Module IV
Laplace TransformLaplace Transform
Vijaya Laxmi., Dept. of EEE, BIT, Mesra 1
• The ordinary differential equations can be solved by following these
three steps:
 Determination of complementary function
 Determination of particular integral
 Determination of arbitrary constants Determination of arbitrary constants
• The solution is directly obtained in time domain as the process of
solving differential equation deals with functions at every step.
• The classical method is the last option for solving the differential
equation , when transformation methods fail.
• The classical methods are difficult to apply when excitation function
consists of derivatives, and transform methods are proved to be
superior.
Vijaya Laxmi., Dept. of EEE, BIT, Mesra 2
• Transformation is somewhat similar to logarithmic operation.
• To find the product or quotient of two numbers:
 Obtain the logarithm of two numbers
 Add or subtract
 Take antilogarithm to get the product or quotient.
• In similar way, integro-differential equation by Laplace transform
method
 Transform the time-domain integro-differential eqn. into an
algebraic eqn. in s
 Find the roots of the characteristic polynomial
 Find the inverse Laplace transform to obtain the solution in time-
domain.
Vijaya Laxmi., Dept. of EEE, BIT, Mesra 3
Comparison between logarithmic and
Laplace transform
Vijaya Laxmi., Dept. of EEE, BIT, Mesra 4
Vijaya Laxmi., Dept. of EEE, BIT, Mesra 5
Advantages of Laplace transform
• The solution of differential equations is a systematic
procedure.
• Initial conditions are automatically considered in a specified
transformation.
• It gives the complete solution, both complementary as well as• It gives the complete solution, both complementary as well as
particular integral in one operation.
Vijaya Laxmi., Dept. of EEE, BIT, Mesra 6
Laplace transformation
• The Fourier transform is applicable to a large variety of signals
and widely used tool in engineering. But, it is applicable to
only those signals which satisfy the condition
  )1...(

dttf
• Therefore, many time functions which are of interest in
engineering cannot be handled by this method such as ramp,
parabolic etc, as the integral is not converging and the
functions are not Fourier transformable.
• In order to handle these types of functions, a convergence
factor is introduced to modify the transformation.
  )1...(
dttf
econvergencabsoluteensuretoenoughelandnumberrealiswheree t
arg, 
Vijaya Laxmi., Dept. of EEE, BIT, Mesra 7
• The new transformation is
• Eqn. (2) now becomes
    )2...(
0



 dteetfsF tjt 
Lower limit is taken as 0 instead of -∞, since for σ>0, convergence factor will
Diverge when t->-∞ . Hence, the transforma on in eq. (2) ignores all
information contained in f(t) prior to t=0.
• Eqn. (2) now becomes
• The condition for Laplace transform to exist is
    )3...(
0



 dtetfsF st
 jswhere ,
F(s) is called the Laplace transform of f(t) and denoted by
F(s)=ʆ[f(t)] …(4)
  )5...(
0



dtetf st
Vijaya Laxmi., Dept. of EEE, BIT, Mesra 8
• f(t) and F(s) are called the Laplace transform pair.
• Laplace transform thus changes time-domain to frequency-
domain and inverse Laplace transform changes form
frequency domain to time domain as given below.
       )6...(
2
11




j
j
st
dsesF
j
sFtf L


Vijaya Laxmi., Dept. of EEE, BIT, Mesra 9
Theorems
• Theorem 1: The Laplace transform of the sum of two
functions is equal to the sum of the Laplace
transforms of the individual functions.
•           dtetftftftfL st
 

•          
   
     
    )7...(21
21
0
2
0
1
0
2121
sFsF
tftf
dtetfdtetf
dtetftftftf
LL
L
stst
st











Vijaya Laxmi., Dept. of EEE, BIT, Mesra 10
• Theorem 2: The Laplace transform of a constant
times a function is equal to the constant times the
Laplace transform of the function.
      dtetkftkf st
L  


     
    )8...(
0
0
skFdtetfk
dtetkftkf
st
L






         )9...(
,
22112211 sFksFktfktfk
generalIn
L 
Vijaya Laxmi., Dept. of EEE, BIT, Mesra 11
Laplace transform of important
functions
• Exponential function:   at
etf 
   
dtedteee tasstatat
L  




 
)10...(
1
00
as 


Vijaya Laxmi., Dept. of EEE, BIT, Mesra 12
• Unit step function:  


 

otherwise
tfor
tU
0
01
       )11...(
11
0
0
s
e
s
dtetUtU stst
L 



0
ss
   )12...(
,
s
k
tU
Similarly
L 
Vijaya Laxmi., Dept. of EEE, BIT, Mesra 13
• Sine and Cosine function:
     
)13...(
11
2
1
2
1


 




 
jsjsj
ee
j
tSin tjtj
LL
)13...(22


s
     
)14...(
11
2
1
2
1
22


 





 
s
s
jsjs
eetCos tjtj
LL
Vijaya Laxmi., Dept. of EEE, BIT, Mesra 14
• Hyperbolic Sine and Cosine function:
 
  )16...(
2
1
)15....(
2
1
atat
atat
eeCoshat
eeSinhat




     
     )17...(
11
2
1
2
1
2
1
2
1
22
000
as
a
asas
ee
dteedteedteeeSinhat
atat
statstatstatat
LL
L









 







  )18...(, 22
as
s
CoshatSimilarly L


2
Vijaya Laxmi., Dept. of EEE, BIT, Mesra 15
• Damped sine and cosine function:
     
 
   
 11
2
1
2
1

 




 
jasjasj
ee
j
tSine tjatjaat
LL
   
 
)19...(22




as
     
 
   
 
 
)20...(
11
2
1
2
1
,
22


 







 
as
as
jasjas
eetCose
Similarly
tjatjaat
LL
Vijaya Laxmi., Dept. of EEE, BIT, Mesra 16
• Damped hyperbolic sine and cosine function:
     
     
 
 
)21...(
11
2
1
2
1
22
bas
as
basbas
eeCoshbte tbatbaat
LL






 
  22
bas 
     
     
 
 
)22...(
11
2
1
2
1
,
22
bas
b
basbasj
ee
j
Sinhbte
Similarly
tbatbaat
LL





 
The results can also be obtained using shifting property.
Vijaya Laxmi., Dept. of EEE, BIT, Mesra 17
Problem
• Find
• Solution:






352
4
2
1
ss
s
L
2
3
5
1
6
2
1
3
4
352
4
s
s
ss
s















 
 2/3
11
2
1
2
56
2
1
2
3
5
1
6
2
1
352
4
2
312
2
3
12
352
tt
ee
ssss
s
ss
ss
ss
LLL




























































Vijaya Laxmi., Dept. of EEE, BIT, Mesra 18
2222
22
2
2
4
1
4
5
4
11
4
1
4
5
4
5
4
1
4
5
4
2
1
2
3
2
5
2
4
352
4
,
ss
s
s
s
ss
s
ss
s
elyAlternativ
 















































































    
 2/3
4/4/4/4/
4/5
4/54/5
22
1
22
1
2
1
56
2
1
2
11
22
1
4/114/
2
1
4
1
4
5
4
1
11
4
1
4
5
4
5
2
1
352
4
tt
tttt
t
tt
ee
eeee
e
tSinhetCoshe
ss
s
ss
s
LLL











 












































































Vijaya Laxmi., Dept. of EEE, BIT, Mesra 19
• The Laplace transform of e-at times a function is equal to the
Laplace transform of that function, with s replaced by (s+a).
• Proof:          
  )23...(
00
asF
dtetfdtetfetfe tasstatat
L

 




For damped sinusoid and hyperbolic functions also this can be used.For damped sinusoid and hyperbolic functions also this can be used.
   
   
 
   
 
)24...(
)24...(,
,
22
22
2222





















as
as
asFtCoseand
as
asFtSineTherefore
s
s
tCos
s
tSin
at
at
L
L
LL
   
    2222
,,
bas
as
Coshbte
bas
b
Sinhbteand atat
LL




 
Vijaya Laxmi., Dept. of EEE, BIT, Mesra 20
  



0
dtett stnn
L
1
,
,
,







st
stn
st
n
s
e
dtevandntduThen
dtedvand
tupartsbygIntegratin
   
     
      1
0
11
0
1
0
1
0
0
0
0
|1|12
.....
21
1

















nn
nnstn
stnst
n
n
s
n
ss
n
t
sss
n
s
n
s
n
t
s
n
s
n
t
s
n
dtet
s
n
dtet
s
n
e
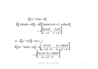
s
t
vduuvudvt
s
L
LL
L
    ...,
2|
,
1
, 3
2
2
s
t
s
tHence LL 
Vijaya Laxmi., Dept. of EEE, BIT, Mesra 21
  
btSinAe at
L
    
 2222
bs
sSin
bs
bCos
A
CosbtSinSinbtCosAbtASin LL







    
    
 
 
 
 
 
 22
2222
bas
SinasbCos
A
bas
Sinas
bas
bCos
AbtSinAe
asFtfeAs
at
at
L
L














Vijaya Laxmi., Dept. of EEE, BIT, Mesra 22
• Shifting Theorem:
• Proof:
    
