เฉลยละเอียด
ข้อสอบ กสพท. คณิตศาสตร์ 2555
วิธีทํา จากโจทย์ |3 − 2𝑥𝑥| − |3𝑥𝑥 − 7| ≥ 0
จะได้ว่า |3 − 2𝑥𝑥| ≥ |3𝑥𝑥 − 7|
เนื่องจากเป็นบวกทั้ง 2 ข้าง จึงสามารถยกกําลังสองทั้ง 2 ข้างได้
จะได้ว่า (3 − 2𝑥𝑥)2
≥ (3𝑥𝑥 − 7)2
(3 − 2𝑥𝑥)2
− (3𝑥𝑥 − 7)2
≥ 0
(𝑥𝑥 − 4)(10 − 5𝑥𝑥) ≥ 0
5(𝑥𝑥 − 4)(𝑥𝑥 − 2) ≤ 0
จะได้ว่า เซตคําตอบของสมการ คือ [2,4] ตอบ
ส่วนคําถามนั้น ไม่มีสาระสําคัญอะไร
วิธีทํา จะแยกตัวประกอบของ720 และ 10800
จะได้ว่า 720 = 24 × 32 × 5
10800 = 24 × 33 × 52
จากหลักการหา ค.ร.น. แบบแยกตัวประกอบ
จะได้ว่า 𝑛𝑛min = 33 × 52 = 675 ตอบ
เฉลยข้อสอบ : กสพท. คณิตศาสตร์ 2555 Page 1
วิธีทํา ให้θ = arctan √2
จะได้ว่า cos 2𝜃𝜃 =
1−tan 2 θ
1+tan 2 θ
=
1−2
1+2
= −
1
3
เพราะฉะนั้น sec2
�2 arctan √2� =
1
cos 2 2𝜃𝜃
= 9 ตอบ
วิธีทํา ลองคิดเป็นระนาบ2 มิติดูก่อน
จากรูป จะได้ว่า 𝑂𝑂𝑂𝑂 = 𝑂𝑂𝑂𝑂 cos 𝜃𝜃
A แสดงว่า เราต้องหามุมระหว่างเวกเตอร์ก่อน
จึงจะสามารถหา 𝑂𝑂𝑂𝑂 ได้
B
C
O
จากโจทย์จะได้ว่า 𝑂𝑂𝑂𝑂�����⃑ = �
1
−4
−3
� และ 𝑂𝑂𝑂𝑂�����⃑ = �
3
−6
2
�
ดังนั้น 𝑂𝑂𝑂𝑂�����⃑ ∙ 𝑂𝑂𝑂𝑂�����⃑ = �𝑂𝑂𝑂𝑂�����⃑��𝑂𝑂𝑂𝑂�����⃑� cos 𝜃𝜃
3 + 24 − 6 = 7√26 cos 𝜃𝜃
จะได้ว่า cos 𝜃𝜃 =
3
√26
เพราะฉะนั้น 𝑂𝑂𝑂𝑂 = 𝑂𝑂𝑂𝑂 cos 𝜃𝜃 = 3 ตอบ
θ
เฉลยข้อสอบ : กสพท. คณิตศาสตร์ 2555 Page 2
วิธีทํา จากโจทย์ 3𝑥𝑥
+ 32−𝑥𝑥
= 4√3
จะได้ว่า 3𝑥𝑥 +
9
3𝑥𝑥 = 4√3
มองให้ 𝐴𝐴 = 3𝑥𝑥
จะได้ว่า 𝐴𝐴2 − 4√3𝐴𝐴 + 9 = 0
แสดงว่า 𝐴𝐴 =
4√3±√48−36
2
𝐴𝐴 =
4√3±2√3
2
จะได้ว่า 3𝑥𝑥
= 3√3 หรือ 3𝑥𝑥
= √3
เพราะฉะนั้น 𝑥𝑥 =
1
2
,
3
2 ตอบ
ส่วนคําถามนั้น ไม่มีสาระสําคัญอะไร
วิธีทํา จากโจทย์จะได้ว่า 𝑥𝑥 + 27log 3 2 = 10
𝑥𝑥 + �3log 3 2
�
3
= 10
𝑥𝑥 + 23 = 10
เพราะฉะนั้น 𝑥𝑥 = 2 ตอบ
เฉลยข้อสอบ : กสพท. คณิตศาสตร์ 2555 Page 3
วิธีทํา จากสูตรการกระจายทวินาม 𝑇𝑇𝑟𝑟+1 = �𝑛𝑛
𝑟𝑟
�น𝑛𝑛−𝑟𝑟ล𝑟𝑟
พจน์ที่ทําให้เกิดค่าคงตัว คือพจน์ที่ทําให้ น𝑛𝑛−𝑟𝑟ล𝑟𝑟 คูณกัน แล้วตัวแปรตัดกันหมด
จะได้ว่าสําหรับพหุนามนี้ 𝑇𝑇𝑟𝑟+1 = �10
𝑟𝑟
�(𝑥𝑥2)10−𝑟𝑟 �
2
𝑥𝑥3�
𝑟𝑟
จะหาได้พจน์ค่าคงที่ ก็ต่อเมื่อ 3𝑟𝑟 = 2(10 − 𝑟𝑟)
𝑟𝑟 = 4
ลองแทน 𝑟𝑟 = 4
จะได้ว่า 𝑇𝑇5 = �10
4
�24 =
10×9×8×7
4×3×2×1
× 16
เพราะฉะนั้น พจน์ค่าคงตัว มีค่าเท่ากับ 3360 ตอบ
