http://www.scientia-quantist.blogspot.com/
LARUTAN PENYANGGA
LAPORAN PRAKTIKUM KIMIA
Disusun untuk melengkapi nilai
Praktikum Kimia Semester II
Disusun oleh:
 Antonius Geralldy XI IPA I/04
 Ehowu Hia XI IPA I/09
 Feren Jessica R. XI IPA I/12
 Jessica XI IPA I/18
 Jessica Nathania XI IPA I/19
SMA STRADA ST. THOMAS AQUINO
TANGERANG
2012
http://www.scientia-quantist.blogspot.com/
A. Judul : Larutan Penyangga
B. Tujuan : Mempelajari sifat larutan penyangga dan larutan bukan
penyangga pada penambahan sedikit asam, basa, atau
pengenceran
C. Dasar Teori :
Larutan penyangga, larutan dapar, atau buffer adalah larutan yang digunakan
untuk mempertahankan nilai pH tertentu agar tidak banyak berubah selama reaksi
kimia berlangsung. Sifat yang khas dari larutan penyangga ini adalah pH-nya hanya
berubah sedikit dengan pemberian sedikit asam kuat atau basa kuat.
Secara umum, larutan penyangga digambarkan sebagai campuran yang terdiri
dari:
 Asam lemah (HA) dan basa konjugasinya (ion A-
), campuran ini
menghasilkan larutan bersifat asam. Larutan ini mempertahankan pH pada
daerah asam (pH< 7). Untuk mendapatkan larutan ini dapat dibuat dari asam
lemah dan garamnya yang merupakan basa konjugasi dari asamnya. Adapun
cara lainnya yaitu mencampurkan suatu asam lemah dengan suatu basa kuat
dimana asam lemahnya dicampurkan dalam jumlah berlebih. Campuran akan
menghasilkan garam yang mengandung basa konjugasi dari asam lemah yang
bersangkutan. Pada umumnya basa kuat yang digunakan seperti natriumNa),
kalium, barium, kalsium, dan lain-lain.
 Basa lemah (B) dan asam konjugasinya (BH+
), campuran ini menghasilkan
larutan bersifat basa. Larutan ini mempertahankan pH pada daerah basa (pH >
7). Untuk mendapatkan larutan ini dapat dibuat dari basa lemah dan garam,
yang garamnya berasal dari asam kuat. Adapun cara lainnya yaitu dengan
mencampurkan suatu basa lemah dengan suatu asam kuat dimana basa
lemahnya dicampurkan berlebih.
Larutan penyangga mengandung komponen asam dan basa dengan asam dan
basa konjugasinya, sehingga dapat mengikat baik ion H+
maupun ion OH-
. Sehingga
penambahan sedikit asam kuat atau basa kuat tidak mengubah pH-nya secara
signifikan. Berikut ini cara kerja larutan penyangga:
 Larutan penyangga asam
Adapun cara kerjanya dapat dilihat pada larutan penyangga yang mengandung
CH3COOH dan CH3COO-
yang mengalami kesetimbangan. Dengan proses
sebagai berikut:
 Pada penambahan asam
Penambahan asam (H+) akan menggeser kesetimbangan ke kiri. Dimana
ion H+ yang ditambahkan akan bereaksi dengan ion CH3COO-
membentuk molekul CH3COOH.
CH3COO-
(aq) + H+(aq) → CH3COOH(aq)
Contoh lain:
http://www.scientia-quantist.blogspot.com/
Berdasarkan Gambar 6a, Larutan penyangga HNO2/NO2- dapat dibuat
dari campuran HNO2 dan NaNO2. Berarti dalam larutan ini terkandung
molekul HNO2, ion H+, Na+ dan NO2-. Penambahan sedikit asam kuat
akan menambah konsentrasi H+ dalam larutan (6b), namun kelebihan ini
dinetralisasi oleh NO2-, membentuk HNO2 sehingga kesetimbangan
bergeser ke arah HNO2. Hal ini membuat jumlah H+ dalam larutan
menjadi tetap. Akibatnya (6c) nilai pH tetap
 Pada penambahan basa
Jika yang ditambahkan adalah suatu basa, maka ion OH- dari basa itu akan
bereaksi dengan ion H+ membentuk air. Hal ini akan menyebabkan
kesetimbangan bergeser ke kanan sehingga konsentrasi ion H+ dapat
dipertahankan. Jadi, penambahan basa menyebabkan berkurangnya
komponen asam (CH3COOH), bukan ion H+. Basa yang ditambahkan
tersebut bereaksi dengan asam CH3COOH membentuk ion CH3COO- dan
air.
CH3COOH(aq) + OH-(aq) → CH3COO-
(aq) + H2O(l)
Contoh lain:
Berdasarkan Gambar 7b, penambahan sedikit basa kuat akan
memunculkan ion baru dalam larutan penyangga HNO2/NO2- yaitu OH-,
namun ion tersebut dinetralisasi oleh HNO2, membentuk NO2- sehingga
kesetimbangan bergeser ke arah NO2-. Hal ini membuat OH- tidak
mengganggu H+ dalam larutan. Akibatnya (7c) nilai pH tetap.
 Pada penambahan akuades (contoh penyangga: HNO2/NO2
-
)
http://www.scientia-quantist.blogspot.com/
 Larutan Penyangga Basa
Adapun cara kerjanya dapat dilihat pada larutan penyangga yang mengandung
NH3 dan NH4
+
yang mengalami kesetimbangan. Dengan proses sebagai
berikut:
 Pada penambahan asam
Jika ditambahkan suatu asam, maka ion H+
dari asam akan mengikat ion
OH-
. Hal tersebut menyebabkan kesetimbangan bergeser ke kanan,
sehingga konsentrasi ion OH-
dapat dipertahankan. Disamping itu
penambahan ini menyebabkan berkurangnya komponen basa (NH3),
bukannya ion OH-
. Asam yang ditambahkan bereaksi dengan basa NH3
membentuk ion NH4
+
.
NH3 (aq) + H+
(aq) → NH4
+
(aq)
Berdasarkan Gambar 9a, Larutan penyangga NH3/NH4+ dapat dibuat dari
campuran NH4OH(bentuk NH3 dalam air) dan NH4Cl. Berarti dalam
larutan ini terkandung molekul NH4OH, ion NH4+, ion OH- dan Cl-.
Penambahan sedikit asam kuat akan memunculkan ion baru dalam larutan
(9b) yaitu H+, namun ion tersebut dinetralisasi oleh NH4OH, membentuk
NH4+ sehingga kesetimbangan bergeser ke arah NH4+. Hal ini membuat
H+ tidak mengganggu OH- dalam larutan. Akibatnya (9c) nilai pH tetap.
 Pada penambahan basa
Jika yang ditambahkan adalah suatu basa, maka kesetimbangan bergeser
ke kiri, sehingga konsentrasi ion OH- dapat dipertahankan. Basa yang
ditambahkan itu bereaksi dengan komponen asam (NH4+), membentuk
komponen basa (NH3) dan air.
NH4
+
(aq) + OH-
(aq) → NH3 (aq) + H2O(l)
http://www.scientia-quantist.blogspot.com/
Berdasarkan Gambar 10, Penambahan sedikit basa kuat akan menambah
konsentrasi OH- dalam larutan, namun kelebihan ini dinetralisasi oleh
NH4+, membentuk NH4OH sehingga kesetimbangan bergeser ke arah
NH4OH. Hal ini membuat jumlah OH- dalam larutan menjadi tetap.
Akibatnya (10c) nilai pH tetap.
 Pada penambahan akuades
Berdasarkan Gambar 11, jika dilakukan pengenceran dengan H2O maka
derajat ionisasi (α) basa lemah akan naik/turun*(29) (Hukum Pengenceran
Ostwald) yang berarti menambah jumlah ion OH- dan NH4+ dari ionisasi basa
lemah (11b). Akan tetapi karena volume larutan juga bertambah maka
penambahan konsentrasi OH- menjadi tidak berarti. Hal ini (11c) membuat
nilai pH tetap.
