Compiled by Rozie @ SMAN 3 Semarang
GERAK MELINGKAR (circular
motion)
1Compiled by Rozie SMAN 3 Semarang
Gerak Melingkar (Rotasi) merupakan gerak benda yang berputar
terhadap sumbu putar atau sumbu rotasi
2Compiled by Rozie SMAN 3 Semarang
3Compiled by Rozie SMAN 3 Semarang
BESARAN – BESARAN FISIKA PADA
GERAK MELINGKAR
Compiled by Rozie SMAN 3 Semarang 4
x
y
θ
r
v
1. Sudut tempuh(θ)
Posisi partikel yang bergerak melingkar dapat dinyatakan dalam :
1. Koordinat kartesius: (x,y) atau (x,z) atau (y,z)
2. Koordinat polar: (r, θ) dengan r= jari-jari (m) dan θ= sudut tempuh(o
)
θcosrx =
θsinry =
22
yxr +=
Berdasarkan gambar didapatkan:
5Compiled by Rozie SMAN 3 Semarang
Bandul bergerak dari
titik A ke B
A
B
●
Contoh:
Partikel bergerak melingkar dengan jari-jari, r = 0,5 m. Saat posisi
sudutnya 30o
tentukan posisi partikel dengan koordinat kartesian
mapun polar!
m325030cos50cosrx o
,, === θ
m25030ins50cosry o
,, === θ
Posisi partikel dalam koordinat kartisius: ( 0,25√3 m , 0,23 m)
Posisi partikel dalam koordinat polar: ( 2 m, 30o
)
Jawab:
r
s
)rad( =θ
Hubungan Sudut tempuh (θ) dg Panjang lintasan (s)
1 putaran = 360o
= 2π rad
1 π rad = 180o
1 rad = 180o
/π = 180o
/3,14 = 57,3o
1o
= 1/57,3= 0,01745 rad
θ = sudut tempuh (rad)
r = jari-jari lintasan
s = panjang lintasan/ jarak
tempuh (m)
rs rad .)(θ=
 Utk 1 putaran:S = 2πr
Compiled by Rozie SMAN 3 Semarang
Ingat: Hubungan rumus diatas berlaku
jika θ bersatuan radian (rad)
r
θ
S
2. Kecepatan Sudut /angular (ω)
“sudut tempuh dibagi waktu yang dibutuhkan”
tt
θθ
ω =
∆
∆
=
8Compiled by Rozie SMAN 3 Semarang
Untuk satu kali putaran, θ=360o
= 2π rad
dan waktu yang dibutuhkan disebut periode (T), sehingga:
T
π
ω
2
=
ω=kelajuan sudut (angular) /frekuensi sudut (rad/s)
T= periode (s)
f = frekuensi (Hz)
fπω 2=
arah ω
arah gerak
arah gerak
arah ω
Hubungan kelajuan Sudut (ω) dg kelajuan
linier/tangensial/translasi (v)
r/v
r.t
s
t
r/s
t
=
=
=
=
ω
ω
ω
θ
ω
rv .ω=
9Compiled by Rozie SMAN 3 Semarang
v = kelajuan linier/kelajuan
tangensial (m/s)
ω = kelajuan sudut (rad.s-1
)
r = jari-jari lintasan(m)
Satuan ω selain rad/s juga sering dinyatakan dengan:
rpm (rotasi per menit)
rps (rotasi per sekon)
1 rpm = 1 putaran/menit = 2π rad/ 60 s = π/30 rad/s
1 rps = 1 rotasi/sekon = 2π rad/s
“arah v selalu tegak lurus
dengan jari-jari lintasan”
Contoh:
Sebuah bola kecil diikat tali sepanjang 50 cm kemudian diputar
horisontal. Jika dalam 8 s bola dapat berputar 40 kali. Tentukan:
a. frekuensi gerak bola!
b. periode gerak bola !
c. banyaknya putaran gerak bola selama 20 s !
d. Kelajuan sudut bola!
e. Kelajuan linier bola!
Compiled by Rozie SMAN 3 Semarang 10,
s0,2T
5
1
T
f
1
T.
=
=
=b
5Hzf
8
40
f
t
N
f.
=
=
=a
putaran2,5N
8
20
N
T
t
N.
