Ergot ALKALOIDS
BY
M.SABURAMA,
II YEAR,
BIOTECHNOGY,
KSRCT.
1
ALKALOIDS
 Alkaloids are a group of naturally occuring chemical
compounds that mostly contain basic nitrogen atoms.
 Alkaloids are produced by a large variety of organisms
including bacteria, fungi, plants, and animals.
 They can be purified from crude extracts of these organisms
by acid-base extraction
2
Chemistry
Colour less
Crystalline
Non – volatile solids are soluble
in organic solvent
Insoluble in water
3
Ergot alkaloids
 Ergot alkaloids are nitrogen-containing
natural products belonging to indole
alkaloids.
 The best known producers are fungi of the
phylum Ascomycota, e.g., Claviceps,
Epichloë, Penicillium and Aspergillus
species.
4
Occurrence:
 Ergot alkaloids were first developed from the
sclerotium of the parasitic ascomycete Claviceps
purpurae, which developes on rye and other
grasses.
 The term ERGOT is used to refer both to the
fungus developing in the rye plant and to the
alkaloids which are produced by the fungus.
 Presently there are 40 known ergot alkaloids
produced by various Claviceps strains.
5
Pharmacological properties:
 Stimulation of the sympathetic nervous system.
 Ergovanine is used to hasten labor and prevent
postpartum bleeding.
 Ergotamine is a compound produced
by Claviceps purpurea and is a powerful
vasoconstrictor, which means it constricts the
blood vessels and thus the blood flow.
 A mixture of dihydrocompounds from
ergocristine , ergocriptine , and ergocornine is
used for treatment of disturbances of preipheral
and central circulation system
6
Claviceps purpurae
7
Developemental Cycle of claviceps
8
9
Producersof alkaloids
Organism Plant host Alkaloid
content
Alkaloids
produced
Claviceps
purpurae
Rye wheat 0.1-0.5 Ergocornine
Ergocryptine
Ergosine
C. fusiforims Pennisetum
typhoids
0.3 Chanoclavine
Elymoclavine
Ergometrine
C.gigantae Zea mais 0.03 Pyroclavine
Festuclavine
C.paspali Paspalum spp 0.003 D-Lysergic acid
α-Hydroxyethyl
lysergamide
10
structure
 Ergot alkaloids are classified among the indole alkaloids
and are derived from the tetracyclic ergoline ring system.
 Ergot alkaloids are classified into two classes
1) Clavine alkaloids or Clavines : Have ergoline as
a basic structure but contain no peptide bonds.
EX: Festuclavine , Dihydroelymoclavine ,
etc.,
2) Lysergic acid alkaloids or Ergo alkaloids :In
these component D-lysergic acid is linked with tricyclic
peptide.
EX: Ergometrine , Ergocorine , etc.,
11
Contd.,
12
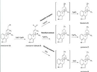
biosynthesis
 Alkaloids synthesis occurs upon the endoplasmic
reticulum in claviceps when it is grown in
submerged culture.
FORMATION OF ERGOMETRINE FROM
MEVALONATE
Mevalonate
Isopentenyl pyrophosphate
Dimethylallyl pyrophsphate
13
Tryptophan
Dimethylallyl tryptophan
a
Chanoclavine
Agroclavine
Elymoclavine
14
8,2 Lysergic acid
Lysergic acid
Lysegylalanine
Α-Hydroxyethyllysergamide
Ergometrine
15
Formation of the ergoline scaffold-biosynthetic
pathway
16
17
18
19
Production of ergot alkaloids
There are a number of methods of obtaining ergot
alkaloids:
 Chemical synthesis
 Culture of Claviceps strains on the respective host
 Microbial fermentation
 Surface culture
 With immobilized cells
Culture on the host plant or in submerged culture are
the process most used commercially.
20
Chemical synthesis
 Total chemical synthesis of ergot alkaloids is
possible, but currently this is not cost-effective.
 Lysergic acid which is produced fermentatively
can be chemically transformed into the desired
alkaloids.
 Ergoline derivatives used medically using this
method, with the exception of peptide bonds.