Berdasarkan keterangan di atas, dapat disimpulkan prinsip kerja larutan
penyangga asam dalam mempertahankan pH adalah sebagai berikut:
1. Setiap penambahan H+ akan dinetralisasi oleh basa konjugasi.
2. Setiap penambahan OH- akan dinetralisasi oleh asam lemah.
3. Setiap pengenceran dengan H2O berarti memperbesar jumlah ion H+
dan basa konjugasi dari ionisasi asam lemah namun penambahan
konsentrasi H+ menjadi tidak berarti karena volume larutan juga
bertambah.
Dapat digunakan tetapan ionisasi dalam menentukan konsentrasi ion H+
dalam
suatu larutan dengan rumus berikut:
[ ] atau
Keterangan:
Ka = tetapan ionisasi asam lemah
a = jumlah mol asam lemah
g = jumlah mol basa konjugasi
http://www.scientia-quantist.blogspot.com/
Dapat digunakan tetapan ionisasi dalam menentukan konsentrasi ion H+
dalam
suatu larutan dengan rumus berikut:
[ ] atau pOH
Keterangan:
Kb = tetapan ionisasi basa lemah
b = jumlah mol basa lemah
g = jumlah mol asam konjugasi
Adanya larutan penyangga ini dapat kita lihat dalam kehidupan sehari-hari
seperti pada obat-obatan, fotografi, industri kulit dan zat warna. Selain aplikasi
tersebut, terdapat fungsi penerapan konsep larutan penyangga ini dalam tubuh
manusia seperti pada cairan tubuh. Cairan tubuh ini bisa dalam cairan intrasel maupun
cairan ekstrasel. Dimana sistem penyangga utama dalam cairan intraselnya seperti
H2PO4
-
dan HPO4
2-
yang dapat bereaksi dengan suatu asam dan basa. Adapun sistem
penyangga tersebut, dapat menjaga pH darah yang hampir konstan yaitu sekitar 7,4.
Menjaga pH pada plasma darah agar berada pada pH berkisar 7,35 – 7,45 ,yaitu dari
ion HCO3- dengan ion Na+. Apabila pH darah lebih dari 7,45 akan mengalami
alkalosis, akibatnya terjadi hiperventilasi / bernapas berlebihan, mutah hebat. Apabila
pH darah kurang dari 7,35 akan mengalami acidosis akibatnya jantung ,ginjal ,hati
dan pencernaan akan terganggu. Menjaga pH cairan tubuh agar ekskresi ion H+ pada
ginjal tidak terganggu, yaitu asam dihidrogen posphat (H2PO4
-
) dengan basa
monohidrogen posphat (HPO42-
)Selain itu penerapan larutan penyangga ini dapat kita
temui dalam kehidupan sehari-hari seperti pada obat tetes mata. Pada obat tetes mata
mempunyai pH yang sama dengan cairan tubuh kita, agar tidak menimbulkan efek
samping.
D. Alat dan Bahan :
No. Alat dan Bahan Ukuran dan Satuan Jumlah
1 Gelas kimia 100 mL 3
2 Gelas kimia 250 mL 1
3 Gelas ukur 25 mL 1
4 Indikator universal - 12
5 Pipet - 1
6 Kaca pengaduk - 1
7 Pipet ukur 1 mL 2
8 Pro Pipet - 2
9 Larutan NaCl 0,1 M 30 mL -
10 Larutan CH3COOH 0,1 M 25 mL -
11 Larutan NaCH3COO 0,1 M 25 mL -
12 Larutan NH3 0,1 M 25 mL -
13 Larutan NH4Cl 0,1 M 25 mL -
14 Larutan HCl 0,1 M 3 mL -
15 Larutan NaOH 0,1 M 3 mL -
16 Akuades 30 mL -
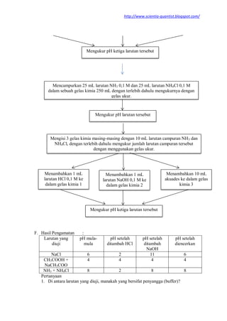
E. Langkah Kerja :
Memasukkan ±30 mL larutan NaCl 0,1 M ke dalam gelas kimia ukuran 250 mL
http://www.scientia-quantist.blogspot.com/
Mengukur pH larutan NaCl tersebut
Mengisi masing-masing gelas kimia dengan 10 mL larutan NaCl 0,1 M dengan
terlebih dahulu mengukur jumlah NaCl dengan menggunakan gelas ukur.
Menyiapkan 3 gelas kimia ukuran 100 mL
Menambahkan 1 mL
larutan HCl 0,1 M ke
dalam gelas kimia 1
Mencampurkan 25 mL larutan CH3COOH 0,1 M dan 25 mL larutan
NaCH3COO 0,1 M dalam sebuah gelas kimia 250 mL dengan terlebih dahulu
mengukurnya dengan gelas ukur.
Mengukur pH larutan campuran CH3COOH dan NaCH3COO
Mengisi 3 gelas kimia masing-masing dengan 10 mL larutan campuran
CH3COOH dan NaCH3COO dengan terlebih dahulu mengukur jumlah larutan
campuran tersebut dengan menggunakan gelas ukur.
Menambahkan 1 mL
larutan NaOH 0,1 M ke
dalam gelas kimia 2
Menambahkan 10 mL
akuades ke dalam gelas
kimia 3
Menambahkan 1 mL
larutan HCl 0,1 M ke
dalam gelas kimia 1
Menambahkan 1 mL
larutan NaOH 0,1 M ke
dalam gelas kimia 2
Menambahkan 10 mL
akuades ke dalam gelas
kimia 3
Mengukur pH ketiga larutan tersebut
http://www.scientia-quantist.blogspot.com/
F. Hasil Pengamatan :
Larutan yang
diuji
pH mula-
mula
pH setelah
ditambah HCl
pH setelah
ditambah
NaOH
pH setelah
diencerkan
NaCl 6 2 11 6
CH3COOH +
NaCH3COO
4 4 4 4
NH3 + NH4Cl 8 2 8 8
Pertanyaan
1. Di antara larutan yang diuji, manakah yang bersifat penyangga (buffer)?
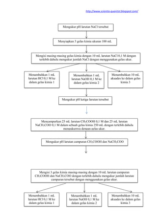
Mengukur pH larutan tersebut
Mencampurkan 25 mL larutan NH3 0,1 M dan 25 mL larutan NH4Cl 0,1 M
dalam sebuah gelas kimia 250 mL dengan terlebih dahulu mengukurnya dengan
gelas ukur.
Menambahkan 1 mL
larutan HCl 0,1 M ke
dalam gelas kimia 1
Menambahkan 1 mL
larutan NaOH 0,1 M ke
dalam gelas kimia 2
Menambahkan 10 mL
akuades ke dalam gelas
kimia 3
Mengukur pH ketiga larutan tersebut
Mengukur pH ketiga larutan tersebut
Mengisi 3 gelas kimia masing-masing dengan 10 mL larutan campuran NH3 dan
NH4Cl, dengan terlebih dahulu mengukur jumlah larutan campuran tersebut
dengan menggunakan gelas ukur.
http://www.scientia-quantist.blogspot.com/
Berdasarkan hasil percobaan, yang merupakan penyangga adalah larutan
CH3COOH + NaCH3COO karena dapat mempertahankan pH nya pada
penambahan asam kuat atau basa kuat. Larutan NH3 + NH4Cl juga merupakan
penyangga namun hasil pada penambahan HCl tidak sesuai dengan teori yang ada
dan percobaan lain (penambahan NaOH atau akuades) yang memperlihatkan
kalau larutan ini merupakan penyangga.
2. Simpulkanlah pengertian larutan penyangga.
Larutan penyangga merupakan larutan yang bisa mempertahankan pH jika diberi
asam atau basa, baik lemah ataupun kuat dan juga bila diencerkan.
G. Pembahasan
Pada praktikum kali ini, kami akan membahas mengenai larutan
penyangga. Dalam percobaan kami, 3 larutan, yaitu larutan NaCl, larutan CH3COOH
+ NaCH3COO, dan larutan NH3 + NH4Cl, akan diukur pH mula-mula dan diukur lagi
pH-nya setelah penambahan asam kuat (HCl), basa kuat (NaOH), dan akudes agar
dapat diketahui mana yang dapat mempertahankan pH dan merupakan larutan
penyangga. Dalam melakukan pengukuran pH, kami menggunakan indikator
universal. Selain itu, kami juga akan membandingkan hasil pada percobaan kali ini
dengan perhitungan dan teori yang ada.
