UNIT I – INTRODUCTION TO CAE AND
ELEMENTAL PROPERTIES
LECTURE O1 : INTRODUCTION TO
CAE
COMPUTER AIDED ENGINEERING
UNIT I
Introduction to CAE and Elemental
Properties
By
Dr. Dinesh Y. Dhande
Associate Professor
Department of Mechanical Engineering
AISSMS College of Engineering, Pune
CONTENTS
• INTRODUCTION
• USE OF CAE IN PRODUCT DEVELOPMENT
• DISCRETIZATION METHODS : FEM,FDM AND FVM
• CAE TOOLS
• ELEMET SHAPES
• SHAPE FUNCTIONS
INTRODUCTION
• The computers have been entered in all the fields and are used widely for
various purposes.
• In Engineering industry, computers are mainly used in three areas :
Computer Aided Design (CAD) , Computer Aided Manufacturing (CAM) and
Computer Aided Engineering (CAE).
• In Computer Aided Design (CAD), the computers are used for creation,
modification, analysis and optimization.
• In Computer Aided Manufacturing (CAM), the computer systems are used
to plan , manage and control the manufacturing operations through direct
or indirect computer interfaces with manufacturing machines (CNC).
• In Computer Aided Engineering (CAE), the computers are used for
engineering analysis like stress distribution over the body for loading, failure
analysis, modal analysis, flow analysis, temperature distribution etc.
COMPUTER AIDED ENGINEERING
• Computer-aided engineering (CAE) is the use of computer software to simulate
performance in order to improve product designs or assist in the resolution of
engineering problems for a wide range of industries. This includes simulation,
validation and optimization of products, processes, and manufacturing tools.
• A typical CAE process comprises of pre-processing, solving, and post
processing steps. In the pre-processing phase, engineers model the geometry
and the physical properties of the design, as well as the environment in the form
of applied loads or constraints. Next the model is solved using an appropriate
mathematical formulation of the underlying physics. In the post-processing
phase, the results are presented to the engineer of review.
BENEFITS OF COMPUTER AIDED
ENGINEERING
• Designs decision can be made based on their impact on performance.
• Designs can be evaluated and refined using computer simulation rather than
physical prototype testing saving money and time.
• CAE can provide performance insights earlier in the development process,
when design changes are less expensive to make.
• CAE helps engineering teams manage risk and understand the performance
implications of their designs.
APPLICATIONS OF COMPUTER AIDED
ENGINEERING
CAE applications support a wide range of engineering disciplines or phenomena.
• Stress and dynamics analysis on components and assemblies using finite element analysis
(FEA)
• Thermal and fluid analysis using computational fluid dynamics (CFD)
• Kinematics and dynamic analysis of mechanisms (multibody dynamics)
• Acoustics analysis using FEA or a boundary element method (BEM)
• 1D CAE, or mechatronic system simulation, for multi-domain mechatronics system design.
• Control systems analysis.
• Simulation of manufacturing processes like casting, moulding and die press forming
• Optimization of the product or process
Crash Test simulation
Contact Stress Analysis
Aerodynamics Pump Flow Brake Analysis
Beam Deflection
ROLE OF CAE IN PRODUCT DEVELOPMENT
• Enhancement in design values – With the aid of CAE, it is possible to
achieve design enhancements in an effective way.
• Reduction in development time – CAE facilitates prompt and efficient
product designing and improving the same, minimizing time to develop and
market.
• Cost reduction – Product designs are created virtually, which can be
improved or deleted with ease, reducing the need for costly modifications
and reworks at a later stage.
• Quality improvement – CAE aids in improving product quality with the way
of identifying weaknesses in the design at an early stage and rectifying
the same in a hassle-free manner.
• Environment protection – Computer-aided engineering helps in creating
designs that are environment friendly and in a manner, which is environment
friendly.
• Information sharing presentation – Computer system enables improved
information sharing in a prompt and hassle free manner.
• Compliance with safety standards – The designs are strategically created
so as to meet necessary safety standards.
• Design efficiency – Achieve improved design efficiency, performance, and
value with Computer-aided engineering.
• There are three popular discretization approaches in CAE
(i) Finite Difference Method (FDM)
(ii) Finite Volume Method (FVM)
(iii) Finite Element Method (FEM)
• Finite Difference Method (FDM) :
• FDM is created from basic definition of differentiation that is :
DISCRETIZATION METHODS
( ) ( )
df f x h f x
dx h
 

