Introduction
 Definition: water insoluble compounds
 Most lipids are fatty acids or ester of fatty acid
 They are soluble in non-polar solvents such as
petroleum ether, benzene, chloroform
 Functions
 Energy storage
 Structure of cell membranes
 Thermal blanket and cushion
 Precursors of hormones (steroids and prostaglandins)
 Types:
 Fatty acids
 Neutral lipids
 Phospholipids and other lipids
Classification:
Saponifiable—can be
hydrolyzed by NaOH to make soap
Non-saponifiable—cannot be
hydrolyzed, includes sterols such as
cholesterol
Saponifiable lipids are further
subdivided:
Simple- made of fatty acids
plus alcohol
Compound- either phospho- or
glyco- lipids, which contain
phosphate or sugar groups as well
as fatty acids
Lipids are non-polar (hydrophobic) compounds, soluble in organic
solvents.
Most membrane lipids are amphipathic, having a non-polar end and a
polar end.
Fatty acids consist of a hydrocarbon chain with a carboxylic acid at one
end.
A 16-C fatty acid: CH3(CH2)14-COO
-
Non-polar polar
A 16-C fatty acid with one cis double bond between C atoms 9-10 may be
represented as 16:1 cis 9
.
Some fatty acids and their common names:
14:0 myristic acid; 16:0 palmitic acid; 18:0 stearic
acid; 18:1 cis9
oleic acid
18:2 cis9,12
linoleic acid
18:3 cis9,12,15
-linonenic acid
20:4 cis5,8,11,14
arachidonic acid
20:5 cis5,8,11,14,17
eicosapentaenoic acid (an omega-3)
Double bonds in fatty acids
usually have the cis
configuration.
Most naturally occurring fatty
acids have an even number
of carbon atoms.
C
O
O
1
2
3
4



fatty acid with a cis-9
double bond
There is free rotation about C-C bonds in the fatty acid
hydrocarbon, except where there is a double bond.
Each cis double bond causes a kink in the chain.
Rotation about other C-C bonds would permit a more
linear structure than shown, but there would be a kink.
C
O
O
1
2
3
4



fatty acid with a cis-9
double bond
Fats & Oils
Simplest lipids, called triacylglycerols
or simply triglycerides. Main form of
fat storage in plants, animals, and
man. Males store 21% fat on
average, females 26%.
Essential Fatty
Acids
Fatty acids which cannot be made by the body, but
are important for health and growth are called
essential.
Linolenic acid, found mostly in vegetable oils, is an
important reducer of LDL (low density
lipoproteins), which help to take cholesterol into
the blood and cause atherosclerosis (buildup of
plaque in the blood vessels) a prime cause of heart
attacks
Arachidonic acid is important in making eicosanoids,
molecules which regulate and protect the body
from invasion by microorganisms.
Simple Lipids—Fatty Acids
Simple triglycerides contain the same
fatty acid in all three positions; mixed
triglycerides contain two or three
different fatty acids
Fatty acids are carboxylic acids with
from 4 to 20 carbons in the chain. The
chain can be saturated (only single
bonds) or unsaturated (one or more
double bonds in the chain), Saturated
are usually solid at room temperature,
unsaturated are usually liquid
Less common fatty acids
 iso – isobutyric acid
 anteiso
 odd carbon fatty acid – propionic acid
 hydroxy fatty acids – ricinoleic acid,
dihydroxystearic acid, cerebronic acid
 cyclic fatty acids – hydnocarpic,
chaulmoogric acid
R
H3C
H3C H3C
R
CH3
(CH2)12-CO2H (CH2)10-CO2H
chaulmoogric acid hydnocarpic acid
H3C
CH3 CH3 CH3 CH3
COOH
PHYTANIC ACID
A plant derived fatty acid with 16 carbons and branches at C 3, C7, C11 and
C15. Present in dairy products and ruminant fats.
A peroxisome responsible for the metabolism of phytanic acid is defective
in some individuals. This leads to a disease called Refsum’s disease
Refsum’s disease is characterized by peripheral polyneuropathy, cerebellar
ataxia and retinitis pigmentosa
(CH2)10
H3C C C (CH2)4 COOH
TARIRIC ACID
CH
H2C (CH2)4 C C C C (CH2)7 COOH
ERYTHROGENIC ACID
Less common fatty acids
These are alkyne fatty acids
Unsaturated fatty acids
 number and position of the double
bond(s)Various conventions are in use for
indicating the
H
C CH(CH2)7COOH
(CH2)7
H3C
1
9
18
10
18:1,9 or 9
18:1
H3C CH2CH2CH2CH2CH2CH2CH2CH CH(CH2)7COOH
1
9
10
17
n
2 3 4 5 6 7 8 9 10 18

9, C18:1 or n-9, 18:1
Unsaturated fatty acids
 Monoenoic acids (one double bond):
 16:1, 9 7: palmitoleic acid (cis-9-
hexadecenoic acid
 18:1, 9 9: oleic acid (cis-9-octadecenoic acid)
 18:1, 9 9: elaidic acid (trans-9-octadecenoic
acid)
 22:1, 13 9: erucic acid (cis-13-docosenoic
acid)
 24:1, 15 9: nervonic acid (cis-15-
tetracosenoic acid)
Unsaturated fatty acids
 Trienoic acids (3 double bonds)
 18:3;6,9,12 6 : -linolenic acid (all cis-6,9,12-
octadecatrienoic acid)
 18:3; 9,12,15 3 : -linolenic acid (all-cis-
9,12,15-octadecatrienoic acid)
 Tetraenoic acids (4 double bonds)
 20:4; 5,8,11,14 6: arachidonic acid (all-cis-
5,8,11,14-eicosatetraenoic acid)
Unsaturated fatty acids
 Pentaenoic acid (5 double bonds)
 20:5; 5,8,11,14,17 3: timnodonic acid or
EPA (all-cis-5,8,11,14,17-eicosapentaenoic
acid)*
 Hexaenoic acid (6 double bonds)
 22:6; 4,7,10,13,16,19 3: cervonic acid or
DHA (all-cis-4,7,10,13,16,19-
docosahexaenoic acid)*
Both FAs are found in cold water fish oils
Waxes
Waxes are simple lipids which are esters of long
chain alcohols and fatty acids. Beeswax is a 30
C alcohol connected to a 16 C fatty acid
Waxes are completely water resistant and make
the coatings on leaves, skin, feathers, fur, and
fruit. They can be used on floors and furniture
for the same protecting quality.
