เฉลย ENT 48 คณิตศาสตร์ ตอนที่ 1
1. ตอบ 4
แนวคิด
= AB(BC)
= AB
= A – B
สรุปว่าโจทย์ให้ n[(AB)(BC)] = 4
ซึ่งคือ n(A – B) = 4
และ n(B) = 5
n(AB) = 2
จากสูตร n(A – B) = n(A) – n(AB)
n(A) = n(A – B) + n(AB)
= 4 + 2
= 6
n(P(A)) – n(P(B)) = )B(n)A(n
22  = 56
22  = 32 ตอบ
2. ตอบ 3
ขอบอก เรื่องทฤษฎีบทเศษเหลือ ปัจจุบันออกสอบทุกปี (ปีละ 1 ข้อ) อย่าลืมอ่านไปนะครับ!
แนวคิด x – p หาร P(x) = 3x7x2
 เศษคือ 3p7p2

x + q หาร P(x) = 3x7x2
 เศษคือ 3)q(7)q( 2

โจทย์บอกว่า เศษเท่ากัน
3q7p2
 = 3q7q2

q7p7)qp( 22
 = 0 สูตรที่ใช้ x – c หาร p(x) จะเหลือเศษ p(c)
)qp(7)qp)(qp(  = 0
]7qp)[qp(  = 0
แต่โจทย์ว่า p  -q  p – q + 7 = 0
p – q = –7 ตอบ
3. ตอบ 2
ข้อนี้จัดว่ายากสาหรับคนที่ไม่เคยเจอโจทย์แบบนี้มาก่อน แต่ถ้าน้อง ๆ สังเกตข้อสอบ Ent
ในช่วงหลัง ๆ จะออกลักษณะแบบนี้มาหลายครั้งแล้ว จึงควรทาความคุ้นเคยเอาไว้ครับ
แนวคิด
หรม. ของ x กับ 100 = 1
และ 100 = 52
22 
สรุปว่า x คือจานวนที่ 2 หารไม่ลงตัว และ 5 หารไม่ลงตัว
ใช้แผนภาพช่วย
บริเวณแรเงา = AB
= U – (AB)
จากกฎ   (   ? ) = 
ดังนั้น B(BC) = B
และอย่าลืมว่า A  B = A – B
สูตรที่ใช้
(1)   (  ? ) = 
(2)n(A – B) = n(A) – n(AB)
(3)n[P(A)] = )A(n
2
หาร 5 ลง หาร 2 ลง
A B
A = xU2 หาร x ลงตัว
= 2, 4, 6, …, 100
ผลบวกสมาชิกเซต A
= 2 + 4 + 6 + … + 100
= 2
50 [2 + 100] = 2550
B = xU5 หาร x ลงตัว
= 5, 10, 15, …, 100
ผลบวกสมาชิกเซต B
= 5 + 10 + 15 + … + 100
= 2
20 [5 + 100] = 1050
AB = xU2 และ 5 หาร x ลงตัว = xU10 หาร x ลงตัว
= 10, 20, 30, …, 100
ผลบวกสมาชิกเซต AB U = 1, 2, 3, …, 100
= 2
10 [1 + 100] = 550 ผลบวกใน U = 1 + 2 + … + 100
n(U) = 2
100 [1 + 100] = 550
n(AB) = n(U) – n(AB)
= n(U) – [n(A) + n(B) – n(AB)]
ผลบวกก็เช่นกัน
= 5050 – [2550 + 1050 – 550]
= 2,000 ตอบ
สูตรที่ใช้ (1) เรื่องเซต n(AB) = n(A) + n(B) – n(AB)
(2) ผลบวก nS = 2
n [ naa 1 ]
4. ตอบ 1
ข้อนี้คล้ายกับข้อสอบ En มีนา 47 ที่พึ่งผ่านมา แบบการหาค่าความจริงแนวใหม่
(p  q)  (p  q)
F
T F (ทาต่อไม่ได้ล่ะสิ)
เนื่องจาก p  q เป็นเท็จ
สรุปได้ว่า p, q มีค่าความจริงตรงข้ามกันซึ่งอาจเป็น
qจริ งpเท็ จ)2(
qเท็ จpจริ ง)1(
แต่ p  q เป็นจริง (1) จึงเป็นไม่ได้
pเป็นเท็จ, q เป็นจริง เท่านั้น
พิจารณาตัวเลือก 1] (F  T)  r  F  r  T ตอบเลยเหอะ
2] T  (Fr)  T  F  F
3] F~T  F
4] F~T  F
5. ตอบ 2
ข้อนี้เป็นโจทย์ย้อนกลับของเรื่องตัวบ่งปริมาณ
ผลบวก สูตร อนุกรมเลขคณิต
nS = 2
n [ n1 aa  ]
หรือ
nS = 2
จานวนพจน์ [พจน์แรก+ท้าย]
01
ส่งไปจับกับ {a, b}
(ส่วนที่เหลือ 1 ตัว เลือกได้วิธีเดียว)
เลือก
ได้วิธีเดียว)
เลือก 2 ตัว จาก 3 ตัว
ที่เลือกไว้ใน * เพื่อจะไปจับกับ {a, b}
* เลือก 3 ตัวจาก
{1,2,3,4,5}
 !2
2
3
3
4












 !2
2
3
3
4












การที่ ]03x2x[x 2
 จะเป็นจริง x ทุกตัวใน U จะต้องแทนแล้วจริง
นั่นก็คือ U  เซตคาตอบอสมการ
03x2x2

0)1x)(3x( 
เซตคาตอบอสมการ
U ในตัวเลือก 2 เป็นสับเซตของเซตคาตอบ
6. ตอบ 3
f(x) = x + 1
)x(fg = 1x จะหา )x(gf ได้ = )x(f
แสดงว่า g(x) = x = 1x 
หา fgR 
จาก )x(fg = 1x 
y = 1x 
จะได้ว่า y  0
fgR  = yy  0
หา gfR 
จาก )x(gf = 1x 
y = 1x 
เนื่องจาก x  0
1x   1
y  1
fgR 
gfR 
fgR  – gfR  คือ [0, 1) ตอบ
วิธีลัด fgR  – gfR  แสดงว่า ค่าที่ใช้ได้ต้องอยู่ใน fgR 
แต่ไม่อยู่ใน gfR 
ดูช้อย fg : y = 1x  สังเกตว่า y = 1 ใช้ได้ (x=0ไง)
 ข้อที่ถูกต้องมี y = 1 (ตัดตัวเลือก 2, 4)
และสังเกตว่า y = -1 ก็เป็นไปไม่ได้ ดังนั้น ตัดข้อ 1 ตอบข้อ3 ไปเลย จิ
7. ตอบ 4
การหา จานวนสมาชิกเซต A ก็คืจานวน f ที่ fR = {a, b} นั่นเอง
มีสมาชิก 3 ตัว สร้างได้
เมื่อคานวณแล้วจะได้ = 4(3)(2) = 24 วิธี ตอบ
-3 0
-2 -1
-1
0
1
8. ตอบ 2
แนวคิด )x(g 1 = 1x f(2x – 1) = 4x – a
จะได้ g(x) = 1x2
 f(x) =  2
1x4  – a ........(ระบบ )
= 2x + 2 – a
)a(gf = f(g(a)) = 20a2
 (โจทย์บอกมา)
)1a(f 2
 = 20a2

