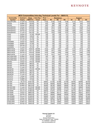
MCX Commodities Intra-day Technical Levels For - 09/01/13
 Commodity    Contract      Close      Intra Day   Pivot               Resistance                   Support
  Symbol      Expiry       08/01/13      Trend     Point        R1        R2        R3      S1        S2       S3
ALUMINI        30-Apr-13      115.00     UP            115         116        116     118     114        113     112
ALUMINI       28-Mar-13       114.50     UP            114         115        116     118     114        113     111
ALUMINI       28-Feb-13       113.50    DOWN           114         114        115     117     113        112     111
ALUMINI       31-Jan-13       112.55    DOWN           113         113        114     116     112        111     109
ALUMINIUM      30-Apr-13      115.00     UP            115         115        116     117     115        114     113
ALUMINIUM     28-Mar-13       114.55     UP            114         115        116     117     114        113     112
ALUMINIUM     28-Feb-13       113.50    DOWN           114         114        115     117     113        112     111
ALUMINIUM     31-Jan-13       112.55    DOWN           113         113        114     116     112        111     109
BRCRUDEOIL    12-Feb-13      6133.00     UP           6132        6145       6158    6184    6119       6106    6080
BRCRUDEOIL    15-Jan-13      6159.00    DOWN          6161        6186       6212    6263    6135       6110    6059
CARDAMOM      15-Mar-13      1067.80    DOWN          1076        1087       1106    1136    1057       1046    1016
CARDAMOM      15-Feb-13      1027.50    DOWN          1036        1048       1068    1100    1015       1003     971
CARDAMOM      15-Jan-13       987.60    DOWN           996        1008       1029    1062     976        964     931
COPPER        28-Jun-13       457.25    DOWN           458         459        462     465     456        454     450
COPPER         30-Apr-13      453.00    DOWN           454         455        458     462     451        450     446
COPPER        28-Feb-13       448.90    DOWN           450         452        454     458     447        446     442
COPPERM       28-Jun-13       456.50    DOWN           457         459        461     464     455        454     451
COPPERM        30-Apr-13      452.95    DOWN           454         455        458     462     451        450     446
COPPERM       28-Feb-13       448.90    DOWN           450         452        454     459     447        446     441
COTTON        31-May-13     17440.00    DOWN         17443       17457      17473   17503   17427      17413   17383
COTTON         30-Apr-13    17220.00     UP          17213       17257      17293   17373   17177      17133   17053
COTTON        29-Mar-13     16990.00     UP          16983       17037      17083   17183   16937      16883   16783
COTTON        28-Feb-13     16690.00    DOWN         16697       16753      16817   16937   16633      16577   16457
COTTON        31-Jan-13     16450.00     UP          16437       16533      16617   16797   16353      16257   16077
CPO           31-May-13       472.50     UP            472         476        480     489     468        464     456
CPO            30-Apr-13      468.90     UP            467         474        478     489     463        456     445
CPO           30-Mar-13       461.20     UP            460         465        469     479     456        450     440
CPO           31-Jan-13       442.30     UP            442         445        448     454     439        435     429
CPO           28-Feb-13       450.80     UP            450         454        457     464     447        442     435
CRUDEOIL      20-May-13      5290.00    DOWN          5291        5308       5325    5359    5274       5257    5223
CRUDEOIL      19-Jun-13      5305.00    DOWN          5317        5333       5361    5405    5289       5273    5229
CRUDEOIL       19-Apr-13     5251.00    DOWN          5261        5276       5302    5343    5235       5220    5179
CRUDEOIL      19-Mar-13      5207.00    DOWN          5221        5239       5271    5321    5189       5171    5121
CRUDEOIL      19-Feb-13      5165.00    DOWN          5179        5199       5232    5285    5146       5126    5073
CRUDEOIL      21-Jan-13      5120.00    DOWN          5135        5154       5189    5243    5100       5081    5027
GOLD          05-Aug-13     32246.00    DOWN         32246       32273      32299   32352   32220      32193   32140
GOLD          05-Jun-13     31936.00     UP          31915       31981      32025   32135   31871      31805   31695
GOLD           05-Apr-13    31525.00     UP          31499       31574      31622   31745   31451      31376   31253
GOLD          05-Feb-13     30974.00     UP          30945       31024      31075   31205   30894      30815   30685
GOLDGUINEA    30-Mar-13     25274.00     UP          25252       25303      25331   25410   25224      25173   25094