• In most of the cases accuracy of FDM increases with refining grid. Easy
method but not reliable for conservative differential equations and solutions
having shocks. Tough to implement in complex geometry where it needs
complex mapping and mapping makes governing equation even tougher.
Extending to higher order accuracy is very simple.
• A finite difference method (FDM) discretization is based upon the differential
form of the PDE to be solved. Each derivative is replaced with an approximate
difference formula (that can generally be derived from a Taylor series
expansion).
• The computational domain is usually divided into hexahedral cells (the grid),
and the solution will be obtained at each nodal point. The FDM is easiest to
understand when the physical grid is Cartesian, but through the use of
curvilinear transforms the method can be extended to domains that are not
easily represented by brick-shaped elements. The discretization results in a
system of equation of the variable at nodal points, and once a solution is
found, then we have a discrete representation of the solution.
• Finite Volume Method (FVM)
• The finite volume method (FVM) is a method for representing and
evaluating partial differential equations in the form of algebraic equations.
• In FVM, the solution domain is subdivided into a finite number of small
volumes (cells) by a grid.
• The grid defines boundaries of the control volumes while the computational
node lies at the centre of the control volume.
• The advantage of FVM is that the integral conversion is satisfied exactly over
the control volume.
• Another advantage of the finite volume method is that it is easily formulated to
allow for unstructured meshes. The method is used in many computational fluid
dynamics packages.
• Finite Element Method (FEM)
• In finite element analysis, the computational domain is divided in small number of
pieces.
• It is a computer aided mathematical technique for obtaining approximate solutions to
the abstracts equations of calculus that predict the response of physical systems.
• It is originated as a method of structural analysis but now widely used in various fields
such as heat transfer, fluid flow, electricity and magnetism, acoustics, NVH.
CAE TOOLS
• There are three steps in any commercial CAE software :
(i) Pre-processing; (ii) Processing; and (iii) Post processing
• Pre-processing:
• Pre-processing involves three steps : CAD data, Meshing (to convert infinite
dof to finite dof) and boundary conditions.
• CAD and meshing consumes most of the analysis time. There are specialized
softwares for CAD and meshing. Boundary conditions consumes least time but
it is the most important step.
• Processing:
• This step involves solving mathematical equations for the given operating
conditions and loading at the backend and storing the results.
• Post Processing:
• Post processing is viewing of the results, verifications and conclusions. It
involves thinking of what steps to be taken to improve the design.
FEM
(GENERATE NODES, ELEMENTS,BOUNDARY
CONDITION, MATERIAL PROPERTIES, LOADS
AND DATA FILES)
FEA
(GENERATE ELEMENTS, MATERIALS,
COMPUTE NODAL
VALUE, DERIVATIVES, AND STORE RESULTS)
ANALYZE RESULTS
(DISPLAY CURVES, COUNTERS, DEFORMED
SHAPES)
PHYSICAL PROBLEM
Pre-processor
Solution
Post-processor
• The stool is overdesigned.
• There is scope for cost reduction by changing cross section of the leg,
thickness of the top plate etc.
• Material could be changed to low cost alternative ( having yield stress > 6
N/mm2)
• Maximum stress at sharp corners can be reduced by providing smooth
fillet of addition of stiffeners in the localised regions.
CAD Model Boundary Conditions Meshing
Solution
ANALYSIS CONCLUSIONS
ELEMENT SHAPES
Based on the shapes, elements are classified as : (1) one dimensional; (2) Two
dimensional; (3) Three dimensional; and (4) Axi-symmetric elements.
• 1-D:
• One of the dimension (x>>>> y, z) is very large in comparison to the rest of the two.
• Element Shape : Line
• Additional data from the user: Remaining two dimensions i.e. area of c/s.
• Element type : Rod, bar, beam, pipe, axi-symmetric shell etc.
• Practical Applications: Long Shafts, beams, pin joints,
connection elements.
Fig : One Dimensional Elements
• 2-D:
• Two of the dimensions (x, z >>>> y) are very large in comparison to third one.
• Element Shape : Quadrilateral, Triangular
• Additional data from the user: Remaining dimension i.e. thickness
• Element type : Thin shell, plate, membrane, plane stress, plane strain, axi-
symmetric solid etc.
• Practical Applications: Sheet metal parts, plastic components like instrument
panel.
• Common two dimensional problems in stress analysis are plane stress, plane
strain and plate problems.
• Two dimensional elements often used is three noded triangular element shown
in Fig.
• These elements are known as Constant Strain Triangles (CST) or Linear
Displacement Triangles
• A simple but less used two dimensional element is the four noded rectangular
element whose sides are parallel to the global coordinate systems. This
systems is easy to construct automatically but it is not well suited to
approximate inclined boundaries.
• Quadrilateral Elements are also used in finite element analysis.
• Initially quadrilateral elements were developed by combining triangular element.
But it has taken back stage after isoparametric concept was developed. Iso-
parametric concept is based on using same functions for defining geometries
and nodal unknowns.
• Using iso-parametric concept even curved elements are developed to take care of
boundaries with curved shapes.
• 3-D:
• All dimensions are comparable (x  y  z).
• Element Shape : Tetra, Penta, Hex, Pyramid
• Additional data from the user: none
• Element type : Thin shell, plate, membrane, plane stress, plane strain, axi-
symmetric solid etc.
• Practical Applications: Sheet metal parts, plastic components like instrument
panel.
• 3-D Axi-Symmetric Elements :
• These are also known as ring type of elements.
• These elements are useful for the analysis of axi-symmetric problems such as
analysis of cylindrical storage tanks, shafts and nozzles.
• These are constructed from one or two dimensional elements.
• One dimensional axis symmetric element is a conical frustum is a ring with a
triangular of quadrilateral cross section.
• OTHER TYPES OF ELEMENTS:
• Mass : Point element, concentrated mass at CG of the component.
• Spring: Translational and rotational stiffness
• Damper: Damping coefficient
• Gap: Gap distance, stiffness, friction
• Rigid: RBE2, RBE3.
• Weld
NODES
• Nodes are selected finite points at which basic unknowns (displacements
in elasticity problems) are to be determined in the FEA.
• The basic knowns at any point inside the element are determined by
using approximation/ interpolation/shape functions in terms of the nodal
values of the element.
• There are two types of nodes viz.external nodes and internal nodes. External
nodes occur on the edges/surface of elements and may be common to two or
more elements.
• These nodes can be further classified as : (i) Primary nodes and (ii) Secondary
nodes.
• Primary nodes occur at the ends of one dimensional elements or at the corners
in the two or three dimensional elements. Secondary nodes occur along the
side of an element but not at corners. Following figure shows such nodes.
• Internal nodes are the one which occur inside an element. They are specific to
the element selected i.e. there will not be any other element connecting to this
node. Such nodes are selected to satisfy the requirement of geometric isotropy
while choosing interpolation functions.
• Basic unknowns may be displacements for stress analysis, temperatures for heat flow
problems and the potentials for fluid flow or in the magnetic field problems.
• In the problems like truss analysis, plane stress and plane strain, it is enough if the
continuity of only displacements are satisfied, since there is no change in the slopes
at any nodal point. Such problems are classified as ‘zeroth’ continuity problems and
are indicated as C0- continuity problem.
• In case of beams and plates, not only the continuity of displacements, but the slope
continuity also should be ensured. Since the slope is the first derivative of
displacement, this type of problems are classified as ‘First order continuity
problems and are denoted as C1 – continuity problems. In exact plate bending
NODAL UNKNOWNS
analysis even second order continuity should be ensured. Hence the
actual nodal unknowns in these problems are where w is the
displacement. Such problems are classified as C2– continuity problems. In
general Cr continuity problems are those in which nodal unknowns are to be
basic unknowns and up to rth derivatives of the basic unknowns.
2
.
w
x y
 

 
 