=
=
=c
rad/s31,4rad/s01
52
2.
==
=
=
πω
πω
πω fd
m/s15,7m/s5
5,0.10
.
==
=
=
π
π
ω
v
v
rve
4. Percepatan Sudut
t
ω
α
∆
=
“Perubahan kecepatan sudut dibagi interval waktu yang dibutuhkan”
α = percepatan sudut (rad.s-2
)
11Compiled by Rozie SMAN 3 Semarang
ω∆ = perubahan kecepatan sudut (rad.s-1
)
t
ot ωω
α
−
=
t = waktu yang dibutuhkan (s)
Contoh:
Partikel yang berputar pada lintasan melingkar berubah kecepatan sudutnya dari 120
rpm menjadi 180 rpm dalam 40 sekon. Berapakah percepatan sudut gerak partikel itu?
Penyelesaian:
ωo = 120 rpm = 120 . π/30 rad/s = 4 π rad/s
ωt = 180 rpm = 180 . π/30 rad/s = 6 π rad/s
t = 40 s
Compiled by Rozie SMAN 3 Semarang 12
Penyelesaian:
ωo = 120 rpm = 120 . π/30 rad/s = 4 π rad/s
ωt = 180 rpm = 180 . π/30 rad/s = 6 π rad/s
t = 40 s
Percepatan sudutnya:
2-
rad.s,05π0
40
46
=
−
=
−
=
α
ππ
α
ωω
α
t
ot
Compiled by Rozie SMAN 3 Semarang 13
Hubungan Percepatan tangensial (a) dg
Percepatan sudut (a)
α
ω∆
ω∆
∆
.ra
t
ra
t
)r.(
a
t
v
a
t
t
t
t
=
=
=
=
r.at α=
at = percepatan tangensial (m.s-2
)
α = percepatan sudur (rad.s-2
)
r = jari-jari lintasan (m)
Arah at sama dengan arah v dan
arah α sama dengan arah ω jika
gerak benda dipercepat
(kecepatan bertambah), akan
berlawanan arah jika diperlambat.
• Sebuah benda yang bergerak melingkar, meskipun
bergerak dengan laju (besar v)konstan, akan memiliki
percepatan karena arah kecepatannya (arah v) selalu
berubah
• Percepatan yang disebabkan karena perubahan arah
kecepatan linier v ini disebut percepatan sentripetal,
yang arahnya ke pusat lingkaran
5. Percepatan sentripetal (as )
14Compiled by Rozie SMAN 3 Semarang
Menentukan persamaan percepatan sentripetal
• Berdasarkan gambar di samping:
s
r
θ
v
v
v
-v
Δv θ
o
15Compiled by Rozie SMAN 3 Semarang
v
t.r
s
a
t
v
r
s
t
v
v
r
s
v
r
s
v
v
s
∆
∆∆
∆
∆
∆
=⇒
=⇒
=
=
v
-v
Δvθ
o
ra 2
s ω=
r
v
a
2
s = krn v = ω.r
as = percepatan sentripetal (m.s-2
)
16Compiled by Rozie SMAN 3 Semarang
r
v
a
v.v
r
1
a
v
t
s
r
1
a
r
s
s
s
=⇒
=⇒
=⇒
∆
Compiled by Rozie SMAN 3 Semarang 17
Jadi benda yang bergerak melingkar memungkinkan
memiliki tiga percepatan berikut:
•Percepatan sudut (α) : perubahan kecepatan sudut dalam waktu tertentu
•Percepatan sentripetal (as ) : perubahan arah kecepatan linier dalam
waktu tertentu
•Percepatan tangensial (at) : perubahan besarnya kecepatan linier dalam
waktu tertentu
Benda yang bergerak melingkar pasti memiliki as, karena
arah v pasti berubah.