4. Membrane lipids
1) phospholipids
- phosphoglyceride: phosphatidyl serine (ethanolamine,
choline, inositol)
- sphingolipid: spingosine → sphingomyelin
2) glycolipids
- sugar-containing lipids
- cerebrosides
- gangliosides
3) cholesterol
CH2
CH
CH2
OH
O
H
O
H
C
R3
CH2
CH
H2C
OH
O
O
C
R1
C
R2
O
O
O
CH2 O
C
C
H O
C
O
R2
C
H2 O
C
O
R3
R1
O
GLYCEROL
TRI ACYL GLYCEROL ( TRIGLYCERIDE)
Triacyl glycerol
BIOLOGICAL MEMBRANES
O
R
CH2
C
H
CH2
O
O
O
O
R
P
O
OH
OH
Glycerol phospholipids
O
R
CH2
C
H
CH2
O
O
O
O
R
P
O
O
OH
CH2
CH2
NH2
O
R
CH2
C
H
CH2
O
O
O
O
R
P
O
O
OH
CH2
CH2
N
+
CH3
C
H3
CH3
O
R
CH2
C
H
CH2
O
O
O
O
R
P
O
O
OH
CH2
C
H
NH2
COOH
O
R
CH2
C
H
CH2
O
O
O
O
R
P
O
OH CH
CH
CH
CH
CH
CH
O
O
H
OH
O
H
OH
OH
O
R
CH2
C
H
CH2
O
O
O
O
R
P
O
O
OH
C
H
C
H
CH2
OH
HO
OH
O
R
CH2
C
H
CH2
O
O
O
O
R
P
O
O
OH
C
H
C
H
CH2
OH
OH
O
R
CH2
CH
CH2
O
O
O
O
R
P
O
O
O
H
Phosphotidyl serine
Phosphotidyl Inositol
Phosphatidyl glycerol
Diphosphatidylglycerol (cardiolipin)
H2C C
H
H2
C
O
O
O
O
O
P
O
OH
O
H2
C
H2
C NH2
H2C C
H
H2
C
O
O
O
O
O
P
O
OH
O
H2
C
H2
C N CH3
CH3
CH3
H2C C
H
H2
C
O
O
O
O
O
P
O
OH
O
HO OH
OH
OH
HO
H2C C
H
H2
C
O
O
O
O
P
O
OH
NH2
CH C
H2
C
OH
O
O
Phosphotidyl Ethanolamine
Phosphotidyl Choline
Phosphotidyl Inositol
Phosphotidyl Serine
H2C C
H
H2
C
O
O
R
R
O
O
O
P
O
OH
O
CH2
CH
H2
C
O
O
R
R
O
O
O
P
O
OH
H
C C
H
H2
C OH
OH
OH
H2C C
H
H2
C
O
O
R
R
O
O
O
P
O
OH
O
H
C C
H
H2
C O
OH
OH
Phosphotidyl Glycerol
Diphosphotidyl Glycerol
Ether
glycerophospholipids
 Possess an ether linkage instead of an
acyl group at the C-1 position of
glycerol
 PAF ( platelet activating factor)
 A potent mediator in inflammation, allergic
response and in shock (also responsible for
asthma-like symptom
 The ether linkage is stable in either acid or base
 Plasmalogens: cis ,-unsaturated ethers
 The alpha/beta unsaturated ether can be hydrolyzed more
easily
Ether
glycerophospholipids
H2C CH
O
CH2
O
O
P
O
-
O O
C O
CH3
CH2 CH2 N
CH3
CH3
CH3
platelet activating factor or PAF
H2C CH
O
CH2
O
O
P
O
-O O
C O
CH2 CH2 N
CH3
CH3
CH3
A choline plasmalogen
H
H
O
R
CH2
C
H
CH2
O
O
O
O
R
P
O
O
OH
X
Phospholipase A1
Phospholipase A2
Phospholipase C
Phospholipase D
O
PALMITIC
CH2
C
H
CH2
O
O
O
O
PALMITIC
P
O
O
OH
CH2
CH2
N
+
CH3
C
H3
CH3
SURFACTANT ( DIPALMITOYL PHOSPHATIDYL CHOLINE
CH2
CH2
CH2
CH2
CH2
CH2
CH2
CH2
CH2
CH2
CH2
CH
CH
CH
CH
CH2
OH
NH2
OH
CH2
C
H3
C
H3
CH2
CH2
CH2
CH2
CH2
CH2
CH2
CH2
CH2
CH2
CH2
CH2
CH2
CH2
C
O
O
H
C
H3
CH2
CH2
CH2
CH2
CH2
CH2
CH2
CH2
CH2
CH2
CH2
CH2
CH2
CH2
C
O
CH2
CH2
CH2
CH2
CH2
CH2
CH2
CH2
CH2
CH2
CH2
CH
CH
CH
CH
CH2
OH
NH
OH
CH2
C
H3
Sphingosine
Palmitic acid
+
Ceramide
R
1 CH2
CH2
CH2
C
NH
R
CH
CH
CH
C
H
CH2
O
OH
OH
Ceramide
Acylated Sphingosine
SPHINGOLIPIDS
R
1
CH2
CH2
CH2
C
NH
R
CH
CH
CH
C
H
CH2
O
OH
O
P
O
OH
O
CH2
CH2
N
+
CH3
CH3
CH3
Hydrophilic end
Hydrophobic end
CERAMIDE
SPHINGOMYELIN
OH
NH2
OH
O
O
H
O
OH
NH
OH
Sphingosine
Palmitic acid
+
Ceramide
R
1
NH
R
O
OH
OH
Ceramide
Acylated Sphingosine
SPHINGOLIPIDS
OH
NH2
OH
O
O
H
O
OH
NH
OH
Sphingosine
Palmitic acid
+
Ceramide
R
1
R
O
OH
OH
Ceramide
Acylated Sphingosine
SPHINGOLIPIDS
SPHINGOLIPIDS
OH
CH2
HC
CH
CH
CH
(CH2)12
NH
C
H3
O
C
R
C
H3
O
CH2
O
H
O
OH OH
OH
OH
CH2
CH
CH
CH
CH
(CH2)12
NH
C
H3
O
C
R
C
H3
O
CH2
O
H
O
OH OH
OH
Galactocerebroside
Glucocerebroside
OH
CH2
CH
CH
CH
CH
(CH2)12
NH
C
H3
O
C
R
C
H3
O
CH2
O
H
O
OH OH
O
CH2
O
H
O
OH OH
OH
Lactosyl ceramide
O
CH2
O
H
O
OH OH
OH
OH
CH2
CH
CH
CH
CH
(CH2)12
NH
C
H3
CH2
C
R
C
H3
O
CH2
O
H
O
OH OH
O
CH2
O
H
O
OH OH
Trihexosyl ceramide
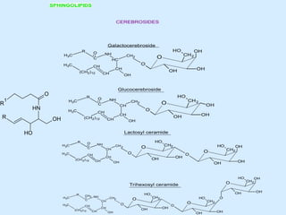
CEREBROSIDES
R OH
N
H
O
H
R
1
O
R
1
CH2
CH2
CH2
C
NH
R
CH
CH
CH
C
H
CH2
O
OH
O
O
H OH
H
H
O
H
H
OSO3H
H
O
H
Some Galactocerebrosides are sulfated at
position 3 of the galactose
(CH2)12
R NH
O H2
C
O
OH
O
O
O
O
O
OH
CH2
HO
OH
O
CH2
HO
CH2
HO
OH
O
OH
NH
HO HO