Percobaan kami dibagi menjadi 3 bagian, yang pertama adalah dengan
larutan NaCl, yang kedua adalah larutan CH3COOH + NaCH3COO, dan yang ketiga
adalah larutan NH3 + NH4Cl.
Pada percobaan pertama, kami memasukkan sekitar 30 mL larutan NaCl
ke dalam gelas kimia 250 mL dan kemudian kami mengukur pH nya. Hasilnya,
larutan ini memiliki pH=6. Sedikit berbeda dengan teori yang ada yang mengatakan
bahwa NaCl merupakan garam yang sifatnya netral (pH=7). Namun, antara 6 dan 7
dapat dibilang tidak begitu berbeda jauh. Perbedaan ini bisa dikarenakan kesalahan
yang ada dalam larutan, kemungkinan larutan tercemar sedikit asam sehingga pH nya
turun.
Selanjutnya, larutan NaCl di gelas kimia 250 mL tersebut dituang masing-
masing 10 mL larutan NaCl ke dalam 3 gelas kimia 100 mL, dengan mengukurnya
terlebih dahulu menggunakan gelas ukur yang lebih teliti dibandingkan dengan gelas
kimia.
Larutan NaCl dalam gelas kimia 100 mL pertama dimasukkan larutan 1
mL HCl 0,1 M dengan menggunakan pipet ukur. Kemudian, kami mengaduknya
terlebih dahulu menggunakan kaca pengaduk. Setelah dianggap rata, kami
mengukurnya pH-nya dengan indikator universal. Hasil yang didapat menunjukkan
pH=2. Jika dibandingkan dengan hasil perhitungan :
( )
( )
[ ]
( )
Hasil yang diperoleh dari perhitungan kami sesuai dengan hasil dari percobaan, yaitu
antara 2,0 dengan 2,05 . Itu berarti percobaan ini sesuai dengan teori yang ada.
http://www.scientia-quantist.blogspot.com/
Selanjutnya, larutan NaCl dalam gelas kimia 100 mL kedua dimasukkan
larutan 1 mL NaOH 0,1 M dengan menggunakan pipet ukur. Kemudian, kami
mengaduknya dengan kaca pengaduk. Setelah itu, kami mengukur pH-nya dengan
indikator universal. Hasil yang didapat menunjukkan pH=11. Jika dibandingkan
dengan hasil perhitungan :
( )
( )
[ ]
( )
Hasil yang diperoleh dari perhitungan kami sesuai dengan hasil dari percobaan.
Walaupun antara 11 dengan 11,95 dapat dikatakan lebih jauh selisihnya jika
dibandingkan dengan selisih pada penambahan HCl, namun hasil ini dapat dikatakan
sudah mendukung teori yang ada.
Selanjutnya, larutan NaCl dalam gelas kimia 100 mL ketiga dimasukkan
larutan 10 mL akuades dengan menggunakan gelas ukur. Kemudian, kami
mengaduknya dengan kaca pengaduk. Setelah itu, kami mengukur pH-nya dengan
indikator universal. Hasil yang didapat menunjukkan pH= 6. Menurut teori,
penambahan akuades yang netral (pH=7) jika ditambahkan ke dalam larutan garam
yang juga netral maka hasilnya tidak akan mengubah pH awal, yaitu 7. Hasil
percobaan, penambahan akuades memang tidak mengubah pH awal larutan (6),
namun menurut teori seharusnya pH akhir adalah 7. Ada kemungkinan bahwa larutan
NaCl yang kami gunakan memang tidak memiliki pH = 7, namun sudah tercemar
sedikit asam.
Dari hasil percobaan dengan larutan NaCl, dapat disimpulkan bahwa
larutan NaCl bukan larutan penyangga sebab mengalami perubahan pH yang drastis
ketika ditambahkan sedikit asam kuat (HCl), yaitu dari 6 ke 2 dan juga basa kuat
(NaOH), yaitu dari 6 ke 11.
Pada percobaan kedua, kami terlebih dahulu mencuci seluruh alat yang
kami gunakan dan mengeringkannya agar tidak mengganggu hasil yang akan didapat.
Pada percobaan ini, kami memasukkan 25 mL larutan CH3COOH 0,1 M ke dalam
gelas kimia 250 mL dan menambahkan 25 mL larutan NaCH3COO 0,1 M dengan
terlebih dahulu mengukurnya menggunakan gelas ukur. Setelah itu, kami mengukur
pH-nya dengan menggunakan indikator universal. Hasil yang didapat menunjukkan
pH=4. Jika dibandingkan dengan hasil perhitungan:
mol CH3COOH=
mol NaCH3COO=
Ka CH3COOH =
[ ]
[ ]
[ ]
log ( ) = =
http://www.scientia-quantist.blogspot.com/
Hasil percobaan yang didapat mendukung hasil perhitungan yaitu antara 4 dengan
4,74. Maka dapat dikatakan bahwa percobaan yang telah kami lakukan sudah benar
dan sesuai dengan teori yang ada.
Selanjutnya, larutan CH3COOH+NaCH3COO di gelas kimia 250 mL
tersebut dituang masing-masing 10 mL ke dalam 3 gelas kimia ukuran 100 mL,
dengan mengukurnya terlebih dahulu menggunakan gelas ukur yang lebih teliti
dibandingkan dengan gelas kimia.
Larutan CH3COOH+NaCH3COO dalam gelas kimia 100 mL pertama
dimasukkan larutan 1 mL HCl 0,1 M dengan menggunakan pipet ukur. Kemudian,
kami mengaduknya terlebih dahulu menggunakan kaca pengaduk. Setelah dianggap
rata, kami mengukurnya pH-nya dengan indikator universal. Hasil yang didapat
menunjukkan pH=4. Jika dibandingkan dengan hasil perhitungan :
mol CH3COOH=
mol NaCH3COO=
mol HCl =
CH3COO-
(aq) + H+
(aq) ---> CH3COOH(aq)
Mula-mula 0,5 mmol 0,1 mmol 0,5 mmol
Reaksi -0,1 mmol -0,1 mmol +0,1 mmol
Sisa 0,4 mmol - 0,6 mmol
[ ]
[ ]
[ ]
[ ]
pH = - log ( ) = 5- log 2,7 = 5 – 0.43 = 4,57
(perubahan pH sebesar 0,17)
Hasil percobaan yang didapat mendukung hasil perhitungan yaitu antara 4 dengan
4,57. Maka dapat dikatakan bahwa percobaan yang telah kami lakukan sudah benar
dan sesuai dengan teori yang ada.
Larutan CH3COOH+NaCH3COO dalam gelas kimia 100 mL kedua
dimasukkan larutan 1 mL NaOH 0,1 M dengan menggunakan pipet ukur. Kemudian,
kami mengaduknya menggunakan kaca pengaduk. Setelah dianggap rata, kami
mengukurnya pH-nya dengan indikator universal. Hasil yang didapat menunjukkan
pH=4. Jika dibandingkan dengan hasil perhitungan :
mol CH3COOH=
mol NaCH3COO=
mol NaOH =
CH3COOH(aq) + OH-
(aq) --->CH3COO-
(aq)+H2O (l)
Mula-mula 0,5 mmol 0,1 mmol 0,5 mmol -
Reaksi -0,1 mmol -0,1 mmol +0,1 mmol +0,1
mmol
Sisa 0,4 mmol - 0,6 mmol 0,1
mmol
http://www.scientia-quantist.blogspot.com/
[ ]
[ ]
[ ]
[ ]
log ( )
(perubahan pH sebesar 0,18)
Hasil percobaan yang didapat mendukung hasil perhitungan yaitu antara 4 dengan
4,92. Walaupun 4,92 sudah hampir mencapai 5, namun dapat dikatakan mendekati.
Maka dapat dikatakan bahwa percobaan yang telah kami lakukan sudah benar dan
sesuai dengan teori yang ada.
