Introduction
 Definition: water insoluble compounds

 Most lipids are fatty acids or ester of fatty acid
 They are soluble in non-polar solvents such as petroleum ether,
benzene, chloroform

 Functions





Energy storage
Structure of cell membranes
Thermal blanket and cushion
Precursors of hormones (steroids and prostaglandins)

 Types:

 Fatty acids
 Neutral lipids
 Phospholipids and other lipids
Classification:
Saponifiable—can be hydrolyzed by
NaOH to make soap
Non-saponifiable—cannot be
hydrolyzed, includes sterols such as
cholesterol
Saponifiable lipids are further subdivided:
Simple- made of fatty acids plus
alcohol
Compound- either phospho- or
glyco- lipids, which contain phosphate or
sugar groups as well as fatty acids
Lipids are non-polar (hydrophobic) compounds, soluble in organic solvents.
Most membrane lipids are amphipathic, having a non-polar end and a polar end.
Fatty acids consist of a hydrocarbon chain with a carboxylic acid at one end.

-

A 16-C fatty acid: CH3(CH2)14 COO

Non-polar

-

polar

A 16-C fatty acid with one cis double bond between
represented as 16:1 cis ∆ 9.

C atoms 9-10 may be
Double bonds in fatty acids
usually have the cis configuration.
Most naturally occurring fatty
acids have an even number of
carbon atoms.

γ
4

β
3

α
2

O
C
1

O−

fatty acid with a cis-∆9
double bond

Some fatty acids and their common names:
14:0 myristic acid; 16:0 palmitic acid; 18:0 stearic acid;
18:1 cis∆9 oleic acid
18:2 cis∆9,12 linoleic acid
18:3 cis∆9,12,15 α-linonenic acid
20:4 cis∆5,8,11,14 arachidonic acid
20:5 cis∆5,8,11,14,17 eicosapentaenoic acid (an omega-3)
γ
4

β
3

α
2

O
C
1

O−

fatty acid with a cis-∆9
double bond

There is free rotation about C-C bonds in the fatty acid
hydrocarbon, except where there is a double bond.
Each cis double bond causes a kink in the chain.
Rotation about other C-C bonds would permit a more
linear structure than shown, but there would be a kink.
Fats & Oils
Simplest lipids, called triacylglycerols or
simply triglycerides. Main form of fat
storage in plants, animals, and man.
Males store 21% fat on average, females
26%.
Essential Fatty
Acids
Fatty acids which cannot be made by the body, but are
important for health and growth are called essential.
Linolenic acid, found mostly in vegetable oils, is an
important reducer of LDL (low density lipoproteins),
which help to take cholesterol into the blood and
cause atherosclerosis (buildup of plaque in the blood
vessels) a prime cause of heart attacks
Arachidonic acid is important in making eicosanoids,
molecules which regulate and protect the body from
invasion by microorganisms.
Simple Lipids—Fatty Acids
Simple triglycerides contain the same fatty
acid in all three positions; mixed
triglycerides contain two or three different
fatty acids
Fatty acids are carboxylic acids with from 4 to
20 carbons in the chain. The chain can be
saturated (only single bonds) or
unsaturated (one or more double bonds in
the chain), Saturated are usually solid at
room temperature, unsaturated are usually
liquid
Less common fatty acids
H3 C

 iso – isobutyric acid
 anteiso

R
H3 C

R
H3C
CH3

 odd carbon fatty acid – propionic acid
 hydroxy fatty acids – ricinoleic acid,

dihydroxystearic acid, cerebronic acid
 cyclic fatty acids – hydnocarpic, chaulmoogric
(CH2)12-CO2H
(CH2)10-CO2H
acid

chaulmoogric acid

hydnocarpic acid
H3C

COOH
CH3

CH3

CH3

CH3

PHYTANIC ACID
A plant derived fatty acid with 16 carbons and branches at C 3, C7, C11 and
C15. Present in dairy products and ruminant fats.
A peroxisome responsible for the metabolism of phytanic acid is defective
in some individuals. This leads to a disease called Refsum’s disease
Refsum’s disease is characterized by peripheral polyneuropathy, cerebellar
ataxia and retinitis pigmentosa
Less common fatty acids
H3C

(CH2)10 C

C

(CH2)4 COOH

TARIRIC ACID
H2C

CH

(CH2)4 C

C

C

C

(CH2)7 COOH

ERYTHROGENIC ACID

These are alkyne fatty acids
Unsaturated fatty acids
 number and position of the double

bond(s)Various conventions are in use for
indicating the
18
H3C (CH2)7

H
C

1

9

CH(CH2)7COOH

10
9
18:1,9 or ∆ 18:1

ω
H3C

n

2 3 4

5 6 7 8 9

10

CH2CH2CH2CH2CH2CH2CH2CH

17
ω
9, C18:1 or n-9, 18:1

18

CH(CH2)7COOH

10

9

1
Unsaturated fatty acids
 Monoenoic acids (one double bond):
 16:1, 9 ω7: palmitoleic acid (cis-9-hexadecenoic acid
 18:1, 9 ω9: oleic acid (cis-9-octadecenoic acid)
 18:1, 9 ω9: elaidic acid (trans-9-octadecenoic acid)
 22:1, 13 ω9: erucic acid (cis-13-docosenoic acid)
 24:1, 15 ω9: nervonic acid (cis-15-tetracosenoic acid)
Unsaturated fatty acids
 Trienoic acids (3 double bonds)
 18:3;6,9,12 ω6 : γ-linolenic acid (all cis-6,9,12octadecatrienoic acid)
 18:3; 9,12,15 ω3 : α-linolenic acid (all-cis-9,12,15octadecatrienoic acid)

 Tetraenoic acids (4 double bonds)
 20:4; 5,8,11,14 ω6: arachidonic acid (all-cis-5,8,11,14eicosatetraenoic acid)
Unsaturated fatty acids
 Pentaenoic acid (5 double bonds)
 20:5; 5,8,11,14,17 ω3: timnodonic acid or EPA
(all-cis-5,8,11,14,17-eicosapentaenoic acid)*

 Hexaenoic acid (6 double bonds)
 22:6; 4,7,10,13,16,19 ω3: cervonic acid or DHA
(all-cis-4,7,10,13,16,19-docosahexaenoic acid)*

Both FAs are found in cold water fish oils
Waxes
Waxes are simple lipids which are esters of long chain
alcohols and fatty acids. Beeswax is a 30 C alcohol
connected to a 16 C fatty acid

Waxes are completely water resistant and make the
coatings on leaves, skin, feathers, fur, and fruit. They
can be used on floors and furniture for the same
protecting quality.
4. Membrane lipids
1) phospholipids
- phosphoglyceride: phosphatidyl serine (ethanolamine,
choline, inositol)
- sphingolipid: spingosine → sphingomyelin
2) glycolipids
- sugar-containing lipids
- cerebrosides
- gangliosides
3) cholesterol
BIOLOGICAL MEMBRANES
O

