Management Information Systems

   The objective of an MIS is to provide information for decision making on planning, initiating,
organizing and controlling the operations of subsystems of the firm and to provide a synergistic
organization in the process.

        A system is a group of interrelated or interacting elements forming a unified whole, and working
together towards a common goal by accepting inputs and producing outputs in an organized transformation
process.
        Such a system has three basic (it can become more useful by including others) interacting components or
functions namely:
            • Inputs
            • Processing
            • Output
It could also include:
                • Feedback / Storage as the case may be
                • Control (monitoring and evaluating feedback or information) to maintain performance

       An open system interacts with other systems, whereas a closed system does not interact with other
systems. A system that has the ability to change itself or its environment in order to survive is an adaptive
system e.g. organization as a system.

       Terms used in the system’s concept.
          1. A system’s purpose is the reason for its existence and the reference point for measuring its
              success e.g. the purpose of Dell’s order fulfillment system is to efficiently produce and deliver
              what the customer ordered.
          2. A system’s boundary defines what is inside the system and what is outside e.g. ordering system
              might consider delivering outside its boundary.
          3. A system’s environment is everything pertinent to the system that is outside of its boundaries.
          4. A system’s inputs are the physical objects and information that cross the boundary to enter it
              from its environment.
          5. A system’s outputs are physical objects and information that go from the system into its
              environment.
       Work systems in businesses need to change frequently to accommodate to changing conditions in their
environments and changing customer needs.


        System Analysis aims at studying the present and/or proposed information flows in order to find the
ways of meeting the objectives of the organization, in the best way possible. These ways may include methods
of information collection and provisions at various organizational levels, improvements in information formats
and procedures being adopted by the organization, etc. The information should be at the right time, in the right
format, through the right medium, with the right contents and no redundancies.
        System Design must be implementable within the given resources and must be maintainable easily. The
design process should consider that resources spent on them should be minimal, maintainability should be made
easy with less complex design, the benefit derived should be more than the cost, flexibility to adapt to changes
and the organization should be integrated.


       An Information System can be any organized combination of people, hardware, software,
communications networks, and data resources that collects, transforms, and disseminates information in an
organization.
An Information System model consists of the following:-
   • Resources such as people, data, hardware, software and networks are used by Information Systems.
   • Information Processing consists of system activities of input, processing, output, storage and control.

The major roles of Information Systems are:-
          1. Support Business Processes
          2. Support Decision Making
          3. Support Competitive Advantage

Types of Information Systems
   1. Operations support systems produce a variety of information products for internal and external use,
      which process data used by business operations. These have three further categories:-
           a. Transaction processing systems record and process data resulting from business transactions.
              Transactions are processed in two basic ways:
                  i. Batch, where transactions are accumulated over a period of time. A group of entries are
                     made at a time; which are accepted by the information system, on a command by the
                     user, for updating the records.
                 ii. Real-time or on-line, where processing is done immediately. Whenever an activity takes
                     place in the organization, an entry is made in the information system in the form of a
                     record and the computer automatically updates it’s all other records affected by the entry
           b. Process control system monitors and controls physical process
           c. Enterprise collaboration systems enhance team and workgroup communication and productivity
              and are also called office automation systems.

   2. Management support Systems provide information and support for effective decision-making. These are
      of following types
          a. Management Information Systems provide information in the form of reports and displays to
              managers and many business professionals
          b. Decision support systems give direct support to managers during the decision-making process. It
              provides some indications to a user on the basis of information stored in the system and the
              parameters provided by the user.
          c. Executive information systems provide critical information from a wide variety of internal and
              external sources, in easy-to-use displays, to executives and managers.

   3. Expert systems provide expert advice from operational chores like equipment diagnostics or decisions
      for loan portfolio management.
   4. Knowledge management systems support the creation, organization and dissemination of business
      knowledge to employees and managers throughout the company.
   5. Functional business systems focus on operational and managerial applications in support of basic
      business functions such as accounting or marketing.
   6. Strategic information systems apply IT to firm’s products, services, or business processes to help it gain
      a strategic advantage over its competitors.
   7. Cross functional Information Systems interact with several types of Information Systems that provide a
      variety of functions.

    The success of an Information System is measured not only by its efficiency in terms of minimizing costs,
time and the use of information resources, but also by the effectiveness of Information Technology in
supporting an organization’s business strategies, enabling its business processes, enhancing its organizational
structures and culture, and increasing the customer and business value of the enterprise.

Information systems can be classified on the following basis
1. By function
         a. Operations (Resources, processes, products)
         b. Administrative (support functions)
         c. Planning and control (management use)
         d. Environmental (e.g. competition)
   2. By type of processing
         a. Batch
         b. Online, real-time
         c. Distributed

   3. By usage
         a. Transaction processing
         b. Management Information
         c. Decision support
         d. Expert system

   4. By application
         a. Manufacturing
         b. Warehousing
         c. Distribution
         d. Marketing
         e. Retailing
         f. Services
         g. Banking
         h. Insurance
         i. Transportation
         j. Governmental
         k. Defense
         l. GIS

   5. By levels of management
         a. For operational control
         b. For management control
         c. For strategic control

   6. By resources
         a. Financial information resource
         b. Marketing information resource
         c. Personnel information resource

Management Information System (Definition)

Management comprises the process or activities that describe what managers do in the operation of their
organization: plan, organize, initiate and control operations.
    Because decision making is a fundamental pre-requisite to each of the forgoing processes, the job of an MIS
becomes that of facilitating decisions necessary for planning, organizing and controlling the work and functions
of the business,

Information is different from data. Data is the plural of ‘datum’. Data are raw facts and figures or observations,
typically about physical phenomena or business transactions e.g. the sale transaction. Data may not currently be
used in a decision process and usually takes the form of historical records that are recorded and filed without
immediate intent to retrieve for decision making.
Information is data that has been converted into a meaningful and useful context for specific end users. It
consists of data that have been retrieved, processed, or otherwise used for informative or inference purposes,
argument, or as a basis for forecasting or decision making. It is placed in a context that gives its value for
specific end users. The value added process for data is where
   (i)      Its form is aggregated, manipulated, and organized
   (ii)     Its content is analyzed and evaluated
   (iii)    It is placed in a proper context for human user

Processing of data into information can involve anything from calculating, comparing, sorting, classifying, and
summarizing to updating existing data. The input for processing is data the output is information

System is a set of elements joined together for a common objective. A subsystem is part of a larger system with
which we are concerned.
   The system concept of MIS is therefore one of optimizing the output of the organization by connecting the
operating systems through the medium of information exchange.

   The objective of an MIS is to provide information for decision making on planning, initiating, organizing
and controlling the operations of subsystems of the firm and to provide a synergistic organization in the process.

   MIS is the automating of routine and structured tasks to support decision making.
   • MIS support decision making in both structured and un-structured problem environments
   • MIS support decision making at all levels of the organization
   • MIS are intended to be woven into the fabric of the organization, not standing alone
   • MIS support all aspects of the decision making process.
   • MIS are made of people, computers, procedures, databases, interactive query facilities, and so on. They
     are intended to be evolutionary / adaptive and easy for people to use.

    The need for synergy in organization calls for the systems approach in management. It has been accelerated
by two major reasons:
    • The increased complexity of business
    • The increased complexity of management

The increased complexity of business can be attributed to four primary causes
           (i)   Technological revolution
           (ii)  Research and development
           (iii) Product changes
           (iv)  Information explosion

The increased complexity of management can be met by following four breakthroughs or developments:
   (i)     The theory of information feedback systems
   (ii)    A better understanding of the decision making process
   (iii)   Operations research or management science techniques that permit an experimental or simulation
           approach to complex problems
   (iv)    The electronic computer


   Management Information System consists of a group of people, a set of manuals, and data processing
equipment (a set of elements) select, store, process and retrieve data (operate on data and matter) to reduce the
uncertainty in decision-making (seek a common goal) by yielding information for managers at the time they can
most efficiently use it (yield information in a time reference).
A business process is a related group of steps or activities in which people use information and other
resources to create value for internal or external customers. These steps are related in time and place, having a
beginning and end, and have inputs and outputs.
    A process’s value added is the amount of value it creates for its internal or external customer.
    There are three different types of business processes.
    (i)    Processes that cross functional area
    (ii)   Processes related to a specific functional area
    (iii)  Activities and sub processes occurring in every functional area.

   The set of processes a firm uses to create value for its customers is often called its value chain.



The Managers of tomorrow
    Changes in behavior of people and our understanding of how to motivate people in the work environment
have progressed quite slowly despite many promised gimmicks.
    Changes in physical systems such as the factory production system, the physical distribution system, the
data processing system or the engineering development and test system are occurring rapidly with the
accelerating progress in technology.

    Management has existed since people first realized that a co-operative society was necessary to accomplish
their goals.    There are many different ways to do any particular type of work. A crucial management
responsibility is to identify ways to do work more efficiently and to produce better products and services.
Many organizations and manager make the basic mistake of believing that a management information system
can be designed or made operational without the backup of an adequate management system. Given an adequate
management system, an information system can be designed upon its foundation.
An information system provides the manager with the information needed in the form, place and time to
perform the job according to the specifications of the management system.
A new system (such as Information system) when introduced, provides newly emerging behavioral patterns.
This change has two facets: technological and social. The social change gains resistance. Three positive steps
for effecting change based on our knowledge of organizational behavior are:
    1. Create a climate for change
    2. Develop effective agents of change
    3. Modify the required organizational system in the light of anticipated emergent behavior.

The management process and information needs



Environmental information consists of:
   (1) Political and governmental considerations
   (2) Demographic and social trends
   (3) Economic trends
   (4) Technological environment
   (5) Factors of production such as source, cost, location, availability, accessibility, and productivity of the
       major production factors of labor, materials and parts and capital
Competitive information considers:
   (1) Industry demand
   (2) Firm demand
   (3) The competition:-
           a. Past performance
           b. Present activity (price strategy, advertising, campaigns etc)
c. Future plan (new products)
Internal Information such as
     (1) Sales Forecast
     (2) Financial Plan
     (3) Supply factors (labor, capital, plant and equipment, organization etc)
     (4) Policies


“Management is the art of getting things done”. In the process of, a manager uses human skills, material
resources and scientific methods to perform all activities leading to the achievement of goals.

The advantage of viewing management as a system is that it enables us to see the critical variables, constraints
and their interaction with one another. It forces the manager to look at the situation in such a way that due
regard is given to the consequences arising out of interaction with the related elements or subjects.

Approaches to management
   1. Fredrick W Taylor, recognized as the father of scientific management states his rules as follows:
         a. Replace the rules of thumb with scientific rules
         b. Obtain a harmony in group action
         c. Achieve cooperation of human beings, rather than chaotic individualism.
         d. Work for a maximum output
         e. Develop all workers to the fullest possible potential for their own highest possible prosperity

   2. Henry Fayol states his principles of operational management as:
         a. Division of work
         b. Authority and responsibility
         c. Discipline
         d. Unity of command
         e. Unity of direction
         f. Subordination of individual to corporate interest
         g. Remuneration
         h. Centralization
         i. Scalar chain
         j. Order
         k. Equity
         l. Stability of tenure
         m. Initiative

Functions of the Manager
   1. Planning is a process of determining the goals and objectives and evolving strategies, policies, programs
       and procedures for the achievement of these goals. The essence of the process is decision making. The
       planning process consists of three steps (i) Forecasting (ii) Determining the alternative course of action
       (iii) Evaluating the best course of action.
   2. Organization involves evolving the structure of the people working in the organization and their roles.
       Building a meaningful effective structure of authority and the relationship is known as organizing. It
       should consider the span of control, the centralization and decentralization methods, delegation of
       authority, formal and informal setup.
   3. Staffing involves manning the positions in the organization structure. It requires appropriate selection of
       the person or persons ensuring that they together will achieve the goals and objectives of the
       organization. Ensuring that the right person is at the right place, and has a good job environment. The
       WBS helps in determining the job specifications. The schedules for projects play an important role in
       determining number of employees.
4. Directing is a complex task of implementing the process of management. In the process, the manager is
      required to guide, clarify and solve the problems of the people and their activities. It is necessary to
      motivate the people to work for the goals with an interest and a confidence. Different methods of
      leadership are present. Autocrative leader decides what should be done. Supportive leader encourages
      initiatives by employees.
   5. Coordinating is the function which brings a harmony and smoothness in the various group activities and
      individual effort directed towards the accomplishment of goals. It is a process of synchronizing
      individual actions and the efforts which may differ because of the differences in the personal goals and
      the common goals, the difference in the interpretation of methods and directions.
   6. Controlling is a process of measurement of an output, comparing it with the goals, the objectives and the
      target, and taking corrective actions, if the output is falling short of the stated norms. Controlling ensures
      the achievement of the plan. Controlling has following three functions (i) establish standards (ii)
      measure performance (iii) correct deviations if they occur.


Managers and the Environment
  1. Economic environment consists of capital, labor, price changes, productivity, fiscal and monetary policy
      and customers.
  2. Technological environment
  3. Social environment is built around the attitudes, the desires, the expectations, the degree of intelligence
      and education, the beliefs and customs, the religion, the caste and creed of the people.
  4. Political environment
  5. Ethical environment consists of laws and business ethics which emerge from the professional conduct,
      the business norms and codes on confidentiality, the payment and documentation, the adherence to
      generally accepted accounting standards.

Management by Exception
When the management operates under time constraint, each manager has to allocate specific time for the several
demands made on his time. An efficient manager tries for selective attention to manage within the available
time resource. The principle evolved, therefore, is of the management by exception.

The organization system consists of:
   (1) The formal organizational system as described in the charts, policies and procedures.
   (2) The informal organization
   (3) The individual as a system
   (4) The Management Information System
   (5) The organizational communication system
   (6) The power system
   (7) The functional system
   (8) The management process system
   (9) Material logistics system

Delegation of authority in an organization depends upon the following factors
   (1) Cost: The more costly the decision, the more likely it is to be centralized
   (2) Uniformity of policy: The more uniform and centralized a policy (the less need there is to delegate
       authority)
   (3) Complexity of the organization: the more complex the organization, the greater the need for
       coordination and centralization of authority.
   (4) Custom of the business: The authority determines authority delegation.
   (5) Availability of good managers encourages delegation.

Information and Organizing
The system’s view of the organization takes into account the interaction and flow of information. The
organization should be designed according to the information flow and other factors of information chosen to
plan and control performance.

Diagram showing methods of departmentalization




   Transaction Processing

   When a transaction is recorded manually, a copy of the document is usually used for data preparation.
   Special data preparation methods are keydisk (i.e. through a keyboard), optical character recognition (OCR)
   or magnetic ink character recognition (MICR)
   The data is validated to determine its correctness and completeness. Subsequently the machine-readable
   stored data (master file) related to or affected by the transaction is updated and outputs are prepared in the
   form of documents and reports.
   Reasons for preparing transaction documents are:-
       (1) Informational: To report, confirm, or explain proposed or completed action
       (2) Action: To direct a transaction to take place (e.g. shipping orders etc)
       (3) Investigational: for background information or reference by recipient

            A single document or different copies of it may serve both action and informational purposes. E.g.
one copy of the sales order confirmation may be sent to the customer to confirm the order; a second copy may
be used as an action document to initiate filling of the order.
            Transaction records are distributed to other departments to respond to queries, can be saved on
terminal for authorized reference, or scanned by managers for unusual occurrences. However reports and
analyses solve the managerial purpose better.
            Transaction can be processed in batch or in real-time. One advantage of real-time processing is that
the error checking or validation is done immediately, causing early detection and tracing or error. The time
delay in case of batch processing can make tracing of error difficult.
            The processing trial is needed by external auditors and certain tax regulators. It should meet
following three requirements
    (1) Any transaction can be traced from the source document through processing to outputs and to totals
    (2) Any output or summary data can be traced back to the transactions or computations used to arrive at the
        output or summary.
Information

Information as a System
    The information system receives inputs of data and instructions, processes the data according to the
instructions, and outputs and results. The information system can be divided into five major subsystems, each of
which can be further divided.
    1. Hardware and system software: The computer hardware and the system software necessary for hardware
        operation.
    2. Management and administration
    3. Operations
    4. Application system development and maintenance
    5. Application systems

Information is efficient if it is correct, complete, unambiguous, validated, timely and organized. Information is
effective if it serves the purpose of decision correctly.

The value of information may be theoretically determined by the value of a change in decision-making
behavior.

Utility of information
    1. Form utility: As the form closely matches decision maker, its value increases
    2. Time utility: Information has greater value to the decision maker if it is available when needed.
    3. Place utility: Information has greater value if it can be accessed or delivered easily.
    4. Possession utility: If the dissemination of information to others is controlled.

There are two aspects to information. The first is to derive information from the data, through data processing,
and the second is to communicate it properly to the concerned people.
 Methods of improving communication are massage summarizing (to reduce the amount of data to be
transmitted) and message routing (sending information only to the people concerned). The information
distribution can be controlled to improve communication. In message delay, transmission is delayed to avoid
overload, to distort, inhibit, or suppress transmission. In message modification or filtering summarizes data or
blocks certain data by filtering. In uncertainty absorption, inferences are drawn for the data, and inferences,
instead of the data are transmitted. In presentation bias, the information is presented in a way to convey the
desired message.

 Value of information in decision making: The value of information is the value of the change in decision
behavior caused by the information less the cost of obtaining the information.
Value of information other than in decision: The information can be used for motivation, background building
and model building.

Information resource management is an approach to management based on the concept that information is an
organized resource. The scope if IRM includes data communication, word processing, personal computers and
traditional data processing. It emphasizes the organizational effectiveness of the information system resource
rather than the technical sophistication or efficiency of the hardware and software.

Component activities that make up the overall information resources function are:
  1. Data processing
  2. Telecommunications
  3. Office automation

Information Resource Executive (Chief Information officer (CIO))
His responsibility includes the following
1.   responsibility for central data processing and data communication systems
2.   Coordination of organization wide information system planning
3.   Maintaining infrastructure for technical services
4.   Acquisition and dissemination of knowledge and expertise regarding new technology
Structure of MIS


Operating Elements of an Information System
   • Physical Components
          – Hardware relates to physical computer equipment for input, output, storage, processing and
              communication
          – Software
          – Database
          – Procedures such as User instructions, data preparation for input and operating the instructions
          – Operations personnel such as computer operators, system analysts, programmers, data
              administrators etc.
   • Processing Functions
          – Process transactions such as purchase or sale
          – Maintain master files
          – Produce reports
          – Process inquiries
          – Process interactive support applications
   • Outputs for the user
          – Transaction documents
          – Preplanned reports
          – Preplanned inquiry responses
          – User-machine dialog results
Reports can be used for information, action description or for investigational purposes




        Management Information System


                                   MIS for Strategic planning


                                    MIS for tactical planning


                                  MIS for Operational planning


                                    Transaction processing




   Management activities
•   Strategic planning: Definition of goals, policies, and general guidelines charting course for organization.
       Determination of organizational objectives. (Long term)
   •   Management control and tactical planning: Acquisition tactics, plant location, new products,
       establishment and monitoring of budgets. (medium tenure)
   •   Operational planning and control: Effective and efficient use of existing facilities and resources to carry
       out activities with budget constraints. (Short term)


Decisions making in management comprises of Structured and unstructured decisions. Structured decisions
have a pattern and logic. Unstructured decisions are made by intuition and human judgment is involved

Two approaches exist to defining the subsystems of an MIS.
  • According to the organizational functions such as marketing, production, logistics, personnel, finance
      and accounting, information processing, top management
  • According to managerial activities such as transaction processing, operational control, management
      control, strategic planning
Quality in Information Systems

An application has quality relative to its primary and secondary users, operations personnel, control personnel,
maintenance personnel, and so forth.
Quality in information systems has a number of characteristics. The importance of each depends on the
application and its context. The following are some of the characteristics included in the concept of quality in
information systems:
Complete Data                All data items are captured and stored for use. Data items are
                             properly identified with time periods.
Accurate data                The correct data values are recorded
Precise data                 Measurement of variables meets user needs for precision
Understandable output        The output of the system is understandable
Timely output                The output of the application is available in time for actions
                             and decisions
Relevant output              The outputs are relevant to the actions and decisions to be
                             taken
Meaningful output            The format, labeling, data provided, and context in which data
                             is presented makes the output meaningful for actions and
                             decisions
User friendly operation      The system provides user interfaces that are understandable
                             and designed to confirm to human capabilities
Error resistant              Suitable error prevention and detection procedures are in
operations                   place. There are procedures for reporting and correcting
                             errors. Various audit procedures are applied.
Authorized use               Only authorized personnel have access to facilities,
                             applications and data
Protection system and        The system and its operations are protected from various
operations                   environmental and operational risks. There are provisions for
                             recovery in the event of failure or destruction of part or all of
                             the system.

