INTERNAL COMBUSTION ENGINE
Prepared by:
Pradeep Kumar Gupta
Assistant Professor
Department of Mechanical Engineering
Engine
A device which transforms one form of energy into another form is known as
engine. Most of the engines convert thermal energy of fuel into mechanical
work and therefore they are known as heat engines.
Internal Combustion (IC) engine classification
The Internal Combustion engine can be classified by various ways
1. According to engine design.
a. Reciprocating engines,
b. Rotary engines.
2. According to working cycle.
a. Engines based on Otto cycle (spark-ignition or S. I. engines),
b. Engines based on diesel cycle (compression-ignition or C. I. engines).
3. According to number of strokes.
a. Four-stroke engines (S. I. engines and C. I. engines)
b. Two -stroke engines (S. I. engines and C. I. engines)
4.According to fuel.
a. Petrol (or Gasoline),
b. compressed natural gas (CNG),
c. Liquefied petroleum gas (LPG),
d. Diesel
e. Alcohols (methanol, ethanol).
5.According to fuel supply and mixture preparation.
a. Carbureted types, fuel supplied through carburetor.
b. Injection type.
(i)Fuel injected into inlet ports or inlet manifold.
(ii)Fuel injected into the cylinder just before ignition.
6.According to method of ignition.
a. Battery ignition
b. Magneto ignition.
7.According to method of cooling.
a. Water cooled
b. Air cooled
8.According to cylinder arrangement.
a. Inline engine,
b. V engine,
c. Radial engine
9.According to valve or port design and location.
a. Overhead (I head),
b. Side valve (L head) valves; In two stroke engines: - Cross scavenging, loop scavenging, uniflow scavenging.
Various parts of I.C. Engines
Spark Ignition Engine
Various parts of I.C. Engines
Compression Ignition Engine
• Terminology used in internal combustion engine
• Cylinder bore: The nominal inner diameter of the working cylinder is known
as cylinder bore. It is represented by ‘D’.
• Piston area: The area of a circle of diameter equal to the cylinder bore is
known as piston area. It is represented by ‘A’.
• Stroke: The nominal distance through which a piston moves between two
successive reversals of its direction of motion is known as stroke. It is
represented by ‘L’.
• Dead centre: The position of the piston and moving parts which are
mechanically connected to it at the moment when the direction of the piston
motion is reversed at either point of the stroke is known as dead centre. There
are two types of dead centres. These are as follows:
• Top dead centre: In vertical engine, it is the dead centre when the piston is
farthest from the crankshaft. It is written as TDC. In horizontal engine it is
known as Inner dead centre and is written as IDC.
• Bottom dead centre: In vertical engine, it is the dead centre when the piston
is nearest to the crankshaft. It is written as BDC. In horizontal engine it is
known as outer dead centre and is written as ODC.
• Swept or displacement volume: The volume swept by the piston when
moving from one dead Centre to other is known as swept or displacement
volume. It is represented by vs. Mathematically it is written as,
𝑣𝑠 = 𝐴. 𝐿
Where, A= cross sectional area in m2,
L= stroke length in m.
• Clearance volume: The nominal volume of the cylinder above the piston
when the piston is at its top most position (at TDC). It is represented by vc.
• Total or cylinder volume: The sum of swept and clearance volume is known
as cylinder or total volume. It is represented by v.
𝑣 = 𝑣𝑠. 𝑣𝑐
• Compression ratio: It is defined as the ratio of total cylinder volume to the
clearance volume. It is represented by ‘r’. Mathematically it is written as,
• Compression ratio,
𝑟 =
𝑇𝑜𝑡𝑎𝑙 𝑣𝑜𝑙𝑢𝑚𝑒
𝐶𝑙𝑒𝑎𝑟𝑎𝑛𝑐𝑒 𝑣𝑜𝑙𝑢𝑚𝑒
=
𝑣𝑐 + 𝑣𝑠
𝑣𝑐
• Cubic capacity or Engine capacity: The swept volume of a cylinder
multiplied by number of cylinders in an engine is known as cubic
capacity or engine capacity. Mathematically it is written as,
𝐶𝑢𝑏𝑖𝑐 𝑐𝑎𝑝𝑎𝑐𝑖𝑡𝑦 = 𝑣𝑠. 𝑛
Where,
𝑛 = 𝑛𝑢𝑚𝑏𝑒𝑟 𝑜𝑓 𝑐𝑦𝑙𝑖𝑛𝑑𝑒𝑟𝑠 𝑖𝑛 𝑎𝑛 𝑒𝑛𝑔𝑖𝑛𝑒.
Four-Stroke Spark-Ignition Engine (S.I. Engine)
Ideal and Actual Indicator diagram for S.I. Engine
Four-Stroke Spark-Ignition Engine (S.I. Engine)
Four-Stroke Compression Ignition Engine (C.I. Engine)
Indicator diagram for C.I. Engine.
Four-Stroke Compression Ignition Engine (C.I. Engine)
TWO-STROKE ENGINE
TWO-STROKE ENGINE
Difference between Two stroke and four stroke engine
S. N. Two Stroke Engines Four Stroke Engines
1
The cycle is completed in 2 strokes of the
piston or in 1 revolution of the crankshaft.
The cycle is completed in 4 strokes of the piston or
in 2 revolution of the crankshaft.
2 Lighter flywheel is needed. Heavier flywheel is needed.
3
Because of 1 power stroke for 1 revolution,
power produced for same size engine is more.
Because of 1 power stroke for 2 revolutions, power
produced for same size engine is small.
4 The same power engine is light and compact. The same power engine is heavy and bulky.
5
Greater cooling and lubrication is required.
Such engines are subjected to more wear and
tear.
Lesser cooling and lubrication is required. Such
engines are subjected to less wear and tear.
6 Such Engines contain ports. Such engines contain valve and valve mechanism.
7 Initial cost is low. Initial cost is high.
8 Volumetric efficiency is low. Volumetric efficiency is high.
9 Lower thermal efficiency. Higher thermal efficiency.
Comparison between SI and CI Engines
Comparison between SI and CI Engines
S. N. Spark ignition (S.I.) engine Compression ignition (C.I.) engine
1 Such engine operates on Otto cycle. Such engine operates on Diesel cycle.
2
Fuel with high self ignition temperature
(Petrol and gas) is used as a working
substance.
