praktikum biokimia pangan
larutan buffer dan pH
Disusun untuk memenuhi Tugas Mata Kuliah Biokimia Pangan
Disusun oleh :
RR CLARA ADELINA PUTRI
(1233010023)
UPN “VETERAN” JAWA TIMUR
TAHUN AKADEMIK 2013/2014
BAB I
PENDAHULUAN
1.1 Latar Belakang
Kata pH dan larutan buffer (penyangga) sering di jumpai ketika kita mempelajari materi asam dan
basa. Suatu larutan yang dapat mempertahankan nilai pH dengan penambahan sedikit asam, basa, dan
pengenceran oleh air di sebut larutan penyangga (buffer). Larutan penyangga dapat dibuat dari
campuran asam lemah dan basa konjugasinya serta basa lemah dan asam konjugasinya. Larutan
penyangga dapat pula dibuat dari campuran asam atau basa kuat dengan basa atau asam lemah, dengan
ketentuan jumlah asam tau basa lemahnya harus lebih besar dari basa atau asam kuatnya.
Ada beberapa fungsi dari larutan penyangga, salah satunya dalam bidangkesehatan. Dalam bidang
farmasi (obat-obatan), banyak zat aktif yang harus berada dalam keadaan pH stabil. Perubahan pH akan
menyebabkankhasiatzat aktif tersebut berkurang atau hilang sama sekali.
Untuk obat suntik atau obat tetes mata, pH obat-obatan tersebut harus isesuaikan dengan pH cairan
tubuh. Obat tetes mata harus memiliki pH yang sesuai dengan pH air mata agar tidak menimbulkan
iritasi yang mengakibatkan rasa perih pada mata. Begitu juga obat suntik harus disesuaikan dengan pH
darah agar tidak menimbulkan alkalosis atau asidosis padadarah
Oleh karena itu, dilakukanlah percobaan pH dan larutan buffer agar sebagai mahasiswa kita dapat
mengetahui dan menerapkan prinsip pHdan larutan buffer ini dalam pembuatan sedian-sedian farmasi,
pembuatanobat, dan lain-lain. Serta percobaan ini sebagai dasar untuk percobaan-percobaanselanjutnya
1.2 Tujuan
a. Mengetahui dan memahami fungsi larutan buffer dan cara penyiapannya
BAB II
TINJAUAN PUSTAKA
Menurut teori Arrhenius, zat yang dalam air menghasilkan ion H +
disebut asam dan basa adalah
zat yang dalam air terionisasi menghasilkan ion OH -
. Kemudian Bronsted – Lowry mengemukakan
teori bahwa asam adalah spesi yang memberi H +
( donor proton ) dan basa adalah spesi yang menerima
H +
(akseptor proton). Namun Lewis lebih menekankan pada perpindahan elektron bukan pada
perpindahan proton, sehingga ia mendefinisikan : asam penerima pasangan elektron dan basa adalah
donor pasangan elekton (Milady, 2010).
Larutan penyangga atau larutan buffer atau dapar merupakan suatu larutan yang dapat
mempertahankan nilai pH tertentu.Adapun sifat yang paling menonjol dari larutan penyangga ini seperti
pH larutan penyangga hanya berubah sedikit pada penambahan sedikit asam kuat.Disamping itu larutan
penyangga merupakan larutan yang dibentuk oleh reaksi suatu asam lemah dengan basa konjugatnya
ataupun oleh basa lemah dengan asam konjugatnya.Reaksi ini disebut sebagai reaksi asam-basa
konjugasi. Disamping itu mempunyai sifat berbeda dengan komponen-komponen pembentuknya
(Zulfiky, 2003).
Sifat dari larutan buffer yaitu pH larutan tidak berubah jika diencerkan dan tidak berubah pula
jika ditambahkan kedalamnya sedikit asam atau basa (Padmono, 2007).
Pada dasarnya suatu larutan penyangga yang tersusun dari asam lemah dan basa konjugasi
merupakan suatu sistem kesetimbangan ion dalam air, yang melibatkan adanya kesetimbangan air dan
kesetimbangan asam lemah. Di samping itu, terdapat ion basa konjugasi yang berasal dari garam atau
hasil reaksi antara asam lemah tersebut dengan basa kuat (Sudarmo, 2005).
Buffer dapat di defenisikan sebagai campuran asam/basa lemah dengan garamnya. Fungsi buffer
adalah untuk mempertahankan pH larutan saat ditambahkan asam/basa lemah dalam jumlah relatif
sedikit. Kapasitas buffer adalah parameter kuantitatif yang menunjukkan kekuatan (resistensi) untuk
mempertahankan pH. (Chang R, 2006).