GOLDGUINEA    28-Feb-13     24997.00     UP          24986       25021      25046   25106   24961      24926   24866
GOLDGUINEA    31-Jan-13     24752.00     UP          24735       24785      24818   24901   24702      24652   24569
GOLDM          05-Apr-13    31516.00     UP          31499       31557      31598   31697   31458      31400   31301
GOLDM         05-Mar-13     31252.00     UP          31228       31296      31340   31452   31184      31116   31004
GOLDM         05-Feb-13     30978.00     UP          30942       31033      31088   31234   30887      30796   30650
GOLDPETAL     30-Mar-13      3149.00     UP           3148        3153       3156    3164    3145       3140    3132
GOLDPETAL     28-Feb-13      3120.00     UP           3117        3124       3127    3137    3114       3107    3097
GOLDPETAL     31-Jan-13      3093.00     UP           3090        3098       3103    3116    3085       3077    3064
GOLDPTLDEL    28-Feb-13      3152.00    DOWN          3155        3159       3166    3177    3148       3144    3133




                                                   Keynote Capitals Ltd.
                                                         The Ruby,
                                                          9th Floor,
                                                    Senapati Bapat Marg,
                                              Dadar (W), Mumbai, India – 400028
                                                 Tel: 30266000 / 22694322
                                                 www.keynotecapitals.com
MCX Commodities Intra-day Technical Levels For - 09/01/13
 Commodity    Contract       Close      Intra Day   Pivot               Resistance                   Support
  Symbol      Expiry        08/01/13      Trend     Point        R1        R2        R3      S1        S2       S3
GOLDPTLDEL    31-Jan-13       3120.00     UP           3120        3129       3139    3158    3110       3101    3082
KAPAS         30-Mar-13        933.60     UP            933         938        942     951     929        924     915
KAPAS          30-Apr-13       950.20     UP            950         954        958     967     946        941     932
KAPASKHALI     30-Apr-13      1444.00     UP           1444        1451       1458    1473    1437       1429    1415
KAPASKHALI    30-Mar-13       1410.50     UP           1409        1417       1424    1439    1402       1394    1379
KAPASKHALI    28-Feb-13       1377.50     UP           1377        1385       1392    1408    1369       1361    1346
KAPASKHALI    31-Jan-13       1347.00     UP           1345        1353       1359    1374    1339       1330    1316
LEAD           30-Apr-13       127.85    DOWN           128         129        130     131     127        126     125
LEAD          28-Mar-13        128.00     UP            128         129        130     132     127        126     124
LEAD          28-Feb-13        127.80     UP            128         129        130     132     127        125     123
LEAD          31-Jan-13        127.35     UP            127         128        129     132     126        125     123
LEADMINI       30-Apr-13       128.00     UP            128         129        130     132     127        126     124
LEADMINI      28-Mar-13        127.85     UP            128         129        130     131     127        126     124
LEADMINI      28-Feb-13        127.75     UP            128         129        130     132     127        125     123
LEADMINI      31-Jan-13        127.35     UP            127         128        129     132     126        125     122
MENTHAOIL      30-Apr-13      1428.30    DOWN          1432        1445       1461    1490    1416       1403    1374
MENTHAOIL     30-Mar-13       1437.10    DOWN          1438        1451       1465    1491    1425       1412    1386
MENTHAOIL     28-Feb-13       1430.00    DOWN          1434        1446       1462    1490    1418       1406    1378
MENTHAOIL     31-Jan-13       1414.50    DOWN          1418        1431       1447    1476    1402       1389    1360
NATURALGAS    25-Mar-13        183.00    DOWN           184         186        189     194     181        180     175
NATURALGAS    25-Feb-13        179.90    DOWN           181         183        186     191     178        176     171
NATURALGAS    28-Jan-13        177.90    DOWN           179         181        184     189     176        174     170
NICKEL         30-Apr-13       970.20    DOWN           971         975        979     987     967        964     956
NICKEL        28-Mar-13        969.20     UP            969         976        982     996     962        955     942
NICKEL        28-Feb-13        963.80     UP            962         970        976     990     956        948     934
NICKEL        31-Jan-13        957.20     UP            956         964        971     985     949        941     927
NICKELM        30-Apr-13       974.50    DOWN           975         980        985     995     970        965     955
