ติวออนไลนฟรี! กับเกงดีดอทคอม

                                                         เฉลยขอสอบ O – Net
                                                  วิชาวิทยาศาสตร กุมภาพันธ 2549

ตอนที่ 1 ขอสอบปรนัยแบบ 4 ตัวเลือก จํานวน 32 ขอ
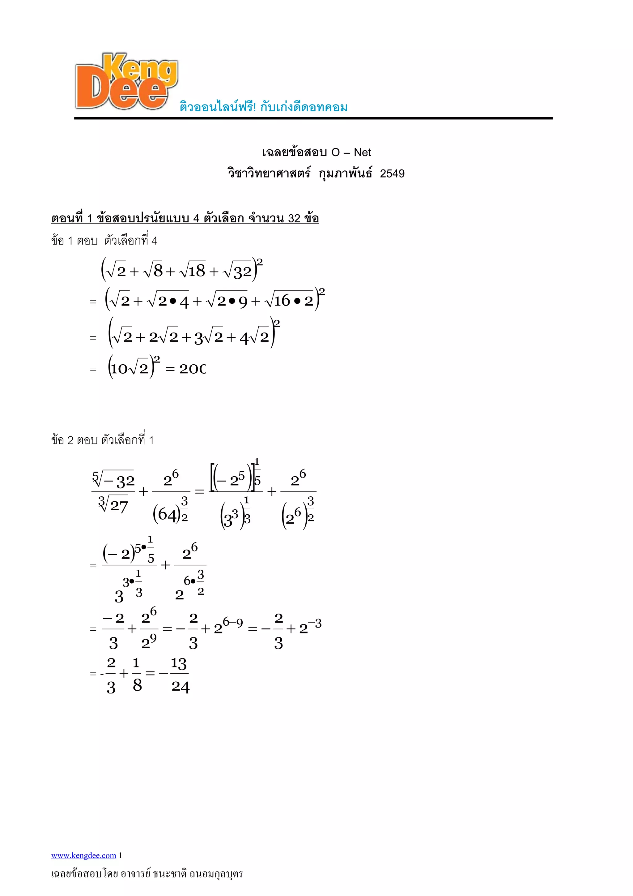
ขอ 1 ตอบ ตัวเลือกที่ 4
          ( 2+            8 + 18 + 32                   )2
         = ( 2+               2 • 4 + 2 • 9 + 16 • 2                 )2
         =    ( 2 + 2 2 + 3 2 + 4 2)                         2


              (
         = 10 2 = 200     )2

ขอ 2 ตอบ ตัวเลือกที่ 1

                                                [( )] + 2
                                                    1
         5                         6              5 5            6
              − 32     2                        −2
             3
                   +     3
                           =                        1              3
               27
                     (64)2                        (3 ) (2 )
                                                  3 3            6 2

                          1

         =
           (− 2)     5•
                          5
                               +
                                       26
                      1                     3
                   3•                  6•
                  3 3              2        2

           − 2 26     2         2
         =    + 9 = − + 26−9 = − + 2−3
            3 2       3         3
           2 1     13
         =- + =−
           3 8     24




www.kengdee.com 1
เฉลยขอสอบโดย อาจารย ธนะชาติ ถนอมกุลบุตร
ติวออนไลนฟรี! กับเกงดีดอทคอม

                                           เฉลยขอสอบ O – Net
                                    วิชาวิทยาศาสตร กุมภาพันธ 2549

ขอ 3 ตอบตัวเลือก 3
         จากโจทยนํามาสรางแผนภาพไดดังรูป




        ∴ A ∩ B = {5,7,8}             ซึ่ง {5,7,8} ⊆ {0,1,3,5,7,8}




ขอ 4 ตอบ ตัวเลือก 4
         ฟงกชันจาก B ไป A จะไดวาโดเมนของฟงกชันตองอยูในเซต B และเรนจของฟงกชนตองอยูในเซต A โดยที่
                                                                                     ั
         โดเมนหนึงตัวโดยที่สามารถจับคูกับเรนจได 1 ตัวเทานั้น
                   ่
         พิจารณาตัวเลือกที่ 1 ผิดเพราะ D f ∉ Β
           พิจารณาตัวเลือกที่ 2 ผิดเพราะ D f หนึงตัว จับ R f ไดมากกวา 1 ตัว
                                                ่
           พิจารณาตัวเลือกที่ 3 ผิดเพราะ D f ∉ Β




www.kengdee.com 2
เฉลยขอสอบโดย อาจารย ธนะชาติ ถนอมกุลบุตร
ติวออนไลนฟรี! กับเกงดีดอทคอม

                                                  เฉลยขอสอบ O – Net
                                           วิชาวิทยาศาสตร กุมภาพันธ 2549

ขอ 5. ตอบ ตัวเลือก 4
                            2
           จาก f (x) = -x                      (    )
                                + 4x − 10 = − x2 − 4x − 10

                   = - (x2 − 4x + 4 − 4) − 10
                  = - (x − 2)2 + 4 − 10 = −(x − 2)2 − 6
           พบวา กราฟเปนพาราโบลาคว่ําจุดยอดอยูที่จุด (2,−6)
           ∴ กราฟนี้ไมมีจดต่ําสุด แตมีจุดสูงสุดอยูที่จด (2,−6)
                             ุ                           ุ
           จึงไดวา คาสูงสุด = - 6
                                           2
                     ⎛   ⎞    ⎛   ⎞    ⎛   ⎞
           พิจารณา f ⎜ 9 ⎟ = −⎜ 9 ⎟ + 4⎜ 9 ⎟ − 10
                     ⎜ 2⎟     ⎜ 2⎟     ⎜ 2⎟
                     ⎝   ⎠    ⎝   ⎠    ⎝   ⎠
              9 12
        =− +            − 10
              2      2
        = -4.5+6 2 -10
        ≈ -4.5+6 (1 .414) − 10
         ≈ -6.016 < -6


ขอ 6 ตอบ ตัวเลือก 2
         จาก y = -x 2 = 12 x − 38 = −(x2 + 12 X ) − 38
                          = - (x2 − 12 x + 36 − 36) − 38
                          = - (x − 6)2 + 36 − 38 = −(x − 6)2 − 2
         ∴ จุดวกกลับ P คือ จุดยอดของสมการพาราโบรา
          f ( x) = −( x − 6) − 2 คือจุด (6,-2)
                            2


                                       v
           ∴   ระยะทางของ             po = (6 − 0)2 + ((− 2) − 0)2
                                        = 36 + 4 = 40
                                       = 2 10 หนวย



www.kengdee.com 3
เฉลยขอสอบโดย อาจารย ธนะชาติ ถนอมกุลบุตร
ติวออนไลนฟรี! กับเกงดีดอทคอม

                                             เฉลยขอสอบ O – Net
                                      วิชาวิทยาศาสตร กุมภาพันธ 2549

ขอ 7 ตอบ ตัวเลือก 2
         จากกราฟผานจุด (-1,2) และ (1,2)
         พิจารณาตัวเลือกที่ 1 แทนจุด (1,2)
         ได f(x) = 1- 1 = 0 ≠ 2∴ ตัวเลือก 1 ผิด
         พิจารณาตัวเลือกที่ 3 แทนจุด (1,2)
         ได f(x) = 1 − 1 = 0 ≠ 2∴ ตัวเลือก 3 ผิด
         พิจารณาตัวเลือกที่ 4 แทนจุด (-1,2)
         ได f(x) = 1 + (− 1) = 0 ≠ 2∴ตัวเลือก 4 ผิด
         พิจารณาตัวเลือกที่ 2 แทนจุด (-1,2)
         ได f(x) = 1 + − 1 = 2
         แทนจุด (1,2) ได f(x) = 1+ 1 =2

ขอ 8 ตอบ ตัวเลือก 1
         พิจารณาตัวเลือกที่ 1
                    5
           r=       4 = 5 × 1 = 5 = 0.41667∈ (0.3,0.5)
                    3 4 3 12


ขอ 9 ตอบ ตัวเลือก 1
         จาก a 10 = s10 − s9
         = [3(10)2 + 2] − [3(9)2 + 2]
         = 302-245
         = 57




www.kengdee.com 4
เฉลยขอสอบโดย อาจารย ธนะชาติ ถนอมกุลบุตร
ติวออนไลนฟรี! กับเกงดีดอทคอม