OH
H2
C
HO
Cer
Glc
Gal
GalNAc
C
O
CH3 Gal
O
NANA
Cer Glc Gal GalNAc Gal
GM1
GM2
GM3
NANA
GANGLIOSIDES
O
O
O
H
OH
OH
O
O
O
O
H
OH
OH
OH
O
O
H
OH
OH OH
N
H
O
OH
O
O
H
OH
NH
O
O
O
H
OH
OH
O
O
O
O
H
OH
OH
OH
O
O
OH
OH OH
N
H
O
O
Globoside Gb3
Globoside Gb4
Blood Group A
Blood Group B
Blood Group O
Fuc(a1-2)
Gal(B1-4)
GalNAc(a1-3)
GalNAc(B) O Cer
Fuc(a1-2)
Gal(B1-4)
Gal(a1-3)
GalNAc(B) O Cer
Fuc(a1-2)
Gal(B1-4)GalNAc(B) O Cer
THE UNIVERSAL BLOOD GROUP ANTIGENS ARE
SPHINGOLIPIDS WHICH ARE EXPRESSED ON THE SURFACE
OF ERYTHROCYTES
13
14
9
8
10
17
12
11
15
16
7
5
6
18
19
1
4
2
3
H
H
H
HO
CH CH2 CH2 CH2
CH3
HC
CH3
CH3
21
20 22 23 24 25
26
27
Polar Head Non polar Head
CHOLESTEROL
Steroids
Cholesterol is largely
hydrophobic.
But it has one polar
group, a hydroxyl,
making it
amphipathic.
Cholesterol
HO
Cholesterol, an
important constituent of cell
membranes, has a rigid ring
system and a short
branched hydrocarbon tail.
cholesterol
PDB 1N83
Cholesterol
in membrane
Cholesterol inserts into bilayer membranes with
its hydroxyl group oriented toward the aqueous
phase & its hydrophobic ring system
adjacent to fatty acid chains of phospholipids.
The OH group of cholesterol forms hydrogen
bonds with polar phospholipid head groups.
Cholesterol
HO
But the presence of cholesterol in a phospholipid membrane interferes
with close packing of fatty acid tails in the crystalline state, and thus
inhibits transition to the crystal state.
Phospholipid membranes with a high concentration of cholesterol have a
fluidity intermediate between the liquid crystal and crystal states.
Cholesterol
in membrane
Interaction with the relatively rigid cholesterol
decreases the mobility of hydrocarbon tails of
phospholipids.
OUT
IN
Peripheral proteins are on the membrane surface.
They are water-soluble, with mostly hydrophilic
surfaces.
Often peripheral proteins can be dislodged by
conditions that disrupt ionic & H-bond interactions,
e.g., extraction with solutions containing high
concentrations of salts, change of pH, and/or
chelators that bind divalent cations.
Membrane proteins
may be classified as:
 peripheral
 integral
 having a lipid
anchor
integral
lipid
anchor
peripheral
lipid bilayer
Membrane
Proteins
Integral proteins have domains that extend into
the hydrocarbon core of the membrane.
Often they span the bilayer.
Intramembrane domains have largely hydrophobic
surfaces, that interact with membrane lipids.
integral
lipid
anchor
peripheral
lipid bilayer
Membrane
Proteins
Some proteins bind to membranes via a covalently
attached lipid anchor, that inserts into the bilayer.
A protein may link to the cytosolic surface of the plasma
membrane via a covalently attached fatty acid (e.g.,
palmitate or myristate) or an isoprenoid group.
Palmitate is usually attached via an ester linkage to the
thiol of a cysteine residue.
A protein may be released from plasma membrane to
cytosol via depalmitoylation, hydrolysis of the ester link.
lipid
anchor
membrane
H3C (CH2)14 C
O
S CH2 CH
C
NH
O
palmitate
cysteine
residue
An isoprenoid such as a farnesyl
residue, is attached to some
proteins via a thioether linkage to
a cysteine thiol.
C H C H 2
C
H 3 C
C H 3
C H C H 2
C
C H 2
C H 3
C H C H 2 S P r o t e in
C
C H 2
C H 3
f a r n e s y l r e s i d u e l i n k e d t o p r o t e i n v i a c y s t e i n e S
lipid
anchor
membrane
Glycosylphosphatidylinositols (GPI) are complex
glycolipids that attach some proteins to the outer
surface of the plasma membrane.
The linkage is similar to the following, although the
oligosaccharide composition may vary:
protein (C-term.) - phosphoethanolamine – mannose -
mannose - mannose - N-acetylglucosamine – inositol (of PI
in membrane)
The protein is tethered some distance out from the
membrane surface by the long oligosaccharide
chain.