Fuel with high self ignition temperature (Diesel
and vegetable oils) is used as a working
substance.
3 Air-fuel (A/F) ratio lies between 10:1 to 20:1. Air-fuel (A/F) ratio lies between 18:1 to 100:1.
4
Fuel is ignited by the spark plug within the
engine cylinder.
Fuel is ignited by the high temperature of
compressed air within the engine cylinder.
5 Fuel supply by the carburetor. Fuel supply by the injector.
6
High operating speed (Range-2000 to 6000
rpm).
Comparatively low operating speed (Range-
400 to 3500 rpm).
7 Less maintenance required. More maintenance required.
8 Noise produced is less. Comparatively high.
9 Low capital cost. Comparatively high capital cost.
Efficiencies of I.C. Engine
Mechanical Efficiency: Mechanical efficiency is defined as the ratio of brake power (B.P.) to the indicated power. It
is expressed by 𝜂 𝑚𝑒𝑐ℎ. Mathematically it is written as,
𝜂 𝑚𝑒𝑐ℎ =
𝐵. 𝑃.
𝐼. 𝑃.
Where, B.P. = Brake Power and
I.P. = Indicated power
Brake power is defined as the power available at crankshaft. Mathematically it is written as,
𝐵. 𝑃. =
2𝜋𝑁𝑇
60
𝑊𝑎𝑡𝑡
Where, N= shaft rotation in rpm,
T=Torque in Nm.
Indicate power is defined as the power developed by engine cylinder. Mathematically it is written as,
𝐼. 𝑃. =
𝑃 𝑚 𝐿𝐴𝑁𝑛
60
𝑊𝑎𝑡𝑡
Where, Pm= mean effective pressure in N/m2,
L= stroke length in m,
A= Cross- sectional area of cylinder in m2,
N= engine speed in rpm,
n= number of cylinders.
Friction power is defined as the power lost due to friction and it is measured by the difference between I.P. and B.P. It is
expressed by F.P.
Friction Power (F.P.) = Indicated power (I.P.)- Brake power (B.P.)
Indicated Thermal Efficiency: Indicated thermal efficiency is
defined as the ratio of indicated power to the fuel energy. It is
expressed by 𝜂𝑖𝑡ℎ. Mathematically it is written as,
𝜂𝑖𝑡ℎ =
𝐼. 𝑃. 𝑖𝑛 𝑘𝐽/𝑠
𝐹𝑢𝑒𝑙 𝑒𝑛𝑒𝑟𝑔𝑦 𝑖𝑛 𝑘𝐽/𝑠
𝜂𝑖𝑡ℎ =
𝐼. 𝑃. 𝑖𝑛 𝑘𝐽/𝑠
𝑚𝑎𝑠𝑠 𝑜𝑓 𝑓𝑢𝑒𝑙 𝑝𝑒𝑟 𝑠𝑒𝑐.× 𝐶𝑎𝑙𝑜𝑟𝑖𝑓𝑖𝑐 𝑣𝑎𝑙𝑢𝑒 𝑜𝑓 𝑓𝑢𝑒𝑙
𝜂𝑖𝑡ℎ =
𝐼. 𝑃.
𝑚 𝑓 × 𝐶
Brake Thermal Efficiency: Brake thermal efficiency is defined as
the ratio of brake power to the fuel energy. It is expressed by 𝜂 𝑏𝑡ℎ.
Mathematically it is written as,
𝜂 𝑏𝑡ℎ =
𝐵. 𝑃. 𝑖𝑛 𝑘𝐽/𝑠
𝐹𝑢𝑒𝑙 𝑒𝑛𝑒𝑟𝑔𝑦 𝑖𝑛 𝑘𝐽/𝑠
𝜂 𝑏𝑡ℎ =
𝐵. 𝑃. 𝑖𝑛 𝑘𝐽/𝑠
𝑚𝑎𝑠𝑠 𝑜𝑓 𝑓𝑢𝑒𝑙 𝑝𝑒𝑟 𝑠𝑒𝑐.× 𝐶𝑎𝑙𝑜𝑟𝑖𝑓𝑖𝑐 𝑣𝑎𝑙𝑢𝑒 𝑜𝑓 𝑓𝑢𝑒𝑙
𝜂 𝑏𝑡ℎ =
𝐵. 𝑃.
𝑚 𝑓 × 𝐶
Volumetric Efficiency: Volumetric efficiency is defined as the ratio
of volume of fuel inlet during the suction stroke to the swept volume
of the piston. It is expressed by 𝜂 𝑣. Mathematically it is written as,
𝜂 𝑣 =
𝑣𝑖
𝑣𝑠
Where, 𝑣𝑖= volume of fuel inlet,
𝑣𝑠= swept volume.
Relative efficiency: Relative efficiency is defined as the ratio of
indicated thermal efficiency to the air standard efficiency. It is
expressed by 𝜂 𝑅. Mathematically it is written as,
𝜂 𝑅 =
𝐼𝑛𝑑𝑖𝑐𝑎𝑡𝑒𝑑 𝑡ℎ𝑒𝑟𝑚𝑎𝑙 𝑒𝑓𝑓𝑖𝑐𝑖𝑒𝑛𝑐𝑦 (𝜂𝑖𝑡ℎ)
𝐴𝑖𝑟 𝑠𝑡𝑎𝑛𝑑𝑎𝑟𝑑 𝑒𝑓𝑓𝑖𝑐𝑖𝑒𝑛𝑐𝑦
Where air standard efficiency is the efficiency of Otto cycle and
Diesel cycle in case of S.I. and C.I. engines respectively, as described
in chapter 5 as shown below.
𝜂 = 1 −
1
𝑟 𝛾−1
… … … … … … … … … . . 𝑖𝑛 𝑐𝑎𝑠𝑒 𝑜𝑓 𝑆. 𝐼. 𝐸𝑛𝑔𝑖𝑛𝑒
𝜂 = 1 −
1
𝑟 𝛾−1
𝜑 𝛾 − 1
𝛾(𝜑 − 1)
… … … … … … 𝑖𝑛 𝑐𝑎𝑠𝑒 𝑜𝑓 𝐶. 𝐼. 𝐸𝑛𝑔𝑖𝑛𝑒
Specific Fuel Consumption: It is defined as the ratio of mass of fuel per
hour to the power.