                                                     เฉลยขอสอบ O – Net
                                              วิชาวิทยาศาสตร กุมภาพันธ 2549

ขอ 10 ตอบ ตัวเลือก 1.
           ∑ (1 + (− 1) )k
            50
                              k

            k =1

           = 0 + 4 + 0 + 8 + 0 +12 + …+ 0 + 100
           = 4 + 8 +12 …+100

         เปนอนุกรมเลขคณิตที่มี a 1 =4, d=4, n=25

           ∴ ∑ (1 + (− 1 ) )k =
                   50
                                           25
                          k
                                              (2(4) + (25 − 1 ) • 4)
                   k =1                    2
                                  25
                          =          (8 + 96) = 1300
                                  2


ขอ 11 ตอบ ตัวเลือก 4.
         จากโจทย เปนลําดับเลขคณิตมี a 1 =100 , d=10, a n =340
         จาก a n = a 1 + (n-1) d
                 340 = 100 + (n-1) (10)
                 N = 25
        ∴ วันที่ของเดือนมกราคมที่ปาจุขายไดกําไรเฉพาะวันนัน 340 บาท คือ 3+25+-1= 27
                                                            ้




www.kengdee.com 5
เฉลยขอสอบโดย อาจารย ธนะชาติ ถนอมกุลบุตร
ติวออนไลนฟรี! กับเกงดีดอทคอม

                                                       เฉลยขอสอบ O – Net
                                                วิชาวิทยาศาสตร กุมภาพันธ 2549

ขอ 12 ตอบ ตัวเลือก 3
         กําหนดให 3 พจนแรกของลําดับเลขคณิตคือ a-d, a , a+d
         ∴ ผลบวก 3 พจน = (a-d) + a +(a+d) = 3a
         จากโจทย ผลบวก 3 พจนบวกแรก           = 15
         ∴ จะได                        3a = 15
                                        a =5
         จากโจทย ผลคูณของสามพจนแรก            = 80 จะได
                      ( a-d )( a )( a+d )      = 80
                      ( 5 – d )( 5 )(5+d )     = 80
                               (25- d 2 )5     = 80
                               25 - d 2        = 16
                                        d2 = 9

ขอ 13 ตอบ ตัวเลือก 3
                                  (x )
                                   2
                                             2(4x )
         จาก                  2          =
                                              44
                                   x2
                          ⎛ 1⎞                24 x
                          ⎜ 22 ⎟         =
                          ⎜ ⎟
                          ⎝ ⎠                (2 )
                                                2 4

                                  x2
                                           24x
                              2   2
                                         =
                                           28
                                  x2
                              2 = 2
                                             24 x − 8
                              x2
                    ∴ จะได            = 4x – 8
                              2
                               x 2 = 8x − 16
                    x2 − 8x + 16 = 0
                    (x − 4)(x − 4) = 0

                                  x=4

www.kengdee.com 6
เฉลยขอสอบโดย อาจารย ธนะชาติ ถนอมกุลบุตร
ติวออนไลนฟรี! กับเกงดีดอทคอม

                                               เฉลยขอสอบ O – Net
                                        วิชาวิทยาศาสตร กุมภาพันธ 2549

ขอ 14 ตอบตัวเลือก 4
        จัดเรียงขอมูลใหมจากนอยไปมากได 10,10,12,13,15
        ได Med = 12 , Mode = 10
         และ   X    = 10 + 10 + 12 + 13 + 15
                                5
                    = 12


ขอ 15 ตอบตัวเลือก 4
         พิจารณาเปอรเซ็นไทลที่ 25 ของคะแนนสอบเทากับ 35 คะแนน P 25 = 35
                                 25
           ตําแหนงของ P 25 =       (39 + 1) = 10
                                100
           หมายความวาจํานวนนักเรียนที่มีคะแนนนอยกวาหรือเทากับ 35 คะแนน มีทงสิ้น 10 คน ซึงจากโจทย
                                                                               ั้           ่
           พบวาหนึ่งในนั้นเปนนักเรียนที่ไดคะแนน 35 คะแนนพอดี 1 คน
           จากโจทยมีนกเรียนที่ไดคะแนนนอยกวาหรือเทากับ 80 คะแนน 30 คน จะไดวามีนักเรียนที่คะแนนนอยกวา
                        ั                                                         
           หรือเทากับ 80 คะแนน แตมากกวา 35 คะแนนอยู 30 – 10 = 20 คน




         ∴ จํานวนนักเรียนที่สอบไดคะแนนชวง 35 – 80 คะแนน = 1 + 20 = 21 คน




www.kengdee.com 7
เฉลยขอสอบโดย อาจารย ธนะชาติ ถนอมกุลบุตร
ติวออนไลนฟรี! กับเกงดีดอทคอม

                                              เฉลยขอสอบ O – Net
                                       วิชาวิทยาศาสตร กุมภาพันธ 2549

ขอ 16 ตอบ ตัวเลือกที่ 3
         ขอสอบตอนที่ 1 แตละขอสามารถตอบได 2 วิธี (จริง,เท็จ) 2 มี 5 ขอ
         ∴ รวมมีวธีการเลือกทั้งหมด 2 × 2 × 2 × 2 × 2 = 2 5
                   ิ
         ขอสอบตอนที่ 2 มี 5 ขอแตละขอสามารถเลือกได 4 วิธี
         ∴ รวมมีวิธีการเลือกทั้งหมด 4 × 4 × 4 × 4 × 4 = 4 5
         ∴ ขอสอบชุดนีมีวิธีในการเลือกตอบทั้งหมด = 2 5 •45 วิธี
                         ้

ขอ 17 ตอบ ตัวเลือกที่ 2
         พิจารณาตัวเลือกที่ 1 ถา a = -1, b=0 จะไดวา -1 < 0 จริง แต(-1) 2 < (0) 2
         ∴ ตัวเลือกที่ 1 ผิด


           พิจารณาตัวเลือกที่ 2 ถา a = -2, b=-1 จะไดวา -2<-1<0 จริง และ (-2) (-1) < (-2) 2 ดวย
           ∴ ตัวเลือกที่ 2 ถูก


           พิจารณาตัวเลือกที่ 3 ถา a = 2, b=-5 จะไดวา 2 < − 5 จริงแต 2 < -5
           ∴ ตัวเลือกที่ 3 ผิด


           พิจารณาตัวเลือกที่ 4 ถา a = 2, b=-5 จะไดวา (2)2 < (− 5)2 จริงแต 2 < -5
           ∴ ตัวเลือกที่ 4 ผิด




www.kengdee.com 8
เฉลยขอสอบโดย อาจารย ธนะชาติ ถนอมกุลบุตร
ติวออนไลนฟรี! กับเกงดีดอทคอม

                                             เฉลยขอสอบ O – Net
                                      วิชาวิทยาศาสตร กุมภาพันธ 2549

ขอ 18 ตอบ ตัวเลือกที่ 3
           พิจารณา 21000 = 210    ( )100 = (1024)100
                              3 600(36 ) = (729)100
                                       100
           พิจารณา
                                     10 300= (103 ) = (1000100
                                                  100
           พิจารณา                                         )
           เนื่องจาก 729100 < 1000 < 1024
                                 100     100

           ∴   3 600< 10300 < 21000

ขอ 19 ตอบ ตัวเลือกที่ 4
         จาก X = sin 65 o จะไดวา 0<x<1
         ∴ จะไดวา x2 < x ………….. (1) จาก (1 ) ทําใหตัวเลือกที่ 1 ผิด
                            x
           พิจารณา x กับ
                           1+ x
           จาก 1 < 1+x
                     1   1
           จะได       >
                     1 1+ x
                    x    x
                       >      …………..(2)
                    1 1+ x
           จาก (2) พบวาตัวเลือกที่ 2 ผิด
                                x2
           พิจารณา x 2 กับ
                               1+ x
           จาก 0<x 2 < 1 ดวย
           และจาก       1 + < 1+x 2
                 1
           ∴       > 1 2
                 1 1+ x
                   2
           x 2 > x 2 ………(3)
                1+ x
           จาก (3) พบวาตัวเลือกที่ 3 ผิด พบวาตัวเลือกที่สอดคลองกับ (1),(2),(3) คือ ตัวเลือกที่ 4


www.kengdee.com 9
เฉลยขอสอบโดย อาจารย ธนะชาติ ถนอมกุลบุตร
ติวออนไลนฟรี! กับเกงดีดอทคอม

