SINIRSIZ (BELİRSİZ)
         İNTEGRAL
    Bir fonksiyonun türevinin nasıl
alındığını biliyoruz.
    Bu bölümde türevi alınmış bir
fonksiyonun ilkelinin (önceki halinin) nasıl
bulunacağını inceleyeceğiz. Yapacağımız
bu işleme İNTEGRAL ALMA veya
fonksiyonun ilkelini bulma işlemi denir. Bu
işlem türev alma işleminin tersidir.
TANIM:

      Türevi f(x) veya diferansiyeli f(x) . dx oln F(x)
  ifadesine f(x) in belirsiz (sınırsız) integrali denir.
 ∫ f(x) d(x) = F(x) şeklinde gösterilir.
 y=x2                ise      y1 =2x
 y=x2+10             ise      y1 = 2x
 y=x2-64             ise      y1 = 2x
 Bu türevleri tersinden düşünelim.
 Y1=dy/dx=2x         ise      dy = 2x.dx
 Her iki tarafın integralini alalım.
 ∫ dy = ∫ 2x.dx      ise      y = x2+c
Yukarıda üç ayrı fonksiyonun türevi
alındığında tek bir fonksiyon elde edildiğini
(sabitin türevi sıfır olduğundan) biliyoruz. Bu
türevi alınmış fonksiyonlar integralleri
alındığında aynı fonksiyonu elde edebilmek için
C sabitinin olduğunu düşünmek zorundayız.
Tamamen keyfi bir değer olan bu C sabitine
integral sabiti denir.
Demek ki ∫ f(x) d(x) integralin
  hesaplanması türevi f(x) olan fonksiyonun
  bulunmasıdır. O halde belirsiz integrallerde
  mutlaka bir integral sabitinin var olduğunu
  unutmamalıyız.

ÖRNEK:
F’(x) = 2x ve f(2) = 5 ise f(x) fonksiyonunu bulunuz.
ÇÖZÜM:
   f’(x) = dy/dx = 2x
      dy = 2x,dx
   ∫ dy = ∫ 2x.dx
     y = x2+c

   y = f(x) = x2+c ise
     f(2) = 22+c = 5⇒ c = 1
   O halde f(x) x2 +1 denir.
y=2x+2
   y=2x+1
x   y=2x
      y=2x-1
        y=2x-2
       -----------
Tanımda Türev ile integral işlemleri
birbirlerinin tersidir demiştik. Bunu biraz
açıklayalım.
 y = f(x) ‘in türevi
 f’(x) = dy /dx = df /dx = d/dx f(x) dir.
 f(x) = ∫ f’(x)dx = ∫ d/dx f(x) . Dx
      = ∫ d f(x) = ∫ dy dir.
Buna göre ; ∫ dy = y+c
               ∫ dz = z+c
               ∫ d f(x) = f(x) + c
               ∫ dθ = θ + c
BELİRSİZ İNTEGRALİN ÖZELLİKLERİ

∫ f(x) dx = F(x) +c belirsiz integralin tanımından
     aşağıdaki özellikler vardır.
1. d ∫ f(x).dx = f(x).dx
     d ∫ f(x) dx = d[F(x)+c] = d/dx [F(x)+c)].dx
                  = F’(x).dx = f(x).dx
2. D/dx [∫ f(x)dx)] = ∫ [d/dx f(x)] dx = f(x)
   d/dx (f) türevi ile ∫ işlemi birbirinin tersi
   olduğundan dolayı etkisiz elemanı oluştururlar;
   dolayısıyla f(x) fonksiyonuna hiçbir etkide
   bulunmaz.
3. ∫ dF(x) = F(x)+c
   ∫ d F(x) = ∫ F’ (x) = ∫ f(x) dx = F(x)+c
4. Sabit bir çarpan integral dışına çıkabilir.
   ∫ a f(x)dx = a ∫ f(x)dx dir.
5. İntegral operatörü dağılma özelliğine sahiptir.
   ∫ [F(x)+g(x)-h(x)]dx =
   ∫ f(x)dx + ∫ g(x)dx - ∫ h(x)dx
ÖRNEK 1 :

f(x) = ∫ d(x2 – 2) ise f(3) ün değeri nedir?