NICKELM       28-Mar-13        968.30     UP            968         975        982     996     961        954     940
NICKELM       28-Feb-13        963.70     UP            962         970        976     990     956        949     935
NICKELM       31-Jan-13        957.20     UP            956         964        970     985     949        942     927
POTATO         15-Apr-13       733.80     UP            728         740        746     765     721        709     690
POTATO        15-May-13        724.20     UP            721         728        731     742     717        710     699
POTATO        15-Mar-13        777.90     UP            770         786        795     819     761        745     720
SILVER          05-Jul-13    61001.00     UP          60967       61185      61368   61769   60784      60566   60165
SILVER        04-May-13      59793.00     UP          59729       60059      60324   60919   59464      59134   58539
SILVER        05-Mar-13      58470.00     UP          58390       58730      58990   59590   58130      57790   57190
SILVER1000    31-Jan-13      57378.00    DOWN         57392       57635      57892   58392   57135      56892   56392
SILVER1000    28-Feb-13      57899.00    DOWN         57899       58793      59686   61473   57006      56112   54325
SILVERM       29-Jun-13      61080.00     UP          60943       61247      61415   61887   60775      60471   59999
SILVERM        30-Apr-13     59802.00     UP          59711       59986      60171   60631   59526      59251   58791
SILVERM       28-Feb-13      58492.00     UP          58397       58694      58896   59395   58195      57898   57399
SILVERMIC     29-Jun-13      61046.00     UP          60963       61204      61362   61761   60805      60564   60165
SILVERMIC      30-Apr-13     59789.00     UP          59687       59987      60186   60685   59488      59188   58689
SILVERMIC     28-Feb-13      58489.00     UP          58330       58749      59010   59690   58069      57650   56970
STEELRPR      20-Mar-13      33540.00     UP          33467       33713      33887   34307   33293      33047   32627
STEELRPR      20-Feb-13      33000.00     UP          32987       33083      33167   33347   32903      32807   32627




                                                    Keynote Capitals Ltd.
                                                          The Ruby,
                                                           9th Floor,
                                                     Senapati Bapat Marg,
                                               Dadar (W), Mumbai, India – 400028
                                                  Tel: 30266000 / 22694322
                                                  www.keynotecapitals.com
MCX Commodities Intra-day Technical Levels For - 09/01/13
  Commodity              Contract        Close         Intra Day        Pivot                  Resistance                                   Support
   Symbol                Expiry         08/01/13         Trend          Point          R1         R2              R3             S1           S2               S3
STEELRPR                 18-Jan-13        32340.00       DOWN             32363        32467         32593          32823         32237          32133          31903
ZINC                     30-Apr-13          112.75       DOWN               113          114           115            116           112            111            110
ZINC                     28-Mar-13          112.20       DOWN               112          113           114            116           111            110            109
ZINC                     28-Feb-13          111.55       DOWN               112          113           114            116           111            110            107
ZINC                     31-Jan-13          110.50       DOWN               111          112           113            115           109            108            106
ZINCMINI                 30-Apr-13          112.55       DOWN               113          114           115            117           112            111            109
ZINCMINI                 28-Mar-13          112.35       DOWN               112          113           114            116           112            111            109
ZINCMINI                 28-Feb-13          111.55       DOWN               112          113           114            116           111            110            108
ZINCMINI                 31-Jan-13          110.50       DOWN               111          112           113            115           109            108            106




Sanjay Bhatia (AVP – Technical Research),
                                        Email Id sanjay@keynotecapitals.net


Pivot Point: Intra- Day Trading Tool. - The key to the use of this tool is the use of Stop Loss

 Intra Day Trend: It is valid only till the point where Price trades above Pivot Point. For Eg. “UP” would be valid till Price
remains above Pivot Point. It would become “DOWN” in event Price trades below Pivot Point.