When it is represented by the ratio of mass of fuel per hour to the
indicated power then it is termed as indicated specific fuel
consumption and written as isfc.
Similarly,
when it is represented by the ratio of mass of fuel per second to the brake
power then it is termed as brake specific fuel consumption and written
as bsfc.
𝑖𝑠𝑓𝑐 =
𝑚 𝑓
𝐼. 𝑃.
𝑘𝑔/𝑘𝑊ℎ
𝑏𝑠𝑓𝑐 =
𝑚 𝑓
𝐵. 𝑃.
𝑘𝑔/𝑘𝑊ℎ
Otto cycle
German engineer Nicholas A. Otto in 1876.
It is also known as constant volume cycle, since the heat is received
and rejected at constant volume.
Isentropic compression (Process 1-2): The air is compressed
isentropically from temperature T1 to temperature T2 as shown curve 1-2
on P-v and T-s diagram. We know that, no heat is absorbed or rejected
during isentropic process.
Constant volume heat addition process (Process 2-3): The heat is
absorbed by the air at constant volume from temperature T2 to a
temperature T3 as shown curve 2-3 on P-v and T-s diagram. The heat
absorbed by the air during the process is given by
𝑄 𝐴 𝑜𝑟 𝑄2−3 = 𝑚𝑐 𝑣 𝑇3 − 𝑇2
Isentropic expansion (Process 3-4): The air is expanded isentropically
from temperature T3 to temperature T4 as shown curve 3-4 on P-v and T-
s diagram. We know that, no heat is absorbed or rejected during
isentropic process.
Constant volume heat rejection process (Process 4-1): The heat is
rejected by the air at constant volume from temperature T4 to a
temperature T1 as shown curve 4-1 on P-v and T-s diagram. The heat
rejected by the air during the process is given by
𝑄 𝑅 𝑜𝑟 𝑄4−1 = 𝑚𝑐 𝑣(𝑇4 − 𝑇1)
The work done during the cycle;
𝑊 = Heat absorbed – Heat rejected
= 𝑄2−3 − 𝑄4−1
= 𝑚𝑐 𝑣 𝑇3 − 𝑇2 − 𝑚𝑐 𝑣 𝑇4 − 𝑇1
Air standard efficiency,
𝜂 =
𝑊𝑜𝑟𝑘 𝑑𝑜𝑛𝑒
𝐻𝑒𝑎𝑡 𝑎𝑏𝑠𝑜𝑟𝑏𝑒𝑑
=
𝑚𝑐 𝑣 𝑇3 − 𝑇2 − 𝑚𝑐 𝑣 𝑇4 − 𝑇1
𝑚𝑐 𝑣 𝑇3 − 𝑇2
= 1 −
𝑇4 − 𝑇1
𝑇3 − 𝑇2
= 1 −
𝑇1
𝑇4
𝑇1
− 1
𝑇2
𝑇3
𝑇2
− 1
… … … … … … … . . (𝑖)
For isentropic compression process 1-2
𝑃1 𝑣1
𝛾 = 𝑃2 𝑣2
𝛾
𝑃1
𝑃2
=
𝑣2
𝑣1
𝛾
… … … … … … … … (𝑖𝑖)
Also from general gas equation we know that,
𝑃1 𝑣1
𝑇1
=
𝑃2 𝑣2
𝑇2
𝑜𝑟
𝑃1
𝑃2
=
𝑇1
𝑇2
.
𝑣2
𝑣1
… … … (𝑖𝑖𝑖)
From equation (ii) and (iii)
𝑣2
𝑣1
𝛾
=
𝑇1
𝑇2
.
𝑣2
𝑣1
𝑇1
𝑇2
=
𝑣2
𝑣1
𝛾
.
𝑣2
𝑣1
−1
=
𝑣2
𝑣1
𝛾−1
𝑜𝑟
𝑇1
𝑇2
=
𝑣2
𝑣1
𝛾−1
=
1
𝑟
𝛾−1
… … … … … (𝑖𝑣)
Where 𝑟 = 𝐶𝑜𝑚𝑝𝑟𝑒𝑠𝑠𝑖𝑜𝑛 𝑟𝑎𝑡𝑖𝑜 = 𝑣1 𝑣2
Similarly for isentropic expansion process 3-4
𝑇4
𝑇3
=
𝑣3
𝑣4
𝛾−1
=
1
𝑟
𝛾−1
… … … … … … … 𝑣
Where 𝑟 = 𝐸𝑥𝑝𝑎𝑛𝑠𝑖𝑜𝑛 𝑟𝑎𝑡𝑖𝑜 = 𝑣4 𝑣3
From equation (iv) and (v), we can write,
𝑇1
𝑇2
=
𝑇4
𝑇3
=
1
𝑟
𝛾−1
𝑜𝑟
𝑇4
𝑇1
=
𝑇3
𝑇2
Substituting the value of 𝑇4 𝑇1 in equation (i)
𝜼 = 𝟏 −
𝑻 𝟏
𝑻 𝟐
= 𝟏 −
𝑻 𝟒
𝑻 𝟑
= 𝟏 −
𝟏
𝒓 𝜸−𝟏
Diesel cycle
Isentropic compression (Process 1-2): The air is compressed isentropically
from temperature T1 to temperature T2 as shown curve 1-2 on P-v and T-s
diagram. We know that, no heat is absorbed or rejected during isentropic
process.
Constant pressure heat addition process (Process 2-3): The heat is
absorbed by the air at constant pressure from temperature T2 to a temperature
T3 as shown curve 2-3 on P-v and T-s diagram. The heat absorbed by the air
during the process is given by
𝑄 𝐴 𝑜𝑟 𝑄2−3 = 𝑚𝑐 𝑝(𝑇3 − 𝑇2)
Where, 𝑐 𝑝 = 𝑆𝑝𝑒𝑐𝑖𝑓𝑖𝑐 ℎ𝑒𝑎𝑡 𝑎𝑡 𝑐𝑜𝑛𝑠𝑡𝑎𝑛𝑡 𝑝𝑟𝑒𝑠𝑠𝑢𝑟𝑒.