GPI-linked proteins may be released from the outer
cell surface by phospholipases.
Lipid storage diseases
 also known as sphingolipidoses
 genetically acquired
 due to the deficiency or absence of a catabolic
enzyme
 examples:
 Tay Sachs disease
 Gaucher’s disease
 Niemann-Pick disease
 Fabry’s disease
 http://www.ninds.nih.gov/disorders/lipid_storage_di
seases/lipid_storage_diseases.htm
What are Lipid Storage Diseases?
Lipid storage diseases are a group of inherited metabolic
disorders in which harmful amounts of fatty materials (called
lipids) accumulate in some of the body’s cells and tissues. Over
time, this excessive storage of fats can cause permanent
cellular and tissue damage, particularly in the brain, peripheral
nervous system, liver, spleen, and bone marrow. Lipid storage
diseases are inherited from one or both parents who carry a
defective gene. Symptoms may appear early in life or develop
in the teen or even adult years. Neurological complications of
the lipid storage diseases may include ataxia, eye paralysis,
brain degeneration, seizures, learning problems, spasticity,
feeding and swallowing difficulties, slurred speech, loss of
muscle tone, hypersensitivity to touch, burning pain in the
arms and legs, and clouding of the cornea
Genetic defects in
ganglioside metabolism
 leads to a buildup of gangliosides
(ganglioside GM2) in nerve cells, killing
them
NAc
Gal Gal Gal Glu
NAcNeu
enzyme that hydrolyzes here (beta hexosaminodase)
is absent in Tay-Sachs disease
CER
Tay-Sachs disease
 a fatal disease which is due to the
deficiency of hexosaminidase A activity
 accumulation of ganglioside GM2 in the
brain of infants
 mental retardation, blindness, inability to
swallow
 a “cherry red “ spot develops on the
macula (back of the the eyes)
 Tay-Sachs children usually die by age 5
and often sooner
Genetic defects in
globoside metabolism
 Fabry’s disease:
 Accumulation of ceramide trihexoside in
kidneys of patients who are deficient in
lysosomal -galactosidase A sometimes
referred to as ceramide trihexosidase
 Skin rash, kidney failure, pains in the lower
extremities
 Now treated with enzyme replacement
therapy: agalsidase beta (Fabrazyme)
Genetic defects in
cerebroside metabolism
 Krabbe’s disease:
 Also known as globoid leukodystrophy
 Increased amount of galactocerebroside in the white matter
of the brain
 Caused by a deficiency in the lysosomal enzyme
galactocerebrosidase
 Gaucher’s disease:
 Caused by a deficiency of lysosomal glucocerebrosidase
 Increase content of glucocerebroside in the spleen and liver
 Erosion of long bones and pelvis
 Enzyme replacement therapy is available for the Type I
disease (Imiglucerase or Cerezyme)
 Also miglustat (Zavesca) – an oral drug which inhibits the
enzyme glucosylceramide synthase, an essential enzyme for
the synthesis of most glycosphingolipids
Miglustat (Zavesca)
Genetic defects in
ganglioside metabolism
 Metachromatic leukodystrophy
 accumulation of sulfogalactocerebroside (sulfatide) in
the central nervous system of patient having a
deficiency of a specific sulfatase
 mental retardation, nerves stain yellowish-brown with
cresyl violet dye (metachromasia)
 Generalized gangliosidosis
 accumulation of ganglioside GM1
 deficiency of GM1 ganglioside: -galactosidase
 mental retardation, liver enlargement, skeletal
involvement
Niemann-Pick disease
 principal storage substance:
sphingomyelin which accumulates in
reticuloendothelial cells
 enzyme deficiency: sphingomyelinase
 liver and spleen enlargement, mental
retardation
Prostaglandins and other
eicosanoids
(prostanoids)
 local hormones, unstable, key
mediators of inflammation
 derivatives of prostanoic acid
COOH
20
8
12
prostanoic acid
9
11
15
Prostaglandins
O R
O
O
O
P
O
O
O-
X
O
COOH
CH3
phospholipase A 2 (enzyme that hydrolyzes
at the sn-2 position - inhibited
indirectly by corticosteroids)
H20
prostaglandin synthase
(also known as cyclooxygenase)
O
O
COOH
OH
very unstable
bond
PGH2
COX is inhibibited by
aspirin and other NSAIDs
O
O
COOH
OH
PGH2
COOH
OH
O
HO
COOH
OH
HO
HO
PGE2 PGF2
key mediator of inflammation
O
R1
R2
O
R1
R2
PGA PGB
O
R1
R2
PGC
R1
R2
HO
O
PGD
R1
R2
O
HO
R1
R2
HO
HO
R1
R2
O
O
PGE PGFa PGG and PGH
R2
HO
O
R1
R1
R2
O
PGJ
R1
R2
O
O
PGK
PGI
O
O
R1
R2 O
R1
R2
HO
OH
TXA TXB
SUBSTITUTION PATTERN OF PROSTANOIDS
Prostacyclins,
thromboxanes and
leukotrienes
 PGH2 in platelets is converted to
thromboxane A2 (TXA2) a vasoconstrictor
which also promotes platelet aggregation
 PGH2 in vascular endothelial cells is
converted to PGI2, a vasodilator which
inhibits platelet aggregation
 Aspirin’s irreversible inhibition of platelet
COX leads to its anticoagulant effect
Functions of eicosanoids
 Prostaglandins – particularly PGE1 – block
gastric production and thus are gastric
protection agents
 Misoprostol (Cytotec) is a stable PGE1
analog that is used to prevent ulceration
by long term NSAID treatment
 PGE1 also has vasodilator effects
 Alprostadil (PGE1) – used to treat infants with
congenital heart defects
 Also used in impotance (Muse)
Functions of eicosanoids
 PGF2 – causes constriction of the
uterus
 Carboprost; “Hebamate” (15-Me-PGF2) –
induces abortions
 PGE2 is applied locally to help induce
labor at term
C5H11
COOH
O
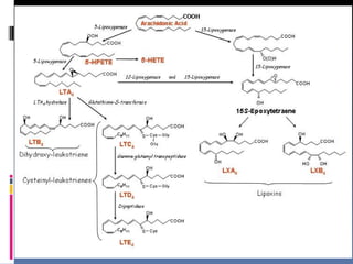
LEUKOTRIENEA 4 (LTA 4)
C5H11
HO
COOH
OH
LEKOTRIENE B 4 (LTB 4)
Non-peptidoleuktrienes: LTA4 is formed by dehydration of
5-HPETE, and LTB4 by hydrolysis of the epoxide of LTA4
Leukotrienes
Biological activities of
leukotrienes
1. LTB4 - potent chemoattractent
- mediator of hyperalgesia
- growth factor for keratinocytes
2. LTC4 - constricts lung smooth muscle
- promotes capillary leakage
1000 X histamine
3. LTD4 - constricts smooth muscle; lung
- airway hyperactivity
- vasoconstriction
4. LTE4 - 1000 x less potent than LTD4
(except in asthmatics)
C5H11
H S
Cys
gGlu
OH
COOH
LEUKOTRIENE F4 (LTF4)
C5H11
H S
Cys
OH
COOH
Gly
gGlu
LEUKOTRIENE C4 (LTC4)
Leukotrienes are derived from arachidonic acid via the enzyme
5-lipoxygenase which converts arachidonic acid to 5-HPETE
(5-hydroperoxyeicosatetranoic acid) and subsequently by
dehydration to LTA4
peptidoleukotrienes
Leukotrienes
C5H11
H S
Cys
OH
COOH
LEUKOTRIENE E 4 (LTE4)
C5H11
H S
Cys
OH
COOH
Gly
LEUKOTRIENE D 4 (LTD4)
Leukotrienes are synthesized in neutrophils, monocytes, macrophages,
mast cells and keratinocytes. Also in lung, spleen, brain and heart.