Kipas angin sesaat setelah dihidupkan kecepatan putar baling-
balingnya bertambah, pada saat ini baling-baling kipas memiliki
as, at, dan α. Tetapi, setelah putaran baling-baling konstan,
baling-baling hanya memiliki as
5. Percepatan total (atotal )
Benda yang bergerak melingkar dengan kecepatan
sudut berubah akan memiliki 3 percepatan:
1.Percepatan sudut
2.Percepatan sentripetal
3.Percepatan tangemsial
 Resultan dari percepatan sentripetal dengan percepatan
tangensial disebut percepatan total (atot)
at
atot
as
2
s
2
ttot aaa +=
r.at α=
r
r
v
a 2
2
s ω==
Dengan:
atot = percepatan total (m s-
2
)
18
Compiled by Rozie SMAN 3 Semarang
Compiled by Rozie SMAN 3 Semarang 19
5. Gaya Sentripetal (Fs)
r..mF
r
v
.mF
a.mF
2
s
2
s
ss
ω=
=
= v
v
v
v
a
as
atot
Fs
“Arah as dan Fs selalu menuju
pusat lintasan”
Fs= Gaya sentripetal (N)
Sebuah benda massanya 0,25 kg, diikat pada ujung tali yang panjangnya 0,5 m
dan diputar mendatar dengan 2 putaran tiap sekon. Hitunglah :
a. Laju linier benda
b. Percepatan sentripetal benda
c. Gaya sentripetal pada benda
Penyelesaian :
Diketahui :
m = 0,25 kg ; R = 0,5 m ; f = 2 Hz
Ditanyakan :
a. v = ?
b. aS = ?
c. FS = ?
Jawab :
a. v = 2πf .R = 2π x 2 x 0,5 = 2π m/s
b. aS = = = 8 π2
m/s2
c. FS = m . aS = 0,25 x 8π2
= 2 π2
N
v2
R
(2π)2
0,5
as
Fs
v
20Compiled by Rozie SMAN 3 Semarang
JENIS GERAK MELINGKAR
kecepatan)arahmengubahyangn(percepata
0)(alsentripetapercepatanmemilikiHanya
0)(altangensiaPercepatan
0)(sudutPercepatan
konstan)(suduttanecepak
s
t
≠⊕
=⊕
=⊕
=⊕
α
ω
sialdan tangenlsentripetapercepatanmemiliki
0dankonstan)(sudutpercepatan
konstantidak)(suduttanecepak
⊗
≠=⊗
=⊗
α
ω
t.
2
αtωω
tetapα
t0
0t
ωω
θ
+
=
+=
=
 Gerak Melingkar Beraturan (GMB):
 Gerak Melingkar Berubah Beraturan (GMBB):
θ2αωω
αt
2
1
tωθ
2
0
2
t
2
0
+=
+=
tωθ =
t
θ
ω=
atau
21
Compiled by Rozie SMAN 3 Semarang
Contoh Soal
1. Sebuah benda bergerak rotasi dengan percepatan sudut tetap
- 2 rad/s2
. Jika mula-mula benda memiliki kecepatan 10 rad/s
dan posisi sudut awalnya sama dengan nol. Tentukan:
a. Sudut yang ditempuh selama 2 detik pertama
b. Kapan benda akan berhenti berputar
c. Jumlah putaran benda dari awal hingga berhenti
d. Percepatan
22Compiled by Rozie SMAN 3 Semarangrad16
420
2).2(2.10
tt
t
t
2
2
1
t
2
2
1
ot
=
−=
−+=
+=
θ
θ
θ
αωθ
Jawab:
Diketahui: α= - 2 rad/s; ωo= 10 rad/s; θo =0
Ditanyakan: a.θ pada t= 2s; b. t: ? dg ωt =0 c. N: ? dg ωt =0
a.
Compiled by Rozie SMAN 3 Semarang 23
2. Dari keadaan diam sebuah benda berotasi sehingga dalam
waktu 2 s kecepatannya menjadi 4 rad/s. Tentukan percepatan
total titik pada benda tersebut yang terletak 50 cm dari sumbu
rotasi benda setelah benda berotasi selama 5 s.
rad16
s5t
t).2(100
t
t
ot
=
=
−+=
+=
θ
αωωb. c.
putaran98,3putaran
2
25
rad25
)2(2100
2
t
2
2
0
2
t
===
−+=
+=
π
θ
θ
αθωω
2
s
2
ttot aaa +=
Diketahui: ωo= 0 rad/s; ωt = 4 rad/s; R=0,5 m
Ditanyakan: atot;?
