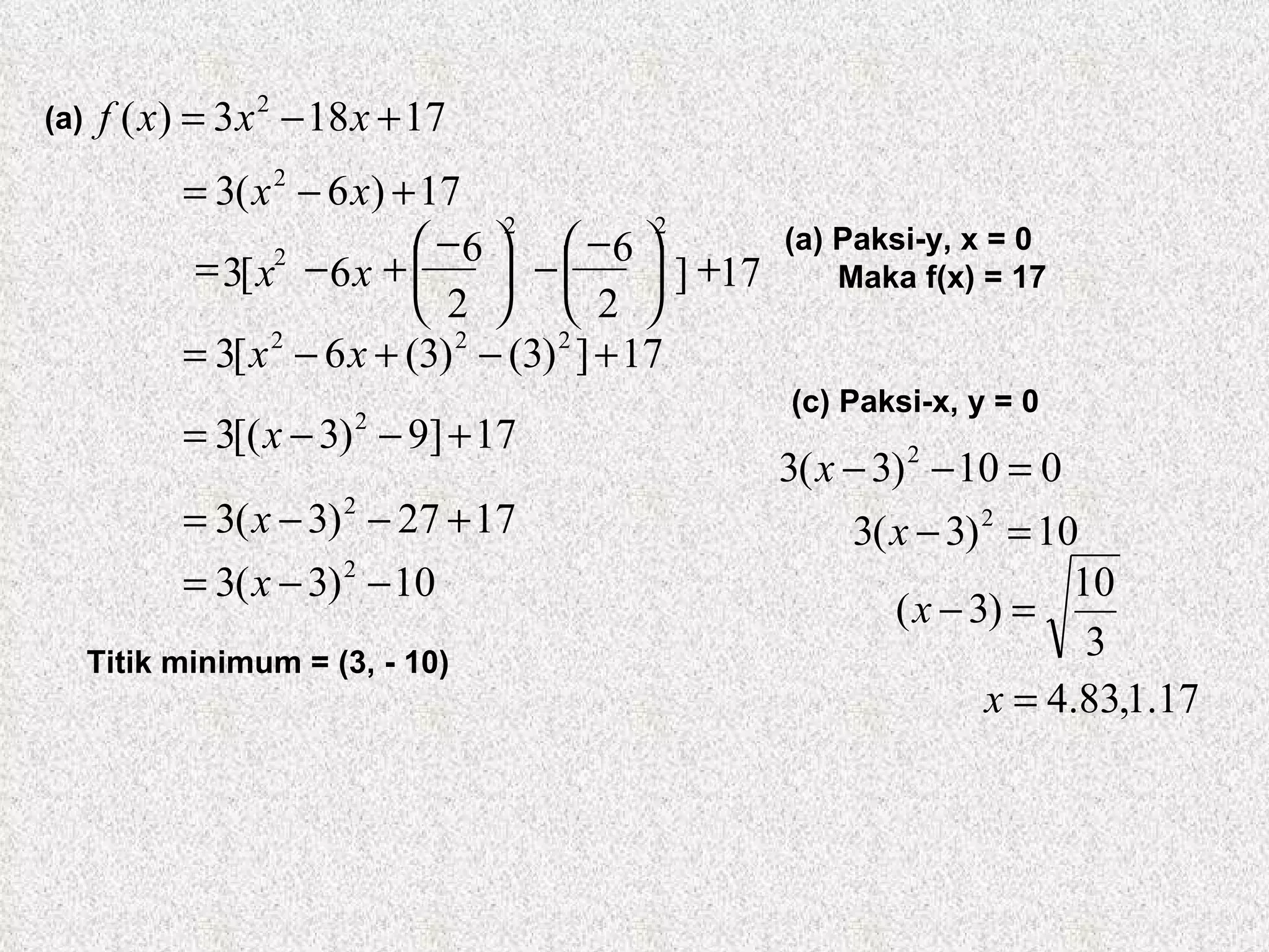
Tuliskan persamaan paksi simetri graf itu Nyatakan titik minimum Lakarkan graf  Cari julat nilai m supaya persamaan  mempunyai dua punca berbeza  Nyatakan persamaan graf kuadratik yang dibentuk apabila graf itu dipantulkan pada paksi- x dan pada paksi-y Soalan Ungkapkan fungsi    dalam bentuk di mana p dan q adalah integer. Oleh yang demikian , bagi graf
Titik minimum = (3, - 10) (a) Paksi-y, x = 0 Maka f(x) = 17 (c) Paksi-x, y = 0 (a) 17 ] 2 6 2 6 6 [ 3 2 2 2                    x x
17 4.83 (3,-10) 1.17 x y Paksi simetri, x = 3
Dua punca berbeza 17 4.83 (3,-10) 1.17 x y Paksi simetri, x = 3 y = - 10
Graf dipantulkan pada paksi - y ditukar 17 4.83 (3,-10) 1.17 x y Paksi simetri, x = 3 (-3,-10) Paksi simetri, x = -3
Graf dipantulkan pada paksi - x ditukar 17 4.83 (3,-10) 1.17 x y Paksi simetri, x = 3 (3,10) -17
adalah sentiasa negatif untuk semua nilai x Tunjukkan bahawa fungsi  adalah sentiasa negatif  untuk  semua nilai x

Lakar graf fungsi kuadratik

  • 1.
    Tuliskan persamaan paksisimetri graf itu Nyatakan titik minimum Lakarkan graf Cari julat nilai m supaya persamaan mempunyai dua punca berbeza Nyatakan persamaan graf kuadratik yang dibentuk apabila graf itu dipantulkan pada paksi- x dan pada paksi-y Soalan Ungkapkan fungsi dalam bentuk di mana p dan q adalah integer. Oleh yang demikian , bagi graf
  • 2.
    Titik minimum =(3, - 10) (a) Paksi-y, x = 0 Maka f(x) = 17 (c) Paksi-x, y = 0 (a) 17 ] 2 6 2 6 6 [ 3 2 2 2                    x x
  • 3.
    17 4.83 (3,-10)1.17 x y Paksi simetri, x = 3
  • 4.
    Dua punca berbeza17 4.83 (3,-10) 1.17 x y Paksi simetri, x = 3 y = - 10
  • 5.
    Graf dipantulkan padapaksi - y ditukar 17 4.83 (3,-10) 1.17 x y Paksi simetri, x = 3 (-3,-10) Paksi simetri, x = -3
  • 6.
    Graf dipantulkan padapaksi - x ditukar 17 4.83 (3,-10) 1.17 x y Paksi simetri, x = 3 (3,10) -17
  • 7.
    adalah sentiasa negatifuntuk semua nilai x Tunjukkan bahawa fungsi adalah sentiasa negatif untuk semua nilai x