The role of top management in information system quality control is to establish the overall organization
structure, select the information system executive, approve the information system plan and budget, and
evaluate performance.

The information system executive has the responsibility for organizing and supervising the various control and
quality assurance activities in information systems.

There are certain control and quality assurance functions that need to be performed in information system
operations. The major functions are:
   1. Librarian
   2. Processing control
   3. Access control
   4. Database administration
   5. Backup and recovery
   6. Application development quality assurance
Architecture of MIS


                                                                                        Employees

                                          Corporate
                                                      Databases          Corporate
                                          databases
                                                      of                  intranet
                                          of
                                                      external
                                          internal
                                                      data
                                          data                                       Decision
                                                                                     support
                                                                                     systems


                   Transaction   Databases      Management                           Executive
      Business     processing    of             information      Application         support
    transactions   systems       valid          systems          databases           systems
                                 transactions



                                                           Drill-down reports        Expert
                                                         Exception reports           systems
                                                         Demand reports
                   Operational                        Key-indicator reports
                   databases
                                  Input and             Scheduled
                                   error list            reports
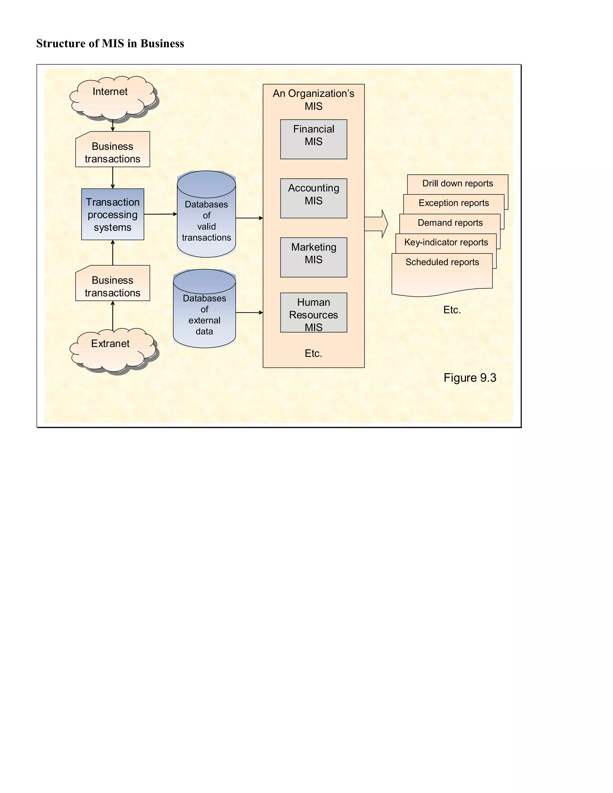
Structure of MIS in Business


          Internet
           Internet                       An Organization’s
                                                MIS

                                              Financial
           Business                              MIS
         transactions

                                                                  Drill down reports
                                             Accounting
         Transaction        Databases           MIS              Exception reports
         processing             of
                               valid                             Demand reports
          systems
                           transactions
                                                              Key-indicator reports
                                             Marketing
                                               MIS            Scheduled reports

           Business
         transactions      Databases          Human
                               of
                                             Resources                 Etc.
                            external
                             data               MIS
          Extranet
           Extranet
                                                Etc.

                                                                       Figure 9.3
Marketing System
•Product pricing
•Interactive marketing
•Targeted marketing includes five components namely community, content, context, Online behavior,
demographic
•Sales force automation
•Market research
•Order processing
•Sales planning
•Inventory management
• Warehouse management
Inputs to Marketing MIS
•Strategic plan and corporate policies
•The TPS
•External sources:
    –The competition
    –The market


                                         Databases of                               Manufacturing
                                                                 Databases of
                                         internal data           external data         DSS




                           Transaction       Databases
         Business          processing          of valid
                                                                    Marketing
       transactions         systems         transactions              MIS              Marketing
                                              for each                                applications
                                                TPS                                    databases


                                                               Sales by customer

                                                             Sales by salesperson    Manufacturing
                           Operational                        Sales by product           ES
                           databases                           Pricing report
                                                            Total service calls
                                                         Customer satisfaction



                                                                                         Figure 9.9
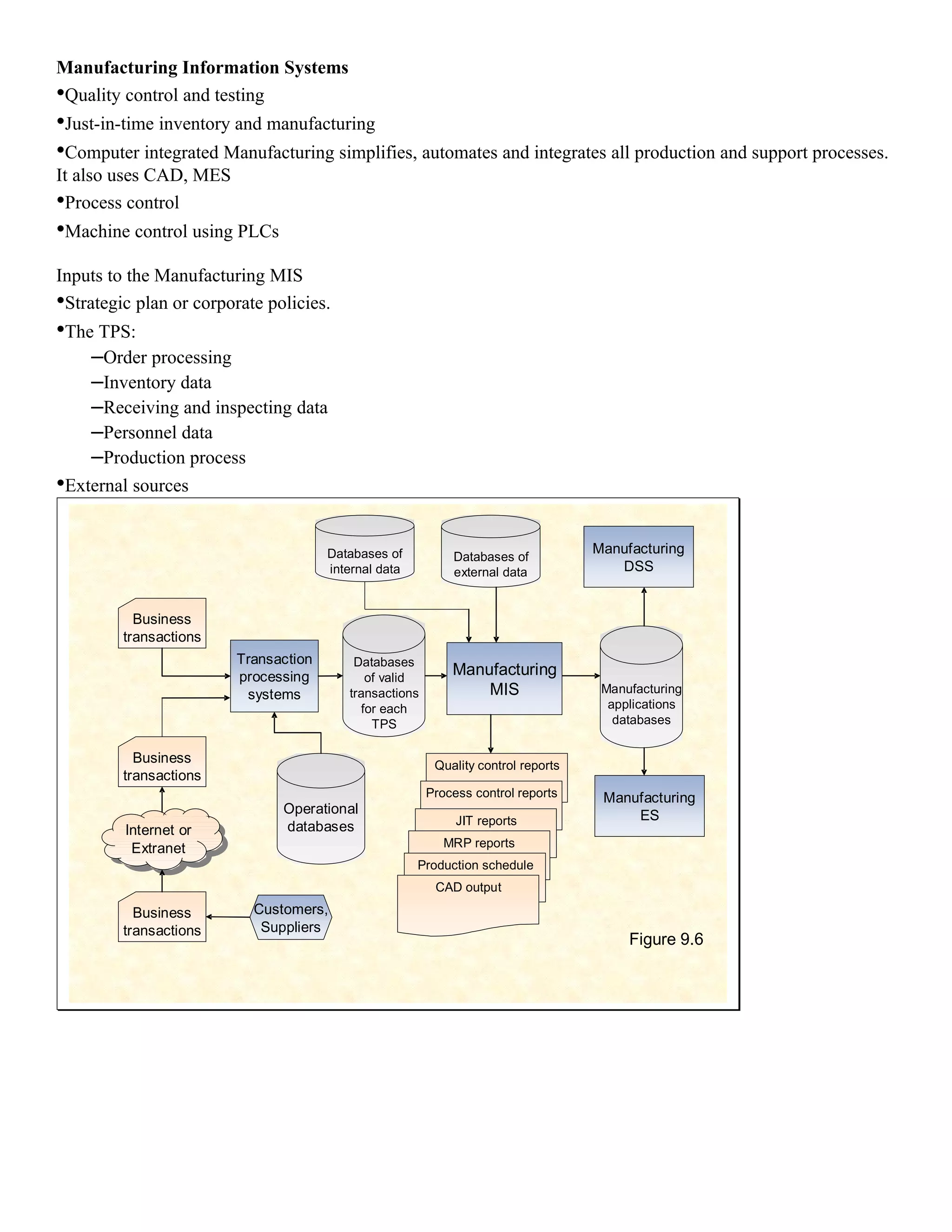
Manufacturing Information Systems
•Quality control and testing
•Just-in-time inventory and manufacturing
•Computer integrated Manufacturing simplifies, automates and integrates all production and support processes.
It also uses CAD, MES
•Process control
•Machine control using PLCs
Inputs to the Manufacturing MIS
•Strategic plan or corporate policies.
•The TPS:
    –Order processing
    –Inventory data
    –Receiving and inspecting data
    –Personnel data
    –Production process
•External sources

                                      Databases of                                 Manufacturing
                                                            Databases of
                                      internal data         external data             DSS


           Business
         transactions
                        Transaction       Databases
                        processing          of valid
                                                            Manufacturing
                         systems         transactions           MIS                 Manufacturing
                                           for each                                  applications
                                             TPS                                      databases

           Business                                      Quality control reports
         transactions
                                                        Process control reports     Manufacturing
                               Operational                                              ES
                               databases                     JIT reports
         Internet or
          Internet or
          Extranet                                         MRP reports
           Extranet
                                                      Production schedule
                                                         CAD output

           Business        Customers,
         transactions       Suppliers
                                                                                        Figure 9.6
Human Resource System
•Corporate Intranet
•Staffing
•Training and development
Inputs to the Human Resource MIS
•Strategic plan or corporate policies
•The TPS:
    –Payroll data
    –Order processing data
    –Personnel data
•External sources


                                        Databases of                             Manufacturing
                                                               Databases of
                                        internal data          external data        DSS




                          Transaction       Databases              Human
         Business         processing          of valid            Resource            Human
       transactions        systems         transactions
                                             for each
                                                                    MIS              resource
                                                                                   applications
                                               TPS                                  databases

                                                               Benefit reports

                                                              Salary surveys      Manufacturing
                          Operational                      Scheduling reports         ES
                          databases                       Training test scores
                                                        Job applicant profiles
                                                        Needs and planning
                                                             reports

                                                                                     Figure 9.12
Financial Management Systems
•Profit planning/ Profit Centre Accounting
•Cash management
•Online investment management
•Capital budgeting, Funds management
• Enterpise controlling
•Financial Forecasting and planning
Inputs to the Financial Information System
•Strategic plan or corporate policies
    –Contains major financial objectives and often projects financial needs.
•Transaction processing system (TPS)
    –Important financial information collected from almost every TPS - payroll, inventory control, order
    processing, accounts payable, accounts receivable, general ledger.
    –External sources
    –Annual reports and financial statements of competitors and general news items.


                                        Databases of                                Financial
                                                                Databases of
                                        internal data           external data         DSS


           Business
         transactions
                          Transaction         Databases
                          processing            of valid
                                                                 Financial
                           systems           transactions          MIS                Financial
                                               for each                             applications
                                                 TPS                                 databases


           Business
         transactions
                                                             Financial statements
                                                                                      Financial
                                 Operational                Uses and management          ES
          Internet or            databases                        of funds
           Internet or
           Extranet
            Extranet                                         Financial statistics
                                                                 for control


           Business         Customers,
         transactions        Suppliers
                                                                                       Figure 9.3
Accounting Information System
•Cost accounting, activity based costing, product cost controlling, overhead cost controlling
•Online accounting System
•Order processing
•Inventory control
•Accounts receivable/payable
•Payroll
•General Ledger

Review of Hardware and Software Technologies

Peripherals
Peripherals is the generic name given to all input, output and secondary storage devices that are part of a
computer system. Peripherals depend on direct connections or telecommunications links to the central
processing unit of a computer system.

Input technologies
   1. Keyboard
   2. Pointing devices
            1. Electronic mouse
            2. Trackball
            3. Touchpad
            4. Pointing stick
            5. Touch screens use infrared beam, sound waves, or a slight electric current that is broken when
               the screen is touched
   3. Handwriting recognition through pen-based computing. PDAs have a pressure sensitive layer like a
        graphics pad under their slate like liquid crystal display screen.
   4. Speech recognition systems digitize, analyze, and classify your speech and its sound patterns. The
        software compares your speech patterns to a database of sound patterns in its vocabulary and passes
        recognized words to your application software.
   5. Optical scanning devices read text or graphics and convert them into digital input for your computer.
        Another technology is optical character recognition.
   6. Magnetic stripe
   7. Smart cards
   8. Digital cameras
   9. Magnetic ink character recognition detects iron oxide-based ink

Output Technologies
   1. Video output
          1. Video monitors use a cathode ray tube technology
          2. Liquid crystal displays (LCDs)
   2. Printed output
          1. Inkjet printers spray ink onto a page one line at a time.
          2. Laser printers use an electrostatic process similar to a photocopying machine.

Storage
    1. Magnetic tape records data in the form of magnetized spots on the iron oxide coating of the plastic tape.
2. Magnetic disks contain metal disks that are coated on both sides with an iron oxide recording material.
      Several disks are mounted together on which data is stored in the form of tiny magnetized spots to form
      the binary digits
          1. Floppy disks
          2. Hard disk drives
          3. RAID (redundant arrays of independent disks)
   3. Optical disks are used by business for image processing
          1. CD-ROM use a laser device to read the binary codes created by burning microscopic pits in a
              spiral track by laser
          2. CD-R records permanently
          3. CD-RW use magneto optical technology
          4. DVD
          5. DVD-ROM
          6. DVD-RAM

Software
Types of programming languages
           1. Machine language/ Ist generation language: It is a series of 0s and 1s
           2. Assembler language/ IInd generation language: It uses mnemonic names for operations
           3. High level language/ IIIrd level language: Instructions are in the form of statements which are
              compiled or interpreted before being executed
           4. Fourth level languages are more non-procedural with simpler syntax
           5. Object oriented language

Classification of software
   1. Application software which performs processing for end user
   2. System software that supports operations of computer networks and systems

Types of software
   1. Software suites are two or more packages bundled together e.g. Microsoft office, Lotus notes suite
   2. Software packages are a combination of some functions of several programs e.g. Microsoft works
   3. Web browsers enable easy use of internet
   4. E-mail is a way of communicating with people
   5. Word processors e.g. Microsoft word
   6. Electronic spreadsheets e.g. Microsoft excel
   7. Presentation graphics e.g. Microsoft PowerPoint
   8. Database management systems (DBMS)
   9. Technologies for multimedia
   10. Personal information managers e.g. lotus notes
   11. Operating systems
   12. Model generators facilitate the development of models and DSS. It includes programming language,
       spreadsheets, and statistical packages. A good model generator should have easy usability, access t o
       wide variety of data and analysis capability.
   13. Model Base Management Systems (MBMS) manage models and analysis programs in much the same
       way as the DBMS manages data.
Decision Support Systems

Business decisions are those, which are made in the process of conducting business to achieve its objectives in a
given environment. Their major characteristics are:
    • Sequential in nature
    • Exceedingly complex due to risks and trade offs
    • Influenced by personal values
    • Made in institutional settings and business environment

Problems in making rational Decisions
   • Ascertaining knowledge
   • Insufficient knowledge
   • Not enough time to be rational
   • The environment may not cooperate
   • Other limitations

Decision Process




   •   Intelligence: Searching the environment for conditions calling for decisions
   •   Design: Inventing, developing, and analyzing possible courses of action.
   •   Choice: Selecting an alternative or course of action from those available.

Important aspects of these phases
   • Problem finding is conceptually defined as finding a difference between some existing situation and
       some desired state. Expectations can be based on historical models, planning models, models of other
       people such as superiors, extra organizational models.
   • Problem formulation clarifies the problem, so that design and choice activities operate on the right
       problem. Strategies of reducing complexity are determining boundaries, factoring problem into smaller
       problems, focusing on controllable elements.
   • Developing alternatives involves creativity which can be enhanced by aids such as scenarios, analogies,
       brainstorming, checklists, templates etc.
   • Decision making involves consideration of certainty, risk and uncertainty of occurrence

Nature of decisions
Programmed verses non-programmed decisions
   • Non-programmed decisions have no pre-established decision rules or procedures
•   Programmed decisions can be pre-specified by a set of rules or decision procedures. They imply
       decision making under certainty because all outcomes are known.




Users of DSS
   1. Subscription mode: Regular reports received by user
   2. Terminal user: Online access through system
   3. Clerk mode: Direct use but like batch processing
   4. Intermediary mode: Intermediaries perform analysis and interpret the report

The primary requirement of DSS for intelligence is the ability to search the database for opportunities and
problems. These searches can be summarized as:
   1. Structured, continuous search (On regular basis)
   2. Structured ad hoc search (Once in a while)
   3. Unstructured search (through trial and error)

Report elements that assist in problem finding
   1. Summarization (Totals and ordering)
   2. Comparison (with plans or competitors)
   3. Prediction (forecast)
   4. Confirmation (for audit or validation)

Types of business decisions
Decision      Operational Management Tactical Management                    Strategic Management
Structure


Unstructure   Cash management                Business Process         New e-business initiatives,
d                                            Reengineering, Workgroup Company reorganization
                                             Process Analysis

Semi          Credit management,           Employee performance          Product planning, Mergers
structured    Production scheduling, Daily appraisal, Capital budgeting, and acquisitions, Site
              work assignment              Program budgeting             location

Structured    Inventory control              Program control




   •   Decision making at the operation level is a situation of certainty. Decision making at the middle level is
       of the risk type because of difficulty in forecasting. At the top level it a situation of total uncertainty on
       account of insufficient knowledge of the external environment.

Types of Models
   • Behavioral Models are useful in understanding the behavior amongst the business variables. Examples
       are
           – Regression models (Y=C+R.X)
– Time series analysis
          – Market research methods
          – Ratio analysis for financial assessment e.g. current ratio=current assets/current liabilities
   •   Management science models
          – Budgeting models
          – Break even analysis model (revenue=fixed cost + variable cost)
          – Return on investment analysis model
          – Cash budgeting
          – Procedural models (Economic order quantity/minimum inventory)
   •   Operation research models
          – Linear programming
          – Inventory control models
          – Material requirement planning

Methods for selection of decision alternatives
   • Optimization Technique such as linear programming. These methods are used in cases where decision
      making situation is closed, deterministic and requires to optimize the use of resources under conditions
      of constraints.
   • Payoff Analysis is used when the alternatives and outcomes are not known. A matrix is prepared to
      evaluate the decisions. (probabilities are set for occurrence)
   • Utility and indifference curve considers non monetary benefits of decision also and evaluates using the
      matrix of Payoff Analysis.
   • Decision Tree Analysis is used when a sequence of decisions are to be made.
   • Uncertainty avoidance. Example: Choosing to earn $10 with 90% probability than choosing to earn
      $100 with 12% probability
   • Organizational learning helps in influencing decision making
   • Game Theory
   • Statistical inference such as regression and correlation, testing of hypothesis.


Decision Support Systems
Decision Support Systems are computer-based information systems that provide interactive information
support to managers and business professionals during decision making process. Decision support systems use
analytical models, specialized databases, a decision maker’s own insights and judgments and an interactive,
computer based modeling process to support the making of semi structured and unstructured business decisions.


