Peter M. Lance, PhD
MEASURE Evaluation
University of North Carolina at
Chapel Hill
MARCH 31, 2016
Fundamentals of Program
Impact Evaluation
Global, five-year, $180M cooperative agreement
Strategic objective:
To strengthen health information systems – the
capacity to gather, interpret, and use data – so
countries can make better decisions and sustain good
health outcomes over time.
Project overview
Improved country capacity to manage health
information systems, resources, and staff
Strengthened collection, analysis, and use of
routine health data
Methods, tools, and approaches improved and
applied to address health information challenges
and gaps
Increased capacity for rigorous evaluation
Phase IV Results Framework
Global footprint (more than 25 countries)
How Do We Know IfAProgram MadeADifference?
ABrief Helicopter Tour of Methods for Estimating Program Impact
• The Program Impact Evaluation Challenge
• Randomization
• Selection on observables
• Within estimators
• Instrumental variables
• The Program Impact Evaluation Challenge
• Randomization
• Selection on observables
• Within estimators
• Instrumental variables
• The Program Impact Evaluation Challenge
• Randomization
• Selection on observables
• Within estimators
• Instrumental variables
• The Program Impact Evaluation Challenge
• Randomization
• Selection on observables
• Within estimators
• Instrumental variables
• The Program Impact Evaluation Challenge
• Randomization
• Selection on observables
• Within estimators
• Instrumental variables
• The Program Impact Evaluation Challenge
• Randomization
• Selection on observables
• Within estimators
• Instrumental variables
• The Program Impact Evaluation Challenge
• Randomization
• Selection on observables
• Within estimators
• Instrumental variables
Newton’s “Laws” of Motion
𝐹𝑜𝑟𝑐𝑒 = 𝑀𝑎𝑠𝑠 ∙ 𝐴𝑐𝑐𝑒𝑙𝑒𝑟𝑎𝑡𝑖𝑜𝑛
Did the program make a
difference?
Did the program cause a change in an
outcome of interest Y ?
(Causality)
Our outcome of Interest
What happens if an individual does
not participate in a program
What happens if that individual does
participate in a program
Potential Outcomes
𝑌 :
𝑌0
:
𝑌1
:
Our outcome of interest
What happens if an individual does
not participate in a program
What happens if that individual does
participate in a program
Potential Outcomes
𝑌𝑖 :
𝑌𝑖
0
:
𝑌𝑖
1
:
Our outcome of interest
What happens if an individual does
not participate in a program
What happens if that individual does
participate in a program
Potential Outcomes
𝑌𝑖 :
𝑌𝑖
0
:
𝑌𝑖
1
:
Our outcome of interest
What happens if an individual does
not participate in a program
What happens if that individual does
participate in a program
Potential Outcomes
𝑌𝑖 :
𝑌𝑖
0
:
𝑌𝑖
1
:
What happens
if the individual
participates
{Causal} Program Impact
𝑌𝑖
1
− 𝑌𝑖
0
= Program Impact
What happens
if the individual
does not
participate
What happens
if the individual
participates
{Causal} Program Impact
𝑌𝑖
1
− 𝑌𝑖
0
= Program Impact
What happens
if the individual
does not
participate
What happens
if the individual
participates
{Causal} Program Impact
𝑌𝑖
1
− 𝑌𝑖
0
= Program Impact
What happens
if the individual
does not
participate
What happens
if the individual
participates
{Causal} Program Impact
𝑌𝑖
1
− 𝑌𝑖
0
= Program Impact
What happens
if the individual
does not
participate
What happens
if the individual
participates
{Causal} Program Impact
𝑌𝑖
1
− 𝑌𝑖
0
= Program Impact
What happens
if the individual
does not
participate
𝑃𝑖 =
1ifindividual 𝑖 participates
0if individual 𝑖 does not participate
Program Participation
𝑌𝑖 = 𝑃𝑖 ∙ 𝑌𝑖
1
+ 1 − 𝑃𝑖 ∙ 𝑌𝑖
0
Observed Outcome
𝑌𝑖 = 𝑃𝑖 ∙ 𝑌𝑖
1
+ 1 − 𝑃𝑖 ∙ 𝑌𝑖
0
Observed Outcome
𝑃𝑖 = 1
𝑌𝑖 = 1 ∙ 𝑌𝑖
1
+ 1 − 1 ∙ 𝑌𝑖
0
Observed Outcome
𝑃𝑖 = 1
𝑌𝑖 = 𝑌𝑖
1
+ 0 ∙ 𝑌𝑖
0
Observed Outcome
𝑃𝑖 = 1
𝑌𝑖 = 𝑌𝑖
1
Observed Outcome
𝑃𝑖 = 1
𝑌𝑖 = 𝑃𝑖 ∙ 𝑌𝑖
1
+ 1 − 𝑃𝑖 ∙ 𝑌𝑖
0
Observed Outcome
𝑌𝑖 = 𝑃𝑖 ∙ 𝑌𝑖
1
+ 1 − 𝑃𝑖 ∙ 𝑌𝑖
0
Observed Outcome
𝑃𝑖 = 0
𝑌𝑖 = 0 ∙ 𝑌𝑖
1
+ 1 − 0 ∙ 𝑌𝑖
0
Observed Outcome
𝑃𝑖 = 0
𝑌𝑖 = 𝑌𝑖
0
Observed Outcome
𝑃𝑖 = 0
𝑌𝑖
1
, 𝑌𝑖
0
Observed Outcome
𝑌𝑖
1
, 𝑌𝑖
0
Observed Outcome
𝑌𝑖
1
, 𝑌𝑖
0
Observed Outcome
𝑌𝑖
1
, 𝑌𝑖
0
Observed Outcome
𝑌𝑖
1
, 𝑌𝑖
0
Observed Outcome
Fundamental Identification
Problem of Program Impact
Evaluation
𝑌𝑖
1
, 𝑌𝑖
0
Observed Outcome
Fundamental Identification
Problem of Program Impact
Evaluation
Individual Population
Individual Population
Hi. They call me
individual i
Individual Population
?!?
𝑌𝑖
1
, 𝑌𝑖
0
𝑌𝑖
1
, 𝑌𝑖
0
An expected value for a random variable is the
average value from a large number of repetitions
of the experiment that random variable represents
An expected value is the true average of a random
variable across a population
Expected Value
An expected value for a random variable is the
average value from a large number of repetitions
of the experiment that random variable represents
An expected value is the true average of a random
variable across a population
Expected Value
An expected value is the true average of a random
variable across a population
𝐸 𝑋 = sometruevalue
Expected Value
𝐸 𝑐 = 𝑐
𝐸 𝑐 ∙ 𝑊 = 𝑐 ∙ 𝐸 𝑊
𝐸 𝑊 + 𝑍 = 𝐸 𝑊 + 𝐸 𝑍
𝐸 𝑊 − 𝑍 = 𝐸 𝑊 − 𝐸 𝑍
𝐸 𝑎 ∙ 𝑊 ± 𝑏 ∙ 𝑍 = 𝑎 ∙ 𝐸 𝑊 ± 𝑏 ∙ 𝐸 𝑍
Expectations: Properties
𝑬 𝒄 = 𝒄
𝐸 𝑐 ∙ 𝑊 = 𝑐 ∙ 𝐸 𝑊
𝐸 𝑊 + 𝑍 = 𝐸 𝑊 + 𝐸 𝑍
𝐸 𝑊 − 𝑍 = 𝐸 𝑊 − 𝐸 𝑍
𝐸 𝑎 ∙ 𝑊 ± 𝑏 ∙ 𝑍 = 𝑎 ∙ 𝐸 𝑊 ± 𝑏 ∙ 𝐸 𝑍
Expectations: Properties
𝐸 𝑐 = 𝑐
𝑬 𝒄 ∙ 𝑾 = 𝒄 ∙ 𝑬 𝑾
𝐸 𝑊 + 𝑍 = 𝐸 𝑊 + 𝐸 𝑍
𝐸 𝑊 − 𝑍 = 𝐸 𝑊 − 𝐸 𝑍
𝐸 𝑎 ∙ 𝑊 ± 𝑏 ∙ 𝑍 = 𝑎 ∙ 𝐸 𝑊 ± 𝑏 ∙ 𝐸 𝑍
Expectations: Properties
𝐸 𝑐 = 𝑐
𝐸 𝑐 ∙ 𝑊 = 𝑐 ∙ 𝐸 𝑊
𝑬 𝑾 + 𝒁 = 𝑬 𝑾 + 𝑬 𝒁
𝐸 𝑊 − 𝑍 = 𝐸 𝑊 − 𝐸 𝑍
𝐸 𝑎 ∙ 𝑊 ± 𝑏 ∙ 𝑍 = 𝑎 ∙ 𝐸 𝑊 ± 𝑏 ∙ 𝐸 𝑍
Expectations: Properties
𝐸 𝑐 = 𝑐
𝐸 𝑐 ∙ 𝑊 = 𝑐 ∙ 𝐸 𝑊
𝐸 𝑊 + 𝑍 = 𝐸 𝑊 + 𝐸 𝑍
𝑬 𝑾 − 𝒁 = 𝑬 𝑾 − 𝑬 𝒁
𝐸 𝑎 ∙ 𝑊 ± 𝑏 ∙ 𝑍 = 𝑎 ∙ 𝐸 𝑊 ± 𝑏 ∙ 𝐸 𝑍
Expectations: Properties
𝐸 𝑐 = 𝑐
𝐸 𝑐 ∙ 𝑊 = 𝑐 ∙ 𝐸 𝑊
𝐸 𝑊 + 𝑍 = 𝐸 𝑊 + 𝐸 𝑍
𝐸 𝑊 − 𝑍 = 𝐸 𝑊 − 𝐸 𝑍
𝑬 𝒂 ∙ 𝑾 ± 𝒃 ∙ 𝒁 = 𝒂 ∙ 𝑬 𝑾 ± 𝒃 ∙ 𝑬 𝒁
Expectations: Properties
𝐸 𝑊 ∙ 𝑍 ≠ 𝐸 𝑊 ∙ 𝐸 𝑍
𝐸
𝑊
𝑍
≠
𝐸 𝑊
𝐸 𝑍
𝐸 𝑓 𝑊 ≠ 𝑓 𝐸 𝑊
Expectations: Properties
𝑬 𝑾 ∙ 𝒁 ≠ 𝑬 𝑾 ∙ 𝑬 𝒁
𝐸
𝑊
𝑍
≠
𝐸 𝑊
𝐸 𝑍
𝐸 𝑓 𝑊 ≠ 𝑓 𝐸 𝑊
Expectations: Properties
𝐸 𝑊 ∙ 𝑍 ≠ 𝐸 𝑊 ∙ 𝐸 𝑍
𝑬
𝑾
𝒁
≠
𝑬 𝑾
𝑬 𝒁
𝐸 𝑓 𝑊 ≠ 𝑓 𝐸 𝑊
Expectations: Properties
𝐸 𝑊 ∙ 𝑍 ≠ 𝐸 𝑊 ∙ 𝐸 𝑍
𝐸
𝑊
𝑍
≠
𝐸 𝑊
𝐸 𝑍
𝑬 𝒇 𝑾 ≠ 𝒇 𝑬 𝑾
Expectations: Properties
𝑌𝑖
1
− 𝑌𝑖
0
Average Treatment Effect (ATE)
𝐸 𝑌1 − 𝑌0
Average Effect of Treatment on the Treated (ATT)
𝐸 𝑌1 − 𝑌0|𝑃 = 1
Hi
there
Individual Impact
𝑌𝑖
1
− 𝑌𝑖
0
𝐸 𝑌𝑖
1
− 𝑌𝑖
0
Average Treatment Effect (ATE)
𝐸 𝑌1 − 𝑌0
Average Effect of Treatment on the Treated (ATT)
𝐸 𝑌1 − 𝑌0|𝑃 = 1
Treatment Effects
Suppose that we have a sample of 𝑖 = 1,…, 𝑛
individuals….
…but for each individual 𝑖 we observe either
𝑌𝑖
1
or 𝑌𝑖
0
…
…but not both
So how do we estimate
𝑬 𝒀 𝟏
− 𝒀 𝟎
??
Suppose that we have a sample of 𝑖 = 1,…, 𝑛
individuals….
…but for each individual 𝑖 we observe either
𝑌𝑖
1
or 𝑌𝑖
0
…
…but not both
So how do we estimate
𝑬 𝒀 𝟏
− 𝒀 𝟎
??
Remember, however, a key property of expectations:
𝐸 𝑌1
− 𝑌0
= 𝐸 𝑌1
− 𝐸 𝑌0
…but this means that in principle we could
estimate E 𝑌1
and E 𝑌0
separately
So how do we estimate
𝑬 𝒀 𝟏
− 𝒀 𝟎
??
Remember, however, a key property of expectations:
𝐸 𝑌1
− 𝑌0
= 𝐸 𝑌1
− 𝐸 𝑌0
…but this means that in principle we could
estimate E 𝑌1
and E 𝑌0
separately
So how do we estimate
𝑬 𝒀 𝟏
− 𝒀 𝟎
??
For instance, suppose that in our sample we have:
𝑛 𝑃
participants(𝑃𝑖 = 1)
and
𝑛 𝑁
non-participants(𝑃𝑖 = 0)
(hence 𝑛 𝑃
+ 𝑛 𝑁
= 𝑛)
So how do we estimate
𝑬 𝒀 𝟏
− 𝒀 𝟎
??