       )29...(, 0
00 sFettUttfThen
sFtfIf
st
L
L



            dtettfdtettUttfttUttf
t
stst
L
0
0
0
0000




 
   
   sFedefe
def
stsst
ts
00
0
0
0













   
 












t
ttits
ddtttttand
ttttf
tt
ttUttfwhere
0,lim
,,,
;
;0
,
0
00
00
0
00
Vijaya Laxmi., Dept. of EEE, BIT, Mesra 23
• Therefore, the four following functions are different:
 
   
   
   00
0
0
0
)(
)(
)(
)(
ttUttfiv
ttUtfiii
tUttfii
ttfi




00
 
   
       
     
       0000
00
00
00
)(
)(
)(
)(
,
ttUttSinttUttfiv
tttUSinttUtfiii
tUttSintUttfii
ttSinttfi
thentSintfIf










Vijaya Laxmi., Dept. of EEE, BIT, Mesra 24
    22





s
sFandtSintfIf
    000)(





tSin
s
tCos
ttSinCosttCosSinttSini LL
22
00
022022














s
tsSintCos
tSin
s
s
tCos
s
Vijaya Laxmi., Dept. of EEE, BIT, Mesra 25
       
00
00)(





tsSintCos
ttSintUttSinii LL
22
00





s
tsSintCos
Vijaya Laxmi., Dept. of EEE, BIT, Mesra 26
    
   
 











 0
0
00
0
2
1
;1
;0
,;)( 

dtee
j
tt
tt
ttUasdtteSintttUSiniii
tjstjs
t
st
L
 
   























22
000
00
0
2
1
2




s
tsSintCos
e
js
e
js
e
j
dtee
j
st
tjstjs
t
Vijaya Laxmi., Dept. of EEE, BIT, Mesra 27
      









22
00
0
0
sin)(



s
e
theoremshiftinggutSinettUttSiniii
st
st
LL
 s
Vijaya Laxmi., Dept. of EEE, BIT, Mesra 28
Differentiation theorem
• If a function f(t) and its derivatives are both Laplace
transformable, and if L[f(t)]=F(s), then
• Proof:
     



0fssF
dt
tdf
L
      

• Proof:
      



0
, dtetftfLsFdefinitionBy st
   
stst
e
s
vdtedvand
dt
dt
tdf
dutfuLetpartsbygIntegratin









1
,
,,
Vijaya Laxmi., Dept. of EEE, BIT, Mesra 29
         





















dt
tdf
ss
f
dte
dt
tdf
s
etf
s
sF
vduuvudvHence
Lstst 1011
,
00
0
0
0
It can be extended to higher order derivatives , when they are
Laplace transformable.
     



0, fssF
dt
tdf
Therefore L
Laplace transformable.
       
            

























0000 '2'
0
2
2
fsfsFsffssFs
dt
tdf
dt
tdf
s
dt
tdf
dt
d
dt
tfd
t
LLL
         
   
 
   
 









n
k
kknn
nnnnn
n
n
fssFs
fsffsfssFs
dt
tfd
generalIn L
1
1
1221
0
00...00,
         





0''0'0, 23
3
3
fsffssFs
dt
tfd
Similarly L
Vijaya Laxmi., Dept. of EEE, BIT, Mesra 30
Integration theorem
• The Laplace transform of the first integral of a function f(t)
with respect to time is the Laplace transform of f(t) divided by
s, i.e.,
• Proof:
   
s
sF
dttf
t
L 





0


• Proof:
    














0 00
, dtedttfdttfdefinitionBy st
tt
L
   
stst
t
e
s
vdtedv
dttfdudttfuLet


 
1
0
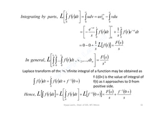
Vijaya Laxmi., Dept. of EEE, BIT, Mesra 31
 
   
    
s
sF
tf
s
dtetf
s
dttf
s
e
vduuvudvdttfpartsbygIntegratin
L
L
st
tst
t























1
00
1
,
000
0
0
00
   t t t
sF
dtdtdttfgeneralIn
n
L 



 
1 2
,...,,...,    
nn
s
sF
dtdtdttfgeneralIn L 








 0 0 0
21 ,...,,...,
Laplace transform of the indefinite integral of a function may be obtained as
      
 01
0
fdttfdttf
t
           
s
f
s
sF
fdttfdttfHence LLL
t











0
0,
1
1
0
f-1(0+) is the value of integral of
f(t) as t approaches to 0 from
positive side.
Vijaya Laxmi., Dept. of EEE, BIT, Mesra 32
Multiplication by t
• Differentiation by s in the complex frequency domain
corresponds to multiplication by t in the time domain, i.e.,
• Proof:
    
ds
sdF
ttfL 
• Proof:
        ttfdtettfdte
ds
d
tf
ds
sdF
Lstst
 




00
Vijaya Laxmi., Dept. of EEE, BIT, Mesra 33
Problem
• If
• Solution:
   
as
sFetf at

  1
,
 at
teFind L 
• Solution:
 
 2
11
asasds
d
te at
L









Vijaya Laxmi., Dept. of EEE, BIT, Mesra 34
Problem
• Find
• Solution:
 tSintL 2
     
 
 222
22
222
2
2
2
22
32
1
















s
s
sds
d
tSin
ds
d
tSint LL
Vijaya Laxmi., Dept. of EEE, BIT, Mesra 35
Division by t
        






s
dssF
t
tf
thensFtfIf LL ,
Proof:
    
 






 st
dsdtetfdssF     




ss
dsdtetfdssF
0
    
  















00
dt
t
e
tfdtdsetf
s
st
s
st
 
 













 


t
tf
dte
t
tf
L
st
0
Vijaya Laxmi., Dept. of EEE, BIT, Mesra 36
Problem
 dstSin
t
tSin
s
LL 















t
tSin
Find L 
t s





























s
ss
ds
s
s
s






111
22
tantan
2
tan
Vijaya Laxmi., Dept. of EEE, BIT, Mesra 37
Solution of linear differential equations
 
.)(tan10
012
2
functionexcitationtheisteandtsconsarebandbwhere
tewb
dt
dw
b
dt
wd

Taking Laplace transform of both sides
      tewb
dt
dw
b
dt
wd
LLLL 




01
2
2
Taking Laplace transform of both sides
  )0()( wssW
dt
dw
L  )0(')0()(
2
2
2
wswsWs
dt
wd
L 




    )()()0()()0(')0()(, 01
2
sEsWbwssWbwswsWsHence 
Vijaya Laxmi., Dept. of EEE, BIT, Mesra 38
    )0(')0()()( 101
2
wwbssEsWbsbs 
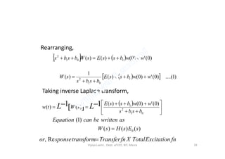
Rearranging,
   )1....()0(')0()(
1
)( 12
wwbssE
bsbs
sW 

    )1....()0(')0()()( 1
01
2
wwbssE
bsbs
sW 


Taking inverse Laplace transform,
 
 








 
01
2
1 )0(')0()(
)()( 11
bsbs
wwbssE
sWtw LL
)()()(
)1(
0 sEsHsW
aswrittenbecanEquation

fnExcitationTotalXfnTransfertransformsponseor Re,
Vijaya Laxmi., Dept. of EEE, BIT, Mesra 39
• Transfer function H(s) is the ratio of the transform of the
output (response) of that of the input (excitation) and is equal
to the reciprocal of the characteristic function.
• Total excitation function E0(s) consists of the Laplace
transform of the applied excitation, E(s) and contributions duetransform of the applied excitation, E(s) and contributions due
to the initial conditions, which do not depend on the applied
excitation.
Vijaya Laxmi., Dept. of EEE, BIT, Mesra 40
Initial value theorem
• If the Laplace transform of f(t) is F(s), and the first derivative
of f(t) is Laplace transformable, then the initial value of f(t) is
• Proof:
      ssFLimtfLimf
st 

0
0
If the time limit exists
       














0
0
fssFdtetf
dt
d
tf
dt
d st
L
Let s approaches ∞Let s approaches ∞
      






  0
0
fssFLimdtetf
dt
d
Lim
s
st
s
s is not a function of t. By hypothesis, df(t)/dt being Laplace transformable,
the integral on the left side of the last equation exists. Therefore, it is
allowable to let s->∞ before integra ng. Then, LHS vanishes and we have,
    
    ssFLimfHence
fssFLim
s
s




0,
00
It is used for determining the initial
value of f(t) and its derivatives.
Vijaya Laxmi., Dept. of EEE, BIT, Mesra 41
Final value theorem
• If the Laplace transform of f(t) is F(s), and if sF(s) is analytic on
the imaginary axis and the right half of s-plane, then,
• Proof:
   ssFLimtfLim
st 0

       