Triacyl glycerol

HO

HO

CH2

O
C

C
CH2

O

CH2
CH

R1

O

H2 C

OH
OH

HC

CH2

O O

R2

C
H2C

GLYCEROL

O R1
C

CH

C
R2

O

O

O

O
C
R3

TRI ACYL GLYCEROL ( TRIGLYCERIDE)

R3
Glycerol phospholipids
O

O
O

O
R

CH2 O O
O

HC
CH2 O

R
R

P
OH

CH2 O O
O

HC
CH2 O

OH

O
O
R

CH2 O O
O

HC
CH2 O

O

CH3
+

N

CH2

P
OH

H3C

R

CH2

CH3

R

OH

NH2

CH2

P
O

CH2
O
O
R

CH2 O O

R

O

HC
CH2 O

CH2

P
O

OH

Phosphotidyl serine

NH2

HC
COOH

O
O
R

CH2 O O

R

O

HC
CH2 O

HO

P

O

OH

CH

OH

CH

Phosphotidyl Inositol

CH

CH

CH
CH

HO

OH

OH

O
O
R

CH 2 O O

R

O

HC

HC

P

CH 2 O

HO

OH

OH

O

Phosphatidyl glycerol

CH2
HC
OH

O

O

O
R

R

CH2 O O
O

HC
CH2 O

O
OH

R

HC

P
OH

O

CH2
HC
OH

O O

CH

P
O

CH2

O
HO

Diphosphatidylglycerol (cardiolipin)

CH2

O

R
O
O

O
H 2C

H2
C

C
H

O

O

P

H2
C

O

H2
C

NH2

OH

Phosphotidyl Ethanolamine

O
O

O
H2C

C
H

O

O
H2
C

O

CH3

P

H2
C

O

H2
C

OH

O

N

CH3

CH3

Phosphotidyl Choline
O

HO
O

H 2C
O

C
H

OH

O
H2
C

O

O

P

OH

OH
HO

O

OH

Phosphotidyl Inositol
O

O
H2C
O

C
H

NH2

O
H2
C

O

O

P
OH

H2
C

CH

C

O

OH

Phosphotidyl Serine
O
R
H2 C
O

R

O
C
H

OH

O

H2
C O

P

H
C

O

OH

H2
C

C
H

OH

OH

O

Phosphotidyl Glycerol
O

O
R
H2 C
R

O

O
C
H

H2
C O

OH

O
P

O

OH

H
C

C
H

H2
C

OH
O

OH

P
O

O

H2
C CH
O

O
CH2

R
O

O

Diphosphotidyl Glycerol

R
Ether glycerophospholipids
 Possess an ether linkage instead of an acyl

group at the C-1 position of glycerol
 PAF ( platelet activating factor)

 A potent mediator in inflammation, allergic response
and in shock (also responsible for asthma-like
symptom
 The ether linkage is stable in either acid or base

 Plasmalogens: cis α,β-unsaturated ethers


The alpha/beta unsaturated ether can be hydrolyzed more easily
Ether
glycerophospholipids
O

-

O

P
O

H2C
O

CH

O

CH3

O

CH2

CH2

N

-O

CH3

O

CH3
H2C

CH2
H

O

O

CH

O

CH2

CH2

N
CH3

CH2

O
C

C

P

CH3

O

O
H

CH3

A choline plasmalogen

platelet activating factor or PAF

CH3
Phospholipase A1

Phospholipase A2

O
O
CH2 O
R

O

HC
CH2 O

O
P
OH

R

O

X

Phospholipase C
Phospholipase D

SURFACTANT ( DIPALMITOYL PHOSPHATIDYL CHOLINE
O
O
CH2 O
PALMITIC

O

HC
CH2 O

O
P
OH

PALMITIC

H3C
N

CH2

O

CH3
+

CH2

CH3
SPHINGOLIPIDS
H 3C

SPHINGOMYELIN

CH2
CH2
CH2
CH2
CH2
CH2
CH2 O
CH2
CH2
CH2
CH2
CH2
CH2
CH2
C
Palmitic acid
HO

+

Hydrophobic end

1

CH2

R

CH2
CH2

NH2
H3C

CH2
CH2
CH2
CH2
CH2
CH2
CH
CH
OH
CH2
CH2
CH2
CH2
CH2
CH2
CH
CH
CH2
Sphingosine

OH

O
C
NH

R

CH
CH

HC
CH

O
CH2

O

CH2

P

OH

CH3

OH
+

CH2

N

O

CH3

CH3

CERAMIDE

Hydrophilic end

SPHINGOLIPIDS

H3C

CH2
CH2
CH2
CH2
CH2
CH2
CH2 O
CH2
CH2
CH2
CH2
CH2
CH2
CH2
C
NH
H3C
CH2
CH2
CH2
CH2
CH2
CH2
CH
CH
OH
CH2
CH2
CH2
CH2
CH2
CH2
CH
CH
CH2
Ceramide
Acylated Sphingosine