2
t
t
t
s/m1a
5,0.2a
R.a
=
=
=α
2
ot
s/rad2
204
t
=
+=
+=
α
α
αωω
Compiled by Rozie SMAN 3 Semarang 24
2
s
2
s
2
s
s/m50a
5,0.10a
R.a
=
=
= ω
2
tot
2
tot
22
tot
2
s
2
ttot
s/m2,10a
s/m104a
210a
aaa
=
=
+=
+=
2
t
t
ot
s/m10
5.20
t
=
+=
+=
ω
ω
αωω
Compiled by Rozie SMAN 3 Semarang 25
HUBUNGAN RODA-RODA
ωB = ωC vA >vB
A
B
B
A
ωB > ωA vA =vB
ωB > ωA vA= vB
1. Sepusat
2. Dihubungkan tali
3. Bersinggungan
A
B
1. Tiga roda A, B, dan C dirangkai seperti pada gambar. Masing-masing
berjari-jari 6 cm, 4 cm dan 8 cm. Roda A dan B dihubungkan dengan rantai
dan roda C seporos dengan roda B. Jika roda A berputar 2 putaran tiap
detik, tentukan kecepatan linier roda C.
Penyelesaian :
Diketahui :
RA = 6 cm
RB = 4 cm
RC = 8 cm
fA = 2 Hz
Ditanyakan : vC = ?
Jawab :
ωA = 2π fA
= 2π.2 = 4π rad/s
 vB = vA
vB = ωA . RA
vB = 4π.6 = 24π cm/s
C
B
A
ωB = ωC
vA = vB
26Compiled by Rozie SMAN 3 Semarang
 ωC= ωB
vc/Rc= vB/RB
vC = vB x RC/RB
vC = 24π x 8/4= 48π cm/s
Compiled by Rozie SMAN 3 Semarang 27
2. Empat buah roda A, B, C, dan D masing-masing dengan perbandingan jari-
jari 2 : 1 : 3 : 1. Tentukan perbandingan kecepatan sudut roda A dengan D?
C
B
A
D
BA
BAA
BA
v2.
vR.
vv
=
=
=
ω
ω
2.
1
2.
R
v
AC
A
C
B
B
C
Bc
ωω
ω
ω
ω
ωω
=
=
=
=
6
1
3).2.(
R).2.(
R.1.
vv
D
A
AD
CAD
CCD
CD
=
=
=
=
=
ω
ω
ωω
ωω
ωω
JAWAB:

Kinematika gerak melingkar 2016ok

  • 1.
    Compiled by Rozie@ SMAN 3 Semarang GERAK MELINGKAR (circular motion) 1Compiled by Rozie SMAN 3 Semarang
  • 2.
    Gerak Melingkar (Rotasi)merupakan gerak benda yang berputar terhadap sumbu putar atau sumbu rotasi 2Compiled by Rozie SMAN 3 Semarang
  • 3.
    3Compiled by RozieSMAN 3 Semarang
  • 4.
    BESARAN – BESARANFISIKA PADA GERAK MELINGKAR Compiled by Rozie SMAN 3 Semarang 4
  • 5.
    x y θ r v 1. Sudut tempuh(θ) Posisipartikel yang bergerak melingkar dapat dinyatakan dalam : 1. Koordinat kartesius: (x,y) atau (x,z) atau (y,z) 2. Koordinat polar: (r, θ) dengan r= jari-jari (m) dan θ= sudut tempuh(o ) θcosrx = θsinry = 22 yxr += Berdasarkan gambar didapatkan: 5Compiled by Rozie SMAN 3 Semarang Bandul bergerak dari titik A ke B A B ●
  • 6.
    Contoh: Partikel bergerak melingkardengan jari-jari, r = 0,5 m. Saat posisi sudutnya 30o tentukan posisi partikel dengan koordinat kartesian mapun polar! m325030cos50cosrx o ,, === θ m25030ins50cosry o ,, === θ Posisi partikel dalam koordinat kartisius: ( 0,25√3 m , 0,23 m) Posisi partikel dalam koordinat polar: ( 2 m, 30o ) Jawab:
  • 7.
    r s )rad( =θ Hubungan Suduttempuh (θ) dg Panjang lintasan (s) 1 putaran = 360o = 2π rad 1 π rad = 180o 1 rad = 180o /π = 180o /3,14 = 57,3o 1o = 1/57,3= 0,01745 rad θ = sudut tempuh (rad) r = jari-jari lintasan s = panjang lintasan/ jarak tempuh (m) rs rad .)(θ=  Utk 1 putaran:S = 2πr Compiled by Rozie SMAN 3 Semarang Ingat: Hubungan rumus diatas berlaku jika θ bersatuan radian (rad) r θ S
  • 8.