a2)1a(2 2
 = 20a2

a22a2 2
 = 20a2

20aa2
 = 0
(a – 5) (a – 4)= 0
a= 5, – 4 แต่โจทย์ว่า a > 0
 a = 5
f(x) = 2x + 2 – a
f(x) = 2x – 3
f(a) = 2a – 3 = 2(5) – 3 = 7 ตอบ
ความรู้ที่ต้องมี 1. หา f(x) จาก f (ไม่ใช่ x )
2. )x(gf = f(g(x))
3. การหา Inverse ของ f(x)
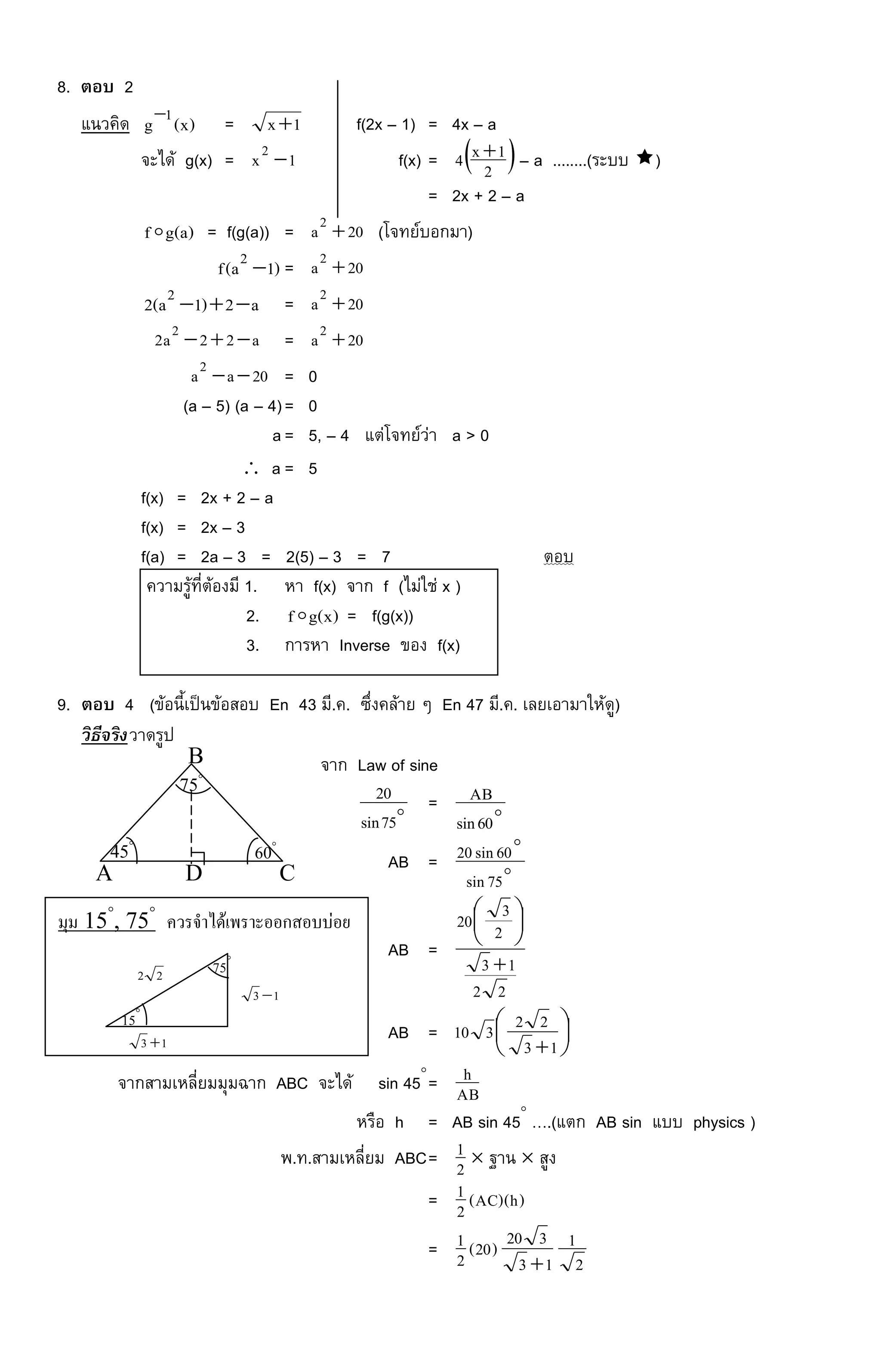
9. ตอบ 4 (ข้อนี้เป็นข้อสอบ En 43 มี.ค. ซึ่งคล้าย ๆ En 47 มี.ค. เลยเอามาให้ดู)
วิธีจริงวาดรูป
จาก Law of sine

75sin
20 = 
60sin
AB
AB = 

75sin
60sin20
AB =
22
13
2
320






AB = 




13
22310
จากสามเหลี่ยมมุมฉาก ABC จะได้ sin 45
= AB
h
หรือ h = AB sin 45
….(แตก AB sin แบบ physics )
พ.ท.สามเหลี่ยม ABC= 2
1  ฐาน  สูง
= )h)(AC(2
1
=
2
1
13
320)20(2
1

A D C
B
75
60

45
มุม 15
, 75
ควรจาได้เพราะออกสอบบ่อย
13 
13 
15

75

22
=
13
3200

ตอบ
วิธีลัด
20 = h[cot 45
+ cot 60
]
พท. =











3
11
20)20)(20(2
1
=
13
3200

ตอบ
10. ตอบ 2
ให้เส้นตรง 1L ผ่านจุด (– 4, 1) และ (0, 3
8 )
เส้นตรง 2L มีสมการเป็น 5x – 12y – 20 = 0
ถ้าเส้นตรง 1L และ 2L สัมผัสวงกลม C ข้อใดเป็นสมการวงกลม C
1L ผ่านจุด (– 4, 1) และ (0, 3
8 ) ความชัน 1L = )4(0
13
8


= 12
5
สมการ 1L คือ 5x – 12y + k = 0
ผ่านจุด (– 4, 1) : 5(-4) – 12(1) + k = 0  k = 32
สมการ 1L : 5x – 12y + 32 = 0
2L : 5x – 15y – 20 = 0
จะเห็นได้ว่า 1L ขนานกับ 2L
ดูจากช้อย 1, 3, 4 จะมี (h, k) วงกลม = (–6, 3) …. แต่ข้อ 2 (h, k) = (6, 3)
ลอง (h, k) = (–6, 3)
ระยะ (h, k) ถึง 1L = ระยะ (h, k) ถึง 2L
22
125
32)3(12)6(5


=
22
125
20)3(12)6(5


ซึ่งไม่จริง จึงตอบ 2 เลย
11. ตอบ 1
เซต A 1xx
66 
 = 2x1xx
222 

)61(6x
 = )221(2 2x

76x
 = 72x

x
6 = x
2
 x = 0 A = { 0 } (จริง ๆ น่าจะตอบข้อ 1 เลย เพราะ 0 คูณอะไรก็ได้ 0)
เซต B ควรรู้ สูตรลัด dxlogloglog abc 
60
45
20
h
A B
h
x
สูตร Genius
x = h[cotA + cotB]
(h,k)
1L
2L
dc
b
ax 
ดังนั้น )1x2(logloglog 327  = 0
2x – 1 =
07
2
3 = 2
3
2x – 1 = 9
x = 5  B = { 5 }
ผลคูณ สมาชิกเซต A กับ B = 0  5 = 0 ตอบ
15x12x4x4 2
 = 0 15x12x4x4 2
 = 0
12. ตอบ 3
ไม่อยากบอกเลยว่า เรื่อง cofactor ของเมตริกซ์ นี้ออกสอบทุกปี ข้อนี้จึงไม่ควรพลาดนะ
แนวคิด จาก A =