ÇÖZÜM : tanıma göre f(x) = x2 – 2
f’ (x) = 2x ⇒ f’ (3) = 2.3=6
İNTEGRAL ALMA KURALLARI


    İntegral alma işlemi yapılırken integral
operatörü altında bulunan fonksiyon acaba
hangi ilkel fonksiyonun türevidir
düşüncesinden hareket edilerek yapılmalıdır.
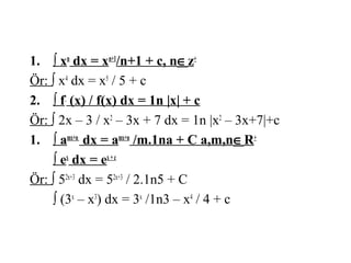
1. ∫ xn dx = xn+1/n+1 + c, n∈z+
Ör: ∫ x4 dx = x5 / 5 + c
2. ∫ f’ (x) / f(x) dx = 1n |x| + c
Ör: ∫ 2x – 3 / x2 – 3x + 7 dx = 1n |x2 – 3x+7|+c
1. ∫ amx+n dx = amx+n /m.1na + C a,m,n∈R+
    ∫ ex dx = ex + c
Ör: ∫ 52x+3 dx = 52x+3 / 2.1n5 + C
    ∫ (3x – x3) dx = 3x /1n3 – x4 / 4 + c
TRİGONOMETRİK
     FONKSİYONLARIN İNTEGRALİ
      U x’e bağlı bir fonksiyon olmak üzere
aşağıdaki formüllerin bilinmesi gerekir.
4. ∫ sinx dx = -cosx + c
5. ∫ cosx dx = sinx + c
6. ∫ dx / cos2x = ∫ (1+tan2x)dx = ∫ secx dx
                 = tanx + c
7. ∫ dx / sin2x = ∫ (1+cotan2x)dx = ∫ cosecx dx
                 = -cotanx + c
8. ∫ dx / 1-x2n = arcsinx + c1 = -arccosx + c2
9. ∫ dx / 1+x2 = arctanx + c1 = -arccotanx + c2
ALIŞTIRMALAR


1. ∫ sin2x dx = -1/2 cos2x + c
2. ∫ sin(3x+4)dx = -cos(3x+4).1/3 + c
3. ∫ cos 3x dx = 1/3 sin3x + c
BASİT DEĞİŞKEN DEĞİŞTİRME
            YÖNTEMLERİ
    Göstermiş olduğumuz integral alma
 kuralına benzemeyen fonksiyonları değişken
 değiştirerek bu formüllere benzetilip daha
 sonra integrallerini alacağız.
ÖRNEKLER:
1. ∫ (x3-2x)5 (3x2-2)dx ∫ u5.du = u6/6 + c
                                = 1/6 (x3-2x)6 + c
[u = x3-2x dersek du =(3x2-2) dx dir]
2. ∫ ex²-2x+1 . (x-1)dx = 1/2 ∫ eu du = ½ eu+c
                          = ½ ex²-2x+1+c
[u=x2-2x+1 dersek du = 2(x-1).dx dir.]
3. ∫ esinx.cosx dx = ∫ eu du = eu + c = esinx +c
[u=sinx dersek du = cosx dx]
PARÇAL (KISMİ) İNTEGRAL

    ∫ f(x) . G(x) dx biçiminde iki fonksiyonun
çarpımının integrali bazen güç olabilir. Böyle
fonksiyonların daha kolayca integrallene-
bilmesini sağlamak amacıyla parçal (kısmi)
integralleme aşağıdaki gibi yapılır.
∫ u dv = u.v - ∫ v du
u = f(x) , du = g(x) dx dir.
 Kısmi integralde u ve dv nin seçiminde kesin bir
  kural olmamakla birlikte türevi alındığında
  azalan fonksiyonlara, logaritmik ve ters
  trigonometrik fonksiyonlara u denir.
 ex , sinx, ... gibi fonksiyonlara dv denilir.
  Kısmi integrasyon formülü aşağıdaki çarpım
  durumundaki fonksiyonların integrasyonunda
  kolaylık sağlar.
i. ∫ p(x) . fax dx,
ii. ∫ p(x) .sinax dx, ∫ p(x) . Cosax dx
iii. ∫ eax .sinbx dx , ∫ eax .cosbx dx
iv. ∫ p(x) .lnax dx
Ör: I1 = ∫ x.ex dx = ?

 u=x                    dv = ex dx
 du=dx                  v =ex          Buna göre
I1 = ∫ x.ex dx = x.ex - ∫ ex.dx = x.ex – ex + c
                                  = ex (x-1)+c
KESİRLİ (RASYONEL)
     FONKSİYONLARIN İNTEGRALİ