Isentropic expansion (Process 3-4): The air is expanded isentropically from
temperature T3 to temperature T4 as shown curve 3-4 on P-v and T-s diagram.
We know that, no heat is absorbed or rejected during isentropic process.
Constant volume heat rejection process (Process 4-1): The heat is rejected
by the air at constant volume from temperature T4 to a temperature T1 as
shown curve 4-1 on P-v and T-s diagram. The heat rejected by the air during
the process is given by
𝑄 𝑅 𝑜𝑟 𝑄4−1 = 𝑚𝑐 𝑣(𝑇4 − 𝑇1)
Where, 𝑐 𝑣 = 𝑆𝑝𝑒𝑐𝑖𝑓𝑖𝑐 ℎ𝑒𝑎𝑡 𝑎𝑡 𝑐𝑜𝑛𝑠𝑡𝑎𝑛𝑡 𝑣𝑜𝑙𝑢𝑚𝑒.
The work done during the cycle;
𝑊 = Heat absorbed – Heat rejected
= 𝑄2−3 − 𝑄4−1
= 𝑚𝑐 𝑝 𝑇3 − 𝑇2 − 𝑚𝑐 𝑣(𝑇4 − 𝑇1)
Air standard efficiency,
𝜂 =
𝑊𝑜𝑟𝑘 𝑑𝑜𝑛𝑒
𝐻𝑒𝑎𝑡 𝑎𝑏𝑠𝑜𝑟𝑏𝑒𝑑
=
𝑚𝑐 𝑝 𝑇3 − 𝑇2 − 𝑚𝑐 𝑣(𝑇4 − 𝑇1)
𝑚𝑐 𝑝 𝑇3 − 𝑇2
= 1 −
𝑐 𝑣
𝑐 𝑝
𝑇4 − 𝑇1
𝑇3 − 𝑇2
= 1 −
1
𝛾
𝑇4 − 𝑇1
𝑇3 − 𝑇2
… … … … … … … . . (𝑖)
We know that, the compression ratio,
𝑟 =
𝑣1
𝑣2
Cut-off ratio,
𝜑 =
𝑣3
𝑣2
Expansion ratio,
𝛼 =
𝑣4
𝑣3
=
𝑣1
𝑣3
=
𝑣1
𝑣2
×
𝑣2
𝑣3
=
𝑟
𝜑
… … … … … … … . . (𝑖𝑖)
(Because 𝑣1 = 𝑣4)
For constant pressure heating process 2-3, according to Charles’s law
𝑣2
𝑇2
=
𝑣3
𝑇3
𝑇3 = 𝑇2 ×
𝑣3
𝑣2
= 𝑇2 × 𝜑 … … … … … … … (𝑖𝑖𝑖)
Similarly, for isentropic expansion process 3-4
𝑇4
𝑇3
=
𝑣3
𝑣4
𝛾−1
=
1
𝛼
𝛾−1
=
𝜑
𝑟
𝛾−1
𝑜𝑟
𝑇4 = 𝑇3
𝜑
𝑟
𝛾−1
= 𝑇2 × 𝜑
𝜑
𝑟
𝛾−1
… … … … … (𝑖𝑣)
For isentropic compression process 1-2
𝑇2
𝑇1
=
𝑣1
𝑣2
𝛾−1
= 𝑟 𝛾−1
𝑜𝑟
𝑻 𝟐 = 𝑻 𝟏 𝒓 𝜸−𝟏 … … … … … … … … (𝒗)
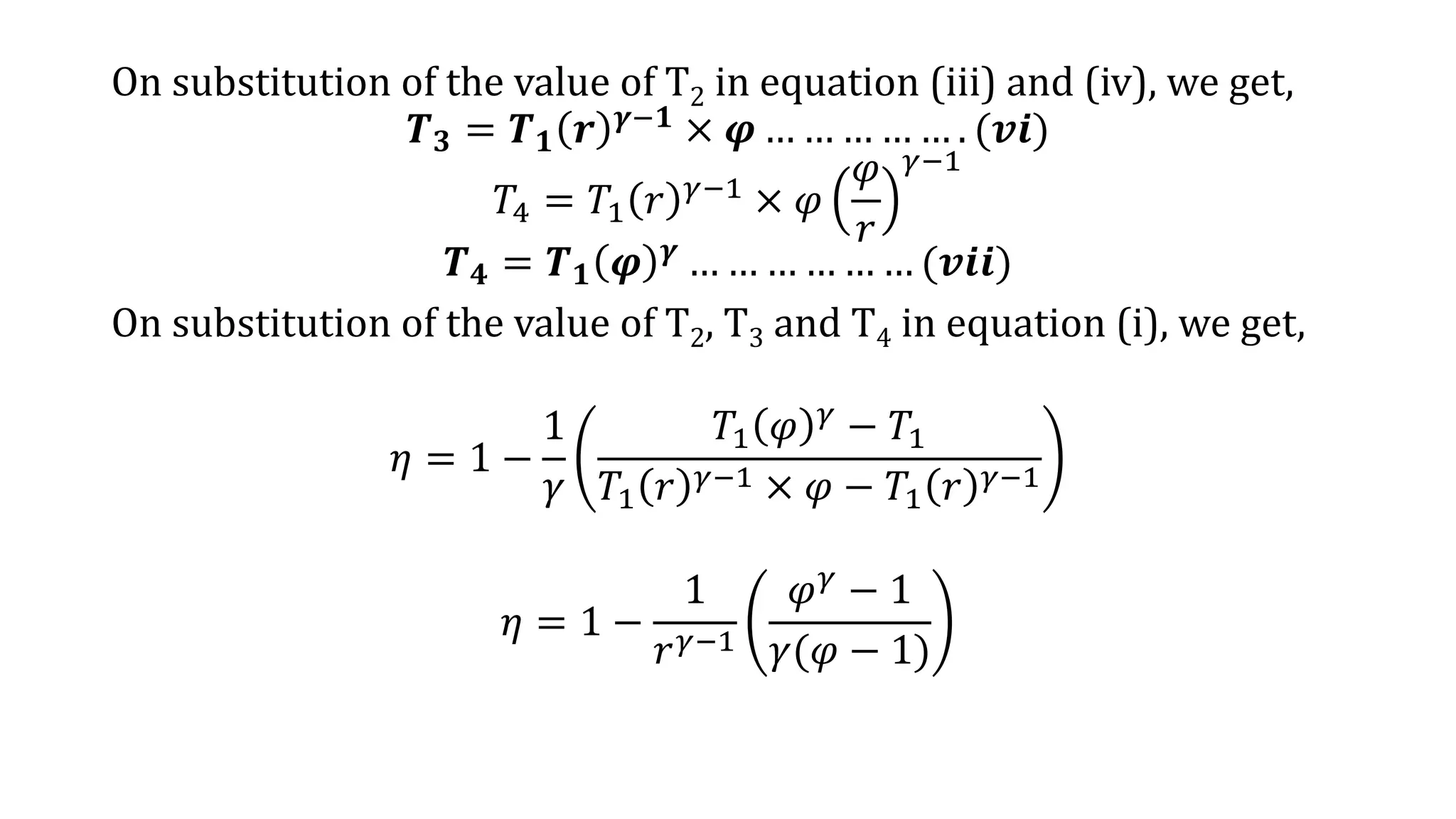
On substitution of the value of T2 in equation (iii) and (iv), we get,
𝑻 𝟑 = 𝑻 𝟏 𝒓 𝜸−𝟏 × 𝝋 … … … … … . (𝒗𝒊)
𝑇4 = 𝑇1 𝑟 𝛾−1 × 𝜑
𝜑
𝑟
𝛾−1
𝑻 𝟒 = 𝑻 𝟏 𝝋 𝜸 … … … … … … (𝒗𝒊𝒊)
On substitution of the value of T2, T3 and T4 in equation (i), we get,
𝜂 = 1 −
1
𝛾
𝑇1 𝜑 𝛾
− 𝑇1
𝑇1 𝑟 𝛾−1 × 𝜑 − 𝑇1 𝑟 𝛾−1
𝜂 = 1 −
1
𝑟 𝛾−1
𝜑 𝛾 − 1
𝛾(𝜑 − 1)

Ic engines

  • 1.
    INTERNAL COMBUSTION ENGINE Preparedby: Pradeep Kumar Gupta Assistant Professor Department of Mechanical Engineering
  • 2.
    Engine A device whichtransforms one form of energy into another form is known as engine. Most of the engines convert thermal energy of fuel into mechanical work and therefore they are known as heat engines. Internal Combustion (IC) engine classification The Internal Combustion engine can be classified by various ways 1. According to engine design. a. Reciprocating engines, b. Rotary engines. 2. According to working cycle. a. Engines based on Otto cycle (spark-ignition or S. I. engines), b. Engines based on diesel cycle (compression-ignition or C. I. engines). 3. According to number of strokes. a. Four-stroke engines (S. I. engines and C. I. engines) b. Two -stroke engines (S. I. engines and C. I. engines)
  • 3.