DSS Components
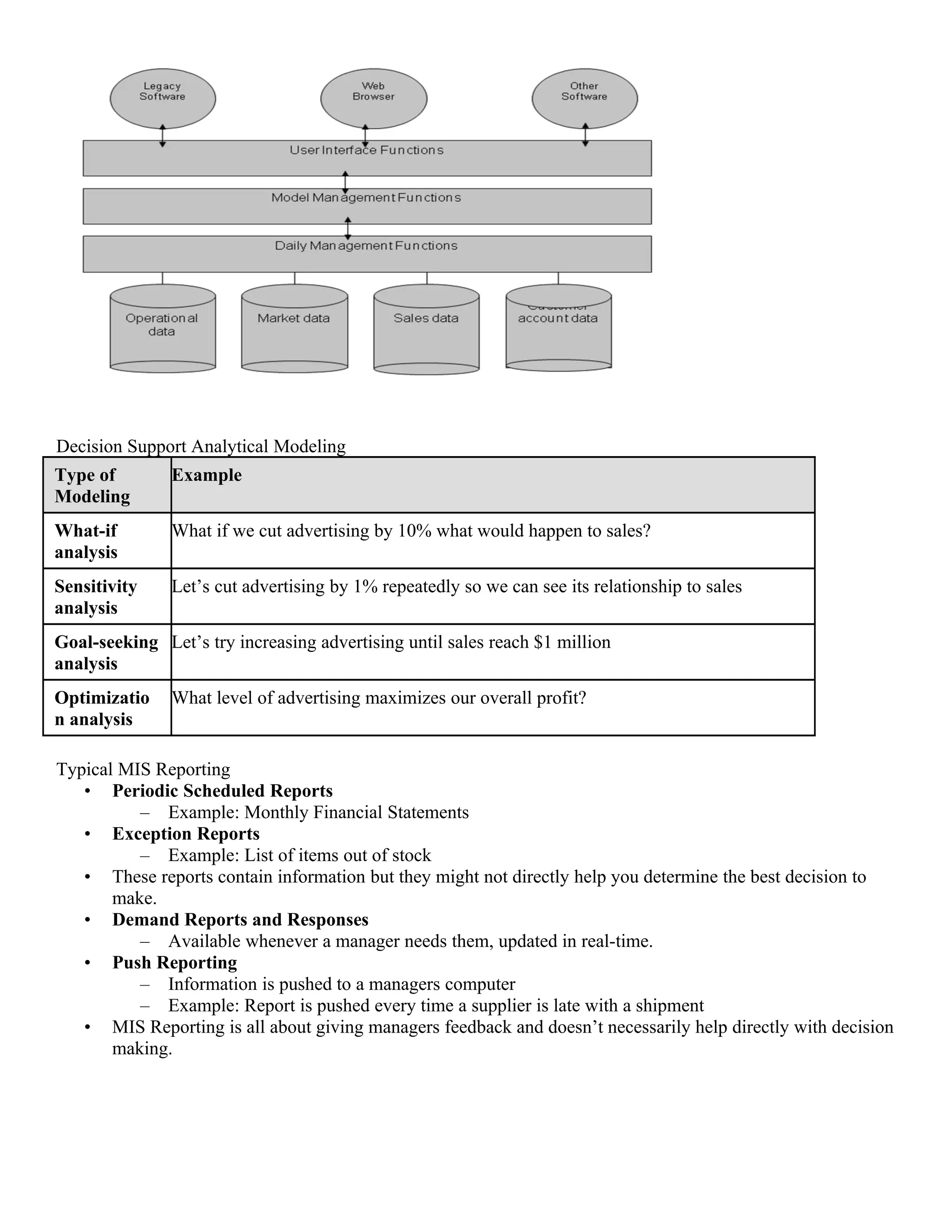
Decision Support Analytical Modeling
Type of        Example
Modeling
What-if        What if we cut advertising by 10% what would happen to sales?
analysis
Sensitivity    Let’s cut advertising by 1% repeatedly so we can see its relationship to sales
analysis
Goal-seeking Let’s try increasing advertising until sales reach $1 million
analysis
Optimizatio    What level of advertising maximizes our overall profit?
n analysis

Typical MIS Reporting
   • Periodic Scheduled Reports
          – Example: Monthly Financial Statements
   • Exception Reports
          – Example: List of items out of stock
   • These reports contain information but they might not directly help you determine the best decision to
       make.
   • Demand Reports and Responses
          – Available whenever a manager needs them, updated in real-time.
   • Push Reporting
          – Information is pushed to a managers computer
          – Example: Report is pushed every time a supplier is late with a shipment
   • MIS Reporting is all about giving managers feedback and doesn’t necessarily help directly with decision
       making.
DSS and concepts in decision making
Decision concept         Application of decision support system
Programmed Vs Non-       Both programmed and non-programmed decisions are supported by DSS
programmed decisions
Satisfying factor        Expansion of search beyond satisfying level can be provided
Behavioral model         Stimulates analysis and stimulates recognition of effects of changing goals
Decision making under    Interactive decision making during tough times is easy
stress
Alternative approaches   Provides alternatives and guidance in selection
Quality of decision      It can provide checklists to assessing quality
making



DSS Vs. MIS
            MIS                                         DSS
Support     Info about performance                      Info and modeling to analyze problems
Report      Periodic reports                            Interactive Inquiries
Form        or On Demand
Format      Pre-specified                               Flexible and Adaptable
            Fixed format
Processing Extract and manipulate data                  Analytical modeling
                                                        of data




Artificial Intelligence Technologies in Business
Artificial Intelligence is a field of science and technology based on disciplines such as computer science,
biology, psychology, linguistics, mathematics, and engineering.
The goal of IT is to develop computers that can think, as well as see, hear, walk, talk and feel.

Attributes of Intelligent Behavior
•   Think and reason
   •   Use reason to solve problems
   •   Learn or understand from experience
   •   Acquire and apply knowledge
   •   Exhibit creativity and imagination
   •   Deal with complex or perplexing situations
   •   Respond quickly and successfully to new situations
   •   Recognize the relative importance of elements in a situation
   •   Handle ambiguous, incomplete, or erroneous information




Expert systems are built using an expert system shell (knowledge base for expert system without kernel,
consisting of facts and heuristics) coupled with inference and user interface capabilities. But it has a limitation
in terms of learning of system, development cost and maintenance.


                                              End User Computing
End-User Development (EUD)

Specifically, the practice of users developing their own information systems, is often but not always with the
support of professional systems developers. The practical involvement of end-users in application development
necessitates the easy access to computing facilities. This may be
• Timesharing on a centralized mainframe
• The use of stand alone personal computers
• The use of personal computers which are connected to local area networks and mainframes.
In addition to being provided with hardware and software, extra facilities are a necessary condition of
successful End user applications development. In particular:
• Education and training on the use of software tools
• Assistance in the technical aspects of writing, testing, and debugging applications
• Availability of reference material
• Aid in accessing the corporate database


Applications Suitable for End-user Development
Applications suitable for end-user development can be grouped into the following 5 categories:
• One time enquiries
• Simple Reports
• Minor Changes to Reports or Enquiries
• Presentation of Data in Alternate Forms
• 'What if' Analyses

Applications not suitable for end-user development:
    • data entry involving organization files and databases (where the data must be validated for accuracy and
        reliability)
• high volumes of transactions, requiring processing efficiency and multiple processing steps
• use of 'traditional' computer languages designed for use by professional programmers, requiring detailed
statement of processing procedures and controls
• changing of data values in existing databases and files
• applications spanning several departments or divisions in the organization
• applications requiring formal documentation
• applications requiring a long development process
• applications requiring detailed formal specifications.

Who Are The End Users?
In general an end-user is anyone who has to interface to a computer who is not employed specifically to do so
(ie is not a data entry clerk or an operator). This includes executives interfacing to EIS facilities, middle
managers or technicians who use a PC or a terminal to an on-line system, clerks accessing a central database to
download data for local processing, individuals using a PC in stand alone mode for their own work, individuals
using a PC in stand alone mode for an activity which the corporate management has decided shall be done by
computer (eg office automation), clerks interfacing to a computer system which has replaced their manual
system (without their having any input) and clerks writing data preparation documents.
  Web integration is, however, creating a new class of end-user. (S)he is an end-user in one organization who,
through integration (3-tier client / server), has suddenly become a user of a system in another organization. A
further complication is that now a system may have to cope with two different kinds of end-user at the same
time. For example the parcel tracking system at FEDEX could be accessed by both a company employee and an
external customer, both trying to track a parcel (though not necessarily the same parcel). We may group them
into the following categories:
• Non programming
• Command level
• End-user programmers (including senior management professionals)
• Functional support personnel
• End user computing support personnel
• DP Programmers
This list covers a very wide range of personnel carrying out a wide range of tasks throughout
organization - and the list continues to grow.

Advantages of User-developed systems
  • Relieves shortage of system development personnel
  • Eliminates the problem of information requirements determination by information systems personnel
  • Transfers the information system implementation process to users
  • Enhanced productivity of professional and white-collar workers.
  • Provision of user-friendly and responsive systems.



Problems
It became clear very quickly that the managers had bought something that they didn't understand and either had
to discard the machine (as happened in many schools who were encouraged
by government to acquire computers) or had to be supported to get the most out of their purchases.
The particular problems which were posed for the organizations into which these PCs had been
introduced were:
(a) Lack of standardization between the various purchases leading to:
 (i) inability to share data;
 (ii) no economy of scale in purchasing;
 (iii) a variety of requirements for maintenance, in the few cases where the problem had
actually been considered.
(b) Lack of control over the requirements of legislation, such as software copyright, data
protection, health and safety and the specific legal constraints covering the organization.
(c) Demands for assistance with:
 (i) systems analysis and design;
 (ii) programming;
 (iii) software procurement;
 (iv) sizing - machines which have been purchased but are too small for the job;
 (v) maintenance;
 (vi) fall-back;
 (vii) lack of documentation;
 (viii) data security;
 (ix) environmental control;
 (x) file conversion and data acquisition;
 (xi) data organization.


Issues requiring training
    • Testing
    • Documentation
    • Validation of data
    • Audit trials
    • Operating control
    • Backup and recovery

Software tools for development
   • Interactive programming software
   • Programming language
   • Application generators
   • Report generator / Query language for query jobs
   • Online documentation software
   • Data dictionary
   • Graphics languages
   • Statistical analysis tools


                                                   Planning
Concept of Planning in Organization
  • A plan is a predetermined course of action to be taken in future. It identifies the goal to be achieved and
      the steps to be taken to achieve the desired results.
  • Planning is the function that determines in advance what should be done. It consists of selecting the
      enterprise objectives, policies, programs, procedures and other means of achieving these objectives
Characteristics of planning
  1. Planning is goal oriented
  2. Planning is a primary function
  3. Planning is all-pervasive
4. Planning is an intellectual or rational process
   5. Planning is continuous
   6. Planning is forward looking
   7. Planning involves choice
   8. Planning is an integrated process
   9. Planning is directed towards efficiency
Importance of planning
   1. Focuses attention on objectives and results
   2. Reduces uncertainty and risk
   3. Provides sense of direction
   4. Encourages innovation and creativity
   5. Helps in coordination
   6. Guides decision making
   7. Provides a basis for decentralization
   8. Provides efficiency in operations
   9. Facilitates control
Limitations of planning
   1. Lack of accurate information
   2. Time and cost
   3. Inflexibility
   4. Resistance to change
   5. Lack of commitment to planning
   6. False sense of security
   7. Environmental constraints
Essentials of a good plan
   1. It should be based on clearly defined objectives
   2. It must be simple and easily understandable
   3. It should be flexible and adaptable to changing conditions
   4. It should be balanced in all respects and should be reasonably comprehendible
   5. It should provide standards for the evaluation of performance and actions
   6. It should be economical, i.e. permit optimum use of available resources before creating new authorities
       and new resources.
   7. It should be practicable or action-oriented
   8. It should be prepared with the consultation of concerned persons
   9. Different plans must be properly integrated and harmonized with one another
Principles of planning
   1. Principle of contribution to objectives
   2. Principle of efficiency of plans
   3. Principle of primacy of planning
   4. Principle of planning premises ( The assumptions about future derived from forecasting and used in
       planning are known as planning premises)
   5. Principle of policy framework
   6. Principle of timing
   7. Principle of alternatives
   8. Principle of limiting factor
   9. Principle of commitment
   10. Principle of flexibility
   11. Principle of navigational change
   12. Principle of competitive strategies
Steps in planning process
   1. Identify goals
   2. Develop planning premises
3. Determine alternative courses of action
    4. Evaluate the alternatives
    5. Select a course of action
    6. Formulate Derivative plans
Planning premises
Correct assessment of planning premises is helpful in the preparation of reliable plans, because when the
assumptions about the future environment are accurate, the plans based on such assumptions will be
dependable. Planning premises may be classified as under
    1. External and Internal premises
    2. Tangible and Intangible
    3. Controllable and Uncontrollable
Types of planning
On the basis of time period
            1. Long-range planning
            2. Medium-term planning
            3. Short-range planning
2. On the basis of level of formulation
        1. Corporate planning
        2. Divisional or Business planning
        3. Functional or Unit planning
3. Strategic planning
4. Operational planning
    Comparison between Strategic planning and operational planning
Point of comparison        Strategic planning                Operational planning
Scope                      For the enterprise as a whole     For particular department or
                                                             functional areas
Range of choice            Wide-broad directions for         Narrow-specific ways and means
                           planned allocation of resources
Type of environment        External environment              Internal environment
Time span                  Long-range                        Short-range
Question answered          Where should we go                How will we get there
Primacy                    Precedes operational planning     Succeeds strategic planning
Level of formulation       Top-level management              Operating and middle level
Resources                  Acquisition of new resources      Within the framework of existing
                                                             resources
End result                 Objectives and strategies         Detailed program


     Types of policies
     1. Originate policy
     2. Appealed policy’
     3. Imposed policy


    Difference between Policy and Strategy
S. No     Policies                                        Strategies
1.        Guides to thinking and actions                  Provides direction in which human
                                                          and physical resources will be
                                                          deployed
2.         Guidelines for decision making in repetitive   Contingent decisions
           situations
3.          Taken for problems about which facts are       Taken for problems where alternatives
            known. Only time of occurrence is not          cannot be analyzed in advance
            specific
4.          Implementation of policy can be delegated      Implementation of strategy cannot be
                                                           delegated as it requires last minute
                                                           executive decision
5.          Standing plan or long lasting                  Non-repetitive plans, may need
                                                           frequent revision
6.          Not based specifically on the moves of         Formulated in the light of competitor’s
            competitors                                    moves

    Difference between Strategies and Tactics
S. No     Strategies                                       Tactics
1.        Long-lasting but flexible time perspective       Short-term and definite time
                                                           perspective
2.          Formulated at the top level of management      Formulated at lower level of
                                                           management
3.          Continuous process but irregular timing of     Continuous process and periodic
            the decision                                   decision e.g. budget preparation
4.          Based on information generated outside         Based on information generated within
            about the external environment                 the organization, particularly from
                                                           accounting records
5.          Affected by personal values of strategy        Taken within the control of strategic
            makers                                         decisions
6.          Critical importance for the future of the      Less important as concerned with
            organization, concerned with the total         specific parts of the organization
            organization

    Summary of various plans
Name of Plan Definition                           Nature                       Example
Objective      Goal or target to be               Basis of all plans           Increase sales by 10
               achieved                                                        %
Policy         General statement or               Boundary within which        Employees are to be
               understanding to guide             decisions are to be made     promoted on the
               thinking                                                        basis of seniority
Strategy       Action plan to face                Relates the organization     Combative
               environmental                      to its environment           advertising to face
               uncertainties                                                   price cuts by
                                                                               competitors
Procedure          Manner in which activities     Sequence of steps            Purchase procedure
                   are to be performed
Rule               State what should or           Rigid plan, no scope of      No smoking in the
                   should not be done in a        discretion                   factory
                   situation
Programme          Combination plan for goal      States activities and        Installation of a
                   achievement, non repetitive    resources to be              computer
                                                  undertaken
Schedule           Time-table for activities      Specifies priority of work   Complete
                                                  and time for each activity   installation of
                                                                               computer within 3
                                                                               months
Budget            Statement of expected         Quantitative and time       Produce 10,000
                  results and resources to be   bound plan of action        tones of sugar
                  used
Project           Cluster of interrelated       Scheme for deployment       Construction of a
                  activities-a separate unit    of resources                flyover


                                           Information System Plan

Process of Information System Plan Development
    • Planning is the process of deciding what will be done, who will do it, when they will do it, how it will be
        done, and what are the desired results.
Challenges in IS planning
    • Difficulty foreseeing and assessing Opportunities
    • Difficulty Assuring consistency with organizational plans and objectives
    • Difficulty building systems
    • Difficulty maintaining Information System performance
    • Difficulty collaborating with IT professionals
Principles for Information Systems Planning
    • Support the firm’s Business strategy with appropriate technical architecture
    • Evaluate technology as a component of a larger system
    • Reorganize life cycle costs, not just acquisition costs
    • Design information systems to be maintained
    • Recognize the human side of technological use
    • Support and control the technical system
Planning role of IS and User departments
    • Multiple role for
            – CIO
            – Users
Allocating resources between new and old information systems
    • User support projects
    • Enhancements
    • Bug fixes
New developments
    • Major new applications
    • IT infrastructure project
    • Research projects
Strategic alignment of business and IT
    • Consistency with business priorities
    • Reengineering and downsizing (BPR)
    • Enterprise-wide and inter-organizational systems
    • Information system architecture
    • Centralization Vs Decentralization
    • Outsourcing
    • International issues

Advantages of planning Support Systems
   1. Reduced information overload
   2. Information selection
   3. Economic solutions
   4. Fast turnaround
   5. Interrelation of operations and planning system
6. Communication aid
   7. Direct involvement as can be used directly by decision makers

Planning for Information System
    • The complexity of the information resources environment suggests that planning is vital to success.
    • The plan describes the structure and content of the information system and how it is to be developed.
    • The organization’s strategic plan should be the basis for the MIS strategic plan.
    • The overall responsibility of IS planning is the responsibility of Chief Information Officer (CIO)
Approaches to organizing and supervising the information system planning effort
    • Planning staff within information systems functions (planning specialists)
    • Ad hoc planning groups within information systems
    • Planning group with representatives from various functions
Review of plan
    • Master plan is reviewed by the steering committee which comprises of executives from major functional
       areas and is executives.
    • The committee also periodically reviews progress against the plan.
    • The master plan is integrated in the organizational plan by top management after review and approval.
    • Information system policies and procedures are defined.
Content of Master development plan/ Information System plan/ Information Resource plan
    • The master plan has two components:- a long-range plan and a short-range plan. The long-range plan
       provides general guidelines for direction and the short-range plan provides a basis for specific
       accountability as to operational and financial performance. It consists of the following subheadings:-
           – Information system goals, objectives, and architecture
           – Inventory of current capabilities
           – Forecast of developments against the plan
           – The specific plan
Information system goals, Objectives, and architecture
           – Organizational goals, objectives, and strategies
           – External environment (industry, government regulations, customers, and suppliers)
           – Internal organizational constraints such as management philosophy
           – Assumptions about business risks and potential consequences
           – Overall goals, objectives, and strategy for the information system
           – Architecture of the information system
    – Current capabilities
           – Inventory of
                   – Hardware
                   – Software (System software, DBMS, etc)
                   – Application systems (classified on the basis of functional systems, organizational
                       strategy, maintenance need)
           – Analysis of
                   – Expense
                   – Hardware utilization
                   – Software utilization
                   – Personnel utilization (further classification such as job, skill, functional area)
           – Status of projects in progress
           – Assessment of strengths and weaknesses
    • Forecast of developments Affecting plan
           – Hardware and software technological availabilities should be forecasted with expected impact on
               existing IS
           – Methodology changes should be forecasted
           – Environmental developments such as government regulations, tax laws and competitors affecting
               IS should be stated
•  Specific plan
           – Hardware acquisition schedule
           – Purchased software schedule
                   • System Software
                   • Applications software
           – Application development schedule
           – Software maintenance and conversion schedule
           – Personnel resources required and schedule of hiring and training
           – Financial resources required by object of expenditure
The master plan is prepared from the CIO’s point of view and focuses on the planning strategy e.g. if the
planning strategy for consideration is the end-user computing, then the plan will highlight the end users in the
IS.
Maintenance of master plan
    • IS plan requires updating
           – Changing organizational setup
           – Changes in technology
           – Changing needs of system
           – Internal events
           – Progress of new systems
           – External events
Information system growth models
Assumptions of NOLAN model
    • Organizational learning
    • Stages cannot be skipped
    • Other than the natural process, these processes can be planned, coordinated, and managed to move
       through the stages effectively and efficiently