21
Surface culture:
A process has been described for the large-
scale production of ergot alkaloids using
surface cultures of C.purpurae grown
under sterile conditions.
The advantage of this process is that a
higher prportion of the more desirable
ergotamine and ergotoxine alkaloids are
formed.
22
Semicontinuous transformation with immobilized
mycelium
23
 A process has been developed for semicontinuous
alkaloid production using immobilized
mycelium of Claviceps purpurae and
C.fusiformis.
 C.purpurae which forms Ergometrine and and
mixture of chanoclavin , agroclavin and
elymoclavin , the best results has been obtained by
immobilization in 4% calcium alginate gel.
Contd.,
24
 Concentration of algine increases to 8% - yield of
alkaloid increased by 35%, but the main product is
agroclavin due to reduced Oxygen diffusion.
 To prevent contaminaton problem during the long
incubation period with the immobilized mycelium,
an antibiotic chloromphenicol was added.
Production by fermentation
 Three species of Claviceps are currently used in the
production of alkaloids by fermentation.
C.paspali
C.fusiformis
C.purpurae
 Submerged culture produced about 20mg alkaloid/l
 Strain development and culture medium optimization
resulted in a commercial process which had alkaloid
titres of 5g/l
25
Stages of fermentation process:
Homogenized mycelium of a 5-10day agar slant culture
conidium suspension
Growth in shake flask
Preculture
48 hour
Production culture
26
Regulationn of alkaloid production in cultures:
 To produce alkaloids the medium must contain an
organic acid of the TCAcycle or a related
compound as well as carbohydrate.
 Mannitol and succinate : production of lysergic
acid.
 Sucrose and citrate : production of Ergotamine and
Ergocristine.
 Ergot alkaloid production exhibits a typical
phosphate regulation.
27
Contd.,
 In the trophophase (3-4 days), after free
phosphate used up, growth ceases and the culture
enters the idiophase.
 Tryptophan induces alkaloid synthesis and serves
as a precursor.
 In submerged culture, synthesis of the alkaloid is
increased considerably when aspargine is used as a
Nitrogen source instead of ammonium salts.
28
29

Ergot alkaloids

  • 1.
  • 2.
    ALKALOIDS  Alkaloids area group of naturally occuring chemical compounds that mostly contain basic nitrogen atoms.  Alkaloids are produced by a large variety of organisms including bacteria, fungi, plants, and animals.  They can be purified from crude extracts of these organisms by acid-base extraction 2
  • 3.
    Chemistry Colour less Crystalline Non –volatile solids are soluble in organic solvent Insoluble in water 3
  • 4.
    Ergot alkaloids  Ergotalkaloids are nitrogen-containing natural products belonging to indole alkaloids.  The best known producers are fungi of the phylum Ascomycota, e.g., Claviceps, Epichloë, Penicillium and Aspergillus species. 4
  • 5.
    Occurrence:  Ergot alkaloidswere first developed from the sclerotium of the parasitic ascomycete Claviceps purpurae, which developes on rye and other grasses.  The term ERGOT is used to refer both to the fungus developing in the rye plant and to the alkaloids which are produced by the fungus.  Presently there are 40 known ergot alkaloids produced by various Claviceps strains. 5
  • 6.
    Pharmacological properties:  Stimulationof the sympathetic nervous system.  Ergovanine is used to hasten labor and prevent postpartum bleeding.  Ergotamine is a compound produced by Claviceps purpurea and is a powerful vasoconstrictor, which means it constricts the blood vessels and thus the blood flow.  A mixture of dihydrocompounds from ergocristine , ergocriptine , and ergocornine is used for treatment of disturbances of preipheral and central circulation system 6
  • 7.
  • 8.
  • 9.
  • 10.
