T H E R M O D Y N A M I C S
BY
C H . S R AVA N T H I
A S S I S TA N T P R O C E S S O R
M E C H A N I C A L E N G I N E E R I N G
D E P A R T M E N T
J B I E T
UNIT 2
Lesson 1: (2 periods)
•Limitations of the First Law
•Thermal Reservoir
•Heat Engine
•Heat pump
•Parameters of performance
LIMITATIONS OF THE FIRST LAW
• Feasibility of a process
can the rod at lower temperature will get hot by it’s own
• Direction of flow of energy
Higher temperature to lower Temperature
Or
Lower temperature to higher temperature
THERMAL RESERVOIR
HEAT ENGINE
HEAT PUMP
REFRIGERATOR
PARAMETERS OF PERFORMANCE
• Coefficient of performance
Lesson 2 : (2 periods)
•Second Law of Thermodynamics,
•Kelvin-Planck and Clausius Statements and their
Equivalence / Corollaries,
•PMM of Second kind
KELVIN – PLANCK STATEMENT OF
SECOND LAW
•It is impossible for a heat engine to
produce net work in a complete cycle if
it exchanges heat only with bodies at a
single fixed temperature.
CLAUSIUS STATEMENT OF SECOND
LAW
•It is impossible to construct a device which
operating in a cycle will produce no effect
other than the transfer of heat from cooler
to a hotter body.
PERPETUAL MOTION MACHINE OF
SECOND KIND - PMM2
•If the heat engine produces net work in a
complete cycle by exchanging heat with only
one reservoir, thus violating Kelvin – Plank
statement. Such a heat engine is called
perpetual motion machine of second kind,
abbreviated to PMM2.
EQUIVALENCE OF KELVIN – PLANCK
AND CLAUSIUS STATEMENT
Lesson 3 : (2 periods)
• Carnot’s principle
• Carnot cycle and its specialties
• Thermodynamic scale of Temperature
• Elementary Treatment of the Third Law of
Thermodynamics
CARNOT CYCLE AND ITS SPECIALTIES
•A reversible cycle is an ideal hypothetical
cycle in which all the processes constituting
the cycle are reversible.
• Carnot cycle is a reversible cycle.
REVERSED CARNOT HEAT ENGINE
CARNOT’S PRINCIPLE
•It states that of all heat engines operating
between a given constant temperature
source and a given constant temperature
sink, none has a higher efficiency than a
reversible engine.
COROLLARY OF CARNOT’S PRINCIPLE
•Efficiency of all reversible heat engines
operating between same temperature levels is
the same.
•The efficiency of a reversible engine is
independent of the nature of nature or amount
of the working substance undergoing the cycle.
ABSOLUTE THERMODYNAMIC SCALE OF
TEMPERATURE
ELEMENTARY TREATMENT OF THE
THIRD LAW OF THERMODYNAMICS
•It is impossible by any procedure, no
matter how idealised, to reduce any system
to absolute zero of temperature in a finite
number of operations.
EFFICIENCY OF A REVERSIBLE HEAT
ENGINE
ASSIGNMENT QUESTIONS FROM LESSON 1,2,3 OF UNIT 2
Lesson 4 : (4 periods)
•Entropy
•Clausius Inequality
•Principle of Entropy Increase or Entropy
Principle
TWO REVERSIBLE ADIABATIC PATHS
CAN NOT INTERSECT EACH OTHER
• Reversible processes AB, BC,
CA
• AC, BC reversible adiabatics
• AB reversible isotherm
• Reversible cycle ABCA
• Impossible cycle
• Exchanging heat with single
thermal reservoir
• Violation of kelvin planck
statement
• Two constant property lines
can never intersect
CLAUSIUS’ THEORM
• Reversible path i-f
• Reversible adiabatics i-
a, b-f
• Reversible isotherm a-
b
• Area i-a-b-f = Area i-f
• Reversible path =
adiabatIc + isotherm +
adiabatIc
• Heat transferred in
isothermal process a-b
= Heat transferred in
original path i-f
• Reversible cycle
• Divided in to large number of srtips by adiabatics
• Each strip is Closed at tip and bottom by reversible isotherm
• Heat transfer through all the isothermal = Heat transfer
through original cycle
• Original cycle is replaced with large number of carnot cycles
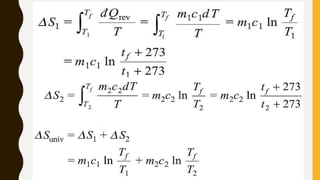
• The cyclic integral of dQ/T for a reversible cycle is equal to
zero. This is known as clausius theorm.