A mixture of LTC4, LTD4 and LTE4 was previously known as the
slow-reacting substance of anaphylaxis
peptidoleukotrienes
Leukotrienes

INTRODUCTION TO LIPIDS..ppt biochemistry

  • 1.
    Introduction  Definition: waterinsoluble compounds  Most lipids are fatty acids or ester of fatty acid  They are soluble in non-polar solvents such as petroleum ether, benzene, chloroform  Functions  Energy storage  Structure of cell membranes  Thermal blanket and cushion  Precursors of hormones (steroids and prostaglandins)  Types:  Fatty acids  Neutral lipids  Phospholipids and other lipids
  • 2.
    Classification: Saponifiable—can be hydrolyzed byNaOH to make soap Non-saponifiable—cannot be hydrolyzed, includes sterols such as cholesterol Saponifiable lipids are further subdivided: Simple- made of fatty acids plus alcohol Compound- either phospho- or glyco- lipids, which contain phosphate or sugar groups as well as fatty acids
  • 3.
    Lipids are non-polar(hydrophobic) compounds, soluble in organic solvents. Most membrane lipids are amphipathic, having a non-polar end and a polar end. Fatty acids consist of a hydrocarbon chain with a carboxylic acid at one end. A 16-C fatty acid: CH3(CH2)14-COO - Non-polar polar A 16-C fatty acid with one cis double bond between C atoms 9-10 may be represented as 16:1 cis 9 .
  • 5.
    Some fatty acidsand their common names: 14:0 myristic acid; 16:0 palmitic acid; 18:0 stearic acid; 18:1 cis9 oleic acid 18:2 cis9,12 linoleic acid 18:3 cis9,12,15 -linonenic acid 20:4 cis5,8,11,14 arachidonic acid 20:5 cis5,8,11,14,17 eicosapentaenoic acid (an omega-3) Double bonds in fatty acids usually have the cis configuration. Most naturally occurring fatty acids have an even number of carbon atoms. C O O 1 2 3 4    fatty acid with a cis-9 double bond
  • 7.
    There is freerotation about C-C bonds in the fatty acid hydrocarbon, except where there is a double bond. Each cis double bond causes a kink in the chain. Rotation about other C-C bonds would permit a more linear structure than shown, but there would be a kink. C O O 1 2 3 4    fatty acid with a cis-9 double bond
  • 9.
    Fats & Oils Simplestlipids, called triacylglycerols or simply triglycerides. Main form of fat storage in plants, animals, and man. Males store 21% fat on average, females 26%.
  • 10.
    Essential Fatty Acids Fatty acidswhich cannot be made by the body, but are important for health and growth are called essential. Linolenic acid, found mostly in vegetable oils, is an important reducer of LDL (low density lipoproteins), which help to take cholesterol into the blood and cause atherosclerosis (buildup of plaque in the blood vessels) a prime cause of heart attacks Arachidonic acid is important in making eicosanoids, molecules which regulate and protect the body from invasion by microorganisms.
  • 11.
    Simple Lipids—Fatty Acids Simpletriglycerides contain the same fatty acid in all three positions; mixed triglycerides contain two or three different fatty acids Fatty acids are carboxylic acids with from 4 to 20 carbons in the chain. The chain can be saturated (only single bonds) or unsaturated (one or more double bonds in the chain), Saturated are usually solid at room temperature, unsaturated are usually liquid
  • 13.
    Less common fattyacids  iso – isobutyric acid  anteiso  odd carbon fatty acid – propionic acid  hydroxy fatty acids – ricinoleic acid, dihydroxystearic acid, cerebronic acid  cyclic fatty acids – hydnocarpic, chaulmoogric acid R H3C H3C H3C R CH3 (CH2)12-CO2H (CH2)10-CO2H chaulmoogric acid hydnocarpic acid
  • 14.
    H3C CH3 CH3 CH3CH3 COOH PHYTANIC ACID A plant derived fatty acid with 16 carbons and branches at C 3, C7, C11 and C15. Present in dairy products and ruminant fats. A peroxisome responsible for the metabolism of phytanic acid is defective in some individuals. This leads to a disease called Refsum’s disease Refsum’s disease is characterized by peripheral polyneuropathy, cerebellar ataxia and retinitis pigmentosa
  • 15.
    (CH2)10 H3C C C(CH2)4 COOH TARIRIC ACID CH H2C (CH2)4 C C C C (CH2)7 COOH ERYTHROGENIC ACID Less common fatty acids These are alkyne fatty acids
  • 16.