เฉลยข้อสอบ : กสพท. คณิตศาสตร์ 2555 Page 4
วิธีทํา จากโจทย์จะได้ว่า
𝑥𝑥1+𝑥𝑥2+𝑥𝑥3+𝑥𝑥4
4
= 86 𝑥𝑥1 + 𝑥𝑥2 + 𝑥𝑥3 + 𝑥𝑥4 = 344
เขาต้องการให้คะแนนเฉลี่ยเท่ากับ 90 คะแนน โดยครั้งสุดท้ายให้นํ้าหนักสองเท่าของครั้งอื่น
ดังนั้น 𝑥𝑥̅ =
𝑥𝑥1+𝑥𝑥2+𝑥𝑥3+𝑥𝑥4+2𝑥𝑥5
6
90 =
344+2𝑥𝑥5
6
𝑥𝑥5 = 98
เพราะฉะนั้น ครั้งสุดท้ายของทําคะแนนให้ได้98 คะแนน ตอบ
เฉลยข้อสอบ : กสพท. คณิตศาสตร์ 2555 Page 5
วิธีทํา จากโจทย์จะได้ความชันของ 𝐿𝐿1 เท่ากับ
4
3
และเส้นโค้ง จะมีความชันขณะ 𝑥𝑥 เท่ากับ 2𝑥𝑥 −
8
3
เนื่องจาก 𝐿𝐿2 ขนานกับ 𝐿𝐿1
ดังนั้น 2𝑥𝑥 −
8
3
=
4
3
𝑥𝑥 = 2
แสดงว่า ขณะที่เส้นโค้ง มีค่า 𝑥𝑥 = 2 จะทําให้ 𝐿𝐿2 ขนานกับ 𝐿𝐿1
เนื่องจาก 𝐿𝐿2 ผ่านจุด (2,1)
จะได้ว่า ระยะห่างระหว่าง 𝐿𝐿1 และ 𝐿𝐿2 เท่ากับ ระยะจากจุด (2,1) ไปยัง 𝐿𝐿1
ดังนั้น ระยะจากจุด (2,1) ไปยัง 𝐿𝐿1 =
4(2)−3(1)+10
5
= 3
เพราะฉะนั้น ระยะห่างระหว่าง 𝐿𝐿1 และ 𝐿𝐿2 เท่ากับ 3 หน่วย ตอบ
เฉลยข้อสอบ : กสพท. คณิตศาสตร์ 2555 Page 6
วิธีทํา เนื่องจากช่วงของการอินทิเกรต ทําให้ในแอ๊บมีค่าเป็นลบเสมอ
ดังนั้น ∫ 6𝑥𝑥|𝑥𝑥 − 2|𝑑𝑑𝑑𝑑
2
0
= ∫ −6𝑥𝑥(𝑥𝑥 − 2)𝑑𝑑𝑑𝑑
2
0
= −6 ∫ 𝑥𝑥(𝑥𝑥 − 2) 𝑑𝑑𝑑𝑑
2
0
= −6 ∫ (𝑥𝑥2
− 2𝑥𝑥) 𝑑𝑑𝑑𝑑
2
0
= −6 × �
𝑥𝑥3
3
− 𝑥𝑥2��
𝑥𝑥=0
𝑥𝑥=2
= −6 × �
8
3
− 4�
= −6 × −
4
3
เพราะฉะนั้น ∫ 6𝑥𝑥|𝑥𝑥 − 2|𝑑𝑑𝑑𝑑
2
0
= 8 ตอบ
เฉลยข้อสอบ : กสพท. คณิตศาสตร์ 2555 Page 7
วิธีทํา จากโจทย์ 𝑥𝑥 − 4 หาร 𝑃𝑃(𝑥𝑥) ลงตัว ดังนั้น 𝑃𝑃(4) = 0
จากโจทย์ 𝑥𝑥 − 1 , 𝑥𝑥 − 2 และ 𝑥𝑥 − 3 ต่างก็หาร 𝑃𝑃(𝑥𝑥) แล้วเหลือเศษ 1
แสดงว่า 𝑃𝑃(𝑥𝑥) − 1 ก็ต้องหาร 𝑥𝑥 − 1 , 𝑥𝑥 − 2 และ 𝑥𝑥 − 3 ลงตัว
ดังนั้น 𝑃𝑃(𝑥𝑥) − 1 = 𝐴𝐴(𝑥𝑥 − 1)(𝑥𝑥 − 2)(𝑥𝑥 − 3)
แทนค่า 𝑥𝑥 = 4
จะได้ว่า 𝑃𝑃(4) − 1 = 𝐴𝐴(3)(2)(1)
ดังนั้น 𝐴𝐴 = −
1
6
จะได้ว่า 𝑃𝑃(𝑥𝑥) = −
1
6
(𝑥𝑥 − 1)(𝑥𝑥 − 2)(𝑥𝑥 − 3) + 1
เพราะฉะนั้น 𝑃𝑃(5) = −3 ตอบ
เฉลยข้อสอบ : กสพท. คณิตศาสตร์ 2555 Page 8
วิธีทํา เนื่องจาก �𝑧𝑧 +
√3
2
�
2
= −
1
4
จะได้ว่า 𝑧𝑧 +
√3
2
=
1
2
𝑖𝑖
เพราะฉะนั้น 𝑧𝑧 = −
√3
2
+
1
2
𝑖𝑖
ทําอยู่ในรูปจํานวนเชิงขั้ว
จะได้ว่า 𝑧𝑧 = cos 150° + 𝑖𝑖 sin 150°
เพราะฉะนั้น 𝑧𝑧8 = cos(8 × 150°) + 𝑖𝑖 sin(8 × 150°)
= cos(1200°) + 𝑖𝑖 sin(1200°)
= cos(7𝜋𝜋 − 60°) + 𝑖𝑖 sin(7𝜋𝜋 − 60°)