Then an estimator of 𝐸 𝑌1
is
𝑌1 =
𝑗=1
𝑛 𝑃
𝑌𝑗
𝑛 𝑃
=
𝑗=1
𝑛 𝑃
𝑌𝑗
1
𝑛 𝑃
calculated with the 𝑛 𝑃
participants out of the
sample of 𝑛 individuals
So how do we estimate
𝑬 𝒀 𝟏
− 𝒀 𝟎
??
Then an estimator of 𝐸 𝑌1
is
𝒀 𝟏 =
𝑗=1
𝑛 𝑃
𝑌𝑗
𝑛 𝑃
=
𝑗=1
𝑛 𝑃
𝑌𝑗
1
𝑛 𝑃
calculated with the 𝑛 𝑃
participants out of the
sample of 𝑛 individuals
So how do we estimate
𝑬 𝒀 𝟏
− 𝒀 𝟎
??
Then an estimator of 𝐸 𝑌1
is
𝑌1 =
𝑗=1
𝒏 𝑷
𝑌𝑗
𝑛 𝑃
=
𝑗=1
𝑛 𝑃
𝑌𝑗
1
𝑛 𝑃
calculated with the 𝑛 𝑃
participants out of the
sample of 𝑛 individuals
So how do we estimate
𝑬 𝒀 𝟏
− 𝒀 𝟎
??
Then an estimator of 𝐸 𝑌1
is
𝑌1 =
𝑗=1
𝑛 𝑃
𝒀𝒋
𝑛 𝑃
=
𝑗=1
𝑛 𝑃
𝑌𝑗
1
𝑛 𝑃
calculated with the 𝑛 𝑃
participants out of the
sample of 𝑛 individuals
So how do we estimate
𝑬 𝒀 𝟏
− 𝒀 𝟎
??
Then an estimator of 𝐸 𝑌1
is
𝑌1 =
𝑗=1
𝑛 𝑃
𝑌𝑗
𝒏 𝑷
=
𝑗=1
𝑛 𝑃
𝑌𝑗
1
𝑛 𝑃
calculated with the 𝑛 𝑃
participants out of the
sample of 𝑛 individuals
So how do we estimate
𝑬 𝒀 𝟏
− 𝒀 𝟎
??
Then an estimator of 𝐸 𝑌1
is
𝑌1 =
𝑗=1
𝑛 𝑃
𝑌𝑗
𝑛 𝑃
=
𝑗=1
𝑛 𝑃
𝒀𝒋
𝟏
𝑛 𝑃
calculated with the 𝑛 𝑃
participants out of the
sample of 𝑛 individuals
So how do we estimate
𝑬 𝒀 𝟏
− 𝒀 𝟎
??
Similarly, an estimator of 𝐸 𝑌0
is
𝑌0 =
𝑘=1
𝑛 𝑁
𝑌𝑘
𝑛 𝑁
=
𝑘=1
𝑛 𝑁
𝑌𝑘
0
𝑛 𝑁
calculated with the 𝑛 𝑁
non-participants out of
the sample of 𝑛 individuals
So how do we estimate
𝑬 𝒀 𝟏
− 𝒀 𝟎
??
So then an estimate of
𝐸 𝑌1
− 𝑌0
= 𝐸 𝑌1
− 𝐸 𝑌0
is
𝑌1 − 𝑌0 =
𝑗=1
𝑛 𝑃
𝑌𝑗
𝑛 𝑃
−
𝑘=1
𝑛 𝑁
𝑌𝑘
𝑛 𝑁
=
𝑘=1
𝑛 𝑁
𝑌𝑘
0
𝑛 𝑁
−
𝑗=1
𝑛 𝑃
𝑌𝑗
1
𝑛 𝑃
So how do we estimate
𝑬 𝒀 𝟏
− 𝒀 𝟎
??
But is it a good estimate??
So we have two samples of size 𝒏
By random chance, between the two samples we almost surely have
1. A different precise mix of individuals
2. A different number of participants (𝑛 𝑃) and non-participants (𝑛 𝑁)
3. Different estimates 𝑌1 and 𝑌0 of 𝐸 𝑌1 and 𝐸 𝑌0 :
𝑌1 =
𝑗=1
𝑛 𝑃
𝑌𝑗
𝑛 𝑃
=
𝑗=1
𝑛 𝑃
𝑌𝑗
1
𝑛 𝑃
𝑌0 =
𝑘=1
𝑛 𝑁
𝑌𝑘
𝑛 𝑁
=
𝑘=1
𝑛 𝑁
𝑌𝑘
0
𝑛 𝑁
So we have two samples of size 𝒏
By random chance, between the two samples we almost surely have
1. A different precise mix of individuals
2. A different number of participants (𝑛 𝑃) and non-participants (𝑛 𝑁)
3. Different estimates 𝑌1 and 𝑌0 of 𝐸 𝑌1 and 𝐸 𝑌0 :
𝑌1 =
𝑗=1
𝑛 𝑃
𝑌𝑗
𝑛 𝑃
=
𝑗=1
𝑛 𝑃
𝑌𝑗
1
𝑛 𝑃
𝑌0 =
𝑘=1
𝑛 𝑁
𝑌𝑘
𝑛 𝑁
=
𝑘=1
𝑛 𝑁
𝑌𝑘
0
𝑛 𝑁
So we have two samples of size 𝒏
By random chance, between the two samples we almost surely have
1. A different precise mix of individuals
2. A different number of participants (𝑛 𝑃) and non-participants (𝑛 𝑁)
3. Different estimates 𝑌1 and 𝑌0 of 𝐸 𝑌1 and 𝐸 𝑌0 :
𝑌1 =
𝑗=1
𝑛 𝑃
𝑌𝑗
𝑛 𝑃
=
𝑗=1
𝑛 𝑃
𝑌𝑗
1
𝑛 𝑃
𝑌0 =
𝑘=1
𝑛 𝑁
𝑌𝑘
𝑛 𝑁
=
𝑘=1
𝑛 𝑁
𝑌𝑘
0
𝑛 𝑁
So we have two samples of size 𝒏
By random chance, between the two samples we almost surely have
1. A different precise mix of individuals
2. A different number of participants (𝑛 𝑃) and non-participants (𝑛 𝑁)
3. Different estimates 𝑌1 and 𝑌0 of 𝐸 𝑌1 and 𝐸 𝑌0 :
𝑌1 =
𝑗=1
𝑛 𝑃
𝑌𝑗
𝑛 𝑃
=
𝑗=1
𝑛 𝑃
𝑌𝑗
1
𝑛 𝑃
𝑌0 =
𝑘=1
𝑛 𝑁
𝑌𝑘
𝑛 𝑁
=
𝑘=1
𝑛 𝑁
𝑌𝑘
0
𝑛 𝑁
So we have two samples of size 𝒏
By random chance, between the two samples we almost surely have
1. A different precise mix of individuals
2. A different number of participants (𝑛 𝑃) and non-participants (𝑛 𝑁)
3. Different estimates 𝑌1 and 𝑌0 of 𝐸 𝑌1 and 𝐸 𝑌0 :
𝑌1 =
𝑗=1
𝑛 𝑃
𝑌𝑗
𝑛 𝑃
=
𝑗=1
𝑛 𝑃
𝑌𝑗
1
𝑛 𝑃
𝑌0 =
𝑘=1
𝑛 𝑁
𝑌𝑘
𝑛 𝑁
=
𝑘=1
𝑛 𝑁
𝑌𝑘
0
𝑛 𝑁
So we have two samples of size 𝒏
By random chance, between the two samples we almost surely have
1. A different precise mix of individuals
2. A different number of participants (𝑛 𝑃) and non-participants (𝑛 𝑁)
3. Different estimates 𝑌1 and 𝑌0 of 𝐸 𝑌1 and 𝐸 𝑌0 :
𝒀 𝟏 =
𝒋=𝟏
𝒏 𝑷
𝒀𝒋
𝒏 𝑷
=
𝒋=𝟏
𝒏 𝑷
𝒀𝒋
𝟏
𝒏 𝑷
𝑌0 =
𝑘=1
𝑛 𝑁
𝑌𝑘
𝑛 𝑁
=
𝑘=1
𝑛 𝑁
𝑌𝑘
0
𝑛 𝑁
𝒀 𝟏 𝑬 𝒀 𝟏
𝒀 𝟏 =
𝒋=𝟏
𝒏 𝑷
𝒀𝒋
𝒏 𝑷
=
𝒋=𝟏
𝒏 𝑷
𝒀𝒋
𝟏
𝒏 𝑷
𝒀 𝟏 =
𝒋=𝟏
𝒏 𝑷
𝒀𝒋
𝒏 𝑷
=
𝒋=𝟏
𝒏 𝑷
𝒀𝒋
𝟏
𝒏 𝑷
𝒀 𝟏 =
𝒋=𝟏
𝒏 𝑷
𝒀𝒋
𝒏 𝑷
=
𝒋=𝟏
𝒏 𝑷
𝒀𝒋
𝟏
𝒏 𝑷
𝑬 𝒀 𝟏 = 𝑬 𝒀 𝟏
𝒀 𝟏 =
𝒋=𝟏
𝒏 𝑷
𝒀𝒋
𝒏 𝑷
=
𝒋=𝟏
𝒏 𝑷
𝒀𝒋
𝟏
𝒏 𝑷
𝑬 𝒀 𝟏 = 𝑬 𝒀 𝟏
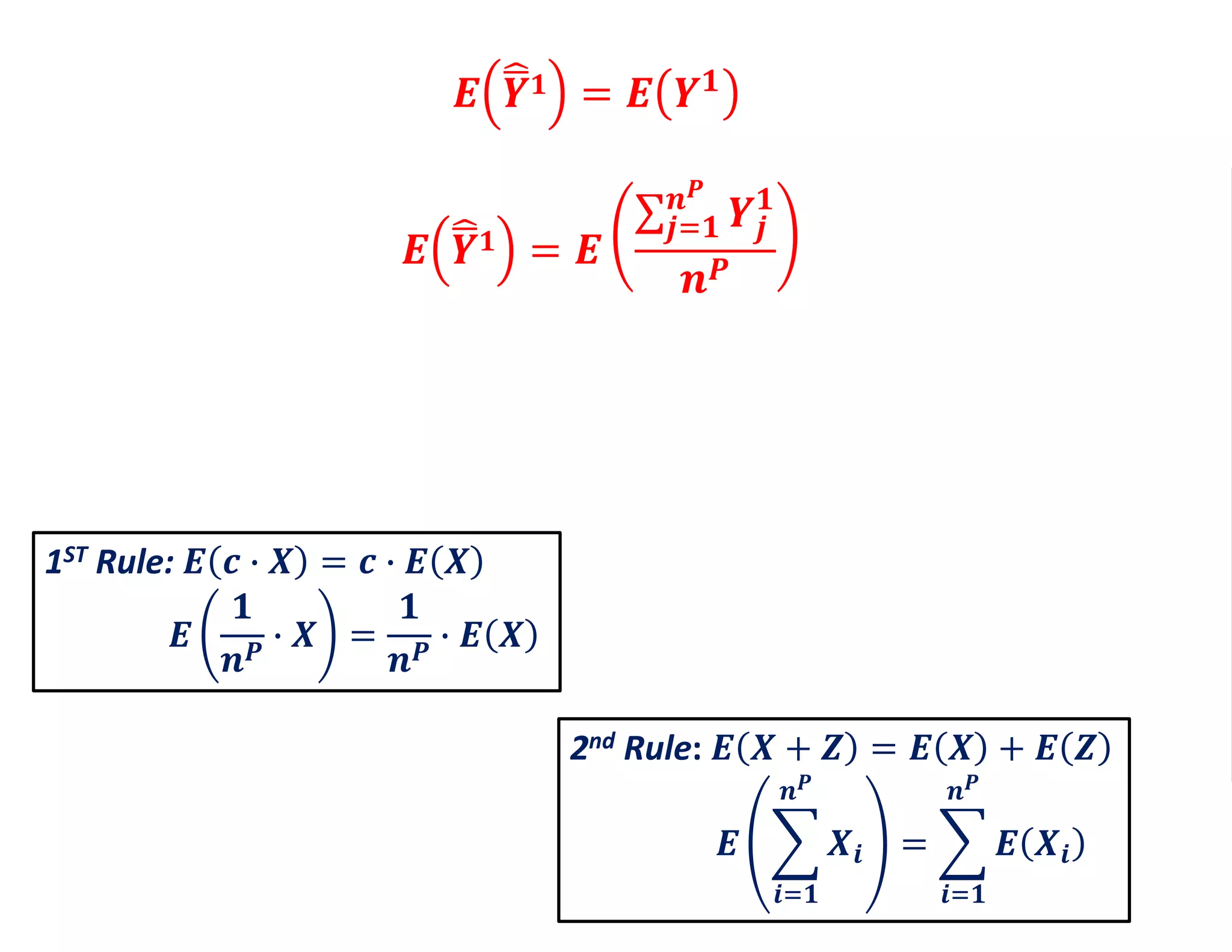
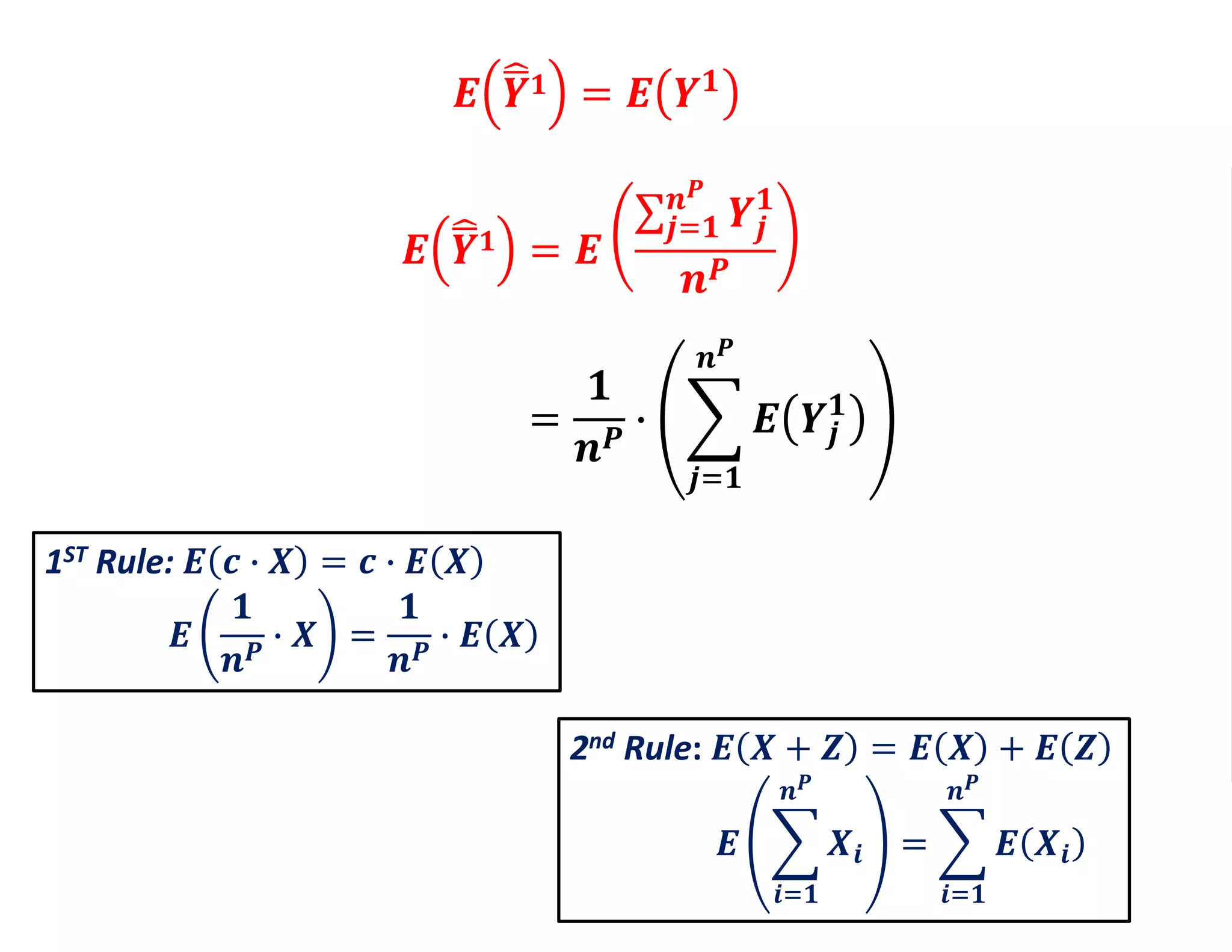
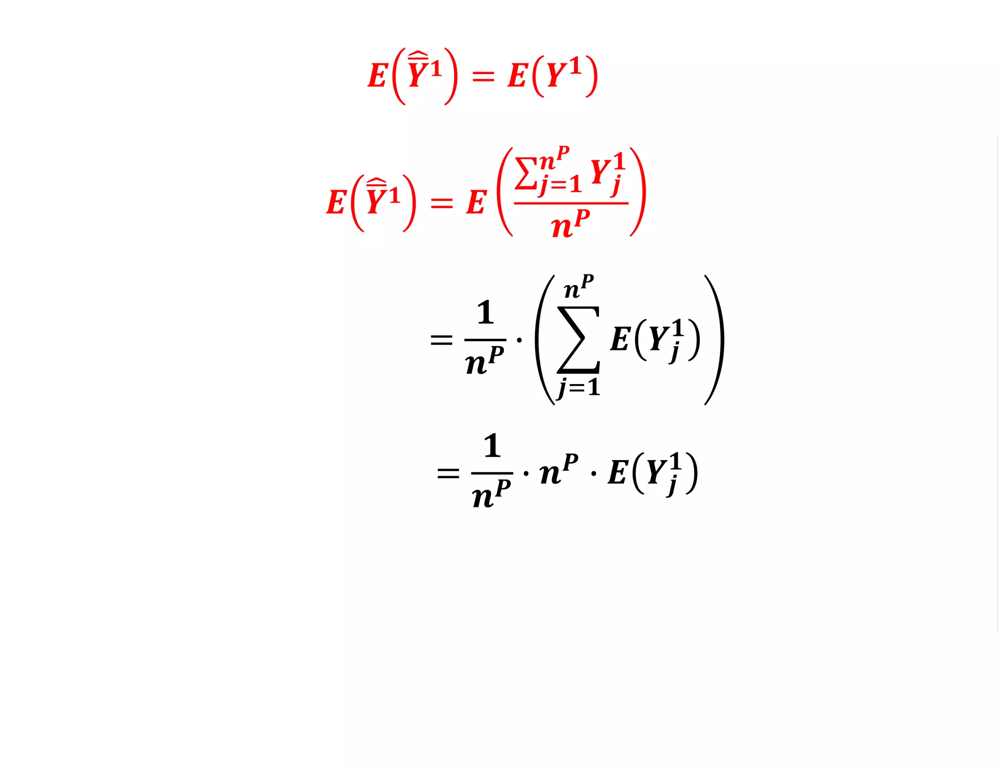
𝑬 𝒀 𝟏 = 𝑬
𝒋=𝟏
𝒏 𝑷
𝒀𝒋
𝟏
𝒏 𝑷
𝑬 𝒀 𝟏 = 𝑬 𝒀 𝟏
𝑬 𝒀 𝟏 = 𝒏 𝑷 ∙ 𝑬
𝒋=𝟏
𝒏 𝑷
𝑬 𝒀𝒋
𝟏
𝑬 𝒀 𝟏 =
𝟏
𝒏 𝑷
∙ 𝑬
𝒋=𝟏
𝒏 𝑷
𝑬 𝒀𝒋
𝟏
𝑬 𝒀 𝟏 =
𝟏
𝒏 𝑷
∙ 𝒏 𝑷 ∙ 𝑬 𝒀𝒋
𝟏
𝑬 𝒀 𝟏 = 𝑬 𝒀𝒋
𝟏
1ST Rule: 𝑬 𝒄 ∙ 𝑿 = 𝒄 ∙ 𝑬 𝑿
𝑬
𝟏
𝒏 𝑷
∙ 𝑿 =
𝟏
𝒏 𝑷
∙ 𝑬 𝑿
2nd Rule: 𝑬 𝑿 + 𝒁 = 𝑬 𝑿 + 𝑬 𝒁
𝑬
𝒊=𝟏
𝒏 𝑷
𝑿𝒊 =
𝒊=𝟏
𝒏 𝑷
𝑬 𝑿𝒊
𝑬 𝒀 𝟏 = 𝑬
𝒋=𝟏
𝒏 𝑷
𝒀𝒋
𝟏
𝒏 𝑷
𝑬 𝒀 𝟏 = 𝑬 𝒀 𝟏
𝑬 𝒀 𝟏 = 𝒏 𝑷 ∙ 𝑬
𝒋=𝟏
𝒏 𝑷
𝑬 𝒀𝒋
𝟏
𝑬 𝒀 𝟏 =
𝟏
𝒏 𝑷
∙ 𝑬
𝒋=𝟏
𝒏 𝑷
𝑬 𝒀𝒋
𝟏
𝑬 𝒀 𝟏 =
𝟏
𝒏 𝑷
∙ 𝒏 𝑷 ∙ 𝑬 𝒀𝒋
𝟏
𝑬 𝒀 𝟏 = 𝑬 𝒀𝒋
𝟏
1ST Rule: 𝑬 𝒄 ∙ 𝑿 = 𝒄 ∙ 𝑬 𝑿
𝑬
𝟏
𝒏 𝑷
∙ 𝑿 =
𝟏
𝒏 𝑷
∙ 𝑬 𝑿
2nd Rule: 𝑬 𝑿 + 𝒁 = 𝑬 𝑿 + 𝑬 𝒁
𝑬
𝒊=𝟏
𝒏 𝑷
𝑿𝒊 =
𝒊=𝟏
𝒏 𝑷
𝑬 𝑿𝒊
𝑬 𝒀 𝟏 = 𝑬
𝒋=𝟏
𝒏 𝑷
𝒀𝒋
𝟏
𝒏 𝑷
𝑬 𝒀 𝟏 = 𝑬 𝒀 𝟏
1ST Rule: 𝑬 𝒄 ∙ 𝑿 = 𝒄 ∙ 𝑬 𝑿
𝑬
𝟏
𝒏 𝑷
∙ 𝑿 =
𝟏
𝒏 𝑷
∙ 𝑬 𝑿
1ST Rule: 𝑬 𝒄 ∙ 𝑿 = 𝒄 ∙ 𝑬 𝑿
𝑬
𝟏
𝒏 𝑷
∙ 𝑿 =
𝟏
𝒏 𝑷
∙ 𝑬 𝑿
2nd Rule: 𝑬 𝑿 + 𝒁 = 𝑬 𝑿 + 𝑬 𝒁
𝑬
𝒊=𝟏
𝒏 𝑷
𝑿𝒊 =
𝒊=𝟏
𝒏 𝑷
𝑬 𝑿𝒊
𝑬 𝒀 𝟏 = 𝑬
𝒋=𝟏
𝒏 𝑷
𝒀𝒋
𝟏
𝒏 𝑷
𝑬 𝒀 𝟏 = 𝑬 𝒀 𝟏
𝑬 𝒀 𝟏 =
𝟏
𝒏 𝑷
∙
𝒋=𝟏
𝒏 𝑷
𝑬 𝒀𝒋
𝟏
1ST Rule: 𝑬 𝒄 ∙ 𝑿 = 𝒄 ∙ 𝑬 𝑿
𝑬
𝟏
𝒏 𝑷
∙ 𝑿 =
𝟏
𝒏 𝑷
∙ 𝑬 𝑿
1ST Rule: 𝑬 𝒄 ∙ 𝑿 = 𝒄 ∙ 𝑬 𝑿
𝑬
𝟏
𝒏 𝑷
∙ 𝑿 =
𝟏
𝒏 𝑷
∙ 𝑬 𝑿
2nd Rule: 𝑬 𝑿 + 𝒁 = 𝑬 𝑿 + 𝑬 𝒁
𝑬
𝒊=𝟏
𝒏 𝑷
𝑿𝒊 =
𝒊=𝟏
𝒏 𝑷
𝑬 𝑿𝒊
𝑬 𝒀 𝟏 = 𝑬
𝒋=𝟏
𝒏 𝑷
𝒀𝒋
𝟏
𝒏 𝑷
𝑬 𝒀 𝟏 = 𝑬 𝒀 𝟏
𝑬 𝒀 𝟏 =
𝟏
𝒏 𝑷
∙
𝒋=𝟏
𝒏 𝑷
𝑬 𝒀𝒋
𝟏
𝑬 𝒀 𝟏 =
𝟏
𝒏 𝑷
∙ 𝒏 𝑷
∙ 𝑬 𝒀𝒋
𝟏
𝑬 𝒀 𝟏 = 𝑬 𝒀𝒋
𝟏
1ST Rule: 𝑬 𝒄 ∙ 𝑿 = 𝒄 ∙ 𝑬 𝑿
𝑬
𝟏
𝒏 𝑷
∙ 𝑿 =
𝟏
𝒏 𝑷
∙ 𝑬 𝑿
𝑬 𝒀 𝟏 = 𝑬
𝒋=𝟏
𝒏 𝑷
𝒀𝒋
𝟏
𝒏 𝑷
𝑬 𝒀 𝟏 = 𝑬 𝒀 𝟏
𝑬 𝒀 𝟏 =
𝟏
𝒏 𝑷
∙
𝒋=𝟏
𝒏 𝑷
𝑬 𝒀𝒋
𝟏
𝑬 𝒀 𝟏 =
𝟏
𝒏 𝑷
∙ 𝒏 𝑷
∙ 𝑬 𝒀𝒋
𝟏
1ST Rule: 𝑬 𝒄 ∙ 𝑿 = 𝒄 ∙ 𝑬 𝑿
𝑬
𝟏
𝒏 𝑷
∙ 𝑿 =
𝟏
𝒏 𝑷
∙ 𝑬 𝑿
𝑬 𝒀 𝟏 = 𝑬
𝒋=𝟏
𝒏 𝑷
𝒀𝒋
𝟏
𝒏 𝑷
𝑬 𝒀 𝟏 = 𝑬 𝒀 𝟏
𝑬 𝒀 𝟏 =
𝟏
𝒏 𝑷
∙ 𝑬
𝒋=𝟏
𝒏 𝑷
𝑬 𝒀𝒋
𝟏
𝑬 𝒀 𝟏 =
𝟏
𝒏 𝑷
∙ 𝒏 𝑷
∙ 𝑬 𝒀𝒋
𝟏
𝑬 𝒀 𝟏 = 𝑬 𝒀𝒋
𝟏
𝑬 𝒀 𝟏 = 𝑬 𝒀𝒋
𝟏
𝑬 𝒀 𝟏 = 𝑬 𝒀 𝟏
𝑬 𝒀𝒋
𝟏
= 𝑬 𝒀 𝟏
𝑬 𝒀 𝟏 = 𝑬 𝒀𝒋
𝟏
𝑬 𝒀 𝟏 = 𝑬 𝒀 𝟏
𝑬 𝒀𝒋
𝟏
= 𝑬 𝒀 𝟏
𝑬 𝒀 𝟏 = 𝑬 𝒀𝒋
𝟏
𝑬 𝒀 𝟏 = 𝑬 𝒀 𝟏
𝑬 𝒀𝒋
𝟏
= 𝑬 𝒀 𝟏
𝑬 𝒀𝒋
𝟏
= 𝑬 𝒀 𝟏
𝑬 𝒀 𝟏
𝑃 = 0
𝑃 = 0
𝑃 = 0
𝑃 = 1
𝑃 = 1
𝑃 = 1
𝑃 = 0
𝑃 = 1
𝑃 = 1
𝑃 = 1
𝑃 = 0
𝑃 = 1
𝑃 = 1
𝑃 = 0
𝑃 = 0
𝑃 = 1
𝑃 = 1
𝒀 𝟏
𝑃 = 0
𝑃 = 0
𝑃 = 0
𝑃 = 1
𝑃 = 1
𝑃 = 1
𝑃 = 0
𝑃 = 1
𝑃 = 1
𝑃 = 1
𝑃 = 0
𝑃 = 1
𝑃 = 1
𝑃 = 0
𝑃 = 0
𝑃 = 1
𝑃 = 0
𝒀 𝟏
𝑃 = 1
𝑃 = 1
𝑃 = 1
𝑃 = 1
𝑃 = 1
𝑃 = 1
𝑃 = 1
𝑃 = 1
𝑃 = 1
𝒀 𝟏
Z W
“Z Causes W”
𝑬 𝑾|𝒁 ≠ 𝑬 𝑾
Z W
“Z causes W”
𝑬 𝑾|𝒁 ≠ 𝑬 𝑾
Z W
“Z causes W”
𝑬 𝑾|𝒁 ≠ 𝑬 𝑾
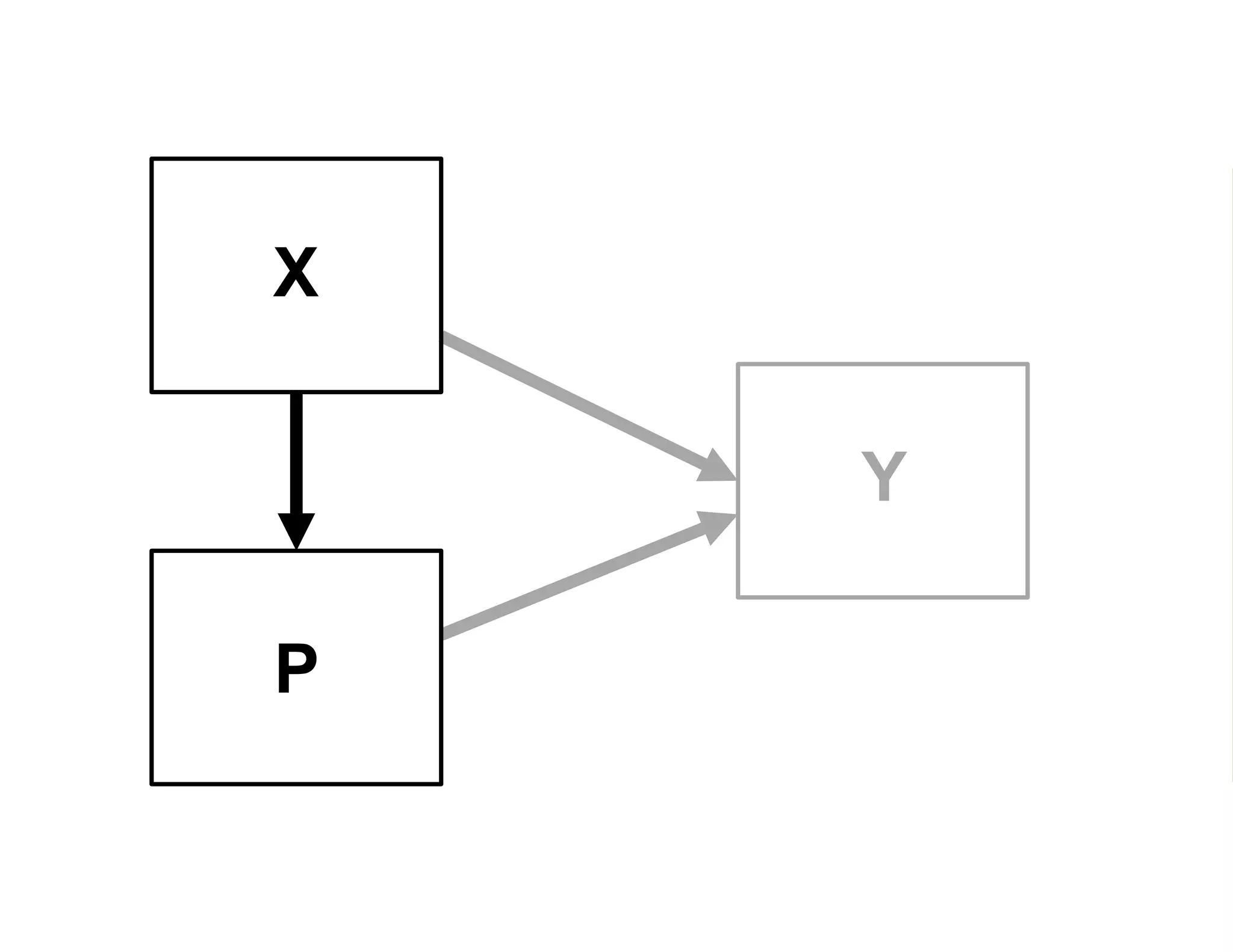
X Y1
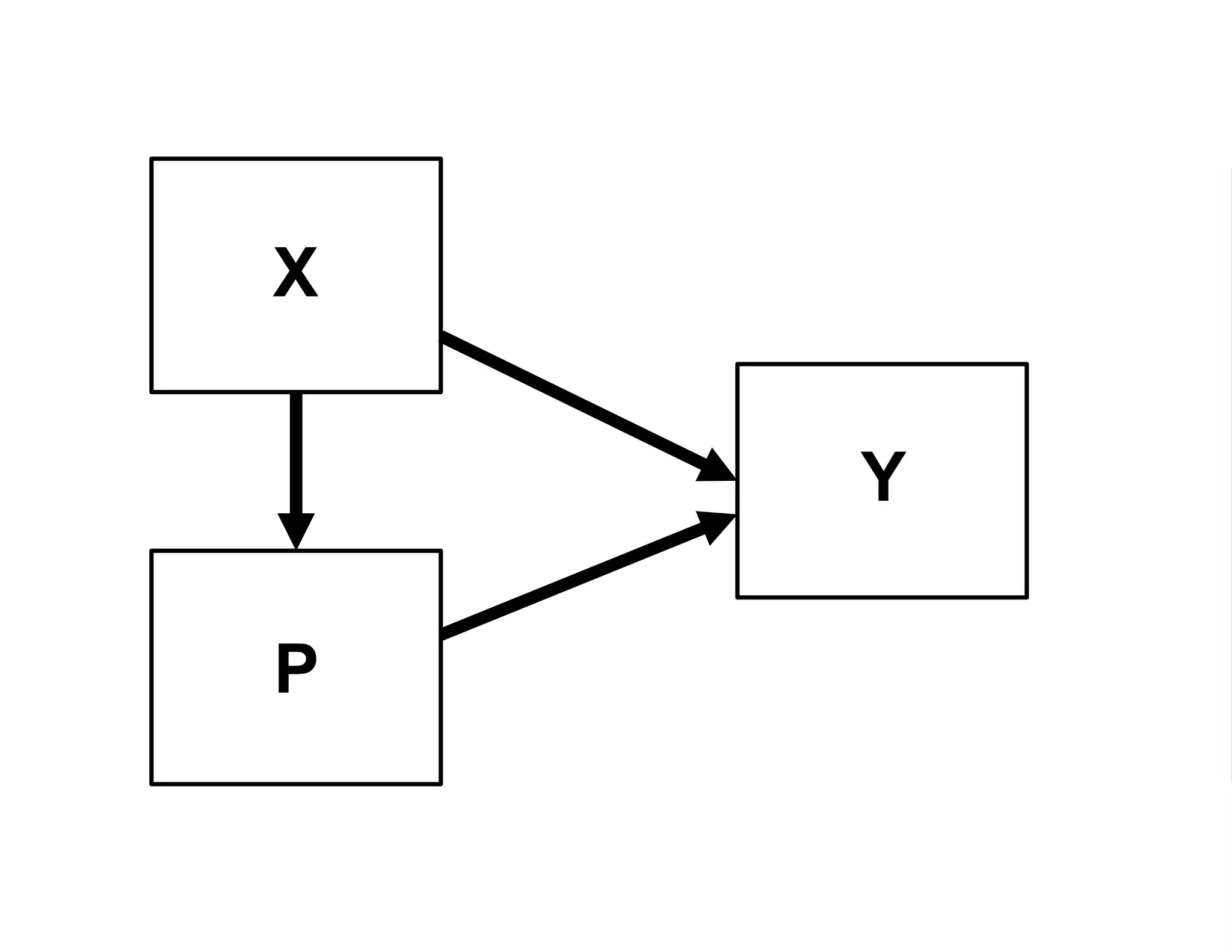
X
Y
P
X
Y
P
0
X
Y
P
X
Y
P
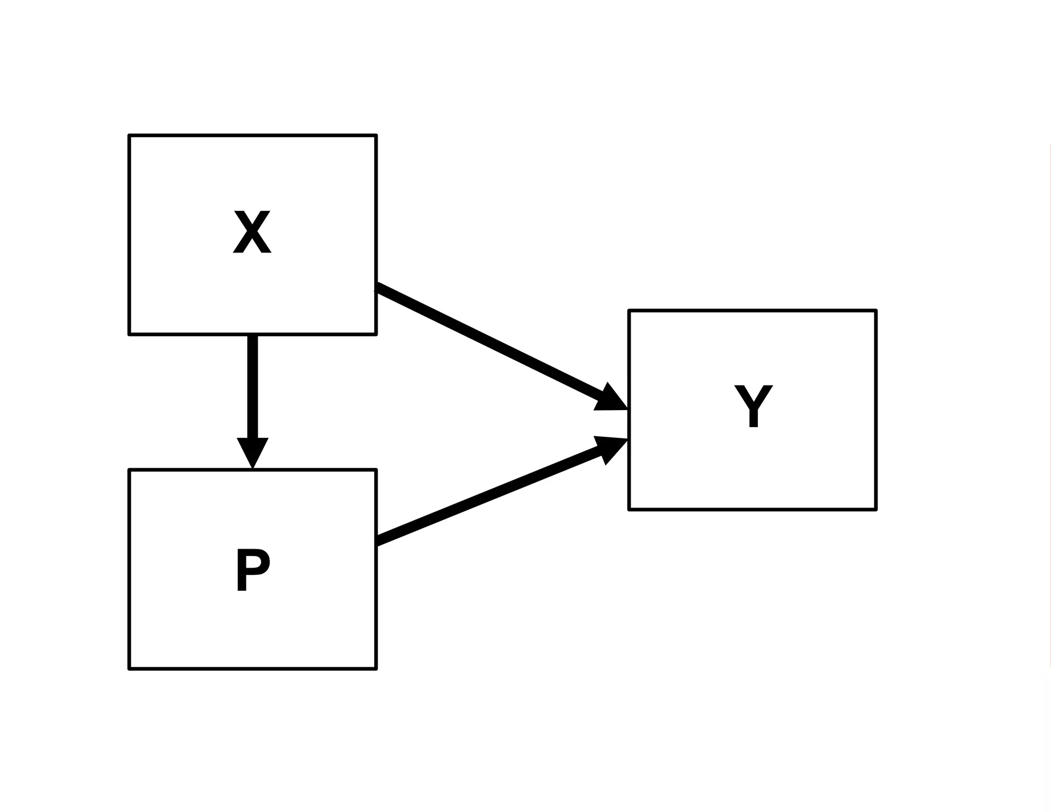
𝐸 𝑋|𝑃 = 1 ≠ 𝐸 𝑋
𝐸 𝑌1
|𝑃 = 1 ≠ 𝐸 𝑌1
X Y1
𝐸 𝑋|𝑃 = 1 ≠ 𝐸 𝑋
𝐸 𝑌1
|𝑃 = 1 ≠ 𝐸 𝑌1
X Y1
𝐸 𝑋|𝑃 = 1 ≠ 𝐸 𝑋
𝐸 𝑌1
|𝑃 = 1 ≠ 𝐸 𝑌1
X Y1
X
Y
P
𝑃 = 1
𝑃 = 1
𝑃 = 1
𝑃 = 1
𝑃 = 1
𝑃 = 1
𝑃 = 1
𝑃 = 1
𝑃 = 1
𝐸 𝑌0
|𝑃 = 0 ≠ 𝐸 𝑌0
𝐸 𝑌0
|𝑃 = 1 ≠ 𝐸 𝑌0
𝐸 𝑌0
|𝑃 = 0 ≠ 𝐸 𝑌0
|𝑃 = 0
𝐸 𝑌1
|𝑃 = 0 ≠ 𝐸 𝑌1
𝐸 𝑌1
|𝑃 = 1 ≠ 𝐸 𝑌1
𝐸 𝑌1
|𝑃 = 0 ≠ 𝐸 𝑌1
|𝑃 = 0
𝐸 𝑌0
|𝑃 = 0 ≠ 𝐸 𝑌0
𝐸 𝑌0
|𝑃 = 1 ≠ 𝐸 𝑌0
𝐸 𝑌0
|𝑃 = 0 ≠ 𝐸 𝑌0
|𝑃 = 0
𝐸 𝑌1
|𝑃 = 0 ≠ 𝐸 𝑌1
𝐸 𝑌1
|𝑃 = 1 ≠ 𝐸 𝑌1
𝐸 𝑌1
|𝑃 = 0 ≠ 𝐸 𝑌1
|𝑃 = 0
The estimator
𝑌1 − 𝑌0 =
𝑗=1
𝑛 𝑃
𝑌𝑗
𝑛 𝑃
−
𝑘=1
𝑛 𝑁
𝑌𝑘
𝑛 𝑁
=
𝑘=1
𝑛 𝑁
𝑌𝑘
0
𝑛 𝑁
−
𝑗=1
𝑛 𝑃
𝑌𝑗
1
𝑛 𝑃
of
𝐸 𝑌1
− 𝑌0
would be biased if some individuals occurred only
among participants or non-participants
Or
more often among one of the two groups
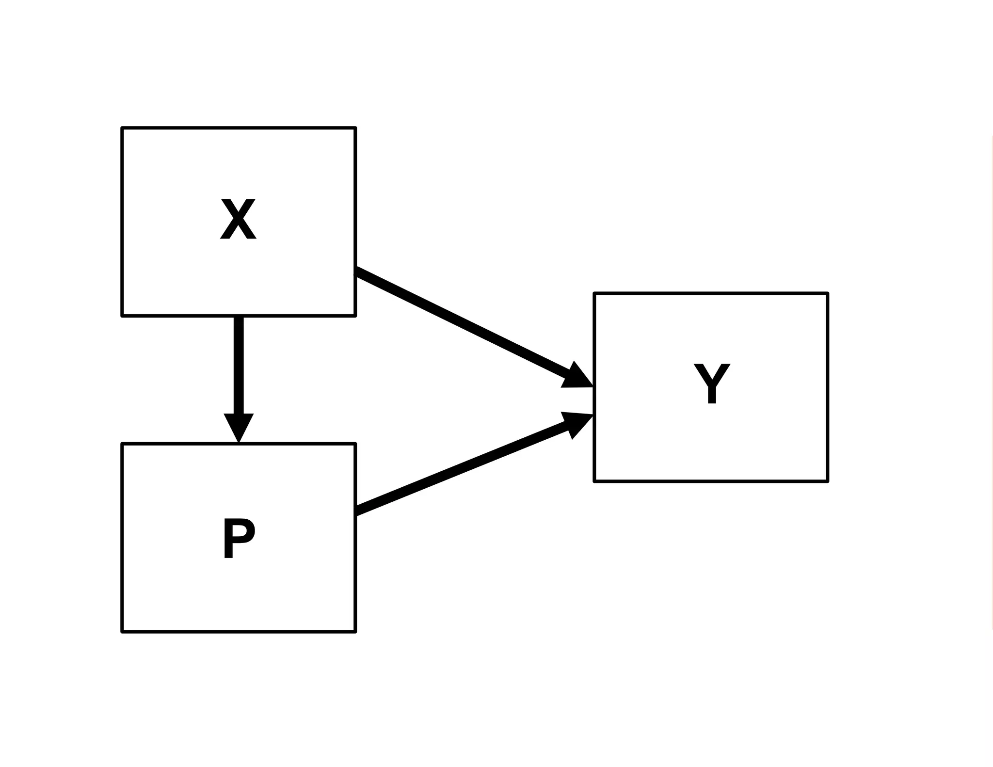
X
Y
P
X
Y
P
Sir Austin Bradford Hill
Strength: How strong is the relationship?
Consistency: How consistently is link found?
Specificity: How specific is the setting or disease?
Temporality: Does the cause precede the effect?
Gradient: Does more cause lead to more effect?
Analogy: Do similar “causes” have similar effect?
Coherence: Are field and laboratory findings similar?
Experiment: Was variation in the cause random?
Plausibility: Does theory agree?
Bradford Hill Criteria
Strength: How strong is the relationship?
Consistency: How consistently is link found?
Specificity: How specific is the setting or disease?
Temporality: Does the cause precede the effect?
Gradient: Does more cause lead to more effect?
Analogy: Do similar “causes” have similar effect?
Coherence: Are field and laboratory findings similar?
Experiment: Was variation in the cause random?
Plausibility: Does theory agree?
Bradford Hill Criteria
Strength: How strong is the relationship?
Consistency: How consistently is link found?
Specificity: How specific is the setting or disease?
Temporality: Does the cause precede the effect?
Gradient: Does more cause lead to more effect?
Analogy: Do similar “causes” have similar effect?
Coherence: Are field and laboratory findings similar?
Experiment: Was variation in the cause random?
Plausibility: Does theory agree?
Bradford Hill Criteria
Strength: How strong is the relationship?
Consistency: How consistently is link found?
Specificity: How specific is the setting or disease?
Temporality: Does the cause precede the effect?
Gradient: Does more cause lead to more effect?
Analogy: Do similar “causes” have similar effect?
Coherence: Are field and laboratory findings similar?
Experiment: Was variation in the cause random?
Plausibility: Does theory agree?
Bradford Hill Criteria
Strength: How strong is the relationship?
Consistency: How consistently is link found?
Specificity: How specific is the setting or disease?
Temporality: Does the cause precede the effect?
Gradient: Does more cause lead to more effect?
Analogy: Do similar “causes” have similar effect?
Coherence: Are field and laboratory findings similar?
Experiment: Was variation in the cause random?
Plausibility: Does theory agree?
Bradford Hill Criteria
Strength: How strong is the relationship?
Consistency: How consistently is link found?
Specificity: How specific is the setting or disease?
Temporality: Does the cause precede the effect?
Gradient: Does more cause lead to more effect?
Analogy: Do similar “causes” have similar effect?
Coherence: Are field and laboratory findings similar?
Experiment: Was variation in the cause random?
Plausibility: Does theory agree?
Bradford Hill Criteria
Strength: How strong is the relationship?
Consistency: How consistently is link found?
Specificity: How specific is the setting or disease?
Temporality: Does the cause precede the effect?
Gradient: Does more cause lead to more effect?
Analogy: Do similar “causes” have similar effect?
Coherence: Are field and laboratory findings similar?
Experiment: Was variation in the cause random?
Plausibility: Does theory agree?
Bradford Hill Criteria
Strength: How strong is the relationship?
Consistency: How consistently is link found?
Specificity: How specific is the setting or disease?
Temporality: Does the cause precede the effect?
Gradient: Does more cause lead to more effect?
Analogy: Do similar “causes” have similar effect?
Coherence: Are field and laboratory findings similar?
Experiment: Was variation in the cause random?
Plausibility: Does theory agree?
Bradford Hill Criteria
Strength: How strong is the relationship?
Consistency: How consistently is link found?
Specificity: How specific is the setting or disease?
Temporality: Does the cause precede the effect?
Gradient: Does more cause lead to more effect?
Analogy: Do similar “causes” have similar effect?
Coherence: Are field and laboratory findings similar?
Experiment: Was variation in the cause random?
Plausibility: Does theory agree?
Bradford Hill Criteria
Strength: How strong is the relationship?
Consistency: How consistently is link found?
Specificity: How specific is the setting or disease?
Temporality: Does the cause precede the effect?
Gradient: Does more cause lead to more effect?
Analogy: Do similar “causes” have similar effect?
Coherence: Are field and laboratory findings similar?
Experiment: Was variation in the cause random?
Plausibility: Does theory agree?
Bradford Hill Criteria
Strength: How strong is the relationship?
Consistency: How consistently is link found?
Specificity: How specific is the setting or disease?
Temporality: Does the cause precede the effect?
Gradient: Does more cause lead to more effect?
Analogy: Do similar “causes” have similar effect?
Coherence: Are field and laboratory findings similar?
Experiment: Was variation in the cause random?
Plausibility: Does theory agree?
Bradford Hill Criteria
We are presented with data
in the form of a sample:
Causality: Our Approach
𝒀𝒊, 𝑷𝒊, 𝑿𝒊 ,
𝒊 = 𝟏, . . , 𝒏
We are presented with data
in the form of a sample:
Causality: Our Approach
𝒀𝒊, 𝑷𝒊, 𝑿𝒊 ,
𝒊 = 𝟏, . . , 𝒏
Assumptions Model
E(Y1-Y0),
E(Y1-Y0|P=1),
Etc.
We are presented with data
in the form of a sample:
Causality: Our Approach
𝒀𝒊, 𝑷𝒊, 𝑿𝒊 ,
𝒊 = 𝟏, . . , 𝒏
Assumptions Model
E(Y1-Y0),
E(Y1-Y0|P=1),
Etc.
Conclusion
Links:
The manual:
http://www.measureevaluation.org/resources/publications/ms-
14-87-en
The webinar introducing the manual:
http://www.measureevaluation.org/resources/webinars/metho
ds-for-program-impact-evaluation
My email:
pmlance@email.unc.edu
MEASURE Evaluation is funded by the U.S. Agency
for International Development (USAID) under terms
of Cooperative Agreement AID-OAA-L-14-00004 and
implemented by the Carolina Population Center, University
of North Carolina at Chapel Hill in partnership with ICF
International, John Snow, Inc., Management Sciences for
Health, Palladium Group, and Tulane University. The views
expressed in this presentation do not necessarily reflect
the views of USAID or the United States government.
www.measureevaluation.org

Fundamentals of Program Impact Evaluation

  • 1.
    Peter M. Lance,PhD MEASURE Evaluation University of North Carolina at Chapel Hill MARCH 31, 2016 Fundamentals of Program Impact Evaluation
  • 2.
    Global, five-year, $180Mcooperative agreement Strategic objective: To strengthen health information systems – the capacity to gather, interpret, and use data – so countries can make better decisions and sustain good health outcomes over time. Project overview
  • 3.
    Improved country capacityto manage health information systems, resources, and staff Strengthened collection, analysis, and use of routine health data Methods, tools, and approaches improved and applied to address health information challenges and gaps Increased capacity for rigorous evaluation Phase IV Results Framework
  • 4.
    Global footprint (morethan 25 countries)
  • 6.
    How Do WeKnow IfAProgram MadeADifference? ABrief Helicopter Tour of Methods for Estimating Program Impact
  • 7.
    • The ProgramImpact Evaluation Challenge • Randomization • Selection on observables • Within estimators • Instrumental variables
  • 8.
    • The ProgramImpact Evaluation Challenge • Randomization • Selection on observables • Within estimators • Instrumental variables
  • 9.
    • The ProgramImpact Evaluation Challenge • Randomization • Selection on observables • Within estimators • Instrumental variables
  • 10.
    • The ProgramImpact Evaluation Challenge • Randomization • Selection on observables • Within estimators • Instrumental variables
  • 11.
    • The ProgramImpact Evaluation Challenge • Randomization • Selection on observables • Within estimators • Instrumental variables
  • 12.
    • The ProgramImpact Evaluation Challenge • Randomization • Selection on observables • Within estimators • Instrumental variables
  • 13.
    • The ProgramImpact Evaluation Challenge • Randomization • Selection on observables • Within estimators • Instrumental variables
  • 14.
    Newton’s “Laws” ofMotion 𝐹𝑜𝑟𝑐𝑒 = 𝑀𝑎𝑠𝑠 ∙ 𝐴𝑐𝑐𝑒𝑙𝑒𝑟𝑎𝑡𝑖𝑜𝑛
  • 17.
    Did the programmake a difference?
  • 18.
    Did the programcause a change in an outcome of interest Y ? (Causality)
  • 19.
    Our outcome ofInterest What happens if an individual does not participate in a program What happens if that individual does participate in a program Potential Outcomes 𝑌 : 𝑌0 : 𝑌1 :
  • 20.
    Our outcome ofinterest What happens if an individual does not participate in a program What happens if that individual does participate in a program Potential Outcomes 𝑌𝑖 : 𝑌𝑖 0 : 𝑌𝑖 1 :
  • 21.
    Our outcome ofinterest What happens if an individual does not participate in a program What happens if that individual does participate in a program Potential Outcomes 𝑌𝑖 : 𝑌𝑖 0 : 𝑌𝑖 1 :
  • 22.
    Our outcome ofinterest What happens if an individual does not participate in a program What happens if that individual does participate in a program Potential Outcomes 𝑌𝑖 : 𝑌𝑖 0 : 𝑌𝑖 1 :
  • 23.
    What happens if theindividual participates {Causal} Program Impact 𝑌𝑖 1 − 𝑌𝑖 0 = Program Impact What happens if the individual does not participate
  • 24.
    What happens if theindividual participates {Causal} Program Impact 𝑌𝑖 1 − 𝑌𝑖 0 = Program Impact What happens if the individual does not participate
  • 25.
    What happens if theindividual participates {Causal} Program Impact 𝑌𝑖 1 − 𝑌𝑖 0 = Program Impact What happens if the individual does not participate
  • 26.
    What happens if theindividual participates {Causal} Program Impact 𝑌𝑖 1 − 𝑌𝑖 0 = Program Impact What happens if the individual does not participate
  • 27.
    What happens if theindividual participates {Causal} Program Impact 𝑌𝑖 1 − 𝑌𝑖 0 = Program Impact What happens if the individual does not participate
  • 28.
    𝑃𝑖 = 1ifindividual 𝑖participates 0if individual 𝑖 does not participate Program Participation
  • 29.
    𝑌𝑖 = 𝑃𝑖∙ 𝑌𝑖 1 + 1 − 𝑃𝑖 ∙ 𝑌𝑖 0 Observed Outcome
  • 30.
    𝑌𝑖 = 𝑃𝑖∙ 𝑌𝑖 1 + 1 − 𝑃𝑖 ∙ 𝑌𝑖 0 Observed Outcome 𝑃𝑖 = 1
  • 31.
    𝑌𝑖 = 1∙ 𝑌𝑖 1 + 1 − 1 ∙ 𝑌𝑖 0 Observed Outcome 𝑃𝑖 = 1
  • 32.
    𝑌𝑖 = 𝑌𝑖 1 +0 ∙ 𝑌𝑖 0 Observed Outcome 𝑃𝑖 = 1
  • 33.
    𝑌𝑖 = 𝑌𝑖 1 ObservedOutcome 𝑃𝑖 = 1
  • 34.
    𝑌𝑖 = 𝑃𝑖∙ 𝑌𝑖 1 + 1 − 𝑃𝑖 ∙ 𝑌𝑖 0 Observed Outcome
  • 35.
    𝑌𝑖 = 𝑃𝑖∙ 𝑌𝑖 1 + 1 − 𝑃𝑖 ∙ 𝑌𝑖 0 Observed Outcome 𝑃𝑖 = 0
  • 36.
    𝑌𝑖 = 0∙ 𝑌𝑖 1 + 1 − 0 ∙ 𝑌𝑖 0 Observed Outcome 𝑃𝑖 = 0
  • 37.
    𝑌𝑖 = 𝑌𝑖 0 ObservedOutcome 𝑃𝑖 = 0
  • 38.
  • 39.
  • 40.
  • 41.
  • 42.
    𝑌𝑖 1 , 𝑌𝑖 0 Observed Outcome FundamentalIdentification Problem of Program Impact Evaluation
  • 43.
    𝑌𝑖 1 , 𝑌𝑖 0 Observed Outcome FundamentalIdentification Problem of Program Impact Evaluation
  • 44.
  • 45.
    Individual Population Hi. Theycall me individual i
  • 46.
  • 48.
  • 49.
  • 50.
    An expected valuefor a random variable is the average value from a large number of repetitions of the experiment that random variable represents An expected value is the true average of a random variable across a population Expected Value
  • 51.
    An expected valuefor a random variable is the average value from a large number of repetitions of the experiment that random variable represents An expected value is the true average of a random variable across a population Expected Value
  • 52.
    An expected valueis the true average of a random variable across a population 𝐸 𝑋 = sometruevalue Expected Value
  • 53.
    𝐸 𝑐 =𝑐 𝐸 𝑐 ∙ 𝑊 = 𝑐 ∙ 𝐸 𝑊 𝐸 𝑊 + 𝑍 = 𝐸 𝑊 + 𝐸 𝑍 𝐸 𝑊 − 𝑍 = 𝐸 𝑊 − 𝐸 𝑍 𝐸 𝑎 ∙ 𝑊 ± 𝑏 ∙ 𝑍 = 𝑎 ∙ 𝐸 𝑊 ± 𝑏 ∙ 𝐸 𝑍 Expectations: Properties
  • 54.
    𝑬 𝒄 =𝒄 𝐸 𝑐 ∙ 𝑊 = 𝑐 ∙ 𝐸 𝑊 𝐸 𝑊 + 𝑍 = 𝐸 𝑊 + 𝐸 𝑍 𝐸 𝑊 − 𝑍 = 𝐸 𝑊 − 𝐸 𝑍 𝐸 𝑎 ∙ 𝑊 ± 𝑏 ∙ 𝑍 = 𝑎 ∙ 𝐸 𝑊 ± 𝑏 ∙ 𝐸 𝑍 Expectations: Properties
  • 55.
    𝐸 𝑐 =𝑐 𝑬 𝒄 ∙ 𝑾 = 𝒄 ∙ 𝑬 𝑾 𝐸 𝑊 + 𝑍 = 𝐸 𝑊 + 𝐸 𝑍 𝐸 𝑊 − 𝑍 = 𝐸 𝑊 − 𝐸 𝑍 𝐸 𝑎 ∙ 𝑊 ± 𝑏 ∙ 𝑍 = 𝑎 ∙ 𝐸 𝑊 ± 𝑏 ∙ 𝐸 𝑍 Expectations: Properties
  • 56.
    𝐸 𝑐 =𝑐 𝐸 𝑐 ∙ 𝑊 = 𝑐 ∙ 𝐸 𝑊 𝑬 𝑾 + 𝒁 = 𝑬 𝑾 + 𝑬 𝒁 𝐸 𝑊 − 𝑍 = 𝐸 𝑊 − 𝐸 𝑍 𝐸 𝑎 ∙ 𝑊 ± 𝑏 ∙ 𝑍 = 𝑎 ∙ 𝐸 𝑊 ± 𝑏 ∙ 𝐸 𝑍 Expectations: Properties
  • 57.
    𝐸 𝑐 =𝑐 𝐸 𝑐 ∙ 𝑊 = 𝑐 ∙ 𝐸 𝑊 𝐸 𝑊 + 𝑍 = 𝐸 𝑊 + 𝐸 𝑍 𝑬 𝑾 − 𝒁 = 𝑬 𝑾 − 𝑬 𝒁 𝐸 𝑎 ∙ 𝑊 ± 𝑏 ∙ 𝑍 = 𝑎 ∙ 𝐸 𝑊 ± 𝑏 ∙ 𝐸 𝑍 Expectations: Properties
  • 58.
    𝐸 𝑐 =𝑐 𝐸 𝑐 ∙ 𝑊 = 𝑐 ∙ 𝐸 𝑊 𝐸 𝑊 + 𝑍 = 𝐸 𝑊 + 𝐸 𝑍 𝐸 𝑊 − 𝑍 = 𝐸 𝑊 − 𝐸 𝑍 𝑬 𝒂 ∙ 𝑾 ± 𝒃 ∙ 𝒁 = 𝒂 ∙ 𝑬 𝑾 ± 𝒃 ∙ 𝑬 𝒁 Expectations: Properties
  • 59.
    𝐸 𝑊 ∙𝑍 ≠ 𝐸 𝑊 ∙ 𝐸 𝑍 𝐸 𝑊 𝑍 ≠ 𝐸 𝑊 𝐸 𝑍 𝐸 𝑓 𝑊 ≠ 𝑓 𝐸 𝑊 Expectations: Properties
  • 60.
    𝑬 𝑾 ∙𝒁 ≠ 𝑬 𝑾 ∙ 𝑬 𝒁 𝐸 𝑊 𝑍 ≠ 𝐸 𝑊 𝐸 𝑍 𝐸 𝑓 𝑊 ≠ 𝑓 𝐸 𝑊 Expectations: Properties
  • 61.
    𝐸 𝑊 ∙𝑍 ≠ 𝐸 𝑊 ∙ 𝐸 𝑍 𝑬 𝑾 𝒁 ≠ 𝑬 𝑾 𝑬 𝒁 𝐸 𝑓 𝑊 ≠ 𝑓 𝐸 𝑊 Expectations: Properties
  • 62.
    𝐸 𝑊 ∙𝑍 ≠ 𝐸 𝑊 ∙ 𝐸 𝑍 𝐸 𝑊 𝑍 ≠ 𝐸 𝑊 𝐸 𝑍 𝑬 𝒇 𝑾 ≠ 𝒇 𝑬 𝑾 Expectations: Properties
  • 63.
    𝑌𝑖 1 − 𝑌𝑖 0 Average TreatmentEffect (ATE) 𝐸 𝑌1 − 𝑌0 Average Effect of Treatment on the Treated (ATT) 𝐸 𝑌1 − 𝑌0|𝑃 = 1 Hi there Individual Impact
  • 64.
  • 65.
  • 66.
    Average Treatment Effect(ATE) 𝐸 𝑌1 − 𝑌0 Average Effect of Treatment on the Treated (ATT) 𝐸 𝑌1 − 𝑌0|𝑃 = 1 Treatment Effects
  • 69.
    Suppose that wehave a sample of 𝑖 = 1,…, 𝑛 individuals…. …but for each individual 𝑖 we observe either 𝑌𝑖 1 or 𝑌𝑖 0 … …but not both So how do we estimate 𝑬 𝒀 𝟏 − 𝒀 𝟎 ??
  • 70.
    Suppose that wehave a sample of 𝑖 = 1,…, 𝑛 individuals…. …but for each individual 𝑖 we observe either 𝑌𝑖 1 or 𝑌𝑖 0 … …but not both So how do we estimate 𝑬 𝒀 𝟏 − 𝒀 𝟎 ??
  • 71.
    Remember, however, akey property of expectations: 𝐸 𝑌1 − 𝑌0 = 𝐸 𝑌1 − 𝐸 𝑌0 …but this means that in principle we could estimate E 𝑌1 and E 𝑌0 separately So how do we estimate 𝑬 𝒀 𝟏 − 𝒀 𝟎 ??
  • 72.
    Remember, however, akey property of expectations: 𝐸 𝑌1 − 𝑌0 = 𝐸 𝑌1 − 𝐸 𝑌0 …but this means that in principle we could estimate E 𝑌1 and E 𝑌0 separately So how do we estimate 𝑬 𝒀 𝟏 − 𝒀 𝟎 ??
  • 73.
    For instance, supposethat in our sample we have: 𝑛 𝑃 participants(𝑃𝑖 = 1) and 𝑛 𝑁 non-participants(𝑃𝑖 = 0) (hence 𝑛 𝑃 + 𝑛 𝑁 = 𝑛) So how do we estimate 𝑬 𝒀 𝟏 − 𝒀 𝟎 ??
  • 74.
    Then an estimatorof 𝐸 𝑌1 is 𝑌1 = 𝑗=1 𝑛 𝑃 𝑌𝑗 𝑛 𝑃 = 𝑗=1 𝑛 𝑃 𝑌𝑗 1 𝑛 𝑃 calculated with the 𝑛 𝑃 participants out of the sample of 𝑛 individuals So how do we estimate 𝑬 𝒀 𝟏 − 𝒀 𝟎 ??
  • 75.
    Then an estimatorof 𝐸 𝑌1 is 𝒀 𝟏 = 𝑗=1 𝑛 𝑃 𝑌𝑗 𝑛 𝑃 = 𝑗=1 𝑛 𝑃 𝑌𝑗 1 𝑛 𝑃 calculated with the 𝑛 𝑃 participants out of the sample of 𝑛 individuals So how do we estimate 𝑬 𝒀 𝟏 − 𝒀 𝟎 ??
  • 76.
    Then an estimatorof 𝐸 𝑌1 is 𝑌1 = 𝑗=1 𝒏 𝑷 𝑌𝑗 𝑛 𝑃 = 𝑗=1 𝑛 𝑃 𝑌𝑗 1 𝑛 𝑃 calculated with the 𝑛 𝑃 participants out of the sample of 𝑛 individuals So how do we estimate 𝑬 𝒀 𝟏 − 𝒀 𝟎 ??
  • 77.
    Then an estimatorof 𝐸 𝑌1 is 𝑌1 = 𝑗=1 𝑛 𝑃 𝒀𝒋 𝑛 𝑃 = 𝑗=1 𝑛 𝑃 𝑌𝑗 1 𝑛 𝑃 calculated with the 𝑛 𝑃 participants out of the sample of 𝑛 individuals So how do we estimate 𝑬 𝒀 𝟏 − 𝒀 𝟎 ??
  • 78.
    Then an estimatorof 𝐸 𝑌1 is 𝑌1 = 𝑗=1 𝑛 𝑃 𝑌𝑗 𝒏 𝑷 = 𝑗=1 𝑛 𝑃 𝑌𝑗 1 𝑛 𝑃 calculated with the 𝑛 𝑃 participants out of the sample of 𝑛 individuals So how do we estimate 𝑬 𝒀 𝟏 − 𝒀 𝟎 ??
  • 79.
    Then an estimatorof 𝐸 𝑌1 is 𝑌1 = 𝑗=1 𝑛 𝑃 𝑌𝑗 𝑛 𝑃 = 𝑗=1 𝑛 𝑃 𝒀𝒋 𝟏 𝑛 𝑃 calculated with the 𝑛 𝑃 participants out of the sample of 𝑛 individuals So how do we estimate 𝑬 𝒀 𝟏 − 𝒀 𝟎 ??
  • 80.
    Similarly, an estimatorof 𝐸 𝑌0 is 𝑌0 = 𝑘=1 𝑛 𝑁 𝑌𝑘 𝑛 𝑁 = 𝑘=1 𝑛 𝑁 𝑌𝑘 0 𝑛 𝑁 calculated with the 𝑛 𝑁 non-participants out of the sample of 𝑛 individuals So how do we estimate 𝑬 𝒀 𝟏 − 𝒀 𝟎 ??
  • 81.
    So then anestimate of 𝐸 𝑌1 − 𝑌0 = 𝐸 𝑌1 − 𝐸 𝑌0 is 𝑌1 − 𝑌0 = 𝑗=1 𝑛 𝑃 𝑌𝑗 𝑛 𝑃 − 𝑘=1 𝑛 𝑁 𝑌𝑘 𝑛 𝑁 = 𝑘=1 𝑛 𝑁 𝑌𝑘 0 𝑛 𝑁 − 𝑗=1 𝑛 𝑃 𝑌𝑗 1 𝑛 𝑃 So how do we estimate 𝑬 𝒀 𝟏 − 𝒀 𝟎 ??
  • 82.
    But is ita good estimate??
  • 86.
    So we havetwo samples of size 𝒏 By random chance, between the two samples we almost surely have 1. A different precise mix of individuals 2. A different number of participants (𝑛 𝑃) and non-participants (𝑛 𝑁) 3. Different estimates 𝑌1 and 𝑌0 of 𝐸 𝑌1 and 𝐸 𝑌0 : 𝑌1 = 𝑗=1 𝑛 𝑃 𝑌𝑗 𝑛 𝑃 = 𝑗=1 𝑛 𝑃 𝑌𝑗 1 𝑛 𝑃 𝑌0 = 𝑘=1 𝑛 𝑁 𝑌𝑘 𝑛 𝑁 = 𝑘=1 𝑛 𝑁 𝑌𝑘 0 𝑛 𝑁
  • 87.
    So we havetwo samples of size 𝒏 By random chance, between the two samples we almost surely have 1. A different precise mix of individuals 2. A different number of participants (𝑛 𝑃) and non-participants (𝑛 𝑁) 3. Different estimates 𝑌1 and 𝑌0 of 𝐸 𝑌1 and 𝐸 𝑌0 : 𝑌1 = 𝑗=1 𝑛 𝑃 𝑌𝑗 𝑛 𝑃 = 𝑗=1 𝑛 𝑃 𝑌𝑗 1 𝑛 𝑃 𝑌0 = 𝑘=1 𝑛 𝑁 𝑌𝑘 𝑛 𝑁 = 𝑘=1 𝑛 𝑁 𝑌𝑘 0 𝑛 𝑁
  • 88.
    So we havetwo samples of size 𝒏 By random chance, between the two samples we almost surely have 1. A different precise mix of individuals 2. A different number of participants (𝑛 𝑃) and non-participants (𝑛 𝑁) 3. Different estimates 𝑌1 and 𝑌0 of 𝐸 𝑌1 and 𝐸 𝑌0 : 𝑌1 = 𝑗=1 𝑛 𝑃 𝑌𝑗 𝑛 𝑃 = 𝑗=1 𝑛 𝑃 𝑌𝑗 1 𝑛 𝑃 𝑌0 = 𝑘=1 𝑛 𝑁 𝑌𝑘 𝑛 𝑁 = 𝑘=1 𝑛 𝑁 𝑌𝑘 0 𝑛 𝑁
  • 89.
    So we havetwo samples of size 𝒏 By random chance, between the two samples we almost surely have 1. A different precise mix of individuals 2. A different number of participants (𝑛 𝑃) and non-participants (𝑛 𝑁) 3. Different estimates 𝑌1 and 𝑌0 of 𝐸 𝑌1 and 𝐸 𝑌0 : 𝑌1 = 𝑗=1 𝑛 𝑃 𝑌𝑗 𝑛 𝑃 = 𝑗=1 𝑛 𝑃 𝑌𝑗 1 𝑛 𝑃 𝑌0 = 𝑘=1 𝑛 𝑁 𝑌𝑘 𝑛 𝑁 = 𝑘=1 𝑛 𝑁 𝑌𝑘 0 𝑛 𝑁
  • 90.
    So we havetwo samples of size 𝒏 By random chance, between the two samples we almost surely have 1. A different precise mix of individuals 2. A different number of participants (𝑛 𝑃) and non-participants (𝑛 𝑁) 3. Different estimates 𝑌1 and 𝑌0 of 𝐸 𝑌1 and 𝐸 𝑌0 : 𝑌1 = 𝑗=1 𝑛 𝑃 𝑌𝑗 𝑛 𝑃 = 𝑗=1 𝑛 𝑃 𝑌𝑗 1 𝑛 𝑃 𝑌0 = 𝑘=1 𝑛 𝑁 𝑌𝑘 𝑛 𝑁 = 𝑘=1 𝑛 𝑁 𝑌𝑘 0 𝑛 𝑁
  • 91.
    So we havetwo samples of size 𝒏 By random chance, between the two samples we almost surely have 1. A different precise mix of individuals 2. A different number of participants (𝑛 𝑃) and non-participants (𝑛 𝑁) 3. Different estimates 𝑌1 and 𝑌0 of 𝐸 𝑌1 and 𝐸 𝑌0 : 𝒀 𝟏 = 𝒋=𝟏 𝒏 𝑷 𝒀𝒋 𝒏 𝑷 = 𝒋=𝟏 𝒏 𝑷 𝒀𝒋 𝟏 𝒏 𝑷 𝑌0 = 𝑘=1 𝑛 𝑁 𝑌𝑘 𝑛 𝑁 = 𝑘=1 𝑛 𝑁 𝑌𝑘 0 𝑛 𝑁 𝒀 𝟏 𝑬 𝒀 𝟏
  • 102.
    𝒀 𝟏 = 𝒋=𝟏 𝒏𝑷 𝒀𝒋 𝒏 𝑷 = 𝒋=𝟏 𝒏 𝑷 𝒀𝒋 𝟏 𝒏 𝑷
  • 103.
    𝒀 𝟏 = 𝒋=𝟏 𝒏𝑷 𝒀𝒋 𝒏 𝑷 = 𝒋=𝟏 𝒏 𝑷 𝒀𝒋 𝟏 𝒏 𝑷
  • 109.
    𝒀 𝟏 = 𝒋=𝟏 𝒏𝑷 𝒀𝒋 𝒏 𝑷 = 𝒋=𝟏 𝒏 𝑷 𝒀𝒋 𝟏 𝒏 𝑷 𝑬 𝒀 𝟏 = 𝑬 𝒀 𝟏
  • 110.
    𝒀 𝟏 = 𝒋=𝟏 𝒏𝑷 𝒀𝒋 𝒏 𝑷 = 𝒋=𝟏 𝒏 𝑷 𝒀𝒋 𝟏 𝒏 𝑷 𝑬 𝒀 𝟏 = 𝑬 𝒀 𝟏
  • 113.
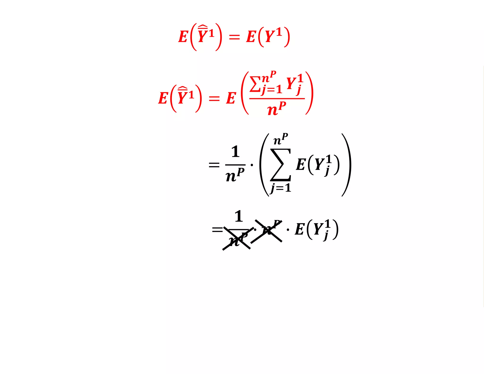
    𝑬 𝒀 𝟏= 𝑬 𝒋=𝟏 𝒏 𝑷 𝒀𝒋 𝟏 𝒏 𝑷 𝑬 𝒀 𝟏 = 𝑬 𝒀 𝟏 𝑬 𝒀 𝟏 = 𝒏 𝑷 ∙ 𝑬 𝒋=𝟏 𝒏 𝑷 𝑬 𝒀𝒋 𝟏 𝑬 𝒀 𝟏 = 𝟏 𝒏 𝑷 ∙ 𝑬 𝒋=𝟏 𝒏 𝑷 𝑬 𝒀𝒋 𝟏 𝑬 𝒀 𝟏 = 𝟏 𝒏 𝑷 ∙ 𝒏 𝑷 ∙ 𝑬 𝒀𝒋 𝟏 𝑬 𝒀 𝟏 = 𝑬 𝒀𝒋 𝟏 1ST Rule: 𝑬 𝒄 ∙ 𝑿 = 𝒄 ∙ 𝑬 𝑿 𝑬 𝟏 𝒏 𝑷 ∙ 𝑿 = 𝟏 𝒏 𝑷 ∙ 𝑬 𝑿 2nd Rule: 𝑬 𝑿 + 𝒁 = 𝑬 𝑿 + 𝑬 𝒁 𝑬 𝒊=𝟏 𝒏 𝑷 𝑿𝒊 = 𝒊=𝟏 𝒏 𝑷 𝑬 𝑿𝒊
  • 114.
    𝑬 𝒀 𝟏= 𝑬 𝒋=𝟏 𝒏 𝑷 𝒀𝒋 𝟏 𝒏 𝑷 𝑬 𝒀 𝟏 = 𝑬 𝒀 𝟏 𝑬 𝒀 𝟏 = 𝒏 𝑷 ∙ 𝑬 𝒋=𝟏 𝒏 𝑷 𝑬 𝒀𝒋 𝟏 𝑬 𝒀 𝟏 = 𝟏 𝒏 𝑷 ∙ 𝑬 𝒋=𝟏 𝒏 𝑷 𝑬 𝒀𝒋 𝟏 𝑬 𝒀 𝟏 = 𝟏 𝒏 𝑷 ∙ 𝒏 𝑷 ∙ 𝑬 𝒀𝒋 𝟏 𝑬 𝒀 𝟏 = 𝑬 𝒀𝒋 𝟏 1ST Rule: 𝑬 𝒄 ∙ 𝑿 = 𝒄 ∙ 𝑬 𝑿 𝑬 𝟏 𝒏 𝑷 ∙ 𝑿 = 𝟏 𝒏 𝑷 ∙ 𝑬 𝑿 2nd Rule: 𝑬 𝑿 + 𝒁 = 𝑬 𝑿 + 𝑬 𝒁 𝑬 𝒊=𝟏 𝒏 𝑷 𝑿𝒊 = 𝒊=𝟏 𝒏 𝑷 𝑬 𝑿𝒊
  • 115.
    𝑬 𝒀 𝟏= 𝑬 𝒋=𝟏 𝒏 𝑷 𝒀𝒋 𝟏 𝒏 𝑷 𝑬 𝒀 𝟏 = 𝑬 𝒀 𝟏 1ST Rule: 𝑬 𝒄 ∙ 𝑿 = 𝒄 ∙ 𝑬 𝑿 𝑬 𝟏 𝒏 𝑷 ∙ 𝑿 = 𝟏 𝒏 𝑷 ∙ 𝑬 𝑿 1ST Rule: 𝑬 𝒄 ∙ 𝑿 = 𝒄 ∙ 𝑬 𝑿 𝑬 𝟏 𝒏 𝑷 ∙ 𝑿 = 𝟏 𝒏 𝑷 ∙ 𝑬 𝑿 2nd Rule: 𝑬 𝑿 + 𝒁 = 𝑬 𝑿 + 𝑬 𝒁 𝑬 𝒊=𝟏 𝒏 𝑷 𝑿𝒊 = 𝒊=𝟏 𝒏 𝑷 𝑬 𝑿𝒊
  • 116.
    𝑬 𝒀 𝟏= 𝑬 𝒋=𝟏 𝒏 𝑷 𝒀𝒋 𝟏 𝒏 𝑷 𝑬 𝒀 𝟏 = 𝑬 𝒀 𝟏 𝑬 𝒀 𝟏 = 𝟏 𝒏 𝑷 ∙ 𝒋=𝟏 𝒏 𝑷 𝑬 𝒀𝒋 𝟏 1ST Rule: 𝑬 𝒄 ∙ 𝑿 = 𝒄 ∙ 𝑬 𝑿 𝑬 𝟏 𝒏 𝑷 ∙ 𝑿 = 𝟏 𝒏 𝑷 ∙ 𝑬 𝑿 1ST Rule: 𝑬 𝒄 ∙ 𝑿 = 𝒄 ∙ 𝑬 𝑿 𝑬 𝟏 𝒏 𝑷 ∙ 𝑿 = 𝟏 𝒏 𝑷 ∙ 𝑬 𝑿 2nd Rule: 𝑬 𝑿 + 𝒁 = 𝑬 𝑿 + 𝑬 𝒁 𝑬 𝒊=𝟏 𝒏 𝑷 𝑿𝒊 = 𝒊=𝟏 𝒏 𝑷 𝑬 𝑿𝒊
  • 117.
    𝑬 𝒀 𝟏= 𝑬 𝒋=𝟏 𝒏 𝑷 𝒀𝒋 𝟏 𝒏 𝑷 𝑬 𝒀 𝟏 = 𝑬 𝒀 𝟏 𝑬 𝒀 𝟏 = 𝟏 𝒏 𝑷 ∙ 𝒋=𝟏 𝒏 𝑷 𝑬 𝒀𝒋 𝟏 𝑬 𝒀 𝟏 = 𝟏 𝒏 𝑷 ∙ 𝒏 𝑷 ∙ 𝑬 𝒀𝒋 𝟏 𝑬 𝒀 𝟏 = 𝑬 𝒀𝒋 𝟏 1ST Rule: 𝑬 𝒄 ∙ 𝑿 = 𝒄 ∙ 𝑬 𝑿 𝑬 𝟏 𝒏 𝑷 ∙ 𝑿 = 𝟏 𝒏 𝑷 ∙ 𝑬 𝑿
  • 118.
    𝑬 𝒀 𝟏= 𝑬 𝒋=𝟏 𝒏 𝑷 𝒀𝒋 𝟏 𝒏 𝑷 𝑬 𝒀 𝟏 = 𝑬 𝒀 𝟏 𝑬 𝒀 𝟏 = 𝟏 𝒏 𝑷 ∙ 𝒋=𝟏 𝒏 𝑷 𝑬 𝒀𝒋 𝟏 𝑬 𝒀 𝟏 = 𝟏 𝒏 𝑷 ∙ 𝒏 𝑷 ∙ 𝑬 𝒀𝒋 𝟏 1ST Rule: 𝑬 𝒄 ∙ 𝑿 = 𝒄 ∙ 𝑬 𝑿 𝑬 𝟏 𝒏 𝑷 ∙ 𝑿 = 𝟏 𝒏 𝑷 ∙ 𝑬 𝑿
  • 119.
    𝑬 𝒀 𝟏= 𝑬 𝒋=𝟏 𝒏 𝑷 𝒀𝒋 𝟏 𝒏 𝑷 𝑬 𝒀 𝟏 = 𝑬 𝒀 𝟏 𝑬 𝒀 𝟏 = 𝟏 𝒏 𝑷 ∙ 𝑬 𝒋=𝟏 𝒏 𝑷 𝑬 𝒀𝒋 𝟏 𝑬 𝒀 𝟏 = 𝟏 𝒏 𝑷 ∙ 𝒏 𝑷 ∙ 𝑬 𝒀𝒋 𝟏 𝑬 𝒀 𝟏 = 𝑬 𝒀𝒋 𝟏
  • 120.
    𝑬 𝒀 𝟏= 𝑬 𝒀𝒋 𝟏 𝑬 𝒀 𝟏 = 𝑬 𝒀 𝟏 𝑬 𝒀𝒋 𝟏 = 𝑬 𝒀 𝟏
  • 121.
    𝑬 𝒀 𝟏= 𝑬 𝒀𝒋 𝟏 𝑬 𝒀 𝟏 = 𝑬 𝒀 𝟏 𝑬 𝒀𝒋 𝟏 = 𝑬 𝒀 𝟏
  • 122.
    𝑬 𝒀 𝟏= 𝑬 𝒀𝒋 𝟏 𝑬 𝒀 𝟏 = 𝑬 𝒀 𝟏 𝑬 𝒀𝒋 𝟏 = 𝑬 𝒀 𝟏
  • 123.
  • 126.
  • 127.
    𝑃 = 0 𝑃= 0 𝑃 = 0 𝑃 = 1 𝑃 = 1 𝑃 = 1 𝑃 = 0 𝑃 = 1 𝑃 = 1 𝑃 = 1 𝑃 = 0 𝑃 = 1 𝑃 = 1 𝑃 = 0 𝑃 = 0 𝑃 = 1 𝑃 = 1 𝒀 𝟏
  • 128.
    𝑃 = 0 𝑃= 0 𝑃 = 0 𝑃 = 1 𝑃 = 1 𝑃 = 1 𝑃 = 0 𝑃 = 1 𝑃 = 1 𝑃 = 1 𝑃 = 0 𝑃 = 1 𝑃 = 1 𝑃 = 0 𝑃 = 0 𝑃 = 1 𝑃 = 0 𝒀 𝟏
  • 129.
    𝑃 = 1 𝑃= 1 𝑃 = 1 𝑃 = 1 𝑃 = 1 𝑃 = 1 𝑃 = 1 𝑃 = 1 𝑃 = 1 𝒀 𝟏
  • 130.
    Z W “Z CausesW” 𝑬 𝑾|𝒁 ≠ 𝑬 𝑾
  • 131.
    Z W “Z causesW” 𝑬 𝑾|𝒁 ≠ 𝑬 𝑾
  • 132.
    Z W “Z causesW” 𝑬 𝑾|𝒁 ≠ 𝑬 𝑾
  • 133.
  • 134.
  • 135.
  • 136.
  • 137.
  • 138.
    𝐸 𝑋|𝑃 =1 ≠ 𝐸 𝑋 𝐸 𝑌1 |𝑃 = 1 ≠ 𝐸 𝑌1 X Y1
  • 139.
    𝐸 𝑋|𝑃 =1 ≠ 𝐸 𝑋 𝐸 𝑌1 |𝑃 = 1 ≠ 𝐸 𝑌1 X Y1
  • 140.
    𝐸 𝑋|𝑃 =1 ≠ 𝐸 𝑋 𝐸 𝑌1 |𝑃 = 1 ≠ 𝐸 𝑌1 X Y1
  • 141.
  • 142.
    𝑃 = 1 𝑃= 1 𝑃 = 1 𝑃 = 1 𝑃 = 1 𝑃 = 1 𝑃 = 1 𝑃 = 1 𝑃 = 1
  • 144.
    𝐸 𝑌0 |𝑃 =0 ≠ 𝐸 𝑌0 𝐸 𝑌0 |𝑃 = 1 ≠ 𝐸 𝑌0 𝐸 𝑌0 |𝑃 = 0 ≠ 𝐸 𝑌0 |𝑃 = 0 𝐸 𝑌1 |𝑃 = 0 ≠ 𝐸 𝑌1 𝐸 𝑌1 |𝑃 = 1 ≠ 𝐸 𝑌1 𝐸 𝑌1 |𝑃 = 0 ≠ 𝐸 𝑌1 |𝑃 = 0
  • 145.
    𝐸 𝑌0 |𝑃 =0 ≠ 𝐸 𝑌0 𝐸 𝑌0 |𝑃 = 1 ≠ 𝐸 𝑌0 𝐸 𝑌0 |𝑃 = 0 ≠ 𝐸 𝑌0 |𝑃 = 0 𝐸 𝑌1 |𝑃 = 0 ≠ 𝐸 𝑌1 𝐸 𝑌1 |𝑃 = 1 ≠ 𝐸 𝑌1 𝐸 𝑌1 |𝑃 = 0 ≠ 𝐸 𝑌1 |𝑃 = 0
  • 146.
    The estimator 𝑌1 −𝑌0 = 𝑗=1 𝑛 𝑃 𝑌𝑗 𝑛 𝑃 − 𝑘=1 𝑛 𝑁 𝑌𝑘 𝑛 𝑁 = 𝑘=1 𝑛 𝑁 𝑌𝑘 0 𝑛 𝑁 − 𝑗=1 𝑛 𝑃 𝑌𝑗 1 𝑛 𝑃 of 𝐸 𝑌1 − 𝑌0 would be biased if some individuals occurred only among participants or non-participants Or more often among one of the two groups
  • 147.
  • 148.
  • 149.
  • 150.
    Strength: How strongis the relationship? Consistency: How consistently is link found? Specificity: How specific is the setting or disease? Temporality: Does the cause precede the effect? Gradient: Does more cause lead to more effect? Analogy: Do similar “causes” have similar effect? Coherence: Are field and laboratory findings similar? Experiment: Was variation in the cause random? Plausibility: Does theory agree? Bradford Hill Criteria
  • 151.
    Strength: How strongis the relationship? Consistency: How consistently is link found? Specificity: How specific is the setting or disease? Temporality: Does the cause precede the effect? Gradient: Does more cause lead to more effect? Analogy: Do similar “causes” have similar effect? Coherence: Are field and laboratory findings similar? Experiment: Was variation in the cause random? Plausibility: Does theory agree? Bradford Hill Criteria
  • 152.
    Strength: How strongis the relationship? Consistency: How consistently is link found? Specificity: How specific is the setting or disease? Temporality: Does the cause precede the effect? Gradient: Does more cause lead to more effect? Analogy: Do similar “causes” have similar effect? Coherence: Are field and laboratory findings similar? Experiment: Was variation in the cause random? Plausibility: Does theory agree? Bradford Hill Criteria
  • 153.
    Strength: How strongis the relationship? Consistency: How consistently is link found? Specificity: How specific is the setting or disease? Temporality: Does the cause precede the effect? Gradient: Does more cause lead to more effect? Analogy: Do similar “causes” have similar effect? Coherence: Are field and laboratory findings similar? Experiment: Was variation in the cause random? Plausibility: Does theory agree? Bradford Hill Criteria
  • 154.
    Strength: How strongis the relationship? Consistency: How consistently is link found? Specificity: How specific is the setting or disease? Temporality: Does the cause precede the effect? Gradient: Does more cause lead to more effect? Analogy: Do similar “causes” have similar effect? Coherence: Are field and laboratory findings similar? Experiment: Was variation in the cause random? Plausibility: Does theory agree? Bradford Hill Criteria
  • 155.
    Strength: How strongis the relationship? Consistency: How consistently is link found? Specificity: How specific is the setting or disease? Temporality: Does the cause precede the effect? Gradient: Does more cause lead to more effect? Analogy: Do similar “causes” have similar effect? Coherence: Are field and laboratory findings similar? Experiment: Was variation in the cause random? Plausibility: Does theory agree? Bradford Hill Criteria
  • 156.
    Strength: How strongis the relationship? Consistency: How consistently is link found? Specificity: How specific is the setting or disease? Temporality: Does the cause precede the effect? Gradient: Does more cause lead to more effect? Analogy: Do similar “causes” have similar effect? Coherence: Are field and laboratory findings similar? Experiment: Was variation in the cause random? Plausibility: Does theory agree? Bradford Hill Criteria
  • 157.
    Strength: How strongis the relationship? Consistency: How consistently is link found? Specificity: How specific is the setting or disease? Temporality: Does the cause precede the effect? Gradient: Does more cause lead to more effect? Analogy: Do similar “causes” have similar effect? Coherence: Are field and laboratory findings similar? Experiment: Was variation in the cause random? Plausibility: Does theory agree? Bradford Hill Criteria
  • 158.
    Strength: How strongis the relationship? Consistency: How consistently is link found? Specificity: How specific is the setting or disease? Temporality: Does the cause precede the effect? Gradient: Does more cause lead to more effect? Analogy: Do similar “causes” have similar effect? Coherence: Are field and laboratory findings similar? Experiment: Was variation in the cause random? Plausibility: Does theory agree? Bradford Hill Criteria
  • 159.
    Strength: How strongis the relationship? Consistency: How consistently is link found? Specificity: How specific is the setting or disease? Temporality: Does the cause precede the effect? Gradient: Does more cause lead to more effect? Analogy: Do similar “causes” have similar effect? Coherence: Are field and laboratory findings similar? Experiment: Was variation in the cause random? Plausibility: Does theory agree? Bradford Hill Criteria
  • 160.
    Strength: How strongis the relationship? Consistency: How consistently is link found? Specificity: How specific is the setting or disease? Temporality: Does the cause precede the effect? Gradient: Does more cause lead to more effect? Analogy: Do similar “causes” have similar effect? Coherence: Are field and laboratory findings similar? Experiment: Was variation in the cause random? Plausibility: Does theory agree? Bradford Hill Criteria
  • 161.
    We are presentedwith data in the form of a sample: Causality: Our Approach 𝒀𝒊, 𝑷𝒊, 𝑿𝒊 , 𝒊 = 𝟏, . . , 𝒏
  • 162.
    We are presentedwith data in the form of a sample: Causality: Our Approach 𝒀𝒊, 𝑷𝒊, 𝑿𝒊 , 𝒊 = 𝟏, . . , 𝒏 Assumptions Model E(Y1-Y0), E(Y1-Y0|P=1), Etc.
  • 163.
    We are presentedwith data in the form of a sample: Causality: Our Approach 𝒀𝒊, 𝑷𝒊, 𝑿𝒊 , 𝒊 = 𝟏, . . , 𝒏 Assumptions Model E(Y1-Y0), E(Y1-Y0|P=1), Etc.
  • 164.
  • 165.
    Links: The manual: http://www.measureevaluation.org/resources/publications/ms- 14-87-en The webinarintroducing the manual: http://www.measureevaluation.org/resources/webinars/metho ds-for-program-impact-evaluation My email: pmlance@email.unc.edu
  • 166.
    MEASURE Evaluation isfunded by the U.S. Agency for International Development (USAID) under terms of Cooperative Agreement AID-OAA-L-14-00004 and implemented by the Carolina Population Center, University of North Carolina at Chapel Hill in partnership with ICF International, John Snow, Inc., Management Sciences for Health, Palladium Group, and Tulane University. The views expressed in this presentation do not necessarily reflect the views of USAID or the United States government. www.measureevaluation.org