SUBMITTED BY : Nishant Narvekar
ENROLLMENT NO : 170410119061
BRANCH : SY MECH-1
IRREVERSIBILTY, GOUY-STODOLA THEOREM
AND ITS APPLICATION, SECOND LAW EFFICIENCY
IRREVERSIBILITY
Gouy-stodala Theorem:
The rate of loss of exergy (available
energy) in a process is proportional to the
rate to the rate of entropy generation.
I = Wlost = T0 (∆Suniverse) = T0Sgen
Gouy-stodala Theorem:
The rate of loss of exergy (available
energy) in a process is proportional to the
rate to the rate of entropy generation.
I = Wlost = T0 (∆Suniverse) = T0Sgen
APPLICATIONOF GOUY – STODOLA EQUATION
1. Heat Transfer through a Finite Temperature Difference. If heat
transfer Ǭ occurs from the hot reservoir at temperature T1 to the cold
reservoir at temperature T2 (Fig 8.14a).
If heat transfer Ǭ from T1 to T2 takes place through a reversible engine
E, the entire work output Ŵ is dissipated in the brake, from which an equal
amount of heat is rejected to the reservoir at T2 (Fig 8.14b). Heat transfer
through a finite temperature difference is equivalent to the destruction of its
availability.
APPLICATIONOF GOUY – STODOLA EQUATION
2. Flow of friction. Let us consider the steady and adiabatic flow of an
ideal gas through the segment of a pipe (Fig 8.15a).
By the first law,
h1 = h2
and by the second law,
Tds = dh - vdp
The decrease in availability or lost work is proportional to the
pressure drop (∆p) and the mass flow rate (ṁ). It is shown on the right
(Fig 8.15b) by the Grassmann diagram, the width being proportional to the
availability (or exergy) of the stream. It is an adaptation of the Sankey
diagram used for energy transfer in a plant.
APPLICATIONOF GOUY – STODOLA EQUATION
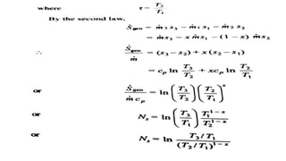
3. Mixing of Two Fluids. Two streams 1 and 2 of an incompressible fluid
or an ideal gas mix adiabatically at constant pressure (Fig 8.16).
Here, ṁ1 + ṁ2 = ṁ3 = ṁ(say)
Let x = ṁ1
ṁ1 + ṁ2
Both heat engines have the same thermal
efficiency. Are they doing equally well?
• Because B has a higher TH,
it should be able to do
better.
• Hence, it has a higher
maximum (reversible)
efficiency.
SECONDLAWEFFICIENCY
The second law efficiency is a measure of the
performance of a device relative to what its
maximum performance could be
(under reversible conditions).
For heat engine B, ηII = 30%/70% = 43%
The second law efficiency is 100 percent for all
reversible devices.
Second Law Efficiencies
• For heat engines = ηth/ηth,rev
• For work - producing devices = Wu/Wrev
• For work – consuming devices = Wrev/Wu
• For refrigerators and heat pumps =
COP/COPrev
• Wrev should be determined using the same
initial and final states as actual.
• And for general processes =
Exergy recovered/Exergy supplied =
1 – Exergy destroyed/Exergy supplied
THANKYOU

Irreversibilty

  • 1.
    SUBMITTED BY :Nishant Narvekar ENROLLMENT NO : 170410119061 BRANCH : SY MECH-1 IRREVERSIBILTY, GOUY-STODOLA THEOREM AND ITS APPLICATION, SECOND LAW EFFICIENCY
  • 2.
  • 3.
    Gouy-stodala Theorem: The rateof loss of exergy (available energy) in a process is proportional to the rate to the rate of entropy generation. I = Wlost = T0 (∆Suniverse) = T0Sgen
  • 4.
    Gouy-stodala Theorem: The rateof loss of exergy (available energy) in a process is proportional to the rate to the rate of entropy generation. I = Wlost = T0 (∆Suniverse) = T0Sgen
  • 5.
    APPLICATIONOF GOUY –STODOLA EQUATION 1. Heat Transfer through a Finite Temperature Difference. If heat transfer Ǭ occurs from the hot reservoir at temperature T1 to the cold reservoir at temperature T2 (Fig 8.14a).
  • 6.
    If heat transferǬ from T1 to T2 takes place through a reversible engine E, the entire work output Ŵ is dissipated in the brake, from which an equal amount of heat is rejected to the reservoir at T2 (Fig 8.14b). Heat transfer through a finite temperature difference is equivalent to the destruction of its availability.
  • 7.
    APPLICATIONOF GOUY –STODOLA EQUATION 2. Flow of friction. Let us consider the steady and adiabatic flow of an ideal gas through the segment of a pipe (Fig 8.15a). By the first law, h1 = h2 and by the second law, Tds = dh - vdp
  • 9.
    The decrease inavailability or lost work is proportional to the pressure drop (∆p) and the mass flow rate (ṁ). It is shown on the right (Fig 8.15b) by the Grassmann diagram, the width being proportional to the availability (or exergy) of the stream. It is an adaptation of the Sankey diagram used for energy transfer in a plant.
  • 10.
    APPLICATIONOF GOUY –STODOLA EQUATION 3. Mixing of Two Fluids. Two streams 1 and 2 of an incompressible fluid or an ideal gas mix adiabatically at constant pressure (Fig 8.16). Here, ṁ1 + ṁ2 = ṁ3 = ṁ(say) Let x = ṁ1 ṁ1 + ṁ2
  • 14.
    Both heat engineshave the same thermal efficiency. Are they doing equally well? • Because B has a higher TH, it should be able to do better. • Hence, it has a higher maximum (reversible) efficiency. SECONDLAWEFFICIENCY
  • 15.
    The second lawefficiency is a measure of the performance of a device relative to what its maximum performance could be (under reversible conditions). For heat engine B, ηII = 30%/70% = 43%
  • 16.
    The second lawefficiency is 100 percent for all reversible devices.
  • 17.
    Second Law Efficiencies •For heat engines = ηth/ηth,rev • For work - producing devices = Wu/Wrev • For work – consuming devices = Wrev/Wu • For refrigerators and heat pumps = COP/COPrev • Wrev should be determined using the same initial and final states as actual. • And for general processes = Exergy recovered/Exergy supplied = 1 – Exergy destroyed/Exergy supplied
  • 18.