= − cos 60° + 𝑖𝑖 sin 60°
เพราะฉะนั้น 𝑧𝑧8 = −
1
2
+
√3
2
𝑖𝑖 ตอบ
เฉลยข้อสอบ : กสพท. คณิตศาสตร์ 2555 Page 9
วิธีทํา จากโจทย์ 𝑎𝑎𝑎𝑎 − 25𝑎𝑎 − 25𝑏𝑏 = 1575
𝑎𝑎𝑎𝑎 − 25𝑎𝑎 − 25𝑏𝑏 + 625 = 2200
𝑎𝑎(𝑏𝑏 − 25) − 25(𝑏𝑏 − 25) = 2200
(𝑎𝑎 − 25)(𝑏𝑏 − 25) = 2200
เนื่องจาก ห.ร.ม.(𝑎𝑎, 𝑏𝑏) = 5
จึงสมมติให้ 𝑎𝑎 = 5𝑘𝑘 , 𝑏𝑏 = 5𝑚𝑚 เมื่อ ห.ร.ม.(𝑘𝑘, 𝑚𝑚) = 1
จะได้ว่า (5𝑘𝑘 − 25)(5𝑚𝑚 − 25) = 2200
(𝑘𝑘 − 5)( 𝑚𝑚 − 5) = 88
1 88
2 44
4 22
8 11
ดังนั้น (𝑘𝑘, 𝑚𝑚) = (6,93) , (7,49) , (9,27) , (13,16)
ซึ่งมีแค่กรณีเดียวที่ทําให้ห.ร.ม.(𝑘𝑘, 𝑚𝑚) = 1
จะได้ว่า 𝑘𝑘 = 13 และ 𝑚𝑚 = 16
ดังนั้น 𝑎𝑎 = 65 และ 𝑏𝑏 = 80
เพราะฉะนั้น |𝑎𝑎 − 𝑏𝑏| = 15 ตอบ
เฉลยข้อสอบ : กสพท. คณิตศาสตร์ 2555 Page 10
วิธีทํา เนื่องจากพื้นที่สี่เหลี่ยมด้านขนานที่ประกอบจาก 𝑢𝑢�⃑ และ 𝑣𝑣⃑ เท่ากับ | 𝑢𝑢�⃑ × 𝑣𝑣⃑|
จะได้ว่า |𝑢𝑢�⃑ × 𝑣𝑣⃑| = 3
|𝑢𝑢�⃑||𝑣𝑣⃑| sin 𝜃𝜃 = 3
1 × 5 sin 𝜃𝜃 = 3
ดังนั้น sin 𝜃𝜃 =
3
5
เนื่องจากโจทย์บอกว่า 𝜃𝜃 เป็นมุมป้าน
จะได้ว่า cos 𝜃𝜃 = −
4
5
โจทย์ถามหา (2𝑢𝑢�⃑ + 𝑣𝑣⃑) ∙ (𝑢𝑢�⃑ − 𝑣𝑣⃑)
จะได้ว่า โจทย์ = 2| 𝑢𝑢�⃑|2 − 𝑢𝑢�⃑ ∙ 𝑣𝑣⃑ − |𝑣𝑣⃑|2
= 2(1)2 − |𝑢𝑢�⃑||𝑣𝑣⃑| cos 𝜃𝜃 − (5)2
= 2 − (1)(5) �−
4
5
� − 25
เพราะฉะนั้น (2𝑢𝑢�⃑ + 𝑣𝑣⃑) ∙ (𝑢𝑢�⃑ − 𝑣𝑣⃑) = −19 ตอบ
เฉลยข้อสอบ : กสพท. คณิตศาสตร์ 2555 Page 11
วิธีทํา จัดสมการไฮเพอร์โบลาก่อน
จะได้ว่า 9𝑥𝑥2
− 72𝑥𝑥 − 16𝑦𝑦2
− 32𝑦𝑦 = 16
9(𝑥𝑥2 − 8𝑥𝑥 + 16) − 16(𝑦𝑦2 + 2𝑦𝑦 + 1) = 16 + 144 − 16
9(𝑥𝑥 − 4)2
− 16(𝑦𝑦 + 1)2
= 144
ดังนั้น สมการไฮเพอร์โบลาในรูปมาตรฐาน คือ
(𝑥𝑥−4)2
16
−
(𝑦𝑦+1)2
9
= 1
จะได้ว่า 𝐻𝐻 เป็นไฮเพอร์โบลานอน และ 𝑐𝑐 = √𝑎𝑎2 + 𝑏𝑏2 = √16 + 9 = 5
เพราะฉะนั้น จุดโฟกัสของ 𝐻𝐻 คือ (−1 , −1) และ (9, −1)
F1 F2
จากรูป จะได้ว่า วงรี 𝐸𝐸 มีความยาวแกนเอกเท่ากับ10 หน่วย 𝑎𝑎 = 5
และจากโจทย์บอกว่า 𝐸𝐸 มีความเยื้องศูนย์กลางเท่ากับ
1
√5
=
𝑐𝑐
𝑎𝑎
𝑐𝑐 = √5
จะได้ว่า 𝑏𝑏 = √𝑎𝑎2 − 𝑐𝑐2 = √20
จะได้ว่า สมการ 𝐸𝐸 คือ
(𝑥𝑥−4)2
25
+
(𝑦𝑦+1)2
20
= 1 ตอบ
เฉลยข้อสอบ : กสพท. คณิตศาสตร์ 2555 Page 12
วิธีทํา จากโจทย์จะได้ว่า cos 𝐴𝐴 − √2 cos 𝐵𝐵 = 0
จะได้ว่า cos 𝐴𝐴 = √2 cos 𝐵𝐵 ------------------------- (๑)
จากโจทย์บอกว่า cos 2𝐴𝐴 + 3 cos 2𝐵𝐵 = −2
2 cos2