Selanjutnya, larutan CH3COOH+NaCH3COO dalam gelas kimia 100 mL
ketiga dimasukan 10 mL akuades dengan menggunakan gelas ukur, kemudian kami
mengaduknya dengan kaca pengaduk. Setelah dianggap rata, kami mengukur pH-nya
dengan indikator universal. Hasilnya didapatkan pH=4 yang berarti tidak terjadi
perubahan nilai pH. Hal ini sesuai teori yang mengatakan bahwa jika dilakukan
pengenceran dengan H2O maka derajat ionisasi (α) asam lemah akan naik yang berarti
menambah jumlah ion H+
dan CH3COO-
dari ionisasi asam lemah. Akan tetapi
karena volume larutan juga bertambah maka penambahan konsentrasi H+ menjadi
tidak berarti. Akibatnya nilai pH tetap.
Dari hasil percobaan dengan larutan CH3COOH+NaCH3COO, dapat
disimpulkan bahwa larutan ini bersifat penyangga karena dapat mempertahankan pH-
nya (4) pada penambahan asam kuat, basa kuat, ataupun ketika diencerkan.
Pada percobaan ketiga, kami juga terlebih dahulu mencuci seluruh alat
yang kami gunakan dan mengeringkannya agar tidak mengganggu hasil yang akan
didapat. Pada percobaan ini, kami memasukkan 25 mL larutan NH3 0,1 M ke dalam
gelas kimia 250 mL dan menambahkan 25 mL larutan NH4Cl 0,1 M dengan terlebih
dahulu mengukurnya menggunakan gelas ukur. Setelah itu, kami mengukur pH-nya
dengan menggunakan indikator universal. Hasil yang didapat menunjukkan pH=8.
Jika dibandingkan dengan hasil perhitungan:
mol NH3 =
mol NH4Cl =
[ ]
[ ]
[ ]
log ( ) = =
pH = 14 – 4,74 = 9,26
Hasil perhitungan tidak begitu sesuai dengan hasil percobaan. Pada percobaan didapat
pH=8, sedangkan pada perhitungan didapat pH=9,26. Selisih antara keduanya
tergolong cukup jauh. Namun, kedua hasil menunjukkan sifat yang sama yaitu basa.
Maka, kemungkinan adalah kami melakukan kesalahan dalam membaca kertas
indikator.
http://www.scientia-quantist.blogspot.com/
Selanjutnya, larutan NH3 + NH4Cl di gelas kimia 250 mL tersebut dituang
masing-masing 10 mL ke dalam 3 gelas kimia ukuran 100 mL, dengan mengukurnya
terlebih dahulu menggunakan gelas ukur.
Larutan NH3 + NH4Cl dalam gelas kimia 100 mL pertama dimasukkan
larutan 1 mL HCl 0,1 M dengan menggunakan pipet ukur. Kemudian, kami
mengaduknya terlebih dahulu menggunakan kaca pengaduk. Setelah dianggap rata,
kami mengukurnya pH-nya dengan indikator universal. Hasil yang didapat
menunjukkan pH=2. Jika dibandingkan dengan hasil perhitungan :
(aq) + H+
(aq) ---> (aq)
Mula-mula 0,5 mmol 0,1 mmol 0,5 mmol
Reaksi -0,1 mmol -0,1 mmol +0,1 mmol
Sisa 0,4 mmol - 0,6 mmol
[ ]
[ ]
[ ]
[ ]
pOH = - log ( ) = 5- log 1,206 = 5 – 0,08 = 4,92
pH=14-pOH=14 - 4,92 = 9,08
(perubahan pH sebesar 0,18)
Hasil perhitungan sangat tidak sesuai dengan hasil percobaan. Pada percobaan didapat
pH=2, sedangkan pada perhitungan didapat pH=9,08. Selisih antara keduanya
tergolong sangat jauh. Keduanya juga menunjukkan sifat yang berbeda. Sehingga
dapat dikatakan bahwa percobaan kami tidak sesuai dengan teori yang ada.
Larutan NH3 + NH4Cl dalam gelas kimia 100 mL kedua dimasukkan
larutan 1 mL NaOH 0,1 M dengan menggunakan pipet ukur. Kemudian, kami
mengaduknya terlebih dahulu menggunakan kaca pengaduk. Setelah dianggap rata,
kami mengukurnya pH-nya dengan indikator universal. Hasil yang didapat
menunjukkan pH=8. Jika dibandingkan dengan hasil perhitungan :
(aq) + OH-
(aq) ---> (aq)+H2O (l)
Mula-mula 0,5 mmol 0,1 mmol 0,5 mmol -
Reaksi -0,1 mmol -0,1 mmol +0,1 mmol +0,1 mmol
Sisa 0,4 mmol - 0,6 mmol 0,1 mmol
[ ]
[ ]
[ ]
[ ]
pOH = - log ( ) = 5- log 2,7 = 5 – 0.43 = 4,57
http://www.scientia-quantist.blogspot.com/
(perubahan pH sebesar 0,17)
Hasil perhitungan tidak begitu sesuai dengan hasil percobaan. Pada percobaan didapat
pH=8, sedangkan pada perhitungan didapat pH=9,43. Selisih antara keduanya
tergolong cukup jauh. Namun, kedua hasil menunjukkan sifat yang sama yaitu basa.
Maka, kemungkinan adalah kami melakukan kesalahan dalam membaca hasil
indikator.
Selanjutnya, larutan NH3 + NH4Cl dalam gelas kimia 100 mL ketiga
dimasukan 10 mL akuades dengan menggunakan gelas ukur, kemudian kami
mengaduknya dengan kaca pengaduk. Setelah dianggap rata, kami mengukur pH-nya
dengan indikator universal. Hasilnya didapatkan pH=8 yang berarti tidak terjadi
perubahan nilai pH. Hal ini sesuai dengan teori yang mengatakan bahwa jika
dilakukan pengenceran dengan H2O maka derajat ionisasi (α) basa lemah akan naik
atau turun yang berarti menambah jumlah ion dan dari ionisasi basa lemah.
Akan tetapi karena volume larutan juga bertambah maka penambahan konsentrasi
OH- menjadi tidak berarti. Hal ini membuat nilai pH tetap.
Dari hasil percobaan dengan larutan NH3 + NH4Cl, dapat disimpulkan
bahwa larutan ini bersifat penyangga karena dapat mempertahankan pH-nya (8) pada
penambahan basa kuat, dan ketika diencerkan. Walaupun pada penambahan asam
kuat pH larutan berubah drastis, dapat dikatakan bahwa hal itu merupakan kesalahan
teknis.
Untuk memperkuat bukti hasil percobaan yang telah kami sebutkan diatas,
maka kami menampilkan gambar indikator universal yang telah kami coba pada
percobaan kali ini.
Deret kiri ke kanan :
1. Larutan NaCl (pH=6)
2. Larutan NaCl + HCl (pH=2)
3. Larutan NaCl + NaOH (pH=11)
4. Larutan NaCl + Akuades (pH=6)
http://www.scientia-quantist.blogspot.com/
5. Larutan CH3COOH + NaCH3COO (pH=4)
6. Larutan CH3COOH + NaCH3COO + HCl (pH=4)
7. Larutan CH3COOH + NaCH3COO + NaOH (pH=4)
8. Larutan CH3COOH + NaCH3COO + Akuades (pH=4)
9. Larutan NH3 + NH4Cl (pH=8)
10. Larutan NH3 + NH4Cl + HCl (pH=2)
11. Larutan NH3 + NH4Cl + NaOH (pH=8)
12. Larutan NH3 + NH4Cl + Akuades (pH=8)
H. Simpulan
Berdasarkan percobaan yang telah kami lakukan, dapat disimpulkan bahwa larutan
penyangga merupakan larutan yang dapat mempertahankan pH walaupun diberi
penambahan asam, basa, ataupun akuades. Penambahan sedikit asam akan sedikit
menurunkan pH, penambahan sedikit basa akan sedikit meningkatkan pH, dan
penambahan akuades tidak akan mempengaruhi pH. Larutan yang merupakan
penyangga adalah larutan CH3COOH+NaCH3COO dan larutan NH3 + NH4Cl,
sedangkan larutan NaCl bukan larutan penyangga.