Faktor-faktor yang mempengaruhi pH larutan dapar. Penambahan garam-garam netral ke dalam
larutan dapar mengubah pH larutan dengan berubahnya kekuatan ion. Perubahan kekuatan ion dan pH
dapar dapat pula disebabkan oleh pengenceran. Penambahan air dalam jumlah cukup, jika tidak
mengubah pH dapat mengakibatkan penyimpangan positif atau negative sekalipun kecil sekali, karena
air selain dapat mengubah nilai koefisien kereaktifan ia juga dapat bertindak sebagai asam lemah atau
basa lemah. Nilai pengenceran yang positif menunjukkan bahwa harga pH akan naik akibat pengenceran
sedang nilai pengenceran negative menunjukkan bahwa nilai pH turun dengan adanya pengenceran
dapar (Martin, 1990).
Kebutuhan buffer kadang menyulitkan karena hampir setiap analisa membutuhkan kondisi pH
tertentu yang relatif stabil. Karena banyaknya macam dan jenis buffer, pemilihan buffer yang akan
digunakan menjadi masalah tersendiri. Dalam memilih buffer, yang harus diperhatikan adalah pH
optimum serta sifat-sifat biologisnya. Banyak jenis buffer yang mempunyai dampak terhadap sistem
biologis, aktivitas enzim, substrat, atau kofaktor (Riyadi, 2008).
BAB III
METODOLOGI PERCOBAAN
3.1 ALAT
1) beker gelas
2) spatula
3) corong
4) labu elemeyer
5) labu ukur
6) pipet tetes
7) kertas pH
8) pH-meter
9) Gelas ukur
10) Cawan Petri
3.2 BAHAN
1) Larutan Asam Sitrat 0,1 M
2) Larutan Natrium Sitrat 0,1 M
3) Larutan Monosodium Fosfat 0,2 M
4) Larutan Disodium Fosfat 0,1 M
5) Larutan Borax 0,05 M
6) Larutan NaOH 0,2 M
7)
3.3 CARA KERJA
i. Buffer Sitrat
Siapkan X ml Larutan A(Asam Sitrat)
( X1: 46,5 ;X2: 35,0 ;X3: 25,5 ;X4: 20,5 ;X5: 7,2)
Siapkan Y ml Larutan B(Natrium Sitrat)
(Y1: 3,5 ;Y2: 15,0 ;Y3: 24,5 ;Y4: 29,5 ;Y5: 42,8)
Siapkan 5 elemeyer dan masukkan larutan A dan B
Encerkan setiap Larutan A dan Larutan B dengan aquades hingga 100ml menggunakan labu ukur
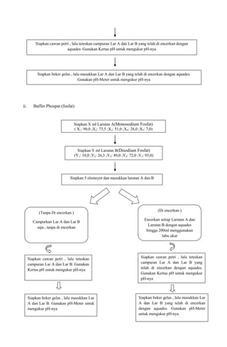
ii. Buffer Phospat (fosfat)
Siapkan cawan petri , lalu teteskan campuran Lar A dan Lar B yang telah di encerkan dengan
aquades. Gunakan Kertas pH untuk mengukur pH-nya
Siapkan beker gelas , lalu masukkan Lar A dan Lar B yang telah di encerkan dengan aquades.
Gunakan pH-Meter untuk mengukur pH-nya
Siapkan X ml Larutan A(Monosodium Fosfat)
( X1: 90,0 ;X2: 73,5 ;X3: 51,0 ;X4: 28,0 ;X5: 7,0)
Siapkan Y ml Larutan B(Disodium Fosfat)
(Y1: 10,0 ;Y2: 26,5 ;Y3: 49,0 ;Y4: 72,0 ;Y5: 93,0)
Siapkan 5 elemeyer dan masukkan larutan A dan B
(Tanpa Di encerkan )
Campurkan Lar A dan Lar B
saja , tanpa di encerkan
(Di encerkan )
Encerkan setiap Larutan A dan
Larutan B dengan aquades
hingga 200ml menggunakan
labu ukur
Siapkan cawan petri , lalu teteskan
campuran Lar A dan Lar B yang
telah di encerkan dengan aquades.