    Unsaturated fatty acids number and position of the double bond(s)Various conventions are in use for indicating the H C CH(CH2)7COOH (CH2)7 H3C 1 9 18 10 18:1,9 or 9 18:1 H3C CH2CH2CH2CH2CH2CH2CH2CH CH(CH2)7COOH 1 9 10 17 n 2 3 4 5 6 7 8 9 10 18  9, C18:1 or n-9, 18:1
  • 17.
    Unsaturated fatty acids Monoenoic acids (one double bond):  16:1, 9 7: palmitoleic acid (cis-9- hexadecenoic acid  18:1, 9 9: oleic acid (cis-9-octadecenoic acid)  18:1, 9 9: elaidic acid (trans-9-octadecenoic acid)  22:1, 13 9: erucic acid (cis-13-docosenoic acid)  24:1, 15 9: nervonic acid (cis-15- tetracosenoic acid)
  • 18.
    Unsaturated fatty acids Trienoic acids (3 double bonds)  18:3;6,9,12 6 : -linolenic acid (all cis-6,9,12- octadecatrienoic acid)  18:3; 9,12,15 3 : -linolenic acid (all-cis- 9,12,15-octadecatrienoic acid)  Tetraenoic acids (4 double bonds)  20:4; 5,8,11,14 6: arachidonic acid (all-cis- 5,8,11,14-eicosatetraenoic acid)
  • 19.
    Unsaturated fatty acids Pentaenoic acid (5 double bonds)  20:5; 5,8,11,14,17 3: timnodonic acid or EPA (all-cis-5,8,11,14,17-eicosapentaenoic acid)*  Hexaenoic acid (6 double bonds)  22:6; 4,7,10,13,16,19 3: cervonic acid or DHA (all-cis-4,7,10,13,16,19- docosahexaenoic acid)* Both FAs are found in cold water fish oils
  • 20.
    Waxes Waxes are simplelipids which are esters of long chain alcohols and fatty acids. Beeswax is a 30 C alcohol connected to a 16 C fatty acid Waxes are completely water resistant and make the coatings on leaves, skin, feathers, fur, and fruit. They can be used on floors and furniture for the same protecting quality.
  • 21.
    4. Membrane lipids 1)phospholipids - phosphoglyceride: phosphatidyl serine (ethanolamine, choline, inositol) - sphingolipid: spingosine → sphingomyelin 2) glycolipids - sugar-containing lipids - cerebrosides - gangliosides 3) cholesterol
  • 23.
    CH2 CH CH2 OH O H O H C R3 CH2 CH H2C OH O O C R1 C R2 O O O CH2 O C C H O C O R2 C H2O C O R3 R1 O GLYCEROL TRI ACYL GLYCEROL ( TRIGLYCERIDE) Triacyl glycerol BIOLOGICAL MEMBRANES
  • 24.
  • 25.
  • 26.
    H2C C H H2 C O O O O O P O OH O H2 C H2 C NH2 H2CC H H2 C O O O O O P O OH O H2 C H2 C N CH3 CH3 CH3 H2C C H H2 C O O O O O P O OH O HO OH OH OH HO H2C C H H2 C O O O O P O OH NH2 CH C H2 C OH O O Phosphotidyl Ethanolamine Phosphotidyl Choline Phosphotidyl Inositol Phosphotidyl Serine
  • 27.
    H2C C H H2 C O O R R O O O P O OH O CH2 CH H2 C O O R R O O O P O OH H C C H H2 COH OH OH H2C C H H2 C O O R R O O O P O OH O H C C H H2 C O OH OH Phosphotidyl Glycerol Diphosphotidyl Glycerol
  • 28.
    Ether glycerophospholipids  Possess anether linkage instead of an acyl group at the C-1 position of glycerol  PAF ( platelet activating factor)  A potent mediator in inflammation, allergic response and in shock (also responsible for asthma-like symptom  The ether linkage is stable in either acid or base  Plasmalogens: cis ,-unsaturated ethers  The alpha/beta unsaturated ether can be hydrolyzed more easily
  • 29.
    Ether glycerophospholipids H2C CH O CH2 O O P O - O O CO CH3 CH2 CH2 N CH3 CH3 CH3 platelet activating factor or PAF H2C CH O CH2 O O P O -O O C O CH2 CH2 N CH3 CH3 CH3 A choline plasmalogen H H
  • 30.
    O R CH2 C H CH2 O O O O R P O O OH X Phospholipase A1 Phospholipase A2 PhospholipaseC Phospholipase D O PALMITIC CH2 C H CH2 O O O O PALMITIC P O O OH CH2 CH2 N + CH3 C H3 CH3 SURFACTANT ( DIPALMITOYL PHOSPHATIDYL CHOLINE
  • 31.
    CH2 CH2 CH2 CH2 CH2 CH2 CH2 CH2 CH2 CH2 CH2 CH CH CH CH CH2 OH NH2 OH CH2 C H3 C H3 CH2 CH2 CH2 CH2 CH2 CH2 CH2 CH2 CH2 CH2 CH2 CH2 CH2 CH2 C O O H C H3 CH2 CH2 CH2 CH2 CH2 CH2 CH2 CH2 CH2 CH2 CH2 CH2 CH2 CH2 C O CH2 CH2 CH2 CH2 CH2 CH2 CH2 CH2 CH2 CH2 CH2 CH CH CH CH CH2 OH NH OH CH2 C H3 Sphingosine Palmitic acid + Ceramide R 1 CH2 CH2 CH2 C NH R CH CH CH C H CH2 O OH OH Ceramide AcylatedSphingosine SPHINGOLIPIDS R 1 CH2 CH2 CH2 C NH R CH CH CH C H CH2 O OH O P O OH O CH2 CH2 N + CH3 CH3 CH3 Hydrophilic end Hydrophobic end CERAMIDE SPHINGOMYELIN OH NH2 OH O O H O OH NH OH Sphingosine Palmitic acid + Ceramide R 1 NH R O OH OH Ceramide Acylated Sphingosine SPHINGOLIPIDS
  • 32.
  • 33.