O
HO

Palmitic acid

+

NH2
OH

Sphingosine

OH

OH
O
NH

R

1

OH

CH2
CH2 O
CH2
C

Ceramide

OH

Acylated Sphingosine

NH
R

CH

CH

HC
OH
CH
CH2
OH

Ceramide

R

O

1

NH
R

OH
OH
Ceramide
SPHINGOLIPIDS
O
HO

Palmitic acid

+

NH2
OH

Sphingosine

OH

O
NH
OH
Ceramide

OH

Acylated Sphingosine

R

O

1

R

OH
OH
Ceramide
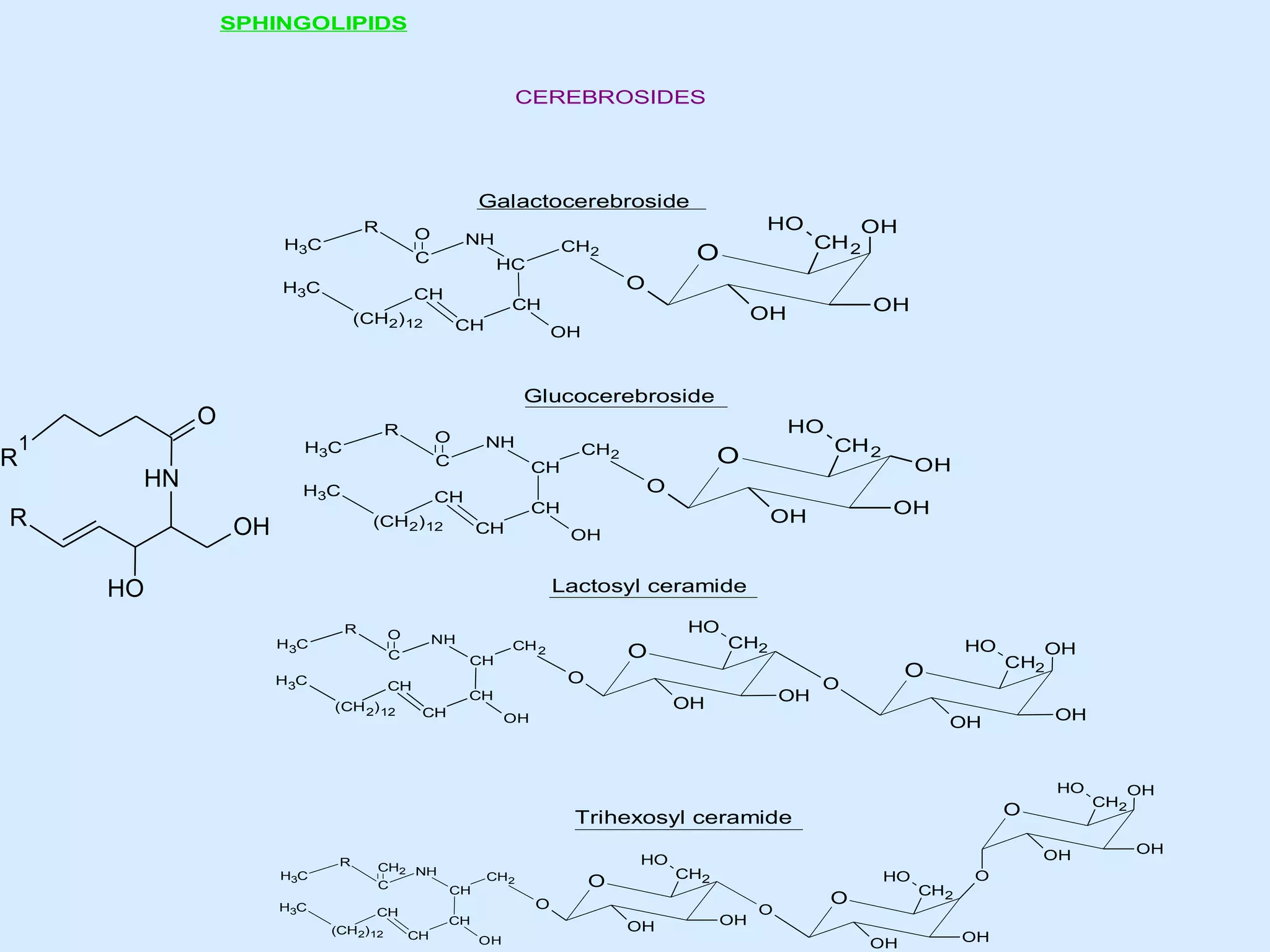
SPHINGOLIPIDS

CEREBROSIDES

Galactocerebroside
R

O

H3C

C

H3C

CH

O

OH
CH 2

O

CH
CH

OH

OH

OH

Glucocerebroside

O

R

1

O

H3C

HN

R

CH2

HC

(CH2) 12

R

HO

NH

C

H3C

CH

CH

CH2

O

CH

OH
OH

OH

OH

HO

CH 2

O

CH

(CH 2) 12

OH

HO

NH

Lactosyl ceramide
R

O

H3C

C

H3C

CH

CH 2

O

CH2

O

CH
(CH 2) 12

HO

NH

CH
CH

OH

OH

OH

HO

O

O

OH
CH2
OH

OH

HO

O

Trihexosyl ceramide
R
H3C
H3C

CH2 NH
C
CH

(CH 2)12

HO
CH

CH2

HO

O

CH
CH

O

OH
CH2

OH

OH

OH

O

O
OH

CH2

O

OH

OH
CH2
OH
Some Galactocerebrosides are sulfated at
position 3 of the galactose
CH2
R

1

CH2
CH2

O

HO

C

O

NH
R

CH
CH

O

HC
CH
OH

CH2

H

H

OH

HO
H

H

OSO3H
H
GANGLIOSIDES
HO
HO
HO
O
R

NH

H2
C

Cer
(CH2)12

O
O

Glc
OH

OH

O
OH

Gal
OH

GalNAc
O
NANA

NANA

CerGlcGalGalNAcGal

O C
CH3

O
H2
C

Gal

HO

HO

GM3

O

NH

GM1
GM2

OH
CH2

O

CH2

O

CH2

O

HO

OH
OH

Globoside Gb3

OH
O

HO

OH

OH

OH O

O
HO

OH

OH

O
O

O
HO

OH
HN
O

OH

OH
O

HO

NH

OH

Globoside Gb4

OH
O

O

OH O

O

O
HO

OH

OH

OH

OH

O
O
HO

O
OH
HN
O
THE
UNIVERSAL
BLOOD
GROUP
ANTIGENS
ARE
SPHINGOLIPIDS WHICH ARE EXPRESSED ON THE SURFACE
OF ERYTHROCYTES

Fuc(a1-2)
Gal(B1-4)GalNAc(B) O

Cer

GalNAc(a1-3)

Blood Group A
Fuc(a1-2)
Gal(B1-4)GalNAc(B) O

Cer

Gal(a1-3)

Blood Group B
Fuc(a1-2)
Gal(B1-4)GalNAc(B) O

Blood Group O

Cer
26

21
CH3

18
12
11

2

9
10

3

8

5
4

Polar Head

H
7

CH
16

14

H
HO

17

H

19
1

13

CH3
CH2

CH2

CH2

20

22

23

24

15

HC

25

CH3

27
CHOLESTEROL

6

Non polar Head
Steroids
Cholesterol, an

important constituent of cell
membranes, has a rigid ring
system and a short branched
hydrocarbon tail.

HO

Cholesterol

Cholesterol is largely
hydrophobic.
But it has one polar group,
a hydroxyl, making it
amphipathic.
PDB 1N83

cholesterol
HO

Cholesterol

Cholesterol
in membrane

Cholesterol inserts into bilayer membranes with its
hydroxyl group oriented toward the aqueous phase &
its hydrophobic ring system adjacent to fatty
acid chains of phospholipids.
The OH group of cholesterol forms hydrogen bonds
with polar phospholipid head groups.
Interaction with the relatively rigid cholesterol decreases the
mobility of hydrocarbon tails of phospholipids.

Cholesterol
in membrane

But the presence of cholesterol in a phospholipid membrane interferes with close
packing of fatty acid tails in the crystalline state, and thus inhibits transition to the
crystal state.
Phospholipid membranes with a high concentration of cholesterol have a fluidity
intermediate between the liquid crystal and crystal states.
OUT

IN
peripheral
Membrane proteins may
be classified as:
 peripheral
 integral
 having a lipid anchor

lipid
anchor

lipid bilayer

integral

Membrane
Proteins

Peripheral proteins are on the membrane surface.
They are water-soluble, with mostly hydrophilic surfaces.
Often peripheral proteins can be dislodged by conditions
that disrupt ionic & H-bond interactions, e.g.,
extraction with solutions containing high concentrations
of salts, change of pH, and/or chelators that bind
divalent cations.
peripheral
lipid
anchor

lipid bilayer

integral

Membrane
Proteins

Integral proteins have domains that extend into the
hydrocarbon core of the membrane.
Often they span the bilayer.
Intramembrane domains have largely hydrophobic
surfaces, that interact with membrane lipids.
lipid
anchor
membrane

cysteine
residue
palmitate

Some proteins bind to membranes via a covalently
attached lipid anchor, that inserts into the bilayer.
A protein may link to the cytosolic surface of the plasma
membrane via a covalently attached fatty acid (e.g.,
palmitate or myristate) or an isoprenoid group.
Palmitate is usually attached via an ester linkage to the
thiol of a cysteine residue.
A protein may be released from plasma membrane to
cytosol via depalmitoylation, hydrolysis of the ester link.
CH3