Gunakan Kertas pH untuk mengukur
pH-nya
Siapkan beker gelas , lalu masukkan Lar
A dan Lar B yang telah di encerkan
dengan aquades. Gunakan pH-Meter
untuk mengukur pH-nya
Siapkan cawan petri , lalu teteskan
campuran Lar A dan Lar B. Gunakan
Kertas pH untuk mengukur pH-nya
Siapkan beker gelas , lalu masukkan Lar
A dan Lar B. Gunakan pH-Meter untuk
mengukur pH-nya
iii. Buffer Borax - NaOH
Siapkan 50 ml Larutan A (Borax)
Siapkan X ml Larutan B (NaOH)
( X1: 0,0 ;X2: 11,0 ;X3: 23,0 ;X4: 43,0 )
Siapkan 4 elemeyer dan masukkan larutan A dan B
Encerkan setiap Larutan A dan Larutan B dengan aquades hingga 200ml menggunakan labu ukur
Siapkan cawan petri , lalu teteskan campuran Lar A dan Lar B yang telah di encerkan dengan
aquades. Gunakan Kertas pH untuk mengukur pH-nya
Siapkan beker gelas , lalu masukkan Lar A dan Lar B yang telah di encerkan dengan aquades.
Gunakan pH-Meter untuk mengukur pH-nya
BAB IV
HASIL PENGAMATAN
A. TABEL BUFFER SITRAT
X
(ml)
Y
(ml)
AQUADES
(ml)
pH
TEORITIS
pH TERUKUR
KERTAS pH pH METER
46,5 3,5 50 3,0 2 2,18
35,0 15,0 50 3,8 3 2,93
25,5 24,5 50 4,6 4 3,74
20,5 29,5 50 5,0 4 3,88
7,2 42,8 50 6,2 5 5,51
B. *TABEL BUFFER PHOSPAT DI ENCERKAN
X
(ml)
Y
(ml)
AQUADES
(ml)
pH
TEORITIS
pH TERUKUR
KERTAS pH pH METER
90,0 10,0 100 5,9 7 6,85
73,5 26,5 100 6,4 8 7,18
51,0 49,0 100 6,8 9 7,57
28,0 72,0 100 7,2 9 8,02
7,0 93,0 100 7,9 9 8,64
*TABEL BUFFER PHOSPAT TANPA DI ENCERKAN
X Y pH TEORITIS
pH TERUKUR
KERTAS pH pH METER
90,0 10,0 5,9 7 6,81
73,5 26,5 6,4 7 7,14
51,0 49,0 6,8 8 7,47
28,0 72,0 7,2 8 7,97
7,0 93,0 7,9 8 8,61
C. TABEL BUFFER BORAX NaOH
BORAX
LARUTAN A
(ml)
X
LARUTAN B
(ml)
AQUADES
(ml)
pH
TEORITIS
pH TERUKUR
KERTAS pH pH METER
50 0,0 100 9,28 10 8,89
50 11,0 100 9,4 10 9,26
50 23,0 100 9,6 10 9,65
50 43,0 100 10,0 11 10,38
BAB V
PEMBAHASAN
Larutan penyangga atau larutan buffer merupakan suatu asam/basa lemah yang dapat
mempertahankan pH pada penambahan sedikit asam atau basa, Suatu larutan yang bertahan terhadap
perubahan pH, bila suatu asam atau basa ditambahkan dalam jumlah yang relatif sedikit disebut larutan
buffer (dapar). Suatu larutan yang mengandung satu pasang asam-basa konjugasi merupakan suatu
contoh buffer. Asamnya bereaksi dengan tiap ion hidroksida yang ditambahkan kepada larutan, dan basa
konjugatnya bergabung dengan ion hidrogen.
Mekanisme kerja larutan buffer adalah menetralkan asam maupun basa dari luar. Masing-masing
komponen dalam larutan buffer mampu menetralkan asam maupun basa darii luar. Komponen asam
lemah dan basa konjugasi dalam larutan buffer asam membentuk sistem kesetimbangan .
Larutan buffer dapat dibuat dengan berbagai cara. Larutan buffer asam dapat dibuat dengan cara
mencampurkan sejumlah larutan asam lemah dengan larutan basa konjugasinya secara langsung. Selain
itu, larutan buffer asam juga dapat dibuat dengan mencampurkan sejumlah larutan basa kuat dengan
larutan asam lemah berlebih. Setelah reaksi selesai, campuran dari larutan basa konjugasi yang terbentuk
dan sisa larutan asam lemah membentuk larutan buffer asam.