I. Daftar Pustaka
Andini, Anggi Willi. “Prinsip Kerja Larutan Penyangga”.
anggiwilianandini.wordpress.com. diunduh 28 April 2012
Fatihah, Solimah. 2012. “Larutan Penyangga”. www.scribd.com
Diunduh 29 April 2012
Sutanto, Raymond. 2012. “Larutan Penyangga”. id.wikipedia.org
diunduh 29 April 2012

Laporan Praktikum Kimia_Larutan Penyangga

  • 1.
    http://www.scientia-quantist.blogspot.com/ LARUTAN PENYANGGA LAPORAN PRAKTIKUMKIMIA Disusun untuk melengkapi nilai Praktikum Kimia Semester II Disusun oleh:  Antonius Geralldy XI IPA I/04  Ehowu Hia XI IPA I/09  Feren Jessica R. XI IPA I/12  Jessica XI IPA I/18  Jessica Nathania XI IPA I/19 SMA STRADA ST. THOMAS AQUINO TANGERANG 2012
  • 2.
    http://www.scientia-quantist.blogspot.com/ A. Judul :Larutan Penyangga B. Tujuan : Mempelajari sifat larutan penyangga dan larutan bukan penyangga pada penambahan sedikit asam, basa, atau pengenceran C. Dasar Teori : Larutan penyangga, larutan dapar, atau buffer adalah larutan yang digunakan untuk mempertahankan nilai pH tertentu agar tidak banyak berubah selama reaksi kimia berlangsung. Sifat yang khas dari larutan penyangga ini adalah pH-nya hanya berubah sedikit dengan pemberian sedikit asam kuat atau basa kuat. Secara umum, larutan penyangga digambarkan sebagai campuran yang terdiri dari:  Asam lemah (HA) dan basa konjugasinya (ion A- ), campuran ini menghasilkan larutan bersifat asam. Larutan ini mempertahankan pH pada daerah asam (pH< 7). Untuk mendapatkan larutan ini dapat dibuat dari asam lemah dan garamnya yang merupakan basa konjugasi dari asamnya. Adapun cara lainnya yaitu mencampurkan suatu asam lemah dengan suatu basa kuat dimana asam lemahnya dicampurkan dalam jumlah berlebih. Campuran akan menghasilkan garam yang mengandung basa konjugasi dari asam lemah yang bersangkutan. Pada umumnya basa kuat yang digunakan seperti natriumNa), kalium, barium, kalsium, dan lain-lain.  Basa lemah (B) dan asam konjugasinya (BH+ ), campuran ini menghasilkan larutan bersifat basa. Larutan ini mempertahankan pH pada daerah basa (pH > 7). Untuk mendapatkan larutan ini dapat dibuat dari basa lemah dan garam, yang garamnya berasal dari asam kuat. Adapun cara lainnya yaitu dengan mencampurkan suatu basa lemah dengan suatu asam kuat dimana basa lemahnya dicampurkan berlebih. Larutan penyangga mengandung komponen asam dan basa dengan asam dan basa konjugasinya, sehingga dapat mengikat baik ion H+ maupun ion OH- . Sehingga penambahan sedikit asam kuat atau basa kuat tidak mengubah pH-nya secara signifikan. Berikut ini cara kerja larutan penyangga:  Larutan penyangga asam Adapun cara kerjanya dapat dilihat pada larutan penyangga yang mengandung CH3COOH dan CH3COO- yang mengalami kesetimbangan. Dengan proses sebagai berikut:  Pada penambahan asam Penambahan asam (H+) akan menggeser kesetimbangan ke kiri. Dimana ion H+ yang ditambahkan akan bereaksi dengan ion CH3COO- membentuk molekul CH3COOH. CH3COO- (aq) + H+(aq) → CH3COOH(aq) Contoh lain:
  • 3.
    http://www.scientia-quantist.blogspot.com/ Berdasarkan Gambar 6a,Larutan penyangga HNO2/NO2- dapat dibuat dari campuran HNO2 dan NaNO2. Berarti dalam larutan ini terkandung molekul HNO2, ion H+, Na+ dan NO2-. Penambahan sedikit asam kuat akan menambah konsentrasi H+ dalam larutan (6b), namun kelebihan ini dinetralisasi oleh NO2-, membentuk HNO2 sehingga kesetimbangan bergeser ke arah HNO2. Hal ini membuat jumlah H+ dalam larutan menjadi tetap. Akibatnya (6c) nilai pH tetap  Pada penambahan basa Jika yang ditambahkan adalah suatu basa, maka ion OH- dari basa itu akan bereaksi dengan ion H+ membentuk air. Hal ini akan menyebabkan kesetimbangan bergeser ke kanan sehingga konsentrasi ion H+ dapat dipertahankan. Jadi, penambahan basa menyebabkan berkurangnya komponen asam (CH3COOH), bukan ion H+. Basa yang ditambahkan tersebut bereaksi dengan asam CH3COOH membentuk ion CH3COO- dan air. CH3COOH(aq) + OH-(aq) → CH3COO- (aq) + H2O(l) Contoh lain: Berdasarkan Gambar 7b, penambahan sedikit basa kuat akan memunculkan ion baru dalam larutan penyangga HNO2/NO2- yaitu OH-, namun ion tersebut dinetralisasi oleh HNO2, membentuk NO2- sehingga kesetimbangan bergeser ke arah NO2-. Hal ini membuat OH- tidak mengganggu H+ dalam larutan. Akibatnya (7c) nilai pH tetap.  Pada penambahan akuades (contoh penyangga: HNO2/NO2 - )
  • 4.
    http://www.scientia-quantist.blogspot.com/  Larutan PenyanggaBasa Adapun cara kerjanya dapat dilihat pada larutan penyangga yang mengandung NH3 dan NH4 + yang mengalami kesetimbangan. Dengan proses sebagai berikut:  Pada penambahan asam Jika ditambahkan suatu asam, maka ion H+ dari asam akan mengikat ion OH- . Hal tersebut menyebabkan kesetimbangan bergeser ke kanan, sehingga konsentrasi ion OH- dapat dipertahankan. Disamping itu penambahan ini menyebabkan berkurangnya komponen basa (NH3), bukannya ion OH- . Asam yang ditambahkan bereaksi dengan basa NH3 membentuk ion NH4 + . NH3 (aq) + H+ (aq) → NH4 + (aq) Berdasarkan Gambar 9a, Larutan penyangga NH3/NH4+ dapat dibuat dari campuran NH4OH(bentuk NH3 dalam air) dan NH4Cl. Berarti dalam larutan ini terkandung molekul NH4OH, ion NH4+, ion OH- dan Cl-. Penambahan sedikit asam kuat akan memunculkan ion baru dalam larutan (9b) yaitu H+, namun ion tersebut dinetralisasi oleh NH4OH, membentuk NH4+ sehingga kesetimbangan bergeser ke arah NH4+. Hal ini membuat H+ tidak mengganggu OH- dalam larutan. Akibatnya (9c) nilai pH tetap.  Pada penambahan basa Jika yang ditambahkan adalah suatu basa, maka kesetimbangan bergeser ke kiri, sehingga konsentrasi ion OH- dapat dipertahankan. Basa yang ditambahkan itu bereaksi dengan komponen asam (NH4+), membentuk komponen basa (NH3) dan air. NH4 + (aq) + OH- (aq) → NH3 (aq) + H2O(l)
  • 5.