    • The NOLAN stage model
The organization must go through each stage of growth before it can progress to the next one, thus giving an
insight to planning regarding the stage of an IS
Stages of Information system growth
Stages of growth                                 Description
Initiation                                       Early use
Expansion                                        Experimentation, rising cost
Formalization                                    Organizational controls
Maturity                                         Integration of applications




Stages

NOLAN six stage model
Stage Level of control or slack
I     Low control. Some slack. No planning
II    Greater slack due to encouraged use, integration and lack of planning
III   High controls, planning given importance
IV    Use of databases for integration
V     Slack due to focus on strategically important systems
VI    Application portfolio complete and matches organizational objectives




NOLAN alternative model
Due to technological changes the growth curve shifts as follows




Advantages and disadvantages of NOLAN model
   • Advantages
          – Evolutionist model as it focuses on development
   • Disadvantages
          – Lack of specificity as it does not define the mechanism for change
Three stage model of the planning process
   • It clarifies the generic planning activities, the order of activities, and the alternative techniques and
      methodologies that apply




Strategic planning stage
    • McFarlan-McKenney Strategic Grid




Position in grid             Organization and management of IS planning
Strategic                   Significant general management guidance. Integration of corporate
                            planning and IS planning
Turnaround                  Same as strategic

Factory                     Less involvement from top management. Guidance from corporate
                            plan to maintain IS alignment
                            Detailed operational and capacity planning by IS function
Support                     Little top management involvement
                            Little or no guidance from corporate plan


Strategic fit
    • Each organization has a culture which reinforces values, norms, and beliefs about the organization.
        Goals, objectives, and strategy for information systems should fit with the culture in order to avoid high
        resistance and high risk of failure.
Strategy Set Transformation
    • Explicate the organization’s strategy set
            – Delineate the organization structure for users
            – Identify goals of claimants
            – Identify organizational goals and strategies for each claimant group
    • Validate the organizational goals from management
    • Transform organizational strategy set into the information system strategy set
            – Identify IS objectives for each organizational strategy
            – Identify IS constraints from organizational strategy
            – Identify IS design strategy based on organizational attributes

Analysis of Organizational information requirements
    • Information requirements are required at the organizational level for information system planning,
       identifying applications, and planning an information architecture.
    • More detailed information requirements are required for detailed design of applications.
Strategy approach to the determination of Information requirements
    • Constraints
           – Humans as information processors
           – Variety and complexity
           – Complex patterns of interaction
           – Unwillingness of some users
    • Levels of requirements
           – Organizational level
           – Database level
           – Detailed requirements for an application

Steps:
   • Identify those characteristics of the four elements in the development process that affect uncertainty in
       the determination of information requirements
           – Utilizing system
           – Information system or application
           – Users
           – Analysis
•   Evaluate the effect of the characteristics of the four elements in the development process on three
       process uncertainties:
           – Existence and availability of a set of usable requirements
           – Ability of users to specify requirements
           – Ability of analysis to elicit and evaluate requirements
   •   Evaluate the combined effect of the process uncertainties on overall requirements uncertainty
   •   Select a primary strategy for requirements determination based on the overall requirements uncertainty.
           – Asking
                   • Closed questions
                   • Open questions
                   • Brainstorming
                   • Guided brainstorming
                   • Group consensus
           – Deriving from an existing information system
                   • Existing system being replaced by the new system
                   • Existing system in another , similar organization
                   • Proprietary system or package
                   • Descriptions in textbooks, handbooks, industry studies etc.
           – Synthesizing from characteristics of the utilizing system
                   • Normative analysis
                   • Strategy set transformation
                   • Critical factors analysis approach (critical success factors CSFs)
                   • Process analysis (Business systems planning BSP)
                   • Ends-means analysis
                   • Decision analysis
                   • Socio-technical analysis
                   • Input-process-output analysis
           – Discovering from experimentation with an evolving information system
   •   Select one or more methods from the set of methods to implement the primary strategy


                                    Organizing for development of MIS

Major issues are:
   • Centralization and Decentralization
   • Allocation of hardware and software
   • Maintenance of the service level
   • Fitting the organization of the MIS in corporate organization, its culture and management philosophy

Organization and management of the Information resource function
   • The management of IS in many organizations is experiencing a transition from computers and data-
      based information processing to information as a strategic resource and to an expanded role for
      Information technology termed as information resource management.
   • Reasons for such shifts are the stage of development, and technology. In the six-stage NOLAN model,
      the maturity stage replicates organizational processes and there is a joint information-systems-user
      accountability for information resources. There is also a match between organizational and IS structure.
      The technology is highly integrated with organizational processes and thus should be managed by single
      authority.
Information Resource functions
   • Data processing
   • Telecommunications
   • Office Automation
Information resource executive
His responsibilities include:
   • Operational responsibility for central data processing
   • Coordination of information wide information system planning
   • Maintaining infrastructure for technical services
   • Acquisition and dissemination of knowledge
   • Establishment and enforcement of standards and guidelines for all major IS applications
   • Aiding of adequate placement of information systems expertise and responsibilities
Organization of the information resource function
There are three alternatives, centralization, decentralization or combined forms such as function and matrix.
 Pressures for decentralized control

   •  Availability of low cost technology
   •  Backlog of development work
   •  User-control over operations
   •  Organizational Behaviour
          – Psychological value of unused information
          – Persuasion
          – Symbol of commitment to rational choice
Pressures for centralized control

   •   Staff professionalism
   •   Corporate Database control
   •   Technical competence and control
   •   Comparative cost advantage

Centralization and decentralization of System operations
(Factors affecting location)
   • Economies of scale for computer equipment
   • Integration of processing
   • Data communications cost
   • Technological expertise to support computer operations
   • Hardware installation risks

Centralization Vs Decentralization of system Development (Role of user liaison) : The development work
can be performed at one location or can be distributed along various locations of the organization. But getting
the user and developer together helps achieve effectiveness.

Centralization Vs decentralization of Allocation of Scarce Information Resources
Advantages of centralization are that it facilitates integration and overall balance of development of IS
applications. It also facilitates close adherence to an overall MIS master plan.
Decentralization is implemented using a chargeback system. A chargeback system provides a cost recovery. A
good chargeback method should have the following characteristics:
    • Understand ability
    • Control ability
    • Accountability
    • Cost/Benefit incidence
Thus it should be based on a standard rate per unit processed, such as transactions, inquiries, or reports. Fixed
prices are appropriate for development.

Information cost
Information cost scan be handled as per the following:
•   Overhead
   •   Allocation of expense
   •   Standard resource rates
   •   Standard rate per unit processed
   •   Fixed price
   •   Charges are based on CPU utilization and disk storage costs.

Management of IS personnel
  • Information Analyst helps gather relevant information
  • System Designer designs and models the system
  • Application programmer develops the application
  • Maintenance programmer helps keep the application in good form
  • Program librarian takes care of all the documentation associated with the application
  • Systems programmer help in system level programming
  • Data communications specialist helps in communication data correctly
  • Data administrator takes care of the data kept in the DBMS
  • User liaison interacts with the user
  • Office automation coordinator ensures tools work correctly
  • Information centre analyst handles all the information
  • Operator uses the application
  • Data control clerk validates the data
  • Data entry clerk enters the data
  • Security coordinator ensure security features



                                        Concept and process of control

Managerial control implies the measurement of accomplishment against the standard and the correction of
deviations to assure attainment of objectives according to plans.
It is a continuous process of verifying whether actions are being taken as planned and taking corrective action to
ensure that events conform to plans as closely as possible.

Nature of control
   1. Control process is universal
   2. Control is a continuous process
   3. Control is forward looking
   4. Control involves measurement
   5. Control is an influence process
   6. Management control is a system
   7. Control is best aimed at results
   8. Control is goal oriented

Elements of control
   1. Planning
   2. Information feedback
   3. Delegation of authority
   4. Remedial action

   Interrelationship between planning and control
   Planning is meaningless without control and control is aimless without planning. Control helps understand
   the need for revision of plans if required.
Benefits of control
   1. Guide to operations
   2. Policy verification
   3. Managerial accountability
   4. Employee morale
   5. Psychological pressure
   6. Coordination in action

Types of control
   1. Historical or feedback control
   2. Concurrent control
   3. Feedforward control




   Information feedback systems
   Open and closed loop




   Information feedback is essential to an understanding of the self regulating nature of systems in general and
   how this attribute can be applied in a MIS to aid in decision making

   Control and feedback




   Feed-forward control
Steps in control process
   1. Establishment of standards
          a. Quantitative standards
          b. Qualitative standards
   2. Measurement of Performance
   3. Comparing Performance with Standards
   4. Analysis of deviations
   5. Taking corrective action

Essentials of an effective Control system
   1. Focus on Objectives and needs
   2. Forward looking
   3. Prompt
   4. Critical Point Control
   5. Flexibility
   6. Objectivity
   7. Economical
   8. Motivating
   9. Suggestive
   10. Simple


   Techniques of managerial control
   1. Traditional Techniques
         a. Personal observation
         b. Good organization structure
         c. Unity of objectives
         d. Statistical reports and analysis
         e. Breakeven analysis
         f. Budgetary control
   2. Modern Techniques
         a. Management Audit
         b. Return on investment
         c. Responsibility accounting
         d. PERT and CPM




Steps in System Analysis and Design
1. Need for information (Nature of information)
2. Define the system (Nature of system)
3. Feasibility study (Technical, Economic, Operational)
4. Detailing the requirements (Precise requirements)
5. Conceptual System Design (Input, Process, Output)
6. Detailing the System design (DFDs, Data flows)
7. Structuring the system design (Hierarchy)
8. Conceptual model of computer system (processes)
9. Break the system in programmable modules
10. Develop the test data for checking the system ability
11. Install the system
12. Implementation
13. Review and maintenance
Enterprise Resource planning

In order to manage information, in order to deliver high quality information to the decision-makers at the right
time, in order to deliver high quality information to the decision-makers at the right time, in order to automate
the process of data collection, collation and refinement, organizations have to make IT an ally, harness its full
potential and use it in the best possible way.

For any organization to succeed, all business units or departments should work towards this common goal. At
the organizational level, IT should assist in specifying objectives and strategies of the organization. At the
departmental level, IT must ensure a smooth flow of information across departments, and should guide
organizations to adopt the most viable business practices.

As the departments are large, they remain closed except at the top level, unless a common system is
implemented.

An Enterprise is a group of people with a common goal, which has certain resources at its disposal to achieve
that goal. Resources included are money, material, man-power and all other things that are required to run the
enterprise. Planning is done to ensure that nothing goes wrong. Thus Enterprise Resource planning is a method
of effective planning of all the resources in an organization.

ERP is primarily an enterprise-wide system, which encompasses corporate mission, objectives, attitudes,
beliefs, values, operating style, and people who make the organization.

ERP covers the techniques and concepts employed for the integrated management of businesses as a whole,
from the viewpoint of the effective use of management resources, to improve the efficiency of an enterprise. It
is a mirror image of the major business processes of an organization, such as customer order fulfillment and
manufacturing. Its set of generic processes, produce the dramatic improvements they are capable of only, when
used to connect parts of an organization and integrate its various processes seamlessly.

Reasons for the growth of the ERP market
    1. To enable improved business performance through reduces cycle time, increased business agility,
       inventory reduction, order fulfillment improvement
    2. To support business growth requirements through new product lines, new customers, meeting global
       requirements
    3. To provide flexibility, integrated, real-time decision support through improved responsiveness across
       the organization
    4. To eliminate limitation in legacy systems of century dating , fragmentation of data, inflexibility to
       change etc
    5. To take advantage of the untapped mid-market by increasing functionality at a reasonable cost, vertical
       market solutions etc.
The advantages of ERP
   1. Business Integration through automatic data updations
   2. Flexibility to adapt to global differences
   3. Better analysis and Planning capabilities by utilizing many types of support systems
   4. Use of latest technology to sustain growth.

Why do many ERP implementations fail?
  1. Wrong product
  2. Incompetent and hazardous implementation.
  3. Lack of training for employees

Integrated Management Information
An information system is an open, purposive system that produces information using the ‘input-process-output’
cycle. The minimal information system consists of three elements-people, procedures and data. People follow
procedures to manipulate data to produce information.


ERP Modules
  1. Finance
         a. Financial Accounting e.g. General Ledger, Accounts receivable and payable, Asset accounting,
            legal consolidation, controlling, overhead cost controlling, cost centre accounting, overhead
            orders, activity based costing, product cost controlling, cost object controlling, profitability
            analysis
         b. Investment Management e.g. Investment Planning
         c. Controlling e.g. Overhead cost Control
         d. Treasury e.g. Cash Management, treasury management, market risk management, funds
            management
         e. Enterprise Controlling e.g. EIS
         f. Profit Centre Accounting
  2. Manufacturing
         a. Material and Capacity Planning
         b. Shop Floor Control
         c. Quality Management
         d. JIT/ Repetitive Manufacturing
         e. Cost management
         f. Engineering Data Management
         g. Engineering Change Control
         h. Configuration Management
         i. Serialization/ Lot Control
         j. Tooling
  3. Sales and Distribution
         a. Master Data Management
         b. Order management e.g. Sales Order Management, Purchase Order Management,
         c. Warehouse Management includes inventory planning, inventory handling, intelligent location,
            inventory reporting, inventory analysis, lot control, distribution data collection, etc.
         d. Shipping
         e. Billing
         f. Pricing
         g. Sales Support
         h. Transportation
         i. Foreign Trade
  4. Plant Maintenance
         a. Preventive Maintenance Control
         b. Equipment Tracking
         c. Component Tracking
         d. Plant Maintenance Calibration Tracking
         e. Plant Maintenance Warranty Claims Tracking
  5. Quality Management
         a. Quality planning
         b. Quality inspection
         c. Quality control
  6. Materials Management
         a. Pre-purchase Activities
         b. Purchasing
c. Vendor Evaluation
        d. Inventory management
        e. Invoice verification and material inspection
   7. Human Resources
        a. Personnel Management includes personnel administration, employee master data, recruitment
           management, travel management, benefits administration, salary administration
        b. Organizational Management includes payroll accounting
        c. Payroll Accounting
        d. Time Management includes shift planning
        e. Personnel Development includes training and event management


ERP Market consists of the big 5 vendors (Sap, Oracle, Peoplesoft, Baan, JD Edwards) and others. The big 5
account for 61% of the market share.

SAP (Systems, Applications and products in Data Processing)
SAP ERP packages come in two versions: the mainframe version (SAP R/2) and the client/server version (SAP
R/3)
SAP products feature a sophistication and robustness unmatched by other business software solutions. SAP has
developed an extensive library of more than 80 predefined business processes, spanning each functional
software requirement.

R/3 Overview
The 3-tier architecture separates a system into three functional layers, each structured to support the demands of
its functions.
     1. The database layer resides on central servers or mainframe host computers
     2. The application layer holds the processing logic of the system, preparing and formatting data for
         individual offices or departments.
     3. The presentation layer typically on personal computers, handles all the tasks related to the presentation
         of data, including user interfaces that enable easy access to complex applications and data.

SAP also incorporated And integrated the intranet and internet technologies into business solutions for its
customers.
Although designed as an integrated system, R/3’s modules can also be used individually
SAP has recently come out with BAPIs (Business application programming interface) which helps SAP interact
with third party applications

Bann
The Baan series-based product family includes Baan Enterprise Resource Planning (Baan ERP), Baan Front
Office, Baan Corporate Office Solutions, Baan Supply Chain Solutions etc.
Baan serves a number of industries like Aerospace & Defense and Automative.
The Baan ERP modules include the following
   • Manufacturing
   • Finance
   • Project
   • Distribution


Oracle
Oracle’s Warehouse Technology Initiative provides customers with a complete data warehousing solution.
Oracle’s Integrated Business Intelligence Solutions deliver powerful capabilities to users anywhere in the
enterprise, at any time. Products include Oracle Reports, Oracle’s Enterprise Reporting Tool, Oracle
Discoverer, Oracle’s Query and Analysis tool etc.
Oracle Applications is a leading provider of packaged and integrated front office and ERP solutions for the
enterprise. It follows internet computing model.
Oracle has 45+ modules divided into following categories
     • Oracle Financials
     • Oracle Human Resource
     • Oracle Projects
     • Oracle Manufacturing
     • Oracle Supply Chain
     • Oracle Front Office


Peoplesoft
It provides industry specific enterprise solutions to customers in select markets, including communications,
financial services, healthcare, manufacturing, higher education.
Its applications can be implemented as a single application, or a complete enterprise-wide solution
Peoplesoft tools include several tools for reporting, customization and workflow.
Peoplesoft implementation toolkit has a modular application structure, which lends itself to the use of phasing-
an incremental process. It has four phasing strategies:
     1. Geographical: Applicable when business practices and processes in various locations are independent to
        justify separate implementations.
     2. Departmental: Your initial phase is focused on full implementation for a given department, additional
        departments incremented later.
     3. Core and then support processes
     4. No phasing required in some situations.


JD Edwards
JD Edwards WorldVision is a thin client bridge that provides the Graphical User Interface (GUI) with a look
and feel common to the PC, while protecting your investment in WorldSoftware and the AS/400. The different
product modules available from JD Edwards are:
   • Foundation Suite
   • Financial Suite
   • Logistics/Distribution Suite
   • Services Suite
   • Manufacturing Suite
   • Architecture, Engineering, Construction, Mining and Real Estate Suite
   • Energy and Chemical Suite
   • Payroll Suite
   • Human Resource Suite
   • Customer Service Management Suite
   • Government, Education, and Not-for-profit Solutions
   • Utility and Energy Solutions
ERP Implementation lifecycle



                                 Pre-selection screening

                                  Package Evaluation

                                    Project Planning

          Gap Analysis                  Reengineering               Configuration

        Implementation Team building              Testing         End-user Training

                                        Going Live

                               Post-implementation Phase




                                                        What is CRM?
    CRM stands for Customer Relationship Management. It is a process or methodology used to learn more about customers'
    needs and behaviors in order to develop stronger relationships with them. There are many technological components to CRM,
    but thinking about CRM in primarily technological terms is a mistake. The more useful way to think about CRM is as a process
    that will help bring together lots of pieces of information about customers, sales, marketing effectiveness, responsiveness
    and market trends.
    CRM helps businesses use technology and human resources to gain insight into the behavior of customers and the value of
    those customers.

                                                        CRM Software
        Sales Force Automation


•     Contact management
      Contact management software stores, tracks and manages contacts, leads of an enterprise.
•     Lead management
      Enterprise Lead management software enables an organization to manage, track and forecast sales leads. Also helps
      understand and improve conversion rates.

        eCRM or Web based CRM


•     Self Service CRM
      Self service CRM (eCRM) software Enables web based customer interaction, automation of email, call logs, web site
      analytics, campaign management.
•     Survey Management Software
      Survey Software automates an enterprise's Electronic Surveys, Polls, Questionnaires and enables understand customer
      preferences.

        Customer Service


•     Call Center Software
•     Help Desk Software

        Partner Relationship Management
•     Contract Management Software
      Contract Management Software enables an enterprise to create, track and manage partnerships, contracts, agreements.
      Example: Upside Software, Accruent Software, diCarta, I-Many.
•     Distribution management Software




    Using CRM, a business can:


•     Provide better customer service
•     Increase customer revenues
•     Discover new customers
•     Cross sell/Up Sell products more effectively
•     Help sales staff close deals faster
•     Make call centers more efficient
•     Simplify marketing and sales processes


                                       The types of data CRM projects collect

•     Responses to campaigns
•     Shipping and fulfillment dates
•     Sales and purchase data
•     Account information
•     Web registration data
•     Service and support records
•     Demographic data
•     Web sales data



    The secret to an effective CRM package is not just in what data is collected but in the organizing and
    interpretation of that data. That's where computers come in handy (apart from the Solitaire you can play on
    them :-)) Computers can't, of course, transform the relationship you have with your customer. That does take a
    cross-department, top to bottom, corporate desire to build better relationships. But computers and a good
    computer based CRM solution can increase sales by as much as 40-50% - as some studies have shown.