Larutan yang mengandung kedua zat ini mampu menetralkan asam atau basa yang
ditambahkan.Natrium asetat, suatu elektrolit kuat, terionisasi sempurna dalam air. Dalam buffer asam
misalnya molekul HA dan ion A-
ada bersama. Bila asam ditambahkan, maka sebagian besar kelebihan
proses diambil oleh basa. Bila basa ditambahkan, maka sebagian besar ion hidroksida bereaksi dengan
asam yang tak teroksidasi.
Pada percobaan kali ini kita menggunakan tiga buffer , yang pertama buffer sitrat untuk
mengetahui kisaran nilai pH asam . perlakuan pertama 46,5 ml larutan Asam sitrat di campur dengan 3,5
ml larutan natrium sitrat dan di encerkan dengan 50 ml aquades , hasil pengukuran pH menggunakan
kertas pH adalah 2 sedangkan dengan pH-Meter adalah 2,18 jika di bandingkan dengan pH teoritis yang
tertera di tabel hasil pH terukur yang menggunakan kertas pH dan pH-Meter hasilnya mendekati dengan
pH teoritisyaitu 3,0 yang ada di literature . dan pengenceran buffer sitrat , apabila larutan Natrium sitrat
lebih dominan volumenya pada saat pengenceran hasil pH yang di dapat semakin besar akan mendekati
ke pH netral.
Yang kedua buffer fosfat untuk mengetahui kisaran nilai pH netral . perlakuan pertama yaitu
90,0 ml larutan Monosodium Fosfat di campur dengan 10,0 ml larutan disodium fosfat lalu di encerkan
dengan 100ml aquades , hasil pengukuran pH yang di dapat saat menggunakan kertas pH adalah 7
sedangkan jika menggunakan pH-Meter adalah 6,85 apabila di bandingkan dengan pH teoritis yang
terdapat di literature kisaran pH nya selisih agak jauh untuk mendekati di kisaran buffer netral.
Perlakuan kedua yaitu90,0 ml larutan Monosodium Fosfat di campur dengan 10,0 ml larutan disodium
fosfat tanpa dilakukan pengenceran . hasil yang di dapat saat pengukuran pH menggunakan kertas pH
adalah 7 sedangkan jika menggunakan pH-meter adalah 6,81 . jika di bandingkan dengan pH teoritis
yang terdapat di literature kisaran nilai pH nya tidak mendekati ke pH teoritis . karena hasil cenderung
mendekati ke pH netral.
Yang ketiga buffer Borax – NaOH untuk mengetahui kisaran nilai pH basa . perlakuan pertama
yaitu 50 ml larutan Borax lalu tambahkan 11,0 ml larutan NaOH dan diencerkan dengan 100ml aquades
menggunakan labu ukur agar ukuran konstan dan pengenceran sesuai . lalu hasil pengukuran pH
menggunakan kertas pH adalah 10 sedangkan jika menggunakan pH-Meter adalah 9,26 . jika di
bandingkan dengan pH teoritis yang terdapat di literature pencampuran larutan yang di encerkan
tersebut mendekati nilai kisaran pH teoritis . dan pada saat pengenceran semakin banyak volume NaOH
yang tercampur di pengenbceran tersebut , pH pengencerannya akan bersifat asam.
Perubahan pH yang tidak terlalu signifikan ini membuktikan bahwa sesuai dengan sifat larutan
buffer yang yaitu pH larutan buffer dapat berubah dengan penambahan asam kuat atau basa kuat yang
relatif banyak.
BAB VI
PENUTUP
A. KESIMPULAN
Kesimpulan berdasarkan percobaan yang telah dilakukan yaitu, pembuatan larutan buffer dilakukan
dengan mencampurkan sejumlah larutan basa lemah dengan larutan asam konjugasinya dan
mencampurkan sejumlah larutan asam lemah dengan basa konjugasinya. Perubahan pH pada larutan
penyangga terjadi dengan perubahan kecil yang signifikan karena sifatnya yang mempertahankan nilai
pH saat ditambahkan sedikit asam atau basa. Penentuan kapasitas buffer dilakukan untuk menunjukkan
kekuatan larutan dalam mempertahankan pH.
DAFTAR PUSTAKA
Martin, A. 1990. Farmasi Fisik edisi ketiga jilid 1. Universitas Indonesia Press:Jakarta.
Sudarmo, unggul. 2005. Kimia untuk SMA Kelas X.PT. Erlangga: Surakarta.
Chang R. 2006. Kimia Dasar Jilid 2. Jakarta: Erlangga.
Gholib,I.G. 2007. Kimia Analisis Farmasi. Pustaka Belajar: Yogyakarta.