                                          เฉลยขอสอบ O – Net
                                   วิชาวิทยาศาสตร กุมภาพันธ 2549

ขอ 20 ตอบ ตัวเลือกที่ 4
        กําหนดให Δ = x − 1 ; Δ ≥ 0 ในสมการ
          x −1 −1 2
                 ≤      ได
            x −1   3
        Δ −1 2
             ≤
          Δ    3
       3Δ −3 ≤ 2Δ
            Δ    ≤ 3 แทนคา Δ = x − 1
                       ได x − 1 ≤ 3
                       ได -3 ≤ x − 1 ≤ 3
                         -2 ≤ x ≤ 4 แตเนื่องจาก x ∈ II
                 ∴ จะได A = {− 2,−1,0,1,2,3,4}
                       n(A) = 7




www.kengdee.com 10
เฉลยขอสอบโดย อาจารย ธนะชาติ ถนอมกุลบุตร
ติวออนไลนฟรี! กับเกงดีดอทคอม

                                             เฉลยขอสอบ O – Net
                                      วิชาวิทยาศาสตร กุมภาพันธ 2549

ขอ 21 ตอบ ตัวเลือก 1




BC
   = tan30o
AB
BC = AB tan30o
      v
   = AB × 1
           3
   = AB
       3
                         1
จากโจทยจะไดวา           × AB × BC = 24 3
                         2
                         1        AB
                           × AB ×    = 24 3
                         2         3
                        (AB ) 2
                                   ( )(
                                  = 2 3 24 3   )
                        (AB ) 2
                                  = 144
                        AB = 12




www.kengdee.com 11
เฉลยขอสอบโดย อาจารย ธนะชาติ ถนอมกุลบุตร
ติวออนไลนฟรี! กับเกงดีดอทคอม

                                            เฉลยขอสอบ O – Net
                                     วิชาวิทยาศาสตร กุมภาพันธ 2549

ขอ 22 ตอบ ตัวเลือกที่ 2




จากรูป AC            =                      (
                         AB2 − BC 2 = 202 − 10 3     )
                                                     2



                     =   400− 300 = 100 = 10

           จาก ΔABC จะไดวา sin β = AC = 10 = 1
                                       AB       20       2
                              CD
           จาก ΔBCD จะไดวา
                                 = sin β
                              BC
                                  1
           ∴ CD = BCsin β = 10 3 × = 5 3
                                  2




www.kengdee.com 12
เฉลยขอสอบโดย อาจารย ธนะชาติ ถนอมกุลบุตร
ติวออนไลนฟรี! กับเกงดีดอทคอม

                                            เฉลยขอสอบ O – Net
                                     วิชาวิทยาศาสตร กุมภาพันธ 2549

ขอ 23 ตอบ ตัวเลือก 4




จากโจทย sinB = 3sinA
                       AC     BC
                 จะได    =3
                       AB     AB
                 ∴ AC = 3BC
จากโจทยพื้นที่ของ Δ ABC = 15 หนวย
            1
จะได         × AC × BC = 15
            2
         1
           × (3AB) × BC = 15
         2
                3
                  (BC )2 = 15
                2
                 BC = 10
จาก Δ ABC จะได         AB =    AC 2 + BC 2 =   (3BC )2 + (BC )2
                           =     9 • 10 + 10 = 100 = 10


ขอ 24 ตอบ ตัวเลือก 1
จาก       a 20+2a − 3 = 0
         a 20= 3 − 2a
พิจารณา 1+a+a 2 +...a19 เปนอนุกรมเขาคณิตที่มี a 1 =1,r = a

∴   Sn   =
              (
           1 1 − a20    ) = 1(1 − (3 − 2a))
              1−a                1−a

         = − 2 + 2a = − 2(1 − a) = −2
             1−a       (1 − a)
www.kengdee.com 13
เฉลยขอสอบโดย อาจารย ธนะชาติ ถนอมกุลบุตร
ติวออนไลนฟรี! กับเกงดีดอทคอม

                                              เฉลยขอสอบ O – Net
                                       วิชาวิทยาศาสตร กุมภาพันธ 2549

ขอ 25 ตอบ ตัวเลือก 2
         จากเหตุขอ (1) เขียนแผนภาพได




           จากเหตุ ขอ (2) เขียนแผนภาพได




           จากเหตุขอ (3) เขียนแผนภาพได 2 แบบคือ




           ∴   จากเหตุทั้ง 3 ขอ เขียนแผนภาพไดดังนี้




∴   ตัวเลือกที่สอดคลองกับแผนภาพทัง 2 แบบคือตัวเลือกที่ 2
                                  ้


www.kengdee.com 14
เฉลยขอสอบโดย อาจารย ธนะชาติ ถนอมกุลบุตร
ติวออนไลนฟรี! กับเกงดีดอทคอม

                                             เฉลยขอสอบ O – Net
                                      วิชาวิทยาศาสตร กุมภาพันธ 2549

ขอ 26 ตอบ ตัวเลือก 1
         เลขทาย 2 ตัว สามารถเปนไปได
         n(s)=10 × 10 = 100 หมายเลข และหมายเลขทีมีหลักหนวยเปนเลขคี่
                                                   ่
         และหลักสิบมากกวาหลักหนวยอยู 1คือ {21,43,65,87,}
         ∴ n(E) =4

           ∴   P(E)= n(E) = 4 = 0.04
                     n(S ) 100


ขอ 27 ตอบ ตัวเลือก 4
         พิจารณาตัวเลือกที่ 1
         จากตาราง ชวงที่มีความถี่สงสุด คือชวง 60 – 69
                                   ู
         ∴ ตัวเลือกที่ 1 ถูกตอง
         พิจารณาตัวเลือกที่ 2
         จากตารางนักเรียนทีมีนาหนักต่ํากวา 50 kg มีทั้งสิน 4+5 = 9 คน
                              ่ ้ํ                        ้
         ∴ ตัวเลือกที่ 2 ถูกตอง
         พิจารณาตัวเลือกที่ 3
         จากตาราง ชวง 50-59 kg มีความถี=13 นักเรียนทังหมดมีจํานวน 4+5+13+17+6+5=50
                                           ่                ้
                                                   13
           ∴   นักเรียนที่มนาหนักในชวง 50-59 มี
                           ี ้ํ                       × 100   = 26%
                                                   50
           พิจารณาตัวเลือกที่ 4
           จากตารางนักเรียนทีมีนาหนักอยูในชวง 80-89 มี 5 คน จากนักเรียนทั้งหมด 50 คน
                               ่ ้ํ
                                                       5
           ∴   นักเรียนที่มนาหนักตั้งแต 80-89 คน มี
                           ี ้ํ                           × 100 = 10%
                                                       50
           ∴ นักเรียนที่มนาหนักมากกวา 80 kg มีนอยกวา หรือ เทากับ 10 %
                          ี ้ํ
           ∴ ตัวเลือกที่ 4 ผิด




www.kengdee.com 15
เฉลยขอสอบโดย อาจารย ธนะชาติ ถนอมกุลบุตร
ติวออนไลนฟรี! กับเกงดีดอทคอม

                                            เฉลยขอสอบ O – Net
                                     วิชาวิทยาศาสตร กุมภาพันธ 2549

ขอ 28 ตอบ ตัวเลือก 3
                                                  med
ใหบุตรทั้ง 4 คนมีนาหนักเรียงจากนอยไปหามากได a,b, ↓ c,d
                   ้ํ
จากโจทยทราบวาบุตรทีมีนาหนักนอยสุด 2 คน มีน้ําหนักเทากัน ∴ a=b
                        ่ ้ํ
เราทราบวา Mode = 45 , Med = 47.5 และพิสัย = 7
∴           a = b < Med
            A = b < 47.5

จากโจทย Mode = 45
∴        a = b = 45

จากพิสัย = d – a = 7
∴        d – 45 = 7
               d = 52
                 b+ c
จาก Med        =        = 47.5
                   2
               = 45 + c = 47.5
                        2
                 C = 50

∴   a=45, b=45, c=50, d=52


∴ X        = 45 + 45 + 50 + 52
                     4
= 48




www.kengdee.com 16
เฉลยขอสอบโดย อาจารย ธนะชาติ ถนอมกุลบุตร
ติวออนไลนฟรี! กับเกงดีดอทคอม

                                                       เฉลยขอสอบ O – Net
                                                วิชาวิทยาศาสตร กุมภาพันธ 2549

