == ∫∫∫ 12 3 bh I x= Determine the moment of inertia of a triangle with respect to its base. For similar triangles, dy h yh bdA h yh bl h yh b l − = − = − = dA = l dy Determination of MI by area of integration
  • 199.
    R. Ganesh Narayanan198 y MI of rectangular area: dA = bdy x b h y dy Ix = ∫ y2 dA = ∫ y2 bdy = 1/3 bh3; Iy = 1/3 hb3 0 h MI - Ix and Iy for elemental strip: y dIx = 1/3 dx (y3) = 1/3 y3 dx dIy = x2dA = x2y dx or 1/3 x3dy x Y X dA = Ydx From this, MI of whole area can be calculated by integration dx dy About centroidal axis (X, Y): Ix = 1/12 bh3; Iy = 1/12 b3h X Y
  • 200.
    R. Ganesh Narayanan199 y x a b y = k x5/2 Find MI w.r.t Y axis Beer/Johnston (9.1)
  • 201.
    R. Ganesh Narayanan200 Triangle: bh3/12 (about base) Circular area: π/4 r4 (about dia) Rectangular area: bh3/3 (about base)
  • 202.
    R. Ganesh Narayanan201 Parallel axis theorem • Consider moment of inertia I of an area A with respect to the axis AA’ ∫= dAyI 2 • The axis BB’ passes through the area centroid and is called a centroidal axis. ( ) ∫∫∫ ∫∫ +′+′= +′== dAddAyddAy dAdydAyI 22 22 2 2 AdII += dA A A’ y CB B’ d y’ C – Centroid BB’ – Centroidal axis MI of area with centroidal axis 0 Parallel axis theorem Jo = Jc + Ad2 First moment of area
  • 203.
    R. Ganesh Narayanan202 Moments of Inertia of Composite Areas The moment of inertia of a composite area A about a given axis is obtained by adding the moments of inertia of the component areas A1, A2, A3, ... , with respect to the same axis. x y It should be noted that the radius of gyration of a composite area is not equal to sum of radii of gyration of the component areas
  • 204.
    R. Ganesh Narayanan203 MI of some common geometric shapes
  • 205.
    R. Ganesh Narayanan204 Moment of inertia IT of a circular area with respect to a tangent to the circle T, ( ) 4 4 5 224 4 12 r rrrAdIIT π ππ = +=+= Application 1: Application 2: Moment of inertia of a triangle with respect to a centroidal axis, ( ) 3 36 1 2 3 1 2 13 12 12 2 bh hbhbhAdII AdII AABB BBAA = −=−= += ′′ ′′ IDD’ = IBB ’ + ad’2 = 1/36 bh3 + 1/2bh (2/3h)2 = ¼ bh3
  • 206.
    R. Ganesh Narayanan205 Find the centroid of the area of the un-equal Z section. Find the moment of inertia of area about the centroidal axes shames Ai xi yi Aixi Aiyi 2x1=2 1 7.5 2 15 8x1=8 2.5 4 20 32 4x1=4 5 0.5 20 2 ΣAi = 14 ΣAixi = 42 ΣAiyi = 49 1 2 3 Xc = 42/14 = 3 in.; Yc = 49/14 = 3.5in y x 1 6 2 1 4 1 1 2 3 Xc, Yc Ixcxc = [(1/12)(2)(13)+(2)(42)] + [(1/12)(1)(83)+(8)(1/2)2] + [(1/12)(4)(13)+(4)(32)] = 113.16 in4 Similarly, Iycyc = 32.67 in4
  • 207.
    R. Ganesh Narayanan206 Beer/Johnston: Determine the moment of inertia of the shaded area with respect to the x axis. Rectangle: ( )( ) 46 3 13 3 1 mm102.138120240 ×=== bhIx 3 Half-circle: moment of inertia with respect to AA’, ( ) 464 8 14 8 1 mm1076.2590 ×===′ ππrI AA
  • 208.
    R. Ganesh Narayanan207 ( )( ) ( ) 23 2 2 12 2 1 mm1072.12 90 mm81.8a-120b mm2.38 3 904 3 4 ×= == == === ππ ππ rA r a moment of inertia with respect to x’, ( )( ) 46 362 mm1020.7 1072.121076.25 ×= ××=−= ′′ AaII AAx =25.76x106 – (12.72x103) (38.2)2 moment of inertia with respect to x, ( )( ) 46 2362 mm103.92 8.811072.121020.7 ×= ×+×=+= ′ AbII xx 46 mm109.45 ×=xI xI = 46 mm102.138 × − 46 mm103.92 ×
  • 209.
    R. Ganesh Narayanan208 Product of inertia, Ixy ∫= dAxyI xy [Similar to Ixx (or Ix), Iyy (or Iy)] When the x axis, the y axis, or both are an axis of symmetry, the product of inertia is zero. The contributions to Ixy of dA and dA’ will cancel out Parallel axis theorem for products of inertia: AyxII xyxy += Centroid ‘C’ is defined by x, y
  • 210.
    R. Ganesh Narayanan209 Moment of inertia, Product of inertia about rotated axes Given ∫ ∫∫ = == dAxyI dAxIdAyI xy yx 22 we wish to determine moments and product of inertia with respect to new axes x’ and y’ x, y rotated to x’, y’ θθ θθ θθ 2cos2sin 2 2sin2cos 22 2sin2cos 22 xy yx yx xy yxyx y xy yxyx x I II I I IIII I I IIII I + − = + − − + = − − + + = ′′ ′ ′ The change of axes yields Ix’+Iy’ = Ix+Iy
  • 211.
    R. Ganesh Narayanan210 y xa θ Imax Imin •Assume Ixx, Iyy, Ixy are known for the reference axes x, y •At what angle of θ, we have maximum and minimum ‘I’ •Minimum angle will be at right angles to maximum angle •These axes are called Principal axes & MI are Principal MI Principal axes & Principal MI Imax, min = (Ix+Iy/2) ± (Ix-Iy/2)2 + Ixy2 tan 2θ = 2Ixy / (Iy-Ix)
  • 212.
    R. Ganesh Narayanan211 For the section shown, the moments of inertia with respect to the x and y axes are Ix = 10.38 cm4 and Iy = 6.97 cm4. Determine (a) the orientation of the principal axes of the section about O, and (b) the values of the principal moments of inertia about O. Apply the parallel axis theorem to each rectangle, ( )∑ += ′′ AyxII yxxy Note that the product of inertia with respect to centroidal axes parallel to the xy axes is zero for each rectangle. 56.6 28.375.125.15.1 0005.1 28.375.125.15.1 cm,cm,cm,cmArea,Rectangle 42 −= −−+ −+− ∑ Ayx III II I Ayxyx
  • 213.
    R. Ganesh Narayanan212 ( ) °°= += − − −= − −= 255.4and4.752 85.3 97.638.10 56.622 2tan m yx xy m II I θ θ °=°= 7.127and7.37 mm θθ ( )2 2 2 2 minmax, 56.6 2 97.638.10 2 97.638.10 22 −+      − ± + = +      − ± + = xy yxyx I IIII I 4 min 4 max cm897.1 cm45.15 == == II II b a