Padmono, 2007. Buffer dan Kapasitasnya, Dari http://www.padmono.blogspot.com. Diakses tanggal 10
April 2012.
Zulkifly , Oktavian.2003.http://zulfiky.blogspot.com/2010/03/larutan-penyangga.html.diakses 20 Maret
2012

PRAKTIKUM LARUTAN BUFFER

  • 1.
    praktikum biokimia pangan larutanbuffer dan pH Disusun untuk memenuhi Tugas Mata Kuliah Biokimia Pangan Disusun oleh : RR CLARA ADELINA PUTRI (1233010023) UPN “VETERAN” JAWA TIMUR TAHUN AKADEMIK 2013/2014
  • 2.
    BAB I PENDAHULUAN 1.1 LatarBelakang Kata pH dan larutan buffer (penyangga) sering di jumpai ketika kita mempelajari materi asam dan basa. Suatu larutan yang dapat mempertahankan nilai pH dengan penambahan sedikit asam, basa, dan pengenceran oleh air di sebut larutan penyangga (buffer). Larutan penyangga dapat dibuat dari campuran asam lemah dan basa konjugasinya serta basa lemah dan asam konjugasinya. Larutan penyangga dapat pula dibuat dari campuran asam atau basa kuat dengan basa atau asam lemah, dengan ketentuan jumlah asam tau basa lemahnya harus lebih besar dari basa atau asam kuatnya. Ada beberapa fungsi dari larutan penyangga, salah satunya dalam bidangkesehatan. Dalam bidang farmasi (obat-obatan), banyak zat aktif yang harus berada dalam keadaan pH stabil. Perubahan pH akan menyebabkankhasiatzat aktif tersebut berkurang atau hilang sama sekali. Untuk obat suntik atau obat tetes mata, pH obat-obatan tersebut harus isesuaikan dengan pH cairan tubuh. Obat tetes mata harus memiliki pH yang sesuai dengan pH air mata agar tidak menimbulkan iritasi yang mengakibatkan rasa perih pada mata. Begitu juga obat suntik harus disesuaikan dengan pH darah agar tidak menimbulkan alkalosis atau asidosis padadarah Oleh karena itu, dilakukanlah percobaan pH dan larutan buffer agar sebagai mahasiswa kita dapat mengetahui dan menerapkan prinsip pHdan larutan buffer ini dalam pembuatan sedian-sedian farmasi, pembuatanobat, dan lain-lain. Serta percobaan ini sebagai dasar untuk percobaan-percobaanselanjutnya 1.2 Tujuan a. Mengetahui dan memahami fungsi larutan buffer dan cara penyiapannya
  • 3.
    BAB II TINJAUAN PUSTAKA Menurutteori Arrhenius, zat yang dalam air menghasilkan ion H + disebut asam dan basa adalah zat yang dalam air terionisasi menghasilkan ion OH - . Kemudian Bronsted – Lowry mengemukakan teori bahwa asam adalah spesi yang memberi H + ( donor proton ) dan basa adalah spesi yang menerima H + (akseptor proton). Namun Lewis lebih menekankan pada perpindahan elektron bukan pada perpindahan proton, sehingga ia mendefinisikan : asam penerima pasangan elektron dan basa adalah donor pasangan elekton (Milady, 2010). Larutan penyangga atau larutan buffer atau dapar merupakan suatu larutan yang dapat mempertahankan nilai pH tertentu.Adapun sifat yang paling menonjol dari larutan penyangga ini seperti pH larutan penyangga hanya berubah sedikit pada penambahan sedikit asam kuat.Disamping itu larutan penyangga merupakan larutan yang dibentuk oleh reaksi suatu asam lemah dengan basa konjugatnya ataupun oleh basa lemah dengan asam konjugatnya.Reaksi ini disebut sebagai reaksi asam-basa konjugasi. Disamping itu mempunyai sifat berbeda dengan komponen-komponen pembentuknya (Zulfiky, 2003). Sifat dari larutan buffer yaitu pH larutan tidak berubah jika diencerkan dan tidak berubah pula jika ditambahkan kedalamnya sedikit asam atau basa (Padmono, 2007). Pada dasarnya suatu larutan penyangga yang tersusun dari asam lemah dan basa konjugasi merupakan suatu sistem kesetimbangan ion dalam air, yang melibatkan adanya kesetimbangan air dan kesetimbangan asam lemah. Di samping itu, terdapat ion basa konjugasi yang berasal dari garam atau hasil reaksi antara asam lemah tersebut dengan basa kuat (Sudarmo, 2005). Buffer dapat di defenisikan sebagai campuran asam/basa lemah dengan garamnya. Fungsi buffer adalah untuk mempertahankan pH larutan saat ditambahkan asam/basa lemah dalam jumlah relatif sedikit. Kapasitas buffer adalah parameter kuantitatif yang menunjukkan kekuatan (resistensi) untuk mempertahankan pH. (Chang R, 2006). Faktor-faktor yang mempengaruhi pH larutan dapar. Penambahan garam-garam netral ke dalam larutan dapar mengubah pH larutan dengan berubahnya kekuatan ion. Perubahan kekuatan ion dan pH dapar dapat pula disebabkan oleh pengenceran. Penambahan air dalam jumlah cukup, jika tidak mengubah pH dapat mengakibatkan penyimpangan positif atau negative sekalipun kecil sekali, karena air selain dapat mengubah nilai koefisien kereaktifan ia juga dapat bertindak sebagai asam lemah atau basa lemah. Nilai pengenceran yang positif menunjukkan bahwa harga pH akan naik akibat pengenceran sedang nilai pengenceran negative menunjukkan bahwa nilai pH turun dengan adanya pengenceran dapar (Martin, 1990).