0
0
fssFdtetf
dt
d
tf
dt
d st
L
Let s approaches 0, thenLet s approaches 0, then
         







  0
0
0
0
0
fssFLimtfdtetf
dt
d
Lim
s
st
s
         
    ssFLimtfLimHence
fssFLimftfLimTherefore
st
st
0
0
,
00,




It is a very useful relation in the analysis and design of feedback control systems,
since it gives the final value of a time function by determining the behaviour of its
Laplace transform, when s tends to zero. However, this theorem is not valid if the
denominator of sF(s) contains any zero whose real part is zero or positive, which
is equivalent for analytic requirement of sF(s)Vijaya Laxmi., Dept. of EEE, BIT, Mesra 42
Gate function
• A rectangular pulse of unit height, starting at t=t1 and of
duration T is known as gate function and represented as
• Any function multiplied by a gate function will have zero value
outside the duration of the gate, (t1+T)<t<t1, and the value of
     TttUttUTGt  111
 ttU outside the duration of the gate, (t1+T)<t<t1, and the value of
the final function will be unaffected within the duration of the
gate, t1+T<t<t1+T.
• The equation of a gate function starting at the origin and of
origin will be
 1ttU 
     TtUtUTG 0
         TsTs
e
s
e
ss
TtUtUTGand LL 
 1
111
, 0
Vijaya Laxmi., Dept. of EEE, BIT, Mesra 43
Problem: Sawtooth waveform
• The sawtooth waveform can be represented as
• Now,
        TtUtUt
T
E
TGt
T
E
tf 











 0
           TttU
T
E
ttU
T
E
TtUtUt
T
E
tf LLLL 


















    
     
 
  Ts
TsTsTsTs
eTs
Ts
E
Tsee
Ts
E
e
s
E
e
Ts
E
Ts
E
TtEUTtUTt
T
E
Ts
E
TtU
Ts
E
TTT
LL
TTt
T
E
L














11
1
2
222
2
2
Vijaya Laxmi., Dept. of EEE, BIT, Mesra 44
• Alternatively,
       
       TtEUTtUTt
T
E
ttU
T
E
tftftftf

 321
TT
         
  Ts
TsTs
eTs
Ts
E
e
s
E
e
Ts
E
Ts
E
tftftftf LL





11
321
2
22
Vijaya Laxmi., Dept. of EEE, BIT, Mesra 45
Problem: single half-sine wave
• The function can be represented as
• Now,
      
























2
2
2/
2
0
T
tUtUt
T
ASinTGt
T
ASintf

     






























2
22 T
ttU
T
SinAttU
T
SinAtf LLL 
22
,
T
tU
TT
tSin
T
ttUSinAs LL 


























 
       
 
2/
22
/2
/2
22
2
22
2
2222
,
Ts
e
Ts
T
T
tU
T
t
T
Sin
T
tU
T
t
T
Sin
tUt
T
SinttU
T
SinAs
LL
LL

















































  
   
 
 2/
22
2/
2222
1
/2
/2
/2
/2
/2
/2
,
Ts
Ts
e
Ts
T
A
e
Ts
T
A
Ts
T
AtfTherefore L















Vijaya Laxmi., Dept. of EEE, BIT, Mesra 46
• Alternatively,
     
     2/2/
22
21
TtUTt
T
ASintUt
T
ASin
tftftf



TT
    
 
 
 
 
 
 2/
22
2/
2222
1
/2
/2
/2
/2
/2
/2
Ts
Ts
e
Ts
TA
e
Ts
TA
Ts
TA
tfL















Vijaya Laxmi., Dept. of EEE, BIT, Mesra 47
Impulse function
• We have         atUtU
a
Limtft
a
a 

1
0

         1
0


atUtU
a
LimtFt
a
a LL
  1
...!3/2/111
11
3322
0
0





 











s
sasaas
a
Lim
s
e
sa
Lim
a
a
as
a
Vijaya Laxmi., Dept. of EEE, BIT, Mesra 48
Periodic functions
• The Laplace transform of a periodic function with period T is
equal to 1/(1-e-Ts) times the Laplace transform of the first
cycle.
• Proof: Let f(t) be a periodic function of time period T. Let f1(t),
f2(t), … be the functions describing the first cycle, secondf2(t), … be the functions describing the first cycle, second
cycle etc., then
       
          ...22
...
111
321


TtUTtfTtUTtftf
tftftftf
      
 sF
e
sFeeetfL
Ts
TsTsTs
1
1
32
1
1
...1











Vijaya Laxmi., Dept. of EEE, BIT, Mesra 49
Problem
• Determine the Laplace transform of the periodic, rectified
half-wave as shown
Vijaya Laxmi., Dept. of EEE, BIT, Mesra 50
Solution
• The Laplace transform of single half-wave is
 
 
 
 2/
2
2
1 1
2
2
Ts
e
T
s
T
A
sF 





      
 
 
 
   
      
 
 2
2
2/2
22/2/
2/
2
2
2/
2
2
1
1
211
21
2
2
1
1
,
T
s
T
A
e
T
see
T
Ae
T
s
T
A
e
e
tfsFThen
Ts
TsTs
Ts
Ts
Ts
L














 












Vijaya Laxmi., Dept. of EEE, BIT, Mesra 51
Problem
• Determine the Laplace transform of the periodic saw-tooth
waveform as shown
Vijaya Laxmi., Dept. of EEE, BIT, Mesra 52
Solution
• The Laplace transform of waveform for first period is
• Hence,
        



  TsTs
ee
T
Ts
A
tfsF L 1
2
1
1
2
2
11
• Hence,
      
 
 
 


















 


s
Ts
Coth
T
Ts
A
se
eT
Ts
A
e
sF
tfsF Ts
Ts
Ts
L
1
22
2
1
1
1
2
2
1
1
Vijaya Laxmi., Dept. of EEE, BIT, Mesra 53
Problem
• Determine the Laplace transform of the waveform f(t) as
shown
Vijaya Laxmi., Dept. of EEE, BIT, Mesra 54
Solution
• The function f(t) can be written as the sum of step
function as
• Then,
           52442413  tUtUtUtUtUtf
• Then,
 
 ssss
ssss
eeee
s
s
e
s
e
s
e
s
e
s
sF
542
542
24431
1
24431




Vijaya Laxmi., Dept. of EEE, BIT, Mesra 55
Problem
• The first derivative of a function f(t) is shown in Fig. by the
impulse train. Determine the Laplace transform of the
function f(t).
Vijaya Laxmi., Dept. of EEE, BIT, Mesra 56
Solution
• Since, the above quantities are impulses, the Laplace
transform will be
   
sssssssss
eeeeeeeee
dt
tdf
sF L
98765432
'









eeeeeeeee 
       
   
s
sF
sFei
fgassussF
dt
tdf
sFLet L
'
.,.
00min,'








     
                   987654321,
'
, 11







 
tUtUtUtUtUtUtUtUtUtfTherefore
s
sF
sFtfHence LL
Vijaya Laxmi., Dept. of EEE, BIT, Mesra 57
Problem
• Given a pulse f(t), find the transform F(s). Find L-1[F2(s)] to
get the triangular waveform as shown in Fig.
Vijaya Laxmi., Dept. of EEE, BIT, Mesra 58
Solution
• The square wave can be represented as
• Squaring F(s), we get
     
   as
e
s
sFThen
atUtUtf



1
1
,
     
 
              atUatatUatttUsFLtf
ttU
s
As
ee
s
e
s
sF
L
asasas
222
1
,
21
1
1
1
21
1
2
1
2
2
2
2
2









Vijaya Laxmi., Dept. of EEE, BIT, Mesra 59
Problem
• Find the Laplace transform of triangular wave.
Vijaya Laxmi., Dept. of EEE, BIT, Mesra 60
Solution
• The triangular waveform can be represented as
 











212
10
00
tfort
tfort
tfor
tf


  20 tfor
       
2
2
2
1
1
00
21
2
s
ee
dtetdttedtetftfsF
ss
ststst
L






 
Vijaya Laxmi., Dept. of EEE, BIT, Mesra 61
Applications of Laplace transform
Laplace transform can be used as mathematical tools for
determining the system response, subject to arbitrary input
functions. The steps involved are:
 The system must be represented in terms of differential or
integro-differential equation form.integro-differential equation form.
 Take LT of the system differential or integro-differential
equation together with input excitation to obtain an algebraic
equation in s, i.e., frequency domain.
 Obtain the inverse LT to get the solution in time domain.
Vijaya Laxmi., Dept. of EEE, BIT, Mesra 62
Solution of linear differential equation
• Let a second order differential equation be
  )1...(012
2
tuya
dt
dy
a
dt
yd

Where a1, a0 are constants and u(t) is the
given excitation function
         tusUandtysYLet LL 
Taking Laplace transform on both sidesTaking Laplace transform on both sides
              
           
         
             )3...(
00
,
)2...(00
1
,
00,
000
01
2
.
111
.
1
01
2
.
101
2
01
.
2
asas
yyassU
sYtyor
yyassU
asas
sYor
yyassUsYasasor
sUsYayssYaysysYs
LL













Hence, the solution
not only depends on
the characteristic
roots but also on the
Excitation function and
initial conditions.
Vijaya Laxmi., Dept. of EEE, BIT, Mesra 63
• Equation (2) can be rewritten as
      )4...(sUsHsY 
   transformexcitationTotalfunctionTransfertransformsponse Re
   tyoftransformLaplacetheissYWhere,
 
    
conditionsinitialtodue
onscontributiandtuLofconsistssUtransformexcitationTotal
inputoftransformLaplace
outputoftransformLaplace
sHfunctionTransfer
zerobetoconditionsinitialAll
,
, 
Vijaya Laxmi., Dept. of EEE, BIT, Mesra 64
Heaviside partial fraction expansion
• The Laplace transformation is used to determine the solution
of integro-differential equation. The general form of
differential equation
• As a result of Laplace transform, transformed into an algebraic
equation in s which may be rearranged as
 tuxa
dt
dx
a
dt
xd
a
dt
xd
a nnn
n
n
n
 

11
1
10 ...
equation in s which may be rearranged as
   
 
 
nn
nnn
asasasasa
termsconditioninitialsU
sq
sp
sX





1
2
2
1
10 ...
Q(s)=0 is called the characteristic equation and the zeros of denominator
polynomial q(s) are roots.
x(t) is the inverse Laplace transform X(s), which is the ratio of two
polynomials. It becomes of a complex nature for which no direct Laplace
transform is available. In general, the transform expression X(s) must be
broken into simpler terms before any direct transform can be used.
 