ขอ 29 ตอบ ตัวเลือก 2
         ให พ.ศ. 2547 บริษัทพนักงาน n คน จากโจทย พ.ศ. 2547            x47 = 23   ป
                              n

                             ∑x         i
           จะได     X47 =   i =1
                               n
                               n

                             ∑x             i
                     23 =     i =1
                                    n
             ⎛      ⎞n
           ∴ ⎜ ∑ Xi ⎟ = 23• n
             ⎝ i =1 ⎠ 47
           เมื่อถึงป พ.ศ. 2548 ผลรวมของอายุพนักงานเพิ่มขึ้นจากป 2547             652 ป จะได
           ⎛ n ⎞       ⎛ n ⎞
           ⎜ ∑ yi ⎟ = ⎜ ∑ xi ⎟ + 652
           ⎝ i =1 ⎠ 48 ⎝ i =1 ⎠ 47
                     = 23n + 652
           ซึ่งป 2548 นี้มพนักงานเพิ่มขึ้น 20 คน ทําใหอายุเฉลีย ในป 2548 เทากับ 25 ป จะไดวา
                           ี                                    ่
                ⎛n ⎞
                ⎜ ∑ yi ⎟
                ⎝ i=1 ⎠ 48
            y=
                     N
           แทนคา 25 = 23n + 652
                                  n + 20
           25n+500 = 23n+652
                 2n = 152
                 n = 76
           ∴ เมื่อสิ้นป พศ. 2548 บริษัทนี้มีพนักงานจํานวนทั้งสิน 76 + 20 = 96 คน
                                                                ้




www.kengdee.com 17
เฉลยขอสอบโดย อาจารย ธนะชาติ ถนอมกุลบุตร
ติวออนไลนฟรี! กับเกงดีดอทคอม

                                                   เฉลยขอสอบ O – Net
                                            วิชาวิทยาศาสตร กุมภาพันธ 2549

ขอ 30 ตอบตัวเลือก 1
         จากแผนภาพ ตน – ใบ
         พิจารณากลุมที่ 1
         น้ําหนักของแตละคนในกลุมที่ 1 นํามาเรียงจากนอยไปมากได 34, 36, 38, 46, 46, 48,
                                
         ∴ Mode 1 = 46
                     38 + 46
           Med 1 =           = 42
                        2
                      34 + 36 + 38+ 46 + 46 + 48
                 X1 =
                                  6
                  = 41.33
           พิจารณากลุมที่ 2
           น้ําหนักของแตละคนในกลุมที่ 2 นํามาเรียงจากนอยไปมากได 34,39,42,44,50
                                  
           ∴ Mode 2 = 42
                  Med 2 = 42
                     34 + 39 + 42 + 42 + 44 + 50
              X2 =
                                    6
           = 41.83
         ∴ x2 > x1


ขอ 31 ตอบ ตัวเลือกที่ 3
                                  (x − x)
                           SD = ∑
                                               2

           จาก                  2       i

                                        N

           แทนคา          16 =     (7 − x )2 + (− 3)2 (− 1)2 + 32 + 62
                                                     5
                           80 =     (7 − x ) + 55
                                            2



                                    (7 − x )2 = 25
                                    7- x = ± 5
                            x       = 2 , 12 ; เนื่องจาก   x>7



www.kengdee.com 18
เฉลยขอสอบโดย อาจารย ธนะชาติ ถนอมกุลบุตร
ติวออนไลนฟรี! กับเกงดีดอทคอม

                                             เฉลยขอสอบ O – Net
                                      วิชาวิทยาศาสตร กุมภาพันธ 2549

ขอ 32 ตอบตัวเลือกที่ 1




         พิจารณาคะแนนสอบของนักเรียนชาย พบวาความกวางของคะแนนในชวง Q 2 -Q 3 มากกวาความกวางของ
         คะแนนในชวง Q 1 -Q 2 ∴ จึงสรุปไดวา x8 > Med 8
         แต Med (ช) = Med (ญ) = x (ญ)
         ∴ x (ช)       > x (ญ)

ตอนที่ 2 ขอสอบแบบอัตนัย จํานวน 10 ขอ ขอละ 2 คะแนน
ขอที่ 1. ตอบ 6
          จาก f = {(1,0), (2,1), (3,5), (4,3)(5,2)}
          จะไดวา      f (2) + f(3)
                        = 1+5
                        =6

ขอที่ 2 ตอบ 0.75
จาก           4a=     2                  จาก    16 − 6 = 1
                                                           4
                          1
            (2 )
              2 a
                     =2   2
                                               (4 )
                                                 2 −6
                                                        = 4−1
                          1
            2 2a = 2 2                          4 −2b = 4−1
                 1
              2a =                              -2b = -1
                 2
              a= 1                                    b=   1
                  4                                        2
             1 1 3
∴   a+b =     + = = 0.75
             4 2 4

www.kengdee.com 19
เฉลยขอสอบโดย อาจารย ธนะชาติ ถนอมกุลบุตร
ติวออนไลนฟรี! กับเกงดีดอทคอม

                                               เฉลยขอสอบ O – Net
                                        วิชาวิทยาศาสตร กุมภาพันธ 2549

ขอ 3 ตอบ 39




                        12
           จาก cotA =      วาด Δ ABC ไดดังรูป
                         5
           AC =      AB2 + BC 2 = 122 + 52 = 13

           ∴   10cosecA + 12 secA          = 10 ⎜ 13 ⎞ + 12⎛ 13 ⎞
                                                ⎛
                                                     ⎟     ⎜ ⎟
                                                ⎝5⎠        ⎝ 12 ⎠
                                           = 26+ 13
                                           = 39

ขอ 4 ตอบ 0.8




                             3
         จาก cosA        =       วาด Δ ABC ไดดังรูป
                             5
         BC              = AC 2 + AB2 = 52 + 32 = 4
         Cos(B-A)        = Cos (90o − A) = sin A
                             BC 4
                         =     = = 0.8
                             AC 5

www.kengdee.com 20
เฉลยขอสอบโดย อาจารย ธนะชาติ ถนอมกุลบุตร
ติวออนไลนฟรี! กับเกงดีดอทคอม

                                                 เฉลยขอสอบ O – Net
                                          วิชาวิทยาศาสตร กุมภาพันธ 2549

ขอ 5 ตอบ 19
                     จากขอมูลทั้งหมด 10 จํานวน     ∴   ตําแหนงของ Q 3 = (10 + 1)⎛ 3 ⎞ = 8.25
                                                                                  ⎜ ⎟
                                                                                  ⎝ 4⎠
                     ใชวิธีการเทียบสัดสวนหา Q 3
                     Q3 - X 8 8.25 − 8
                              =
                     X 9 − X8   9−8
                     Q3 − 18 0.25
                              =
                     22 − 18    1
                      Q 3 -18 = 4(0.25)
                           Q 3 = 19
ขอ 6 ตอบ 120
         เนื่องจากเลข 3 หลักนี้เปนจํานวนคี่
         ∴ หลักหนวยเลือกได 4 วิธี คือ { ,3,5,7}
                                             1
         หลักสิบเหลือตัวเลขใหเลือก 6 วิธี
         หลักรอยเหลือตัวเลขใหเลือก 5 วิธี
         ∴ มีวิธีในการเขียนตัวเลขทั้งหมด = 4 × 6 × 5 = 120 วิธี


ขอ 7 ตอบ 0.8
         กลอง 2 กลอง แตละกลองมี 5 หมายเลข หากหยิบหมายเลขจากกลอง กลองละหมายเลขทําได
         n(s) = 5 × 5 = 25 วิธี
         เหตุการณที่หมายเลขจากลองทัง 2 ซ้ํากันเปนไปได 5 วิธี {(1,1), (2,2), (3,3), (4,4), (5,5)}
                                       ้
         ∴ เหตุการณที่หมายเลขจากกลองทังสองไมซ้ํากันเปนไปได n(E) = 25-5 = 20 วิธี
                                              ้
                       n(E ) 20
         ∴ P(E) =           =    = 0.8
                       n(S ) 25