  • 4.
    Kebutuhan buffer kadangmenyulitkan karena hampir setiap analisa membutuhkan kondisi pH tertentu yang relatif stabil. Karena banyaknya macam dan jenis buffer, pemilihan buffer yang akan digunakan menjadi masalah tersendiri. Dalam memilih buffer, yang harus diperhatikan adalah pH optimum serta sifat-sifat biologisnya. Banyak jenis buffer yang mempunyai dampak terhadap sistem biologis, aktivitas enzim, substrat, atau kofaktor (Riyadi, 2008).
  • 5.
    BAB III METODOLOGI PERCOBAAN 3.1ALAT 1) beker gelas 2) spatula 3) corong 4) labu elemeyer 5) labu ukur 6) pipet tetes 7) kertas pH 8) pH-meter 9) Gelas ukur 10) Cawan Petri 3.2 BAHAN 1) Larutan Asam Sitrat 0,1 M 2) Larutan Natrium Sitrat 0,1 M 3) Larutan Monosodium Fosfat 0,2 M 4) Larutan Disodium Fosfat 0,1 M 5) Larutan Borax 0,05 M 6) Larutan NaOH 0,2 M 7) 3.3 CARA KERJA i. Buffer Sitrat Siapkan X ml Larutan A(Asam Sitrat) ( X1: 46,5 ;X2: 35,0 ;X3: 25,5 ;X4: 20,5 ;X5: 7,2) Siapkan Y ml Larutan B(Natrium Sitrat) (Y1: 3,5 ;Y2: 15,0 ;Y3: 24,5 ;Y4: 29,5 ;Y5: 42,8) Siapkan 5 elemeyer dan masukkan larutan A dan B Encerkan setiap Larutan A dan Larutan B dengan aquades hingga 100ml menggunakan labu ukur
  • 6.
    ii. Buffer Phospat(fosfat) Siapkan cawan petri , lalu teteskan campuran Lar A dan Lar B yang telah di encerkan dengan aquades. Gunakan Kertas pH untuk mengukur pH-nya Siapkan beker gelas , lalu masukkan Lar A dan Lar B yang telah di encerkan dengan aquades. Gunakan pH-Meter untuk mengukur pH-nya Siapkan X ml Larutan A(Monosodium Fosfat) ( X1: 90,0 ;X2: 73,5 ;X3: 51,0 ;X4: 28,0 ;X5: 7,0) Siapkan Y ml Larutan B(Disodium Fosfat) (Y1: 10,0 ;Y2: 26,5 ;Y3: 49,0 ;Y4: 72,0 ;Y5: 93,0) Siapkan 5 elemeyer dan masukkan larutan A dan B (Tanpa Di encerkan ) Campurkan Lar A dan Lar B saja , tanpa di encerkan (Di encerkan ) Encerkan setiap Larutan A dan Larutan B dengan aquades hingga 200ml menggunakan labu ukur Siapkan cawan petri , lalu teteskan campuran Lar A dan Lar B yang telah di encerkan dengan aquades. Gunakan Kertas pH untuk mengukur pH-nya Siapkan beker gelas , lalu masukkan Lar A dan Lar B yang telah di encerkan dengan aquades. Gunakan pH-Meter untuk mengukur pH-nya Siapkan cawan petri , lalu teteskan campuran Lar A dan Lar B. Gunakan Kertas pH untuk mengukur pH-nya Siapkan beker gelas , lalu masukkan Lar A dan Lar B. Gunakan pH-Meter untuk mengukur pH-nya
  • 7.