    One of the important activities of CRM is segmenting customers. To achieve this, important subsets of data,
    stored in central database by ERP, are copied into a separate repository, called data warehouse. Once the data
    warehouse is in place, companies can use data mining technique to help them if through transaction data in the
    data warehouse. Companies look for patterns in information to identify the customer relationship.

    CRM also allows:
      • One-to-one marketing: Once a customer is categorized, products, promotions, and pricing can be
         tailored accordingly.
      • Sales force automation: Customer contacts are logged in the company's database. The customer can be
         understood using past transactions and the sales representative can know the customer before visiting.
      • Sales Campaign Management Software: This software lets a company organize a marketing campaign
         and compile its results.
      • Marketing Encyclopedia: This software serves as a database of all promotional information required by
         sales representatives or customers.
      • Call centre automation: The representative can get assistance about products.
      • CRM needs ERP as a base since an ERP contains all the common transactions of business, relevant for
         CRM
Types of CRM systems
   1. Operational oriented CRM systems: It provides transactional level data on individual products,
       transactions and customers
   2. Analytical CRM systems: It holds aggregate data and supports for strategic planning process
   3. Collaborative CRM systems: It is the use of web technologies to facilitate customer, staff and business
       partner’s communications.

Stages of CRM
   1. Customer selection
   2. Customer acquisition
   3. Customer retention
   4. Customer extension



Procurement Management
Procurement management system provides a solution to conduct centralized purchase based on the demands
individually submitted and approved by competent authorities. It provides a way to businesses that how they
purchase their inventories at a reasonable price.
Procurement is often regarded as the narrow process of inviting bids and awarding contracts. The cycle
approach to procurement ensures that the early steps in the process and the later steps are given the same
emphasis




                                     Procurement Process
The following may be involved in the procurement cycle as it depends upon individual implementation
   1. Those staff assuming project management roles: project owner, project manager, project board, project team
      roles.

   2. The contract or relationship manager

   3. Trained procurement staff

   4. Stakeholders such as users, existing suppliers, finance section.

   5. Other professional advisors such as accountants, legal advisors, technical advisors


Critical Success Factors
   1. Do not apply the procurement process in a mechanistic manner. Good judgement, applied ethically and with a
      transparent audit train

   2. Project management, contract management and a robust procurement process together offer a great chance of
      success

   3. Procurement should be recognised as a profession and carried out by skilled staff

   4. The gateway process is an essential project management tool particularly for high medium risk procurements.


Procurement Risk Matrix




Ethical Procurement Behavior
   1. Disclosure of Interest should be disclosed for any transaction
   2. Gifts and hospitality whether accepted or rejected, should be recorded, and under no circumstances
       should the supplier be able to influence.
   3. Confidentiality of Information should be maintained
   4. Fair Competition
   5. Professionalism
   6. Responsibilities of setting an ideal behaviour, presenting an open image, ensuring that instructions are
       understood, supervising staff, regularly rotating posts, etc.



                                            Supply Chain Management

Supply Chain Management encompasses every effort involved in producing and delivering a final product or
service, from the supplier’s supplier to the customer’s customer. Supply Chain Management includes managing
supply and demand, sourcing raw materials and parts, manufacturing and assembly, warehousing and inventory
tracking, order entry and order management, distribution across all channels, and delivery to the customer.

Supply chain objective
   • Maximize overall value generated
   • Value strongly correlated to supply chain profitability – the difference between the revenue generated
       from the customer and the overall cost across the supply chain
   • Example: A customer purchasing a computer from Dell pays $ 700 (the revenue)
   • Dell and other stages of the supply chain incur cost to convey information, produce the components,
       store them, transport them, transfer funds, etc.


Why is SCM Important?
  • Strategic Advantage – It Can Drive Strategy
      * Manufacturing is becoming more efficient
      * SCM offers opportunity for differentiation (Dell) or    cost reduction (Wal-Mart or Big Bazaar)
  • Globalization – It Covers The World
      * Requires greater coordination of production and distribution
      * Increased risk of supply chain interruption
      * Increases need for robust and flexible supply chains

   •   At the company level, supply chain management impacts
       * COST – For many products, 20% to 40% of                        total product costs are controllable
                    logistics costs.
       * SERVICE – For many products, performance                       factors such as inventory availability
                    and speed of delivery are critical to               customer satisfaction.


Dynamics of Material Flow
Demand Forecasting
     Material Requirement Planning                                    Demand Planning


               Component          Production
               Requirement            Plan
                Pre-selection screening

                 Package Evaluation

                  Project Planning
     Supplier             Plant         Warehouse              Logistics     Retailer
Gap Analysis          Reengineering            Configuration
          Supplier          Plant        Warehouse Logistics               Retailer
 Implementation Team          Testing            End-user

                       Going Live

                  Post-implementation
                            Order Management




     Supplier             Plant         Warehouse              Logistics     Retailer
Dynamics of Order Flow
                                             Demand Forecasting
         Material Requirement Planning                                    Demand Planning


                   Component          Production
                   Requirement            Plan
                    Pre-selection screening

                     Package Evaluation

                      Project Planning

    Gap Analysis          Reengineering            Configuration
              Supplier          Plant        Warehouse Logistics               Retailer
     Implementation Team          Testing            End-user

                           Going Live

                      Post-implementation
                                Order Management




          Supplier            Plant         Warehouse              Logistics     Retailer


Supply Chain Planning Processes
Demand Forecasting
         Material Requirement Planning                                    Demand Planning


                   Component           Production
                   Requirement            Plan
                    Pre-selection screening

                     Package Evaluation

                       Project Planning

    Gap Analysis          Reengineering             Configuration
               Supplier          Plant        Warehouse             Logistics   Retailer
      Implementation Team          Testing            End-user

                            Going Live

                      Post-implementation
                                Order Management



Process View
Customer order cycle
   • Customer arrival
   • Customer order entry
   • Customer order fulfillment
   • Customer order receiving

Replenishment cycle
   • Retail order trigger
   • Retail order entry
   • Retail order fulfillment
   • Retail order receiving

Manufacturing cycle
  • Order arrival from the distributor, retailer, or customer
  • Production scheduling
  • Manufacturing and shipping
  • Receiving at the distributor, retailer, or customer

Modeling for SCM
    • Forecasting Models
         - These models allow prediction of demand based on past data or other parameters that are
independently available. They enable better planning, given the lead-time necessary for response.
    • Location Models
         - These models identify the optimal location of facilities such as plants and warehouses, considering the
inbound and outbound           transportation costs as well as the fixed and variable costs of operation at the
locations under consideration. These are usually formulated as Mixed Integer Programming Models
    • Distribution Network Design Models
         - These models are usually comprehensive in nature, deciding between two, three and even four stages
of distribution network, location of warehouses and break-bulk points,         and sometimes even the
transportation.
    • Allocation Models
         - These models help in optimally allocating commodities from sources to destinations in a multi-source,
multi-destination environment. The costs considered for optimisation are production costs and warehousing
costs. The constraints considered can be due to demand, capacity, route restrictions, etc.

   •    Inventory Models
        - Inventory plays a major role in SCM.
        - Inventory can be of various types such as:
                - Batching and shipment inventories
                - Buffer stocks to take care of uncertainties
                - Pipeline inventory ( primary and secondary transportation )
        These models minimize the total relevant cost, based on trade-offs among, inter alia, inventory carrying
cost, ordering cost, stock-out cost, transportation cost, taxes & duties, etc.
    • Routing Models
        - These models allow optimal routing on a transportation network from a given source to a destination.
The models used are the Shortest Path Problem, the Traveling Salesman Problem and the Vehicle Routing
Problem. Decision Support Systems that interactively use the expertise of the decision maker by providing
graphical support through a map (i.e., using a Geographical Information System) are also very useful in such
decisions.

   •   Scheduling Models
- These models enable allocation of resources to particular activities. Depending on the criteria of
interest and the number of resources, the models are of aid in evaluating appropriate rules for allocation.
    • Alternative Analysis
        - This model simply proposes the identification of alternatives, criteria for decision making and analysis
of the alternatives across the criteria to arrive at the best choice. Formal approaches such as simulation and
analytic hierarchy process could be used in assessing the implications of the criteria.