    4.According to fuel. a.Petrol (or Gasoline), b. compressed natural gas (CNG), c. Liquefied petroleum gas (LPG), d. Diesel e. Alcohols (methanol, ethanol). 5.According to fuel supply and mixture preparation. a. Carbureted types, fuel supplied through carburetor. b. Injection type. (i)Fuel injected into inlet ports or inlet manifold. (ii)Fuel injected into the cylinder just before ignition. 6.According to method of ignition. a. Battery ignition b. Magneto ignition. 7.According to method of cooling. a. Water cooled b. Air cooled 8.According to cylinder arrangement. a. Inline engine, b. V engine, c. Radial engine 9.According to valve or port design and location. a. Overhead (I head), b. Side valve (L head) valves; In two stroke engines: - Cross scavenging, loop scavenging, uniflow scavenging.
  • 4.
    Various parts ofI.C. Engines Spark Ignition Engine
  • 5.
    Various parts ofI.C. Engines Compression Ignition Engine
  • 6.
    • Terminology usedin internal combustion engine • Cylinder bore: The nominal inner diameter of the working cylinder is known as cylinder bore. It is represented by ‘D’. • Piston area: The area of a circle of diameter equal to the cylinder bore is known as piston area. It is represented by ‘A’. • Stroke: The nominal distance through which a piston moves between two successive reversals of its direction of motion is known as stroke. It is represented by ‘L’. • Dead centre: The position of the piston and moving parts which are mechanically connected to it at the moment when the direction of the piston motion is reversed at either point of the stroke is known as dead centre. There are two types of dead centres. These are as follows: • Top dead centre: In vertical engine, it is the dead centre when the piston is farthest from the crankshaft. It is written as TDC. In horizontal engine it is known as Inner dead centre and is written as IDC. • Bottom dead centre: In vertical engine, it is the dead centre when the piston is nearest to the crankshaft. It is written as BDC. In horizontal engine it is known as outer dead centre and is written as ODC.
  • 7.
    • Swept ordisplacement volume: The volume swept by the piston when moving from one dead Centre to other is known as swept or displacement volume. It is represented by vs. Mathematically it is written as, 𝑣𝑠 = 𝐴. 𝐿 Where, A= cross sectional area in m2, L= stroke length in m. • Clearance volume: The nominal volume of the cylinder above the piston when the piston is at its top most position (at TDC). It is represented by vc. • Total or cylinder volume: The sum of swept and clearance volume is known as cylinder or total volume. It is represented by v. 𝑣 = 𝑣𝑠. 𝑣𝑐 • Compression ratio: It is defined as the ratio of total cylinder volume to the clearance volume. It is represented by ‘r’. Mathematically it is written as,
  • 8.
    • Compression ratio, 𝑟= 𝑇𝑜𝑡𝑎𝑙 𝑣𝑜𝑙𝑢𝑚𝑒 𝐶𝑙𝑒𝑎𝑟𝑎𝑛𝑐𝑒 𝑣𝑜𝑙𝑢𝑚𝑒 = 𝑣𝑐 + 𝑣𝑠 𝑣𝑐 • Cubic capacity or Engine capacity: The swept volume of a cylinder multiplied by number of cylinders in an engine is known as cubic capacity or engine capacity. Mathematically it is written as, 𝐶𝑢𝑏𝑖𝑐 𝑐𝑎𝑝𝑎𝑐𝑖𝑡𝑦 = 𝑣𝑠. 𝑛 Where, 𝑛 = 𝑛𝑢𝑚𝑏𝑒𝑟 𝑜𝑓 𝑐𝑦𝑙𝑖𝑛𝑑𝑒𝑟𝑠 𝑖𝑛 𝑎𝑛 𝑒𝑛𝑔𝑖𝑛𝑒.