CH3
H3C

C

CH

CH2

CH2

C

CH3
CH

CH2

CH2 C

CH

CH2

Protein

S

farnesyl residue linked to protein via cysteine S

An isoprenoid such as a farnesyl
residue, is attached to some proteins
via a thioether linkage to a cysteine
thiol.

lipid
anchor
membrane
Glycosylphosphatidylinositols (GPI) are complex
glycolipids that attach some proteins to the outer surface
of the plasma membrane.
The linkage is similar to the following, although the
oligosaccharide composition may vary:
protein (C-term.) - phosphoethanolamine – mannose - mannose mannose - N-acetylglucosamine – inositol (of PI in membrane)

The protein is tethered some distance out from the
membrane surface by the long oligosaccharide chain.
GPI-linked proteins may be released from the outer
cell surface by phospholipases.
Lipid storage diseases





also known as sphingolipidoses
genetically acquired
due to the deficiency or absence of a catabolic enzyme
examples:





Tay Sachs disease
Gaucher’s disease
Niemann-Pick disease
Fabry’s disease

 http://www.ninds.nih.gov/disorders/lipid_storage_diseases/lipid
What are Lipid Storage Diseases?
Lipid storage diseases are a group of inherited metabolic disorders in
which harmful amounts of fatty materials (called lipids) accumulate in
some of the body’s cells and tissues. Over time, this excessive storage of
fats can cause permanent cellular and tissue damage, particularly in the
brain, peripheral nervous system, liver, spleen, and bone marrow. Lipid
storage diseases are inherited from one or both parents who carry a
defective gene. Symptoms may appear early in life or develop in the
teen or even adult years. Neurological complications of the lipid storage
diseases may include ataxia, eye paralysis, brain degeneration, seizures,
learning problems, spasticity, feeding and swallowing difficulties, slurred
speech, loss of muscle tone, hypersensitivity to touch, burning pain in
the arms and legs, and clouding of the cornea
Genetic defects in
ganglioside metabolism
 leads to a buildup of gangliosides

(ganglioside GM2) in nerve cells, killing them
enzyme that hydrolyzes here (beta hexosaminodase)
is absent in Tay-Sachs disease

Gal

NAc Gal Gal Glu
NAcNeu

CER
Tay-Sachs disease
 a fatal disease which is due to the deficiency of





hexosaminidase A activity
accumulation of ganglioside GM2 in the brain of
infants
mental retardation, blindness, inability to
swallow
a “cherry red “ spot develops on the macula
(back of the the eyes)
Tay-Sachs children usually die by age 5 and often
sooner
Genetic defects in
globoside metabolism
 Fabry’s disease:
 Accumulation of ceramide trihexoside in kidneys of
patients who are deficient in lysosomal αgalactosidase A sometimes referred to as ceramide
trihexosidase
 Skin rash, kidney failure, pains in the lower
extremities
 Now treated with enzyme replacement therapy:
agalsidase beta (Fabrazyme)
Genetic defects in
cerebroside metabolism
 Krabbe’s disease:

 Also known as globoid leukodystrophy
 Increased amount of galactocerebroside in the white matter of the
brain
 Caused by a deficiency in the lysosomal enzyme galactocerebrosidase

 Gaucher’s disease:

Caused by a deficiency of lysosomal glucocerebrosidase
Increase content of glucocerebroside in the spleen and liver
Erosion of long bones and pelvis
Enzyme replacement therapy is available for the Type I disease
(Imiglucerase or Cerezyme)
 Also miglustat (Zavesca) – an oral drug which inhibits the enzyme
glucosylceramide synthase, an essential enzyme for the synthesis of
most glycosphingolipids




Miglustat (Zavesca)
Genetic defects in
ganglioside metabolism
 Metachromatic leukodystrophy
 accumulation of sulfogalactocerebroside (sulfatide) in the
central nervous system of patient having a deficiency of a
specific sulfatase
 mental retardation, nerves stain yellowish-brown with cresyl
violet dye (metachromasia)

 Generalized gangliosidosis
 accumulation of ganglioside GM1
 deficiency of GM1 ganglioside: β-galactosidase
 mental retardation, liver enlargement, skeletal involvement
Niemann-Pick disease
 principal storage substance: sphingomyelin

which accumulates in reticuloendothelial cells
 enzyme deficiency: sphingomyelinase
 liver and spleen enlargement, mental
retardation
Prostaglandins and other
eicosanoids (prostanoids)
 local hormones, unstable, key mediators of

inflammation
 derivatives of prostanoic acid
9

8

COOH
20

11 12

15
prostanoic acid
Prostaglandins
O
O

O

R

O
OO

O
P

X

H20

phospholipase A2 (enzyme that hydrolyzes
at the sn-2 position - inhibited
indirectly by corticosteroids)

O

COOH
CH3
COX is inhibibited by
aspirin and other NSAIDs

very unstable
bond

prostaglandin synthase
(also known as cyclooxygenase)