Management Information Systems

  • 1.
    Management Information Systems The objective of an MIS is to provide information for decision making on planning, initiating, organizing and controlling the operations of subsystems of the firm and to provide a synergistic organization in the process. A system is a group of interrelated or interacting elements forming a unified whole, and working together towards a common goal by accepting inputs and producing outputs in an organized transformation process. Such a system has three basic (it can become more useful by including others) interacting components or functions namely: • Inputs • Processing • Output It could also include: • Feedback / Storage as the case may be • Control (monitoring and evaluating feedback or information) to maintain performance An open system interacts with other systems, whereas a closed system does not interact with other systems. A system that has the ability to change itself or its environment in order to survive is an adaptive system e.g. organization as a system. Terms used in the system’s concept. 1. A system’s purpose is the reason for its existence and the reference point for measuring its success e.g. the purpose of Dell’s order fulfillment system is to efficiently produce and deliver what the customer ordered. 2. A system’s boundary defines what is inside the system and what is outside e.g. ordering system might consider delivering outside its boundary. 3. A system’s environment is everything pertinent to the system that is outside of its boundaries. 4. A system’s inputs are the physical objects and information that cross the boundary to enter it from its environment. 5. A system’s outputs are physical objects and information that go from the system into its environment. Work systems in businesses need to change frequently to accommodate to changing conditions in their environments and changing customer needs. System Analysis aims at studying the present and/or proposed information flows in order to find the ways of meeting the objectives of the organization, in the best way possible. These ways may include methods of information collection and provisions at various organizational levels, improvements in information formats and procedures being adopted by the organization, etc. The information should be at the right time, in the right format, through the right medium, with the right contents and no redundancies. System Design must be implementable within the given resources and must be maintainable easily. The design process should consider that resources spent on them should be minimal, maintainability should be made easy with less complex design, the benefit derived should be more than the cost, flexibility to adapt to changes and the organization should be integrated. An Information System can be any organized combination of people, hardware, software, communications networks, and data resources that collects, transforms, and disseminates information in an organization.
  • 2.
    An Information Systemmodel consists of the following:- • Resources such as people, data, hardware, software and networks are used by Information Systems. • Information Processing consists of system activities of input, processing, output, storage and control. The major roles of Information Systems are:- 1. Support Business Processes 2. Support Decision Making 3. Support Competitive Advantage Types of Information Systems 1. Operations support systems produce a variety of information products for internal and external use, which process data used by business operations. These have three further categories:- a. Transaction processing systems record and process data resulting from business transactions. Transactions are processed in two basic ways: i. Batch, where transactions are accumulated over a period of time. A group of entries are made at a time; which are accepted by the information system, on a command by the user, for updating the records. ii. Real-time or on-line, where processing is done immediately. Whenever an activity takes place in the organization, an entry is made in the information system in the form of a record and the computer automatically updates it’s all other records affected by the entry b. Process control system monitors and controls physical process c. Enterprise collaboration systems enhance team and workgroup communication and productivity and are also called office automation systems. 2. Management support Systems provide information and support for effective decision-making. These are of following types a. Management Information Systems provide information in the form of reports and displays to managers and many business professionals b. Decision support systems give direct support to managers during the decision-making process. It provides some indications to a user on the basis of information stored in the system and the parameters provided by the user. c. Executive information systems provide critical information from a wide variety of internal and external sources, in easy-to-use displays, to executives and managers. 3. Expert systems provide expert advice from operational chores like equipment diagnostics or decisions for loan portfolio management. 4. Knowledge management systems support the creation, organization and dissemination of business knowledge to employees and managers throughout the company. 5. Functional business systems focus on operational and managerial applications in support of basic business functions such as accounting or marketing. 6. Strategic information systems apply IT to firm’s products, services, or business processes to help it gain a strategic advantage over its competitors. 7. Cross functional Information Systems interact with several types of Information Systems that provide a variety of functions. The success of an Information System is measured not only by its efficiency in terms of minimizing costs, time and the use of information resources, but also by the effectiveness of Information Technology in supporting an organization’s business strategies, enabling its business processes, enhancing its organizational structures and culture, and increasing the customer and business value of the enterprise. Information systems can be classified on the following basis
  • 3.
    1. By function a. Operations (Resources, processes, products) b. Administrative (support functions) c. Planning and control (management use) d. Environmental (e.g. competition) 2. By type of processing a. Batch b. Online, real-time c. Distributed 3. By usage a. Transaction processing b. Management Information c. Decision support d. Expert system 4. By application a. Manufacturing b. Warehousing c. Distribution d. Marketing e. Retailing f. Services g. Banking h. Insurance i. Transportation j. Governmental k. Defense l. GIS 5. By levels of management a. For operational control b. For management control c. For strategic control 6. By resources a. Financial information resource b. Marketing information resource c. Personnel information resource Management Information System (Definition) Management comprises the process or activities that describe what managers do in the operation of their organization: plan, organize, initiate and control operations. Because decision making is a fundamental pre-requisite to each of the forgoing processes, the job of an MIS becomes that of facilitating decisions necessary for planning, organizing and controlling the work and functions of the business, Information is different from data. Data is the plural of ‘datum’. Data are raw facts and figures or observations, typically about physical phenomena or business transactions e.g. the sale transaction. Data may not currently be used in a decision process and usually takes the form of historical records that are recorded and filed without immediate intent to retrieve for decision making.
  • 4.
    Information is datathat has been converted into a meaningful and useful context for specific end users. It consists of data that have been retrieved, processed, or otherwise used for informative or inference purposes, argument, or as a basis for forecasting or decision making. It is placed in a context that gives its value for specific end users. The value added process for data is where (i) Its form is aggregated, manipulated, and organized (ii) Its content is analyzed and evaluated (iii) It is placed in a proper context for human user Processing of data into information can involve anything from calculating, comparing, sorting, classifying, and summarizing to updating existing data. The input for processing is data the output is information System is a set of elements joined together for a common objective. A subsystem is part of a larger system with which we are concerned. The system concept of MIS is therefore one of optimizing the output of the organization by connecting the operating systems through the medium of information exchange. The objective of an MIS is to provide information for decision making on planning, initiating, organizing and controlling the operations of subsystems of the firm and to provide a synergistic organization in the process. MIS is the automating of routine and structured tasks to support decision making. • MIS support decision making in both structured and un-structured problem environments • MIS support decision making at all levels of the organization • MIS are intended to be woven into the fabric of the organization, not standing alone • MIS support all aspects of the decision making process. • MIS are made of people, computers, procedures, databases, interactive query facilities, and so on. They are intended to be evolutionary / adaptive and easy for people to use. The need for synergy in organization calls for the systems approach in management. It has been accelerated by two major reasons: • The increased complexity of business • The increased complexity of management The increased complexity of business can be attributed to four primary causes (i) Technological revolution (ii) Research and development (iii) Product changes (iv) Information explosion The increased complexity of management can be met by following four breakthroughs or developments: (i) The theory of information feedback systems (ii) A better understanding of the decision making process (iii) Operations research or management science techniques that permit an experimental or simulation approach to complex problems (iv) The electronic computer Management Information System consists of a group of people, a set of manuals, and data processing equipment (a set of elements) select, store, process and retrieve data (operate on data and matter) to reduce the uncertainty in decision-making (seek a common goal) by yielding information for managers at the time they can most efficiently use it (yield information in a time reference).
  • 5.
    A business processis a related group of steps or activities in which people use information and other resources to create value for internal or external customers. These steps are related in time and place, having a beginning and end, and have inputs and outputs. A process’s value added is the amount of value it creates for its internal or external customer. There are three different types of business processes. (i) Processes that cross functional area (ii) Processes related to a specific functional area (iii) Activities and sub processes occurring in every functional area. The set of processes a firm uses to create value for its customers is often called its value chain. The Managers of tomorrow Changes in behavior of people and our understanding of how to motivate people in the work environment have progressed quite slowly despite many promised gimmicks. Changes in physical systems such as the factory production system, the physical distribution system, the data processing system or the engineering development and test system are occurring rapidly with the accelerating progress in technology. Management has existed since people first realized that a co-operative society was necessary to accomplish their goals. There are many different ways to do any particular type of work. A crucial management responsibility is to identify ways to do work more efficiently and to produce better products and services. Many organizations and manager make the basic mistake of believing that a management information system can be designed or made operational without the backup of an adequate management system. Given an adequate management system, an information system can be designed upon its foundation. An information system provides the manager with the information needed in the form, place and time to perform the job according to the specifications of the management system. A new system (such as Information system) when introduced, provides newly emerging behavioral patterns. This change has two facets: technological and social. The social change gains resistance. Three positive steps for effecting change based on our knowledge of organizational behavior are: 1. Create a climate for change 2. Develop effective agents of change 3. Modify the required organizational system in the light of anticipated emergent behavior. The management process and information needs Environmental information consists of: (1) Political and governmental considerations (2) Demographic and social trends (3) Economic trends (4) Technological environment (5) Factors of production such as source, cost, location, availability, accessibility, and productivity of the major production factors of labor, materials and parts and capital Competitive information considers: (1) Industry demand (2) Firm demand (3) The competition:- a. Past performance b. Present activity (price strategy, advertising, campaigns etc)
  • 6.
    c. Future plan(new products) Internal Information such as (1) Sales Forecast (2) Financial Plan (3) Supply factors (labor, capital, plant and equipment, organization etc) (4) Policies “Management is the art of getting things done”. In the process of, a manager uses human skills, material resources and scientific methods to perform all activities leading to the achievement of goals. The advantage of viewing management as a system is that it enables us to see the critical variables, constraints and their interaction with one another. It forces the manager to look at the situation in such a way that due regard is given to the consequences arising out of interaction with the related elements or subjects. Approaches to management 1. Fredrick W Taylor, recognized as the father of scientific management states his rules as follows: a. Replace the rules of thumb with scientific rules b. Obtain a harmony in group action c. Achieve cooperation of human beings, rather than chaotic individualism. d. Work for a maximum output e. Develop all workers to the fullest possible potential for their own highest possible prosperity 2. Henry Fayol states his principles of operational management as: a. Division of work b. Authority and responsibility c. Discipline d. Unity of command e. Unity of direction f. Subordination of individual to corporate interest g. Remuneration h. Centralization i. Scalar chain j. Order k. Equity l. Stability of tenure m. Initiative Functions of the Manager 1. Planning is a process of determining the goals and objectives and evolving strategies, policies, programs and procedures for the achievement of these goals. The essence of the process is decision making. The planning process consists of three steps (i) Forecasting (ii) Determining the alternative course of action (iii) Evaluating the best course of action. 2. Organization involves evolving the structure of the people working in the organization and their roles. Building a meaningful effective structure of authority and the relationship is known as organizing. It should consider the span of control, the centralization and decentralization methods, delegation of authority, formal and informal setup. 3. Staffing involves manning the positions in the organization structure. It requires appropriate selection of the person or persons ensuring that they together will achieve the goals and objectives of the organization. Ensuring that the right person is at the right place, and has a good job environment. The WBS helps in determining the job specifications. The schedules for projects play an important role in determining number of employees.
  • 7.
    4. Directing isa complex task of implementing the process of management. In the process, the manager is required to guide, clarify and solve the problems of the people and their activities. It is necessary to motivate the people to work for the goals with an interest and a confidence. Different methods of leadership are present. Autocrative leader decides what should be done. Supportive leader encourages initiatives by employees. 5. Coordinating is the function which brings a harmony and smoothness in the various group activities and individual effort directed towards the accomplishment of goals. It is a process of synchronizing individual actions and the efforts which may differ because of the differences in the personal goals and the common goals, the difference in the interpretation of methods and directions. 6. Controlling is a process of measurement of an output, comparing it with the goals, the objectives and the target, and taking corrective actions, if the output is falling short of the stated norms. Controlling ensures the achievement of the plan. Controlling has following three functions (i) establish standards (ii) measure performance (iii) correct deviations if they occur. Managers and the Environment 1. Economic environment consists of capital, labor, price changes, productivity, fiscal and monetary policy and customers. 2. Technological environment 3. Social environment is built around the attitudes, the desires, the expectations, the degree of intelligence and education, the beliefs and customs, the religion, the caste and creed of the people. 4. Political environment 5. Ethical environment consists of laws and business ethics which emerge from the professional conduct, the business norms and codes on confidentiality, the payment and documentation, the adherence to generally accepted accounting standards. Management by Exception When the management operates under time constraint, each manager has to allocate specific time for the several demands made on his time. An efficient manager tries for selective attention to manage within the available time resource. The principle evolved, therefore, is of the management by exception. The organization system consists of: (1) The formal organizational system as described in the charts, policies and procedures. (2) The informal organization (3) The individual as a system (4) The Management Information System (5) The organizational communication system (6) The power system (7) The functional system (8) The management process system (9) Material logistics system Delegation of authority in an organization depends upon the following factors (1) Cost: The more costly the decision, the more likely it is to be centralized (2) Uniformity of policy: The more uniform and centralized a policy (the less need there is to delegate authority) (3) Complexity of the organization: the more complex the organization, the greater the need for coordination and centralization of authority. (4) Custom of the business: The authority determines authority delegation. (5) Availability of good managers encourages delegation. Information and Organizing
  • 8.
    The system’s viewof the organization takes into account the interaction and flow of information. The organization should be designed according to the information flow and other factors of information chosen to plan and control performance. Diagram showing methods of departmentalization Transaction Processing When a transaction is recorded manually, a copy of the document is usually used for data preparation. Special data preparation methods are keydisk (i.e. through a keyboard), optical character recognition (OCR) or magnetic ink character recognition (MICR) The data is validated to determine its correctness and completeness. Subsequently the machine-readable stored data (master file) related to or affected by the transaction is updated and outputs are prepared in the form of documents and reports. Reasons for preparing transaction documents are:- (1) Informational: To report, confirm, or explain proposed or completed action (2) Action: To direct a transaction to take place (e.g. shipping orders etc) (3) Investigational: for background information or reference by recipient A single document or different copies of it may serve both action and informational purposes. E.g. one copy of the sales order confirmation may be sent to the customer to confirm the order; a second copy may be used as an action document to initiate filling of the order. Transaction records are distributed to other departments to respond to queries, can be saved on terminal for authorized reference, or scanned by managers for unusual occurrences. However reports and analyses solve the managerial purpose better. Transaction can be processed in batch or in real-time. One advantage of real-time processing is that the error checking or validation is done immediately, causing early detection and tracing or error. The time delay in case of batch processing can make tracing of error difficult. The processing trial is needed by external auditors and certain tax regulators. It should meet following three requirements (1) Any transaction can be traced from the source document through processing to outputs and to totals (2) Any output or summary data can be traced back to the transactions or computations used to arrive at the output or summary.
  • 9.
    Information Information as aSystem The information system receives inputs of data and instructions, processes the data according to the instructions, and outputs and results. The information system can be divided into five major subsystems, each of which can be further divided. 1. Hardware and system software: The computer hardware and the system software necessary for hardware operation. 2. Management and administration 3. Operations 4. Application system development and maintenance 5. Application systems Information is efficient if it is correct, complete, unambiguous, validated, timely and organized. Information is effective if it serves the purpose of decision correctly. The value of information may be theoretically determined by the value of a change in decision-making behavior. Utility of information 1. Form utility: As the form closely matches decision maker, its value increases 2. Time utility: Information has greater value to the decision maker if it is available when needed. 3. Place utility: Information has greater value if it can be accessed or delivered easily. 4. Possession utility: If the dissemination of information to others is controlled. There are two aspects to information. The first is to derive information from the data, through data processing, and the second is to communicate it properly to the concerned people. Methods of improving communication are massage summarizing (to reduce the amount of data to be transmitted) and message routing (sending information only to the people concerned). The information distribution can be controlled to improve communication. In message delay, transmission is delayed to avoid overload, to distort, inhibit, or suppress transmission. In message modification or filtering summarizes data or blocks certain data by filtering. In uncertainty absorption, inferences are drawn for the data, and inferences, instead of the data are transmitted. In presentation bias, the information is presented in a way to convey the desired message. Value of information in decision making: The value of information is the value of the change in decision behavior caused by the information less the cost of obtaining the information. Value of information other than in decision: The information can be used for motivation, background building and model building. Information resource management is an approach to management based on the concept that information is an organized resource. The scope if IRM includes data communication, word processing, personal computers and traditional data processing. It emphasizes the organizational effectiveness of the information system resource rather than the technical sophistication or efficiency of the hardware and software. Component activities that make up the overall information resources function are: 1. Data processing 2. Telecommunications 3. Office automation Information Resource Executive (Chief Information officer (CIO)) His responsibility includes the following
  • 10.
    1. responsibility for central data processing and data communication systems 2. Coordination of organization wide information system planning 3. Maintaining infrastructure for technical services 4. Acquisition and dissemination of knowledge and expertise regarding new technology
  • 11.
    Structure of MIS OperatingElements of an Information System • Physical Components – Hardware relates to physical computer equipment for input, output, storage, processing and communication – Software – Database – Procedures such as User instructions, data preparation for input and operating the instructions – Operations personnel such as computer operators, system analysts, programmers, data administrators etc. • Processing Functions – Process transactions such as purchase or sale – Maintain master files – Produce reports – Process inquiries – Process interactive support applications • Outputs for the user – Transaction documents – Preplanned reports – Preplanned inquiry responses – User-machine dialog results Reports can be used for information, action description or for investigational purposes Management Information System MIS for Strategic planning MIS for tactical planning MIS for Operational planning Transaction processing Management activities
  • 12.
    Strategic planning: Definition of goals, policies, and general guidelines charting course for organization. Determination of organizational objectives. (Long term) • Management control and tactical planning: Acquisition tactics, plant location, new products, establishment and monitoring of budgets. (medium tenure) • Operational planning and control: Effective and efficient use of existing facilities and resources to carry out activities with budget constraints. (Short term) Decisions making in management comprises of Structured and unstructured decisions. Structured decisions have a pattern and logic. Unstructured decisions are made by intuition and human judgment is involved Two approaches exist to defining the subsystems of an MIS. • According to the organizational functions such as marketing, production, logistics, personnel, finance and accounting, information processing, top management • According to managerial activities such as transaction processing, operational control, management control, strategic planning
  • 13.
    Quality in InformationSystems An application has quality relative to its primary and secondary users, operations personnel, control personnel, maintenance personnel, and so forth. Quality in information systems has a number of characteristics. The importance of each depends on the application and its context. The following are some of the characteristics included in the concept of quality in information systems: Complete Data All data items are captured and stored for use. Data items are properly identified with time periods. Accurate data The correct data values are recorded Precise data Measurement of variables meets user needs for precision Understandable output The output of the system is understandable Timely output The output of the application is available in time for actions and decisions Relevant output The outputs are relevant to the actions and decisions to be taken Meaningful output The format, labeling, data provided, and context in which data is presented makes the output meaningful for actions and decisions User friendly operation The system provides user interfaces that are understandable and designed to confirm to human capabilities Error resistant Suitable error prevention and detection procedures are in operations place. There are procedures for reporting and correcting errors. Various audit procedures are applied. Authorized use Only authorized personnel have access to facilities, applications and data Protection system and The system and its operations are protected from various operations environmental and operational risks. There are provisions for recovery in the event of failure or destruction of part or all of the system. The role of top management in information system quality control is to establish the overall organization structure, select the information system executive, approve the information system plan and budget, and evaluate performance. The information system executive has the responsibility for organizing and supervising the various control and quality assurance activities in information systems. There are certain control and quality assurance functions that need to be performed in information system operations. The major functions are: 1. Librarian 2. Processing control 3. Access control 4. Database administration 5. Backup and recovery 6. Application development quality assurance
  • 14.
    Architecture of MIS Employees Corporate Databases Corporate databases of intranet of external internal data data Decision support systems Transaction Databases Management Executive Business processing of information Application support transactions systems valid systems databases systems transactions Drill-down reports Expert Exception reports systems Demand reports Operational Key-indicator reports databases Input and Scheduled error list reports
  • 15.
    Structure of MISin Business Internet Internet An Organization’s MIS Financial Business MIS transactions Drill down reports Accounting Transaction Databases MIS Exception reports processing of valid Demand reports systems transactions Key-indicator reports Marketing MIS Scheduled reports Business transactions Databases Human of Resources Etc. external data MIS Extranet Extranet Etc. Figure 9.3
  • 16.
    Marketing System •Product pricing •Interactivemarketing •Targeted marketing includes five components namely community, content, context, Online behavior, demographic •Sales force automation •Market research •Order processing •Sales planning •Inventory management • Warehouse management Inputs to Marketing MIS •Strategic plan and corporate policies •The TPS •External sources: –The competition –The market Databases of Manufacturing Databases of internal data external data DSS Transaction Databases Business processing of valid Marketing transactions systems transactions MIS Marketing for each applications TPS databases Sales by customer Sales by salesperson Manufacturing Operational Sales by product ES databases Pricing report Total service calls Customer satisfaction Figure 9.9
  • 17.
    Manufacturing Information Systems •Qualitycontrol and testing •Just-in-time inventory and manufacturing •Computer integrated Manufacturing simplifies, automates and integrates all production and support processes. It also uses CAD, MES •Process control •Machine control using PLCs Inputs to the Manufacturing MIS •Strategic plan or corporate policies. •The TPS: –Order processing –Inventory data –Receiving and inspecting data –Personnel data –Production process •External sources Databases of Manufacturing Databases of internal data external data DSS Business transactions Transaction Databases processing of valid Manufacturing systems transactions MIS Manufacturing for each applications TPS databases Business Quality control reports transactions Process control reports Manufacturing Operational ES databases JIT reports Internet or Internet or Extranet MRP reports Extranet Production schedule CAD output Business Customers, transactions Suppliers Figure 9.6
  • 18.
    Human Resource System •CorporateIntranet •Staffing •Training and development Inputs to the Human Resource MIS •Strategic plan or corporate policies •The TPS: –Payroll data –Order processing data –Personnel data •External sources Databases of Manufacturing Databases of internal data external data DSS Transaction Databases Human Business processing of valid Resource Human transactions systems transactions for each MIS resource applications TPS databases Benefit reports Salary surveys Manufacturing Operational Scheduling reports ES databases Training test scores Job applicant profiles Needs and planning reports Figure 9.12