1. ∫ k/ax+b dx hali
    Bu tür kesirlerde paydanın türevi pay
 kısmında varsa logaritmalı formülden
 yararlanılır.
Ör: ∫ 7/2x – 5 dx = 7/2 ∫ 2/2x-5 dx
                  = 7/2 ln |2x-5| + c
2. F(x) = P(x) / Q(x)
     Rasyonel ifadesinde payın derecesi
 paydanın derecesinden büyük veya eşitse pay
 paydaya bölünür.
 f(x) = P(x) / Q(x) = T (x) + R(x) / Q(x)
 şeklinde yazılır ve sonra ayrı ayrı integralleri
 alınır.
Ör: ∫ 3x2 + 2x +3 / x2 + 1 dx = ?
3x2 + 2x + 3 / x2 + 1 = 3
∫ 3x2 + 2x + 3 / x2 + 1 dx = ∫ (3 +2x / x2 + 1 ) dx
                            = 3x + ln (x2 + 1) + c
3. ∫ dx / ax2 + bx + c hali
A. Eğer ax2 + bx + c polinomu çarpanlarına
ayrılıyorsa ifade basit kesirlerine ayrılarak
integre edilir. Basit kesirlerine ayrılmıyorsa
arctanx formülüne benzetilerek çözülür.
 1/x2-4 = A/x-2 + B/x+2
 2x+1/x3+27 = A/x+3 + Bx+C/x2-3x+9
 x3+3/x(x+1)2 (x2+1) = A/x +B/x+1+C/(x+1)2+Dx+E/x2+1
    Rasyonel ifadeler yukarda görüldüğü gibi basit kesirlerine
     ayrılır ve integral parçalanarak kolaylaştırılır.
Ör: ∫ 3x-1 / x2-1 .dx = ?
3x-1 / (x-1) (x+1) = A/x-1 + B/x+1
3x-1 / (x-1) (x+1) = A(x+1) + B(x-1) / (x-1) (x+1)
3x-1≡(A+B)x + A-B iki polinom eşitliğinden;
A+B = 3              1+B = 3
A-B = -1                B=2
-----------
2A = 2 ise A = 1
∫ 3x-1 / x2-1 dx = ∫ 1 / x-1 dx +2 ∫ 1 / x+1 dx
                 = ln |x-1| + 2ln |x+1| + c
                 = ln |(x-1).(x+1)2| + c
B. ∫ dx / ax2 + bx + c halinde ax2+bx+c
 ifadesi çarpanlarına ayrılmıyorsa (Δ<0)
 ∫ dt / A2+t2 = 1/A arctan t/A+c veya
∫ dx / 1+x2 = arctanx + c formülünden
 yararlanılarak çözüm yapılır.
Ör: ∫ dx / x2+9 = ∫ dx / 9[1+(x/3)2]
                  = 1/9.1 / 1/3 arctan x/3+c
                  = 1/3 arctan x/3 + c