0
7
6
2
0
4
1
2
5
)A(C13 = 21
02
)1( 31 
 
)A(C13 = 21
45
)1( 32

= (1) [– 4 – 0] = – 4 = (–1) [10 – 4] = –6
จึงได้ว่า B =










xx6
2
5x24
2
ซึ่ง det B = 0 (เพราะโจทย์บอกว่า B เป็นเมตริกซ์เอกฐาน)
คูณลง – คูณขึ้น = 0
)2
5x2)(6()xx(4 2
 = 0
15x12x4x4 2
 = 0
154 2
 x16x = 0
ผลบวกคาตอบ = 4
)16( = 4
13. ตอบ 1 (เรื่องนี้ออก En ปีละ 1 ข้อ มาตลอดนะครับ)
วาดรูป จุดมุมมี 4 จุด
จุด A เป็นจุดตัด 2x + 3y = 100 ----- 
y – x = 5 ----- 
ซึ่งแก้สมการได้ x = 21 , y = 26
 A (21, 26)
A
D
B
C y = 2
(60,0)(10,0)
(0,10)
(0,40)
x+y = 10
2x+3y = 120
x–y = 5
จุด B เป็นจุดตัด x + y = 10 ………. จุด C x + y = 10 แต่ y = 2
y – x = 5 ……….  C(8, 2)
ซึ่ง B = )2
15,2
5( ฝากคิดเองนิดนึงนะ จุด D 2x + 3y = 120 แต่ y = 2
 D = (57, 2)
นา 4 จุดมุม แทนลง P
P = 3x + y
(21, 26) P = 89
)2
15,2
5( P = 15  min
(8, 2) P = 26
(57, 2) P = 173  max
14. ตอบ 3
เรื่องขนาด vector ออกสอบทุกปีเช่นกัน (อย่าพลาดนะ)
ถ้ากาหนด AB = v
AB = u
จะได้ AC = vu ซึ่ง vu  = 5
BD = vu ซึ่ง vu  = 1
จาก 2vu = vu2vu 22 
แทนสิ่งที่รู้ลงไป
2
5 = vu2vu 22  --------- 
จาก 2vu = vu2vu 22 
2
1 = vu2vu 22  ----------
 –  24 = vu4 
6 = vu
ดังนั้น vu = ABAD = 6 ตอบ
วิธีลัด ใช้สูตรลัด 2vu – 2vu = vu4 
22
15  = vu4 
 vu = 6 ตอบเลยอิอิ…
15. ตอบ 1
z9iz4 1

= 26
z9z
i4  = 26
a = max = 173
b = min = 15
a – b = 173 – 15 = 158
A B
CD
u
v
0z,
z
1z 1

z
zz9i4  = 26
z
zz9i4 
= 26
2z9i4  = z26
222
)z9(4  = z26
4z8116 = 2z72 ยกกาลัง 2 สองข้าง
16z72z81 24  = 0
22 )4z9(  = 0
4z9 2  = 0
2z =
9
4
z = 3
2 ตอบครับ
16. ตอบ 4
ข้อความ ก. ถูก ให้ z = a + bi  2z = 22
ba 
z = a – bi  2z = 22
ba 
zz = 2a  2zz = 2
a4
zz = 2bi  2zz = 2
b4
ดังนั้น 22 zzzz  = 22
b4a4 
= )ba(2)ba(2 2222

= 22 z2z2 
วิธีลัด อาจแทนค่า z ง่าย ๆ เช่น 3 + 4i ดูว่าใช้ได้จริงหรือไม่ (ทาเองนะ)
ข้อความ ข. ผิด z = 2
i
2
3  50
z = 6
2sini6
2cos 
z =
66



sinico s = 3sini3cos 
50
z = 650sini650cos  = i3
3
2
1 
หมายเหตุ - เรื่องสมบัติ z
- เรื่องทฤษฎีเดอมัวร์ ออก EN ประจา (ไม่ควรพลาดเช่นกัน)
17. ตอบ 4
3333
4
n n...321
1nlim



=
  2
4
n
2
1nn
1nlim





 


.....ตรงนี้คือEN39
=
.........n4
1
.........nlim 4
4
n


ลัด กาลัง เท่า  ตอบผลหาร ส.ป.ส. =
4
1
1 = 4
วิธีจริง nb = x31x3x1x4 22

zzz 
22
)พส่วนจินตภา()ส่วนจริง(z 
= )x1x3x()x21x4( 22

=















x1x3x
x1x3x)x1x3x(
x21x4
x21x4)x21x4(
2
2
2
2
2
2
=
x1x3x
x1x3x
x21x4
x41x4
2
22
2
22




n
n
blim

=
xxx
x
lim
xx
lim



 
13
13
214
1
22
= 2
30 
วิธีลัด nb x31x3x1x4lim 22
n


= 2
3 ทันที (ใช้สูตร GNM.)
โจทย์หา )ba(lim nn
n


= 2
34
= 2
11 = 5.5
หมายเหตุ ข้อ 17 นี้ ผู้ออกเลียนแบบมาจาก EN 47 มี.ค. ที่ออก Concept นี้
18. ตอบ 3
)x(flim
3x 

)ax(flim
3x 

f(3)








 3x3
9x3lim
3x
แทนได้ 0
0  DIFF
3 x = 3
x32
3 6
= )a6ax(lim 2
3x


= 9a – 6a
= 3a
= 69)3(a 2

= 9a – 6a
= 3a
ฟังก์ชันต่อเนื่อง “3 กรอบ ตอบต้องเท่ากัน”
f(x) 6 = 3a = 3a
a = 2
แทนค่า f(x) = 12x2 2
 ,x  3
f(x) = 4x ,x  3
f(a) = f(2) = 8 ตอบ
19. ตอบ 2
เส้นตรง x + 4y = 10 มีความชัน = 4
1  เส้นที่ตั้งฉากความชัน = 4
เส้นโค้ง y = 23
xx2 
y = x2x6 2

หาm ณ จุดใดๆ = x2x6 2

เส้นสัมผัสความชัน = 4
x2x6 2
 = 4
xx3 2
 = 2
(3x + 2)(x – 1) = 0
x = 1, 3
2
ดังนั้น จุดสัมผัสในควอดรันต์ที่ 1 คือ (1, 1)
สมการเส้นสัมผัส  มีความชัน 4
ได้  : 4x – y + c = 0
ผ่าน (1, 1)  c = –3
สมการ 4x – y – 3 = 0
ระยะตัดแกน y (x = 0)
–y – 3 = 0
Y = –3 ตอบ
20. ตอบ 1
หมายเหตุ ข้อสอบ Calculus ปัจจุบันจะนิยมออกผสมกับฟังก์ชัน fg,gf  ประจาเลยนะ
แนวคิด จาก f(x) = 1x3 
)x(gf = 1x2

จะได้ g(x) = 3
1)1x( 22
 = 3
1)1x(3
1 22

f(x) + g(x) = )x2)(1x(3
2
1x32
3 2


f(1) + g(1)= 3
8
4
3  = 12
41
21. ตอบ 2
แนวคิด
รูปแบบการ Integrate พื้นที่ออกทุกปีนะครับ
y = 10ax4xa 22

พื้นที่ A =  1
0
22
dx)10ax4xa(
= 1
0
232
)x10ax23
xa( 
= 10a23
a2

 สมการ A = 10a23
a2

หาค่าน้อยสุด
A = 23
a2  = 0
2a = –6
a = –3
 พื้นที่น้อยสุด คิดจาก a = –3
ซึ่งคือ A = 10)3(23
)3( 2
 = 7 ตอบ
22. ตอบ 3 (ห้ามตอบข้อ 4 นะ)
เรื่องนี้ถึงยังไม่ได้เรียน แต่น้องก็อย่าลืมอ่านไปนะ (เพราะเรื่องนี้ชอบไปเป็นขาแจมกับเรื่องอื่น)
และโจทย์ หยิบของเนี่ย ออกทุกปีเลย!
แนวคิด P (ได้สีเดียวกัน) = P(ได้สีขาว 2) + P(ได้สีแดง 2) + P(ได้สีน้าเงิน 2)
=






































2
12
2
5
2
12
2
4
2
12
2
3
= 66
10
66
6
66
3 
= 66
19
23. ตอบ 4
แนวคิด เลือกเลข 4 ตัวจาก 8 ตัว ทาได้ 