ขอ 8 ตอบ 0.47
         นักเรียนที่สวมรองเทาเบอร 6 และ 7 มีจํานวนรวม 12+35 = 47 คน นักเรียนทังหมดมี 100 คน
                                                                                ้
                                                                                             47
           ∴         ความนาจะเปนที่จะเลือกไดนักเรียนที่สวมรองเทาเบอร 6 หรือเบอร 7 =       = 0.47
                                                                                            100

www.kengdee.com 21
เฉลยขอสอบโดย อาจารย ธนะชาติ ถนอมกุลบุตร
ติวออนไลนฟรี! กับเกงดีดอทคอม

                                            เฉลยขอสอบ O – Net
                                     วิชาวิทยาศาสตร กุมภาพันธ 2549

ขอ 9 ตอบ 50




           จากโจทยกําหนดให T เซตของคนที่ดื่มชา และ C แทนเซตของคนที่ดื่มกาแฟ
           จะไดวา             n (T′ ∩ C ′) = 100
                                n(T)        =100
                                n(C)        = 150
                       n (T ∪ C ) = n(u) − n(T′ ∩ C ′)
                                  = 300 -100
                                  = 200
                       n (T ∪ C ) = n(T ) + n(C ) − n(T ∩ C )
                           200 = 100 +150 - n (T ∩ C )
                       n (T ∩ C ) = 250 - 200
                                    = 50 ∴ คนที่ดื่มทั้งชาและกาแฟมีทงสิ้น 50 คน
                                                                    ั้

ขอ 10 ตอบ 2
         จาก r 1      = {(− 1,−2), (0,−1), (1,2), (2,−3)(3,4)} นําคูอนดับใน r 1 แทนใน
                                                                      ั                  y + 1 = x ของ r 2
         พิจารณา (-1,-2) ; − 2 + 1 = − 1 = 1 ≠ −1 ∴ ไมสอดคลอง
         พิจารณา (0,-1) ; − 1 + 1 = 0 = 0 ∴ ไมสอดคลอง
         พิจารณา (1,2) ; 2 + 1 = 3 = 3 ≠ 1 ∴ ไมสอดคลอง
         พิจารณา (2,-3) ; − 3 + 1 = − 2 = 2 ∴ สอดคลอง
         พิจารณา (3,4) ; 4 + 1 = 5 = 5 ≠ 3 ∴ ไมสอดคลอง
         ∴ r 1 ∩ r2 = {(0,−1), (2,−3)}             n(r 1 ∩ r2 ) = 2
www.kengdee.com 22
เฉลยขอสอบโดย อาจารย ธนะชาติ ถนอมกุลบุตร