Pivot Point (PP): This is a trigger point for Intra Day Buy / Sell based on the price range of the previous day.

R1: Resistance 1: 1st Resistance level over Pivot Point, R2: Resistance 2: Next Resistance level after R1.
R3: Resistance 3: Next Resistance level after R2.

S1: Support 1: 1st Support level after Pivot Point, S2: Support 2: Next Support level after S1.
S3: Support 3: Next Support level after S2.

Note: As per this tool, the trader should take BUY position just above the Pivot Point and keep the Pivot Point level as stop
loss and the first target would be R1 level (Resistance 1). If R1 is crossed then R2 (Resistance 2) becomes the next target
with the stop loss placed at R1 level. If R2 is crossed then R3 (Resistance 3) becomes the next target with the stop loss
placed at R2 level.

Similarly if price goes below the Pivot Point the trader should take a SELL position and keep the Pivot Point level as the
stop loss and the first target would be S1 level (Support 1). If S1 level is breached then S2 level (Support 2) becomes the
next target with the stop loss placed at S1 level. If S2 level is breached then S3 level (Support 3) becomes the next target
with the stop loss placed at S2 level.
Disclaimer: This document is not for public distribution and has been furnished to you solely for your information and must not be reproduced or
redistributed to any other person. Persons into whose possession this document may come are required to observe these restrictions. This material is
for the personal information of the authorized recipient, and we are not soliciting any action based upon it. This report is not to be construed as an offer
to sell or the solicitation of an offer to buy any security in any jurisdiction where such an offer or solicitation would be illegal. It is for the general
information of clients of Keynote Capitals Ltd. It does not constitute a personal recommendation or take into account the particular investment
objectives, financial situations, or needs of individual clients. We have reviewed the report, and in so far as it includes current or historical information, it
is believed to be reliable though its accuracy or completeness cannot be guaranteed. Neither Keynote Capitals Ltd., nor any person connected with it,
accepts any liability arising from the use of this document. The recipients of this material should rely on their own investigations and take their own
professional advice. Price and value of the investments referred to in this material may go up or down. Past performance is not a guide for future
performance. Certain transactions -including those involving futures, options and other derivatives as well as non-investment grade securities - involve
substantial risk and are not suitable for all investors. Reports based on technical analysis centers on studying charts of a stock’s price movement and
trading volume, as opposed to focusing on a company’s fundamentals and as such, may not match with a report on a company’s fundamentals.
Opinions expressed are our current opinions as of the date appearing on this material only. While we endeavor to update on a reasonable basis the
information discussed in this material, there may be regulatory, compliance, or other reasons that prevent us from doing so. Prospective investors and
others are cautioned that any forward-looking statements are not predictions and may be subject to change without notice. Our proprietary trading and
investment businesses may make investment decisions that are inconsistent with the recommendations expressed herein. We and our affiliates,
officers, directors, and employees world wide may: (a) from time to time, have long or short positions in, and buy or sell the securities thereof, of
company (ies) mentioned herein or (b) be engaged in any other transaction involving such securities and earn brokerage or other compensation or act
as a market maker in the financial instruments of the company (ies) discussed herein or act as advisor or lender / borrower to such company (ies) or
have other potential conflict of interest with respect to any recommendation and related information and opinions. The analyst for this report certifies that
all of the views expressed in this report accurately reflect his or her personal views about the subject company or companies and its or their securities,
and no part of his or her compensation was, is or will be, directly or indirectly related to specific recommendations or views expressed in this report. No
part of this material may be duplicated in any form and/or redistributed without Keynote Capitals Ltd’s., prior written consent.



                                                                      Keynote Capitals Ltd.