    SPHINGOLIPIDS OH CH2 HC CH CH CH (CH2)12 NH C H3 O C R C H3 O CH2 O H O OH OH OH OH CH2 CH CH CH CH (CH2)12 NH C H3 O C R C H3 O CH2 O H O OH OH OH Galactocerebroside Glucocerebroside OH CH2 CH CH CH CH (CH2)12 NH C H3 O C R C H3 O CH2 O H O OHOH O CH2 O H O OH OH OH Lactosyl ceramide O CH2 O H O OH OH OH OH CH2 CH CH CH CH (CH2)12 NH C H3 CH2 C R C H3 O CH2 O H O OH OH O CH2 O H O OH OH Trihexosyl ceramide CEREBROSIDES R OH N H O H R 1 O
  • 34.
  • 35.
    (CH2)12 R NH O H2 C O OH O O O O O OH CH2 HO OH O CH2 HO CH2 HO OH O OH NH HOHO OH H2 C HO Cer Glc Gal GalNAc C O CH3 Gal O NANA Cer Glc Gal GalNAc Gal GM1 GM2 GM3 NANA GANGLIOSIDES
  • 36.
  • 37.
    Blood Group A BloodGroup B Blood Group O Fuc(a1-2) Gal(B1-4) GalNAc(a1-3) GalNAc(B) O Cer Fuc(a1-2) Gal(B1-4) Gal(a1-3) GalNAc(B) O Cer Fuc(a1-2) Gal(B1-4)GalNAc(B) O Cer THE UNIVERSAL BLOOD GROUP ANTIGENS ARE SPHINGOLIPIDS WHICH ARE EXPRESSED ON THE SURFACE OF ERYTHROCYTES
  • 38.
    13 14 9 8 10 17 12 11 15 16 7 5 6 18 19 1 4 2 3 H H H HO CH CH2 CH2CH2 CH3 HC CH3 CH3 21 20 22 23 24 25 26 27 Polar Head Non polar Head CHOLESTEROL
  • 39.
  • 40.
    Cholesterol is largely hydrophobic. Butit has one polar group, a hydroxyl, making it amphipathic. Cholesterol HO Cholesterol, an important constituent of cell membranes, has a rigid ring system and a short branched hydrocarbon tail. cholesterol PDB 1N83
  • 41.
    Cholesterol in membrane Cholesterol insertsinto bilayer membranes with its hydroxyl group oriented toward the aqueous phase & its hydrophobic ring system adjacent to fatty acid chains of phospholipids. The OH group of cholesterol forms hydrogen bonds with polar phospholipid head groups. Cholesterol HO
  • 42.
    But the presenceof cholesterol in a phospholipid membrane interferes with close packing of fatty acid tails in the crystalline state, and thus inhibits transition to the crystal state. Phospholipid membranes with a high concentration of cholesterol have a fluidity intermediate between the liquid crystal and crystal states. Cholesterol in membrane Interaction with the relatively rigid cholesterol decreases the mobility of hydrocarbon tails of phospholipids.
  • 44.
  • 47.
    Peripheral proteins areon the membrane surface. They are water-soluble, with mostly hydrophilic surfaces. Often peripheral proteins can be dislodged by conditions that disrupt ionic & H-bond interactions, e.g., extraction with solutions containing high concentrations of salts, change of pH, and/or chelators that bind divalent cations. Membrane proteins may be classified as:  peripheral  integral  having a lipid anchor integral lipid anchor peripheral lipid bilayer Membrane Proteins
  • 48.
    Integral proteins havedomains that extend into the hydrocarbon core of the membrane. Often they span the bilayer. Intramembrane domains have largely hydrophobic surfaces, that interact with membrane lipids. integral lipid anchor peripheral lipid bilayer Membrane Proteins
  • 51.
    Some proteins bindto membranes via a covalently attached lipid anchor, that inserts into the bilayer. A protein may link to the cytosolic surface of the plasma membrane via a covalently attached fatty acid (e.g., palmitate or myristate) or an isoprenoid group. Palmitate is usually attached via an ester linkage to the thiol of a cysteine residue. A protein may be released from plasma membrane to cytosol via depalmitoylation, hydrolysis of the ester link. lipid anchor membrane H3C (CH2)14 C O S CH2 CH C NH O palmitate cysteine residue
  • 52.
    An isoprenoid suchas a farnesyl residue, is attached to some proteins via a thioether linkage to a cysteine thiol. C H C H 2 C H 3 C C H 3 C H C H 2 C C H 2 C H 3 C H C H 2 S P r o t e in C C H 2 C H 3 f a r n e s y l r e s i d u e l i n k e d t o p r o t e i n v i a c y s t e i n e S lipid anchor membrane
  • 57.
    Glycosylphosphatidylinositols (GPI) arecomplex glycolipids that attach some proteins to the outer surface of the plasma membrane. The linkage is similar to the following, although the oligosaccharide composition may vary: protein (C-term.) - phosphoethanolamine – mannose - mannose - mannose - N-acetylglucosamine – inositol (of PI in membrane) The protein is tethered some distance out from the membrane surface by the long oligosaccharide chain. GPI-linked proteins may be released from the outer cell surface by phospholipases.
  • 58.
    Lipid storage diseases also known as sphingolipidoses  genetically acquired  due to the deficiency or absence of a catabolic enzyme  examples:  Tay Sachs disease  Gaucher’s disease  Niemann-Pick disease  Fabry’s disease  http://www.ninds.nih.gov/disorders/lipid_storage_di seases/lipid_storage_diseases.htm
  • 59.
    What are LipidStorage Diseases? Lipid storage diseases are a group of inherited metabolic disorders in which harmful amounts of fatty materials (called lipids) accumulate in some of the body’s cells and tissues. Over time, this excessive storage of fats can cause permanent cellular and tissue damage, particularly in the brain, peripheral nervous system, liver, spleen, and bone marrow. Lipid storage diseases are inherited from one or both parents who carry a defective gene. Symptoms may appear early in life or develop in the teen or even adult years. Neurological complications of the lipid storage diseases may include ataxia, eye paralysis, brain degeneration, seizures, learning problems, spasticity, feeding and swallowing difficulties, slurred speech, loss of muscle tone, hypersensitivity to touch, burning pain in the arms and legs, and clouding of the cornea
  • 60.