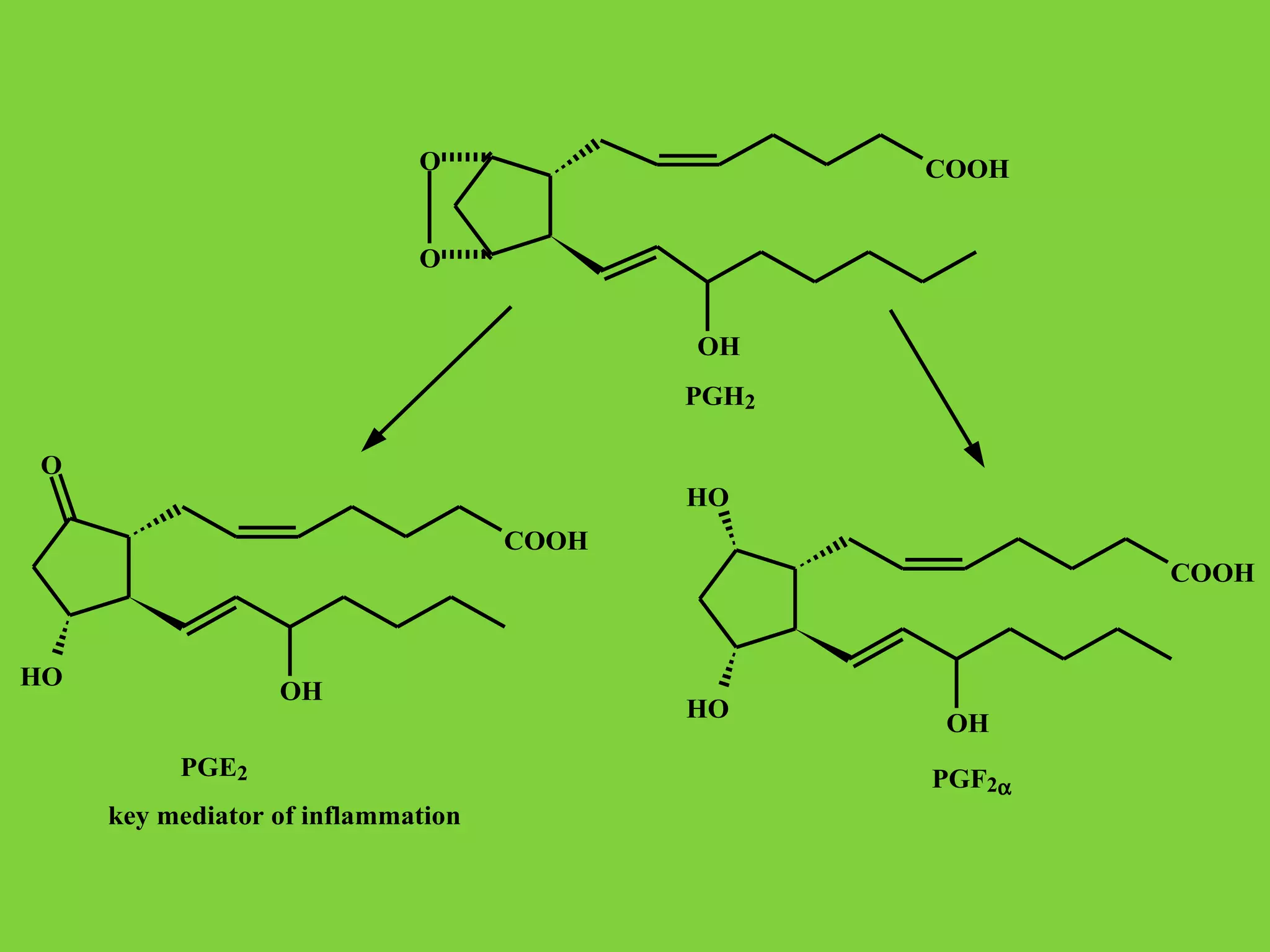
O

COOH

O

PGH2

OH
O

COOH

O
OH
PGH2
O
HO
COOH
COOH

HO

OH
PGE2
key mediator of inflammation

HO

OH
PGF2α
O

O

O

HO

R1

R1

R1

R1

R2

R2

R2

R2

PGB

PGA
O
R1

O

PGC

PGD

HO
R1

R1

R1

O

O
R2
HO

R2

O

R2

HO

PGE

PGG and PGH

PGFa

R2
HO
PGI

R1

OH

O
R1

R1

R1

O
R2
O
PGJ

R2

O

R2

HO

O

O
PGK

TXA

TXB

SUBSTITUTION PATTERN OF PROSTANOIDS

R2
Prostacyclins, thromboxanes
and leukotrienes
 PGH2 in platelets is converted to thromboxane A2

(TXA2) a vasoconstrictor which also promotes
platelet aggregation
 PGH2 in vascular endothelial cells is converted to
PGI2, a vasodilator which inhibits platelet
aggregation
 Aspirin’s irreversible inhibition of platelet COX
leads to its anticoagulant effect
Functions of eicosanoids
 Prostaglandins – particularly PGE1 – block gastric

production and thus are gastric protection
agents
 Misoprostol (Cytotec) is a stable PGE1 analog that
is used to prevent ulceration by long term NSAID
treatment
 PGE1 also has vasodilator effects
 Alprostadil (PGE1) – used to treat infants with

congenital heart defects
 Also used in impotance (Muse)
Functions of eicosanoids
 PGF2α – causes constriction of the uterus
 Carboprost; “Hebamate” (15-Me-PGF2α) – induces

abortions

 PGE2 is applied locally to help induce labor at

term
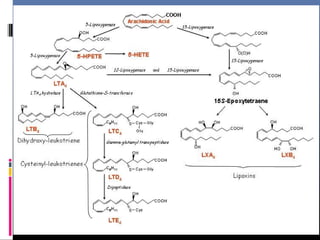
Leukotrienes
Non-peptidoleuktrienes: LTA4 is formed by dehydration of
5-HPETE, and LTB4 by hydrolysis of the epoxide of LTA4

O
COOH
C5H11

HO
COOH

LEUKOTRIENE A4 (LTA4)
C5H11

OH

LEKOTRIENE B4 (LTB4)
Biological activities of
leukotrienes
1. LTB4
2. LTC4
3. LTD4
4. LTE4

- potent chemoattractent
- mediator of hyperalgesia
- growth factor for keratinocytes
- constricts lung smooth muscle
- promotes capillary leakage
1000 X histamine
- constricts smooth muscle; lung
- airway hyperactivity
- vasoconstriction
- 1000 x less potent than LTD4
(except in asthmatics)
Leukotrienes
Leukotrienes are derived from arachidonic acid via the enzyme
5-lipoxygenase which converts arachidonic acid to 5-HPETE
(5-hydroperoxyeicosatetranoic acid) and subsequently by
dehydration to LTA4

OH

OH

COOH

COOH
H
C5H11

H
S
Cys

gGlu
LEUKOTRIENE F4 (LTF4)

peptidoleukotrienes

C5H11

S
Cys

Gly

gGlu
LEUKOTRIENE C4 (LTC4)
Leukotrienes
Leukotrienes are synthesized in neutrophils, monocytes, macrophages,
mast cells and keratinocytes. Also in lung, spleen, brain and heart.
A mixture of LTC4, LTD4 and LTE4 was previously known as the
slow-reacting substance of anaphylaxis

OH

OH

COOH

COOH
H
C5H11

H
S
Cys

LEUKOTRIENE E4 (LTE4)

peptidoleukotrienes

C5H11

S
Cys

Gly

LEUKOTRIENE D4 (LTD4)