                                                                            The Ruby,
                                                                             9th Floor,
                                                                       Senapati Bapat Marg,
                                                                 Dadar (W), Mumbai, India – 400028
                                                                    Tel: 30266000 / 22694322
                                                                    www.keynotecapitals.com

Keynote technicals commodity intraday levels for 090113

  • 1.
    MCX Commodities Intra-dayTechnical Levels For - 09/01/13 Commodity Contract Close Intra Day Pivot Resistance Support Symbol Expiry 08/01/13 Trend Point R1 R2 R3 S1 S2 S3 ALUMINI 30-Apr-13 115.00 UP 115 116 116 118 114 113 112 ALUMINI 28-Mar-13 114.50 UP 114 115 116 118 114 113 111 ALUMINI 28-Feb-13 113.50 DOWN 114 114 115 117 113 112 111 ALUMINI 31-Jan-13 112.55 DOWN 113 113 114 116 112 111 109 ALUMINIUM 30-Apr-13 115.00 UP 115 115 116 117 115 114 113 ALUMINIUM 28-Mar-13 114.55 UP 114 115 116 117 114 113 112 ALUMINIUM 28-Feb-13 113.50 DOWN 114 114 115 117 113 112 111 ALUMINIUM 31-Jan-13 112.55 DOWN 113 113 114 116 112 111 109 BRCRUDEOIL 12-Feb-13 6133.00 UP 6132 6145 6158 6184 6119 6106 6080 BRCRUDEOIL 15-Jan-13 6159.00 DOWN 6161 6186 6212 6263 6135 6110 6059 CARDAMOM 15-Mar-13 1067.80 DOWN 1076 1087 1106 1136 1057 1046 1016 CARDAMOM 15-Feb-13 1027.50 DOWN 1036 1048 1068 1100 1015 1003 971 CARDAMOM 15-Jan-13 987.60 DOWN 996 1008 1029 1062 976 964 931 COPPER 28-Jun-13 457.25 DOWN 458 459 462 465 456 454 450 COPPER 30-Apr-13 453.00 DOWN 454 455 458 462 451 450 446 COPPER 28-Feb-13 448.90 DOWN 450 452 454 458 447 446 442 COPPERM 28-Jun-13 456.50 DOWN 457 459 461 464 455 454 451 COPPERM 30-Apr-13 452.95 DOWN 454 455 458 462 451 450 446 COPPERM 28-Feb-13 448.90 DOWN 450 452 454 459 447 446 441 COTTON 31-May-13 17440.00 DOWN 17443 17457 17473 17503 17427 17413 17383 COTTON 30-Apr-13 17220.00 UP 17213 17257 17293 17373 17177 17133 17053 COTTON 29-Mar-13 16990.00 UP 16983 17037 17083 17183 16937 16883 16783 COTTON 28-Feb-13 16690.00 DOWN 16697 16753 16817 16937 16633 16577 16457 COTTON 31-Jan-13 16450.00 UP 16437 16533 16617 16797 16353 16257 16077 CPO 31-May-13 472.50 UP 472 476 480 489 468 464 456 CPO 30-Apr-13 468.90 UP 467 474 478 489 463 456 445 CPO 30-Mar-13 461.20 UP 460 465 469 479 456 450 