 
 
 sq
sp
sBsBsBB
sq
sp
Then
nmifgeneralIn
nm
nm 


...,
,
2
110
1
The degree of p(s) is lesser
Or equal to that of q(s)
Vijaya Laxmi., Dept. of EEE, BIT, Mesra 65
PFE: Simple zeros of q(s)
• If all the zeros of q(s) are simple,
   
 
 
     
n
sss
n
ss
K
ss
K
ss
K
ssssssss
sp
sq
sp
sX
n








...
...
21
321
21
   
 
   
 
 
    11211
1
1
...
,
,
1
1
ssssss
sp
sq
sp
ssKso
sq
sp
ssKwhere
nss
s
ss
js
j
j


















Vijaya Laxmi., Dept. of EEE, BIT, Mesra 66
Example
• We have  
   321
35



sss
s
sX
 
321
3211





 
s
K
s
K
s
K
sX
321  sss
    
    
    
 
3
6
2
7
1
1
,
63
72
11
33
22
11













sss
sXhence
sXsK
sXsK
sXsK
s
s
s
Vijaya Laxmi., Dept. of EEE, BIT, Mesra 67
PFE: Multiple zeros of q(s)
• If r of the n zeros of q(s) are alike, the function X(s) becomes,
   
 
 
     
   














ss
A
ss
A
ss
A
ss
K
ss
K
ss
K
ssssssss
sp
sq
sp
sX
r
i
i
i
i
i
i
n
sss
nn
rn
........................
...
2
21
121
2121
   


zerosrepeatedoftermsrzerossimpleoftermsrn
ssssssssssss iiin
)(
21
   
       
 
     
   
   
  ii
ii
ss
r
ir
r
i
ss
r
iri
ss
r
iri
ss
r
iir
sq
sp
ss
ds
d
r
A
sq
sp
ss
ds
d
A
sq
sp
ss
ds
d
A
sq
sp
ssA




































1
1
12
2
2
1
!1
1
,...,
!2
1
,
Vijaya Laxmi., Dept. of EEE, BIT, Mesra 68
Example
• Let,
• Then,
   
     21
1
3


ssssq
sp
sX
 
       3
13
2
121120
1112 






 
s
A
s
A
s
A
s
K
s
K
sX
  
2
1
00  sssXK   
    
    
    
     11
!2
1
01
11
2
1
2
2
1
3
2
2
11
1
3
12
1
3
13
21
00









s
s
s
s
s
sXs
ds
d
A
sXs
ds
d
A
sXsA
sXsK
 
   3
1
1
1
1
22
1
2
1






ssss
sX
Vijaya Laxmi., Dept. of EEE, BIT, Mesra 69
PFE: Complex conjugate zeros
• Suppose q(s) contains a pair of complex zeros,
• Since these zeros are distinct , the corresponding coefficients
are
 jsandjs  21
are
   
 
1112
1
1
**
1
ssss
ss
s
KofconjugatecomplexisKwhereKKand
sq
sp
ssK









Vijaya Laxmi., Dept. of EEE, BIT, Mesra 70
Example
• Consider,
• Then,
 
84
1
2


ss
sX
 
     
   *
1
*
1
1
1
2222
2222
1
22
1
444
1
84
1
ss
K
ss
K
jsjs
jsssss
sX












• Therefore,
   112222 ssssjsjs 
    4/4/
22,22,
*
111
*
11
1
jKandjsXssK
jsjswhere
ss



 
   
   
tSin
e
e
j
e
j
js
j
js
j
sXtx
js
j
js
j
sX
t
tjtj
LLL
2
2
44
22
4/
22
4/
22
4/
22
4/
2
2222
111















 











Vijaya Laxmi., Dept. of EEE, BIT, Mesra 71
• Alternatively,
 
   
 













sss
sX
att 12
222
22
2
2
1
84
1

 
  







 
Sinate
as
LAstSinetx att
22
12
25.0


Vijaya Laxmi., Dept. of EEE, BIT, Mesra 72
Problem
• Solve
• Taking Laplace transform,
• Substituting the values,
    10,00,0672
....
 xxxxx
            0607702022
.
2
 sXxssXxsxsXs
• Substituting the values,
   
 tt
ee
ssss
sXtx LLL
25.1
1
2
11
2
1
2
1
5.1
1
2
1
672
2













Vijaya Laxmi., Dept. of EEE, BIT, Mesra 73
Problem
• Solve,
• Taking Laplace transform,
• Substituting the values,
    30,00063
....
 xxwithxxx
            0603300
.
2
 sXxssXxsxsXs
• Substituting the values,
 
   
  













tSinetxhence
sss
sX
t
2
2/15
5
32
,
2/155.1
2/15
5
32
63
3
5.1
222
Vijaya Laxmi., Dept. of EEE, BIT, Mesra 74
Problem
• Given the set of simultaneous equations, with all initial
condition as zero, find x1(t) and x2(t).
• Taking Laplace transform,
 
 txxxxand
tUxxxx
53
5742
22
.
1
.
1
22
.
1
.
1


• Taking Laplace transform,
• Using Cramer’s rule,
 
  



















5
/5
31
742
1
1 s
sX
sX
ss
ss
 
 
 
        




















22222
2
2
1
21
2
14
21
183
52
3683
52
15305
35
7/51
ss
s
sss
s
s
sss
ss
s
ss
sX
  tSinetCosetx tt
2142831


Vijaya Laxmi., Dept. of EEE, BIT, Mesra 75
• Similarly,
 
   
   
 
        

























222222
22
21
2
3
21
1
11
1
21
231111
52
17111
51
/5421
ss
s
ss
s
s
ss
s
ss
ss
sX
            


 



 
222222
212121 sssss
   tSinetCosetx tt
2321112


Vijaya Laxmi., Dept. of EEE, BIT, Mesra 76
Kirchoff’s Laws
• Resistive element:
       
       sV
R
sItv
R
tiKCL
sRIsVtRitvKVL
RRRR
RRRR














11
:
:
Vijaya Laxmi., Dept. of EEE, BIT, Mesra 77
• Capacitive element:
     
 
dt
dv
CtiKCL
vdtti
C
tvKVL
c
c
c
t
cc

 
:
0
1
:
0
     
     


0:
01
:
,
ccc
c
cc
CvssCVsIKCL
s
v
sI
sC
sVKVL
LTTaking
Vijaya Laxmi., Dept. of EEE, BIT, Mesra 78
• Inductive element:
 
     

 0
1
:
:
0
L
t
LL
L
L
idttv
L
tiKCL
dt
di
LtvKVL
     
     
s
i
sL
sV
sIKCL
LissLIsVKVL
LTTaking
LL
L
LLc



0
:
0:
,
Vijaya Laxmi., Dept. of EEE, BIT, Mesra 79
• Other elements:
  di
M
di
Ltv 21
 ,LTTaking 
 
dt
di
M
dt
di
Ltv
dt
di
M
dt
di
Ltv
12
22
21
11


         
         

00
00
,
1122222
2211111
MissMIiLsIsLsV
MissMIiLsIsLsV
LTTaking
 
 
     
     



















00
00
1222
2111
1
1
2
1
MiiLsV
MiiLsV
sI
sI
sLsM
sMsL
Vijaya Laxmi., Dept. of EEE, BIT, Mesra 80
Problem
• Consider the circuit shown in the figure. The switch is thrown
from position 1 to 2 at time t=0. Just before the switch is
thrown, the initial conditions are iL(0+)=2A, vc(0+)=2V. Find
the current i(t) after the switch thrown. Assume L=1H, R=3Ω,
C=0.5F, V1=5V.C=0.5F, V1=5V.
Vijaya Laxmi., Dept. of EEE, BIT, Mesra 81
Solution
• At t>0, by KVL,
 
         
 
ss
v
Cs
sI
LisLsIsRILTTaking
Vvidt
Cdt
di
LRi
c
c
t
50
0,
0
1
1
0






• Therefore,
     
 
ss
sI
s
s
s
v
Li
s
sI
Cs
LSR
ssCs
c
2
2
52
3
0
0
51














   
  
tt
ee
ssss
s
sIti LLLL
2
1111
2
1
1
1
21
32










Vijaya Laxmi., Dept. of EEE, BIT, Mesra 82
Problem
• Consider the circuit shown in the figure. The switch is opened
at time t=0. Find the node voltages. The initial conditions are
iL(0+)=1A, vc(0+)=1V. Assume L=0.5H, G=1 mho, C=1F, V=1V.
Vijaya Laxmi., Dept. of EEE, BIT, Mesra 83
Solution
• The transformed circuit for t>0 is shown. The node equations
can be written as,
       