İntegral 04

  • 1.
    SINIRSIZ (BELİRSİZ) İNTEGRAL Bir fonksiyonun türevinin nasıl alındığını biliyoruz. Bu bölümde türevi alınmış bir fonksiyonun ilkelinin (önceki halinin) nasıl bulunacağını inceleyeceğiz. Yapacağımız bu işleme İNTEGRAL ALMA veya fonksiyonun ilkelini bulma işlemi denir. Bu işlem türev alma işleminin tersidir.
  • 2.
    TANIM: Türevi f(x) veya diferansiyeli f(x) . dx oln F(x) ifadesine f(x) in belirsiz (sınırsız) integrali denir. ∫ f(x) d(x) = F(x) şeklinde gösterilir. y=x2 ise y1 =2x y=x2+10 ise y1 = 2x y=x2-64 ise y1 = 2x Bu türevleri tersinden düşünelim. Y1=dy/dx=2x ise dy = 2x.dx Her iki tarafın integralini alalım. ∫ dy = ∫ 2x.dx ise y = x2+c
  • 3.
    Yukarıda üç ayrıfonksiyonun türevi alındığında tek bir fonksiyon elde edildiğini (sabitin türevi sıfır olduğundan) biliyoruz. Bu türevi alınmış fonksiyonlar integralleri alındığında aynı fonksiyonu elde edebilmek için C sabitinin olduğunu düşünmek zorundayız. Tamamen keyfi bir değer olan bu C sabitine integral sabiti denir.
  • 4.
    Demek ki ∫f(x) d(x) integralin hesaplanması türevi f(x) olan fonksiyonun bulunmasıdır. O halde belirsiz integrallerde mutlaka bir integral sabitinin var olduğunu unutmamalıyız. ÖRNEK: F’(x) = 2x ve f(2) = 5 ise f(x) fonksiyonunu bulunuz.
  • 5.
    ÇÖZÜM: f’(x) = dy/dx = 2x dy = 2x,dx ∫ dy = ∫ 2x.dx y = x2+c y = f(x) = x2+c ise f(2) = 22+c = 5⇒ c = 1 O halde f(x) x2 +1 denir.
  • 6.
    y=2x+2 y=2x+1 x y=2x y=2x-1 y=2x-2 -----------
  • 7.
    Tanımda Türev ileintegral işlemleri birbirlerinin tersidir demiştik. Bunu biraz açıklayalım. y = f(x) ‘in türevi f’(x) = dy /dx = df /dx = d/dx f(x) dir. f(x) = ∫ f’(x)dx = ∫ d/dx f(x) . Dx = ∫ d f(x) = ∫ dy dir. Buna göre ; ∫ dy = y+c ∫ dz = z+c ∫ d f(x) = f(x) + c ∫ dθ = θ + c
  • 8.
    BELİRSİZ İNTEGRALİN ÖZELLİKLERİ ∫f(x) dx = F(x) +c belirsiz integralin tanımından aşağıdaki özellikler vardır. 1. d ∫ f(x).dx = f(x).dx d ∫ f(x) dx = d[F(x)+c] = d/dx [F(x)+c)].dx = F’(x).dx = f(x).dx 2. D/dx [∫ f(x)dx)] = ∫ [d/dx f(x)] dx = f(x) d/dx (f) türevi ile ∫ işlemi birbirinin tersi olduğundan dolayı etkisiz elemanı oluştururlar; dolayısıyla f(x) fonksiyonuna hiçbir etkide bulunmaz.
  • 9.
    3. ∫ dF(x)= F(x)+c ∫ d F(x) = ∫ F’ (x) = ∫ f(x) dx = F(x)+c 4. Sabit bir çarpan integral dışına çıkabilir. ∫ a f(x)dx = a ∫ f(x)dx dir. 5. İntegral operatörü dağılma özelliğine sahiptir. ∫ [F(x)+g(x)-h(x)]dx = ∫ f(x)dx + ∫ g(x)dx - ∫ h(x)dx
  • 10.
    ÖRNEK 1 : f(x)= ∫ d(x2 – 2) ise f(3) ün değeri nedir? ÇÖZÜM : tanıma göre f(x) = x2 – 2 f’ (x) = 2x ⇒ f’ (3) = 2.3=6
  • 11.
    İNTEGRAL ALMA KURALLARI İntegral alma işlemi yapılırken integral operatörü altında bulunan fonksiyon acaba hangi ilkel fonksiyonun türevidir düşüncesinden hareket edilerek yapılmalıdır.
  • 12.
    1. ∫ xndx = xn+1/n+1 + c, n∈z+ Ör: ∫ x4 dx = x5 / 5 + c 2. ∫ f’ (x) / f(x) dx = 1n |x| + c Ör: ∫ 2x – 3 / x2 – 3x + 7 dx = 1n |x2 – 3x+7|+c 1. ∫ amx+n dx = amx+n /m.1na + C a,m,n∈R+ ∫ ex dx = ex + c Ör: ∫ 52x+3 dx = 52x+3 / 2.1n5 + C ∫ (3x – x3) dx = 3x /1n3 – x4 / 4 + c
  • 13.
    TRİGONOMETRİK FONKSİYONLARIN İNTEGRALİ U x’e bağlı bir fonksiyon olmak üzere aşağıdaki formüllerin bilinmesi gerekir. 4. ∫ sinx dx = -cosx + c 5. ∫ cosx dx = sinx + c 6. ∫ dx / cos2x = ∫ (1+tan2x)dx = ∫ secx dx = tanx + c 7. ∫ dx / sin2x = ∫ (1+cotan2x)dx = ∫ cosecx dx = -cotanx + c 8. ∫ dx / 1-x2n = arcsinx + c1 = -arccosx + c2 9. ∫ dx / 1+x2 = arctanx + c1 = -arccotanx + c2