  2
, , ,
w w w
w
x y x y
  
   
COORDINATE SYSTEMS
The following terms are commonly referred in FEM :
(i) Global coordinates
(ii) Local coordinates and
(iii) Natural coordinates.
However there is another term ‘generalized coordinates’ used for defining a
polynomial form of interpolation function. This has nothing to do with the
‘coordinates’ term used here to define the location of points in the element.
GLOBAL COORDINATES
• The coordinate system used to define the points in the entire structure is called global
coordinate system. Figure below shows the Cartesian global coordinate system used
for some of the typical cases.
LOCAL COORDINATES
• For the convenience of deriving element properties, in FEM many times for each
element a separate coordinate system is used.
• For example, for typical elements shown in above figure, the local coordinates may be
as shown in below figure.
• However the final equations are to be formed in the common coordinate system i.e.
global coordinate system only.
NATURAL COORDINATES
• A natural coordinate system is a coordinate system which permits the specification of
a point within the element by a set of dimensionless numbers, whose magnitude never
exceeds unity.
• It is obtained by assigning weightages to the nodal coordinates in defining the co
ordinate of any point inside the element. Hence such system has the property that ith
coordinate has unit value at node i of the element and zero value at all other nodes.
• The use of natural coordinate system is advantages in assembling element properties
(stiffness matrices), since closed form integrations formulae are available when the
expressions are in natural coordinate systems.
• Natural coordinate systems for one dimensional, two dimensional and three
dimensional elements are discussed below:
NATURAL COORDINATES IN 1-D
• Consider the two noded line element shown in Fig. 4.16. let the natural coordinate of
point P be (L1, L2 ) and the Cartesian coordinate be x. Node 1 and node 2 have the
Cartesian coordinates x1 and x2 .
• Since natural coordinates are nothing but weightage to the nodal coordinates, total
weightage at any point is unity i.e.,
L1 + L2 =1 ……………………………………………………(1) and
Also, L1 x1 + L2 x2 = x ………………………………………..….(2)
i.e. In matrix form
Now, as x2 – x1 is element length (say L), we can write
………………………………………………(3)
• The variation of L1 and L2 is shown in below figure. L1 is 1 at node 1 and is zero at
node 2 where as L2 is zero when referred to node 1 and is one when referred to node
2. The variation is linear.
NATURAL COORDINATE,  (Xi)
In one dimensional problem, the following type of natural coordinate is also used. The
natural coordinator ξ for any point in the element shown in Fig.is defined as
where P is the point referred and C is the center point of nodes 1 and 2.
• In the FEA, aim is to find the field variables at nodal points by rigorous analysis,
assuming at any point inside the element basic variable is a function of values at nodal
points of the element.
• This function which relates the field variable at any point within the element to the
field variables of nodal points is called shape function.
• This is also called as interpolation function and approximating function.
• In two dimensional stress analysis in which basic field variable is displacement,
where summation is over the number of nodes of the element.
• For example for three noded triangular element, displacement at P (x, y) is:
SHAPE FUNCTION

 
 i
i
i
i v
N
v
u
N
u .
;
.










3
3
2
2
1
1
3
3
2
2
1
1
.
.
.
.
,
.
.
.
.
v
N
v
N
v
N
v
N
v
and
u
N
u
N
u
N
u
N
u
i
i
i
i
     
1
6
6
2
1
2
.



 e
N
q 
     
1
12
12
2
1
2
.



 e
N
q 
     
1
8
8
2
1
2
.



 e
N
q 
POLYNOMIAL SHAPE FUNCTIONS
• Polynomials are commonly used as shape functions.
• There are two reasons for using them:
(i) They are easy to handle mathematically i.e. differentiation and integration
of Polynomials is easy.
(ii) Using polynomial any function can be approximated reasonably well. If a
function is highly nonlinear we may have to approximate with higher order
polynomial. Below figure shows approximation of a nonlinear one
dimensional function By polynomials of different order.
• 1-D POLYNOMIAL SHAPE FUNCTION
• A general one dimensional polynomial shape function of nth Order is given by,
  n
n x
x
x
x
u 1
2
3
2
1 .
.......... 




 



• In matrix form,
• Where,
• Thus, in one dimensional nth order complete polynomial, there are n+1 terms.
  

.
G
u 
       
1
2
1
2
..,
,.........
,
,........,
,
,
1 

 n
T
n
and
x
x
x
G 



• 2-D POLYNOMIAL SHAPE FUNCTION
• A general form of two dimensional polynomial model is,
 
  n
m
m
m
m
n
m
y
y
x
y
x
v
y
x
y
xy
x
y
x
y
x
u
2
3
2
1
3
7
2
6
5
2
4
3
2
1
......
,
......
,




























      

 .
0
0
)
,
(
)
,
(
,
1
1















G
G
G
y
x
v
y
x
u
q
Or
• Where,        
m
T
n
and
y
x
y
xy
x
y
x
G 2
4
3
2
1
3
2
2
,
..........
....
1 




 

• It may be observed that in two dimensional problem, total number of terms m in
a complete nth degree polynomial is,
• For first order complete polynomial,
• The first three terms are ,
  
2
2
1 


n
n
m
   3
2
2
1
1
1




m
y
x 3
2
1 

 

• Similarly, for n=2,
• The six terms are,
   6
2
2
2
1
2




m
2
6
5
2
4
3
2
1 y
xy
x
y
x 




 




• Another convenient way to remember complete two dimensional polynomial is in the
form of Pascal Triangle shown in below Figure.
• 3-D POLYNOMIAL SHAPE FUNCTION
• A general three dimensional shape function of nth order complete polynomial is given
by:
 
 
  z
x
z
y
x
z
y
x
w
z
x
x
z
y
x
z
y
x
v
z
x
x
z
y
x
z
y
x
u
n
m
m
m
m
m
n
m
m
m
m
m
m
n
m
1
3
4
2
3
2
2
2
1
2
1
2
2
5
4
3
2
1
1
2
5
4
3
2
1
......
,
,
......
,
,
......
,
,
















































      

 .
0
0
0
0
0
0
)
,
,
(
)
,
(
)
,
(
,
,
,
1
1
1























G
G
G
G
z
y
x
w
y
x
v
y
x
u
z
y
x
q
Or
• Where,    
   
m
T
n
n
n
and
zx
x
z
z
zx
z
yz
y
xy
x
z
y
x
G
3
4
3
2
1
1
1
2
2
2
,
..........
....
1





 
 