          
 
s
i
CvsCsV
sL
sVsVor
s
i
CvsIsINode
L
c
L
cba






0
0
1
,
0
0:1
121
     
        
s
i
GsV
sL
sVsVor
s
i
sIsINode
L
L
ca




01
,
0
:2
212
         
s
i
sI
s
i
CvsILet LL
c



0
,
0
0, 21
 
 
 
 
   
 
   
 
 int
11
2
11
1
,
11
11
2
1
2
1
2
2
1
1
1
1
2
1
2
1
SCoste
s
s
sVtv
Coste
s
s
sVtvSolving
sI
sI
sV
sV
sL
G
sL
sLsL
sC
t
t
LL
LL


































Vijaya Laxmi., Dept. of EEE, BIT, Mesra 84
Problem
• Derive the expression of i(t) in the circuit shown in figure
using Laplace transform.
Vijaya Laxmi., Dept. of EEE, BIT, Mesra 85
Solution
• Applying KVL in the circuit, in time domain,
• Taking LT,
   tvvidt
Cdt
di
LRi c
t
 
 0
1
0
           
     v
LisV
sV
s
v
sI
sC
LissLIsRI
c
c
L
0
0
01
0






 
     
sC
sLR
s
v
LisV
sI
c
L
1
0
0




     
 
      
 
 
   tUee
ssL
ti
LCL
R
L
R
swhere
ssss
L
LCsLRs
L
sI
ssVtvvigAssu
tsts
cL
21
21
2
2,1
21
2
1
1
22
,
/1
/1/
/1
/1,1)(,000,min

