THE PROPERTY OF ENTROPY
TEMPERATURE ENTROPY PLOT
CLAUSIUS INEQUALITY
ENTROPY
CHANGE IN AN
IRREVERSIBLE
PROCESS
ENTROPY PRINCIPLE
• Entropy of an isolated system can never decrease
• It always increases and remains constant only when process is
reversible
• This is known as Principle of increase of entropy or the entropy
principle
• The energy of the world (universe) is constant
• The entropy of the world tends towards maximum
• The entropy increase of an isolated system is a measure of the
extent of irreversibility of the process undergone by the system.
• The entropy of an isolated system always increases and becomes a
maximum at the state of equilibrium
APPLICATIONS OF ENTROPY
PRINCIPLE
• Transfer of Heat through a Finite Temperature Difference
• Mixing of Two Fluids
• Maximum Work Obtainable from Two Finite Bodies at Temperatures T1
and T2
• Maximum Work Obtainable from a Finite Body and a TER
• Processes Exhibiting External Mechanical Irreversibility
a) Isothermal Dissipation of Work
b)Adiabatic Dissipation of Work
TRANSFER OF HEAT THROUGH A
FINITE TEMPERATURE DIFFERENCE
• If T1 > T2, The process is irreversible and possible.
• If T1 = T2, The process is reversible.
• If T1 < T2, The process is impossible.
MIXING OF TWO FLUIDS
MAXIMUM WORK OBTAINABLE FROM
TWO FINITE BODIES AT TEMPERATURES
T1 AND T2
• The working fluid
operating in the
heat engine cycle
does not undergo
any entropy change.
MAXIMUM WORK OBTAINABLE FROM
A FINITE BODY AND A TER
PROCESSES EXHIBITING EXTERNAL
MECHANICAL IRREVERSIBILITY
a) Isothermal Dissipation of Work
• b)Adiabatic Dissipation of Work
ENTROPY TRANSFER WITH HEAT
FLOW
• There is entropy
transfer from the
system to
surroundings along
with heat flow
• Flow of disorder along
with heat
• No entropy
transfer
associated
with work
ENTROPY GENERATION IN A CLOSED
SYSTEM
• By heat
interaction in
which there
is entropy
transfer
• By internal
irreversibility
or dissipative
effects in
which work
or K.E is
dissipated
into internal
energy
increase
ENTROPY GENERATION IN AN OPEN
SYSTEM
FIRST AND SECOND LAWS COMBINED
REVERSIBLE
ADIABATIC
WORK IN A
STEADY FLOW
SYSTEM
ENTROPY AND DIRECTION: THE SECOND
LAW - A
DIRECTIONAL LAW OF NATURE
•A process always occurs in such
a direction as to cause an
increase in the entropy of
universe.
ENTROPY AND DISORDER
• The entropy of a system is a
measure of the degree of
molecular disorder editing in
system.
ABSOLUTE ENTROPY
•Always entropy change is calculate.
•If absolute entropy value is
required, then assign zero value to
entropy at an arbitrarily chiken
stardard state.
POSTULATORY THERMODYNAMICS
•Postulate I - Defines the equilibrium state
•Postulate II - Introduces the property entropy
which renders maximum at the final
equilibrium state
•Postulate III - Refers to additive nature of
entropy
•Postulate IV - Mentions that the entropy of any
system vanishes at the absolute zero of
ASSIGNMENT QUESTIONS FROM LESSON 4 OF UNIT 2
LESSON 5 : (4 PERIODS)
•Energy Equation
•Availability and Irreversibility
•Thermodynamic Potentials
•Gibbs and Helmholtz Functions
•Maxwell Relations
AVAILABLE ENERGY
•According to second law of thermodynamics
low grade energy can not be completely
converted into high grade energy.
•Part of low grade energy which is available for
conversion is known as available energy.
•Part of available energy which must be rejected
is called unavailable energy.
AVAILABLE ENERGY REFERRED TO A
CYCLE
• Maximum workoutput obtainable from a certain heat
input in a cyclic heat engine is called the available
energy (A.E) or exergy
• Minimum energy that has to be rejected to the sink by
second law of thermodynamics is called the
unavailable energy (U. E) or anergy
DECREASE IN
AVAILABLE
ENERGY WHEN
HEAT IS
TRANSFERRED
THROUGH A
FINITE
TEMPERATURE
DIFFERENCE
AVAILABLE ENERGY FROM A FINITE
ENERGY SOURCE
QUALITY OF ENERGY
• Heat loss of 1 kJ, at, say, 1000° C is
more harmful than the same heat
loss of 1kJ at, say, 100° C
• Available energy or exergy of fluid at a higher temperature T1
is more than that at a lower temperature T2, and decrease as
the temperature decreases.