Lipids

  • 1.
    Introduction  Definition: waterinsoluble compounds  Most lipids are fatty acids or ester of fatty acid  They are soluble in non-polar solvents such as petroleum ether, benzene, chloroform  Functions     Energy storage Structure of cell membranes Thermal blanket and cushion Precursors of hormones (steroids and prostaglandins)  Types:  Fatty acids  Neutral lipids  Phospholipids and other lipids
  • 2.
    Classification: Saponifiable—can be hydrolyzedby NaOH to make soap Non-saponifiable—cannot be hydrolyzed, includes sterols such as cholesterol Saponifiable lipids are further subdivided: Simple- made of fatty acids plus alcohol Compound- either phospho- or glyco- lipids, which contain phosphate or sugar groups as well as fatty acids
  • 3.
    Lipids are non-polar(hydrophobic) compounds, soluble in organic solvents. Most membrane lipids are amphipathic, having a non-polar end and a polar end. Fatty acids consist of a hydrocarbon chain with a carboxylic acid at one end. - A 16-C fatty acid: CH3(CH2)14 COO Non-polar - polar A 16-C fatty acid with one cis double bond between represented as 16:1 cis ∆ 9. C atoms 9-10 may be
  • 5.
    Double bonds infatty acids usually have the cis configuration. Most naturally occurring fatty acids have an even number of carbon atoms. γ 4 β 3 α 2 O C 1 O− fatty acid with a cis-∆9 double bond Some fatty acids and their common names: 14:0 myristic acid; 16:0 palmitic acid; 18:0 stearic acid; 18:1 cis∆9 oleic acid 18:2 cis∆9,12 linoleic acid 18:3 cis∆9,12,15 α-linonenic acid 20:4 cis∆5,8,11,14 arachidonic acid 20:5 cis∆5,8,11,14,17 eicosapentaenoic acid (an omega-3)
  • 7.
    γ 4 β 3 α 2 O C 1 O− fatty acid witha cis-∆9 double bond There is free rotation about C-C bonds in the fatty acid hydrocarbon, except where there is a double bond. Each cis double bond causes a kink in the chain. Rotation about other C-C bonds would permit a more linear structure than shown, but there would be a kink.
  • 9.
    Fats & Oils Simplestlipids, called triacylglycerols or simply triglycerides. Main form of fat storage in plants, animals, and man. Males store 21% fat on average, females 26%.
  • 10.
    Essential Fatty Acids Fatty acidswhich cannot be made by the body, but are important for health and growth are called essential. Linolenic acid, found mostly in vegetable oils, is an important reducer of LDL (low density lipoproteins), which help to take cholesterol into the blood and cause atherosclerosis (buildup of plaque in the blood vessels) a prime cause of heart attacks Arachidonic acid is important in making eicosanoids, molecules which regulate and protect the body from invasion by microorganisms.
  • 11.
    Simple Lipids—Fatty Acids Simpletriglycerides contain the same fatty acid in all three positions; mixed triglycerides contain two or three different fatty acids Fatty acids are carboxylic acids with from 4 to 20 carbons in the chain. The chain can be saturated (only single bonds) or unsaturated (one or more double bonds in the chain), Saturated are usually solid at room temperature, unsaturated are usually liquid
  • 13.
    Less common fattyacids H3 C  iso – isobutyric acid  anteiso R H3 C R H3C CH3  odd carbon fatty acid – propionic acid  hydroxy fatty acids – ricinoleic acid, dihydroxystearic acid, cerebronic acid  cyclic fatty acids – hydnocarpic, chaulmoogric (CH2)12-CO2H (CH2)10-CO2H acid chaulmoogric acid hydnocarpic acid
  • 14.
    H3C COOH CH3 CH3 CH3 CH3 PHYTANIC ACID A plantderived fatty acid with 16 carbons and branches at C 3, C7, C11 and C15. Present in dairy products and ruminant fats. A peroxisome responsible for the metabolism of phytanic acid is defective in some individuals. This leads to a disease called Refsum’s disease Refsum’s disease is characterized by peripheral polyneuropathy, cerebellar ataxia and retinitis pigmentosa
  • 15.
    Less common fattyacids H3C (CH2)10 C C (CH2)4 COOH TARIRIC ACID H2C CH (CH2)4 C C C C (CH2)7 COOH ERYTHROGENIC ACID These are alkyne fatty acids
  • 16.
    Unsaturated fatty acids number and position of the double bond(s)Various conventions are in use for indicating the 18 H3C (CH2)7 H C 1 9 CH(CH2)7COOH 10 9 18:1,9 or ∆ 18:1 ω H3C n 2 3 4 5 6 7 8 9 10 CH2CH2CH2CH2CH2CH2CH2CH 17 ω 9, C18:1 or n-9, 18:1 18 CH(CH2)7COOH 10 9 1
  • 17.
    Unsaturated fatty acids Monoenoic acids (one double bond):  16:1, 9 ω7: palmitoleic acid (cis-9-hexadecenoic acid  18:1, 9 ω9: oleic acid (cis-9-octadecenoic acid)  18:1, 9 ω9: elaidic acid (trans-9-octadecenoic acid)  22:1, 13 ω9: erucic acid (cis-13-docosenoic acid)  24:1, 15 ω9: nervonic acid (cis-15-tetracosenoic acid)
  • 18.
    Unsaturated fatty acids Trienoic acids (3 double bonds)  18:3;6,9,12 ω6 : γ-linolenic acid (all cis-6,9,12octadecatrienoic acid)  18:3; 9,12,15 ω3 : α-linolenic acid (all-cis-9,12,15octadecatrienoic acid)  Tetraenoic acids (4 double bonds)  20:4; 5,8,11,14 ω6: arachidonic acid (all-cis-5,8,11,14eicosatetraenoic acid)
  • 19.
    Unsaturated fatty acids Pentaenoic acid (5 double bonds)  20:5; 5,8,11,14,17 ω3: timnodonic acid or EPA (all-cis-5,8,11,14,17-eicosapentaenoic acid)*  Hexaenoic acid (6 double bonds)  22:6; 4,7,10,13,16,19 ω3: cervonic acid or DHA (all-cis-4,7,10,13,16,19-docosahexaenoic acid)* Both FAs are found in cold water fish oils
  • 20.
    Waxes Waxes are simplelipids which are esters of long chain alcohols and fatty acids. Beeswax is a 30 C alcohol connected to a 16 C fatty acid Waxes are completely water resistant and make the coatings on leaves, skin, feathers, fur, and fruit. They can be used on floors and furniture for the same protecting quality.
  • 21.
    4. Membrane lipids 1)phospholipids - phosphoglyceride: phosphatidyl serine (ethanolamine, choline, inositol) - sphingolipid: spingosine → sphingomyelin 2) glycolipids - sugar-containing lipids - cerebrosides - gangliosides 3) cholesterol
  • 23.
    BIOLOGICAL MEMBRANES O Triacyl glycerol HO HO CH2 O C C CH2 O CH2 CH R1 O H2C OH OH HC CH2 O O R2 C H2C GLYCEROL O R1 C CH C R2 O O O O C R3 TRI ACYL GLYCEROL ( TRIGLYCERIDE) R3
  • 24.
    Glycerol phospholipids O O O O R CH2 OO O HC CH2 O R R P OH CH2 O O O HC CH2 O OH O O R CH2 O O O HC CH2 O O CH3 + N CH2 P OH H3C R CH2 CH3 R OH NH2 CH2 P O CH2
  • 25.