• It may be observed that a complete nth order polynomial in three dimensional case is
having number of terms m given by the expression,
• Thus, when n=1,
• i.e.
• When n=2,
• The second degree complete polynomial is
    
6
3
2
1 



n
n
n
m
    4
6
3
1
2
1
1
1





m
z
y
x 4
3
2
1 


 


    10
6
3
2
2
2
1
2





m
zx
z
yz
y
xy
x
z
y
x 10
2
9
8
2
7
6
2
5
4
3
2
1 








 








• Complete polynomial in three dimensions may be expressed conveniently by a
tetrahedron as shown in below figure:
zx
z
yz
y
xy
x
z
y
x 10
2
9
8
2
7
6
2
5
4
3
2
1 








 








CONVERGENCE REQUIREMENTS OF SHAPE
FUNCTIONS
• Numerical solutions are approximate solutions.
• Stiffness coefficients for a displacements model have higher magnitudes
compared to those for the exact solutions. In other words the displacements
obtained by finite element analysis are lesser than the exact values. Thus the
FEM gives lower bound values.
• Hence it is desirable that as the finite element analysis mesh is refined, the
solution approaches the exact values.
• This requirement is shown graphically in below figure. In order to ensure this
convergence criteria, the shape functions should satisfy the following
requirements.
• The displacement models must be continuous within the elements and the displacements must
be compatible between the adjacent elements. The second part implies that the adjacent
elements must deform without causing openings, overlaps or discontinuities between the
elements. This requirement is called ‘compatibility requirement’ .
• In plane stress and plane strain problems, it is enough if continuity of displacement is
satisfied (C0 continuity) since strain energy function includes only first order derivatives
of the displacement. In case of flexure problems (beams, plates, shells), the strain
energy terms include second derivatives of displacements. Hence to satisfy
compatibility requirement, not only displacement continuity but slope continuity ( C1 -
continuity) should be satisfied. Hence in flexure problems displacements and their first
derivatives are selected as nodal field variables.
• The displacement model should include the rigid body displacements of the element. It
means in displacement model there should be a term which permit all points on the
element to experience the same displacement, which if not present, will cause
additional stresses and strains, which should not occur. Hence to satisfy the
requirement of rigid body displacement, there should be constant term in the shape
function selected.
• The displacement models must include the constant strain state of the element. This
means, there should exist combination of values of polynomial terms that cause all
points in the element to experience the same strain. The necessity of this requirement
is understood physically, if we imagine the refinement of the mesh. As these elements
approach infinitesimal size, the strains within the element approach constant values.
Unless the shape function term includes these constant strain terms, we cannot hope
to converge to a correct solution.
• An additional consideration in the selection of polynomial shape function for the
displacement model is that the pattern should be independent of the orientation of
the local coordinate system. This property is known as Geometric Isotropy, Spatial
Isotropy or Geometric Invariance.
• There are two simple guidelines to construct polynomial series with the desired
property of isotropy:
1. Polynomial of order n that are complete, have geometric isotropy.
2. Polynomial of order n that are not complete, yet contain appropriate terms to
preserve ‘symmetry’ have geometric isotropy.
3. The simple test for this property is to interchange x and y in two dimensional
problems or x, y, z in cyclic order in three dimensional problems and see that the
total expression do not change. However the arbitrary constants may change.
• In FEA, the safest approach to reach correct solution is to pick the shape functions that
satisfy all the requirements. For some problems, however, choosing shape functions
that meet all the requirements may be difficult and may involve excessive numerical
computations. For this reason some investigators have ventured to formulate shape
functions for the elements that do not meet compatibility requirements. In some cases
acceptable convergence has been obtained. Such elements are called ‘non-conforming
elements’. The main disadvantage of using non-conforming elements is that we no
longer know in advance that correct solution is reached.
DERIVATION OF THE SHAPE FUNCTIONS
USING POLYNOMIALS
• Using Cartesian coordinates (generalised coordinate approach)
• Using generalized coordinate approach, find shape functions for two noded bar/truss
element.
• Solution : Let us consider a truss/bar element as shown in figure and let nodal
unknowns are displacements u1 and u2 along x-axis. For this element we have to select
polynomial with only two constants to represent displacement at any point in the
elements. Hence we select ,
where α1 and α2 are generalized coordinates. This polynomial satisfies compatibility
and completeness requirement.
x
u 2
1 
 

• In the matrix form we have
 







2
1
1


x
u
• Since u = u1 at node 1 and equal to u2 at node 2, we have
 




















2
1
2
1
2
1
1
1



x
x
u
u



















































2
1
1
2
2
1
1
2
2
1
2
1
1
2
1
2
1
1
1
1
1
1
1
1
1
u
u
x
x
l
u
u
x
x
x
x
u
u
x
x
T


   























2
1
1
2
2
1
1
1
1
1
1
u
u
x
x
l
x
x
u


 











 












2
1
1
2
2
1
1
2
1
u
u
l
x
x
l
x
x
u
u
x
x
x
x
l
  2
2
1
1
2
1
2
1 u
N
u
N
u
u
N
N
u 









• Where,
l
x
x
N
and
l
x
x
N 1
2
2
1




• Thus, the shape function is:
    




 



l
x
x
l
x
x
N
N
N 1
2
2
1
• The variation of shape function is shown in adjacent figure.
• Determine the shape functions for the Constant Strain Triangle (CST). Use polynomial
functions.
Solution: Figure shows a typical CST element. Let the nodal variables be u1 , u2 , u3 ,
v1 , v2 and v3 i.e.
   