Math onet49

  • 1.
    ติวออนไลนฟรี! กับเกงดีดอทคอม เฉลยขอสอบ O – Net วิชาวิทยาศาสตร กุมภาพันธ 2549 ตอนที่ 1 ขอสอบปรนัยแบบ 4 ตัวเลือก จํานวน 32 ขอ ขอ 1 ตอบ ตัวเลือกที่ 4 ( 2+ 8 + 18 + 32 )2 = ( 2+ 2 • 4 + 2 • 9 + 16 • 2 )2 = ( 2 + 2 2 + 3 2 + 4 2) 2 ( = 10 2 = 200 )2 ขอ 2 ตอบ ตัวเลือกที่ 1 [( )] + 2 1 5 6 5 5 6 − 32 2 −2 3 + 3 = 1 3 27 (64)2 (3 ) (2 ) 3 3 6 2 1 = (− 2) 5• 5 + 26 1 3 3• 6• 3 3 2 2 − 2 26 2 2 = + 9 = − + 26−9 = − + 2−3 3 2 3 3 2 1 13 =- + =− 3 8 24 www.kengdee.com 1 เฉลยขอสอบโดย อาจารย ธนะชาติ ถนอมกุลบุตร
  • 2.
    ติวออนไลนฟรี! กับเกงดีดอทคอม เฉลยขอสอบ O – Net วิชาวิทยาศาสตร กุมภาพันธ 2549 ขอ 3 ตอบตัวเลือก 3 จากโจทยนํามาสรางแผนภาพไดดังรูป ∴ A ∩ B = {5,7,8} ซึ่ง {5,7,8} ⊆ {0,1,3,5,7,8} ขอ 4 ตอบ ตัวเลือก 4 ฟงกชันจาก B ไป A จะไดวาโดเมนของฟงกชันตองอยูในเซต B และเรนจของฟงกชนตองอยูในเซต A โดยที่ ั โดเมนหนึงตัวโดยที่สามารถจับคูกับเรนจได 1 ตัวเทานั้น ่ พิจารณาตัวเลือกที่ 1 ผิดเพราะ D f ∉ Β พิจารณาตัวเลือกที่ 2 ผิดเพราะ D f หนึงตัว จับ R f ไดมากกวา 1 ตัว ่ พิจารณาตัวเลือกที่ 3 ผิดเพราะ D f ∉ Β www.kengdee.com 2 เฉลยขอสอบโดย อาจารย ธนะชาติ ถนอมกุลบุตร
  • 3.
    ติวออนไลนฟรี! กับเกงดีดอทคอม เฉลยขอสอบ O – Net วิชาวิทยาศาสตร กุมภาพันธ 2549 ขอ 5. ตอบ ตัวเลือก 4 2 จาก f (x) = -x ( ) + 4x − 10 = − x2 − 4x − 10 = - (x2 − 4x + 4 − 4) − 10 = - (x − 2)2 + 4 − 10 = −(x − 2)2 − 6 พบวา กราฟเปนพาราโบลาคว่ําจุดยอดอยูที่จุด (2,−6) ∴ กราฟนี้ไมมีจดต่ําสุด แตมีจุดสูงสุดอยูที่จด (2,−6) ุ ุ จึงไดวา คาสูงสุด = - 6 2 ⎛ ⎞ ⎛ ⎞ ⎛ ⎞ พิจารณา f ⎜ 9 ⎟ = −⎜ 9 ⎟ + 4⎜ 9 ⎟ − 10 ⎜ 2⎟ ⎜ 2⎟ ⎜ 2⎟ ⎝ ⎠ ⎝ ⎠ ⎝ ⎠ 9 12 =− + − 10 2 2 = -4.5+6 2 -10 ≈ -4.5+6 (1 .414) − 10 ≈ -6.016 < -6 ขอ 6 ตอบ ตัวเลือก 2 จาก y = -x 2 = 12 x − 38 = −(x2 + 12 X ) − 38 = - (x2 − 12 x + 36 − 36) − 38 = - (x − 6)2 + 36 − 38 = −(x − 6)2 − 2 ∴ จุดวกกลับ P คือ จุดยอดของสมการพาราโบรา f ( x) = −( x − 6) − 2 คือจุด (6,-2) 2 v ∴ ระยะทางของ po = (6 − 0)2 + ((− 2) − 0)2 = 36 + 4 = 40 = 2 10 หนวย www.kengdee.com 3 เฉลยขอสอบโดย อาจารย ธนะชาติ ถนอมกุลบุตร
  • 4.
    ติวออนไลนฟรี! กับเกงดีดอทคอม เฉลยขอสอบ O – Net วิชาวิทยาศาสตร กุมภาพันธ 2549 ขอ 7 ตอบ ตัวเลือก 2 จากกราฟผานจุด (-1,2) และ (1,2) พิจารณาตัวเลือกที่ 1 แทนจุด (1,2) ได f(x) = 1- 1 = 0 ≠ 2∴ ตัวเลือก 1 ผิด พิจารณาตัวเลือกที่ 3 แทนจุด (1,2) ได f(x) = 1 − 1 = 0 ≠ 2∴ ตัวเลือก 3 ผิด พิจารณาตัวเลือกที่ 4 แทนจุด (-1,2) ได f(x) = 1 + (− 1) = 0 ≠ 2∴ตัวเลือก 4 ผิด พิจารณาตัวเลือกที่ 2 แทนจุด (-1,2) ได f(x) = 1 + − 1 = 2 แทนจุด (1,2) ได f(x) = 1+ 1 =2 ขอ 8 ตอบ ตัวเลือก 1 พิจารณาตัวเลือกที่ 1 5 r= 4 = 5 × 1 = 5 = 0.41667∈ (0.3,0.5) 3 4 3 12 ขอ 9 ตอบ ตัวเลือก 1 จาก a 10 = s10 − s9 = [3(10)2 + 2] − [3(9)2 + 2] = 302-245 = 57 www.kengdee.com 4 เฉลยขอสอบโดย อาจารย ธนะชาติ ถนอมกุลบุตร
  • 5.
    ติวออนไลนฟรี! กับเกงดีดอทคอม เฉลยขอสอบ O – Net วิชาวิทยาศาสตร กุมภาพันธ 2549 ขอ 10 ตอบ ตัวเลือก 1. ∑ (1 + (− 1) )k 50 k k =1 = 0 + 4 + 0 + 8 + 0 +12 + …+ 0 + 100 = 4 + 8 +12 …+100 เปนอนุกรมเลขคณิตที่มี a 1 =4, d=4, n=25 ∴ ∑ (1 + (− 1 ) )k = 50 25 k (2(4) + (25 − 1 ) • 4) k =1 2 25 = (8 + 96) = 1300 2 ขอ 11 ตอบ ตัวเลือก 4. จากโจทย เปนลําดับเลขคณิตมี a 1 =100 , d=10, a n =340 จาก a n = a 1 + (n-1) d 340 = 100 + (n-1) (10) N = 25 ∴ วันที่ของเดือนมกราคมที่ปาจุขายไดกําไรเฉพาะวันนัน 340 บาท คือ 3+25+-1= 27 ้ www.kengdee.com 5 เฉลยขอสอบโดย อาจารย ธนะชาติ ถนอมกุลบุตร
  • 6.
    ติวออนไลนฟรี! กับเกงดีดอทคอม เฉลยขอสอบ O – Net วิชาวิทยาศาสตร กุมภาพันธ 2549 ขอ 12 ตอบ ตัวเลือก 3 กําหนดให 3 พจนแรกของลําดับเลขคณิตคือ a-d, a , a+d ∴ ผลบวก 3 พจน = (a-d) + a +(a+d) = 3a จากโจทย ผลบวก 3 พจนบวกแรก = 15 ∴ จะได 3a = 15 a =5 จากโจทย ผลคูณของสามพจนแรก = 80 จะได ( a-d )( a )( a+d ) = 80 ( 5 – d )( 5 )(5+d ) = 80 (25- d 2 )5 = 80 25 - d 2 = 16 d2 = 9 ขอ 13 ตอบ ตัวเลือก 3 (x ) 2 2(4x ) จาก 2 = 44 x2 ⎛ 1⎞ 24 x ⎜ 22 ⎟ = ⎜ ⎟ ⎝ ⎠ (2 ) 2 4 x2 24x 2 2 = 28 x2 2 = 2 24 x − 8 x2 ∴ จะได = 4x – 8 2 x 2 = 8x − 16 x2 − 8x + 16 = 0 (x − 4)(x − 4) = 0 x=4 www.kengdee.com 6 เฉลยขอสอบโดย อาจารย ธนะชาติ ถนอมกุลบุตร
  • 7.
    ติวออนไลนฟรี! กับเกงดีดอทคอม เฉลยขอสอบ O – Net วิชาวิทยาศาสตร กุมภาพันธ 2549 ขอ 14 ตอบตัวเลือก 4 จัดเรียงขอมูลใหมจากนอยไปมากได 10,10,12,13,15 ได Med = 12 , Mode = 10 และ X = 10 + 10 + 12 + 13 + 15 5 = 12 ขอ 15 ตอบตัวเลือก 4 พิจารณาเปอรเซ็นไทลที่ 25 ของคะแนนสอบเทากับ 35 คะแนน P 25 = 35 25 ตําแหนงของ P 25 = (39 + 1) = 10 100 หมายความวาจํานวนนักเรียนที่มีคะแนนนอยกวาหรือเทากับ 35 คะแนน มีทงสิ้น 10 คน ซึงจากโจทย ั้ ่ พบวาหนึ่งในนั้นเปนนักเรียนที่ไดคะแนน 35 คะแนนพอดี 1 คน จากโจทยมีนกเรียนที่ไดคะแนนนอยกวาหรือเทากับ 80 คะแนน 30 คน จะไดวามีนักเรียนที่คะแนนนอยกวา ั  หรือเทากับ 80 คะแนน แตมากกวา 35 คะแนนอยู 30 – 10 = 20 คน ∴ จํานวนนักเรียนที่สอบไดคะแนนชวง 35 – 80 คะแนน = 1 + 20 = 21 คน www.kengdee.com 7 เฉลยขอสอบโดย อาจารย ธนะชาติ ถนอมกุลบุตร
  • 8.