    O O R CH2 O O R O HC CH2O CH2 P O OH Phosphotidyl serine NH2 HC COOH O O R CH2 O O R O HC CH2 O HO P O OH CH OH CH Phosphotidyl Inositol CH CH CH CH HO OH OH O O R CH 2 O O R O HC HC P CH 2 O HO OH OH O Phosphatidyl glycerol CH2 HC OH O O O R R CH2 O O O HC CH2 O O OH R HC P OH O CH2 HC OH O O CH P O CH2 O HO Diphosphatidylglycerol (cardiolipin) CH2 O R
  • 26.
    O O O H 2C H2 C C H O O P H2 C O H2 C NH2 OH Phosphotidyl Ethanolamine O O O H2C C H O O H2 C O CH3 P H2 C O H2 C OH O N CH3 CH3 PhosphotidylCholine O HO O H 2C O C H OH O H2 C O O P OH OH HO O OH Phosphotidyl Inositol O O H2C O C H NH2 O H2 C O O P OH H2 C CH C O OH Phosphotidyl Serine
  • 27.
    O R H2 C O R O C H OH O H2 C O P H C O OH H2 C C H OH OH O PhosphotidylGlycerol O O R H2 C R O O C H H2 C O OH O P O OH H C C H H2 C OH O OH P O O H2 C CH O O CH2 R O O Diphosphotidyl Glycerol R
  • 28.
    Ether glycerophospholipids  Possessan ether linkage instead of an acyl group at the C-1 position of glycerol  PAF ( platelet activating factor)  A potent mediator in inflammation, allergic response and in shock (also responsible for asthma-like symptom  The ether linkage is stable in either acid or base  Plasmalogens: cis α,β-unsaturated ethers  The alpha/beta unsaturated ether can be hydrolyzed more easily
  • 29.
  • 30.
    Phospholipase A1 Phospholipase A2 O O CH2O R O HC CH2 O O P OH R O X Phospholipase C Phospholipase D SURFACTANT ( DIPALMITOYL PHOSPHATIDYL CHOLINE O O CH2 O PALMITIC O HC CH2 O O P OH PALMITIC H3C N CH2 O CH3 + CH2 CH3
  • 31.
    SPHINGOLIPIDS H 3C SPHINGOMYELIN CH2 CH2 CH2 CH2 CH2 CH2 CH2 O CH2 CH2 CH2 CH2 CH2 CH2 CH2 C Palmiticacid HO + Hydrophobic end 1 CH2 R CH2 CH2 NH2 H3C CH2 CH2 CH2 CH2 CH2 CH2 CH CH OH CH2 CH2 CH2 CH2 CH2 CH2 CH CH CH2 Sphingosine OH O C NH R CH CH HC CH O CH2 O CH2 P OH CH3 OH + CH2 N O CH3 CH3 CERAMIDE Hydrophilic end SPHINGOLIPIDS H3C CH2 CH2 CH2 CH2 CH2 CH2 CH2 O CH2 CH2 CH2 CH2 CH2 CH2 CH2 C NH H3C CH2 CH2 CH2 CH2 CH2 CH2 CH CH OH CH2 CH2 CH2 CH2 CH2 CH2 CH CH CH2 Ceramide Acylated Sphingosine O HO Palmitic acid + NH2 OH Sphingosine OH OH O NH R 1 OH CH2 CH2 O CH2 C Ceramide OH Acylated Sphingosine NH R CH CH HC OH CH CH2 OH Ceramide R O 1 NH R OH OH Ceramide
  • 32.
  • 33.
    SPHINGOLIPIDS CEREBROSIDES Galactocerebroside R O H3C C H3C CH O OH CH 2 O CH CH OH OH OH Glucocerebroside O R 1 O H3C HN R CH2 HC (CH2) 12 R HO NH C H3C CH CH CH2 O CH OH OH OH OH HO CH2 O CH (CH 2) 12 OH HO NH Lactosyl ceramide R O H3C C H3C CH CH 2 O CH2 O CH (CH 2) 12 HO NH CH CH OH OH OH HO O O OH CH2 OH OH HO O Trihexosyl ceramide R H3C H3C CH2 NH C CH (CH 2)12 HO CH CH2 HO O CH CH O OH CH2 OH OH OH O O OH CH2 O OH OH CH2 OH
  • 34.
    Some Galactocerebrosides aresulfated at position 3 of the galactose CH2 R 1 CH2 CH2 O HO C O NH R CH CH O HC CH OH CH2 H H OH HO H H OSO3H H
  • 35.
  • 36.
  • 37.
    THE UNIVERSAL BLOOD GROUP ANTIGENS ARE SPHINGOLIPIDS WHICH AREEXPRESSED ON THE SURFACE OF ERYTHROCYTES Fuc(a1-2) Gal(B1-4)GalNAc(B) O Cer GalNAc(a1-3) Blood Group A Fuc(a1-2) Gal(B1-4)GalNAc(B) O Cer Gal(a1-3) Blood Group B Fuc(a1-2) Gal(B1-4)GalNAc(B) O Blood Group O Cer
  • 38.
  • 39.
  • 40.
    Cholesterol, an important constituentof cell membranes, has a rigid ring system and a short branched hydrocarbon tail. HO Cholesterol Cholesterol is largely hydrophobic. But it has one polar group, a hydroxyl, making it amphipathic. PDB 1N83 cholesterol
  • 41.
    HO Cholesterol Cholesterol in membrane Cholesterol insertsinto bilayer membranes with its hydroxyl group oriented toward the aqueous phase & its hydrophobic ring system adjacent to fatty acid chains of phospholipids. The OH group of cholesterol forms hydrogen bonds with polar phospholipid head groups.
  • 42.
    Interaction with therelatively rigid cholesterol decreases the mobility of hydrocarbon tails of phospholipids. Cholesterol in membrane But the presence of cholesterol in a phospholipid membrane interferes with close packing of fatty acid tails in the crystalline state, and thus inhibits transition to the crystal state. Phospholipid membranes with a high concentration of cholesterol have a fluidity intermediate between the liquid crystal and crystal states.
  • 44.
  • 47.
    peripheral Membrane proteins may beclassified as:  peripheral  integral  having a lipid anchor lipid anchor lipid bilayer integral Membrane Proteins Peripheral proteins are on the membrane surface. They are water-soluble, with mostly hydrophilic surfaces. Often peripheral proteins can be dislodged by conditions that disrupt ionic & H-bond interactions, e.g., extraction with solutions containing high concentrations of salts, change of pH, and/or chelators that bind divalent cations.
  • 48.
    peripheral lipid anchor lipid bilayer integral Membrane Proteins Integral proteinshave domains that extend into the hydrocarbon core of the membrane. Often they span the bilayer. Intramembrane domains have largely hydrophobic surfaces, that interact with membrane lipids.
  • 51.
    lipid anchor membrane cysteine residue palmitate Some proteins bindto membranes via a covalently attached lipid anchor, that inserts into the bilayer. A protein may link to the cytosolic surface of the plasma membrane via a covalently attached fatty acid (e.g., palmitate or myristate) or an isoprenoid group. Palmitate is usually attached via an ester linkage to the thiol of a cysteine residue. A protein may be released from plasma membrane to cytosol via depalmitoylation, hydrolysis of the ester link.
  • 52.
    CH3 CH3 H3C C CH CH2 CH2 C CH3 CH CH2 CH2 C CH CH2 Protein S farnesyl residuelinked to protein via cysteine S An isoprenoid such as a farnesyl residue, is attached to some proteins via a thioether linkage to a cysteine thiol. lipid anchor membrane
  • 57.
    Glycosylphosphatidylinositols (GPI) arecomplex glycolipids that attach some proteins to the outer surface of the plasma membrane. The linkage is similar to the following, although the oligosaccharide composition may vary: protein (C-term.) - phosphoethanolamine – mannose - mannose mannose - N-acetylglucosamine – inositol (of PI in membrane) The protein is tethered some distance out from the membrane surface by the long oligosaccharide chain. GPI-linked proteins may be released from the outer cell surface by phospholipases.