4
8
= 70 วิธี
เหตุการณ์ที่ผลคูณของเลข 4 ตัว คูณกันน้อยกว่า 0
และเป็นจานวนคี่ คือ หยิบได้เลขคี่ทั้งหมด 4 ตัว ซึ่งมี 1 วิธี
 ความน่าจะเป็น = 70
1 (ง่ายเนอะ)
24. ตอบ 3
แนวคิด หลายคนชอบทิ้งความน่าจะเป็น ทั้ง ๆ ที่ข้อนี้ คือเรื่องเซตแท้ ๆ
ให้ A = เหตุการณ์ที่หลอดไฟฟ้าห้องน้าเสีย
B = เหตุการณ์ที่หลอดไฟฟ้าในครัวเสีย
จาก P(AB) = P(A) + P(B) – P(AB)
P(AB) = 0.1 + 0.2 – 0.25 = 0.05
25. ตอบ 2
ปรับตารางให้คุ้นเคยก่อนนะ
ช่วง f ความถี่สะสม
46 – 55
56 – 65
66 – 75
76 – 85
86 – 95
96 – 105
4
x
y
10
7
3
4
4 + x
4 + x + y
14 + x + y
21 + x + y
24 + x + y
24 + x + y
Note ข้อนี้น้อง ๆ ควรรู้ว่า ถ้าตาแหน่ง Q,D,P ที่จะหาพอดีตาแหน่งสุดท้ายของชั้นแล้ว
(วิธีลัด) ค่า Q, D, P ของตาแหน่งชั้น = ขอบบน ได้เลย
1Q ตรงกับตาแหน่งที่ )(
4
1
N
= )yx24(4
1 
Med ตรงกับตาแหน่งที่ )(
2
1
N
= )yx24(2
1 
1Q = 65.5 บังเอิ้น บังเอิญ ตรงกับขอบบนของชั้น 56 – 65
 ความถี่สะสม 4 + x = )yx24(4
1  …………..(ลัดเลย)
16 + 4x= 24 + x + y
3x – y= 8 ……………
Med = 75.5 บังเอิญตรงขอบบนชั้น 66 – 75 (เหมือนเดิมเลย)
 ความถี่สะสม 4 + x + y = )yx24(2
1 
8 + 2x + 2y = 24 + x + y
x + y = 16 ……………
แก้  และ  ได้ x = 6, y = 10  N = 40 จานวน
ต่อไปหา 3Q ซึ่งตรงกับตาแหน่ง 30)40(4
3)N(4
3 
ซึ่งอยู่ในชั้นที่ 4 (ตาแหน่งสุดท้ายของชั้นอีกแล้ว)
 3Q ตรงขอบบน คือ 3Q = 85.5
โจทย์ถาม ส่วนเบี่ยงเบนควอไทล์
 Q.D. = 2
QQ 13 
= 2
5.655.35 
= 10 ตอบ
26. ตอบ 2
แนวคิด สัมประสิทธิ์ส่วนเบี่ยงเบนเฉลี่ย = x
D.M
แทนค่า 1.2 = x
4.14
x = 12
ต่อไปหา S.D. = 2
2
)(x
N
x


= 2
)12(10
1530 
= 3
 สัมประสิทธิ์การแปรผัน = x
.D.S
= 12
3 = 4
1 = 0.25
27. ตอบ 1
ลัด จาก z ต่างกัน 1.96 – (–0.44) = 2.5
0.17 0.475
0.33
SD=10
z = 1.96
5.47P
z = 1.44
33P
ซึ่งก็คือคะแนนต่างกัน 2.5 (SD)
= 2.5 (10)
= 25 คะแนน
คะแนนต่างกัน = พิสัย = 25
สูตร 1. Z = .D.S
xx ออกทุกปี
2. พิสัย = minmax xx 
28. ตอบ 1
4647 I,I = ดัชนีราคาอย่างง่ายแบบใช้ค่าเฉลี่ยราคาสัมพัทธ์ปี 47 และ 46 โดยเทียบกับปี 45 (ปีฐาน)
47I = 3
100P
P
45
47 




=
     
3
1001250
11251001500
18751002000
2360 
= 111
47I =
3
100
1250
1250
100
1500
1800
100
2000



















a
= 3
220a05.0 
โจทย์บอกว่า 4647 II  = 1
 111 – )3
200a05.0(  = 1
333 – (0.05a + 200 ) = 3
แก้หา a = 05.0
110 = 2,200 ตอบ
ตอนที่ 2 ข้อ 1 – 8 เป็นข้อสอบแบบอัตนัย ข้อละ 2 คะแนน
1. ตอบ 15
ข้อนี้ถือว่าง่ายมาก ๆ หวังว่า น้อง ๆ คงจะทากันได้นะครับ
มาดูเซต A กัน 16x6x2
  0 เซต B  2 – x  < 5
(x – 8) (x + 2)  0  x – 2  < 5
–5 < x – 2 < 5
–2 8 –3 < x < 7
ดังนั้นเซต A = [-2, 8] ดังนั้นเซต B = (-3, 7)
+ – +
a – b = b – a
นะจ๊ะ

– 3
– 2 8 A
B
A – B
87
7
A – B = [7, 8] = [a, b]
ดังนั้น a + b = 7 + 8 = 15
2. ตอบ 0.5
 5ecarccos5secarc2
1arcsinsin 
=  22
1arcsinsin  อยู่ 2Q
=  2
1arcsinsin
= 2
1 = 0.5
 หมายเหตุ ปัจจุบันเรื่อง arc เนี่ย ออก En เป็นประจา
ดังนั้นน้อง ๆ ควรเตรียมตัวอ่านไว้เยอะ ๆ นะครับ
วิธีลัด น้อง ๆ ควรมีความรู้ว่า
arcsin x + arccos x
arcsec x + arccosec x = 2

arctan x + arccot x
ดังนั้น arcsec 5 + arccosec 5 = 2
 ทันที ก็จะเร็วขึ้น
3. ตอบ 2
ข้อนี้ง่ายอีกแล้ว (แรก part 2 คะแนน ไม่อยากใจร้ายอ่ะ)
วิธีจริง 199y64x18y16x9 22
 = 0 วิธีลัด 0FEyCxByAx 22

)4y4y(16)1x2x(9 22
 = 199 + 9 – 64 จุดศูนย์กลางคือ  B2
E,A2
C 
22
2)16(y1)9( x = 144 ดังนั้น 199y64x18y16x9 22
 = 0
9
)2y(
16
)1x( 22 
 = 1 จุดศูนย์กลางคือ  )16(2
64,)9(2
)18(

 = (1, 2)
เป็นไฮเปอร์โบลามีจุดศูนย์กลางที่ (1, 2) และ  นาไปหา d = 2 เช่นกัน
ระยะทางสั้นที่สุด (ตั้งฉาก) จากจุด (1, 2) ไปเส้นตรง
3x + 4y – 21 = 0
คือ
169
21)2(4)1(3
d


 = 2
4. ตอบ 18
ให้ xlog2 = A จะได้ว่า 2logx = A
1
จากโจทย์ 2log2xlog x2   3
A
2A  3
3A
2A   0
A32A2
  0 เนื่องจาก A  0
2A3A2
  0
(A – 2) (A – 1)  0
ให้ A = arcsec 5 นามาวาดเป็น
สามเหลี่ยม
1
สังเกตได้ว่า B = arccosec 5
 A + B = 90
นั่นคือ arcsec 5 + arccosec 5 = 2

A
B
5
24
1  A < 2
1  xlog2  2 , x  0
1  xlog2  4
41
2x2 
2  x  16
เซตคาตอบ (2, 16)
a, b คือค่าขอบเขตบนน้อยที่สุด และขอบเขตล่างมากที่สุด  a + b = 16 + 2 = 18
Note ข้อสอบ En ระบบใหม่ นิยมออก อสมการ log เป็นอัตนัย 2 คะแนนบ่อย ๆ
พี่จึงนามาเก็งไว้ 1 ข้อ นะครับ
5. ตอบ 5
จาก (2A –B )  (A + 2B ) = 5
2A A + 4A B – 2B A – 2B B = 5
2A 2
+ 3A B – 2B 2
= 5
แทนค่า 2
)5(2 + 3A B – 2
)10(2 = 5
A B = 5
จากสูตร A +B 2
= A 2
+ B 2
+ 2A B u
A +B 2
= 5 + 2(5) + 10
A +B  = 5
6. ตอบ 8
A =