3
2
1
3
2
1 v
v
v
u
u
u
T


• From the consideration of compatibility and completeness the following displacement
model is selected
• In the matrix form we have
• Where A is the area of triangle with vertices at (x1 , y1 ), (x2 , y2 ) and (x3 , y3 ) i.e., the
area of the element.
• same as used in deriving natural coordinates.
y
x
u 3
2
1 

 


• Using Natural coordinates :
• For a two noded bar element, determine the shape functions. Use natural coordinate
system.
Solution: As there are only two nodal values in this case, only linear function in natural
coordinates are to be taken. Figure shown the typical element. Thus
• Determine the shape functions for a Constant Strain Triangular (CST) element in terms
of natural coordinate systems.
• Solution: Let the natural coordinates of nodes 1,2,3 be L1 , L2 , L3 and shape functions
be N1 , N2 , N3 . The typical CST element is shown in Fig.. Since the CST element is a
linear displacement model, let the displacement function be
Introduction to CAE and Element Properties.pptx
Introduction to CAE and Element Properties.pptx
Introduction to CAE and Element Properties.pptx
Introduction to CAE and Element Properties.pptx

Introduction to CAE and Element Properties.pptx

  • 2.
    UNIT I –INTRODUCTION TO CAE AND ELEMENTAL PROPERTIES LECTURE O1 : INTRODUCTION TO CAE COMPUTER AIDED ENGINEERING
  • 3.
    UNIT I Introduction toCAE and Elemental Properties By Dr. Dinesh Y. Dhande Associate Professor Department of Mechanical Engineering AISSMS College of Engineering, Pune
  • 4.
    CONTENTS • INTRODUCTION • USEOF CAE IN PRODUCT DEVELOPMENT • DISCRETIZATION METHODS : FEM,FDM AND FVM • CAE TOOLS • ELEMET SHAPES • SHAPE FUNCTIONS
  • 5.
    INTRODUCTION • The computershave been entered in all the fields and are used widely for various purposes. • In Engineering industry, computers are mainly used in three areas : Computer Aided Design (CAD) , Computer Aided Manufacturing (CAM) and Computer Aided Engineering (CAE). • In Computer Aided Design (CAD), the computers are used for creation, modification, analysis and optimization. • In Computer Aided Manufacturing (CAM), the computer systems are used to plan , manage and control the manufacturing operations through direct
  • 6.
    or indirect computerinterfaces with manufacturing machines (CNC). • In Computer Aided Engineering (CAE), the computers are used for engineering analysis like stress distribution over the body for loading, failure analysis, modal analysis, flow analysis, temperature distribution etc.
  • 7.
    COMPUTER AIDED ENGINEERING •Computer-aided engineering (CAE) is the use of computer software to simulate performance in order to improve product designs or assist in the resolution of engineering problems for a wide range of industries. This includes simulation, validation and optimization of products, processes, and manufacturing tools. • A typical CAE process comprises of pre-processing, solving, and post processing steps. In the pre-processing phase, engineers model the geometry and the physical properties of the design, as well as the environment in the form of applied loads or constraints. Next the model is solved using an appropriate mathematical formulation of the underlying physics. In the post-processing phase, the results are presented to the engineer of review.
  • 8.
    BENEFITS OF COMPUTERAIDED ENGINEERING • Designs decision can be made based on their impact on performance. • Designs can be evaluated and refined using computer simulation rather than physical prototype testing saving money and time. • CAE can provide performance insights earlier in the development process, when design changes are less expensive to make. • CAE helps engineering teams manage risk and understand the performance implications of their designs.
  • 9.
    APPLICATIONS OF COMPUTERAIDED ENGINEERING CAE applications support a wide range of engineering disciplines or phenomena. • Stress and dynamics analysis on components and assemblies using finite element analysis (FEA) • Thermal and fluid analysis using computational fluid dynamics (CFD) • Kinematics and dynamic analysis of mechanisms (multibody dynamics) • Acoustics analysis using FEA or a boundary element method (BEM) • 1D CAE, or mechatronic system simulation, for multi-domain mechatronics system design. • Control systems analysis. • Simulation of manufacturing processes like casting, moulding and die press forming • Optimization of the product or process
  • 10.
    Crash Test simulation ContactStress Analysis Aerodynamics Pump Flow Brake Analysis Beam Deflection
  • 11.
    ROLE OF CAEIN PRODUCT DEVELOPMENT
  • 12.
    • Enhancement indesign values – With the aid of CAE, it is possible to achieve design enhancements in an effective way. • Reduction in development time – CAE facilitates prompt and efficient product designing and improving the same, minimizing time to develop and market. • Cost reduction – Product designs are created virtually, which can be improved or deleted with ease, reducing the need for costly modifications and reworks at a later stage. • Quality improvement – CAE aids in improving product quality with the way of identifying weaknesses in the design at an early stage and rectifying
  • 13.
    the same ina hassle-free manner. • Environment protection – Computer-aided engineering helps in creating designs that are environment friendly and in a manner, which is environment friendly. • Information sharing presentation – Computer system enables improved information sharing in a prompt and hassle free manner. • Compliance with safety standards – The designs are strategically created so as to meet necessary safety standards. • Design efficiency – Achieve improved design efficiency, performance, and value with Computer-aided engineering.
  • 14.
    • There arethree popular discretization approaches in CAE (i) Finite Difference Method (FDM) (ii) Finite Volume Method (FVM) (iii) Finite Element Method (FEM) • Finite Difference Method (FDM) : • FDM is created from basic definition of differentiation that is : DISCRETIZATION METHODS ( ) ( ) df f x h f x dx h    • In most of the cases accuracy of FDM increases with refining grid. Easy method but not reliable for conservative differential equations and solutions having shocks. Tough to implement in complex geometry where it needs
  • 15.
    complex mapping andmapping makes governing equation even tougher. Extending to higher order accuracy is very simple. • A finite difference method (FDM) discretization is based upon the differential form of the PDE to be solved. Each derivative is replaced with an approximate difference formula (that can generally be derived from a Taylor series expansion). • The computational domain is usually divided into hexahedral cells (the grid), and the solution will be obtained at each nodal point. The FDM is easiest to understand when the physical grid is Cartesian, but through the use of curvilinear transforms the method can be extended to domains that are not easily represented by brick-shaped elements. The discretization results in a
  • 16.