  • 14.
    ALIŞTIRMALAR 1. ∫ sin2xdx = -1/2 cos2x + c 2. ∫ sin(3x+4)dx = -cos(3x+4).1/3 + c 3. ∫ cos 3x dx = 1/3 sin3x + c
  • 15.
    BASİT DEĞİŞKEN DEĞİŞTİRME YÖNTEMLERİ Göstermiş olduğumuz integral alma kuralına benzemeyen fonksiyonları değişken değiştirerek bu formüllere benzetilip daha sonra integrallerini alacağız. ÖRNEKLER: 1. ∫ (x3-2x)5 (3x2-2)dx ∫ u5.du = u6/6 + c = 1/6 (x3-2x)6 + c [u = x3-2x dersek du =(3x2-2) dx dir]
  • 16.
    2. ∫ ex²-2x+1. (x-1)dx = 1/2 ∫ eu du = ½ eu+c = ½ ex²-2x+1+c [u=x2-2x+1 dersek du = 2(x-1).dx dir.] 3. ∫ esinx.cosx dx = ∫ eu du = eu + c = esinx +c [u=sinx dersek du = cosx dx]
  • 17.
    PARÇAL (KISMİ) İNTEGRAL ∫ f(x) . G(x) dx biçiminde iki fonksiyonun çarpımının integrali bazen güç olabilir. Böyle fonksiyonların daha kolayca integrallene- bilmesini sağlamak amacıyla parçal (kısmi) integralleme aşağıdaki gibi yapılır. ∫ u dv = u.v - ∫ v du u = f(x) , du = g(x) dx dir.
  • 18.
     Kısmi integraldeu ve dv nin seçiminde kesin bir kural olmamakla birlikte türevi alındığında azalan fonksiyonlara, logaritmik ve ters trigonometrik fonksiyonlara u denir.  ex , sinx, ... gibi fonksiyonlara dv denilir. Kısmi integrasyon formülü aşağıdaki çarpım durumundaki fonksiyonların integrasyonunda kolaylık sağlar.
  • 19.
    i. ∫ p(x). fax dx, ii. ∫ p(x) .sinax dx, ∫ p(x) . Cosax dx iii. ∫ eax .sinbx dx , ∫ eax .cosbx dx iv. ∫ p(x) .lnax dx Ör: I1 = ∫ x.ex dx = ? u=x dv = ex dx du=dx v =ex Buna göre I1 = ∫ x.ex dx = x.ex - ∫ ex.dx = x.ex – ex + c = ex (x-1)+c
  • 20.
    KESİRLİ (RASYONEL) FONKSİYONLARIN İNTEGRALİ 1. ∫ k/ax+b dx hali Bu tür kesirlerde paydanın türevi pay kısmında varsa logaritmalı formülden yararlanılır. Ör: ∫ 7/2x – 5 dx = 7/2 ∫ 2/2x-5 dx = 7/2 ln |2x-5| + c
  • 21.
    2. F(x) =P(x) / Q(x) Rasyonel ifadesinde payın derecesi paydanın derecesinden büyük veya eşitse pay paydaya bölünür. f(x) = P(x) / Q(x) = T (x) + R(x) / Q(x) şeklinde yazılır ve sonra ayrı ayrı integralleri alınır. Ör: ∫ 3x2 + 2x +3 / x2 + 1 dx = ? 3x2 + 2x + 3 / x2 + 1 = 3 ∫ 3x2 + 2x + 3 / x2 + 1 dx = ∫ (3 +2x / x2 + 1 ) dx = 3x + ln (x2 + 1) + c
  • 22.
    3. ∫ dx/ ax2 + bx + c hali A. Eğer ax2 + bx + c polinomu çarpanlarına ayrılıyorsa ifade basit kesirlerine ayrılarak integre edilir. Basit kesirlerine ayrılmıyorsa arctanx formülüne benzetilerek çözülür.  1/x2-4 = A/x-2 + B/x+2  2x+1/x3+27 = A/x+3 + Bx+C/x2-3x+9  x3+3/x(x+1)2 (x2+1) = A/x +B/x+1+C/(x+1)2+Dx+E/x2+1 Rasyonel ifadeler yukarda görüldüğü gibi basit kesirlerine ayrılır ve integral parçalanarak kolaylaştırılır.
  • 23.
    Ör: ∫ 3x-1/ x2-1 .dx = ? 3x-1 / (x-1) (x+1) = A/x-1 + B/x+1 3x-1 / (x-1) (x+1) = A(x+1) + B(x-1) / (x-1) (x+1) 3x-1≡(A+B)x + A-B iki polinom eşitliğinden; A+B = 3 1+B = 3 A-B = -1 B=2 ----------- 2A = 2 ise A = 1 ∫ 3x-1 / x2-1 dx = ∫ 1 / x-1 dx +2 ∫ 1 / x+1 dx = ln |x-1| + 2ln |x+1| + c = ln |(x-1).(x+1)2| + c
  • 24.
    B. ∫ dx/ ax2 + bx + c halinde ax2+bx+c ifadesi çarpanlarına ayrılmıyorsa (Δ<0) ∫ dt / A2+t2 = 1/A arctan t/A+c veya ∫ dx / 1+x2 = arctanx + c formülünden yararlanılarak çözüm yapılır. Ör: ∫ dx / x2+9 = ∫ dx / 9[1+(x/3)2] = 1/9.1 / 1/3 arctan x/3+c = 1/3 arctan x/3 + c