    http://www.scientia-quantist.blogspot.com/ Berdasarkan Gambar 10,Penambahan sedikit basa kuat akan menambah konsentrasi OH- dalam larutan, namun kelebihan ini dinetralisasi oleh NH4+, membentuk NH4OH sehingga kesetimbangan bergeser ke arah NH4OH. Hal ini membuat jumlah OH- dalam larutan menjadi tetap. Akibatnya (10c) nilai pH tetap.  Pada penambahan akuades Berdasarkan Gambar 11, jika dilakukan pengenceran dengan H2O maka derajat ionisasi (α) basa lemah akan naik/turun*(29) (Hukum Pengenceran Ostwald) yang berarti menambah jumlah ion OH- dan NH4+ dari ionisasi basa lemah (11b). Akan tetapi karena volume larutan juga bertambah maka penambahan konsentrasi OH- menjadi tidak berarti. Hal ini (11c) membuat nilai pH tetap. Berdasarkan keterangan di atas, dapat disimpulkan prinsip kerja larutan penyangga asam dalam mempertahankan pH adalah sebagai berikut: 1. Setiap penambahan H+ akan dinetralisasi oleh basa konjugasi. 2. Setiap penambahan OH- akan dinetralisasi oleh asam lemah. 3. Setiap pengenceran dengan H2O berarti memperbesar jumlah ion H+ dan basa konjugasi dari ionisasi asam lemah namun penambahan konsentrasi H+ menjadi tidak berarti karena volume larutan juga bertambah. Dapat digunakan tetapan ionisasi dalam menentukan konsentrasi ion H+ dalam suatu larutan dengan rumus berikut: [ ] atau Keterangan: Ka = tetapan ionisasi asam lemah a = jumlah mol asam lemah g = jumlah mol basa konjugasi
  • 6.
    http://www.scientia-quantist.blogspot.com/ Dapat digunakan tetapanionisasi dalam menentukan konsentrasi ion H+ dalam suatu larutan dengan rumus berikut: [ ] atau pOH Keterangan: Kb = tetapan ionisasi basa lemah b = jumlah mol basa lemah g = jumlah mol asam konjugasi Adanya larutan penyangga ini dapat kita lihat dalam kehidupan sehari-hari seperti pada obat-obatan, fotografi, industri kulit dan zat warna. Selain aplikasi tersebut, terdapat fungsi penerapan konsep larutan penyangga ini dalam tubuh manusia seperti pada cairan tubuh. Cairan tubuh ini bisa dalam cairan intrasel maupun cairan ekstrasel. Dimana sistem penyangga utama dalam cairan intraselnya seperti H2PO4 - dan HPO4 2- yang dapat bereaksi dengan suatu asam dan basa. Adapun sistem penyangga tersebut, dapat menjaga pH darah yang hampir konstan yaitu sekitar 7,4. Menjaga pH pada plasma darah agar berada pada pH berkisar 7,35 – 7,45 ,yaitu dari ion HCO3- dengan ion Na+. Apabila pH darah lebih dari 7,45 akan mengalami alkalosis, akibatnya terjadi hiperventilasi / bernapas berlebihan, mutah hebat. Apabila pH darah kurang dari 7,35 akan mengalami acidosis akibatnya jantung ,ginjal ,hati dan pencernaan akan terganggu. Menjaga pH cairan tubuh agar ekskresi ion H+ pada ginjal tidak terganggu, yaitu asam dihidrogen posphat (H2PO4 - ) dengan basa monohidrogen posphat (HPO42- )Selain itu penerapan larutan penyangga ini dapat kita temui dalam kehidupan sehari-hari seperti pada obat tetes mata. Pada obat tetes mata mempunyai pH yang sama dengan cairan tubuh kita, agar tidak menimbulkan efek samping. D. Alat dan Bahan : No. Alat dan Bahan Ukuran dan Satuan Jumlah 1 Gelas kimia 100 mL 3 2 Gelas kimia 250 mL 1 3 Gelas ukur 25 mL 1 4 Indikator universal - 12 5 Pipet - 1 6 Kaca pengaduk - 1 7 Pipet ukur 1 mL 2 8 Pro Pipet - 2 9 Larutan NaCl 0,1 M 30 mL - 10 Larutan CH3COOH 0,1 M 25 mL - 11 Larutan NaCH3COO 0,1 M 25 mL - 12 Larutan NH3 0,1 M 25 mL - 13 Larutan NH4Cl 0,1 M 25 mL - 14 Larutan HCl 0,1 M 3 mL - 15 Larutan NaOH 0,1 M 3 mL - 16 Akuades 30 mL - E. Langkah Kerja : Memasukkan ±30 mL larutan NaCl 0,1 M ke dalam gelas kimia ukuran 250 mL
  • 7.
    http://www.scientia-quantist.blogspot.com/ Mengukur pH larutanNaCl tersebut Mengisi masing-masing gelas kimia dengan 10 mL larutan NaCl 0,1 M dengan terlebih dahulu mengukur jumlah NaCl dengan menggunakan gelas ukur. Menyiapkan 3 gelas kimia ukuran 100 mL Menambahkan 1 mL larutan HCl 0,1 M ke dalam gelas kimia 1 Mencampurkan 25 mL larutan CH3COOH 0,1 M dan 25 mL larutan NaCH3COO 0,1 M dalam sebuah gelas kimia 250 mL dengan terlebih dahulu mengukurnya dengan gelas ukur. Mengukur pH larutan campuran CH3COOH dan NaCH3COO Mengisi 3 gelas kimia masing-masing dengan 10 mL larutan campuran CH3COOH dan NaCH3COO dengan terlebih dahulu mengukur jumlah larutan campuran tersebut dengan menggunakan gelas ukur. Menambahkan 1 mL larutan NaOH 0,1 M ke dalam gelas kimia 2 Menambahkan 10 mL akuades ke dalam gelas kimia 3 Menambahkan 1 mL larutan HCl 0,1 M ke dalam gelas kimia 1 Menambahkan 1 mL larutan NaOH 0,1 M ke dalam gelas kimia 2 Menambahkan 10 mL akuades ke dalam gelas kimia 3 Mengukur pH ketiga larutan tersebut
  • 8.
    http://www.scientia-quantist.blogspot.com/ F. Hasil Pengamatan: Larutan yang diuji pH mula- mula pH setelah ditambah HCl pH setelah ditambah NaOH pH setelah diencerkan NaCl 6 2 11 6 CH3COOH + NaCH3COO 4 4 4 4 NH3 + NH4Cl 8 2 8 8 Pertanyaan 1. Di antara larutan yang diuji, manakah yang bersifat penyangga (buffer)? Mengukur pH larutan tersebut Mencampurkan 25 mL larutan NH3 0,1 M dan 25 mL larutan NH4Cl 0,1 M dalam sebuah gelas kimia 250 mL dengan terlebih dahulu mengukurnya dengan gelas ukur. Menambahkan 1 mL larutan HCl 0,1 M ke dalam gelas kimia 1 Menambahkan 1 mL larutan NaOH 0,1 M ke dalam gelas kimia 2 Menambahkan 10 mL akuades ke dalam gelas kimia 3 Mengukur pH ketiga larutan tersebut Mengukur pH ketiga larutan tersebut Mengisi 3 gelas kimia masing-masing dengan 10 mL larutan campuran NH3 dan NH4Cl, dengan terlebih dahulu mengukur jumlah larutan campuran tersebut dengan menggunakan gelas ukur.
  • 9.