    2. Kecepatan Sudut/angular (ω) “sudut tempuh dibagi waktu yang dibutuhkan” tt θθ ω = ∆ ∆ = 8Compiled by Rozie SMAN 3 Semarang Untuk satu kali putaran, θ=360o = 2π rad dan waktu yang dibutuhkan disebut periode (T), sehingga: T π ω 2 = ω=kelajuan sudut (angular) /frekuensi sudut (rad/s) T= periode (s) f = frekuensi (Hz) fπω 2= arah ω arah gerak arah gerak arah ω
  • 9.
    Hubungan kelajuan Sudut(ω) dg kelajuan linier/tangensial/translasi (v) r/v r.t s t r/s t = = = = ω ω ω θ ω rv .ω= 9Compiled by Rozie SMAN 3 Semarang v = kelajuan linier/kelajuan tangensial (m/s) ω = kelajuan sudut (rad.s-1 ) r = jari-jari lintasan(m) Satuan ω selain rad/s juga sering dinyatakan dengan: rpm (rotasi per menit) rps (rotasi per sekon) 1 rpm = 1 putaran/menit = 2π rad/ 60 s = π/30 rad/s 1 rps = 1 rotasi/sekon = 2π rad/s “arah v selalu tegak lurus dengan jari-jari lintasan”
  • 10.
    Contoh: Sebuah bola kecildiikat tali sepanjang 50 cm kemudian diputar horisontal. Jika dalam 8 s bola dapat berputar 40 kali. Tentukan: a. frekuensi gerak bola! b. periode gerak bola ! c. banyaknya putaran gerak bola selama 20 s ! d. Kelajuan sudut bola! e. Kelajuan linier bola! Compiled by Rozie SMAN 3 Semarang 10, s0,2T 5 1 T f 1 T. = = =b 5Hzf 8 40 f t N f. = = =a putaran2,5N 8 20 N T t N. = = =c rad/s31,4rad/s01 52 2. == = = πω πω πω fd m/s15,7m/s5 5,0.10 . == = = π π ω v v rve
  • 11.
    4. Percepatan Sudut t ω α ∆ = “Perubahankecepatan sudut dibagi interval waktu yang dibutuhkan” α = percepatan sudut (rad.s-2 ) 11Compiled by Rozie SMAN 3 Semarang ω∆ = perubahan kecepatan sudut (rad.s-1 ) t ot ωω α − = t = waktu yang dibutuhkan (s) Contoh: Partikel yang berputar pada lintasan melingkar berubah kecepatan sudutnya dari 120 rpm menjadi 180 rpm dalam 40 sekon. Berapakah percepatan sudut gerak partikel itu? Penyelesaian: ωo = 120 rpm = 120 . π/30 rad/s = 4 π rad/s ωt = 180 rpm = 180 . π/30 rad/s = 6 π rad/s t = 40 s
  • 12.
    Compiled by RozieSMAN 3 Semarang 12 Penyelesaian: ωo = 120 rpm = 120 . π/30 rad/s = 4 π rad/s ωt = 180 rpm = 180 . π/30 rad/s = 6 π rad/s t = 40 s Percepatan sudutnya: 2- rad.s,05π0 40 46 = − = − = α ππ α ωω α t ot
  • 13.
    Compiled by RozieSMAN 3 Semarang 13 Hubungan Percepatan tangensial (a) dg Percepatan sudut (a) α ω∆ ω∆ ∆ .ra t ra t )r.( a t v a t t t t = = = = r.at α= at = percepatan tangensial (m.s-2 ) α = percepatan sudur (rad.s-2 ) r = jari-jari lintasan (m) Arah at sama dengan arah v dan arah α sama dengan arah ω jika gerak benda dipercepat (kecepatan bertambah), akan berlawanan arah jika diperlambat.
  • 14.