𝐴𝐴 − 1 + 3(2 cos2
𝐵𝐵 − 1) = −2
ดังนั้น 2 cos2
𝐴𝐴 + 6 cos2
𝐵𝐵 = 2 ------------------------- (๒)
(๑) แทนใน (๒) จะได้ว่า 10 cos2
𝐵𝐵 = 2
เพราะฉะนั้น cos 𝐵𝐵 =
1
√5
sin 𝐵𝐵 =
2
√5
จะได้ว่า cos 𝐴𝐴 =
√2
√5
sin 𝐴𝐴 =
√3
√5
ดังนั้น cos 𝐶𝐶 = cos�𝜋𝜋 − ( 𝐴𝐴 + 𝐵𝐵)�
= − cos( 𝐴𝐴 + 𝐵𝐵)
= − cos 𝐴𝐴 cos 𝐵𝐵 + sin 𝐴𝐴 sin 𝐵𝐵
= − �
√2
√5
��
1
√5
� + �
√3
√5
� �
2
√5
�
เพราะฉะนั้น cos 𝐶𝐶 =
2√3−√2
5 ตอบ
เฉลยข้อสอบ : กสพท. คณิตศาสตร์ 2555 Page 13
วิธีทํา จากกฎของเครเมอร์
จะได้ว่า 𝑥𝑥 =
�
𝑎𝑎 1 2
𝑏𝑏 1 −1
𝑐𝑐 2 −2
�
�
2 1 2
1 1 −1
3 2 −2
�
=
�
𝑎𝑎 𝑏𝑏 𝑐𝑐
1 1 2
2 −1 −2
�
−4−3+4−6+4+2
=
−�
2 −1 −2
1 1 2
𝑎𝑎 𝑏𝑏 𝑐𝑐
�
−3
=
1
2
�
2 −1 −2
2 2 4
𝑎𝑎 𝑏𝑏 𝑐𝑐
�
3
จะได้ว่า 𝑥𝑥 =
24
6
= 4 ตอบ
เฉลยข้อสอบ : กสพท. คณิตศาสตร์ 2555 Page 14
วิธีทํา สมมติให้ 𝐴𝐴 = �
𝑎𝑎 𝑏𝑏 𝑐𝑐
𝑑𝑑 𝑒𝑒 𝑓𝑓
𝑔𝑔 ℎ 𝑖𝑖
�
จะได้ว่า �
𝑎𝑎 𝑏𝑏 𝑐𝑐
𝑑𝑑 𝑒𝑒 𝑓𝑓
𝑔𝑔 ℎ 𝑖𝑖
� �
1
0
5
� = �
1
0
0
�
�
𝑎𝑎 𝑏𝑏 𝑐𝑐
𝑑𝑑 𝑒𝑒 𝑓𝑓
𝑔𝑔 ℎ 𝑖𝑖
� �
1
2
5
� = �
0
1
0
�
�
𝑎𝑎 𝑏𝑏 𝑐𝑐
𝑑𝑑 𝑒𝑒 𝑓𝑓
𝑔𝑔 ℎ 𝑖𝑖
� �
1
3
1
� = �
0
0
1
�
พิจารณาการคูณของเมตริกซ์
จะสามารถเขียนได้ว่า �
𝑎𝑎 𝑏𝑏 𝑐𝑐
𝑑𝑑 𝑒𝑒 𝑓𝑓
𝑔𝑔 ℎ 𝑖𝑖
� �
1 1 1
0 2 3
5 5 1
� = �
1 0 0
0 1 0
0 0 1
� --------------- (*)
เฉลยข้อสอบ : กสพท. คณิตศาสตร์ 2555 Page 15
ข้อ 18 (ต่อ) :
ซึ่งสามารถเขียนได้เนื่องจาก
take det ทั้งสองข้างของสมการ (*)
จะได้ว่า det 𝐴𝐴 × �
1 1 1
0 2 3
5 5 1
� = 1
det 𝐴𝐴 × −8 = 1
เพราะฉะนั้น det 𝐴𝐴 = −
1
8 ตอบ
เฉลยข้อสอบ : กสพท. คณิตศาสตร์ 2555 Page 16
วิธีทํา จะหา 𝑆𝑆1
จะได้ว่า log2−1(𝑥𝑥 + 1) + 2 log2−2(𝑥𝑥 + 2) − log2−1(9𝑥𝑥 − 3) ≤ 0
− log2(𝑥𝑥 + 1) − log2(𝑥𝑥 + 2) + log2(9𝑥𝑥 − 3) ≤ 0
log2
9𝑥𝑥−3
(𝑥𝑥+1)(𝑥𝑥+2)
≤ 0
9𝑥𝑥−3
(𝑥𝑥+1)(𝑥𝑥+2)
≤ 1
เนื่องจาก หลัง log > 0 ดังนั้น (𝑥𝑥 + 1)(𝑥𝑥 + 2) จึงเป็นบวกเสมอ
เพราะฉะนั้น จึงสามารถคูณไขว้ได้เลยโดยไม่ต้องกลับเครื่องหมาย
ดังนั้น 9𝑥𝑥 − 3 ≤ (𝑥𝑥 + 1)(𝑥𝑥 + 2)
9𝑥𝑥 − 3 ≤ 𝑥𝑥2 + 3𝑥𝑥 + 2
𝑥𝑥2 − 6𝑥𝑥 + 5 ≥ 0
(𝑥𝑥 − 5)(𝑥𝑥 − 1) ≥ 0
จะได้ว่า 𝑥𝑥 ∈ (−∞, 1] ∪ [5, ∞)
แต่ว่าจากโจทย์หลัง log > 0 𝑥𝑥 >
1
3
แสดงว่า 𝑆𝑆1 = �−
1
3
, 1� ∪ [5, ∞) ∴ 𝑛𝑛(𝑆𝑆1 ∩ 𝑆𝑆2) = 7 ตอบ
เฉลยข้อสอบ : กสพท. คณิตศาสตร์ 2555 Page 17
วิธีทํา โดยปกติ เราจะเริ่มการทํางานจากขั้นที่จู้จี้จุกจิกที่สุดก่อน
ขั้นที่ ๑ : เลือกคนที่นั่งเก้าอี้หมายเลข7 ซึ่งนั่งได้แค่เด็ก 6,7 ขวบเท่านั้น ได้2 วิธี
ขั้นที่ ๒ : เลือกคนที่นั่งเก้าอี้หมายเลข 6 ซึ่งนั่งได้แค่เด็ก 5,6,7 ขวบเท่านั้น
แต่ว่าเด็ก 6 ขวบ หรือ 7 ขวบ ถูกใช้ในขั้นที่ ๑ ไปแล้ว จึงเหลือ 2 วิธี
ขั้นที่ ๓ : เลือกคนที่นั่งเก้าอี้หมายเลข5 ซึ่งนั่งได้แค่เด็ก 4,5,6,7 ขวบเท่านั้น
แต่ว่ามีเด็ก 2 คน ถูกใช้ในขั้นที่ ๑,๒ ไปแล้ว จึงเหลือ 2 วิธี
ขั้นที่ ๔ : เลือกคนที่นั่งเก้าอี้หมายเลข4 ซึ่งนั่งได้แค่เด็ก 3,4,5,6,7 ขวบเท่านั้น
แต่ว่ามีเด็ก 3 คน ถูกใช้ในขั้นที่ ๑,๒,๓ ไปแล้ว จึงเหลือ 2 วิธี
ขั้นที่ ๕ : เลือกคนที่นั่งเก้าอี้หมายเลข3 ซึ่งนั่งได้แค่เด็ก 2,3,4,5,6,7 ขวบเท่านั้น
แต่ว่ามีเด็ก 4 คน ถูกใช้ในขั้นที่ ๑,๒,๓,๔ ไปแล้ว จึงเหลือ 2 วิธี
ขั้นที่ ๖ : เลือกคนที่นั่งเก้าอี้หมายเลข2 ซึ่งเด็กทุกคนนั่งได้
แต่ว่ามีเด็ก 5 คน ถูกใช้ในขั้นที่ ๑,๒,๓,๔,๕ ไปแล้ว จึงเหลือ 2 วิธี
ขั้นที่ ๗ : เลือกคนที่นั่งเก้าอี้หมายเลข 1 ซึ่งเด็กทุกคนนั่งได้
แต่ว่ามีเด็ก 6 คน ถูกใช้ในขั้นที่ ๑,๒,๓,๔,๕,๖ ไปแล้ว จึงเหลือ 1 วิธี
เพราะฉะนั้น จึงสามารถจัดที่นั่งได้ทั้งหมด 2 × 2 × 2 × 2 × 2 × 2 × 1 วิธี
ซึ่งก็คือ จัดได้ทั้งหมด 64 วิธี ตอบ
เฉลยข้อสอบ : กสพท. คณิตศาสตร์ 2555 Page 18
วิธีทํา จากสมบัติของค่ากลางและค่าการกระจาย
1) การเพิ่มคะแนน ทําให้ค่ากลางของข้อมูลเพิ่มขึ้นเท่ากับค่าที่บวกเข้าไป
เพราะฉะนั้น ค่าเฉลี่ยเลขคณิตและมัธยฐาน จึงมีค่าเพิ่มขึ้น
2) ค่าการกระจายสัมบูรณ์จะคงที่อยู่ถึงแม้จะเพิ่มหรือลดข้อมูลไป
เพราะฉะนั้น M.D. และ S.D. จะคงที่
จากสูตร สัมประสิทธิ์ของพิสัย =
𝑚𝑚𝑚𝑚𝑚𝑚 −𝑚𝑚𝑚𝑚𝑚𝑚
𝑚𝑚𝑚𝑚𝑚𝑚 +𝑚𝑚𝑚𝑚𝑚𝑚
จะได้ว่า สปส. พิสัยใหม่ =
( 𝑚𝑚𝑚𝑚𝑚𝑚 +3)−( 𝑚𝑚𝑚𝑚𝑚𝑚 +3)
( 𝑚𝑚𝑚𝑚𝑚𝑚 +3)+( 𝑚𝑚𝑚𝑚𝑚𝑚 +3)
=
𝑚𝑚𝑚𝑚𝑚𝑚 −𝑚𝑚𝑚𝑚𝑚𝑚
𝑚𝑚𝑚𝑚𝑚𝑚 +𝑚𝑚𝑚𝑚𝑚𝑚 +6
<
𝑚𝑚𝑚𝑚𝑚𝑚 −𝑚𝑚𝑚𝑚𝑚𝑚
𝑚𝑚𝑚𝑚𝑚𝑚 +𝑚𝑚𝑚𝑚𝑚𝑚
เพราะฉะนั้น สปส. พิสัยใหม่ จะมีค่าลดลง
เฉลยข้อสอบ : กสพท. คณิตศาสตร์ 2555 Page 19
วิธีทํา ลองวาดเส้นโค้งปกติดู จะได้ว่า
จะได้ว่า −0.44 =
117.8−𝑥𝑥̅
𝑆𝑆.𝐷𝐷.
------- (๑) และ 1.34 =
126.7−𝑥𝑥̅
𝑆𝑆.𝐷𝐷.
-------- (๒)
(๒)-(๑) ; 1.78 =
8.9
𝑆𝑆.𝐷𝐷.