440 CPO 31-Jan-13 442.30 UP 442 445 448 454 439 435 429 CPO 28-Feb-13 450.80 UP 450 454 457 464 447 442 435 CRUDEOIL 20-May-13 5290.00 DOWN 5291 5308 5325 5359 5274 5257 5223 CRUDEOIL 19-Jun-13 5305.00 DOWN 5317 5333 5361 5405 5289 5273 5229 CRUDEOIL 19-Apr-13 5251.00 DOWN 5261 5276 5302 5343 5235 5220 5179 CRUDEOIL 19-Mar-13 5207.00 DOWN 5221 5239 5271 5321 5189 5171 5121 CRUDEOIL 19-Feb-13 5165.00 DOWN 5179 5199 5232 5285 5146 5126 5073 CRUDEOIL 21-Jan-13 5120.00 DOWN 5135 5154 5189 5243 5100 5081 5027 GOLD 05-Aug-13 32246.00 DOWN 32246 32273 32299 32352 32220 32193 32140 GOLD 05-Jun-13 31936.00 UP 31915 31981 32025 32135 31871 31805 31695 GOLD 05-Apr-13 31525.00 UP 31499 31574 31622 31745 31451 31376 31253 GOLD 05-Feb-13 30974.00 UP 30945 31024 31075 31205 30894 30815 30685 GOLDGUINEA 30-Mar-13 25274.00 UP 25252 25303 25331 25410 25224 25173 25094 GOLDGUINEA 28-Feb-13 24997.00 UP 24986 25021 25046 25106 24961 24926 24866 GOLDGUINEA 31-Jan-13 24752.00 UP 24735 24785 24818 24901 24702 24652 24569 GOLDM 05-Apr-13 31516.00 UP 31499 31557 31598 31697 31458 31400 31301 GOLDM 05-Mar-13 31252.00 UP 31228 31296 31340 31452 31184 31116 31004 GOLDM 05-Feb-13 30978.00 UP 30942 31033 31088 31234 30887 30796 30650 GOLDPETAL 30-Mar-13 3149.00 UP 3148 3153 3156 3164 3145 3140 3132 GOLDPETAL 28-Feb-13 3120.00 UP 3117 3124 3127 3137 3114 3107 3097 GOLDPETAL 31-Jan-13 3093.00 UP 3090 3098 3103 3116 3085 3077 3064 GOLDPTLDEL 28-Feb-13 3152.00 DOWN 3155 3159 3166 3177 3148 3144 3133 Keynote Capitals Ltd. The Ruby, 9th Floor, Senapati Bapat Marg, Dadar (W), Mumbai, India – 400028 Tel: 30266000 / 22694322 www.keynotecapitals.com
  • 2.
    MCX Commodities Intra-dayTechnical Levels For - 09/01/13 Commodity Contract Close Intra Day Pivot Resistance Support Symbol Expiry 08/01/13 Trend Point R1 R2 R3 S1 S2 S3 GOLDPTLDEL 31-Jan-13 3120.00 UP 3120 3129 3139 3158 3110 3101 3082 KAPAS 30-Mar-13 933.60 UP 933 938 942 951 929 924 915 KAPAS 30-Apr-13 950.20 UP 950 954 958 967 946 941 932 KAPASKHALI 30-Apr-13 1444.00 UP 1444 1451 1458 1473 1437 1429 1415 KAPASKHALI 30-Mar-13 1410.50 UP 1409 1417 1424 1439 1402 1394 1379 KAPASKHALI 28-Feb-13 1377.50 UP 1377 1385 1392 1408 1369 1361 1346 KAPASKHALI 31-Jan-13 1347.00 UP 1345 1353 1359 1374 1339 1330 1316 LEAD 30-Apr-13 127.85 DOWN 128 129 130 131 127 126 125 LEAD 28-Mar-13 128.00 UP 128 129 130 132 127 126 124 LEAD 28-Feb-13 127.80 UP 128 129 130 132 127 125 123 LEAD 31-Jan-13 