    • Sebuah bendayang bergerak melingkar, meskipun bergerak dengan laju (besar v)konstan, akan memiliki percepatan karena arah kecepatannya (arah v) selalu berubah • Percepatan yang disebabkan karena perubahan arah kecepatan linier v ini disebut percepatan sentripetal, yang arahnya ke pusat lingkaran 5. Percepatan sentripetal (as ) 14Compiled by Rozie SMAN 3 Semarang
  • 15.
    Menentukan persamaan percepatansentripetal • Berdasarkan gambar di samping: s r θ v v v -v Δv θ o 15Compiled by Rozie SMAN 3 Semarang v t.r s a t v r s t v v r s v r s v v s ∆ ∆∆ ∆ ∆ ∆ =⇒ =⇒ = = v -v Δvθ o
  • 16.
    ra 2 s ω= r v a 2 s= krn v = ω.r as = percepatan sentripetal (m.s-2 ) 16Compiled by Rozie SMAN 3 Semarang r v a v.v r 1 a v t s r 1 a r s s s =⇒ =⇒ =⇒ ∆
  • 17.
    Compiled by RozieSMAN 3 Semarang 17 Jadi benda yang bergerak melingkar memungkinkan memiliki tiga percepatan berikut: •Percepatan sudut (α) : perubahan kecepatan sudut dalam waktu tertentu •Percepatan sentripetal (as ) : perubahan arah kecepatan linier dalam waktu tertentu •Percepatan tangensial (at) : perubahan besarnya kecepatan linier dalam waktu tertentu Benda yang bergerak melingkar pasti memiliki as, karena arah v pasti berubah. Kipas angin sesaat setelah dihidupkan kecepatan putar baling- balingnya bertambah, pada saat ini baling-baling kipas memiliki as, at, dan α. Tetapi, setelah putaran baling-baling konstan, baling-baling hanya memiliki as
  • 18.
    5. Percepatan total(atotal ) Benda yang bergerak melingkar dengan kecepatan sudut berubah akan memiliki 3 percepatan: 1.Percepatan sudut 2.Percepatan sentripetal 3.Percepatan tangemsial  Resultan dari percepatan sentripetal dengan percepatan tangensial disebut percepatan total (atot) at atot as 2 s 2 ttot aaa += r.at α= r r v a 2 2 s ω== Dengan: atot = percepatan total (m s- 2 ) 18 Compiled by Rozie SMAN 3 Semarang
  • 19.
    Compiled by RozieSMAN 3 Semarang 19 5. Gaya Sentripetal (Fs) r..mF r v .mF a.mF 2 s 2 s ss ω= = = v v v v a as atot Fs “Arah as dan Fs selalu menuju pusat lintasan” Fs= Gaya sentripetal (N)
  • 20.
    Sebuah benda massanya0,25 kg, diikat pada ujung tali yang panjangnya 0,5 m dan diputar mendatar dengan 2 putaran tiap sekon. Hitunglah : a. Laju linier benda b. Percepatan sentripetal benda c. Gaya sentripetal pada benda Penyelesaian : Diketahui : m = 0,25 kg ; R = 0,5 m ; f = 2 Hz Ditanyakan : a. v = ? b. aS = ? c. FS = ? Jawab : a. v = 2πf .R = 2π x 2 x 0,5 = 2π m/s b. aS = = = 8 π2 m/s2 c. FS = m . aS = 0,25 x 8π2 = 2 π2 N v2 R (2π)2 0,5 as Fs v 20Compiled by Rozie SMAN 3 Semarang
  • 21.
    JENIS GERAK MELINGKAR kecepatan)arahmengubahyangn(percepata 0)(alsentripetapercepatanmemilikiHanya 0)(altangensiaPercepatan 0)(sudutPercepatan konstan)(suduttanecepak s t ≠⊕ =⊕ =⊕ =⊕ α ω sialdantangenlsentripetapercepatanmemiliki 0dankonstan)(sudutpercepatan konstantidak)(suduttanecepak ⊗ ≠=⊗ =⊗ α ω t. 2 αtωω tetapα t0 0t ωω θ + = += =  Gerak Melingkar Beraturan (GMB):  Gerak Melingkar Berubah Beraturan (GMBB): θ2αωω αt 2 1 tωθ 2 0 2 t 2 0 += += tωθ = t θ ω= atau 21 Compiled by Rozie SMAN 3 Semarang
  • 22.