  • 58.
    Lipid storage diseases     alsoknown as sphingolipidoses genetically acquired due to the deficiency or absence of a catabolic enzyme examples:     Tay Sachs disease Gaucher’s disease Niemann-Pick disease Fabry’s disease  http://www.ninds.nih.gov/disorders/lipid_storage_diseases/lipid
  • 59.
    What are LipidStorage Diseases? Lipid storage diseases are a group of inherited metabolic disorders in which harmful amounts of fatty materials (called lipids) accumulate in some of the body’s cells and tissues. Over time, this excessive storage of fats can cause permanent cellular and tissue damage, particularly in the brain, peripheral nervous system, liver, spleen, and bone marrow. Lipid storage diseases are inherited from one or both parents who carry a defective gene. Symptoms may appear early in life or develop in the teen or even adult years. Neurological complications of the lipid storage diseases may include ataxia, eye paralysis, brain degeneration, seizures, learning problems, spasticity, feeding and swallowing difficulties, slurred speech, loss of muscle tone, hypersensitivity to touch, burning pain in the arms and legs, and clouding of the cornea
  • 60.
    Genetic defects in gangliosidemetabolism  leads to a buildup of gangliosides (ganglioside GM2) in nerve cells, killing them enzyme that hydrolyzes here (beta hexosaminodase) is absent in Tay-Sachs disease Gal NAc Gal Gal Glu NAcNeu CER
  • 61.
    Tay-Sachs disease  afatal disease which is due to the deficiency of     hexosaminidase A activity accumulation of ganglioside GM2 in the brain of infants mental retardation, blindness, inability to swallow a “cherry red “ spot develops on the macula (back of the the eyes) Tay-Sachs children usually die by age 5 and often sooner
  • 62.
    Genetic defects in globosidemetabolism  Fabry’s disease:  Accumulation of ceramide trihexoside in kidneys of patients who are deficient in lysosomal αgalactosidase A sometimes referred to as ceramide trihexosidase  Skin rash, kidney failure, pains in the lower extremities  Now treated with enzyme replacement therapy: agalsidase beta (Fabrazyme)
  • 63.
    Genetic defects in cerebrosidemetabolism  Krabbe’s disease:  Also known as globoid leukodystrophy  Increased amount of galactocerebroside in the white matter of the brain  Caused by a deficiency in the lysosomal enzyme galactocerebrosidase  Gaucher’s disease: Caused by a deficiency of lysosomal glucocerebrosidase Increase content of glucocerebroside in the spleen and liver Erosion of long bones and pelvis Enzyme replacement therapy is available for the Type I disease (Imiglucerase or Cerezyme)  Also miglustat (Zavesca) – an oral drug which inhibits the enzyme glucosylceramide synthase, an essential enzyme for the synthesis of most glycosphingolipids    
  • 64.
  • 65.
    Genetic defects in gangliosidemetabolism  Metachromatic leukodystrophy  accumulation of sulfogalactocerebroside (sulfatide) in the central nervous system of patient having a deficiency of a specific sulfatase  mental retardation, nerves stain yellowish-brown with cresyl violet dye (metachromasia)  Generalized gangliosidosis  accumulation of ganglioside GM1  deficiency of GM1 ganglioside: β-galactosidase  mental retardation, liver enlargement, skeletal involvement
  • 66.
    Niemann-Pick disease  principalstorage substance: sphingomyelin which accumulates in reticuloendothelial cells  enzyme deficiency: sphingomyelinase  liver and spleen enlargement, mental retardation
  • 68.
    Prostaglandins and other eicosanoids(prostanoids)  local hormones, unstable, key mediators of inflammation  derivatives of prostanoic acid 9 8 COOH 20 11 12 15 prostanoic acid
  • 69.
  • 71.
    O O O R O OO O P X H20 phospholipase A2 (enzymethat hydrolyzes at the sn-2 position - inhibited indirectly by corticosteroids) O COOH CH3 COX is inhibibited by aspirin and other NSAIDs very unstable bond prostaglandin synthase (also known as cyclooxygenase) O COOH O PGH2 OH
  • 72.
  • 73.
  • 74.
    Prostacyclins, thromboxanes and leukotrienes PGH2 in platelets is converted to thromboxane A2 (TXA2) a vasoconstrictor which also promotes platelet aggregation  PGH2 in vascular endothelial cells is converted to PGI2, a vasodilator which inhibits platelet aggregation  Aspirin’s irreversible inhibition of platelet COX leads to its anticoagulant effect
  • 75.
    Functions of eicosanoids Prostaglandins – particularly PGE1 – block gastric production and thus are gastric protection agents  Misoprostol (Cytotec) is a stable PGE1 analog that is used to prevent ulceration by long term NSAID treatment  PGE1 also has vasodilator effects  Alprostadil (PGE1) – used to treat infants with congenital heart defects  Also used in impotance (Muse)
  • 76.
    Functions of eicosanoids PGF2α – causes constriction of the uterus  Carboprost; “Hebamate” (15-Me-PGF2α) – induces abortions  PGE2 is applied locally to help induce labor at term
  • 77.
    Leukotrienes Non-peptidoleuktrienes: LTA4 isformed by dehydration of 5-HPETE, and LTB4 by hydrolysis of the epoxide of LTA4 O COOH C5H11 HO COOH LEUKOTRIENE A4 (LTA4) C5H11 OH LEKOTRIENE B4 (LTB4)
  • 79.
    Biological activities of leukotrienes 1.LTB4 2. LTC4 3. LTD4 4. LTE4 - potent chemoattractent - mediator of hyperalgesia - growth factor for keratinocytes - constricts lung smooth muscle - promotes capillary leakage 1000 X histamine - constricts smooth muscle; lung - airway hyperactivity - vasoconstriction - 1000 x less potent than LTD4 (except in asthmatics)
  • 80.
    Leukotrienes Leukotrienes are derivedfrom arachidonic acid via the enzyme 5-lipoxygenase which converts arachidonic acid to 5-HPETE (5-hydroperoxyeicosatetranoic acid) and subsequently by dehydration to LTA4 OH OH COOH COOH H C5H11 H S Cys gGlu LEUKOTRIENE F4 (LTF4) peptidoleukotrienes C5H11 S Cys Gly gGlu LEUKOTRIENE C4 (LTC4)
  • 81.
    Leukotrienes Leukotrienes are synthesizedin neutrophils, monocytes, macrophages, mast cells and keratinocytes. Also in lung, spleen, brain and heart. A mixture of LTC4, LTD4 and LTE4 was previously known as the slow-reacting substance of anaphylaxis OH OH COOH COOH H C5H11 H S Cys LEUKOTRIENE E4 (LTE4) peptidoleukotrienes C5H11 S Cys Gly LEUKOTRIENE D4 (LTD4)