127.35 UP 127 128 129 132 126 125 123 LEADMINI 30-Apr-13 128.00 UP 128 129 130 132 127 126 124 LEADMINI 28-Mar-13 127.85 UP 128 129 130 131 127 126 124 LEADMINI 28-Feb-13 127.75 UP 128 129 130 132 127 125 123 LEADMINI 31-Jan-13 127.35 UP 127 128 129 132 126 125 122 MENTHAOIL 30-Apr-13 1428.30 DOWN 1432 1445 1461 1490 1416 1403 1374 MENTHAOIL 30-Mar-13 1437.10 DOWN 1438 1451 1465 1491 1425 1412 1386 MENTHAOIL 28-Feb-13 1430.00 DOWN 1434 1446 1462 1490 1418 1406 1378 MENTHAOIL 31-Jan-13 1414.50 DOWN 1418 1431 1447 1476 1402 1389 1360 NATURALGAS 25-Mar-13 183.00 DOWN 184 186 189 194 181 180 175 NATURALGAS 25-Feb-13 179.90 DOWN 181 183 186 191 178 176 171 NATURALGAS 28-Jan-13 177.90 DOWN 179 181 184 189 176 174 170 NICKEL 30-Apr-13 970.20 DOWN 971 975 979 987 967 964 956 NICKEL 28-Mar-13 969.20 UP 969 976 982 996 962 955 942 NICKEL 28-Feb-13 963.80 UP 962 970 976 990 956 948 934 NICKEL 31-Jan-13 957.20 UP 956 964 971 985 949 941 927 NICKELM 30-Apr-13 974.50 DOWN 975 980 985 995 970 965 955 NICKELM 28-Mar-13 968.30 UP 968 975 982 996 961 954 940 NICKELM 28-Feb-13 963.70 UP 962 970 976 990 956 949 935 NICKELM 31-Jan-13 957.20 UP 956 964 970 985 949 942 927 POTATO 15-Apr-13 733.80 UP 728 740 746 765 721 709 690 POTATO 15-May-13 724.20 UP 721 728 731 742 717 710 699 POTATO 15-Mar-13 777.90 UP 770 786 795 819 761 745 720 SILVER 05-Jul-13 61001.00 UP 60967 61185 61368 61769 60784 60566 60165 SILVER 04-May-13 59793.00 UP 59729 60059 60324 60919 59464 59134 58539 SILVER 05-Mar-13 58470.00 UP 58390 58730 58990 59590 58130 57790 57190 SILVER1000 31-Jan-13 57378.00 DOWN 57392 57635 57892 58392 57135 56892 56392 SILVER1000 28-Feb-13 57899.00 DOWN 57899 58793 59686 61473 57006 56112 54325 SILVERM 29-Jun-13 61080.00 UP 60943 61247 61415 61887 60775 60471 59999 SILVERM 30-Apr-13 59802.00 UP 59711 59986 60171 60631 59526 59251 58791 SILVERM 28-Feb-13 58492.00 UP 58397 58694 58896 59395 58195 57898 57399 SILVERMIC 29-Jun-13 61046.00 UP 60963 61204 61362 61761 60805 60564 60165 SILVERMIC 30-Apr-13 59789.00 UP 59687 59987 60186 60685 59488 59188 58689 SILVERMIC 28-Feb-13 58489.00 UP 58330 58749 59010 59690 58069 57650 56970 STEELRPR 20-Mar-13 33540.00 UP 33467 33713 33887 34307 33293 33047 32627 STEELRPR 20-Feb-13 33000.00 UP 32987 33083 33167 33347 32903 32807 32627 Keynote Capitals Ltd. The Ruby, 9th Floor, Senapati Bapat Marg, Dadar (W), Mumbai, India – 400028 Tel: 30266000 / 22694322 www.keynotecapitals.com
  • 3.