    Contoh Soal 1. Sebuahbenda bergerak rotasi dengan percepatan sudut tetap - 2 rad/s2 . Jika mula-mula benda memiliki kecepatan 10 rad/s dan posisi sudut awalnya sama dengan nol. Tentukan: a. Sudut yang ditempuh selama 2 detik pertama b. Kapan benda akan berhenti berputar c. Jumlah putaran benda dari awal hingga berhenti d. Percepatan 22Compiled by Rozie SMAN 3 Semarangrad16 420 2).2(2.10 tt t t 2 2 1 t 2 2 1 ot = −= −+= += θ θ θ αωθ Jawab: Diketahui: α= - 2 rad/s; ωo= 10 rad/s; θo =0 Ditanyakan: a.θ pada t= 2s; b. t: ? dg ωt =0 c. N: ? dg ωt =0 a.
  • 23.
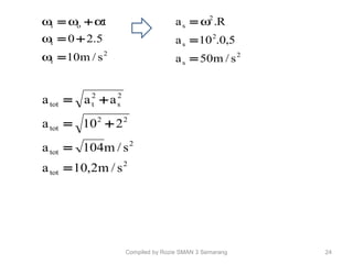
    Compiled by RozieSMAN 3 Semarang 23 2. Dari keadaan diam sebuah benda berotasi sehingga dalam waktu 2 s kecepatannya menjadi 4 rad/s. Tentukan percepatan total titik pada benda tersebut yang terletak 50 cm dari sumbu rotasi benda setelah benda berotasi selama 5 s. rad16 s5t t).2(100 t t ot = = −+= += θ αωωb. c. putaran98,3putaran 2 25 rad25 )2(2100 2 t 2 2 0 2 t === −+= += π θ θ αθωω 2 s 2 ttot aaa += Diketahui: ωo= 0 rad/s; ωt = 4 rad/s; R=0,5 m Ditanyakan: atot;? 2 t t t s/m1a 5,0.2a R.a = = =α 2 ot s/rad2 204 t = += += α α αωω
  • 24.
    Compiled by RozieSMAN 3 Semarang 24 2 s 2 s 2 s s/m50a 5,0.10a R.a = = = ω 2 tot 2 tot 22 tot 2 s 2 ttot s/m2,10a s/m104a 210a aaa = = += += 2 t t ot s/m10 5.20 t = += += ω ω αωω
  • 25.
    Compiled by RozieSMAN 3 Semarang 25 HUBUNGAN RODA-RODA ωB = ωC vA >vB A B B A ωB > ωA vA =vB ωB > ωA vA= vB 1. Sepusat 2. Dihubungkan tali 3. Bersinggungan A B
  • 26.
    1. Tiga rodaA, B, dan C dirangkai seperti pada gambar. Masing-masing berjari-jari 6 cm, 4 cm dan 8 cm. Roda A dan B dihubungkan dengan rantai dan roda C seporos dengan roda B. Jika roda A berputar 2 putaran tiap detik, tentukan kecepatan linier roda C. Penyelesaian : Diketahui : RA = 6 cm RB = 4 cm RC = 8 cm fA = 2 Hz Ditanyakan : vC = ? Jawab : ωA = 2π fA = 2π.2 = 4π rad/s  vB = vA vB = ωA . RA vB = 4π.6 = 24π cm/s C B A ωB = ωC vA = vB 26Compiled by Rozie SMAN 3 Semarang  ωC= ωB vc/Rc= vB/RB vC = vB x RC/RB vC = 24π x 8/4= 48π cm/s
  • 27.
    Compiled by RozieSMAN 3 Semarang 27 2. Empat buah roda A, B, C, dan D masing-masing dengan perbandingan jari- jari 2 : 1 : 3 : 1. Tentukan perbandingan kecepatan sudut roda A dengan D? C B A D BA BAA BA v2. vR. vv = = = ω ω 2. 1 2. R v AC A C B B C Bc ωω ω ω ω ωω = = = = 6 1 3).2.( R).2.( R.1. vv D A AD CAD CCD CD = = = = = ω ω ωω ωω ωω JAWAB: