FLUID DYNAMICS
(FLUID MECHANICS)
UNIT – 3
Dr. Rambabu Palaka, ProfessorSep-2020
Syllabus
Unit 1: Fluid Statics
CO1: Calculate Pressure and Hydrostatic forces on different plane surfaces
Unit 2: Fluid Kinematics
CO2: Solve the fluid flow problems using Continuity equation.
Unit 3: Fluid Dynamics
CO3: Calculate the discharges through the Venturi meter, Orifice meter and Pitot tube using Bernoulli’s
equation
Unit 4: Flow through Pipes
CO4: Calculate major and minor losses in closed conduits for different connection pattens.
Unit 5: Dimensional Analysis and Hydraulic Similitude
CO5: Apply the concept of Dimensional Analysis for solving the fluid flow problems and Model Analysis.
Unit 6: Boundary Layer Theory
Unit 3: Fluid Dynamics
1. Introduction to Fluid Dynamics (1 Period)
2. Surface and Body Forces
3. Equations of Motion (2 Periods)
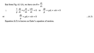
a) Reynold’s Equation
b) Navier-Stokes Equation
c) Euler’s Equation
d) Bernoulli’s Equation
e) Bernoulli’s Equation for Real Fluid
4. Applications of Bernoulli’s Equation (1 Period)
Unit 3: Fluid Dynamics
4. The Momentum Equation (2 Periods)
5. Application of Momentum Equations
a) Force exerted by flowing fluid on pipe bend
b) Force exerted by the nozzle on the water
6. Measurement of Flow Rate (2 Periods)
a) Venturimeter
b) Orifice Meter
c) Pitot Tube
7. Measurement of Flow Rate in Open Channels (2 Periods)
a) Notches
b) Weirs
Fluid Dynamics
Definition:
It is a branch of science that deals with the motion of fluid considering forces causing
the motion.
The dynamic behavior of the fluid flow is analyzed by the Newton’s Second Law of
Motion, which relates the acceleration with the forces.
The fluid is assumed to be incompressible and non-viscous.
Surface and Body Forces
Types of Forces:
1. Gravity Force, Fg
2. Pressure Force, Fp
3. Force due to Viscosity, Fv
4. Force due to Turbulence, Ft
5. Force due to Compressibility, Fc
Measurement of Rate of a Flow a fluid flowing through a Pipe
Venturimeter:
Orifice Meter:
Pitot Tube:
Measurement of Flow Rate in Open Channels
Notches and Weirs:
Weir
Triangular Notch or V-
Components of Weir
Broad Crested Weir
Narrow Crested Weir
Reference
Chapter 6
(Page 259 - 385)
A Textbook of
Fluid Mechanics and Hydraulic Machines
Dr. R. K. Bansal
Laxmi Publications

Fluid Mechanics - Fluid Dynamics

  • 1.
    FLUID DYNAMICS (FLUID MECHANICS) UNIT– 3 Dr. Rambabu Palaka, ProfessorSep-2020
  • 2.
    Syllabus Unit 1: FluidStatics CO1: Calculate Pressure and Hydrostatic forces on different plane surfaces Unit 2: Fluid Kinematics CO2: Solve the fluid flow problems using Continuity equation. Unit 3: Fluid Dynamics CO3: Calculate the discharges through the Venturi meter, Orifice meter and Pitot tube using Bernoulli’s equation Unit 4: Flow through Pipes CO4: Calculate major and minor losses in closed conduits for different connection pattens. Unit 5: Dimensional Analysis and Hydraulic Similitude CO5: Apply the concept of Dimensional Analysis for solving the fluid flow problems and Model Analysis. Unit 6: Boundary Layer Theory
  • 3.
    Unit 3: FluidDynamics 1. Introduction to Fluid Dynamics (1 Period) 2. Surface and Body Forces 3. Equations of Motion (2 Periods) a) Reynold’s Equation b) Navier-Stokes Equation c) Euler’s Equation d) Bernoulli’s Equation e) Bernoulli’s Equation for Real Fluid 4. Applications of Bernoulli’s Equation (1 Period)
  • 4.
    Unit 3: FluidDynamics 4. The Momentum Equation (2 Periods) 5. Application of Momentum Equations a) Force exerted by flowing fluid on pipe bend b) Force exerted by the nozzle on the water 6. Measurement of Flow Rate (2 Periods) a) Venturimeter b) Orifice Meter c) Pitot Tube 7. Measurement of Flow Rate in Open Channels (2 Periods) a) Notches b) Weirs
  • 5.
    Fluid Dynamics Definition: It isa branch of science that deals with the motion of fluid considering forces causing the motion. The dynamic behavior of the fluid flow is analyzed by the Newton’s Second Law of Motion, which relates the acceleration with the forces. The fluid is assumed to be incompressible and non-viscous.
  • 6.
    Surface and BodyForces Types of Forces: 1. Gravity Force, Fg 2. Pressure Force, Fp 3. Force due to Viscosity, Fv 4. Force due to Turbulence, Ft 5. Force due to Compressibility, Fc
  • 20.
    Measurement of Rateof a Flow a fluid flowing through a Pipe Venturimeter:
  • 28.
  • 35.
  • 39.
    Measurement of FlowRate in Open Channels Notches and Weirs:
  • 40.
  • 41.
  • 42.
  • 56.
  • 57.
  • 65.
    Reference Chapter 6 (Page 259- 385) A Textbook of Fluid Mechanics and Hydraulic Machines Dr. R. K. Bansal Laxmi Publications