    ติวออนไลนฟรี! กับเกงดีดอทคอม เฉลยขอสอบ O – Net วิชาวิทยาศาสตร กุมภาพันธ 2549 ขอ 16 ตอบ ตัวเลือกที่ 3 ขอสอบตอนที่ 1 แตละขอสามารถตอบได 2 วิธี (จริง,เท็จ) 2 มี 5 ขอ ∴ รวมมีวธีการเลือกทั้งหมด 2 × 2 × 2 × 2 × 2 = 2 5 ิ ขอสอบตอนที่ 2 มี 5 ขอแตละขอสามารถเลือกได 4 วิธี ∴ รวมมีวิธีการเลือกทั้งหมด 4 × 4 × 4 × 4 × 4 = 4 5 ∴ ขอสอบชุดนีมีวิธีในการเลือกตอบทั้งหมด = 2 5 •45 วิธี ้ ขอ 17 ตอบ ตัวเลือกที่ 2 พิจารณาตัวเลือกที่ 1 ถา a = -1, b=0 จะไดวา -1 < 0 จริง แต(-1) 2 < (0) 2 ∴ ตัวเลือกที่ 1 ผิด พิจารณาตัวเลือกที่ 2 ถา a = -2, b=-1 จะไดวา -2<-1<0 จริง และ (-2) (-1) < (-2) 2 ดวย ∴ ตัวเลือกที่ 2 ถูก พิจารณาตัวเลือกที่ 3 ถา a = 2, b=-5 จะไดวา 2 < − 5 จริงแต 2 < -5 ∴ ตัวเลือกที่ 3 ผิด พิจารณาตัวเลือกที่ 4 ถา a = 2, b=-5 จะไดวา (2)2 < (− 5)2 จริงแต 2 < -5 ∴ ตัวเลือกที่ 4 ผิด www.kengdee.com 8 เฉลยขอสอบโดย อาจารย ธนะชาติ ถนอมกุลบุตร
  • 9.
    ติวออนไลนฟรี! กับเกงดีดอทคอม เฉลยขอสอบ O – Net วิชาวิทยาศาสตร กุมภาพันธ 2549 ขอ 18 ตอบ ตัวเลือกที่ 3 พิจารณา 21000 = 210 ( )100 = (1024)100 3 600(36 ) = (729)100 100 พิจารณา 10 300= (103 ) = (1000100 100 พิจารณา ) เนื่องจาก 729100 < 1000 < 1024 100 100 ∴ 3 600< 10300 < 21000 ขอ 19 ตอบ ตัวเลือกที่ 4 จาก X = sin 65 o จะไดวา 0<x<1 ∴ จะไดวา x2 < x ………….. (1) จาก (1 ) ทําใหตัวเลือกที่ 1 ผิด x พิจารณา x กับ 1+ x จาก 1 < 1+x 1 1 จะได > 1 1+ x x x > …………..(2) 1 1+ x จาก (2) พบวาตัวเลือกที่ 2 ผิด x2 พิจารณา x 2 กับ 1+ x จาก 0<x 2 < 1 ดวย และจาก 1 + < 1+x 2 1 ∴ > 1 2 1 1+ x 2 x 2 > x 2 ………(3) 1+ x จาก (3) พบวาตัวเลือกที่ 3 ผิด พบวาตัวเลือกที่สอดคลองกับ (1),(2),(3) คือ ตัวเลือกที่ 4 www.kengdee.com 9 เฉลยขอสอบโดย อาจารย ธนะชาติ ถนอมกุลบุตร
  • 10.
    ติวออนไลนฟรี! กับเกงดีดอทคอม เฉลยขอสอบ O – Net วิชาวิทยาศาสตร กุมภาพันธ 2549 ขอ 20 ตอบ ตัวเลือกที่ 4 กําหนดให Δ = x − 1 ; Δ ≥ 0 ในสมการ x −1 −1 2 ≤ ได x −1 3 Δ −1 2 ≤ Δ 3 3Δ −3 ≤ 2Δ Δ ≤ 3 แทนคา Δ = x − 1 ได x − 1 ≤ 3 ได -3 ≤ x − 1 ≤ 3 -2 ≤ x ≤ 4 แตเนื่องจาก x ∈ II ∴ จะได A = {− 2,−1,0,1,2,3,4} n(A) = 7 www.kengdee.com 10 เฉลยขอสอบโดย อาจารย ธนะชาติ ถนอมกุลบุตร
  • 11.
    ติวออนไลนฟรี! กับเกงดีดอทคอม เฉลยขอสอบ O – Net วิชาวิทยาศาสตร กุมภาพันธ 2549 ขอ 21 ตอบ ตัวเลือก 1 BC = tan30o AB BC = AB tan30o v = AB × 1 3 = AB 3 1 จากโจทยจะไดวา × AB × BC = 24 3 2 1 AB × AB × = 24 3 2 3 (AB ) 2 ( )( = 2 3 24 3 ) (AB ) 2 = 144 AB = 12 www.kengdee.com 11 เฉลยขอสอบโดย อาจารย ธนะชาติ ถนอมกุลบุตร
  • 12.
    ติวออนไลนฟรี! กับเกงดีดอทคอม เฉลยขอสอบ O – Net วิชาวิทยาศาสตร กุมภาพันธ 2549 ขอ 22 ตอบ ตัวเลือกที่ 2 จากรูป AC = ( AB2 − BC 2 = 202 − 10 3 ) 2 = 400− 300 = 100 = 10 จาก ΔABC จะไดวา sin β = AC = 10 = 1 AB 20 2 CD จาก ΔBCD จะไดวา  = sin β BC 1 ∴ CD = BCsin β = 10 3 × = 5 3 2 www.kengdee.com 12 เฉลยขอสอบโดย อาจารย ธนะชาติ ถนอมกุลบุตร
  • 13.
    ติวออนไลนฟรี! กับเกงดีดอทคอม เฉลยขอสอบ O – Net วิชาวิทยาศาสตร กุมภาพันธ 2549 ขอ 23 ตอบ ตัวเลือก 4 จากโจทย sinB = 3sinA AC BC จะได =3 AB AB ∴ AC = 3BC จากโจทยพื้นที่ของ Δ ABC = 15 หนวย 1 จะได × AC × BC = 15 2 1 × (3AB) × BC = 15 2 3 (BC )2 = 15 2 BC = 10 จาก Δ ABC จะได AB = AC 2 + BC 2 = (3BC )2 + (BC )2 = 9 • 10 + 10 = 100 = 10 ขอ 24 ตอบ ตัวเลือก 1 จาก a 20+2a − 3 = 0 a 20= 3 − 2a พิจารณา 1+a+a 2 +...a19 เปนอนุกรมเขาคณิตที่มี a 1 =1,r = a ∴ Sn = ( 1 1 − a20 ) = 1(1 − (3 − 2a)) 1−a 1−a = − 2 + 2a = − 2(1 − a) = −2 1−a (1 − a) www.kengdee.com 13 เฉลยขอสอบโดย อาจารย ธนะชาติ ถนอมกุลบุตร
  • 14.
    ติวออนไลนฟรี! กับเกงดีดอทคอม เฉลยขอสอบ O – Net วิชาวิทยาศาสตร กุมภาพันธ 2549 ขอ 25 ตอบ ตัวเลือก 2 จากเหตุขอ (1) เขียนแผนภาพได จากเหตุ ขอ (2) เขียนแผนภาพได จากเหตุขอ (3) เขียนแผนภาพได 2 แบบคือ ∴ จากเหตุทั้ง 3 ขอ เขียนแผนภาพไดดังนี้ ∴ ตัวเลือกที่สอดคลองกับแผนภาพทัง 2 แบบคือตัวเลือกที่ 2 ้ www.kengdee.com 14 เฉลยขอสอบโดย อาจารย ธนะชาติ ถนอมกุลบุตร
  • 15.
    ติวออนไลนฟรี! กับเกงดีดอทคอม เฉลยขอสอบ O – Net วิชาวิทยาศาสตร กุมภาพันธ 2549 ขอ 26 ตอบ ตัวเลือก 1 เลขทาย 2 ตัว สามารถเปนไปได n(s)=10 × 10 = 100 หมายเลข และหมายเลขทีมีหลักหนวยเปนเลขคี่ ่ และหลักสิบมากกวาหลักหนวยอยู 1คือ {21,43,65,87,} ∴ n(E) =4 ∴ P(E)= n(E) = 4 = 0.04 n(S ) 100 ขอ 27 ตอบ ตัวเลือก 4 พิจารณาตัวเลือกที่ 1 จากตาราง ชวงที่มีความถี่สงสุด คือชวง 60 – 69 ู ∴ ตัวเลือกที่ 1 ถูกตอง พิจารณาตัวเลือกที่ 2 จากตารางนักเรียนทีมีนาหนักต่ํากวา 50 kg มีทั้งสิน 4+5 = 9 คน ่ ้ํ ้ ∴ ตัวเลือกที่ 2 ถูกตอง พิจารณาตัวเลือกที่ 3 จากตาราง ชวง 50-59 kg มีความถี=13 นักเรียนทังหมดมีจํานวน 4+5+13+17+6+5=50 ่ ้ 13 ∴ นักเรียนที่มนาหนักในชวง 50-59 มี ี ้ํ × 100 = 26% 50 พิจารณาตัวเลือกที่ 4 จากตารางนักเรียนทีมีนาหนักอยูในชวง 80-89 มี 5 คน จากนักเรียนทั้งหมด 50 คน ่ ้ํ 5 ∴ นักเรียนที่มนาหนักตั้งแต 80-89 คน มี ี ้ํ × 100 = 10% 50 ∴ นักเรียนที่มนาหนักมากกวา 80 kg มีนอยกวา หรือ เทากับ 10 % ี ้ํ ∴ ตัวเลือกที่ 4 ผิด www.kengdee.com 15 เฉลยขอสอบโดย อาจารย ธนะชาติ ถนอมกุลบุตร
  • 16.