  • 19.
    Financial Management Systems •Profitplanning/ Profit Centre Accounting •Cash management •Online investment management •Capital budgeting, Funds management • Enterpise controlling •Financial Forecasting and planning Inputs to the Financial Information System •Strategic plan or corporate policies –Contains major financial objectives and often projects financial needs. •Transaction processing system (TPS) –Important financial information collected from almost every TPS - payroll, inventory control, order processing, accounts payable, accounts receivable, general ledger. –External sources –Annual reports and financial statements of competitors and general news items. Databases of Financial Databases of internal data external data DSS Business transactions Transaction Databases processing of valid Financial systems transactions MIS Financial for each applications TPS databases Business transactions Financial statements Financial Operational Uses and management ES Internet or databases of funds Internet or Extranet Extranet Financial statistics for control Business Customers, transactions Suppliers Figure 9.3
  • 20.
    Accounting Information System •Costaccounting, activity based costing, product cost controlling, overhead cost controlling •Online accounting System •Order processing •Inventory control •Accounts receivable/payable •Payroll •General Ledger Review of Hardware and Software Technologies Peripherals Peripherals is the generic name given to all input, output and secondary storage devices that are part of a computer system. Peripherals depend on direct connections or telecommunications links to the central processing unit of a computer system. Input technologies 1. Keyboard 2. Pointing devices 1. Electronic mouse 2. Trackball 3. Touchpad 4. Pointing stick 5. Touch screens use infrared beam, sound waves, or a slight electric current that is broken when the screen is touched 3. Handwriting recognition through pen-based computing. PDAs have a pressure sensitive layer like a graphics pad under their slate like liquid crystal display screen. 4. Speech recognition systems digitize, analyze, and classify your speech and its sound patterns. The software compares your speech patterns to a database of sound patterns in its vocabulary and passes recognized words to your application software. 5. Optical scanning devices read text or graphics and convert them into digital input for your computer. Another technology is optical character recognition. 6. Magnetic stripe 7. Smart cards 8. Digital cameras 9. Magnetic ink character recognition detects iron oxide-based ink Output Technologies 1. Video output 1. Video monitors use a cathode ray tube technology 2. Liquid crystal displays (LCDs) 2. Printed output 1. Inkjet printers spray ink onto a page one line at a time. 2. Laser printers use an electrostatic process similar to a photocopying machine. Storage 1. Magnetic tape records data in the form of magnetized spots on the iron oxide coating of the plastic tape.
  • 21.
    2. Magnetic diskscontain metal disks that are coated on both sides with an iron oxide recording material. Several disks are mounted together on which data is stored in the form of tiny magnetized spots to form the binary digits 1. Floppy disks 2. Hard disk drives 3. RAID (redundant arrays of independent disks) 3. Optical disks are used by business for image processing 1. CD-ROM use a laser device to read the binary codes created by burning microscopic pits in a spiral track by laser 2. CD-R records permanently 3. CD-RW use magneto optical technology 4. DVD 5. DVD-ROM 6. DVD-RAM Software Types of programming languages 1. Machine language/ Ist generation language: It is a series of 0s and 1s 2. Assembler language/ IInd generation language: It uses mnemonic names for operations 3. High level language/ IIIrd level language: Instructions are in the form of statements which are compiled or interpreted before being executed 4. Fourth level languages are more non-procedural with simpler syntax 5. Object oriented language Classification of software 1. Application software which performs processing for end user 2. System software that supports operations of computer networks and systems Types of software 1. Software suites are two or more packages bundled together e.g. Microsoft office, Lotus notes suite 2. Software packages are a combination of some functions of several programs e.g. Microsoft works 3. Web browsers enable easy use of internet 4. E-mail is a way of communicating with people 5. Word processors e.g. Microsoft word 6. Electronic spreadsheets e.g. Microsoft excel 7. Presentation graphics e.g. Microsoft PowerPoint 8. Database management systems (DBMS) 9. Technologies for multimedia 10. Personal information managers e.g. lotus notes 11. Operating systems 12. Model generators facilitate the development of models and DSS. It includes programming language, spreadsheets, and statistical packages. A good model generator should have easy usability, access t o wide variety of data and analysis capability. 13. Model Base Management Systems (MBMS) manage models and analysis programs in much the same way as the DBMS manages data.
  • 22.
    Decision Support Systems Businessdecisions are those, which are made in the process of conducting business to achieve its objectives in a given environment. Their major characteristics are: • Sequential in nature • Exceedingly complex due to risks and trade offs • Influenced by personal values • Made in institutional settings and business environment Problems in making rational Decisions • Ascertaining knowledge • Insufficient knowledge • Not enough time to be rational • The environment may not cooperate • Other limitations Decision Process • Intelligence: Searching the environment for conditions calling for decisions • Design: Inventing, developing, and analyzing possible courses of action. • Choice: Selecting an alternative or course of action from those available. Important aspects of these phases • Problem finding is conceptually defined as finding a difference between some existing situation and some desired state. Expectations can be based on historical models, planning models, models of other people such as superiors, extra organizational models. • Problem formulation clarifies the problem, so that design and choice activities operate on the right problem. Strategies of reducing complexity are determining boundaries, factoring problem into smaller problems, focusing on controllable elements. • Developing alternatives involves creativity which can be enhanced by aids such as scenarios, analogies, brainstorming, checklists, templates etc. • Decision making involves consideration of certainty, risk and uncertainty of occurrence Nature of decisions Programmed verses non-programmed decisions • Non-programmed decisions have no pre-established decision rules or procedures
  • 23.
    Programmed decisions can be pre-specified by a set of rules or decision procedures. They imply decision making under certainty because all outcomes are known. Users of DSS 1. Subscription mode: Regular reports received by user 2. Terminal user: Online access through system 3. Clerk mode: Direct use but like batch processing 4. Intermediary mode: Intermediaries perform analysis and interpret the report The primary requirement of DSS for intelligence is the ability to search the database for opportunities and problems. These searches can be summarized as: 1. Structured, continuous search (On regular basis) 2. Structured ad hoc search (Once in a while) 3. Unstructured search (through trial and error) Report elements that assist in problem finding 1. Summarization (Totals and ordering) 2. Comparison (with plans or competitors) 3. Prediction (forecast) 4. Confirmation (for audit or validation) Types of business decisions Decision Operational Management Tactical Management Strategic Management Structure Unstructure Cash management Business Process New e-business initiatives, d Reengineering, Workgroup Company reorganization Process Analysis Semi Credit management, Employee performance Product planning, Mergers structured Production scheduling, Daily appraisal, Capital budgeting, and acquisitions, Site work assignment Program budgeting location Structured Inventory control Program control • Decision making at the operation level is a situation of certainty. Decision making at the middle level is of the risk type because of difficulty in forecasting. At the top level it a situation of total uncertainty on account of insufficient knowledge of the external environment. Types of Models • Behavioral Models are useful in understanding the behavior amongst the business variables. Examples are – Regression models (Y=C+R.X)
  • 24.
    – Time seriesanalysis – Market research methods – Ratio analysis for financial assessment e.g. current ratio=current assets/current liabilities • Management science models – Budgeting models – Break even analysis model (revenue=fixed cost + variable cost) – Return on investment analysis model – Cash budgeting – Procedural models (Economic order quantity/minimum inventory) • Operation research models – Linear programming – Inventory control models – Material requirement planning Methods for selection of decision alternatives • Optimization Technique such as linear programming. These methods are used in cases where decision making situation is closed, deterministic and requires to optimize the use of resources under conditions of constraints. • Payoff Analysis is used when the alternatives and outcomes are not known. A matrix is prepared to evaluate the decisions. (probabilities are set for occurrence) • Utility and indifference curve considers non monetary benefits of decision also and evaluates using the matrix of Payoff Analysis. • Decision Tree Analysis is used when a sequence of decisions are to be made. • Uncertainty avoidance. Example: Choosing to earn $10 with 90% probability than choosing to earn $100 with 12% probability • Organizational learning helps in influencing decision making • Game Theory • Statistical inference such as regression and correlation, testing of hypothesis. Decision Support Systems Decision Support Systems are computer-based information systems that provide interactive information support to managers and business professionals during decision making process. Decision support systems use analytical models, specialized databases, a decision maker’s own insights and judgments and an interactive, computer based modeling process to support the making of semi structured and unstructured business decisions. DSS Components
  • 25.
    Decision Support AnalyticalModeling Type of Example Modeling What-if What if we cut advertising by 10% what would happen to sales? analysis Sensitivity Let’s cut advertising by 1% repeatedly so we can see its relationship to sales analysis Goal-seeking Let’s try increasing advertising until sales reach $1 million analysis Optimizatio What level of advertising maximizes our overall profit? n analysis Typical MIS Reporting • Periodic Scheduled Reports – Example: Monthly Financial Statements • Exception Reports – Example: List of items out of stock • These reports contain information but they might not directly help you determine the best decision to make. • Demand Reports and Responses – Available whenever a manager needs them, updated in real-time. • Push Reporting – Information is pushed to a managers computer – Example: Report is pushed every time a supplier is late with a shipment • MIS Reporting is all about giving managers feedback and doesn’t necessarily help directly with decision making.
  • 26.
    DSS and conceptsin decision making Decision concept Application of decision support system Programmed Vs Non- Both programmed and non-programmed decisions are supported by DSS programmed decisions Satisfying factor Expansion of search beyond satisfying level can be provided Behavioral model Stimulates analysis and stimulates recognition of effects of changing goals Decision making under Interactive decision making during tough times is easy stress Alternative approaches Provides alternatives and guidance in selection Quality of decision It can provide checklists to assessing quality making DSS Vs. MIS MIS DSS Support Info about performance Info and modeling to analyze problems Report Periodic reports Interactive Inquiries Form or On Demand Format Pre-specified Flexible and Adaptable Fixed format Processing Extract and manipulate data Analytical modeling of data Artificial Intelligence Technologies in Business Artificial Intelligence is a field of science and technology based on disciplines such as computer science, biology, psychology, linguistics, mathematics, and engineering. The goal of IT is to develop computers that can think, as well as see, hear, walk, talk and feel. Attributes of Intelligent Behavior
  • 27.
    Think and reason • Use reason to solve problems • Learn or understand from experience • Acquire and apply knowledge • Exhibit creativity and imagination • Deal with complex or perplexing situations • Respond quickly and successfully to new situations • Recognize the relative importance of elements in a situation • Handle ambiguous, incomplete, or erroneous information Expert systems are built using an expert system shell (knowledge base for expert system without kernel, consisting of facts and heuristics) coupled with inference and user interface capabilities. But it has a limitation in terms of learning of system, development cost and maintenance. End User Computing End-User Development (EUD) Specifically, the practice of users developing their own information systems, is often but not always with the support of professional systems developers. The practical involvement of end-users in application development necessitates the easy access to computing facilities. This may be • Timesharing on a centralized mainframe • The use of stand alone personal computers • The use of personal computers which are connected to local area networks and mainframes. In addition to being provided with hardware and software, extra facilities are a necessary condition of successful End user applications development. In particular: • Education and training on the use of software tools • Assistance in the technical aspects of writing, testing, and debugging applications • Availability of reference material • Aid in accessing the corporate database Applications Suitable for End-user Development Applications suitable for end-user development can be grouped into the following 5 categories: • One time enquiries • Simple Reports
  • 28.
    • Minor Changesto Reports or Enquiries • Presentation of Data in Alternate Forms • 'What if' Analyses Applications not suitable for end-user development: • data entry involving organization files and databases (where the data must be validated for accuracy and reliability) • high volumes of transactions, requiring processing efficiency and multiple processing steps • use of 'traditional' computer languages designed for use by professional programmers, requiring detailed statement of processing procedures and controls • changing of data values in existing databases and files • applications spanning several departments or divisions in the organization • applications requiring formal documentation • applications requiring a long development process • applications requiring detailed formal specifications. Who Are The End Users? In general an end-user is anyone who has to interface to a computer who is not employed specifically to do so (ie is not a data entry clerk or an operator). This includes executives interfacing to EIS facilities, middle managers or technicians who use a PC or a terminal to an on-line system, clerks accessing a central database to download data for local processing, individuals using a PC in stand alone mode for their own work, individuals using a PC in stand alone mode for an activity which the corporate management has decided shall be done by computer (eg office automation), clerks interfacing to a computer system which has replaced their manual system (without their having any input) and clerks writing data preparation documents. Web integration is, however, creating a new class of end-user. (S)he is an end-user in one organization who, through integration (3-tier client / server), has suddenly become a user of a system in another organization. A further complication is that now a system may have to cope with two different kinds of end-user at the same time. For example the parcel tracking system at FEDEX could be accessed by both a company employee and an external customer, both trying to track a parcel (though not necessarily the same parcel). We may group them into the following categories: • Non programming • Command level • End-user programmers (including senior management professionals) • Functional support personnel • End user computing support personnel • DP Programmers This list covers a very wide range of personnel carrying out a wide range of tasks throughout organization - and the list continues to grow. Advantages of User-developed systems • Relieves shortage of system development personnel • Eliminates the problem of information requirements determination by information systems personnel • Transfers the information system implementation process to users • Enhanced productivity of professional and white-collar workers. • Provision of user-friendly and responsive systems. Problems It became clear very quickly that the managers had bought something that they didn't understand and either had to discard the machine (as happened in many schools who were encouraged by government to acquire computers) or had to be supported to get the most out of their purchases.
  • 29.
    The particular problemswhich were posed for the organizations into which these PCs had been introduced were: (a) Lack of standardization between the various purchases leading to: (i) inability to share data; (ii) no economy of scale in purchasing; (iii) a variety of requirements for maintenance, in the few cases where the problem had actually been considered. (b) Lack of control over the requirements of legislation, such as software copyright, data protection, health and safety and the specific legal constraints covering the organization. (c) Demands for assistance with: (i) systems analysis and design; (ii) programming; (iii) software procurement; (iv) sizing - machines which have been purchased but are too small for the job; (v) maintenance; (vi) fall-back; (vii) lack of documentation; (viii) data security; (ix) environmental control; (x) file conversion and data acquisition; (xi) data organization. Issues requiring training • Testing • Documentation • Validation of data • Audit trials • Operating control • Backup and recovery Software tools for development • Interactive programming software • Programming language • Application generators • Report generator / Query language for query jobs • Online documentation software • Data dictionary • Graphics languages • Statistical analysis tools Planning Concept of Planning in Organization • A plan is a predetermined course of action to be taken in future. It identifies the goal to be achieved and the steps to be taken to achieve the desired results. • Planning is the function that determines in advance what should be done. It consists of selecting the enterprise objectives, policies, programs, procedures and other means of achieving these objectives Characteristics of planning 1. Planning is goal oriented 2. Planning is a primary function 3. Planning is all-pervasive
  • 30.
    4. Planning isan intellectual or rational process 5. Planning is continuous 6. Planning is forward looking 7. Planning involves choice 8. Planning is an integrated process 9. Planning is directed towards efficiency Importance of planning 1. Focuses attention on objectives and results 2. Reduces uncertainty and risk 3. Provides sense of direction 4. Encourages innovation and creativity 5. Helps in coordination 6. Guides decision making 7. Provides a basis for decentralization 8. Provides efficiency in operations 9. Facilitates control Limitations of planning 1. Lack of accurate information 2. Time and cost 3. Inflexibility 4. Resistance to change 5. Lack of commitment to planning 6. False sense of security 7. Environmental constraints Essentials of a good plan 1. It should be based on clearly defined objectives 2. It must be simple and easily understandable 3. It should be flexible and adaptable to changing conditions 4. It should be balanced in all respects and should be reasonably comprehendible 5. It should provide standards for the evaluation of performance and actions 6. It should be economical, i.e. permit optimum use of available resources before creating new authorities and new resources. 7. It should be practicable or action-oriented 8. It should be prepared with the consultation of concerned persons 9. Different plans must be properly integrated and harmonized with one another Principles of planning 1. Principle of contribution to objectives 2. Principle of efficiency of plans 3. Principle of primacy of planning 4. Principle of planning premises ( The assumptions about future derived from forecasting and used in planning are known as planning premises) 5. Principle of policy framework 6. Principle of timing 7. Principle of alternatives 8. Principle of limiting factor 9. Principle of commitment 10. Principle of flexibility 11. Principle of navigational change 12. Principle of competitive strategies Steps in planning process 1. Identify goals 2. Develop planning premises
  • 31.
    3. Determine alternativecourses of action 4. Evaluate the alternatives 5. Select a course of action 6. Formulate Derivative plans Planning premises Correct assessment of planning premises is helpful in the preparation of reliable plans, because when the assumptions about the future environment are accurate, the plans based on such assumptions will be dependable. Planning premises may be classified as under 1. External and Internal premises 2. Tangible and Intangible 3. Controllable and Uncontrollable Types of planning On the basis of time period 1. Long-range planning 2. Medium-term planning 3. Short-range planning 2. On the basis of level of formulation 1. Corporate planning 2. Divisional or Business planning 3. Functional or Unit planning 3. Strategic planning 4. Operational planning Comparison between Strategic planning and operational planning Point of comparison Strategic planning Operational planning Scope For the enterprise as a whole For particular department or functional areas Range of choice Wide-broad directions for Narrow-specific ways and means planned allocation of resources Type of environment External environment Internal environment Time span Long-range Short-range Question answered Where should we go How will we get there Primacy Precedes operational planning Succeeds strategic planning Level of formulation Top-level management Operating and middle level Resources Acquisition of new resources Within the framework of existing resources End result Objectives and strategies Detailed program Types of policies 1. Originate policy 2. Appealed policy’ 3. Imposed policy Difference between Policy and Strategy S. No Policies Strategies 1. Guides to thinking and actions Provides direction in which human and physical resources will be deployed 2. Guidelines for decision making in repetitive Contingent decisions situations
  • 32.
    3. Taken for problems about which facts are Taken for problems where alternatives known. Only time of occurrence is not cannot be analyzed in advance specific 4. Implementation of policy can be delegated Implementation of strategy cannot be delegated as it requires last minute executive decision 5. Standing plan or long lasting Non-repetitive plans, may need frequent revision 6. Not based specifically on the moves of Formulated in the light of competitor’s competitors moves Difference between Strategies and Tactics S. No Strategies Tactics 1. Long-lasting but flexible time perspective Short-term and definite time perspective 2. Formulated at the top level of management Formulated at lower level of management 3. Continuous process but irregular timing of Continuous process and periodic the decision decision e.g. budget preparation 4. Based on information generated outside Based on information generated within about the external environment the organization, particularly from accounting records 5. Affected by personal values of strategy Taken within the control of strategic makers decisions 6. Critical importance for the future of the Less important as concerned with organization, concerned with the total specific parts of the organization organization Summary of various plans Name of Plan Definition Nature Example Objective Goal or target to be Basis of all plans Increase sales by 10 achieved % Policy General statement or Boundary within which Employees are to be understanding to guide decisions are to be made promoted on the thinking basis of seniority Strategy Action plan to face Relates the organization Combative environmental to its environment advertising to face uncertainties price cuts by competitors Procedure Manner in which activities Sequence of steps Purchase procedure are to be performed Rule State what should or Rigid plan, no scope of No smoking in the should not be done in a discretion factory situation Programme Combination plan for goal States activities and Installation of a achievement, non repetitive resources to be computer undertaken Schedule Time-table for activities Specifies priority of work Complete and time for each activity installation of computer within 3 months
  • 33.
    Budget Statement of expected Quantitative and time Produce 10,000 results and resources to be bound plan of action tones of sugar used Project Cluster of interrelated Scheme for deployment Construction of a activities-a separate unit of resources flyover Information System Plan Process of Information System Plan Development • Planning is the process of deciding what will be done, who will do it, when they will do it, how it will be done, and what are the desired results. Challenges in IS planning • Difficulty foreseeing and assessing Opportunities • Difficulty Assuring consistency with organizational plans and objectives • Difficulty building systems • Difficulty maintaining Information System performance • Difficulty collaborating with IT professionals Principles for Information Systems Planning • Support the firm’s Business strategy with appropriate technical architecture • Evaluate technology as a component of a larger system • Reorganize life cycle costs, not just acquisition costs • Design information systems to be maintained • Recognize the human side of technological use • Support and control the technical system Planning role of IS and User departments • Multiple role for – CIO – Users Allocating resources between new and old information systems • User support projects • Enhancements • Bug fixes New developments • Major new applications • IT infrastructure project • Research projects Strategic alignment of business and IT • Consistency with business priorities • Reengineering and downsizing (BPR) • Enterprise-wide and inter-organizational systems • Information system architecture • Centralization Vs Decentralization • Outsourcing • International issues Advantages of planning Support Systems 1. Reduced information overload 2. Information selection 3. Economic solutions 4. Fast turnaround 5. Interrelation of operations and planning system
  • 34.
    6. Communication aid 7. Direct involvement as can be used directly by decision makers Planning for Information System • The complexity of the information resources environment suggests that planning is vital to success. • The plan describes the structure and content of the information system and how it is to be developed. • The organization’s strategic plan should be the basis for the MIS strategic plan. • The overall responsibility of IS planning is the responsibility of Chief Information Officer (CIO) Approaches to organizing and supervising the information system planning effort • Planning staff within information systems functions (planning specialists) • Ad hoc planning groups within information systems • Planning group with representatives from various functions Review of plan • Master plan is reviewed by the steering committee which comprises of executives from major functional areas and is executives. • The committee also periodically reviews progress against the plan. • The master plan is integrated in the organizational plan by top management after review and approval. • Information system policies and procedures are defined. Content of Master development plan/ Information System plan/ Information Resource plan • The master plan has two components:- a long-range plan and a short-range plan. The long-range plan provides general guidelines for direction and the short-range plan provides a basis for specific accountability as to operational and financial performance. It consists of the following subheadings:- – Information system goals, objectives, and architecture – Inventory of current capabilities – Forecast of developments against the plan – The specific plan Information system goals, Objectives, and architecture – Organizational goals, objectives, and strategies – External environment (industry, government regulations, customers, and suppliers) – Internal organizational constraints such as management philosophy – Assumptions about business risks and potential consequences – Overall goals, objectives, and strategy for the information system – Architecture of the information system – Current capabilities – Inventory of – Hardware – Software (System software, DBMS, etc) – Application systems (classified on the basis of functional systems, organizational strategy, maintenance need) – Analysis of – Expense – Hardware utilization – Software utilization – Personnel utilization (further classification such as job, skill, functional area) – Status of projects in progress – Assessment of strengths and weaknesses • Forecast of developments Affecting plan – Hardware and software technological availabilities should be forecasted with expected impact on existing IS – Methodology changes should be forecasted – Environmental developments such as government regulations, tax laws and competitors affecting IS should be stated
  • 35.
    • Specificplan – Hardware acquisition schedule – Purchased software schedule • System Software • Applications software – Application development schedule – Software maintenance and conversion schedule – Personnel resources required and schedule of hiring and training – Financial resources required by object of expenditure The master plan is prepared from the CIO’s point of view and focuses on the planning strategy e.g. if the planning strategy for consideration is the end-user computing, then the plan will highlight the end users in the IS. Maintenance of master plan • IS plan requires updating – Changing organizational setup – Changes in technology – Changing needs of system – Internal events – Progress of new systems – External events Information system growth models Assumptions of NOLAN model • Organizational learning • Stages cannot be skipped • Other than the natural process, these processes can be planned, coordinated, and managed to move through the stages effectively and efficiently • The NOLAN stage model The organization must go through each stage of growth before it can progress to the next one, thus giving an insight to planning regarding the stage of an IS Stages of Information system growth Stages of growth Description Initiation Early use Expansion Experimentation, rising cost Formalization Organizational controls Maturity Integration of applications Stages NOLAN six stage model Stage Level of control or slack
  • 36.
    I Low control. Some slack. No planning II Greater slack due to encouraged use, integration and lack of planning III High controls, planning given importance IV Use of databases for integration V Slack due to focus on strategically important systems VI Application portfolio complete and matches organizational objectives NOLAN alternative model Due to technological changes the growth curve shifts as follows Advantages and disadvantages of NOLAN model • Advantages – Evolutionist model as it focuses on development • Disadvantages – Lack of specificity as it does not define the mechanism for change
  • 37.
    Three stage modelof the planning process • It clarifies the generic planning activities, the order of activities, and the alternative techniques and methodologies that apply Strategic planning stage • McFarlan-McKenney Strategic Grid Position in grid Organization and management of IS planning