LAW OF DEGRADATION OF ENERGY
•First law states that energy is conserved
quantitywise. It is also called as law of
conservation of energy.
•The second law emphasizes that energy always
degrades qualitywise. It is also called as law of
degradation of energy.
•Energy is always conserved but it’s quality is
always degraded.
MAXIMUM WORK IN A REVERSIBLE
PROCESS
WORK DONE IN ALL REVERSIBLE
PROCESSES IS THE SAME
• Two reversible processes must
coincide and produce equal amount
of work
• There will be only one reversible path
between two end states
REVERSIBL
E WORK BY
AN OPEN
SYSTEM
EXCHANGIN
G
HEAT ONLY
WITH THE
SURROUND
INGS
• For
maximum
work the
process must
be entirely
reversible
REVERSI
BLE
WORK IN
A
STEADY
FLOW
PROCESS
REVERS
IBLE
WORK
IN A
CLOSED
SYSTE
M
USEFUL WORK
•The useful work is defined as the actual work
delivered by the system less the work
performed on the atmosphere
•All of the work W of the system would not
available for delivery, since a certain portion of
it would be spent in pushing out the
atmosphere.
MAXIMUM
USEFUL WORK
OBTAINABLE
WHEN THE
SYSTEM
EXCHANGES
HEAT WITH A
THERMAL
RESERVOIR IN
ADDITION TO
THE
ATMOSPHERE
DEAD STATE
AVAILABILITY
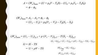
•The availability (A) of a given system is
defined as the maximum useful work
obtainable in process in which the system
comes to equilibrium with its surroundings.
AVAILABILITY IN A STEADY FLOW
PROCESS
AVAILABILITY IN A NONFLOW PROCESS
AVAILABILITY IN CHEMICAL
REACTIONS
IRREVERS
IBILITY
AND
GOUY-
STODOLA
THEOREM
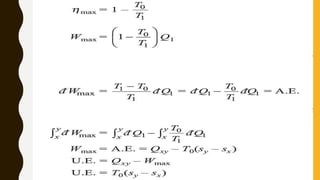
APPLICATION OF GOUY-STODOLA
EQUATION
(a) Heat Transfer through a Finite
Temperature Difference
(b) Flow with Friction
(c) Mixing of Two Fluids
SECOND
LAW
EFFICIEN
CY
Second law of thermodynamics
Second law of thermodynamics
Second law of thermodynamics

Second law of thermodynamics

  • 1.
    T H ER M O D Y N A M I C S BY C H . S R AVA N T H I A S S I S TA N T P R O C E S S O R M E C H A N I C A L E N G I N E E R I N G D E P A R T M E N T J B I E T
  • 2.
    UNIT 2 Lesson 1:(2 periods) •Limitations of the First Law •Thermal Reservoir •Heat Engine •Heat pump •Parameters of performance
  • 3.
    LIMITATIONS OF THEFIRST LAW • Feasibility of a process can the rod at lower temperature will get hot by it’s own • Direction of flow of energy Higher temperature to lower Temperature Or Lower temperature to higher temperature
  • 5.
  • 6.
  • 8.
  • 9.
  • 10.
    PARAMETERS OF PERFORMANCE •Coefficient of performance
  • 11.
    Lesson 2 :(2 periods) •Second Law of Thermodynamics, •Kelvin-Planck and Clausius Statements and their Equivalence / Corollaries, •PMM of Second kind
  • 12.
    KELVIN – PLANCKSTATEMENT OF SECOND LAW •It is impossible for a heat engine to produce net work in a complete cycle if it exchanges heat only with bodies at a single fixed temperature.
  • 13.
    CLAUSIUS STATEMENT OFSECOND LAW •It is impossible to construct a device which operating in a cycle will produce no effect other than the transfer of heat from cooler to a hotter body.
  • 14.
    PERPETUAL MOTION MACHINEOF SECOND KIND - PMM2 •If the heat engine produces net work in a complete cycle by exchanging heat with only one reservoir, thus violating Kelvin – Plank statement. Such a heat engine is called perpetual motion machine of second kind, abbreviated to PMM2.
  • 16.
    EQUIVALENCE OF KELVIN– PLANCK AND CLAUSIUS STATEMENT
  • 18.
    Lesson 3 :(2 periods) • Carnot’s principle • Carnot cycle and its specialties • Thermodynamic scale of Temperature • Elementary Treatment of the Third Law of Thermodynamics
  • 19.