    ติวออนไลนฟรี! กับเกงดีดอทคอม เฉลยขอสอบ O – Net วิชาวิทยาศาสตร กุมภาพันธ 2549 ขอ 28 ตอบ ตัวเลือก 3 med ใหบุตรทั้ง 4 คนมีนาหนักเรียงจากนอยไปหามากได a,b, ↓ c,d ้ํ จากโจทยทราบวาบุตรทีมีนาหนักนอยสุด 2 คน มีน้ําหนักเทากัน ∴ a=b ่ ้ํ เราทราบวา Mode = 45 , Med = 47.5 และพิสัย = 7 ∴ a = b < Med A = b < 47.5 จากโจทย Mode = 45 ∴ a = b = 45 จากพิสัย = d – a = 7 ∴ d – 45 = 7 d = 52 b+ c จาก Med = = 47.5 2 = 45 + c = 47.5 2 C = 50 ∴ a=45, b=45, c=50, d=52 ∴ X = 45 + 45 + 50 + 52 4 = 48 www.kengdee.com 16 เฉลยขอสอบโดย อาจารย ธนะชาติ ถนอมกุลบุตร
  • 17.
    ติวออนไลนฟรี! กับเกงดีดอทคอม เฉลยขอสอบ O – Net วิชาวิทยาศาสตร กุมภาพันธ 2549 ขอ 29 ตอบ ตัวเลือก 2 ให พ.ศ. 2547 บริษัทพนักงาน n คน จากโจทย พ.ศ. 2547 x47 = 23 ป n ∑x i จะได X47 = i =1 n n ∑x i 23 = i =1 n ⎛ ⎞n ∴ ⎜ ∑ Xi ⎟ = 23• n ⎝ i =1 ⎠ 47 เมื่อถึงป พ.ศ. 2548 ผลรวมของอายุพนักงานเพิ่มขึ้นจากป 2547 652 ป จะได ⎛ n ⎞ ⎛ n ⎞ ⎜ ∑ yi ⎟ = ⎜ ∑ xi ⎟ + 652 ⎝ i =1 ⎠ 48 ⎝ i =1 ⎠ 47 = 23n + 652 ซึ่งป 2548 นี้มพนักงานเพิ่มขึ้น 20 คน ทําใหอายุเฉลีย ในป 2548 เทากับ 25 ป จะไดวา ี ่ ⎛n ⎞ ⎜ ∑ yi ⎟ ⎝ i=1 ⎠ 48 y= N แทนคา 25 = 23n + 652 n + 20 25n+500 = 23n+652 2n = 152 n = 76 ∴ เมื่อสิ้นป พศ. 2548 บริษัทนี้มีพนักงานจํานวนทั้งสิน 76 + 20 = 96 คน ้ www.kengdee.com 17 เฉลยขอสอบโดย อาจารย ธนะชาติ ถนอมกุลบุตร
  • 18.
    ติวออนไลนฟรี! กับเกงดีดอทคอม เฉลยขอสอบ O – Net วิชาวิทยาศาสตร กุมภาพันธ 2549 ขอ 30 ตอบตัวเลือก 1 จากแผนภาพ ตน – ใบ พิจารณากลุมที่ 1 น้ําหนักของแตละคนในกลุมที่ 1 นํามาเรียงจากนอยไปมากได 34, 36, 38, 46, 46, 48,  ∴ Mode 1 = 46 38 + 46 Med 1 = = 42 2 34 + 36 + 38+ 46 + 46 + 48 X1 = 6 = 41.33 พิจารณากลุมที่ 2 น้ําหนักของแตละคนในกลุมที่ 2 นํามาเรียงจากนอยไปมากได 34,39,42,44,50  ∴ Mode 2 = 42 Med 2 = 42 34 + 39 + 42 + 42 + 44 + 50 X2 = 6 = 41.83 ∴ x2 > x1 ขอ 31 ตอบ ตัวเลือกที่ 3 (x − x) SD = ∑ 2 จาก 2 i N แทนคา 16 = (7 − x )2 + (− 3)2 (− 1)2 + 32 + 62 5 80 = (7 − x ) + 55 2 (7 − x )2 = 25 7- x = ± 5 x = 2 , 12 ; เนื่องจาก x>7 www.kengdee.com 18 เฉลยขอสอบโดย อาจารย ธนะชาติ ถนอมกุลบุตร
  • 19.
    ติวออนไลนฟรี! กับเกงดีดอทคอม เฉลยขอสอบ O – Net วิชาวิทยาศาสตร กุมภาพันธ 2549 ขอ 32 ตอบตัวเลือกที่ 1 พิจารณาคะแนนสอบของนักเรียนชาย พบวาความกวางของคะแนนในชวง Q 2 -Q 3 มากกวาความกวางของ คะแนนในชวง Q 1 -Q 2 ∴ จึงสรุปไดวา x8 > Med 8 แต Med (ช) = Med (ญ) = x (ญ) ∴ x (ช) > x (ญ) ตอนที่ 2 ขอสอบแบบอัตนัย จํานวน 10 ขอ ขอละ 2 คะแนน ขอที่ 1. ตอบ 6 จาก f = {(1,0), (2,1), (3,5), (4,3)(5,2)} จะไดวา f (2) + f(3) = 1+5 =6 ขอที่ 2 ตอบ 0.75 จาก 4a= 2 จาก 16 − 6 = 1 4 1 (2 ) 2 a =2 2 (4 ) 2 −6 = 4−1 1 2 2a = 2 2 4 −2b = 4−1 1 2a = -2b = -1 2 a= 1 b= 1 4 2 1 1 3 ∴ a+b = + = = 0.75 4 2 4 www.kengdee.com 19 เฉลยขอสอบโดย อาจารย ธนะชาติ ถนอมกุลบุตร
  • 20.
    ติวออนไลนฟรี! กับเกงดีดอทคอม เฉลยขอสอบ O – Net วิชาวิทยาศาสตร กุมภาพันธ 2549 ขอ 3 ตอบ 39 12 จาก cotA = วาด Δ ABC ไดดังรูป 5 AC = AB2 + BC 2 = 122 + 52 = 13 ∴ 10cosecA + 12 secA = 10 ⎜ 13 ⎞ + 12⎛ 13 ⎞ ⎛ ⎟ ⎜ ⎟ ⎝5⎠ ⎝ 12 ⎠ = 26+ 13 = 39 ขอ 4 ตอบ 0.8 3 จาก cosA = วาด Δ ABC ไดดังรูป 5 BC = AC 2 + AB2 = 52 + 32 = 4 Cos(B-A) = Cos (90o − A) = sin A BC 4 = = = 0.8 AC 5 www.kengdee.com 20 เฉลยขอสอบโดย อาจารย ธนะชาติ ถนอมกุลบุตร
  • 21.
    ติวออนไลนฟรี! กับเกงดีดอทคอม เฉลยขอสอบ O – Net วิชาวิทยาศาสตร กุมภาพันธ 2549 ขอ 5 ตอบ 19 จากขอมูลทั้งหมด 10 จํานวน ∴ ตําแหนงของ Q 3 = (10 + 1)⎛ 3 ⎞ = 8.25 ⎜ ⎟ ⎝ 4⎠ ใชวิธีการเทียบสัดสวนหา Q 3 Q3 - X 8 8.25 − 8 = X 9 − X8 9−8 Q3 − 18 0.25 = 22 − 18 1 Q 3 -18 = 4(0.25) Q 3 = 19 ขอ 6 ตอบ 120 เนื่องจากเลข 3 หลักนี้เปนจํานวนคี่ ∴ หลักหนวยเลือกได 4 วิธี คือ { ,3,5,7} 1 หลักสิบเหลือตัวเลขใหเลือก 6 วิธี หลักรอยเหลือตัวเลขใหเลือก 5 วิธี ∴ มีวิธีในการเขียนตัวเลขทั้งหมด = 4 × 6 × 5 = 120 วิธี ขอ 7 ตอบ 0.8 กลอง 2 กลอง แตละกลองมี 5 หมายเลข หากหยิบหมายเลขจากกลอง กลองละหมายเลขทําได n(s) = 5 × 5 = 25 วิธี เหตุการณที่หมายเลขจากลองทัง 2 ซ้ํากันเปนไปได 5 วิธี {(1,1), (2,2), (3,3), (4,4), (5,5)} ้ ∴ เหตุการณที่หมายเลขจากกลองทังสองไมซ้ํากันเปนไปได n(E) = 25-5 = 20 วิธี ้ n(E ) 20 ∴ P(E) = = = 0.8 n(S ) 25 ขอ 8 ตอบ 0.47 นักเรียนที่สวมรองเทาเบอร 6 และ 7 มีจํานวนรวม 12+35 = 47 คน นักเรียนทังหมดมี 100 คน ้ 47 ∴ ความนาจะเปนที่จะเลือกไดนักเรียนที่สวมรองเทาเบอร 6 หรือเบอร 7 = = 0.47 100 www.kengdee.com 21 เฉลยขอสอบโดย อาจารย ธนะชาติ ถนอมกุลบุตร
  • 22.
    ติวออนไลนฟรี! กับเกงดีดอทคอม เฉลยขอสอบ O – Net วิชาวิทยาศาสตร กุมภาพันธ 2549 ขอ 9 ตอบ 50 จากโจทยกําหนดให T เซตของคนที่ดื่มชา และ C แทนเซตของคนที่ดื่มกาแฟ จะไดวา n (T′ ∩ C ′) = 100 n(T) =100 n(C) = 150 n (T ∪ C ) = n(u) − n(T′ ∩ C ′) = 300 -100 = 200 n (T ∪ C ) = n(T ) + n(C ) − n(T ∩ C ) 200 = 100 +150 - n (T ∩ C ) n (T ∩ C ) = 250 - 200 = 50 ∴ คนที่ดื่มทั้งชาและกาแฟมีทงสิ้น 50 คน ั้ ขอ 10 ตอบ 2 จาก r 1 = {(− 1,−2), (0,−1), (1,2), (2,−3)(3,4)} นําคูอนดับใน r 1 แทนใน ั y + 1 = x ของ r 2 พิจารณา (-1,-2) ; − 2 + 1 = − 1 = 1 ≠ −1 ∴ ไมสอดคลอง พิจารณา (0,-1) ; − 1 + 1 = 0 = 0 ∴ ไมสอดคลอง พิจารณา (1,2) ; 2 + 1 = 3 = 3 ≠ 1 ∴ ไมสอดคลอง พิจารณา (2,-3) ; − 3 + 1 = − 2 = 2 ∴ สอดคลอง พิจารณา (3,4) ; 4 + 1 = 5 = 5 ≠ 3 ∴ ไมสอดคลอง ∴ r 1 ∩ r2 = {(0,−1), (2,−3)} n(r 1 ∩ r2 ) = 2 www.kengdee.com 22 เฉลยขอสอบโดย อาจารย ธนะชาติ ถนอมกุลบุตร