    Producersof alkaloids Organism Planthost Alkaloid content Alkaloids produced Claviceps purpurae Rye wheat 0.1-0.5 Ergocornine Ergocryptine Ergosine C. fusiforims Pennisetum typhoids 0.3 Chanoclavine Elymoclavine Ergometrine C.gigantae Zea mais 0.03 Pyroclavine Festuclavine C.paspali Paspalum spp 0.003 D-Lysergic acid α-Hydroxyethyl lysergamide 10
  • 11.
    structure  Ergot alkaloidsare classified among the indole alkaloids and are derived from the tetracyclic ergoline ring system.  Ergot alkaloids are classified into two classes 1) Clavine alkaloids or Clavines : Have ergoline as a basic structure but contain no peptide bonds. EX: Festuclavine , Dihydroelymoclavine , etc., 2) Lysergic acid alkaloids or Ergo alkaloids :In these component D-lysergic acid is linked with tricyclic peptide. EX: Ergometrine , Ergocorine , etc., 11
  • 12.
  • 13.
    biosynthesis  Alkaloids synthesisoccurs upon the endoplasmic reticulum in claviceps when it is grown in submerged culture. FORMATION OF ERGOMETRINE FROM MEVALONATE Mevalonate Isopentenyl pyrophosphate Dimethylallyl pyrophsphate 13
  • 14.
  • 15.
    8,2 Lysergic acid Lysergicacid Lysegylalanine Α-Hydroxyethyllysergamide Ergometrine 15
  • 16.
    Formation of theergoline scaffold-biosynthetic pathway 16
  • 17.
  • 18.
  • 19.
  • 20.
    Production of ergotalkaloids There are a number of methods of obtaining ergot alkaloids:  Chemical synthesis  Culture of Claviceps strains on the respective host  Microbial fermentation  Surface culture  With immobilized cells Culture on the host plant or in submerged culture are the process most used commercially. 20
  • 21.
    Chemical synthesis  Totalchemical synthesis of ergot alkaloids is possible, but currently this is not cost-effective.  Lysergic acid which is produced fermentatively can be chemically transformed into the desired alkaloids.  Ergoline derivatives used medically using this method, with the exception of peptide bonds. 21
  • 22.
    Surface culture: A processhas been described for the large- scale production of ergot alkaloids using surface cultures of C.purpurae grown under sterile conditions. The advantage of this process is that a higher prportion of the more desirable ergotamine and ergotoxine alkaloids are formed. 22
  • 23.
    Semicontinuous transformation withimmobilized mycelium 23  A process has been developed for semicontinuous alkaloid production using immobilized mycelium of Claviceps purpurae and C.fusiformis.  C.purpurae which forms Ergometrine and and mixture of chanoclavin , agroclavin and elymoclavin , the best results has been obtained by immobilization in 4% calcium alginate gel.
  • 24.
    Contd., 24  Concentration ofalgine increases to 8% - yield of alkaloid increased by 35%, but the main product is agroclavin due to reduced Oxygen diffusion.  To prevent contaminaton problem during the long incubation period with the immobilized mycelium, an antibiotic chloromphenicol was added.
  • 25.
    Production by fermentation Three species of Claviceps are currently used in the production of alkaloids by fermentation. C.paspali C.fusiformis C.purpurae  Submerged culture produced about 20mg alkaloid/l  Strain development and culture medium optimization resulted in a commercial process which had alkaloid titres of 5g/l 25
  • 26.
    Stages of fermentationprocess: Homogenized mycelium of a 5-10day agar slant culture conidium suspension Growth in shake flask Preculture 48 hour Production culture 26
  • 27.
    Regulationn of alkaloidproduction in cultures:  To produce alkaloids the medium must contain an organic acid of the TCAcycle or a related compound as well as carbohydrate.  Mannitol and succinate : production of lysergic acid.  Sucrose and citrate : production of Ergotamine and Ergocristine.  Ergot alkaloid production exhibits a typical phosphate regulation. 27
  • 28.
    Contd.,  In thetrophophase (3-4 days), after free phosphate used up, growth ceases and the culture enters the idiophase.  Tryptophan induces alkaloid synthesis and serves as a precursor.  In submerged culture, synthesis of the alkaloid is increased considerably when aspargine is used as a Nitrogen source instead of ammonium salts. 28
  • 29.