Vijaya Laxmi., Dept. of EEE, BIT, Mesra 86

IST module 4

  • 1.
    Module IV Laplace TransformLaplaceTransform Vijaya Laxmi., Dept. of EEE, BIT, Mesra 1
  • 2.
    • The ordinarydifferential equations can be solved by following these three steps:  Determination of complementary function  Determination of particular integral  Determination of arbitrary constants Determination of arbitrary constants • The solution is directly obtained in time domain as the process of solving differential equation deals with functions at every step. • The classical method is the last option for solving the differential equation , when transformation methods fail. • The classical methods are difficult to apply when excitation function consists of derivatives, and transform methods are proved to be superior. Vijaya Laxmi., Dept. of EEE, BIT, Mesra 2
  • 3.
    • Transformation issomewhat similar to logarithmic operation. • To find the product or quotient of two numbers:  Obtain the logarithm of two numbers  Add or subtract  Take antilogarithm to get the product or quotient. • In similar way, integro-differential equation by Laplace transform method  Transform the time-domain integro-differential eqn. into an algebraic eqn. in s  Find the roots of the characteristic polynomial  Find the inverse Laplace transform to obtain the solution in time- domain. Vijaya Laxmi., Dept. of EEE, BIT, Mesra 3
  • 4.
    Comparison between logarithmicand Laplace transform Vijaya Laxmi., Dept. of EEE, BIT, Mesra 4
  • 5.
    Vijaya Laxmi., Dept.of EEE, BIT, Mesra 5
  • 6.
    Advantages of Laplacetransform • The solution of differential equations is a systematic procedure. • Initial conditions are automatically considered in a specified transformation. • It gives the complete solution, both complementary as well as• It gives the complete solution, both complementary as well as particular integral in one operation. Vijaya Laxmi., Dept. of EEE, BIT, Mesra 6
  • 7.
    Laplace transformation • TheFourier transform is applicable to a large variety of signals and widely used tool in engineering. But, it is applicable to only those signals which satisfy the condition   )1...(  dttf • Therefore, many time functions which are of interest in engineering cannot be handled by this method such as ramp, parabolic etc, as the integral is not converging and the functions are not Fourier transformable. • In order to handle these types of functions, a convergence factor is introduced to modify the transformation.   )1...( dttf econvergencabsoluteensuretoenoughelandnumberrealiswheree t arg,  Vijaya Laxmi., Dept. of EEE, BIT, Mesra 7
  • 8.
    • The newtransformation is • Eqn. (2) now becomes     )2...( 0     dteetfsF tjt  Lower limit is taken as 0 instead of -∞, since for σ>0, convergence factor will Diverge when t->-∞ . Hence, the transforma on in eq. (2) ignores all information contained in f(t) prior to t=0. • Eqn. (2) now becomes • The condition for Laplace transform to exist is     )3...( 0     dtetfsF st  jswhere , F(s) is called the Laplace transform of f(t) and denoted by F(s)=ʆ[f(t)] …(4)   )5...( 0    dtetf st Vijaya Laxmi., Dept. of EEE, BIT, Mesra 8
  • 9.
    • f(t) andF(s) are called the Laplace transform pair. • Laplace transform thus changes time-domain to frequency- domain and inverse Laplace transform changes form frequency domain to time domain as given below.        )6...( 2 11     j j st dsesF j sFtf L   Vijaya Laxmi., Dept. of EEE, BIT, Mesra 9
  • 10.
    Theorems • Theorem 1:The Laplace transform of the sum of two functions is equal to the sum of the Laplace transforms of the individual functions. •           dtetftftftfL st    •                         )7...(21 21 0 2 0 1 0 2121 sFsF tftf dtetfdtetf dtetftftftf LL L stst st            Vijaya Laxmi., Dept. of EEE, BIT, Mesra 10
  • 11.
    • Theorem 2:The Laplace transform of a constant times a function is equal to the constant times the Laplace transform of the function.       dtetkftkf st L               )8...( 0 0 skFdtetfk dtetkftkf st L                )9...( , 22112211 sFksFktfktfk generalIn L  Vijaya Laxmi., Dept. of EEE, BIT, Mesra 11
  • 12.
    Laplace transform ofimportant functions • Exponential function:   at etf      dtedteee tasstatat L         )10...( 1 00 as    Vijaya Laxmi., Dept. of EEE, BIT, Mesra 12
  • 13.
    • Unit stepfunction:        otherwise tfor tU 0 01        )11...( 11 0 0 s e s dtetUtU stst L     0 ss    )12...( , s k tU Similarly L  Vijaya Laxmi., Dept. of EEE, BIT, Mesra 13
  • 14.
    • Sine andCosine function:       )13...( 11 2 1 2 1           jsjsj ee j tSin tjtj LL )13...(22   s       )14...( 11 2 1 2 1 22            s s jsjs eetCos tjtj LL Vijaya Laxmi., Dept. of EEE, BIT, Mesra 14
  • 15.
    • Hyperbolic Sineand Cosine function:     )16...( 2 1 )15....( 2 1 atat atat eeCoshat eeSinhat                )17...( 11 2 1 2 1 2 1 2 1 22 000 as a asas ee dteedteedteeeSinhat atat statstatstatat LL L                     )18...(, 22 as s CoshatSimilarly L   2 Vijaya Laxmi., Dept. of EEE, BIT, Mesra 15
  • 16.
    • Damped sineand cosine function:              11 2 1 2 1          jasjasj ee j tSine tjatjaat LL       )19...(22     as                 )20...( 11 2 1 2 1 , 22              as as jasjas eetCose Similarly tjatjaat LL Vijaya Laxmi., Dept. of EEE, BIT, Mesra 16
  • 17.
    • Damped hyperbolicsine and cosine function:                 )21...( 11 2 1 2 1 22 bas as basbas eeCoshbte tbatbaat LL           22 bas                  )22...( 11 2 1 2 1 , 22 bas b basbasj ee j Sinhbte Similarly tbatbaat LL        The results can also be obtained using shifting property. Vijaya Laxmi., Dept. of EEE, BIT, Mesra 17
  • 18.
    Problem • Find • Solution:       352 4 2 1 ss s L 2 3 5 1 6 2 1 3 4 352 4 s s ss s                  2/3 11 2 1 2 56 2 1 2 3 5 1 6 2 1 352 4 2 312 2 3 12 352 tt ee ssss s ss ss ss LLL                                                             Vijaya Laxmi., Dept. of EEE, BIT, Mesra 18
  • 19.
    2222 22 2 2 4 1 4 5 4 11 4 1 4 5 4 5 4 1 4 5 4 2 1 2 3 2 5 2 4 352 4 , ss s s s ss s ss s elyAlternativ                                                                                       2/3 4/4/4/4/ 4/5 4/54/5 22 1 22 1 2 1 56 2 1 2 11 22 1 4/114/ 2 1 4 1 4 5 4 1 11 4 1 4 5 4 5 2 1 352 4 tt tttt t tt ee eeee e tSinhetCoshe ss s ss s LLL                                                                                          Vijaya Laxmi., Dept. of EEE, BIT, Mesra 19
  • 20.
    • The Laplacetransform of e-at times a function is equal to the Laplace transform of that function, with s replaced by (s+a). • Proof:             )23...( 00 asF dtetfdtetfetfe tasstatat L        For damped sinusoid and hyperbolic functions also this can be used.For damped sinusoid and hyperbolic functions also this can be used.                 )24...( )24...(, , 22 22 2222                      as as asFtCoseand as asFtSineTherefore s s tCos s tSin at at L L LL         2222 ,, bas as Coshbte bas b Sinhbteand atat LL       Vijaya Laxmi., Dept. of EEE, BIT, Mesra 20
  • 21.
          0 dtettstnn L 1 , , ,        st stn st n s e dtevandntduThen dtedvand tupartsbygIntegratin                 1 0 11 0 1 0 1 0 0 0 0 |1|12 ..... 21 1                  nn nnstn stnst n n s n ss n t sss n s n s n t s n s n t s n dtet s n dtet s n e s t vduuvudvt s L LL L     ..., 2| , 1 , 3 2 2 s t s tHence LL  Vijaya Laxmi., Dept. of EEE, BIT, Mesra 21
  • 22.
       btSinAeat L       2222 bs sSin bs bCos A CosbtSinSinbtCosAbtASin LL                             22 2222 bas SinasbCos A bas Sinas bas bCos AbtSinAe asFtfeAs at at L L               Vijaya Laxmi., Dept. of EEE, BIT, Mesra 22
  • 23.
    • Shifting Theorem: •Proof:             )29...(, 0 00 sFettUttfThen sFtfIf st L L                dtettfdtettUttfttUttf t stst L 0 0 0 0000              sFedefe def stsst ts 00 0 0 0                                t ttits ddtttttand ttttf tt ttUttfwhere 0,lim ,,, ; ;0 , 0 00 00 0 00 Vijaya Laxmi., Dept. of EEE, BIT, Mesra 23
  • 24.
    • Therefore, thefour following functions are different:              00 0 0 0 )( )( )( )( ttUttfiv ttUtfiii tUttfii ttfi     00                            0000 00 00 00 )( )( )( )( , ttUttSinttUttfiv tttUSinttUtfiii tUttSintUttfii ttSinttfi thentSintfIf           Vijaya Laxmi., Dept. of EEE, BIT, Mesra 24
  • 25.
       22      s sFandtSintfIf     000)(      tSin s tCos ttSinCosttCosSinttSini LL 22 00 022022               s tsSintCos tSin s s tCos s Vijaya Laxmi., Dept. of EEE, BIT, Mesra 25
  • 26.
           00 00)(      tsSintCos ttSintUttSinii LL 22 00      s tsSintCos Vijaya Laxmi., Dept. of EEE, BIT, Mesra 26
  • 27.
                          0 0 00 0 2 1 ;1 ;0 ,;)(   dtee j tt tt ttUasdtteSintttUSiniii tjstjs t st L                              22 000 00 0 2 1 2     s tsSintCos e js e js e j dtee j st tjstjs t Vijaya Laxmi., Dept. of EEE, BIT, Mesra 27
  • 28.
                   22 00 0 0 sin)(    s e theoremshiftinggutSinettUttSiniii st st LL  s Vijaya Laxmi., Dept. of EEE, BIT, Mesra 28
  • 29.
    Differentiation theorem • Ifa function f(t) and its derivatives are both Laplace transformable, and if L[f(t)]=F(s), then • Proof:          0fssF dt tdf L         • Proof:           0 , dtetftfLsFdefinitionBy st     stst e s vdtedvand dt dt tdf dutfuLetpartsbygIntegratin          1 , ,, Vijaya Laxmi., Dept. of EEE, BIT, Mesra 29
  • 30.
                                  dt tdf ss f dte dt tdf s etf s sF vduuvudvHence Lstst 1011 , 00 0 0 0 It can be extended to higher order derivatives , when they are Laplace transformable.          0, fssF dt tdf Therefore L Laplace transformable.                                               0000 '2' 0 2 2 fsfsFsffssFs dt tdf dt tdf s dt tdf dt d dt tfd t LLL                                n k kknn nnnnn n n fssFs fsffsfssFs dt tfd generalIn L 1 1 1221 0 00...00,                0''0'0, 23 3 3 fsffssFs dt tfd Similarly L Vijaya Laxmi., Dept. of EEE, BIT, Mesra 30