    CARNOT CYCLE ANDITS SPECIALTIES •A reversible cycle is an ideal hypothetical cycle in which all the processes constituting the cycle are reversible. • Carnot cycle is a reversible cycle.
  • 22.
  • 23.
    CARNOT’S PRINCIPLE •It statesthat of all heat engines operating between a given constant temperature source and a given constant temperature sink, none has a higher efficiency than a reversible engine.
  • 26.
    COROLLARY OF CARNOT’SPRINCIPLE •Efficiency of all reversible heat engines operating between same temperature levels is the same. •The efficiency of a reversible engine is independent of the nature of nature or amount of the working substance undergoing the cycle.
  • 27.
  • 32.
    ELEMENTARY TREATMENT OFTHE THIRD LAW OF THERMODYNAMICS •It is impossible by any procedure, no matter how idealised, to reduce any system to absolute zero of temperature in a finite number of operations.
  • 33.
    EFFICIENCY OF AREVERSIBLE HEAT ENGINE
  • 35.
    ASSIGNMENT QUESTIONS FROMLESSON 1,2,3 OF UNIT 2
  • 37.
    Lesson 4 :(4 periods) •Entropy •Clausius Inequality •Principle of Entropy Increase or Entropy Principle
  • 38.
    TWO REVERSIBLE ADIABATICPATHS CAN NOT INTERSECT EACH OTHER • Reversible processes AB, BC, CA • AC, BC reversible adiabatics • AB reversible isotherm • Reversible cycle ABCA • Impossible cycle • Exchanging heat with single thermal reservoir • Violation of kelvin planck statement • Two constant property lines can never intersect
  • 39.
    CLAUSIUS’ THEORM • Reversiblepath i-f • Reversible adiabatics i- a, b-f • Reversible isotherm a- b • Area i-a-b-f = Area i-f • Reversible path = adiabatIc + isotherm + adiabatIc • Heat transferred in isothermal process a-b = Heat transferred in original path i-f
  • 41.
    • Reversible cycle •Divided in to large number of srtips by adiabatics • Each strip is Closed at tip and bottom by reversible isotherm • Heat transfer through all the isothermal = Heat transfer through original cycle • Original cycle is replaced with large number of carnot cycles • The cyclic integral of dQ/T for a reversible cycle is equal to zero. This is known as clausius theorm.
  • 43.
  • 45.
  • 48.
  • 51.
  • 53.
    ENTROPY PRINCIPLE • Entropyof an isolated system can never decrease • It always increases and remains constant only when process is reversible • This is known as Principle of increase of entropy or the entropy principle • The energy of the world (universe) is constant • The entropy of the world tends towards maximum • The entropy increase of an isolated system is a measure of the extent of irreversibility of the process undergone by the system. • The entropy of an isolated system always increases and becomes a maximum at the state of equilibrium
  • 55.
    APPLICATIONS OF ENTROPY PRINCIPLE •Transfer of Heat through a Finite Temperature Difference • Mixing of Two Fluids • Maximum Work Obtainable from Two Finite Bodies at Temperatures T1 and T2 • Maximum Work Obtainable from a Finite Body and a TER • Processes Exhibiting External Mechanical Irreversibility a) Isothermal Dissipation of Work b)Adiabatic Dissipation of Work
  • 56.
    TRANSFER OF HEATTHROUGH A FINITE TEMPERATURE DIFFERENCE
  • 57.
    • If T1> T2, The process is irreversible and possible. • If T1 = T2, The process is reversible. • If T1 < T2, The process is impossible.
  • 58.
  • 61.
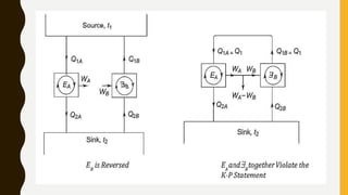
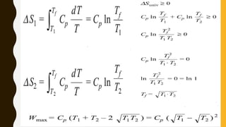
    MAXIMUM WORK OBTAINABLEFROM TWO FINITE BODIES AT TEMPERATURES T1 AND T2 • The working fluid operating in the heat engine cycle does not undergo any entropy change.
  • 63.
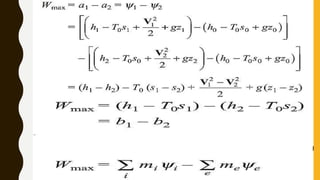
    MAXIMUM WORK OBTAINABLEFROM A FINITE BODY AND A TER
  • 64.
    PROCESSES EXHIBITING EXTERNAL MECHANICALIRREVERSIBILITY a) Isothermal Dissipation of Work
  • 65.
  • 67.