    http://www.scientia-quantist.blogspot.com/ Berdasarkan hasil percobaan,yang merupakan penyangga adalah larutan CH3COOH + NaCH3COO karena dapat mempertahankan pH nya pada penambahan asam kuat atau basa kuat. Larutan NH3 + NH4Cl juga merupakan penyangga namun hasil pada penambahan HCl tidak sesuai dengan teori yang ada dan percobaan lain (penambahan NaOH atau akuades) yang memperlihatkan kalau larutan ini merupakan penyangga. 2. Simpulkanlah pengertian larutan penyangga. Larutan penyangga merupakan larutan yang bisa mempertahankan pH jika diberi asam atau basa, baik lemah ataupun kuat dan juga bila diencerkan. G. Pembahasan Pada praktikum kali ini, kami akan membahas mengenai larutan penyangga. Dalam percobaan kami, 3 larutan, yaitu larutan NaCl, larutan CH3COOH + NaCH3COO, dan larutan NH3 + NH4Cl, akan diukur pH mula-mula dan diukur lagi pH-nya setelah penambahan asam kuat (HCl), basa kuat (NaOH), dan akudes agar dapat diketahui mana yang dapat mempertahankan pH dan merupakan larutan penyangga. Dalam melakukan pengukuran pH, kami menggunakan indikator universal. Selain itu, kami juga akan membandingkan hasil pada percobaan kali ini dengan perhitungan dan teori yang ada. Percobaan kami dibagi menjadi 3 bagian, yang pertama adalah dengan larutan NaCl, yang kedua adalah larutan CH3COOH + NaCH3COO, dan yang ketiga adalah larutan NH3 + NH4Cl. Pada percobaan pertama, kami memasukkan sekitar 30 mL larutan NaCl ke dalam gelas kimia 250 mL dan kemudian kami mengukur pH nya. Hasilnya, larutan ini memiliki pH=6. Sedikit berbeda dengan teori yang ada yang mengatakan bahwa NaCl merupakan garam yang sifatnya netral (pH=7). Namun, antara 6 dan 7 dapat dibilang tidak begitu berbeda jauh. Perbedaan ini bisa dikarenakan kesalahan yang ada dalam larutan, kemungkinan larutan tercemar sedikit asam sehingga pH nya turun. Selanjutnya, larutan NaCl di gelas kimia 250 mL tersebut dituang masing- masing 10 mL larutan NaCl ke dalam 3 gelas kimia 100 mL, dengan mengukurnya terlebih dahulu menggunakan gelas ukur yang lebih teliti dibandingkan dengan gelas kimia. Larutan NaCl dalam gelas kimia 100 mL pertama dimasukkan larutan 1 mL HCl 0,1 M dengan menggunakan pipet ukur. Kemudian, kami mengaduknya terlebih dahulu menggunakan kaca pengaduk. Setelah dianggap rata, kami mengukurnya pH-nya dengan indikator universal. Hasil yang didapat menunjukkan pH=2. Jika dibandingkan dengan hasil perhitungan : ( ) ( ) [ ] ( ) Hasil yang diperoleh dari perhitungan kami sesuai dengan hasil dari percobaan, yaitu antara 2,0 dengan 2,05 . Itu berarti percobaan ini sesuai dengan teori yang ada.
  • 10.
    http://www.scientia-quantist.blogspot.com/ Selanjutnya, larutan NaCldalam gelas kimia 100 mL kedua dimasukkan larutan 1 mL NaOH 0,1 M dengan menggunakan pipet ukur. Kemudian, kami mengaduknya dengan kaca pengaduk. Setelah itu, kami mengukur pH-nya dengan indikator universal. Hasil yang didapat menunjukkan pH=11. Jika dibandingkan dengan hasil perhitungan : ( ) ( ) [ ] ( ) Hasil yang diperoleh dari perhitungan kami sesuai dengan hasil dari percobaan. Walaupun antara 11 dengan 11,95 dapat dikatakan lebih jauh selisihnya jika dibandingkan dengan selisih pada penambahan HCl, namun hasil ini dapat dikatakan sudah mendukung teori yang ada. Selanjutnya, larutan NaCl dalam gelas kimia 100 mL ketiga dimasukkan larutan 10 mL akuades dengan menggunakan gelas ukur. Kemudian, kami mengaduknya dengan kaca pengaduk. Setelah itu, kami mengukur pH-nya dengan indikator universal. Hasil yang didapat menunjukkan pH= 6. Menurut teori, penambahan akuades yang netral (pH=7) jika ditambahkan ke dalam larutan garam yang juga netral maka hasilnya tidak akan mengubah pH awal, yaitu 7. Hasil percobaan, penambahan akuades memang tidak mengubah pH awal larutan (6), namun menurut teori seharusnya pH akhir adalah 7. Ada kemungkinan bahwa larutan NaCl yang kami gunakan memang tidak memiliki pH = 7, namun sudah tercemar sedikit asam. Dari hasil percobaan dengan larutan NaCl, dapat disimpulkan bahwa larutan NaCl bukan larutan penyangga sebab mengalami perubahan pH yang drastis ketika ditambahkan sedikit asam kuat (HCl), yaitu dari 6 ke 2 dan juga basa kuat (NaOH), yaitu dari 6 ke 11. Pada percobaan kedua, kami terlebih dahulu mencuci seluruh alat yang kami gunakan dan mengeringkannya agar tidak mengganggu hasil yang akan didapat. Pada percobaan ini, kami memasukkan 25 mL larutan CH3COOH 0,1 M ke dalam gelas kimia 250 mL dan menambahkan 25 mL larutan NaCH3COO 0,1 M dengan terlebih dahulu mengukurnya menggunakan gelas ukur. Setelah itu, kami mengukur pH-nya dengan menggunakan indikator universal. Hasil yang didapat menunjukkan pH=4. Jika dibandingkan dengan hasil perhitungan: mol CH3COOH= mol NaCH3COO= Ka CH3COOH = [ ] [ ] [ ] log ( ) = =
  • 11.
    http://www.scientia-quantist.blogspot.com/ Hasil percobaan yangdidapat mendukung hasil perhitungan yaitu antara 4 dengan 4,74. Maka dapat dikatakan bahwa percobaan yang telah kami lakukan sudah benar dan sesuai dengan teori yang ada. Selanjutnya, larutan CH3COOH+NaCH3COO di gelas kimia 250 mL tersebut dituang masing-masing 10 mL ke dalam 3 gelas kimia ukuran 100 mL, dengan mengukurnya terlebih dahulu menggunakan gelas ukur yang lebih teliti dibandingkan dengan gelas kimia. Larutan CH3COOH+NaCH3COO dalam gelas kimia 100 mL pertama dimasukkan larutan 1 mL HCl 0,1 M dengan menggunakan pipet ukur. Kemudian, kami mengaduknya terlebih dahulu menggunakan kaca pengaduk. Setelah dianggap rata, kami mengukurnya pH-nya dengan indikator universal. Hasil yang didapat menunjukkan pH=4. Jika dibandingkan dengan hasil perhitungan : mol CH3COOH= mol NaCH3COO= mol HCl = CH3COO- (aq) + H+ (aq) ---> CH3COOH(aq) Mula-mula 0,5 mmol 0,1 mmol 0,5 mmol Reaksi -0,1 mmol -0,1 mmol +0,1 mmol Sisa 0,4 mmol - 0,6 mmol [ ] [ ] [ ] [ ] pH = - log ( ) = 5- log 2,7 = 5 – 0.43 = 4,57 (perubahan pH sebesar 0,17) Hasil percobaan yang didapat mendukung hasil perhitungan yaitu antara 4 dengan 4,57. Maka dapat dikatakan bahwa percobaan yang telah kami lakukan sudah benar dan sesuai dengan teori yang ada. Larutan CH3COOH+NaCH3COO dalam gelas kimia 100 mL kedua dimasukkan larutan 1 mL NaOH 0,1 M dengan menggunakan pipet ukur. Kemudian, kami mengaduknya menggunakan kaca pengaduk. Setelah dianggap rata, kami mengukurnya pH-nya dengan indikator universal. Hasil yang didapat menunjukkan pH=4. Jika dibandingkan dengan hasil perhitungan : mol CH3COOH= mol NaCH3COO= mol NaOH = CH3COOH(aq) + OH- (aq) --->CH3COO- (aq)+H2O (l) Mula-mula 0,5 mmol 0,1 mmol 0,5 mmol - Reaksi -0,1 mmol -0,1 mmol +0,1 mmol +0,1 mmol Sisa 0,4 mmol - 0,6 mmol 0,1 mmol
  • 12.