110
114
111
จะได้ เมตริกซ์ของไมเนอร์ คือ Mij =













532
112
440
…..จากการปิดแถว_ปิดหลัก
จะได้ เมตริกซ์ของโคแฟคเตอร์คือ Cij =












532
112
440
……..จากการ(-1)I+j
Mij
จะได้ เมตริกซ์ผูกพันธ์ Adj(A) =












514
314
220
……..จากการ Transpose Cij
det (AdjA) = =
514
314
220


14
14
20

 =
-8+ 0 -40
0+ 24 -8
คูณลง-คูณขึ้น =16 - -48 = 64
det (
2
adjA
) = )det(
2
1
3
adjA





= 8)64(
8
1

7. ตอบ 1.33
parabola which Directrix y = 4
5
Vertex (0, 1)
 para eQuation is 2
)0x(  =   )14(4
14 
2
x = – y + 1
Y = 2
x1
Find the area covered by parabola & x – axis
A = 


1
1
2
dx)x1(
= 1x
1x
)3
xx(
3



= )3
11()3
11( 
= 3
4 = 1.33 Ans (แปลออกป่ะ?)
8. ตอบ 9.8 (หน่วยพันล้าน)
ข้อนี้จัดว่าง่ายมากอีกข้อ เพราะคิดตรง ๆ เลย (เพียงแต่น้อง ๆ หลายคนไม่ได้อ่านมาเพราะเป็นสถิติ ม.6)
พ.ศ. x (ทอนค่า) มูลค่า (y) xy 2
x
2542
2543
2544
2545
2546
–2
–1
0
1
2
1
3
4
5
9
–2
–3
0
5
18
4
1
0
1
4
 0x  22y  18xy  10x2
สมการหลัก y = mx + C (เส้นตรง)
หา m , C จาก  y = nCxm   22 = m(0) + 5C
 xy =   xCxm 2  18 = m(10) + C(0)
 C = 5
22 = 4.4 และ m = 10
18 = 1.8
สมการความสัมพันธ์ y = 1.8x + 4.4
ปี 2547 (x = 3) y = 1.8(3) + 4.4 = 9.8 (หน่วยพันล้าน)
วิธีลัด det (AdjA)= (detA)มิติ-1
= (8) 3 – 1
.....ลองหา detA เอง
= 64
det (
2
adjA
) = )det(
2
1
3
adjA