    ENTROPY TRANSFER WITHHEAT FLOW • There is entropy transfer from the system to surroundings along with heat flow • Flow of disorder along with heat
  • 68.
  • 69.
    ENTROPY GENERATION INA CLOSED SYSTEM • By heat interaction in which there is entropy transfer • By internal irreversibility or dissipative effects in which work or K.E is dissipated into internal energy increase
  • 72.
    ENTROPY GENERATION INAN OPEN SYSTEM
  • 75.
    FIRST AND SECONDLAWS COMBINED
  • 76.
  • 78.
    ENTROPY AND DIRECTION:THE SECOND LAW - A DIRECTIONAL LAW OF NATURE •A process always occurs in such a direction as to cause an increase in the entropy of universe.
  • 79.
    ENTROPY AND DISORDER •The entropy of a system is a measure of the degree of molecular disorder editing in system.
  • 80.
    ABSOLUTE ENTROPY •Always entropychange is calculate. •If absolute entropy value is required, then assign zero value to entropy at an arbitrarily chiken stardard state.
  • 81.
    POSTULATORY THERMODYNAMICS •Postulate I- Defines the equilibrium state •Postulate II - Introduces the property entropy which renders maximum at the final equilibrium state •Postulate III - Refers to additive nature of entropy •Postulate IV - Mentions that the entropy of any system vanishes at the absolute zero of
  • 82.
    ASSIGNMENT QUESTIONS FROMLESSON 4 OF UNIT 2
  • 86.
    LESSON 5 :(4 PERIODS) •Energy Equation •Availability and Irreversibility •Thermodynamic Potentials •Gibbs and Helmholtz Functions •Maxwell Relations
  • 87.
    AVAILABLE ENERGY •According tosecond law of thermodynamics low grade energy can not be completely converted into high grade energy. •Part of low grade energy which is available for conversion is known as available energy. •Part of available energy which must be rejected is called unavailable energy.
  • 88.
    AVAILABLE ENERGY REFERREDTO A CYCLE • Maximum workoutput obtainable from a certain heat input in a cyclic heat engine is called the available energy (A.E) or exergy • Minimum energy that has to be rejected to the sink by second law of thermodynamics is called the unavailable energy (U. E) or anergy
  • 92.
    DECREASE IN AVAILABLE ENERGY WHEN HEATIS TRANSFERRED THROUGH A FINITE TEMPERATURE DIFFERENCE
  • 95.
    AVAILABLE ENERGY FROMA FINITE ENERGY SOURCE
  • 97.
  • 98.
    • Heat lossof 1 kJ, at, say, 1000° C is more harmful than the same heat loss of 1kJ at, say, 100° C
  • 99.
    • Available energyor exergy of fluid at a higher temperature T1 is more than that at a lower temperature T2, and decrease as the temperature decreases.
  • 100.
    LAW OF DEGRADATIONOF ENERGY •First law states that energy is conserved quantitywise. It is also called as law of conservation of energy. •The second law emphasizes that energy always degrades qualitywise. It is also called as law of degradation of energy. •Energy is always conserved but it’s quality is always degraded.
  • 101.
    MAXIMUM WORK INA REVERSIBLE PROCESS
  • 103.
    WORK DONE INALL REVERSIBLE PROCESSES IS THE SAME • Two reversible processes must coincide and produce equal amount of work • There will be only one reversible path between two end states
  • 104.
    REVERSIBL E WORK BY ANOPEN SYSTEM EXCHANGIN G HEAT ONLY WITH THE SURROUND INGS • For maximum work the process must be entirely reversible
  • 107.
  • 109.
  • 110.
    USEFUL WORK •The usefulwork is defined as the actual work delivered by the system less the work performed on the atmosphere •All of the work W of the system would not available for delivery, since a certain portion of it would be spent in pushing out the atmosphere.
  • 114.
    MAXIMUM USEFUL WORK OBTAINABLE WHEN THE SYSTEM EXCHANGES HEATWITH A THERMAL RESERVOIR IN ADDITION TO THE ATMOSPHERE
  • 115.
  • 116.
    AVAILABILITY •The availability (A)of a given system is defined as the maximum useful work obtainable in process in which the system comes to equilibrium with its surroundings.
  • 117.
    AVAILABILITY IN ASTEADY FLOW PROCESS
  • 119.
    AVAILABILITY IN ANONFLOW PROCESS
  • 120.
  • 122.
  • 123.
    APPLICATION OF GOUY-STODOLA EQUATION (a)Heat Transfer through a Finite Temperature Difference (b) Flow with Friction (c) Mixing of Two Fluids
  • 124.