    Genetic defects in gangliosidemetabolism  leads to a buildup of gangliosides (ganglioside GM2) in nerve cells, killing them NAc Gal Gal Gal Glu NAcNeu enzyme that hydrolyzes here (beta hexosaminodase) is absent in Tay-Sachs disease CER
  • 61.
    Tay-Sachs disease  afatal disease which is due to the deficiency of hexosaminidase A activity  accumulation of ganglioside GM2 in the brain of infants  mental retardation, blindness, inability to swallow  a “cherry red “ spot develops on the macula (back of the the eyes)  Tay-Sachs children usually die by age 5 and often sooner
  • 62.
    Genetic defects in globosidemetabolism  Fabry’s disease:  Accumulation of ceramide trihexoside in kidneys of patients who are deficient in lysosomal -galactosidase A sometimes referred to as ceramide trihexosidase  Skin rash, kidney failure, pains in the lower extremities  Now treated with enzyme replacement therapy: agalsidase beta (Fabrazyme)
  • 63.
    Genetic defects in cerebrosidemetabolism  Krabbe’s disease:  Also known as globoid leukodystrophy  Increased amount of galactocerebroside in the white matter of the brain  Caused by a deficiency in the lysosomal enzyme galactocerebrosidase  Gaucher’s disease:  Caused by a deficiency of lysosomal glucocerebrosidase  Increase content of glucocerebroside in the spleen and liver  Erosion of long bones and pelvis  Enzyme replacement therapy is available for the Type I disease (Imiglucerase or Cerezyme)  Also miglustat (Zavesca) – an oral drug which inhibits the enzyme glucosylceramide synthase, an essential enzyme for the synthesis of most glycosphingolipids
  • 64.
  • 65.
    Genetic defects in gangliosidemetabolism  Metachromatic leukodystrophy  accumulation of sulfogalactocerebroside (sulfatide) in the central nervous system of patient having a deficiency of a specific sulfatase  mental retardation, nerves stain yellowish-brown with cresyl violet dye (metachromasia)  Generalized gangliosidosis  accumulation of ganglioside GM1  deficiency of GM1 ganglioside: -galactosidase  mental retardation, liver enlargement, skeletal involvement
  • 66.
    Niemann-Pick disease  principalstorage substance: sphingomyelin which accumulates in reticuloendothelial cells  enzyme deficiency: sphingomyelinase  liver and spleen enlargement, mental retardation
  • 68.
    Prostaglandins and other eicosanoids (prostanoids) local hormones, unstable, key mediators of inflammation  derivatives of prostanoic acid COOH 20 8 12 prostanoic acid 9 11 15
  • 69.
  • 71.
    O R O O O P O O O- X O COOH CH3 phospholipase A2 (enzyme that hydrolyzes at the sn-2 position - inhibited indirectly by corticosteroids) H20 prostaglandin synthase (also known as cyclooxygenase) O O COOH OH very unstable bond PGH2 COX is inhibibited by aspirin and other NSAIDs
  • 72.
  • 73.
    O R1 R2 O R1 R2 PGA PGB O R1 R2 PGC R1 R2 HO O PGD R1 R2 O HO R1 R2 HO HO R1 R2 O O PGE PGFaPGG and PGH R2 HO O R1 R1 R2 O PGJ R1 R2 O O PGK PGI O O R1 R2 O R1 R2 HO OH TXA TXB SUBSTITUTION PATTERN OF PROSTANOIDS
  • 74.
    Prostacyclins, thromboxanes and leukotrienes  PGH2in platelets is converted to thromboxane A2 (TXA2) a vasoconstrictor which also promotes platelet aggregation  PGH2 in vascular endothelial cells is converted to PGI2, a vasodilator which inhibits platelet aggregation  Aspirin’s irreversible inhibition of platelet COX leads to its anticoagulant effect
  • 75.
    Functions of eicosanoids Prostaglandins – particularly PGE1 – block gastric production and thus are gastric protection agents  Misoprostol (Cytotec) is a stable PGE1 analog that is used to prevent ulceration by long term NSAID treatment  PGE1 also has vasodilator effects  Alprostadil (PGE1) – used to treat infants with congenital heart defects  Also used in impotance (Muse)
  • 76.
    Functions of eicosanoids PGF2 – causes constriction of the uterus  Carboprost; “Hebamate” (15-Me-PGF2) – induces abortions  PGE2 is applied locally to help induce labor at term
  • 77.
    C5H11 COOH O LEUKOTRIENEA 4 (LTA4) C5H11 HO COOH OH LEKOTRIENE B 4 (LTB 4) Non-peptidoleuktrienes: LTA4 is formed by dehydration of 5-HPETE, and LTB4 by hydrolysis of the epoxide of LTA4 Leukotrienes
  • 79.
    Biological activities of leukotrienes 1.LTB4 - potent chemoattractent - mediator of hyperalgesia - growth factor for keratinocytes 2. LTC4 - constricts lung smooth muscle - promotes capillary leakage 1000 X histamine 3. LTD4 - constricts smooth muscle; lung - airway hyperactivity - vasoconstriction 4. LTE4 - 1000 x less potent than LTD4 (except in asthmatics)
  • 80.
    C5H11 H S Cys gGlu OH COOH LEUKOTRIENE F4(LTF4) C5H11 H S Cys OH COOH Gly gGlu LEUKOTRIENE C4 (LTC4) Leukotrienes are derived from arachidonic acid via the enzyme 5-lipoxygenase which converts arachidonic acid to 5-HPETE (5-hydroperoxyeicosatetranoic acid) and subsequently by dehydration to LTA4 peptidoleukotrienes Leukotrienes
  • 81.
    C5H11 H S Cys OH COOH LEUKOTRIENE E4 (LTE4) C5H11 H S Cys OH COOH Gly LEUKOTRIENE D 4 (LTD4) Leukotrienes are synthesized in neutrophils, monocytes, macrophages, mast cells and keratinocytes. Also in lung, spleen, brain and heart. A mixture of LTC4, LTD4 and LTE4 was previously known as the slow-reacting substance of anaphylaxis peptidoleukotrienes Leukotrienes