    iii. Buffer Borax- NaOH Siapkan 50 ml Larutan A (Borax) Siapkan X ml Larutan B (NaOH) ( X1: 0,0 ;X2: 11,0 ;X3: 23,0 ;X4: 43,0 ) Siapkan 4 elemeyer dan masukkan larutan A dan B Encerkan setiap Larutan A dan Larutan B dengan aquades hingga 200ml menggunakan labu ukur Siapkan cawan petri , lalu teteskan campuran Lar A dan Lar B yang telah di encerkan dengan aquades. Gunakan Kertas pH untuk mengukur pH-nya Siapkan beker gelas , lalu masukkan Lar A dan Lar B yang telah di encerkan dengan aquades. Gunakan pH-Meter untuk mengukur pH-nya
  • 8.
    BAB IV HASIL PENGAMATAN A.TABEL BUFFER SITRAT X (ml) Y (ml) AQUADES (ml) pH TEORITIS pH TERUKUR KERTAS pH pH METER 46,5 3,5 50 3,0 2 2,18 35,0 15,0 50 3,8 3 2,93 25,5 24,5 50 4,6 4 3,74 20,5 29,5 50 5,0 4 3,88 7,2 42,8 50 6,2 5 5,51 B. *TABEL BUFFER PHOSPAT DI ENCERKAN X (ml) Y (ml) AQUADES (ml) pH TEORITIS pH TERUKUR KERTAS pH pH METER 90,0 10,0 100 5,9 7 6,85 73,5 26,5 100 6,4 8 7,18 51,0 49,0 100 6,8 9 7,57 28,0 72,0 100 7,2 9 8,02 7,0 93,0 100 7,9 9 8,64 *TABEL BUFFER PHOSPAT TANPA DI ENCERKAN X Y pH TEORITIS pH TERUKUR KERTAS pH pH METER 90,0 10,0 5,9 7 6,81 73,5 26,5 6,4 7 7,14 51,0 49,0 6,8 8 7,47 28,0 72,0 7,2 8 7,97 7,0 93,0 7,9 8 8,61 C. TABEL BUFFER BORAX NaOH BORAX LARUTAN A (ml) X LARUTAN B (ml) AQUADES (ml) pH TEORITIS pH TERUKUR KERTAS pH pH METER 50 0,0 100 9,28 10 8,89 50 11,0 100 9,4 10 9,26 50 23,0 100 9,6 10 9,65 50 43,0 100 10,0 11 10,38
  • 9.
    BAB V PEMBAHASAN Larutan penyanggaatau larutan buffer merupakan suatu asam/basa lemah yang dapat mempertahankan pH pada penambahan sedikit asam atau basa, Suatu larutan yang bertahan terhadap perubahan pH, bila suatu asam atau basa ditambahkan dalam jumlah yang relatif sedikit disebut larutan buffer (dapar). Suatu larutan yang mengandung satu pasang asam-basa konjugasi merupakan suatu contoh buffer. Asamnya bereaksi dengan tiap ion hidroksida yang ditambahkan kepada larutan, dan basa konjugatnya bergabung dengan ion hidrogen. Mekanisme kerja larutan buffer adalah menetralkan asam maupun basa dari luar. Masing-masing komponen dalam larutan buffer mampu menetralkan asam maupun basa darii luar. Komponen asam lemah dan basa konjugasi dalam larutan buffer asam membentuk sistem kesetimbangan . Larutan buffer dapat dibuat dengan berbagai cara. Larutan buffer asam dapat dibuat dengan cara mencampurkan sejumlah larutan asam lemah dengan larutan basa konjugasinya secara langsung. Selain itu, larutan buffer asam juga dapat dibuat dengan mencampurkan sejumlah larutan basa kuat dengan larutan asam lemah berlebih. Setelah reaksi selesai, campuran dari larutan basa konjugasi yang terbentuk dan sisa larutan asam lemah membentuk larutan buffer asam. Larutan yang mengandung kedua zat ini mampu menetralkan asam atau basa yang ditambahkan.Natrium asetat, suatu elektrolit kuat, terionisasi sempurna dalam air. Dalam buffer asam misalnya molekul HA dan ion A- ada bersama. Bila asam ditambahkan, maka sebagian besar kelebihan proses diambil oleh basa. Bila basa ditambahkan, maka sebagian besar ion hidroksida bereaksi dengan asam yang tak teroksidasi. Pada percobaan kali ini kita menggunakan tiga buffer , yang pertama buffer sitrat untuk mengetahui kisaran nilai pH asam . perlakuan pertama 46,5 ml larutan Asam sitrat di campur dengan 3,5 ml larutan natrium sitrat dan di encerkan