    system of equationof the variable at nodal points, and once a solution is found, then we have a discrete representation of the solution. • Finite Volume Method (FVM) • The finite volume method (FVM) is a method for representing and evaluating partial differential equations in the form of algebraic equations. • In FVM, the solution domain is subdivided into a finite number of small volumes (cells) by a grid. • The grid defines boundaries of the control volumes while the computational node lies at the centre of the control volume.
  • 17.
    • The advantageof FVM is that the integral conversion is satisfied exactly over the control volume. • Another advantage of the finite volume method is that it is easily formulated to allow for unstructured meshes. The method is used in many computational fluid dynamics packages.
  • 18.
    • Finite ElementMethod (FEM) • In finite element analysis, the computational domain is divided in small number of pieces. • It is a computer aided mathematical technique for obtaining approximate solutions to the abstracts equations of calculus that predict the response of physical systems. • It is originated as a method of structural analysis but now widely used in various fields such as heat transfer, fluid flow, electricity and magnetism, acoustics, NVH.
  • 20.
    CAE TOOLS • Thereare three steps in any commercial CAE software : (i) Pre-processing; (ii) Processing; and (iii) Post processing • Pre-processing: • Pre-processing involves three steps : CAD data, Meshing (to convert infinite dof to finite dof) and boundary conditions. • CAD and meshing consumes most of the analysis time. There are specialized softwares for CAD and meshing. Boundary conditions consumes least time but it is the most important step.
  • 21.
    • Processing: • Thisstep involves solving mathematical equations for the given operating conditions and loading at the backend and storing the results. • Post Processing: • Post processing is viewing of the results, verifications and conclusions. It involves thinking of what steps to be taken to improve the design.
  • 22.
    FEM (GENERATE NODES, ELEMENTS,BOUNDARY CONDITION,MATERIAL PROPERTIES, LOADS AND DATA FILES) FEA (GENERATE ELEMENTS, MATERIALS, COMPUTE NODAL VALUE, DERIVATIVES, AND STORE RESULTS) ANALYZE RESULTS (DISPLAY CURVES, COUNTERS, DEFORMED SHAPES) PHYSICAL PROBLEM Pre-processor Solution Post-processor
  • 23.
    • The stoolis overdesigned. • There is scope for cost reduction by changing cross section of the leg, thickness of the top plate etc. • Material could be changed to low cost alternative ( having yield stress > 6 N/mm2) • Maximum stress at sharp corners can be reduced by providing smooth fillet of addition of stiffeners in the localised regions. CAD Model Boundary Conditions Meshing Solution ANALYSIS CONCLUSIONS
  • 24.
    ELEMENT SHAPES Based onthe shapes, elements are classified as : (1) one dimensional; (2) Two dimensional; (3) Three dimensional; and (4) Axi-symmetric elements. • 1-D: • One of the dimension (x>>>> y, z) is very large in comparison to the rest of the two. • Element Shape : Line • Additional data from the user: Remaining two dimensions i.e. area of c/s. • Element type : Rod, bar, beam, pipe, axi-symmetric shell etc. • Practical Applications: Long Shafts, beams, pin joints, connection elements.
  • 25.
    Fig : OneDimensional Elements
  • 27.
    • 2-D: • Twoof the dimensions (x, z >>>> y) are very large in comparison to third one. • Element Shape : Quadrilateral, Triangular • Additional data from the user: Remaining dimension i.e. thickness • Element type : Thin shell, plate, membrane, plane stress, plane strain, axi- symmetric solid etc. • Practical Applications: Sheet metal parts, plastic components like instrument panel.
  • 28.
    • Common twodimensional problems in stress analysis are plane stress, plane strain and plate problems. • Two dimensional elements often used is three noded triangular element shown in Fig. • These elements are known as Constant Strain Triangles (CST) or Linear Displacement Triangles
  • 29.
    • A simplebut less used two dimensional element is the four noded rectangular element whose sides are parallel to the global coordinate systems. This systems is easy to construct automatically but it is not well suited to approximate inclined boundaries. • Quadrilateral Elements are also used in finite element analysis.
  • 30.
    • Initially quadrilateralelements were developed by combining triangular element. But it has taken back stage after isoparametric concept was developed. Iso- parametric concept is based on using same functions for defining geometries and nodal unknowns.
  • 31.
    • Using iso-parametricconcept even curved elements are developed to take care of boundaries with curved shapes.
  • 33.
    • 3-D: • Alldimensions are comparable (x  y  z). • Element Shape : Tetra, Penta, Hex, Pyramid • Additional data from the user: none • Element type : Thin shell, plate, membrane, plane stress, plane strain, axi- symmetric solid etc. • Practical Applications: Sheet metal parts, plastic components like instrument panel.
  • 35.
    • 3-D Axi-SymmetricElements : • These are also known as ring type of elements. • These elements are useful for the analysis of axi-symmetric problems such as analysis of cylindrical storage tanks, shafts and nozzles. • These are constructed from one or two dimensional elements. • One dimensional axis symmetric element is a conical frustum is a ring with a triangular of quadrilateral cross section.
  • 36.
    • OTHER TYPESOF ELEMENTS: • Mass : Point element, concentrated mass at CG of the component. • Spring: Translational and rotational stiffness • Damper: Damping coefficient • Gap: Gap distance, stiffness, friction • Rigid: RBE2, RBE3. • Weld
  • 40.
    NODES • Nodes areselected finite points at which basic unknowns (displacements in elasticity problems) are to be determined in the FEA. • The basic knowns at any point inside the element are determined by using approximation/ interpolation/shape functions in terms of the nodal values of the element.
  • 41.
    • There aretwo types of nodes viz.external nodes and internal nodes. External nodes occur on the edges/surface of elements and may be common to two or more elements. • These nodes can be further classified as : (i) Primary nodes and (ii) Secondary nodes. • Primary nodes occur at the ends of one dimensional elements or at the corners in the two or three dimensional elements. Secondary nodes occur along the side of an element but not at corners. Following figure shows such nodes. • Internal nodes are the one which occur inside an element. They are specific to the element selected i.e. there will not be any other element connecting to this node. Such nodes are selected to satisfy the requirement of geometric isotropy while choosing interpolation functions.
  • 43.