  • 9.
  • 10.
    Ideal and ActualIndicator diagram for S.I. Engine
  • 11.
  • 12.
  • 13.
  • 14.
  • 15.
  • 16.
  • 17.
    Difference between Twostroke and four stroke engine S. N. Two Stroke Engines Four Stroke Engines 1 The cycle is completed in 2 strokes of the piston or in 1 revolution of the crankshaft. The cycle is completed in 4 strokes of the piston or in 2 revolution of the crankshaft. 2 Lighter flywheel is needed. Heavier flywheel is needed. 3 Because of 1 power stroke for 1 revolution, power produced for same size engine is more. Because of 1 power stroke for 2 revolutions, power produced for same size engine is small. 4 The same power engine is light and compact. The same power engine is heavy and bulky. 5 Greater cooling and lubrication is required. Such engines are subjected to more wear and tear. Lesser cooling and lubrication is required. Such engines are subjected to less wear and tear. 6 Such Engines contain ports. Such engines contain valve and valve mechanism. 7 Initial cost is low. Initial cost is high. 8 Volumetric efficiency is low. Volumetric efficiency is high. 9 Lower thermal efficiency. Higher thermal efficiency.
  • 18.
    Comparison between SIand CI Engines
  • 19.
    Comparison between SIand CI Engines S. N. Spark ignition (S.I.) engine Compression ignition (C.I.) engine 1 Such engine operates on Otto cycle. Such engine operates on Diesel cycle. 2 Fuel with high self ignition temperature (Petrol and gas) is used as a working substance. Fuel with high self ignition temperature (Diesel and vegetable oils) is used as a working substance. 3 Air-fuel (A/F) ratio lies between 10:1 to 20:1. Air-fuel (A/F) ratio lies between 18:1 to 100:1. 4 Fuel is ignited by the spark plug within the engine cylinder. Fuel is ignited by the high temperature of compressed air within the engine cylinder. 5 Fuel supply by the carburetor. Fuel supply by the injector. 6 High operating speed (Range-2000 to 6000 rpm). Comparatively low operating speed (Range- 400 to 3500 rpm). 7 Less maintenance required. More maintenance required. 8 Noise produced is less. Comparatively high. 9 Low capital cost. Comparatively high capital cost.
  • 20.
    Efficiencies of I.C.Engine Mechanical Efficiency: Mechanical efficiency is defined as the ratio of brake power (B.P.) to the indicated power. It is expressed by 𝜂 𝑚𝑒𝑐ℎ. Mathematically it is written as, 𝜂 𝑚𝑒𝑐ℎ = 𝐵. 𝑃. 𝐼. 𝑃. Where, B.P. = Brake Power and I.P. = Indicated power Brake power is defined as the power available at crankshaft. Mathematically it is written as, 𝐵. 𝑃. = 2𝜋𝑁𝑇 60 𝑊𝑎𝑡𝑡 Where, N= shaft rotation in rpm, T=Torque in Nm. Indicate power is defined as the power developed by engine cylinder. Mathematically it is written as, 𝐼. 𝑃. = 𝑃 𝑚 𝐿𝐴𝑁𝑛 60 𝑊𝑎𝑡𝑡 Where, Pm= mean effective pressure in N/m2, L= stroke length in m, A= Cross- sectional area of cylinder in m2, N= engine speed in rpm, n= number of cylinders. Friction power is defined as the power lost due to friction and it is measured by the difference between I.P. and B.P. It is expressed by F.P. Friction Power (F.P.) = Indicated power (I.P.)- Brake power (B.P.)
  • 21.
    Indicated Thermal Efficiency:Indicated thermal efficiency is defined as the ratio of indicated power to the fuel energy. It is expressed by 𝜂𝑖𝑡ℎ. Mathematically it is written as, 𝜂𝑖𝑡ℎ = 𝐼. 𝑃. 𝑖𝑛 𝑘𝐽/𝑠 𝐹𝑢𝑒𝑙 𝑒𝑛𝑒𝑟𝑔𝑦 𝑖𝑛 𝑘𝐽/𝑠 𝜂𝑖𝑡ℎ = 𝐼. 𝑃. 𝑖𝑛 𝑘𝐽/𝑠 𝑚𝑎𝑠𝑠 𝑜𝑓 𝑓𝑢𝑒𝑙 𝑝𝑒𝑟 𝑠𝑒𝑐.× 𝐶𝑎𝑙𝑜𝑟𝑖𝑓𝑖𝑐 𝑣𝑎𝑙𝑢𝑒 𝑜𝑓 𝑓𝑢𝑒𝑙 𝜂𝑖𝑡ℎ = 𝐼. 𝑃. 𝑚 𝑓 × 𝐶
  • 22.
    Brake Thermal Efficiency:Brake thermal efficiency is defined as the ratio of brake power to the fuel energy. It is expressed by 𝜂 𝑏𝑡ℎ. Mathematically it is written as, 𝜂 𝑏𝑡ℎ = 𝐵. 𝑃. 𝑖𝑛 𝑘𝐽/𝑠 𝐹𝑢𝑒𝑙 𝑒𝑛𝑒𝑟𝑔𝑦 𝑖𝑛 𝑘𝐽/𝑠 𝜂 𝑏𝑡ℎ = 𝐵. 𝑃. 𝑖𝑛 𝑘𝐽/𝑠 𝑚𝑎𝑠𝑠 𝑜𝑓 𝑓𝑢𝑒𝑙 𝑝𝑒𝑟 𝑠𝑒𝑐.× 𝐶𝑎𝑙𝑜𝑟𝑖𝑓𝑖𝑐 𝑣𝑎𝑙𝑢𝑒 𝑜𝑓 𝑓𝑢𝑒𝑙 𝜂 𝑏𝑡ℎ = 𝐵. 𝑃. 𝑚 𝑓 × 𝐶
  • 23.