= 8)64(
8
1
 เท่ากัน

เฉลย Ent48 คณิตศาสตร์1

  • 1.
    เฉลย ENT 48คณิตศาสตร์ ตอนที่ 1 1. ตอบ 4 แนวคิด = AB(BC) = AB = A – B สรุปว่าโจทย์ให้ n[(AB)(BC)] = 4 ซึ่งคือ n(A – B) = 4 และ n(B) = 5 n(AB) = 2 จากสูตร n(A – B) = n(A) – n(AB) n(A) = n(A – B) + n(AB) = 4 + 2 = 6 n(P(A)) – n(P(B)) = )B(n)A(n 22  = 56 22  = 32 ตอบ 2. ตอบ 3 ขอบอก เรื่องทฤษฎีบทเศษเหลือ ปัจจุบันออกสอบทุกปี (ปีละ 1 ข้อ) อย่าลืมอ่านไปนะครับ! แนวคิด x – p หาร P(x) = 3x7x2  เศษคือ 3p7p2  x + q หาร P(x) = 3x7x2  เศษคือ 3)q(7)q( 2  โจทย์บอกว่า เศษเท่ากัน 3q7p2  = 3q7q2  q7p7)qp( 22  = 0 สูตรที่ใช้ x – c หาร p(x) จะเหลือเศษ p(c) )qp(7)qp)(qp(  = 0 ]7qp)[qp(  = 0 แต่โจทย์ว่า p  -q  p – q + 7 = 0 p – q = –7 ตอบ 3. ตอบ 2 ข้อนี้จัดว่ายากสาหรับคนที่ไม่เคยเจอโจทย์แบบนี้มาก่อน แต่ถ้าน้อง ๆ สังเกตข้อสอบ Ent ในช่วงหลัง ๆ จะออกลักษณะแบบนี้มาหลายครั้งแล้ว จึงควรทาความคุ้นเคยเอาไว้ครับ แนวคิด หรม. ของ x กับ 100 = 1 และ 100 = 52 22  สรุปว่า x คือจานวนที่ 2 หารไม่ลงตัว และ 5 หารไม่ลงตัว ใช้แผนภาพช่วย บริเวณแรเงา = AB = U – (AB) จากกฎ   (   ? ) =  ดังนั้น B(BC) = B และอย่าลืมว่า A  B = A – B สูตรที่ใช้ (1)   (  ? ) =  (2)n(A – B) = n(A) – n(AB) (3)n[P(A)] = )A(n 2 หาร 5 ลง หาร 2 ลง A B
  • 2.
    A = xU2หาร x ลงตัว = 2, 4, 6, …, 100 ผลบวกสมาชิกเซต A = 2 + 4 + 6 + … + 100 = 2 50 [2 + 100] = 2550 B = xU5 หาร x ลงตัว = 5, 10, 15, …, 100 ผลบวกสมาชิกเซต B = 5 + 10 + 15 + … + 100 = 2 20 [5 + 100] = 1050 AB = xU2 และ 5 หาร x ลงตัว = xU10 หาร x ลงตัว = 10, 20, 30, …, 100 ผลบวกสมาชิกเซต AB U = 1, 2, 3, …, 100 = 2 10 [1 + 100] = 550 ผลบวกใน U = 1 + 2 + … + 100 n(U) = 2 100 [1 + 100] = 550 n(AB) = n(U) – n(AB) = n(U) – [n(A) + n(B) – n(AB)] ผลบวกก็เช่นกัน = 5050 – [2550 + 1050 – 550] = 2,000 ตอบ สูตรที่ใช้ (1) เรื่องเซต n(AB) = n(A) + n(B) – n(AB) (2) ผลบวก nS = 2 n [ naa 1 ] 4. ตอบ 1 ข้อนี้คล้ายกับข้อสอบ En มีนา 47 ที่พึ่งผ่านมา แบบการหาค่าความจริงแนวใหม่ (p  q)  (p  q) F T F (ทาต่อไม่ได้ล่ะสิ) เนื่องจาก p  q เป็นเท็จ สรุปได้ว่า p, q มีค่าความจริงตรงข้ามกันซึ่งอาจเป็น qจริ งpเท็ จ)2( qเท็ จpจริ ง)1( แต่ p  q เป็นจริง (1) จึงเป็นไม่ได้ pเป็นเท็จ, q เป็นจริง เท่านั้น พิจารณาตัวเลือก 1] (F  T)  r  F  r  T ตอบเลยเหอะ 2] T  (Fr)  T  F  F 3] F~T  F 4] F~T  F 5. ตอบ 2 ข้อนี้เป็นโจทย์ย้อนกลับของเรื่องตัวบ่งปริมาณ ผลบวก สูตร อนุกรมเลขคณิต nS = 2 n [ n1 aa  ] หรือ nS = 2 จานวนพจน์ [พจน์แรก+ท้าย]
  • 3.
    01 ส่งไปจับกับ {a, b} (ส่วนที่เหลือ1 ตัว เลือกได้วิธีเดียว) เลือก ได้วิธีเดียว) เลือก 2 ตัว จาก 3 ตัว ที่เลือกไว้ใน * เพื่อจะไปจับกับ {a, b} * เลือก 3 ตัวจาก {1,2,3,4,5}  !2 2 3 3 4              !2 2 3 3 4             การที่ ]03x2x[x 2  จะเป็นจริง x ทุกตัวใน U จะต้องแทนแล้วจริง นั่นก็คือ U  เซตคาตอบอสมการ 03x2x2  0)1x)(3x(  เซตคาตอบอสมการ U ในตัวเลือก 2 เป็นสับเซตของเซตคาตอบ 6. ตอบ 3 f(x) = x + 1 )x(fg = 1x จะหา )x(gf ได้ = )x(f แสดงว่า g(x) = x = 1x  หา fgR  จาก )x(fg = 1x  y = 1x  จะได้ว่า y  0 fgR  = yy  0 หา gfR  จาก )x(gf = 1x  y = 1x  เนื่องจาก x  0 1x   1 y  1 fgR  gfR  fgR  – gfR  คือ [0, 1) ตอบ วิธีลัด fgR  – gfR  แสดงว่า ค่าที่ใช้ได้ต้องอยู่ใน fgR  แต่ไม่อยู่ใน gfR  ดูช้อย fg : y = 1x  สังเกตว่า y = 1 ใช้ได้ (x=0ไง)  ข้อที่ถูกต้องมี y = 1 (ตัดตัวเลือก 2, 4) และสังเกตว่า y = -1 ก็เป็นไปไม่ได้ ดังนั้น ตัดข้อ 1 ตอบข้อ3 ไปเลย จิ 7. ตอบ 4 การหา จานวนสมาชิกเซต A ก็คืจานวน f ที่ fR = {a, b} นั่นเอง มีสมาชิก 3 ตัว สร้างได้ เมื่อคานวณแล้วจะได้ = 4(3)(2) = 24 วิธี ตอบ -3 0 -2 -1 -1 0 1
  • 4.
    8. ตอบ 2 แนวคิด)x(g 1 = 1x f(2x – 1) = 4x – a จะได้ g(x) = 1x2  f(x) =  2 1x4  – a ........(ระบบ ) = 2x + 2 – a )a(gf = f(g(a)) = 20a2  (โจทย์บอกมา) )1a(f 2  = 20a2  a2)1a(2 2  = 20a2  a22a2 2  = 20a2  20aa2  = 0 (a – 5) (a – 4)= 0 a= 5, – 4 แต่โจทย์ว่า a > 0  a = 5 f(x) = 2x + 2 – a f(x) = 2x – 3 f(a) = 2a – 3 = 2(5) – 3 = 7 ตอบ ความรู้ที่ต้องมี 1. หา f(x) จาก f (ไม่ใช่ x ) 2. )x(gf = f(g(x)) 3. การหา Inverse ของ f(x) 9. ตอบ 4 (ข้อนี้เป็นข้อสอบ En 43 มี.ค. ซึ่งคล้าย ๆ En 47 มี.ค. เลยเอามาให้ดู) วิธีจริงวาดรูป จาก Law of sine  75sin 20 =  60sin AB AB =   75sin 60sin20 AB = 22 13 2 320       AB =      13 22310 จากสามเหลี่ยมมุมฉาก ABC จะได้ sin 45 = AB h หรือ h = AB sin 45 ….(แตก AB sin แบบ physics ) พ.ท.สามเหลี่ยม ABC= 2 1  ฐาน  สูง = )h)(AC(2 1 = 2 1 13 320)20(2 1  A D C B 75 60  45 มุม 15 , 75 ควรจาได้เพราะออกสอบบ่อย 13  13  15  75  22
  • 5.
    = 13 3200  ตอบ วิธีลัด 20 = h[cot45 + cot 60 ] พท. =            3 11 20)20)(20(2 1 = 13 3200  ตอบ 10. ตอบ 2 ให้เส้นตรง 1L ผ่านจุด (– 4, 1) และ (0, 3 8 ) เส้นตรง 2L มีสมการเป็น 5x – 12y – 20 = 0 ถ้าเส้นตรง 1L และ 2L สัมผัสวงกลม C ข้อใดเป็นสมการวงกลม C 1L ผ่านจุด (– 4, 1) และ (0, 3 8 ) ความชัน 1L = )4(0 13 8   = 12 5 สมการ 1L คือ 5x – 12y + k = 0 ผ่านจุด (– 4, 1) : 5(-4) – 12(1) + k = 0  k = 32 สมการ 1L : 5x – 12y + 32 = 0 2L : 5x – 15y – 20 = 0 จะเห็นได้ว่า 1L ขนานกับ 2L ดูจากช้อย 1, 3, 4 จะมี (h, k) วงกลม = (–6, 3) …. แต่ข้อ 2 (h, k) = (6, 3) ลอง (h, k) = (–6, 3) ระยะ (h, k) ถึง 1L = ระยะ (h, k) ถึง 2L 22 125 32)3(12)6(5   = 22 125 20)3(12)6(5   ซึ่งไม่จริง จึงตอบ 2 เลย 11. ตอบ 1 เซต A 1xx 66   = 2x1xx 222   )61(6x  = )221(2 2x  76x  = 72x  x 6 = x 2  x = 0 A = { 0 } (จริง ๆ น่าจะตอบข้อ 1 เลย เพราะ 0 คูณอะไรก็ได้ 0) เซต B ควรรู้ สูตรลัด dxlogloglog abc  60 45 20 h A B h x สูตร Genius x = h[cotA + cotB] (h,k) 1L 2L