  • 38.
    Strategic Significant general management guidance. Integration of corporate planning and IS planning Turnaround Same as strategic Factory Less involvement from top management. Guidance from corporate plan to maintain IS alignment Detailed operational and capacity planning by IS function Support Little top management involvement Little or no guidance from corporate plan Strategic fit • Each organization has a culture which reinforces values, norms, and beliefs about the organization. Goals, objectives, and strategy for information systems should fit with the culture in order to avoid high resistance and high risk of failure. Strategy Set Transformation • Explicate the organization’s strategy set – Delineate the organization structure for users – Identify goals of claimants – Identify organizational goals and strategies for each claimant group • Validate the organizational goals from management • Transform organizational strategy set into the information system strategy set – Identify IS objectives for each organizational strategy – Identify IS constraints from organizational strategy – Identify IS design strategy based on organizational attributes Analysis of Organizational information requirements • Information requirements are required at the organizational level for information system planning, identifying applications, and planning an information architecture. • More detailed information requirements are required for detailed design of applications. Strategy approach to the determination of Information requirements • Constraints – Humans as information processors – Variety and complexity – Complex patterns of interaction – Unwillingness of some users • Levels of requirements – Organizational level – Database level – Detailed requirements for an application Steps: • Identify those characteristics of the four elements in the development process that affect uncertainty in the determination of information requirements – Utilizing system – Information system or application – Users – Analysis
  • 39.
    Evaluate the effect of the characteristics of the four elements in the development process on three process uncertainties: – Existence and availability of a set of usable requirements – Ability of users to specify requirements – Ability of analysis to elicit and evaluate requirements • Evaluate the combined effect of the process uncertainties on overall requirements uncertainty • Select a primary strategy for requirements determination based on the overall requirements uncertainty. – Asking • Closed questions • Open questions • Brainstorming • Guided brainstorming • Group consensus – Deriving from an existing information system • Existing system being replaced by the new system • Existing system in another , similar organization • Proprietary system or package • Descriptions in textbooks, handbooks, industry studies etc. – Synthesizing from characteristics of the utilizing system • Normative analysis • Strategy set transformation • Critical factors analysis approach (critical success factors CSFs) • Process analysis (Business systems planning BSP) • Ends-means analysis • Decision analysis • Socio-technical analysis • Input-process-output analysis – Discovering from experimentation with an evolving information system • Select one or more methods from the set of methods to implement the primary strategy Organizing for development of MIS Major issues are: • Centralization and Decentralization • Allocation of hardware and software • Maintenance of the service level • Fitting the organization of the MIS in corporate organization, its culture and management philosophy Organization and management of the Information resource function • The management of IS in many organizations is experiencing a transition from computers and data- based information processing to information as a strategic resource and to an expanded role for Information technology termed as information resource management. • Reasons for such shifts are the stage of development, and technology. In the six-stage NOLAN model, the maturity stage replicates organizational processes and there is a joint information-systems-user accountability for information resources. There is also a match between organizational and IS structure. The technology is highly integrated with organizational processes and thus should be managed by single authority. Information Resource functions • Data processing • Telecommunications • Office Automation
  • 40.
    Information resource executive Hisresponsibilities include: • Operational responsibility for central data processing • Coordination of information wide information system planning • Maintaining infrastructure for technical services • Acquisition and dissemination of knowledge • Establishment and enforcement of standards and guidelines for all major IS applications • Aiding of adequate placement of information systems expertise and responsibilities Organization of the information resource function There are three alternatives, centralization, decentralization or combined forms such as function and matrix. Pressures for decentralized control • Availability of low cost technology • Backlog of development work • User-control over operations • Organizational Behaviour – Psychological value of unused information – Persuasion – Symbol of commitment to rational choice Pressures for centralized control • Staff professionalism • Corporate Database control • Technical competence and control • Comparative cost advantage Centralization and decentralization of System operations (Factors affecting location) • Economies of scale for computer equipment • Integration of processing • Data communications cost • Technological expertise to support computer operations • Hardware installation risks Centralization Vs Decentralization of system Development (Role of user liaison) : The development work can be performed at one location or can be distributed along various locations of the organization. But getting the user and developer together helps achieve effectiveness. Centralization Vs decentralization of Allocation of Scarce Information Resources Advantages of centralization are that it facilitates integration and overall balance of development of IS applications. It also facilitates close adherence to an overall MIS master plan. Decentralization is implemented using a chargeback system. A chargeback system provides a cost recovery. A good chargeback method should have the following characteristics: • Understand ability • Control ability • Accountability • Cost/Benefit incidence Thus it should be based on a standard rate per unit processed, such as transactions, inquiries, or reports. Fixed prices are appropriate for development. Information cost Information cost scan be handled as per the following:
  • 41.
    Overhead • Allocation of expense • Standard resource rates • Standard rate per unit processed • Fixed price • Charges are based on CPU utilization and disk storage costs. Management of IS personnel • Information Analyst helps gather relevant information • System Designer designs and models the system • Application programmer develops the application • Maintenance programmer helps keep the application in good form • Program librarian takes care of all the documentation associated with the application • Systems programmer help in system level programming • Data communications specialist helps in communication data correctly • Data administrator takes care of the data kept in the DBMS • User liaison interacts with the user • Office automation coordinator ensures tools work correctly • Information centre analyst handles all the information • Operator uses the application • Data control clerk validates the data • Data entry clerk enters the data • Security coordinator ensure security features Concept and process of control Managerial control implies the measurement of accomplishment against the standard and the correction of deviations to assure attainment of objectives according to plans. It is a continuous process of verifying whether actions are being taken as planned and taking corrective action to ensure that events conform to plans as closely as possible. Nature of control 1. Control process is universal 2. Control is a continuous process 3. Control is forward looking 4. Control involves measurement 5. Control is an influence process 6. Management control is a system 7. Control is best aimed at results 8. Control is goal oriented Elements of control 1. Planning 2. Information feedback 3. Delegation of authority 4. Remedial action Interrelationship between planning and control Planning is meaningless without control and control is aimless without planning. Control helps understand the need for revision of plans if required.
  • 42.
    Benefits of control 1. Guide to operations 2. Policy verification 3. Managerial accountability 4. Employee morale 5. Psychological pressure 6. Coordination in action Types of control 1. Historical or feedback control 2. Concurrent control 3. Feedforward control Information feedback systems Open and closed loop Information feedback is essential to an understanding of the self regulating nature of systems in general and how this attribute can be applied in a MIS to aid in decision making Control and feedback Feed-forward control
  • 43.
    Steps in controlprocess 1. Establishment of standards a. Quantitative standards b. Qualitative standards 2. Measurement of Performance 3. Comparing Performance with Standards 4. Analysis of deviations 5. Taking corrective action Essentials of an effective Control system 1. Focus on Objectives and needs 2. Forward looking 3. Prompt 4. Critical Point Control 5. Flexibility 6. Objectivity 7. Economical 8. Motivating 9. Suggestive 10. Simple Techniques of managerial control 1. Traditional Techniques a. Personal observation b. Good organization structure c. Unity of objectives d. Statistical reports and analysis e. Breakeven analysis f. Budgetary control 2. Modern Techniques a. Management Audit b. Return on investment c. Responsibility accounting d. PERT and CPM Steps in System Analysis and Design
  • 44.
    1. Need forinformation (Nature of information) 2. Define the system (Nature of system) 3. Feasibility study (Technical, Economic, Operational) 4. Detailing the requirements (Precise requirements) 5. Conceptual System Design (Input, Process, Output) 6. Detailing the System design (DFDs, Data flows) 7. Structuring the system design (Hierarchy) 8. Conceptual model of computer system (processes) 9. Break the system in programmable modules 10. Develop the test data for checking the system ability 11. Install the system 12. Implementation 13. Review and maintenance
  • 45.
    Enterprise Resource planning Inorder to manage information, in order to deliver high quality information to the decision-makers at the right time, in order to deliver high quality information to the decision-makers at the right time, in order to automate the process of data collection, collation and refinement, organizations have to make IT an ally, harness its full potential and use it in the best possible way. For any organization to succeed, all business units or departments should work towards this common goal. At the organizational level, IT should assist in specifying objectives and strategies of the organization. At the departmental level, IT must ensure a smooth flow of information across departments, and should guide organizations to adopt the most viable business practices. As the departments are large, they remain closed except at the top level, unless a common system is implemented. An Enterprise is a group of people with a common goal, which has certain resources at its disposal to achieve that goal. Resources included are money, material, man-power and all other things that are required to run the enterprise. Planning is done to ensure that nothing goes wrong. Thus Enterprise Resource planning is a method of effective planning of all the resources in an organization. ERP is primarily an enterprise-wide system, which encompasses corporate mission, objectives, attitudes, beliefs, values, operating style, and people who make the organization. ERP covers the techniques and concepts employed for the integrated management of businesses as a whole, from the viewpoint of the effective use of management resources, to improve the efficiency of an enterprise. It is a mirror image of the major business processes of an organization, such as customer order fulfillment and manufacturing. Its set of generic processes, produce the dramatic improvements they are capable of only, when used to connect parts of an organization and integrate its various processes seamlessly. Reasons for the growth of the ERP market 1. To enable improved business performance through reduces cycle time, increased business agility, inventory reduction, order fulfillment improvement 2. To support business growth requirements through new product lines, new customers, meeting global requirements 3. To provide flexibility, integrated, real-time decision support through improved responsiveness across the organization 4. To eliminate limitation in legacy systems of century dating , fragmentation of data, inflexibility to change etc 5. To take advantage of the untapped mid-market by increasing functionality at a reasonable cost, vertical market solutions etc. The advantages of ERP 1. Business Integration through automatic data updations 2. Flexibility to adapt to global differences 3. Better analysis and Planning capabilities by utilizing many types of support systems 4. Use of latest technology to sustain growth. Why do many ERP implementations fail? 1. Wrong product 2. Incompetent and hazardous implementation. 3. Lack of training for employees Integrated Management Information
  • 46.
    An information systemis an open, purposive system that produces information using the ‘input-process-output’ cycle. The minimal information system consists of three elements-people, procedures and data. People follow procedures to manipulate data to produce information. ERP Modules 1. Finance a. Financial Accounting e.g. General Ledger, Accounts receivable and payable, Asset accounting, legal consolidation, controlling, overhead cost controlling, cost centre accounting, overhead orders, activity based costing, product cost controlling, cost object controlling, profitability analysis b. Investment Management e.g. Investment Planning c. Controlling e.g. Overhead cost Control d. Treasury e.g. Cash Management, treasury management, market risk management, funds management e. Enterprise Controlling e.g. EIS f. Profit Centre Accounting 2. Manufacturing a. Material and Capacity Planning b. Shop Floor Control c. Quality Management d. JIT/ Repetitive Manufacturing e. Cost management f. Engineering Data Management g. Engineering Change Control h. Configuration Management i. Serialization/ Lot Control j. Tooling 3. Sales and Distribution a. Master Data Management b. Order management e.g. Sales Order Management, Purchase Order Management, c. Warehouse Management includes inventory planning, inventory handling, intelligent location, inventory reporting, inventory analysis, lot control, distribution data collection, etc. d. Shipping e. Billing f. Pricing g. Sales Support h. Transportation i. Foreign Trade 4. Plant Maintenance a. Preventive Maintenance Control b. Equipment Tracking c. Component Tracking d. Plant Maintenance Calibration Tracking e. Plant Maintenance Warranty Claims Tracking 5. Quality Management a. Quality planning b. Quality inspection c. Quality control 6. Materials Management a. Pre-purchase Activities b. Purchasing
  • 47.
    c. Vendor Evaluation d. Inventory management e. Invoice verification and material inspection 7. Human Resources a. Personnel Management includes personnel administration, employee master data, recruitment management, travel management, benefits administration, salary administration b. Organizational Management includes payroll accounting c. Payroll Accounting d. Time Management includes shift planning e. Personnel Development includes training and event management ERP Market consists of the big 5 vendors (Sap, Oracle, Peoplesoft, Baan, JD Edwards) and others. The big 5 account for 61% of the market share. SAP (Systems, Applications and products in Data Processing) SAP ERP packages come in two versions: the mainframe version (SAP R/2) and the client/server version (SAP R/3) SAP products feature a sophistication and robustness unmatched by other business software solutions. SAP has developed an extensive library of more than 80 predefined business processes, spanning each functional software requirement. R/3 Overview The 3-tier architecture separates a system into three functional layers, each structured to support the demands of its functions. 1. The database layer resides on central servers or mainframe host computers 2. The application layer holds the processing logic of the system, preparing and formatting data for individual offices or departments. 3. The presentation layer typically on personal computers, handles all the tasks related to the presentation of data, including user interfaces that enable easy access to complex applications and data. SAP also incorporated And integrated the intranet and internet technologies into business solutions for its customers. Although designed as an integrated system, R/3’s modules can also be used individually SAP has recently come out with BAPIs (Business application programming interface) which helps SAP interact with third party applications Bann The Baan series-based product family includes Baan Enterprise Resource Planning (Baan ERP), Baan Front Office, Baan Corporate Office Solutions, Baan Supply Chain Solutions etc. Baan serves a number of industries like Aerospace & Defense and Automative. The Baan ERP modules include the following • Manufacturing • Finance • Project • Distribution Oracle Oracle’s Warehouse Technology Initiative provides customers with a complete data warehousing solution.
  • 48.
    Oracle’s Integrated BusinessIntelligence Solutions deliver powerful capabilities to users anywhere in the enterprise, at any time. Products include Oracle Reports, Oracle’s Enterprise Reporting Tool, Oracle Discoverer, Oracle’s Query and Analysis tool etc. Oracle Applications is a leading provider of packaged and integrated front office and ERP solutions for the enterprise. It follows internet computing model. Oracle has 45+ modules divided into following categories • Oracle Financials • Oracle Human Resource • Oracle Projects • Oracle Manufacturing • Oracle Supply Chain • Oracle Front Office Peoplesoft It provides industry specific enterprise solutions to customers in select markets, including communications, financial services, healthcare, manufacturing, higher education. Its applications can be implemented as a single application, or a complete enterprise-wide solution Peoplesoft tools include several tools for reporting, customization and workflow. Peoplesoft implementation toolkit has a modular application structure, which lends itself to the use of phasing- an incremental process. It has four phasing strategies: 1. Geographical: Applicable when business practices and processes in various locations are independent to justify separate implementations. 2. Departmental: Your initial phase is focused on full implementation for a given department, additional departments incremented later. 3. Core and then support processes 4. No phasing required in some situations. JD Edwards JD Edwards WorldVision is a thin client bridge that provides the Graphical User Interface (GUI) with a look and feel common to the PC, while protecting your investment in WorldSoftware and the AS/400. The different product modules available from JD Edwards are: • Foundation Suite • Financial Suite • Logistics/Distribution Suite • Services Suite • Manufacturing Suite • Architecture, Engineering, Construction, Mining and Real Estate Suite • Energy and Chemical Suite • Payroll Suite • Human Resource Suite • Customer Service Management Suite • Government, Education, and Not-for-profit Solutions • Utility and Energy Solutions
  • 49.
    ERP Implementation lifecycle Pre-selection screening Package Evaluation Project Planning Gap Analysis Reengineering Configuration Implementation Team building Testing End-user Training Going Live Post-implementation Phase What is CRM? CRM stands for Customer Relationship Management. It is a process or methodology used to learn more about customers' needs and behaviors in order to develop stronger relationships with them. There are many technological components to CRM, but thinking about CRM in primarily technological terms is a mistake. The more useful way to think about CRM is as a process that will help bring together lots of pieces of information about customers, sales, marketing effectiveness, responsiveness and market trends. CRM helps businesses use technology and human resources to gain insight into the behavior of customers and the value of those customers. CRM Software Sales Force Automation • Contact management Contact management software stores, tracks and manages contacts, leads of an enterprise. • Lead management Enterprise Lead management software enables an organization to manage, track and forecast sales leads. Also helps understand and improve conversion rates. eCRM or Web based CRM • Self Service CRM Self service CRM (eCRM) software Enables web based customer interaction, automation of email, call logs, web site analytics, campaign management. • Survey Management Software Survey Software automates an enterprise's Electronic Surveys, Polls, Questionnaires and enables understand customer preferences. Customer Service • Call Center Software • Help Desk Software Partner Relationship Management
  • 50.
    Contract Management Software Contract Management Software enables an enterprise to create, track and manage partnerships, contracts, agreements. Example: Upside Software, Accruent Software, diCarta, I-Many. • Distribution management Software Using CRM, a business can: • Provide better customer service • Increase customer revenues • Discover new customers • Cross sell/Up Sell products more effectively • Help sales staff close deals faster • Make call centers more efficient • Simplify marketing and sales processes The types of data CRM projects collect • Responses to campaigns • Shipping and fulfillment dates • Sales and purchase data • Account information • Web registration data • Service and support records • Demographic data • Web sales data The secret to an effective CRM package is not just in what data is collected but in the organizing and interpretation of that data. That's where computers come in handy (apart from the Solitaire you can play on them :-)) Computers can't, of course, transform the relationship you have with your customer. That does take a cross-department, top to bottom, corporate desire to build better relationships. But computers and a good computer based CRM solution can increase sales by as much as 40-50% - as some studies have shown. One of the important activities of CRM is segmenting customers. To achieve this, important subsets of data, stored in central database by ERP, are copied into a separate repository, called data warehouse. Once the data warehouse is in place, companies can use data mining technique to help them if through transaction data in the data warehouse. Companies look for patterns in information to identify the customer relationship. CRM also allows: • One-to-one marketing: Once a customer is categorized, products, promotions, and pricing can be tailored accordingly. • Sales force automation: Customer contacts are logged in the company's database. The customer can be understood using past transactions and the sales representative can know the customer before visiting. • Sales Campaign Management Software: This software lets a company organize a marketing campaign and compile its results. • Marketing Encyclopedia: This software serves as a database of all promotional information required by sales representatives or customers. • Call centre automation: The representative can get assistance about products. • CRM needs ERP as a base since an ERP contains all the common transactions of business, relevant for CRM
  • 51.
    Types of CRMsystems 1. Operational oriented CRM systems: It provides transactional level data on individual products, transactions and customers 2. Analytical CRM systems: It holds aggregate data and supports for strategic planning process 3. Collaborative CRM systems: It is the use of web technologies to facilitate customer, staff and business partner’s communications. Stages of CRM 1. Customer selection 2. Customer acquisition 3. Customer retention 4. Customer extension Procurement Management Procurement management system provides a solution to conduct centralized purchase based on the demands individually submitted and approved by competent authorities. It provides a way to businesses that how they purchase their inventories at a reasonable price. Procurement is often regarded as the narrow process of inviting bids and awarding contracts. The cycle approach to procurement ensures that the early steps in the process and the later steps are given the same emphasis Procurement Process
  • 52.
    The following maybe involved in the procurement cycle as it depends upon individual implementation 1. Those staff assuming project management roles: project owner, project manager, project board, project team roles. 2. The contract or relationship manager 3. Trained procurement staff 4. Stakeholders such as users, existing suppliers, finance section. 5. Other professional advisors such as accountants, legal advisors, technical advisors Critical Success Factors 1. Do not apply the procurement process in a mechanistic manner. Good judgement, applied ethically and with a transparent audit train 2. Project management, contract management and a robust procurement process together offer a great chance of success 3. Procurement should be recognised as a profession and carried out by skilled staff 4. The gateway process is an essential project management tool particularly for high medium risk procurements. Procurement Risk Matrix Ethical Procurement Behavior 1. Disclosure of Interest should be disclosed for any transaction 2. Gifts and hospitality whether accepted or rejected, should be recorded, and under no circumstances should the supplier be able to influence. 3. Confidentiality of Information should be maintained 4. Fair Competition 5. Professionalism 6. Responsibilities of setting an ideal behaviour, presenting an open image, ensuring that instructions are understood, supervising staff, regularly rotating posts, etc. Supply Chain Management Supply Chain Management encompasses every effort involved in producing and delivering a final product or service, from the supplier’s supplier to the customer’s customer. Supply Chain Management includes managing
  • 53.
    supply and demand,sourcing raw materials and parts, manufacturing and assembly, warehousing and inventory tracking, order entry and order management, distribution across all channels, and delivery to the customer. Supply chain objective • Maximize overall value generated • Value strongly correlated to supply chain profitability – the difference between the revenue generated from the customer and the overall cost across the supply chain • Example: A customer purchasing a computer from Dell pays $ 700 (the revenue) • Dell and other stages of the supply chain incur cost to convey information, produce the components, store them, transport them, transfer funds, etc. Why is SCM Important? • Strategic Advantage – It Can Drive Strategy * Manufacturing is becoming more efficient * SCM offers opportunity for differentiation (Dell) or cost reduction (Wal-Mart or Big Bazaar) • Globalization – It Covers The World * Requires greater coordination of production and distribution * Increased risk of supply chain interruption * Increases need for robust and flexible supply chains • At the company level, supply chain management impacts * COST – For many products, 20% to 40% of total product costs are controllable logistics costs. * SERVICE – For many products, performance factors such as inventory availability and speed of delivery are critical to customer satisfaction. Dynamics of Material Flow
  • 54.
    Demand Forecasting Material Requirement Planning Demand Planning Component Production Requirement Plan Pre-selection screening Package Evaluation Project Planning Supplier Plant Warehouse Logistics Retailer Gap Analysis Reengineering Configuration Supplier Plant Warehouse Logistics Retailer Implementation Team Testing End-user Going Live Post-implementation Order Management Supplier Plant Warehouse Logistics Retailer
  • 55.
    Dynamics of OrderFlow Demand Forecasting Material Requirement Planning Demand Planning Component Production Requirement Plan Pre-selection screening Package Evaluation Project Planning Gap Analysis Reengineering Configuration Supplier Plant Warehouse Logistics Retailer Implementation Team Testing End-user Going Live Post-implementation Order Management Supplier Plant Warehouse Logistics Retailer Supply Chain Planning Processes
  • 56.
    Demand Forecasting Material Requirement Planning Demand Planning Component Production Requirement Plan Pre-selection screening Package Evaluation Project Planning Gap Analysis Reengineering Configuration Supplier Plant Warehouse Logistics Retailer Implementation Team Testing End-user Going Live Post-implementation Order Management Process View
  • 57.
    Customer order cycle • Customer arrival • Customer order entry • Customer order fulfillment • Customer order receiving Replenishment cycle • Retail order trigger • Retail order entry • Retail order fulfillment • Retail order receiving Manufacturing cycle • Order arrival from the distributor, retailer, or customer • Production scheduling • Manufacturing and shipping • Receiving at the distributor, retailer, or customer Modeling for SCM • Forecasting Models - These models allow prediction of demand based on past data or other parameters that are independently available. They enable better planning, given the lead-time necessary for response. • Location Models - These models identify the optimal location of facilities such as plants and warehouses, considering the inbound and outbound transportation costs as well as the fixed and variable costs of operation at the locations under consideration. These are usually formulated as Mixed Integer Programming Models • Distribution Network Design Models - These models are usually comprehensive in nature, deciding between two, three and even four stages of distribution network, location of warehouses and break-bulk points, and sometimes even the transportation. • Allocation Models - These models help in optimally allocating commodities from sources to destinations in a multi-source, multi-destination environment. The costs considered for optimisation are production costs and warehousing costs. The constraints considered can be due to demand, capacity, route restrictions, etc. • Inventory Models - Inventory plays a major role in SCM. - Inventory can be of various types such as: - Batching and shipment inventories - Buffer stocks to take care of uncertainties - Pipeline inventory ( primary and secondary transportation ) These models minimize the total relevant cost, based on trade-offs among, inter alia, inventory carrying cost, ordering cost, stock-out cost, transportation cost, taxes & duties, etc. • Routing Models - These models allow optimal routing on a transportation network from a given source to a destination. The models used are the Shortest Path Problem, the Traveling Salesman Problem and the Vehicle Routing Problem. Decision Support Systems that interactively use the expertise of the decision maker by providing graphical support through a map (i.e., using a Geographical Information System) are also very useful in such decisions. • Scheduling Models
  • 58.
    - These modelsenable allocation of resources to particular activities. Depending on the criteria of interest and the number of resources, the models are of aid in evaluating appropriate rules for allocation. • Alternative Analysis - This model simply proposes the identification of alternatives, criteria for decision making and analysis of the alternatives across the criteria to arrive at the best choice. Formal approaches such as simulation and analytic hierarchy process could be used in assessing the implications of the criteria.