    Volumetric Efficiency: Volumetricefficiency is defined as the ratio of volume of fuel inlet during the suction stroke to the swept volume of the piston. It is expressed by 𝜂 𝑣. Mathematically it is written as, 𝜂 𝑣 = 𝑣𝑖 𝑣𝑠 Where, 𝑣𝑖= volume of fuel inlet, 𝑣𝑠= swept volume.
  • 24.
    Relative efficiency: Relativeefficiency is defined as the ratio of indicated thermal efficiency to the air standard efficiency. It is expressed by 𝜂 𝑅. Mathematically it is written as, 𝜂 𝑅 = 𝐼𝑛𝑑𝑖𝑐𝑎𝑡𝑒𝑑 𝑡ℎ𝑒𝑟𝑚𝑎𝑙 𝑒𝑓𝑓𝑖𝑐𝑖𝑒𝑛𝑐𝑦 (𝜂𝑖𝑡ℎ) 𝐴𝑖𝑟 𝑠𝑡𝑎𝑛𝑑𝑎𝑟𝑑 𝑒𝑓𝑓𝑖𝑐𝑖𝑒𝑛𝑐𝑦 Where air standard efficiency is the efficiency of Otto cycle and Diesel cycle in case of S.I. and C.I. engines respectively, as described in chapter 5 as shown below. 𝜂 = 1 − 1 𝑟 𝛾−1 … … … … … … … … … . . 𝑖𝑛 𝑐𝑎𝑠𝑒 𝑜𝑓 𝑆. 𝐼. 𝐸𝑛𝑔𝑖𝑛𝑒 𝜂 = 1 − 1 𝑟 𝛾−1 𝜑 𝛾 − 1 𝛾(𝜑 − 1) … … … … … … 𝑖𝑛 𝑐𝑎𝑠𝑒 𝑜𝑓 𝐶. 𝐼. 𝐸𝑛𝑔𝑖𝑛𝑒
  • 25.
    Specific Fuel Consumption:It is defined as the ratio of mass of fuel per hour to the power. When it is represented by the ratio of mass of fuel per hour to the indicated power then it is termed as indicated specific fuel consumption and written as isfc. Similarly, when it is represented by the ratio of mass of fuel per second to the brake power then it is termed as brake specific fuel consumption and written as bsfc. 𝑖𝑠𝑓𝑐 = 𝑚 𝑓 𝐼. 𝑃. 𝑘𝑔/𝑘𝑊ℎ 𝑏𝑠𝑓𝑐 = 𝑚 𝑓 𝐵. 𝑃. 𝑘𝑔/𝑘𝑊ℎ
  • 26.
    Otto cycle German engineerNicholas A. Otto in 1876. It is also known as constant volume cycle, since the heat is received and rejected at constant volume.
  • 27.
    Isentropic compression (Process1-2): The air is compressed isentropically from temperature T1 to temperature T2 as shown curve 1-2 on P-v and T-s diagram. We know that, no heat is absorbed or rejected during isentropic process. Constant volume heat addition process (Process 2-3): The heat is absorbed by the air at constant volume from temperature T2 to a temperature T3 as shown curve 2-3 on P-v and T-s diagram. The heat absorbed by the air during the process is given by 𝑄 𝐴 𝑜𝑟 𝑄2−3 = 𝑚𝑐 𝑣 𝑇3 − 𝑇2 Isentropic expansion (Process 3-4): The air is expanded isentropically from temperature T3 to temperature T4 as shown curve 3-4 on P-v and T- s diagram. We know that, no heat is absorbed or rejected during isentropic process. Constant volume heat rejection process (Process 4-1): The heat is rejected by the air at constant volume from temperature T4 to a temperature T1 as shown curve 4-1 on P-v and T-s diagram. The heat rejected by the air during the process is given by 𝑄 𝑅 𝑜𝑟 𝑄4−1 = 𝑚𝑐 𝑣(𝑇4 − 𝑇1)
  • 28.
    The work doneduring the cycle; 𝑊 = Heat absorbed – Heat rejected = 𝑄2−3 − 𝑄4−1 = 𝑚𝑐 𝑣 𝑇3 − 𝑇2 − 𝑚𝑐 𝑣 𝑇4 − 𝑇1 Air standard efficiency, 𝜂 = 𝑊𝑜𝑟𝑘 𝑑𝑜𝑛𝑒 𝐻𝑒𝑎𝑡 𝑎𝑏𝑠𝑜𝑟𝑏𝑒𝑑 = 𝑚𝑐 𝑣 𝑇3 − 𝑇2 − 𝑚𝑐 𝑣 𝑇4 − 𝑇1 𝑚𝑐 𝑣 𝑇3 − 𝑇2 = 1 − 𝑇4 − 𝑇1 𝑇3 − 𝑇2 = 1 − 𝑇1 𝑇4 𝑇1 − 1 𝑇2 𝑇3 𝑇2 − 1 … … … … … … … . . (𝑖)
  • 29.
    For isentropic compressionprocess 1-2 𝑃1 𝑣1 𝛾 = 𝑃2 𝑣2 𝛾 𝑃1 𝑃2 = 𝑣2 𝑣1 𝛾 … … … … … … … … (𝑖𝑖) Also from general gas equation we know that, 𝑃1 𝑣1 𝑇1 = 𝑃2 𝑣2 𝑇2 𝑜𝑟 𝑃1 𝑃2 = 𝑇1 𝑇2 . 𝑣2 𝑣1 … … … (𝑖𝑖𝑖) From equation (ii) and (iii) 𝑣2 𝑣1 𝛾 = 𝑇1 𝑇2 . 𝑣2 𝑣1 𝑇1 𝑇2 = 𝑣2 𝑣1 𝛾 . 𝑣2 𝑣1 −1 = 𝑣2 𝑣1 𝛾−1 𝑜𝑟 𝑇1 𝑇2 = 𝑣2 𝑣1 𝛾−1 = 1 𝑟 𝛾−1 … … … … … (𝑖𝑣)
  • 30.