    http://www.scientia-quantist.blogspot.com/ [ ] [ ] [] [ ] log ( ) (perubahan pH sebesar 0,18) Hasil percobaan yang didapat mendukung hasil perhitungan yaitu antara 4 dengan 4,92. Walaupun 4,92 sudah hampir mencapai 5, namun dapat dikatakan mendekati. Maka dapat dikatakan bahwa percobaan yang telah kami lakukan sudah benar dan sesuai dengan teori yang ada. Selanjutnya, larutan CH3COOH+NaCH3COO dalam gelas kimia 100 mL ketiga dimasukan 10 mL akuades dengan menggunakan gelas ukur, kemudian kami mengaduknya dengan kaca pengaduk. Setelah dianggap rata, kami mengukur pH-nya dengan indikator universal. Hasilnya didapatkan pH=4 yang berarti tidak terjadi perubahan nilai pH. Hal ini sesuai teori yang mengatakan bahwa jika dilakukan pengenceran dengan H2O maka derajat ionisasi (α) asam lemah akan naik yang berarti menambah jumlah ion H+ dan CH3COO- dari ionisasi asam lemah. Akan tetapi karena volume larutan juga bertambah maka penambahan konsentrasi H+ menjadi tidak berarti. Akibatnya nilai pH tetap. Dari hasil percobaan dengan larutan CH3COOH+NaCH3COO, dapat disimpulkan bahwa larutan ini bersifat penyangga karena dapat mempertahankan pH- nya (4) pada penambahan asam kuat, basa kuat, ataupun ketika diencerkan. Pada percobaan ketiga, kami juga terlebih dahulu mencuci seluruh alat yang kami gunakan dan mengeringkannya agar tidak mengganggu hasil yang akan didapat. Pada percobaan ini, kami memasukkan 25 mL larutan NH3 0,1 M ke dalam gelas kimia 250 mL dan menambahkan 25 mL larutan NH4Cl 0,1 M dengan terlebih dahulu mengukurnya menggunakan gelas ukur. Setelah itu, kami mengukur pH-nya dengan menggunakan indikator universal. Hasil yang didapat menunjukkan pH=8. Jika dibandingkan dengan hasil perhitungan: mol NH3 = mol NH4Cl = [ ] [ ] [ ] log ( ) = = pH = 14 – 4,74 = 9,26 Hasil perhitungan tidak begitu sesuai dengan hasil percobaan. Pada percobaan didapat pH=8, sedangkan pada perhitungan didapat pH=9,26. Selisih antara keduanya tergolong cukup jauh. Namun, kedua hasil menunjukkan sifat yang sama yaitu basa. Maka, kemungkinan adalah kami melakukan kesalahan dalam membaca kertas indikator.
  • 13.
    http://www.scientia-quantist.blogspot.com/ Selanjutnya, larutan NH3+ NH4Cl di gelas kimia 250 mL tersebut dituang masing-masing 10 mL ke dalam 3 gelas kimia ukuran 100 mL, dengan mengukurnya terlebih dahulu menggunakan gelas ukur. Larutan NH3 + NH4Cl dalam gelas kimia 100 mL pertama dimasukkan larutan 1 mL HCl 0,1 M dengan menggunakan pipet ukur. Kemudian, kami mengaduknya terlebih dahulu menggunakan kaca pengaduk. Setelah dianggap rata, kami mengukurnya pH-nya dengan indikator universal. Hasil yang didapat menunjukkan pH=2. Jika dibandingkan dengan hasil perhitungan : (aq) + H+ (aq) ---> (aq) Mula-mula 0,5 mmol 0,1 mmol 0,5 mmol Reaksi -0,1 mmol -0,1 mmol +0,1 mmol Sisa 0,4 mmol - 0,6 mmol [ ] [ ] [ ] [ ] pOH = - log ( ) = 5- log 1,206 = 5 – 0,08 = 4,92 pH=14-pOH=14 - 4,92 = 9,08 (perubahan pH sebesar 0,18) Hasil perhitungan sangat tidak sesuai dengan hasil percobaan. Pada percobaan didapat pH=2, sedangkan pada perhitungan didapat pH=9,08. Selisih antara keduanya tergolong sangat jauh. Keduanya juga menunjukkan sifat yang berbeda. Sehingga dapat dikatakan bahwa percobaan kami tidak sesuai dengan teori yang ada. Larutan NH3 + NH4Cl dalam gelas kimia 100 mL kedua dimasukkan larutan 1 mL NaOH 0,1 M dengan menggunakan pipet ukur. Kemudian, kami mengaduknya terlebih dahulu menggunakan kaca pengaduk. Setelah dianggap rata, kami mengukurnya pH-nya dengan indikator universal. Hasil yang didapat menunjukkan pH=8. Jika dibandingkan dengan hasil perhitungan : (aq) + OH- (aq) ---> (aq)+H2O (l) Mula-mula 0,5 mmol 0,1 mmol 0,5 mmol - Reaksi -0,1 mmol -0,1 mmol +0,1 mmol +0,1 mmol Sisa 0,4 mmol - 0,6 mmol 0,1 mmol [ ] [ ] [ ] [ ] pOH = - log ( ) = 5- log 2,7 = 5 – 0.43 = 4,57
  • 14.
    http://www.scientia-quantist.blogspot.com/ (perubahan pH sebesar0,17) Hasil perhitungan tidak begitu sesuai dengan hasil percobaan. Pada percobaan didapat pH=8, sedangkan pada perhitungan didapat pH=9,43. Selisih antara keduanya tergolong cukup jauh. Namun, kedua hasil menunjukkan sifat yang sama yaitu basa. Maka, kemungkinan adalah kami melakukan kesalahan dalam membaca hasil indikator. Selanjutnya, larutan NH3 + NH4Cl dalam gelas kimia 100 mL ketiga dimasukan 10 mL akuades dengan menggunakan gelas ukur, kemudian kami mengaduknya dengan kaca pengaduk. Setelah dianggap rata, kami mengukur pH-nya dengan indikator universal. Hasilnya didapatkan pH=8 yang berarti tidak terjadi perubahan nilai pH. Hal ini sesuai dengan teori yang mengatakan bahwa jika dilakukan pengenceran dengan H2O maka derajat ionisasi (α) basa lemah akan naik atau turun yang berarti menambah jumlah ion dan dari ionisasi basa lemah. Akan tetapi karena volume larutan juga bertambah maka penambahan konsentrasi OH- menjadi tidak berarti. Hal ini membuat nilai pH tetap. Dari hasil percobaan dengan larutan NH3 + NH4Cl, dapat disimpulkan bahwa larutan ini bersifat penyangga karena dapat mempertahankan pH-nya (8) pada penambahan basa kuat, dan ketika diencerkan. Walaupun pada penambahan asam kuat pH larutan berubah drastis, dapat dikatakan bahwa hal itu merupakan kesalahan teknis. Untuk memperkuat bukti hasil percobaan yang telah kami sebutkan diatas, maka kami menampilkan gambar indikator universal yang telah kami coba pada percobaan kali ini. Deret kiri ke kanan : 1. Larutan NaCl (pH=6) 2. Larutan NaCl + HCl (pH=2) 3. Larutan NaCl + NaOH (pH=11) 4. Larutan NaCl + Akuades (pH=6)
  • 15.
    http://www.scientia-quantist.blogspot.com/ 5. Larutan CH3COOH+ NaCH3COO (pH=4) 6. Larutan CH3COOH + NaCH3COO + HCl (pH=4) 7. Larutan CH3COOH + NaCH3COO + NaOH (pH=4) 8. Larutan CH3COOH + NaCH3COO + Akuades (pH=4) 9. Larutan NH3 + NH4Cl (pH=8) 10. Larutan NH3 + NH4Cl + HCl (pH=2) 11. Larutan NH3 + NH4Cl + NaOH (pH=8) 12. Larutan NH3 + NH4Cl + Akuades (pH=8) H. Simpulan Berdasarkan percobaan yang telah kami lakukan, dapat disimpulkan bahwa larutan penyangga merupakan larutan yang dapat mempertahankan pH walaupun diberi penambahan asam, basa, ataupun akuades. Penambahan sedikit asam akan sedikit menurunkan pH, penambahan sedikit basa akan sedikit meningkatkan pH, dan penambahan akuades tidak akan mempengaruhi pH. Larutan yang merupakan penyangga adalah larutan CH3COOH+NaCH3COO dan larutan NH3 + NH4Cl, sedangkan larutan NaCl bukan larutan penyangga. I. Daftar Pustaka Andini, Anggi Willi. “Prinsip Kerja Larutan Penyangga”. anggiwilianandini.wordpress.com. diunduh 28 April 2012 Fatihah, Solimah. 2012. “Larutan Penyangga”. www.scribd.com Diunduh 29 April 2012 Sutanto, Raymond. 2012. “Larutan Penyangga”. id.wikipedia.org diunduh 29 April 2012