𝑆𝑆. 𝐷𝐷. = 5 , 𝑥𝑥̅ = 120
จะหาคะแนนมาตรฐานของ125 เท่ากับ
125−120
5
= 1
จะได้พื้นที่เท่ากับ0.3413 อยู่ทางขวาเทียบกับตรงกลาง
รวมกับครึ่งซ้ายของเส้นโค้งปกติ
จะได้ว่า มีถุงอาหารที่มีนํ้าหนักน้อยกว่า125 กรัมอยู่84.13 %ตอบ
เฉลยข้อสอบ : กสพท. คณิตศาสตร์ 2555 Page 20
วิธีทํา จากโจทย์บอกว่า พาราโบลามีแกนสมมาตรขนานกับแกนY
แสดงว่าเป็นพาราโบลาหงายหรือควํ่า
สมมติให้พาราโบลา มีสมการเป็น (𝑥𝑥 − 3)2 = 4𝑐𝑐(𝑦𝑦 − 9)
แทนค่าจุดผ่าน (1,5)
จะได้ว่า (1 − 3)2
= 4𝑐𝑐(5 − 9)
แก้สมการ จะได้ว่า 𝑐𝑐 = −
1
4
จะได้ว่า พาราโบลาในโจทย์มีสมการ คือ (𝑥𝑥 − 3)2
= −(𝑦𝑦 − 9)
𝑥𝑥2 − 6𝑥𝑥 + 9 = 9 − 𝑦𝑦
เพราะฉะนั้น พาราโบลาในโจทย์มีสมการ คือ 𝑦𝑦 = 6𝑥𝑥 − 𝑥𝑥2
จะหาพื้นที่ปิดล้อมของกราฟกับแกน 𝑋𝑋
เนื่องจากกราฟนั้น ตัดแกน 𝑋𝑋 ที่ 𝑥𝑥 = 0,6
ดังนั้น พื้นที่ปิดล้อมกราฟกับแกน 𝑋𝑋 = �∫ (6𝑥𝑥 − 𝑥𝑥2)𝑑𝑑𝑑𝑑
6
0
�
= � �3𝑥𝑥2 −
𝑥𝑥3
3
��
𝑥𝑥=0
𝑥𝑥=6
�
= |108 − 72|
เพราะฉะนั้น พื้นที่ปิดล้อมของกราฟกับแกน 𝑋𝑋 เท่ากับ 36 ตารางหน่วย ตอบ
เฉลยข้อสอบ : กสพท. คณิตศาสตร์ 2555 Page 21
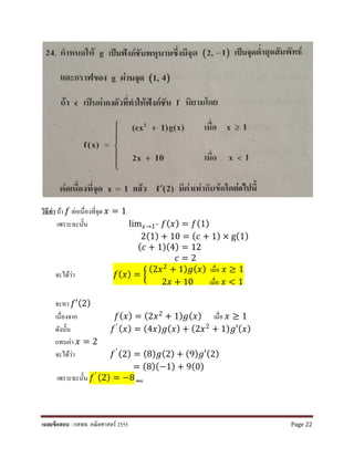
วิธีทํา ถ้า 𝑓𝑓 ต่อเนื่องที่จุด 𝑥𝑥 = 1
เพราะฉะนั้น lim𝑥𝑥→1− 𝑓𝑓(𝑥𝑥) = 𝑓𝑓(1)
2(1) + 10 = (𝑐𝑐 + 1) × g(1)
(𝑐𝑐 + 1)(4) = 12
𝑐𝑐 = 2
จะได้ว่า 𝑓𝑓(𝑥𝑥) = �
(2𝑥𝑥2 + 1) 𝑔𝑔(𝑥𝑥) เมื่อ 𝑥𝑥 ≥ 1
2𝑥𝑥 + 10 เมื่อ 𝑥𝑥 < 1
จะหา 𝑓𝑓′(2)
เนื่องจาก 𝑓𝑓(𝑥𝑥) = (2𝑥𝑥2
+ 1) 𝑔𝑔(𝑥𝑥) เมื่อ 𝑥𝑥 ≥ 1
ดังนั้น 𝑓𝑓′ (𝑥𝑥) = (4𝑥𝑥) 𝑔𝑔(𝑥𝑥) + (2𝑥𝑥2
+ 1) 𝑔𝑔′(𝑥𝑥)
แทนค่า 𝑥𝑥 = 2
จะได้ว่า 𝑓𝑓′ (2) = (8) 𝑔𝑔(2) + (9) 𝑔𝑔′(2)
= (8)(−1) + 9(0)
เพราะฉะนั้น 𝑓𝑓′ (2) = −8 ตอบ
เฉลยข้อสอบ : กสพท. คณิตศาสตร์ 2555 Page 22
วิธีทํา จากโจทย์จะได้ว่า
∑ 𝑎𝑎𝑘𝑘
40
𝑘𝑘=1 = (𝑎𝑎1 + 𝑎𝑎3 + ⋯ + 𝑎𝑎39) + (𝑎𝑎2 + 𝑎𝑎4 + ⋯ + 𝑎𝑎40)
= (1 + 3 + 5 + ⋯ + 39) + (4 + 8 + 12 + ⋯ + 80)
=
20
2
(1 + 39) + 4(1 + 2 + ⋯ + 20)
= 400 + 4 ×
20
2
(21)
= 400 + 840
เพราะฉะนั้น ∑ 𝑎𝑎𝑘𝑘
40
𝑘𝑘=1 = 1240 ตอบ
เฉลยข้อสอบ : กสพท. คณิตศาสตร์ 2555 Page 23
วิธีทํา พิจารณา det( 𝐴𝐴 − 𝑘𝑘𝑘𝑘)
จะได้ว่า 𝐴𝐴 − 𝑘𝑘𝑘𝑘 = �
𝑎𝑎 1 − 𝑎𝑎
1 + 𝑎𝑎 −𝑎𝑎
� − 𝑘𝑘 �
1 0
0 1
�
= �
𝑎𝑎 − 𝑘𝑘 1 − 𝑎𝑎
1 + 𝑎𝑎 −𝑎𝑎 − 𝑘𝑘
�
ดังนั้น det( 𝐴𝐴 − 𝑘𝑘𝑘𝑘) = −(𝑎𝑎 − 𝑘𝑘)(𝑎𝑎 + 𝑘𝑘) − (1 + 𝑎𝑎)(1 − 𝑎𝑎)
= −𝑎𝑎2 + 𝑘𝑘2 − 1 + 𝑎𝑎2
เพราะฉะนั้น det( 𝐴𝐴 − 𝑘𝑘𝑘𝑘) = 𝑘𝑘2 − 1
จะได้ว่า โจทย์ = (2 − 1)(3 − 1)(5 − 1)(7 − 1)
= 1 × 2 × 4 × 6
เพราะฉะนั้น โจทย์ = 48 ตอบ
เฉลยข้อสอบ : กสพท. คณิตศาสตร์ 2555 Page 24
วิธีทํา จากโจทย์เป็นการบอกว่า จุดยอดของวงรีรูปถัดไป จะเป็นจุดโฟกัสของวงรีรูปเดิม
สามารถเขียนความสัมพันธ์ได้ว่า 𝑎𝑎𝑛𝑛+1 = 𝑐𝑐𝑛𝑛