    • Basic unknownsmay be displacements for stress analysis, temperatures for heat flow problems and the potentials for fluid flow or in the magnetic field problems. • In the problems like truss analysis, plane stress and plane strain, it is enough if the continuity of only displacements are satisfied, since there is no change in the slopes at any nodal point. Such problems are classified as ‘zeroth’ continuity problems and are indicated as C0- continuity problem. • In case of beams and plates, not only the continuity of displacements, but the slope continuity also should be ensured. Since the slope is the first derivative of displacement, this type of problems are classified as ‘First order continuity problems and are denoted as C1 – continuity problems. In exact plate bending NODAL UNKNOWNS
  • 44.
    analysis even secondorder continuity should be ensured. Hence the actual nodal unknowns in these problems are where w is the displacement. Such problems are classified as C2– continuity problems. In general Cr continuity problems are those in which nodal unknowns are to be basic unknowns and up to rth derivatives of the basic unknowns. 2 . w x y          2 , , , w w w w x y x y       
  • 45.
    COORDINATE SYSTEMS The followingterms are commonly referred in FEM : (i) Global coordinates (ii) Local coordinates and (iii) Natural coordinates. However there is another term ‘generalized coordinates’ used for defining a polynomial form of interpolation function. This has nothing to do with the ‘coordinates’ term used here to define the location of points in the element.
  • 46.
    GLOBAL COORDINATES • Thecoordinate system used to define the points in the entire structure is called global coordinate system. Figure below shows the Cartesian global coordinate system used for some of the typical cases.
  • 47.
    LOCAL COORDINATES • Forthe convenience of deriving element properties, in FEM many times for each element a separate coordinate system is used. • For example, for typical elements shown in above figure, the local coordinates may be as shown in below figure. • However the final equations are to be formed in the common coordinate system i.e. global coordinate system only.
  • 48.
    NATURAL COORDINATES • Anatural coordinate system is a coordinate system which permits the specification of a point within the element by a set of dimensionless numbers, whose magnitude never exceeds unity. • It is obtained by assigning weightages to the nodal coordinates in defining the co ordinate of any point inside the element. Hence such system has the property that ith coordinate has unit value at node i of the element and zero value at all other nodes. • The use of natural coordinate system is advantages in assembling element properties (stiffness matrices), since closed form integrations formulae are available when the expressions are in natural coordinate systems. • Natural coordinate systems for one dimensional, two dimensional and three dimensional elements are discussed below:
  • 49.
    NATURAL COORDINATES IN1-D • Consider the two noded line element shown in Fig. 4.16. let the natural coordinate of point P be (L1, L2 ) and the Cartesian coordinate be x. Node 1 and node 2 have the Cartesian coordinates x1 and x2 . • Since natural coordinates are nothing but weightage to the nodal coordinates, total weightage at any point is unity i.e., L1 + L2 =1 ……………………………………………………(1) and Also, L1 x1 + L2 x2 = x ………………………………………..….(2)
  • 50.
    i.e. In matrixform Now, as x2 – x1 is element length (say L), we can write
  • 51.
    ………………………………………………(3) • The variationof L1 and L2 is shown in below figure. L1 is 1 at node 1 and is zero at node 2 where as L2 is zero when referred to node 1 and is one when referred to node 2. The variation is linear.
  • 52.
    NATURAL COORDINATE, (Xi) In one dimensional problem, the following type of natural coordinate is also used. The natural coordinator ξ for any point in the element shown in Fig.is defined as where P is the point referred and C is the center point of nodes 1 and 2.
  • 55.
    • In theFEA, aim is to find the field variables at nodal points by rigorous analysis, assuming at any point inside the element basic variable is a function of values at nodal points of the element. • This function which relates the field variable at any point within the element to the field variables of nodal points is called shape function. • This is also called as interpolation function and approximating function. • In two dimensional stress analysis in which basic field variable is displacement, where summation is over the number of nodes of the element. • For example for three noded triangular element, displacement at P (x, y) is: SHAPE FUNCTION     i i i i v N v u N u . ; .
  • 56.
  • 57.
         1 6 6 2 1 2 .     e N q        1 12 12 2 1 2 .     e N q        1 8 8 2 1 2 .     e N q 
  • 58.
    POLYNOMIAL SHAPE FUNCTIONS •Polynomials are commonly used as shape functions. • There are two reasons for using them: (i) They are easy to handle mathematically i.e. differentiation and integration of Polynomials is easy. (ii) Using polynomial any function can be approximated reasonably well. If a function is highly nonlinear we may have to approximate with higher order polynomial. Below figure shows approximation of a nonlinear one dimensional function By polynomials of different order.
  • 60.
    • 1-D POLYNOMIALSHAPE FUNCTION • A general one dimensional polynomial shape function of nth Order is given by,   n n x x x x u 1 2 3 2 1 . ..........           • In matrix form, • Where, • Thus, in one dimensional nth order complete polynomial, there are n+1 terms.     . G u          1 2 1 2 .., ,......... , ,........, , , 1    n T n and x x x G     • 2-D POLYNOMIAL SHAPE FUNCTION • A general form of two dimensional polynomial model is,     n m m m m n m y y x y x v y x y xy x y x y x u 2 3 2 1 3 7 2 6 5 2 4 3 2 1 ...... , ...... ,                            
  • 61.
            . 0 0 ) , ( ) , ( , 1 1                G G G y x v y x u q Or • Where,         m T n and y x y xy x y x G 2 4 3 2 1 3 2 2 , .......... .... 1         • It may be observed that in two dimensional problem, total number of terms m in a complete nth degree polynomial is, • For first order complete polynomial, • The first three terms are ,    2 2 1    n n m    3 2 2 1 1 1     m y x 3 2 1     
  • 62.
    • Similarly, forn=2, • The six terms are,    6 2 2 2 1 2     m 2 6 5 2 4 3 2 1 y xy x y x            • Another convenient way to remember complete two dimensional polynomial is in the form of Pascal Triangle shown in below Figure.
  • 63.
    • 3-D POLYNOMIALSHAPE FUNCTION • A general three dimensional shape function of nth order complete polynomial is given by:       z x z y x z y x w z x x z y x z y x v z x x z y x z y x u n m m m m m n m m m m m m n m 1 3 4 2 3 2 2 2 1 2 1 2 2 5 4 3 2 1 1 2 5 4 3 2 1 ...... , , ...... , , ...... , ,                                                          . 0 0 0 0 0 0 ) , , ( ) , ( ) , ( , , , 1 1 1                        G G G G z y x w y x v y x u z y x q Or • Where,         m T n n n and zx x z z zx z yz y xy x z y x G 3 4 3 2 1 1 1 2 2 2 , .......... .... 1          
  • 64.