  • 6.
    dc b ax  ดังนั้น )1x2(logloglog327  = 0 2x – 1 = 07 2 3 = 2 3 2x – 1 = 9 x = 5  B = { 5 } ผลคูณ สมาชิกเซต A กับ B = 0  5 = 0 ตอบ 15x12x4x4 2  = 0 15x12x4x4 2  = 0 12. ตอบ 3 ไม่อยากบอกเลยว่า เรื่อง cofactor ของเมตริกซ์ นี้ออกสอบทุกปี ข้อนี้จึงไม่ควรพลาดนะ แนวคิด จาก A =            0 7 6 2 0 4 1 2 5 )A(C13 = 21 02 )1( 31    )A(C13 = 21 45 )1( 32  = (1) [– 4 – 0] = – 4 = (–1) [10 – 4] = –6 จึงได้ว่า B =           xx6 2 5x24 2 ซึ่ง det B = 0 (เพราะโจทย์บอกว่า B เป็นเมตริกซ์เอกฐาน) คูณลง – คูณขึ้น = 0 )2 5x2)(6()xx(4 2  = 0 15x12x4x4 2  = 0 154 2  x16x = 0 ผลบวกคาตอบ = 4 )16( = 4 13. ตอบ 1 (เรื่องนี้ออก En ปีละ 1 ข้อ มาตลอดนะครับ) วาดรูป จุดมุมมี 4 จุด จุด A เป็นจุดตัด 2x + 3y = 100 -----  y – x = 5 -----  ซึ่งแก้สมการได้ x = 21 , y = 26  A (21, 26) A D B C y = 2 (60,0)(10,0) (0,10) (0,40) x+y = 10 2x+3y = 120 x–y = 5
  • 7.
    จุด B เป็นจุดตัดx + y = 10 ………. จุด C x + y = 10 แต่ y = 2 y – x = 5 ……….  C(8, 2) ซึ่ง B = )2 15,2 5( ฝากคิดเองนิดนึงนะ จุด D 2x + 3y = 120 แต่ y = 2  D = (57, 2) นา 4 จุดมุม แทนลง P P = 3x + y (21, 26) P = 89 )2 15,2 5( P = 15  min (8, 2) P = 26 (57, 2) P = 173  max 14. ตอบ 3 เรื่องขนาด vector ออกสอบทุกปีเช่นกัน (อย่าพลาดนะ) ถ้ากาหนด AB = v AB = u จะได้ AC = vu ซึ่ง vu  = 5 BD = vu ซึ่ง vu  = 1 จาก 2vu = vu2vu 22  แทนสิ่งที่รู้ลงไป 2 5 = vu2vu 22  ---------  จาก 2vu = vu2vu 22  2 1 = vu2vu 22  ----------  –  24 = vu4  6 = vu ดังนั้น vu = ABAD = 6 ตอบ วิธีลัด ใช้สูตรลัด 2vu – 2vu = vu4  22 15  = vu4   vu = 6 ตอบเลยอิอิ… 15. ตอบ 1 z9iz4 1  = 26 z9z i4  = 26 a = max = 173 b = min = 15 a – b = 173 – 15 = 158 A B CD u v 0z, z 1z 1 
  • 8.
    z zz9i4  =26 z zz9i4  = 26 2z9i4  = z26 222 )z9(4  = z26 4z8116 = 2z72 ยกกาลัง 2 สองข้าง 16z72z81 24  = 0 22 )4z9(  = 0 4z9 2  = 0 2z = 9 4 z = 3 2 ตอบครับ 16. ตอบ 4 ข้อความ ก. ถูก ให้ z = a + bi  2z = 22 ba  z = a – bi  2z = 22 ba  zz = 2a  2zz = 2 a4 zz = 2bi  2zz = 2 b4 ดังนั้น 22 zzzz  = 22 b4a4  = )ba(2)ba(2 2222  = 22 z2z2  วิธีลัด อาจแทนค่า z ง่าย ๆ เช่น 3 + 4i ดูว่าใช้ได้จริงหรือไม่ (ทาเองนะ) ข้อความ ข. ผิด z = 2 i 2 3  50 z = 6 2sini6 2cos  z = 66    sinico s = 3sini3cos  50 z = 650sini650cos  = i3 3 2 1  หมายเหตุ - เรื่องสมบัติ z - เรื่องทฤษฎีเดอมัวร์ ออก EN ประจา (ไม่ควรพลาดเช่นกัน) 17. ตอบ 4 3333 4 n n...321 1nlim    =   2 4 n 2 1nn 1nlim          .....ตรงนี้คือEN39 = .........n4 1 .........nlim 4 4 n   ลัด กาลัง เท่า  ตอบผลหาร ส.ป.ส. = 4 1 1 = 4 วิธีจริง nb = x31x3x1x4 22  zzz  22 )พส่วนจินตภา()ส่วนจริง(z 
  • 9.
    = )x1x3x()x21x4( 22  =                x1x3x x1x3x)x1x3x( x21x4 x21x4)x21x4( 2 2 2 2 2 2 = x1x3x x1x3x x21x4 x41x4 2 22 2 22     n n blim  = xxx x lim xx lim     13 13 214 1 22 = 2 30  วิธีลัด nb x31x3x1x4lim 22 n   = 2 3 ทันที (ใช้สูตร GNM.) โจทย์หา )ba(lim nn n   = 2 34 = 2 11 = 5.5 หมายเหตุ ข้อ 17 นี้ ผู้ออกเลียนแบบมาจาก EN 47 มี.ค. ที่ออก Concept นี้ 18. ตอบ 3 )x(flim 3x   )ax(flim 3x   f(3)          3x3 9x3lim 3x แทนได้ 0 0  DIFF 3 x = 3 x32 3 6 = )a6ax(lim 2 3x   = 9a – 6a = 3a = 69)3(a 2  = 9a – 6a = 3a ฟังก์ชันต่อเนื่อง “3 กรอบ ตอบต้องเท่ากัน” f(x) 6 = 3a = 3a a = 2 แทนค่า f(x) = 12x2 2  ,x  3 f(x) = 4x ,x  3 f(a) = f(2) = 8 ตอบ 19. ตอบ 2 เส้นตรง x + 4y = 10 มีความชัน = 4 1  เส้นที่ตั้งฉากความชัน = 4 เส้นโค้ง y = 23 xx2 
  • 10.
    y = x2x62  หาm ณ จุดใดๆ = x2x6 2  เส้นสัมผัสความชัน = 4 x2x6 2  = 4 xx3 2  = 2 (3x + 2)(x – 1) = 0 x = 1, 3 2 ดังนั้น จุดสัมผัสในควอดรันต์ที่ 1 คือ (1, 1) สมการเส้นสัมผัส  มีความชัน 4 ได้  : 4x – y + c = 0 ผ่าน (1, 1)  c = –3 สมการ 4x – y – 3 = 0 ระยะตัดแกน y (x = 0) –y – 3 = 0 Y = –3 ตอบ 20. ตอบ 1 หมายเหตุ ข้อสอบ Calculus ปัจจุบันจะนิยมออกผสมกับฟังก์ชัน fg,gf  ประจาเลยนะ แนวคิด จาก f(x) = 1x3  )x(gf = 1x2  จะได้ g(x) = 3 1)1x( 22  = 3 1)1x(3 1 22  f(x) + g(x) = )x2)(1x(3 2 1x32 3 2   f(1) + g(1)= 3 8 4 3  = 12 41 21. ตอบ 2 แนวคิด รูปแบบการ Integrate พื้นที่ออกทุกปีนะครับ y = 10ax4xa 22  พื้นที่ A =  1 0 22 dx)10ax4xa( = 1 0 232 )x10ax23 xa(  = 10a23 a2   สมการ A = 10a23 a2  หาค่าน้อยสุด A = 23 a2  = 0 2a = –6 a = –3
  • 11.
     พื้นที่น้อยสุด คิดจากa = –3 ซึ่งคือ A = 10)3(23 )3( 2  = 7 ตอบ 22. ตอบ 3 (ห้ามตอบข้อ 4 นะ) เรื่องนี้ถึงยังไม่ได้เรียน แต่น้องก็อย่าลืมอ่านไปนะ (เพราะเรื่องนี้ชอบไปเป็นขาแจมกับเรื่องอื่น) และโจทย์ หยิบของเนี่ย ออกทุกปีเลย! แนวคิด P (ได้สีเดียวกัน) = P(ได้สีขาว 2) + P(ได้สีแดง 2) + P(ได้สีน้าเงิน 2) =                                       2 12 2 5 2 12 2 4 2 12 2 3 = 66 10 66 6 66 3  = 66 19 23. ตอบ 4 แนวคิด เลือกเลข 4 ตัวจาก 8 ตัว ทาได้       4 8 = 70 วิธี เหตุการณ์ที่ผลคูณของเลข 4 ตัว คูณกันน้อยกว่า 0 และเป็นจานวนคี่ คือ หยิบได้เลขคี่ทั้งหมด 4 ตัว ซึ่งมี 1 วิธี  ความน่าจะเป็น = 70 1 (ง่ายเนอะ) 24. ตอบ 3 แนวคิด หลายคนชอบทิ้งความน่าจะเป็น ทั้ง ๆ ที่ข้อนี้ คือเรื่องเซตแท้ ๆ ให้ A = เหตุการณ์ที่หลอดไฟฟ้าห้องน้าเสีย B = เหตุการณ์ที่หลอดไฟฟ้าในครัวเสีย จาก P(AB) = P(A) + P(B) – P(AB) P(AB) = 0.1 + 0.2 – 0.25 = 0.05 25. ตอบ 2 ปรับตารางให้คุ้นเคยก่อนนะ ช่วง f ความถี่สะสม 46 – 55 56 – 65 66 – 75 76 – 85 86 – 95 96 – 105 4 x y 10 7 3 4 4 + x 4 + x + y 14 + x + y 21 + x + y 24 + x + y 24 + x + y Note ข้อนี้น้อง ๆ ควรรู้ว่า ถ้าตาแหน่ง Q,D,P ที่จะหาพอดีตาแหน่งสุดท้ายของชั้นแล้ว (วิธีลัด) ค่า Q, D, P ของตาแหน่งชั้น = ขอบบน ได้เลย 1Q ตรงกับตาแหน่งที่ )( 4 1 N = )yx24(4 1  Med ตรงกับตาแหน่งที่ )( 2 1 N = )yx24(2 1 