  • 31.
    Integration theorem • TheLaplace transform of the first integral of a function f(t) with respect to time is the Laplace transform of f(t) divided by s, i.e., • Proof:     s sF dttf t L       0   • Proof:                    0 00 , dtedttfdttfdefinitionBy st tt L     stst t e s vdtedv dttfdudttfuLet     1 0 Vijaya Laxmi., Dept. of EEE, BIT, Mesra 31
  • 32.
              s sF tf s dtetf s dttf s e vduuvudvdttfpartsbygIntegratin L L st tst t                        1 00 1 , 000 0 0 00    t t t sF dtdtdttfgeneralIn n L       1 2 ,...,,...,     nn s sF dtdtdttfgeneralIn L           0 0 0 21 ,...,,..., Laplace transform of the indefinite integral of a function may be obtained as         01 0 fdttfdttf t             s f s sF fdttfdttfHence LLL t            0 0, 1 1 0 f-1(0+) is the value of integral of f(t) as t approaches to 0 from positive side. Vijaya Laxmi., Dept. of EEE, BIT, Mesra 32
  • 33.
    Multiplication by t •Differentiation by s in the complex frequency domain corresponds to multiplication by t in the time domain, i.e., • Proof:      ds sdF ttfL  • Proof:         ttfdtettfdte ds d tf ds sdF Lstst       00 Vijaya Laxmi., Dept. of EEE, BIT, Mesra 33
  • 34.
    Problem • If • Solution:    as sFetf at    1 ,  at teFind L  • Solution:    2 11 asasds d te at L          Vijaya Laxmi., Dept. of EEE, BIT, Mesra 34
  • 35.
    Problem • Find • Solution: tSintL 2          222 22 222 2 2 2 22 32 1                 s s sds d tSin ds d tSint LL Vijaya Laxmi., Dept. of EEE, BIT, Mesra 35
  • 36.
    Division by t               s dssF t tf thensFtfIf LL , Proof:               st dsdtetfdssF          ss dsdtetfdssF 0                        00 dt t e tfdtdsetf s st s st                      t tf dte t tf L st 0 Vijaya Laxmi., Dept. of EEE, BIT, Mesra 36
  • 37.
    Problem  dstSin t tSin s LL                 t tSin FindL  t s                              s ss ds s s s       111 22 tantan 2 tan Vijaya Laxmi., Dept. of EEE, BIT, Mesra 37
  • 38.
    Solution of lineardifferential equations   .)(tan10 012 2 functionexcitationtheisteandtsconsarebandbwhere tewb dt dw b dt wd  Taking Laplace transform of both sides       tewb dt dw b dt wd LLLL      01 2 2 Taking Laplace transform of both sides   )0()( wssW dt dw L  )0(')0()( 2 2 2 wswsWs dt wd L          )()()0()()0(')0()(, 01 2 sEsWbwssWbwswsWsHence  Vijaya Laxmi., Dept. of EEE, BIT, Mesra 38
  • 39.
       )0(')0()()( 101 2 wwbssEsWbsbs  Rearranging,    )1....()0(')0()( 1 )( 12 wwbssE bsbs sW       )1....()0(')0()()( 1 01 2 wwbssE bsbs sW    Taking inverse Laplace transform,               01 2 1 )0(')0()( )()( 11 bsbs wwbssE sWtw LL )()()( )1( 0 sEsHsW aswrittenbecanEquation  fnExcitationTotalXfnTransfertransformsponseor Re, Vijaya Laxmi., Dept. of EEE, BIT, Mesra 39
  • 40.
    • Transfer functionH(s) is the ratio of the transform of the output (response) of that of the input (excitation) and is equal to the reciprocal of the characteristic function. • Total excitation function E0(s) consists of the Laplace transform of the applied excitation, E(s) and contributions duetransform of the applied excitation, E(s) and contributions due to the initial conditions, which do not depend on the applied excitation. Vijaya Laxmi., Dept. of EEE, BIT, Mesra 40
  • 41.
    Initial value theorem •If the Laplace transform of f(t) is F(s), and the first derivative of f(t) is Laplace transformable, then the initial value of f(t) is • Proof:       ssFLimtfLimf st   0 0 If the time limit exists                       0 0 fssFdtetf dt d tf dt d st L Let s approaches ∞Let s approaches ∞                0 0 fssFLimdtetf dt d Lim s st s s is not a function of t. By hypothesis, df(t)/dt being Laplace transformable, the integral on the left side of the last equation exists. Therefore, it is allowable to let s->∞ before integra ng. Then, LHS vanishes and we have,          ssFLimfHence fssFLim s s     0, 00 It is used for determining the initial value of f(t) and its derivatives. Vijaya Laxmi., Dept. of EEE, BIT, Mesra 41
  • 42.
    Final value theorem •If the Laplace transform of f(t) is F(s), and if sF(s) is analytic on the imaginary axis and the right half of s-plane, then, • Proof:    ssFLimtfLim st 0                        0 0 fssFdtetf dt d tf dt d st L Let s approaches 0, thenLet s approaches 0, then                    0 0 0 0 0 fssFLimtfdtetf dt d Lim s st s               ssFLimtfLimHence fssFLimftfLimTherefore st st 0 0 , 00,     It is a very useful relation in the analysis and design of feedback control systems, since it gives the final value of a time function by determining the behaviour of its Laplace transform, when s tends to zero. However, this theorem is not valid if the denominator of sF(s) contains any zero whose real part is zero or positive, which is equivalent for analytic requirement of sF(s)Vijaya Laxmi., Dept. of EEE, BIT, Mesra 42
  • 43.
    Gate function • Arectangular pulse of unit height, starting at t=t1 and of duration T is known as gate function and represented as • Any function multiplied by a gate function will have zero value outside the duration of the gate, (t1+T)<t<t1, and the value of      TttUttUTGt  111  ttU outside the duration of the gate, (t1+T)<t<t1, and the value of the final function will be unaffected within the duration of the gate, t1+T<t<t1+T. • The equation of a gate function starting at the origin and of origin will be  1ttU       TtUtUTG 0          TsTs e s e ss TtUtUTGand LL   1 111 , 0 Vijaya Laxmi., Dept. of EEE, BIT, Mesra 43
  • 44.
    Problem: Sawtooth waveform •The sawtooth waveform can be represented as • Now,         TtUtUt T E TGt T E tf              0            TttU T E ttU T E TtUtUt T E tf LLLL                                   Ts TsTsTsTs eTs Ts E Tsee Ts E e s E e Ts E Ts E TtEUTtUTt T E Ts E TtU Ts E TTT LL TTt T E L               11 1 2 222 2 2 Vijaya Laxmi., Dept. of EEE, BIT, Mesra 44
  • 45.
    • Alternatively,               TtEUTtUTt T E ttU T E tftftftf   321 TT             Ts TsTs eTs Ts E e s E e Ts E Ts E tftftftf LL      11 321 2 22 Vijaya Laxmi., Dept. of EEE, BIT, Mesra 45
  • 46.
    Problem: single half-sinewave • The function can be represented as • Now,                                2 2 2/ 2 0 T tUtUt T ASinTGt T ASintf                                      2 22 T ttU T SinAttU T SinAtf LLL  22 , T tU TT tSin T ttUSinAs LL                                        2/ 22 /2 /2 22 2 22 2 2222 , Ts e Ts T T tU T t T Sin T tU T t T Sin tUt T SinttU T SinAs LL LL                                                            2/ 22 2/ 2222 1 /2 /2 /2 /2 /2 /2 , Ts Ts e Ts T A e Ts T A Ts T AtfTherefore L                Vijaya Laxmi., Dept. of EEE, BIT, Mesra 46
  • 47.
    • Alternatively,           2/2/ 22 21 TtUTt T ASintUt T ASin tftftf    TT                 2/ 22 2/ 2222 1 /2 /2 /2 /2 /2 /2 Ts Ts e Ts TA e Ts TA Ts TA tfL                Vijaya Laxmi., Dept. of EEE, BIT, Mesra 47
  • 48.
    Impulse function • Wehave         atUtU a Limtft a a   1 0           1 0   atUtU a LimtFt a a LL   1 ...!3/2/111 11 3322 0 0                   s sasaas a Lim s e sa Lim a a as a Vijaya Laxmi., Dept. of EEE, BIT, Mesra 48
  • 49.
    Periodic functions • TheLaplace transform of a periodic function with period T is equal to 1/(1-e-Ts) times the Laplace transform of the first cycle. • Proof: Let f(t) be a periodic function of time period T. Let f1(t), f2(t), … be the functions describing the first cycle, secondf2(t), … be the functions describing the first cycle, second cycle etc., then                   ...22 ... 111 321   TtUTtfTtUTtftf tftftftf         sF e sFeeetfL Ts TsTsTs 1 1 32 1 1 ...1            Vijaya Laxmi., Dept. of EEE, BIT, Mesra 49
  • 50.
    Problem • Determine theLaplace transform of the periodic, rectified half-wave as shown Vijaya Laxmi., Dept. of EEE, BIT, Mesra 50
  • 51.
    Solution • The Laplacetransform of single half-wave is        2/ 2 2 1 1 2 2 Ts e T s T A sF                                  2 2 2/2 22/2/ 2/ 2 2 2/ 2 2 1 1 211 21 2 2 1 1 , T s T A e T see T Ae T s T A e e tfsFThen Ts TsTs Ts Ts Ts L                             Vijaya Laxmi., Dept. of EEE, BIT, Mesra 51
  • 52.
    Problem • Determine theLaplace transform of the periodic saw-tooth waveform as shown Vijaya Laxmi., Dept. of EEE, BIT, Mesra 52
  • 53.
    Solution • The Laplacetransform of waveform for first period is • Hence,               TsTs ee T Ts A tfsF L 1 2 1 1 2 2 11 • Hence,                                    s Ts Coth T Ts A se eT Ts A e sF tfsF Ts Ts Ts L 1 22 2 1 1 1 2 2 1 1 Vijaya Laxmi., Dept. of EEE, BIT, Mesra 53
  • 54.
    Problem • Determine theLaplace transform of the waveform f(t) as shown Vijaya Laxmi., Dept. of EEE, BIT, Mesra 54
  • 55.
    Solution • The functionf(t) can be written as the sum of step function as • Then,            52442413  tUtUtUtUtUtf • Then,    ssss ssss eeee s s e s e s e s e s sF 542 542 24431 1 24431     Vijaya Laxmi., Dept. of EEE, BIT, Mesra 55
  • 56.
    Problem • The firstderivative of a function f(t) is shown in Fig. by the impulse train. Determine the Laplace transform of the function f(t). Vijaya Laxmi., Dept. of EEE, BIT, Mesra 56
  • 57.
    Solution • Since, theabove quantities are impulses, the Laplace transform will be     sssssssss eeeeeeeee dt tdf sF L 98765432 '          eeeeeeeee              s sF sFei fgassussF dt tdf sFLet L ' .,. 00min,'                                  987654321, ' , 11          tUtUtUtUtUtUtUtUtUtfTherefore s sF sFtfHence LL Vijaya Laxmi., Dept. of EEE, BIT, Mesra 57
  • 58.
    Problem • Given apulse f(t), find the transform F(s). Find L-1[F2(s)] to get the triangular waveform as shown in Fig. Vijaya Laxmi., Dept. of EEE, BIT, Mesra 58
  • 59.