    Where 𝑟 =𝐶𝑜𝑚𝑝𝑟𝑒𝑠𝑠𝑖𝑜𝑛 𝑟𝑎𝑡𝑖𝑜 = 𝑣1 𝑣2 Similarly for isentropic expansion process 3-4 𝑇4 𝑇3 = 𝑣3 𝑣4 𝛾−1 = 1 𝑟 𝛾−1 … … … … … … … 𝑣 Where 𝑟 = 𝐸𝑥𝑝𝑎𝑛𝑠𝑖𝑜𝑛 𝑟𝑎𝑡𝑖𝑜 = 𝑣4 𝑣3 From equation (iv) and (v), we can write, 𝑇1 𝑇2 = 𝑇4 𝑇3 = 1 𝑟 𝛾−1 𝑜𝑟 𝑇4 𝑇1 = 𝑇3 𝑇2 Substituting the value of 𝑇4 𝑇1 in equation (i) 𝜼 = 𝟏 − 𝑻 𝟏 𝑻 𝟐 = 𝟏 − 𝑻 𝟒 𝑻 𝟑 = 𝟏 − 𝟏 𝒓 𝜸−𝟏
  • 31.
  • 32.
    Isentropic compression (Process1-2): The air is compressed isentropically from temperature T1 to temperature T2 as shown curve 1-2 on P-v and T-s diagram. We know that, no heat is absorbed or rejected during isentropic process. Constant pressure heat addition process (Process 2-3): The heat is absorbed by the air at constant pressure from temperature T2 to a temperature T3 as shown curve 2-3 on P-v and T-s diagram. The heat absorbed by the air during the process is given by 𝑄 𝐴 𝑜𝑟 𝑄2−3 = 𝑚𝑐 𝑝(𝑇3 − 𝑇2) Where, 𝑐 𝑝 = 𝑆𝑝𝑒𝑐𝑖𝑓𝑖𝑐 ℎ𝑒𝑎𝑡 𝑎𝑡 𝑐𝑜𝑛𝑠𝑡𝑎𝑛𝑡 𝑝𝑟𝑒𝑠𝑠𝑢𝑟𝑒. Isentropic expansion (Process 3-4): The air is expanded isentropically from temperature T3 to temperature T4 as shown curve 3-4 on P-v and T-s diagram. We know that, no heat is absorbed or rejected during isentropic process. Constant volume heat rejection process (Process 4-1): The heat is rejected by the air at constant volume from temperature T4 to a temperature T1 as shown curve 4-1 on P-v and T-s diagram. The heat rejected by the air during the process is given by 𝑄 𝑅 𝑜𝑟 𝑄4−1 = 𝑚𝑐 𝑣(𝑇4 − 𝑇1) Where, 𝑐 𝑣 = 𝑆𝑝𝑒𝑐𝑖𝑓𝑖𝑐 ℎ𝑒𝑎𝑡 𝑎𝑡 𝑐𝑜𝑛𝑠𝑡𝑎𝑛𝑡 𝑣𝑜𝑙𝑢𝑚𝑒.
  • 33.
    The work doneduring the cycle; 𝑊 = Heat absorbed – Heat rejected = 𝑄2−3 − 𝑄4−1 = 𝑚𝑐 𝑝 𝑇3 − 𝑇2 − 𝑚𝑐 𝑣(𝑇4 − 𝑇1) Air standard efficiency, 𝜂 = 𝑊𝑜𝑟𝑘 𝑑𝑜𝑛𝑒 𝐻𝑒𝑎𝑡 𝑎𝑏𝑠𝑜𝑟𝑏𝑒𝑑 = 𝑚𝑐 𝑝 𝑇3 − 𝑇2 − 𝑚𝑐 𝑣(𝑇4 − 𝑇1) 𝑚𝑐 𝑝 𝑇3 − 𝑇2 = 1 − 𝑐 𝑣 𝑐 𝑝 𝑇4 − 𝑇1 𝑇3 − 𝑇2 = 1 − 1 𝛾 𝑇4 − 𝑇1 𝑇3 − 𝑇2 … … … … … … … . . (𝑖)
  • 34.
    We know that,the compression ratio, 𝑟 = 𝑣1 𝑣2 Cut-off ratio, 𝜑 = 𝑣3 𝑣2 Expansion ratio, 𝛼 = 𝑣4 𝑣3 = 𝑣1 𝑣3 = 𝑣1 𝑣2 × 𝑣2 𝑣3 = 𝑟 𝜑 … … … … … … … . . (𝑖𝑖) (Because 𝑣1 = 𝑣4) For constant pressure heating process 2-3, according to Charles’s law 𝑣2 𝑇2 = 𝑣3 𝑇3 𝑇3 = 𝑇2 × 𝑣3 𝑣2 = 𝑇2 × 𝜑 … … … … … … … (𝑖𝑖𝑖)
  • 35.
    Similarly, for isentropicexpansion process 3-4 𝑇4 𝑇3 = 𝑣3 𝑣4 𝛾−1 = 1 𝛼 𝛾−1 = 𝜑 𝑟 𝛾−1 𝑜𝑟 𝑇4 = 𝑇3 𝜑 𝑟 𝛾−1 = 𝑇2 × 𝜑 𝜑 𝑟 𝛾−1 … … … … … (𝑖𝑣) For isentropic compression process 1-2 𝑇2 𝑇1 = 𝑣1 𝑣2 𝛾−1 = 𝑟 𝛾−1 𝑜𝑟 𝑻 𝟐 = 𝑻 𝟏 𝒓 𝜸−𝟏 … … … … … … … … (𝒗)
  • 36.
    On substitution ofthe value of T2 in equation (iii) and (iv), we get, 𝑻 𝟑 = 𝑻 𝟏 𝒓 𝜸−𝟏 × 𝝋 … … … … … . (𝒗𝒊) 𝑇4 = 𝑇1 𝑟 𝛾−1 × 𝜑 𝜑 𝑟 𝛾−1 𝑻 𝟒 = 𝑻 𝟏 𝝋 𝜸 … … … … … … (𝒗𝒊𝒊) On substitution of the value of T2, T3 and T4 in equation (i), we get, 𝜂 = 1 − 1 𝛾 𝑇1 𝜑 𝛾 − 𝑇1 𝑇1 𝑟 𝛾−1 × 𝜑 − 𝑇1 𝑟 𝛾−1 𝜂 = 1 − 1 𝑟 𝛾−1 𝜑 𝛾 − 1 𝛾(𝜑 − 1)