  • 12.
    1Q = 65.5บังเอิ้น บังเอิญ ตรงกับขอบบนของชั้น 56 – 65  ความถี่สะสม 4 + x = )yx24(4 1  …………..(ลัดเลย) 16 + 4x= 24 + x + y 3x – y= 8 …………… Med = 75.5 บังเอิญตรงขอบบนชั้น 66 – 75 (เหมือนเดิมเลย)  ความถี่สะสม 4 + x + y = )yx24(2 1  8 + 2x + 2y = 24 + x + y x + y = 16 …………… แก้  และ  ได้ x = 6, y = 10  N = 40 จานวน ต่อไปหา 3Q ซึ่งตรงกับตาแหน่ง 30)40(4 3)N(4 3  ซึ่งอยู่ในชั้นที่ 4 (ตาแหน่งสุดท้ายของชั้นอีกแล้ว)  3Q ตรงขอบบน คือ 3Q = 85.5 โจทย์ถาม ส่วนเบี่ยงเบนควอไทล์  Q.D. = 2 QQ 13  = 2 5.655.35  = 10 ตอบ 26. ตอบ 2 แนวคิด สัมประสิทธิ์ส่วนเบี่ยงเบนเฉลี่ย = x D.M แทนค่า 1.2 = x 4.14 x = 12 ต่อไปหา S.D. = 2 2 )(x N x   = 2 )12(10 1530  = 3  สัมประสิทธิ์การแปรผัน = x .D.S = 12 3 = 4 1 = 0.25 27. ตอบ 1 ลัด จาก z ต่างกัน 1.96 – (–0.44) = 2.5 0.17 0.475 0.33 SD=10 z = 1.96 5.47P z = 1.44 33P
  • 13.
    ซึ่งก็คือคะแนนต่างกัน 2.5 (SD) =2.5 (10) = 25 คะแนน คะแนนต่างกัน = พิสัย = 25 สูตร 1. Z = .D.S xx ออกทุกปี 2. พิสัย = minmax xx  28. ตอบ 1 4647 I,I = ดัชนีราคาอย่างง่ายแบบใช้ค่าเฉลี่ยราคาสัมพัทธ์ปี 47 และ 46 โดยเทียบกับปี 45 (ปีฐาน) 47I = 3 100P P 45 47      =       3 1001250 11251001500 18751002000 2360  = 111 47I = 3 100 1250 1250 100 1500 1800 100 2000                    a = 3 220a05.0  โจทย์บอกว่า 4647 II  = 1  111 – )3 200a05.0(  = 1 333 – (0.05a + 200 ) = 3 แก้หา a = 05.0 110 = 2,200 ตอบ ตอนที่ 2 ข้อ 1 – 8 เป็นข้อสอบแบบอัตนัย ข้อละ 2 คะแนน 1. ตอบ 15 ข้อนี้ถือว่าง่ายมาก ๆ หวังว่า น้อง ๆ คงจะทากันได้นะครับ มาดูเซต A กัน 16x6x2   0 เซต B  2 – x  < 5 (x – 8) (x + 2)  0  x – 2  < 5 –5 < x – 2 < 5 –2 8 –3 < x < 7 ดังนั้นเซต A = [-2, 8] ดังนั้นเซต B = (-3, 7) + – + a – b = b – a นะจ๊ะ  – 3 – 2 8 A B A – B 87 7
  • 14.
    A – B= [7, 8] = [a, b] ดังนั้น a + b = 7 + 8 = 15 2. ตอบ 0.5  5ecarccos5secarc2 1arcsinsin  =  22 1arcsinsin  อยู่ 2Q =  2 1arcsinsin = 2 1 = 0.5  หมายเหตุ ปัจจุบันเรื่อง arc เนี่ย ออก En เป็นประจา ดังนั้นน้อง ๆ ควรเตรียมตัวอ่านไว้เยอะ ๆ นะครับ วิธีลัด น้อง ๆ ควรมีความรู้ว่า arcsin x + arccos x arcsec x + arccosec x = 2  arctan x + arccot x ดังนั้น arcsec 5 + arccosec 5 = 2  ทันที ก็จะเร็วขึ้น 3. ตอบ 2 ข้อนี้ง่ายอีกแล้ว (แรก part 2 คะแนน ไม่อยากใจร้ายอ่ะ) วิธีจริง 199y64x18y16x9 22  = 0 วิธีลัด 0FEyCxByAx 22  )4y4y(16)1x2x(9 22  = 199 + 9 – 64 จุดศูนย์กลางคือ  B2 E,A2 C  22 2)16(y1)9( x = 144 ดังนั้น 199y64x18y16x9 22  = 0 9 )2y( 16 )1x( 22   = 1 จุดศูนย์กลางคือ  )16(2 64,)9(2 )18(   = (1, 2) เป็นไฮเปอร์โบลามีจุดศูนย์กลางที่ (1, 2) และ  นาไปหา d = 2 เช่นกัน ระยะทางสั้นที่สุด (ตั้งฉาก) จากจุด (1, 2) ไปเส้นตรง 3x + 4y – 21 = 0 คือ 169 21)2(4)1(3 d    = 2 4. ตอบ 18 ให้ xlog2 = A จะได้ว่า 2logx = A 1 จากโจทย์ 2log2xlog x2   3 A 2A  3 3A 2A   0 A32A2   0 เนื่องจาก A  0 2A3A2   0 (A – 2) (A – 1)  0 ให้ A = arcsec 5 นามาวาดเป็น สามเหลี่ยม 1 สังเกตได้ว่า B = arccosec 5  A + B = 90 นั่นคือ arcsec 5 + arccosec 5 = 2  A B 5 24
  • 15.
    1  A< 2 1  xlog2  2 , x  0 1  xlog2  4 41 2x2  2  x  16 เซตคาตอบ (2, 16) a, b คือค่าขอบเขตบนน้อยที่สุด และขอบเขตล่างมากที่สุด  a + b = 16 + 2 = 18 Note ข้อสอบ En ระบบใหม่ นิยมออก อสมการ log เป็นอัตนัย 2 คะแนนบ่อย ๆ พี่จึงนามาเก็งไว้ 1 ข้อ นะครับ 5. ตอบ 5 จาก (2A –B )  (A + 2B ) = 5 2A A + 4A B – 2B A – 2B B = 5 2A 2 + 3A B – 2B 2 = 5 แทนค่า 2 )5(2 + 3A B – 2 )10(2 = 5 A B = 5 จากสูตร A +B 2 = A 2 + B 2 + 2A B u A +B 2 = 5 + 2(5) + 10 A +B  = 5 6. ตอบ 8 A =             110 114 111 จะได้ เมตริกซ์ของไมเนอร์ คือ Mij =              532 112 440 …..จากการปิดแถว_ปิดหลัก จะได้ เมตริกซ์ของโคแฟคเตอร์คือ Cij =             532 112 440 ……..จากการ(-1)I+j Mij จะได้ เมตริกซ์ผูกพันธ์ Adj(A) =             514 314 220 ……..จากการ Transpose Cij det (AdjA) = = 514 314 220   14 14 20   = -8+ 0 -40 0+ 24 -8 คูณลง-คูณขึ้น =16 - -48 = 64
  • 16.
    det ( 2 adjA ) =)det( 2 1 3 adjA      = 8)64( 8 1  7. ตอบ 1.33 parabola which Directrix y = 4 5 Vertex (0, 1)  para eQuation is 2 )0x(  =   )14(4 14  2 x = – y + 1 Y = 2 x1 Find the area covered by parabola & x – axis A =    1 1 2 dx)x1( = 1x 1x )3 xx( 3    = )3 11()3 11(  = 3 4 = 1.33 Ans (แปลออกป่ะ?) 8. ตอบ 9.8 (หน่วยพันล้าน) ข้อนี้จัดว่าง่ายมากอีกข้อ เพราะคิดตรง ๆ เลย (เพียงแต่น้อง ๆ หลายคนไม่ได้อ่านมาเพราะเป็นสถิติ ม.6) พ.ศ. x (ทอนค่า) มูลค่า (y) xy 2 x 2542 2543 2544 2545 2546 –2 –1 0 1 2 1 3 4 5 9 –2 –3 0 5 18 4 1 0 1 4  0x  22y  18xy  10x2 สมการหลัก y = mx + C (เส้นตรง) หา m , C จาก  y = nCxm   22 = m(0) + 5C  xy =   xCxm 2  18 = m(10) + C(0)  C = 5 22 = 4.4 และ m = 10 18 = 1.8 สมการความสัมพันธ์ y = 1.8x + 4.4 ปี 2547 (x = 3) y = 1.8(3) + 4.4 = 9.8 (หน่วยพันล้าน) วิธีลัด det (AdjA)= (detA)มิติ-1 = (8) 3 – 1 .....ลองหา detA เอง = 64 det ( 2 adjA ) = )det( 2 1 3 adjA      = 8)64( 8 1  เท่ากัน