    Solution • The squarewave can be represented as • Squaring F(s), we get          as e s sFThen atUtUtf    1 1 ,                       atUatatUatttUsFLtf ttU s As ee s e s sF L asasas 222 1 , 21 1 1 1 21 1 2 1 2 2 2 2 2          Vijaya Laxmi., Dept. of EEE, BIT, Mesra 59
  • 60.
    Problem • Find theLaplace transform of triangular wave. Vijaya Laxmi., Dept. of EEE, BIT, Mesra 60
  • 61.
    Solution • The triangularwaveform can be represented as              212 10 00 tfort tfort tfor tf     20 tfor         2 2 2 1 1 00 21 2 s ee dtetdttedtetftfsF ss ststst L         Vijaya Laxmi., Dept. of EEE, BIT, Mesra 61
  • 62.
    Applications of Laplacetransform Laplace transform can be used as mathematical tools for determining the system response, subject to arbitrary input functions. The steps involved are:  The system must be represented in terms of differential or integro-differential equation form.integro-differential equation form.  Take LT of the system differential or integro-differential equation together with input excitation to obtain an algebraic equation in s, i.e., frequency domain.  Obtain the inverse LT to get the solution in time domain. Vijaya Laxmi., Dept. of EEE, BIT, Mesra 62
  • 63.
    Solution of lineardifferential equation • Let a second order differential equation be   )1...(012 2 tuya dt dy a dt yd  Where a1, a0 are constants and u(t) is the given excitation function          tusUandtysYLet LL  Taking Laplace transform on both sidesTaking Laplace transform on both sides                                                   )3...( 00 , )2...(00 1 , 00, 000 01 2 . 111 . 1 01 2 . 101 2 01 . 2 asas yyassU sYtyor yyassU asas sYor yyassUsYasasor sUsYayssYaysysYs LL              Hence, the solution not only depends on the characteristic roots but also on the Excitation function and initial conditions. Vijaya Laxmi., Dept. of EEE, BIT, Mesra 63
  • 64.
    • Equation (2)can be rewritten as       )4...(sUsHsY     transformexcitationTotalfunctionTransfertransformsponse Re    tyoftransformLaplacetheissYWhere,        conditionsinitialtodue onscontributiandtuLofconsistssUtransformexcitationTotal inputoftransformLaplace outputoftransformLaplace sHfunctionTransfer zerobetoconditionsinitialAll , ,  Vijaya Laxmi., Dept. of EEE, BIT, Mesra 64
  • 65.
    Heaviside partial fractionexpansion • The Laplace transformation is used to determine the solution of integro-differential equation. The general form of differential equation • As a result of Laplace transform, transformed into an algebraic equation in s which may be rearranged as  tuxa dt dx a dt xd a dt xd a nnn n n n    11 1 10 ... equation in s which may be rearranged as         nn nnn asasasasa termsconditioninitialsU sq sp sX      1 2 2 1 10 ... Q(s)=0 is called the characteristic equation and the zeros of denominator polynomial q(s) are roots. x(t) is the inverse Laplace transform X(s), which is the ratio of two polynomials. It becomes of a complex nature for which no direct Laplace transform is available. In general, the transform expression X(s) must be broken into simpler terms before any direct transform can be used.        sq sp sBsBsBB sq sp Then nmifgeneralIn nm nm    ..., , 2 110 1 The degree of p(s) is lesser Or equal to that of q(s) Vijaya Laxmi., Dept. of EEE, BIT, Mesra 65
  • 66.
    PFE: Simple zerosof q(s) • If all the zeros of q(s) are simple,               n sss n ss K ss K ss K ssssssss sp sq sp sX n         ... ... 21 321 21                   11211 1 1 ... , , 1 1 ssssss sp sq sp ssKso sq sp ssKwhere nss s ss js j j                   Vijaya Laxmi., Dept. of EEE, BIT, Mesra 66
  • 67.
    Example • We have     321 35    sss s sX   321 3211        s K s K s K sX 321  sss                  3 6 2 7 1 1 , 63 72 11 33 22 11              sss sXhence sXsK sXsK sXsK s s s Vijaya Laxmi., Dept. of EEE, BIT, Mesra 67
  • 68.
    PFE: Multiple zerosof q(s) • If r of the n zeros of q(s) are alike, the function X(s) becomes,                                 ss A ss A ss A ss K ss K ss K ssssssss sp sq sp sX r i i i i i i n sss nn rn ........................ ... 2 21 121 2121       zerosrepeatedoftermsrzerossimpleoftermsrn ssssssssssss iiin )( 21                               ii ii ss r ir r i ss r iri ss r iri ss r iir sq sp ss ds d r A sq sp ss ds d A sq sp ss ds d A sq sp ssA                                     1 1 12 2 2 1 !1 1 ,..., !2 1 , Vijaya Laxmi., Dept. of EEE, BIT, Mesra 68
  • 69.
    Example • Let, • Then,         21 1 3   ssssq sp sX          3 13 2 121120 1112          s A s A s A s K s K sX    2 1 00  sssXK                        11 !2 1 01 11 2 1 2 2 1 3 2 2 11 1 3 12 1 3 13 21 00          s s s s s sXs ds d A sXs ds d A sXsA sXsK      3 1 1 1 1 22 1 2 1       ssss sX Vijaya Laxmi., Dept. of EEE, BIT, Mesra 69
  • 70.
    PFE: Complex conjugatezeros • Suppose q(s) contains a pair of complex zeros, • Since these zeros are distinct , the corresponding coefficients are  jsandjs  21 are       1112 1 1 ** 1 ssss ss s KofconjugatecomplexisKwhereKKand sq sp ssK          Vijaya Laxmi., Dept. of EEE, BIT, Mesra 70
  • 71.
    Example • Consider, • Then,  84 1 2   ss sX            * 1 * 1 1 1 2222 2222 1 22 1 444 1 84 1 ss K ss K jsjs jsssss sX             • Therefore,    112222 ssssjsjs      4/4/ 22,22, * 111 * 11 1 jKandjsXssK jsjswhere ss              tSin e e j e j js j js j sXtx js j js j sX t tjtj LLL 2 2 44 22 4/ 22 4/ 22 4/ 22 4/ 2 2222 111                             Vijaya Laxmi., Dept. of EEE, BIT, Mesra 71
  • 72.
    • Alternatively,                     sss sX att 12 222 22 2 2 1 84 1                Sinate as LAstSinetx att 22 12 25.0   Vijaya Laxmi., Dept. of EEE, BIT, Mesra 72
  • 73.
    Problem • Solve • TakingLaplace transform, • Substituting the values,     10,00,0672 ....  xxxxx             0607702022 . 2  sXxssXxsxsXs • Substituting the values,      tt ee ssss sXtx LLL 25.1 1 2 11 2 1 2 1 5.1 1 2 1 672 2              Vijaya Laxmi., Dept. of EEE, BIT, Mesra 73
  • 74.
    Problem • Solve, • TakingLaplace transform, • Substituting the values,     30,00063 ....  xxwithxxx             0603300 . 2  sXxssXxsxsXs • Substituting the values,                       tSinetxhence sss sX t 2 2/15 5 32 , 2/155.1 2/15 5 32 63 3 5.1 222 Vijaya Laxmi., Dept. of EEE, BIT, Mesra 74
  • 75.
    Problem • Given theset of simultaneous equations, with all initial condition as zero, find x1(t) and x2(t). • Taking Laplace transform,    txxxxand tUxxxx 53 5742 22 . 1 . 1 22 . 1 . 1   • Taking Laplace transform, • Using Cramer’s rule,                         5 /5 31 742 1 1 s sX sX ss ss                                    22222 2 2 1 21 2 14 21 183 52 3683 52 15305 35 7/51 ss s sss s s sss ss s ss sX   tSinetCosetx tt 2142831   Vijaya Laxmi., Dept. of EEE, BIT, Mesra 75
  • 76.
    • Similarly,                                              222222 22 21 2 3 21 1 11 1 21 231111 52 17111 51 /5421 ss s ss s s ss s ss ss sX                       222222 212121 sssss    tSinetCosetx tt 2321112   Vijaya Laxmi., Dept. of EEE, BIT, Mesra 76
  • 77.
    Kirchoff’s Laws • Resistiveelement:                sV R sItv R tiKCL sRIsVtRitvKVL RRRR RRRR               11 : : Vijaya Laxmi., Dept. of EEE, BIT, Mesra 77
  • 78.
    • Capacitive element:        dt dv CtiKCL vdtti C tvKVL c c c t cc    : 0 1 : 0               0: 01 : , ccc c cc CvssCVsIKCL s v sI sC sVKVL LTTaking Vijaya Laxmi., Dept. of EEE, BIT, Mesra 78
  • 79.
    • Inductive element:          0 1 : : 0 L t LL L L idttv L tiKCL dt di LtvKVL             s i sL sV sIKCL LissLIsVKVL LTTaking LL L LLc    0 : 0: , Vijaya Laxmi., Dept. of EEE, BIT, Mesra 79
  • 80.
    • Other elements:  di M di Ltv 21  ,LTTaking    dt di M dt di Ltv dt di M dt di Ltv 12 22 21 11                        00 00 , 1122222 2211111 MissMIiLsIsLsV MissMIiLsIsLsV LTTaking                                    00 00 1222 2111 1 1 2 1 MiiLsV MiiLsV sI sI sLsM sMsL Vijaya Laxmi., Dept. of EEE, BIT, Mesra 80
  • 81.
    Problem • Consider thecircuit shown in the figure. The switch is thrown from position 1 to 2 at time t=0. Just before the switch is thrown, the initial conditions are iL(0+)=2A, vc(0+)=2V. Find the current i(t) after the switch thrown. Assume L=1H, R=3Ω, C=0.5F, V1=5V.C=0.5F, V1=5V. Vijaya Laxmi., Dept. of EEE, BIT, Mesra 81
  • 82.
    Solution • At t>0,by KVL,               ss v Cs sI LisLsIsRILTTaking Vvidt Cdt di LRi c c t 50 0, 0 1 1 0       • Therefore,         ss sI s s s v Li s sI Cs LSR ssCs c 2 2 52 3 0 0 51                      tt ee ssss s sIti LLLL 2 1111 2 1 1 1 21 32           Vijaya Laxmi., Dept. of EEE, BIT, Mesra 82
  • 83.
    Problem • Consider thecircuit shown in the figure. The switch is opened at time t=0. Find the node voltages. The initial conditions are iL(0+)=1A, vc(0+)=1V. Assume L=0.5H, G=1 mho, C=1F, V=1V. Vijaya Laxmi., Dept. of EEE, BIT, Mesra 83
  • 84.
    Solution • The transformedcircuit for t>0 is shown. The node equations can be written as,                      s i CvsCsV sL sVsVor s i CvsIsINode L c L cba       0 0 1 , 0 0:1 121                s i GsV sL sVsVor s i sIsINode L L ca     01 , 0 :2 212           s i sI s i CvsILet LL c    0 , 0 0, 21                      int 11 2 11 1 , 11 11 2 1 2 1 2 2 1 1 1 1 2 1 2 1 SCoste s s sVtv Coste s s sVtvSolving sI sI sV sV sL G sL sLsL sC t t LL LL                                   Vijaya Laxmi., Dept. of EEE, BIT, Mesra 84
  • 85.
    Problem • Derive theexpression of i(t) in the circuit shown in figure using Laplace transform. Vijaya Laxmi., Dept. of EEE, BIT, Mesra 85
  • 86.
    Solution • Applying KVLin the circuit, in time domain, • Taking LT,    tvvidt Cdt di LRi c t    0 1 0                  v LisV sV s v sI sC LissLIsRI c c L 0 0 01 0               sC sLR s v LisV sI c L 1 0 0                           tUee ssL ti LCL R L R swhere ssss L LCsLRs L sI ssVtvvigAssu tsts cL 21 21 2 2,1 21 2 1 1 22 , /1 /1/ /1 /1,1)(,000,min                  Vijaya Laxmi., Dept. of EEE, BIT, Mesra 86