    MCX Commodities Intra-dayTechnical Levels For - 09/01/13 Commodity Contract Close Intra Day Pivot Resistance Support Symbol Expiry 08/01/13 Trend Point R1 R2 R3 S1 S2 S3 STEELRPR 18-Jan-13 32340.00 DOWN 32363 32467 32593 32823 32237 32133 31903 ZINC 30-Apr-13 112.75 DOWN 113 114 115 116 112 111 110 ZINC 28-Mar-13 112.20 DOWN 112 113 114 116 111 110 109 ZINC 28-Feb-13 111.55 DOWN 112 113 114 116 111 110 107 ZINC 31-Jan-13 110.50 DOWN 111 112 113 115 109 108 106 ZINCMINI 30-Apr-13 112.55 DOWN 113 114 115 117 112 111 109 ZINCMINI 28-Mar-13 112.35 DOWN 112 113 114 116 112 111 109 ZINCMINI 28-Feb-13 111.55 DOWN 112 113 114 116 111 110 108 ZINCMINI 31-Jan-13 110.50 DOWN 111 112 113 115 109 108 106 Sanjay Bhatia (AVP – Technical Research), Email Id sanjay@keynotecapitals.net Pivot Point: Intra- Day Trading Tool. - The key to the use of this tool is the use of Stop Loss Intra Day Trend: It is valid only till the point where Price trades above Pivot Point. For Eg. “UP” would be valid till Price remains above Pivot Point. It would become “DOWN” in event Price trades below Pivot Point. Pivot Point (PP): This is a trigger point for Intra Day Buy / Sell based on the price range of the previous day. R1: Resistance 1: 1st Resistance level over Pivot Point, R2: Resistance 2: Next Resistance level after R1. R3: Resistance 3: Next Resistance level after R2. S1: Support 1: 1st Support level after Pivot Point, S2: Support 2: Next Support level after S1. S3: Support 3: Next Support level after S2. Note: As per this tool, the trader should take BUY position just above the Pivot Point and keep the Pivot Point level as stop loss and the first target would be R1 level (Resistance 1). If R1 is crossed then R2 (Resistance 2) becomes the next target with the stop loss placed at R1 level. If R2 is crossed then R3 (Resistance 3) becomes the next target with the stop loss placed at R2 level. Similarly if price goes below the Pivot Point the trader should take a SELL position and keep the Pivot Point level as the stop loss and the first target would be S1 level (Support 1). If S1 level is breached then S2 level (Support 2) becomes the next target with the stop loss placed at S1 level. If S2 level is breached then S3 level (Support 3) becomes the next target with the stop loss placed at S2 level. Disclaimer: This document is not for public distribution and has been furnished to you solely for your information and must not be reproduced or redistributed to any other person. Persons into whose possession this document may come are required to observe these restrictions. This material is for the personal information of the authorized recipient, and we are not soliciting any action based upon it. This report is not to be construed as an offer to sell or the solicitation of an offer to buy any security in any jurisdiction where such an offer or solicitation would be illegal. It is for the general information of clients of Keynote Capitals Ltd. It does not constitute a personal recommendation or take into account the particular investment objectives, financial situations, or needs of individual clients. We have reviewed the report, and in so far as it includes current or historical information, it is believed to be reliable though its accuracy or completeness cannot be guaranteed. Neither Keynote Capitals Ltd., nor any person connected with it, accepts any liability arising from the use of this document. The recipients of this material should rely on their own investigations and take their own professional advice. Price and value of the investments referred to in this material may go up or down. Past performance is not a guide for future performance. Certain transactions -including those involving futures, options and other derivatives as well as non-investment grade securities - involve substantial risk and are not suitable for all investors. Reports based on technical analysis centers on studying charts of a stock’s price movement and trading volume, as opposed to focusing on a company’s fundamentals and as such, may not match with a report on a company’s fundamentals. Opinions expressed are our current opinions as of the date appearing on this material only. While we endeavor to update on a reasonable basis the information discussed in this material, there may be regulatory, compliance, or other reasons that prevent us from doing so. Prospective investors and others are cautioned that any forward-looking statements are not predictions and may be subject to change without notice. Our proprietary trading and investment businesses may make investment decisions that are inconsistent with the recommendations expressed herein. We and our affiliates, officers, directors, and employees world wide may: (a) from time to time, have long or short positions in, and buy or sell the securities thereof, of company (ies) mentioned herein or (b) be engaged in any other transaction involving such securities and earn brokerage or other compensation or act as a market maker in the financial instruments of the company (ies) discussed herein or act as advisor or lender / borrower to such company (ies) or have other potential conflict of interest with respect to any recommendation and related information and opinions. The analyst for this report certifies that all of the views expressed in this report accurately reflect his or her personal views about the subject company or companies and its or their securities, and no part of his or her compensation was, is or will be, directly or indirectly related to specific recommendations or views expressed in this report. No part of this material may be duplicated in any form and/or redistributed without Keynote Capitals Ltd’s., prior written consent. Keynote Capitals Ltd. The Ruby, 9th Floor, Senapati Bapat Marg, Dadar (W), Mumbai, India – 400028 Tel: 30266000 / 22694322 www.keynotecapitals.com