และ 𝑐𝑐𝑛𝑛 = �𝑎𝑎𝑛𝑛
2 − 𝑏𝑏𝑛𝑛
2
= �𝑎𝑎𝑛𝑛
2 − �
𝑎𝑎 𝑛𝑛
2
�
2
= �
3𝑎𝑎 𝑛𝑛
2
4
จะได้ว่า 𝑐𝑐𝑛𝑛 =
√3
2
𝑎𝑎𝑛𝑛 𝑎𝑎𝑛𝑛+1 =
√3
2
𝑎𝑎𝑛𝑛
จะได้ว่า 𝑎𝑎2 =
√3
2
𝑎𝑎1
𝑎𝑎3 =
√3
2
𝑎𝑎2 = �
√3
2
�
2
𝑎𝑎1
𝑎𝑎4 =
√3
2
𝑎𝑎3 = �
√3
2
�
3
𝑎𝑎1
เพราะฉะนั้น 𝑎𝑎𝑛𝑛 = 2 �
√3
2
�
𝑛𝑛−1
จะได้ว่า ∑ 𝑎𝑎𝑛𝑛
∞
𝑛𝑛=1 = 2 �1 + �
√3
2
� + �
√3
2
�
2
+ �
√3
2
�
3
+ ⋯ �
= 2 ×
1
1−
√3
2
=
4
2−√3
= 4�2 + √3�
เพราะฉะนั้น ∑ 𝑎𝑎𝑛𝑛
∞
𝑛𝑛=1 = 8 + 4√3 ตอบ
เฉลยข้อสอบ : กสพท. คณิตศาสตร์ 2555 Page 25
วิธีทํา เนื่องจากข้อ 1, 2, 4 จุด 𝑥𝑥 = 0 ไม่ได้เป็นช่วงรอยต่อของฟังก์ชันค่าสัมบูรณ์ จึงสามารถหาดิฟได้
พิจารณาข้อ 5
จะได้ว่า 𝑓𝑓(𝑥𝑥) = � 𝑥𝑥2 เมื่อ 𝑥𝑥 > 0
−𝑥𝑥2
เมื่อ 𝑥𝑥 < 0
ดังนั้น 𝑓𝑓′ (𝑥𝑥) = � 2𝑥𝑥 เมื่อ 𝑥𝑥 > 0
−2𝑥𝑥 เมื่อ 𝑥𝑥 < 0
พิจารณารอยต่อที่ 𝑥𝑥 = 0
จะได้ว่า 𝑓𝑓′ (0) = � 0 เมื่อ 𝑥𝑥 > 0
0 เมื่อ 𝑥𝑥 < 0
เนื่องจาก 𝑓𝑓′ (0) = 0 ทั้งสองกรณี
ดังนั้น 𝑓𝑓(𝑥𝑥) = 𝑥𝑥|𝑥𝑥| จึงมีอนุพันธ์ที่ 𝑥𝑥 = 0
เฉลยข้อสอบ : กสพท. คณิตศาสตร์ 2555 Page 26
ข้อ 28 (ต่อ) :
พิจารณาข้อ 3
จะได้ว่า 𝑓𝑓(𝑥𝑥) = � 𝑥𝑥2 + 𝑥𝑥 เมื่อ 𝑥𝑥 > 0
−𝑥𝑥2 − 𝑥𝑥 เมื่อ 𝑥𝑥 < 0
ดังนั้น 𝑓𝑓′ (𝑥𝑥) = � 2𝑥𝑥 + 1 เมื่อ 𝑥𝑥 > 0
−2𝑥𝑥 − 1 เมื่อ 𝑥𝑥 < 0
พิจารณารอยต่อที่ 𝑥𝑥 = 0
จะได้ว่า 𝑓𝑓′ (0) = � 1 เมื่อ 𝑥𝑥 > 0
−1 เมื่อ 𝑥𝑥 < 0
เนื่องจาก 𝑓𝑓′ (0) ทั้งสองกรณีไม่เท่ากัน
ดังนั้น 𝑓𝑓(𝑥𝑥) = |𝑥𝑥|(𝑥𝑥 + 1) ไม่มีอนุพันธ์ที่ 𝑥𝑥 = 0
เนื่องจากข้อนี้ถามข้อที่ผิดจึงตอบข้อ 3
เฉลยข้อสอบ : กสพท. คณิตศาสตร์ 2555 Page 27
วิธีทํา จะหามัธยฐานของข้อมูล
จะได้ว่า มัธยฐานของข้อมูลชุดนี้ จะอยู่ตรงตําแหน่งที่ 46 เมื่อเรียงจากน้อยไปมาก
แต่ว่า 𝑎𝑎1 , 𝑎𝑎2 , 𝑎𝑎3 , … , 𝑎𝑎91 ไม่ได้เรียงจากน้อยไปมากมัธยฐานจึงไม่ใช่ 𝑎𝑎46
จากสูตรที่โจทย์ให้ 𝑎𝑎1 , 𝑎𝑎3 , 𝑎𝑎5 ,… คือ 7 , 15 , 23 , …
และ 𝑎𝑎2 , 𝑎𝑎4 , 𝑎𝑎6 , … คือ 2 , 4 , 6 , 8 , 10 , …
จะเห็นรูปแบบการเรียงตัวเลข ดังนี้
2 , 4 , 6 , 8 , 10 , 12 , 14 , 16 , 18 , 20 , 22 , 24 , 26 , …
7 15 23
ดังนั้น ข้อมูลตําแหน่งที่ 46 จะต้องอยู่ตัวแรกของกล่องที่ 10
จะเห็นว่า ลําดับของตัวแรกของกล่องที่ 𝑛𝑛 คือ 8𝑛𝑛 − 6
เพราะฉะนั้น ลําดับของตัวแรกของกล่องที่10 คือ 74
เพราะฉะนั้น มัธยฐานของข้อมูลชุดนี้ เท่ากับ74 ตอบ
เฉลยข้อสอบ : กสพท. คณิตศาสตร์ 2555 Page 28
วิธีทํา จากโจทย์จะได้ว่า จํานวนวิธีการสร้างเมตริกซ์ทั้งหมด = 34 = 81 วิธี
เมตริกซ์จะมีอินเวอร์สการคูณ ก็ต่อเมื่อ 𝑎𝑎𝑎𝑎 − 𝑏𝑏𝑏𝑏 ≠ 0
แสดงว่า เมตริกซ์จะไม่มีอินเวอร์สการคูณ ก็ต่อเมื่อ 𝑎𝑎𝑎𝑎 = 𝑏𝑏𝑏𝑏
จะหาจํานวนเมตริกซ์ที่ไม่มีอินเวอร์สการคูณ
กรณีที่ 1 : 𝑎𝑎𝑎𝑎 = 𝑏𝑏𝑏𝑏 = 1
จะเกิดขึ้นได้ก็ต่อเมื่อ แต่ละคู่เป็น1,1 หรือ −1, −1 เกิดได้ 2 × 2 = 4 วิธี