dengan 50 ml aquades , hasil pengukuran pH menggunakan kertas pH adalah 2 sedangkan dengan pH-Meter adalah 2,18 jika di bandingkan dengan pH teoritis yang tertera di tabel hasil pH terukur yang menggunakan kertas pH dan pH-Meter hasilnya mendekati dengan pH teoritisyaitu 3,0 yang ada di literature . dan pengenceran buffer sitrat , apabila larutan Natrium sitrat lebih dominan volumenya pada saat pengenceran hasil pH yang di dapat semakin besar akan mendekati ke pH netral. Yang kedua buffer fosfat untuk mengetahui kisaran nilai pH netral . perlakuan pertama yaitu 90,0 ml larutan Monosodium Fosfat di campur dengan 10,0 ml larutan disodium fosfat lalu di encerkan dengan 100ml aquades , hasil pengukuran pH yang di dapat saat menggunakan kertas pH adalah 7 sedangkan jika menggunakan pH-Meter adalah 6,85 apabila di bandingkan dengan pH teoritis yang terdapat di literature kisaran pH nya selisih agak jauh untuk mendekati di kisaran buffer netral. Perlakuan kedua yaitu90,0 ml larutan Monosodium Fosfat di campur dengan 10,0 ml larutan disodium fosfat tanpa dilakukan pengenceran . hasil yang di dapat saat pengukuran pH menggunakan kertas pH
  • 10.
    adalah 7 sedangkanjika menggunakan pH-meter adalah 6,81 . jika di bandingkan dengan pH teoritis yang terdapat di literature kisaran nilai pH nya tidak mendekati ke pH teoritis . karena hasil cenderung mendekati ke pH netral. Yang ketiga buffer Borax – NaOH untuk mengetahui kisaran nilai pH basa . perlakuan pertama yaitu 50 ml larutan Borax lalu tambahkan 11,0 ml larutan NaOH dan diencerkan dengan 100ml aquades menggunakan labu ukur agar ukuran konstan dan pengenceran sesuai . lalu hasil pengukuran pH menggunakan kertas pH adalah 10 sedangkan jika menggunakan pH-Meter adalah 9,26 . jika di bandingkan dengan pH teoritis yang terdapat di literature pencampuran larutan yang di encerkan tersebut mendekati nilai kisaran pH teoritis . dan pada saat pengenceran semakin banyak volume NaOH yang tercampur di pengenbceran tersebut , pH pengencerannya akan bersifat asam. Perubahan pH yang tidak terlalu signifikan ini membuktikan bahwa sesuai dengan sifat larutan buffer yang yaitu pH larutan buffer dapat berubah dengan penambahan asam kuat atau basa kuat yang relatif banyak.
  • 11.
    BAB VI PENUTUP A. KESIMPULAN Kesimpulanberdasarkan percobaan yang telah dilakukan yaitu, pembuatan larutan buffer dilakukan dengan mencampurkan sejumlah larutan basa lemah dengan larutan asam konjugasinya dan mencampurkan sejumlah larutan asam lemah dengan basa konjugasinya. Perubahan pH pada larutan penyangga terjadi dengan perubahan kecil yang signifikan karena sifatnya yang mempertahankan nilai pH saat ditambahkan sedikit asam atau basa. Penentuan kapasitas buffer dilakukan untuk menunjukkan kekuatan larutan dalam mempertahankan pH.
  • 12.
    DAFTAR PUSTAKA Martin, A.1990. Farmasi Fisik edisi ketiga jilid 1. Universitas Indonesia Press:Jakarta. Sudarmo, unggul. 2005. Kimia untuk SMA Kelas X.PT. Erlangga: Surakarta. Chang R. 2006. Kimia Dasar Jilid 2. Jakarta: Erlangga. Gholib,I.G. 2007. Kimia Analisis Farmasi. Pustaka Belajar: Yogyakarta. Padmono, 2007. Buffer dan Kapasitasnya, Dari http://www.padmono.blogspot.com. Diakses tanggal 10 April 2012. Zulkifly , Oktavian.2003.http://zulfiky.blogspot.com/2010/03/larutan-penyangga.html.diakses 20 Maret 2012