    • It maybe observed that a complete nth order polynomial in three dimensional case is having number of terms m given by the expression, • Thus, when n=1, • i.e. • When n=2, • The second degree complete polynomial is      6 3 2 1     n n n m     4 6 3 1 2 1 1 1      m z y x 4 3 2 1            10 6 3 2 2 2 1 2      m zx z yz y xy x z y x 10 2 9 8 2 7 6 2 5 4 3 2 1                   
  • 65.
    • Complete polynomialin three dimensions may be expressed conveniently by a tetrahedron as shown in below figure: zx z yz y xy x z y x 10 2 9 8 2 7 6 2 5 4 3 2 1                   
  • 66.
    CONVERGENCE REQUIREMENTS OFSHAPE FUNCTIONS • Numerical solutions are approximate solutions. • Stiffness coefficients for a displacements model have higher magnitudes compared to those for the exact solutions. In other words the displacements obtained by finite element analysis are lesser than the exact values. Thus the FEM gives lower bound values. • Hence it is desirable that as the finite element analysis mesh is refined, the solution approaches the exact values. • This requirement is shown graphically in below figure. In order to ensure this convergence criteria, the shape functions should satisfy the following requirements.
  • 67.
    • The displacementmodels must be continuous within the elements and the displacements must be compatible between the adjacent elements. The second part implies that the adjacent elements must deform without causing openings, overlaps or discontinuities between the elements. This requirement is called ‘compatibility requirement’ .
  • 68.
    • In planestress and plane strain problems, it is enough if continuity of displacement is satisfied (C0 continuity) since strain energy function includes only first order derivatives of the displacement. In case of flexure problems (beams, plates, shells), the strain energy terms include second derivatives of displacements. Hence to satisfy compatibility requirement, not only displacement continuity but slope continuity ( C1 - continuity) should be satisfied. Hence in flexure problems displacements and their first derivatives are selected as nodal field variables. • The displacement model should include the rigid body displacements of the element. It means in displacement model there should be a term which permit all points on the element to experience the same displacement, which if not present, will cause additional stresses and strains, which should not occur. Hence to satisfy the requirement of rigid body displacement, there should be constant term in the shape function selected.
  • 69.
    • The displacementmodels must include the constant strain state of the element. This means, there should exist combination of values of polynomial terms that cause all points in the element to experience the same strain. The necessity of this requirement is understood physically, if we imagine the refinement of the mesh. As these elements approach infinitesimal size, the strains within the element approach constant values. Unless the shape function term includes these constant strain terms, we cannot hope to converge to a correct solution. • An additional consideration in the selection of polynomial shape function for the displacement model is that the pattern should be independent of the orientation of the local coordinate system. This property is known as Geometric Isotropy, Spatial Isotropy or Geometric Invariance. • There are two simple guidelines to construct polynomial series with the desired property of isotropy:
  • 70.
    1. Polynomial oforder n that are complete, have geometric isotropy. 2. Polynomial of order n that are not complete, yet contain appropriate terms to preserve ‘symmetry’ have geometric isotropy. 3. The simple test for this property is to interchange x and y in two dimensional problems or x, y, z in cyclic order in three dimensional problems and see that the total expression do not change. However the arbitrary constants may change. • In FEA, the safest approach to reach correct solution is to pick the shape functions that satisfy all the requirements. For some problems, however, choosing shape functions that meet all the requirements may be difficult and may involve excessive numerical computations. For this reason some investigators have ventured to formulate shape functions for the elements that do not meet compatibility requirements. In some cases acceptable convergence has been obtained. Such elements are called ‘non-conforming
  • 71.
    elements’. The maindisadvantage of using non-conforming elements is that we no longer know in advance that correct solution is reached.
  • 72.
    DERIVATION OF THESHAPE FUNCTIONS USING POLYNOMIALS • Using Cartesian coordinates (generalised coordinate approach) • Using generalized coordinate approach, find shape functions for two noded bar/truss element. • Solution : Let us consider a truss/bar element as shown in figure and let nodal unknowns are displacements u1 and u2 along x-axis. For this element we have to select polynomial with only two constants to represent displacement at any point in the elements. Hence we select , where α1 and α2 are generalized coordinates. This polynomial satisfies compatibility and completeness requirement. x u 2 1    
  • 73.
    • In thematrix form we have          2 1 1   x u • Since u = u1 at node 1 and equal to u2 at node 2, we have                       2 1 2 1 2 1 1 1    x x u u                                                    2 1 1 2 2 1 1 2 2 1 2 1 1 2 1 2 1 1 1 1 1 1 1 1 1 u u x x l u u x x x x u u x x T                              2 1 1 2 2 1 1 1 1 1 1 u u x x l x x u  
  • 74.
                               2 1 1 2 2 1 1 2 1 u u l x x l x x u u x x x x l  2 2 1 1 2 1 2 1 u N u N u u N N u           • Where, l x x N and l x x N 1 2 2 1     • Thus, the shape function is:               l x x l x x N N N 1 2 2 1 • The variation of shape function is shown in adjacent figure.
  • 75.
    • Determine theshape functions for the Constant Strain Triangle (CST). Use polynomial functions. Solution: Figure shows a typical CST element. Let the nodal variables be u1 , u2 , u3 , v1 , v2 and v3 i.e.     3 2 1 3 2 1 v v v u u u T  
  • 76.
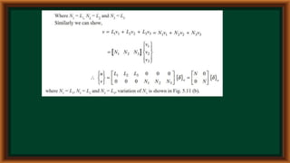
    • From theconsideration of compatibility and completeness the following displacement model is selected • In the matrix form we have
  • 77.
    • Where Ais the area of triangle with vertices at (x1 , y1 ), (x2 , y2 ) and (x3 , y3 ) i.e., the area of the element.
  • 78.
    • same asused in deriving natural coordinates. y x u 3 2 1      
  • 80.
    • Using Naturalcoordinates : • For a two noded bar element, determine the shape functions. Use natural coordinate system. Solution: As there are only two nodal values in this case, only linear function in natural coordinates are to be taken. Figure shown the typical element. Thus
  • 81.
    • Determine theshape functions for a Constant Strain Triangular (CST) element in terms of natural coordinate systems. • Solution: Let the natural coordinates of nodes 1,2,3 be L1 , L2 , L3 and shape functions be N1 , N2 , N3 . The typical CST element is shown in Fig.. Since the CST element is a linear displacement model, let the displacement function be