กรณีที่ 2 : 𝑎𝑎𝑎𝑎 = 𝑏𝑏𝑏𝑏 = −1
จะเกิดขึ้นได้ก็ต่อเมื่อ แต่ละคู่เป็น−1,1 หรือ 1, −1 เกิดได้ 2 × 2 = 4 วิธี
กรณีที่ 3 : 𝑎𝑎𝑎𝑎 = 𝑏𝑏𝑏𝑏 = 0
จะเกิดขึ้นได้ก็ต่อเมื่อ แต่ละคู่เป็น−1,0 หรือ 1,0 หรือ 0, −1 หรือ 0,1 หรือ 0,0
∴ เกิดได้5 × 5 = 25 วิธี
เพราะฉะนั้น จํานวนเมตริกซ์ที่มีอินเวอร์สการคูณ = 34
− (4 + 4 + 25)
= 81 − 33 = 48 ตัว
∴ หากสุ่มเมตริกซ์ในเซต 𝑀𝑀 มา ความน่าจะเป็นที่ได้เมตริกซ์ที่มีอินเวอร์สการคูณ เท่ากับ
48
81 ตอบ
เฉลยข้อสอบ : กสพท. คณิตศาสตร์ 2555 Page 29
เฉลยไม่ละเอียด
ข้อสอบ กสพท. คณิตศาสตร์ 2555
1. 6 16. ตอบข้อ 3
2. 675 17. ตอบข้อ 5
3. 9 18. ตอบข้อ 2
4. 3 19. ตอบข้อ 3
5. 2 20. ตอบข้อ 3
6. 2 21. ตอบข้อ 2
7. 3360 22. ตอบข้อ 1
8. 98 23. ตอบข้อ 4
9. 3 24. ตอบข้อ 1
10. 8 25. ตอบข้อ 4
11. ตอบข้อ 1 26. ตอบข้อ 5
12. ตอบข้อ 5 27. ตอบข้อ 2
13. ตอบข้อ 1 28. ตอบข้อ 3
14. ตอบข้อ 2 29. ตอบข้อ 4
15. ตอบข้อ 3 30. ตอบข้อ 4
ขอขอบคุณภาพประกอบเฉลยจากhttps://www.opendurian.com/exercises/7ord_math_55/18/
https://www.opendurian.com/exercises/7ord_math_55/22/
เฉลยข้อสอบ : กสพท. คณิตศาสตร์ 2555 Page 30

เฉลย กสพท. คณิตศาสตร์ 2555

  • 1.
    เฉลยละเอียด ข้อสอบ กสพท. คณิตศาสตร์2555 วิธีทํา จากโจทย์ |3 − 2𝑥𝑥| − |3𝑥𝑥 − 7| ≥ 0 จะได้ว่า |3 − 2𝑥𝑥| ≥ |3𝑥𝑥 − 7| เนื่องจากเป็นบวกทั้ง 2 ข้าง จึงสามารถยกกําลังสองทั้ง 2 ข้างได้ จะได้ว่า (3 − 2𝑥𝑥)2 ≥ (3𝑥𝑥 − 7)2 (3 − 2𝑥𝑥)2 − (3𝑥𝑥 − 7)2 ≥ 0 (𝑥𝑥 − 4)(10 − 5𝑥𝑥) ≥ 0 5(𝑥𝑥 − 4)(𝑥𝑥 − 2) ≤ 0 จะได้ว่า เซตคําตอบของสมการ คือ [2,4] ตอบ ส่วนคําถามนั้น ไม่มีสาระสําคัญอะไร วิธีทํา จะแยกตัวประกอบของ720 และ 10800 จะได้ว่า 720 = 24 × 32 × 5 10800 = 24 × 33 × 52 จากหลักการหา ค.ร.น. แบบแยกตัวประกอบ จะได้ว่า 𝑛𝑛min = 33 × 52 = 675 ตอบ เฉลยข้อสอบ : กสพท. คณิตศาสตร์ 2555 Page 1
  • 2.
    วิธีทํา ให้θ =arctan √2 จะได้ว่า cos 2𝜃𝜃 = 1−tan 2 θ 1+tan 2 θ = 1−2 1+2 = − 1 3 เพราะฉะนั้น sec2 �2 arctan √2� = 1 cos 2 2𝜃𝜃 = 9 ตอบ วิธีทํา ลองคิดเป็นระนาบ2 มิติดูก่อน จากรูป จะได้ว่า 𝑂𝑂𝑂𝑂 = 𝑂𝑂𝑂𝑂 cos 𝜃𝜃 A แสดงว่า เราต้องหามุมระหว่างเวกเตอร์ก่อน จึงจะสามารถหา 𝑂𝑂𝑂𝑂 ได้ B C O จากโจทย์จะได้ว่า 𝑂𝑂𝑂𝑂�����⃑ = � 1 −4 −3 � และ 𝑂𝑂𝑂𝑂�����⃑ = � 3 −6 2 � ดังนั้น 𝑂𝑂𝑂𝑂�����⃑ ∙ 𝑂𝑂𝑂𝑂�����⃑ = �𝑂𝑂𝑂𝑂�����⃑��𝑂𝑂𝑂𝑂�����⃑� cos 𝜃𝜃 3 + 24 − 6 = 7√26 cos 𝜃𝜃 จะได้ว่า cos 𝜃𝜃 = 3 √26 เพราะฉะนั้น 𝑂𝑂𝑂𝑂 = 𝑂𝑂𝑂𝑂 cos 𝜃𝜃 = 3 ตอบ θ เฉลยข้อสอบ : กสพท. คณิตศาสตร์ 2555 Page 2
  • 3.
    วิธีทํา จากโจทย์ 3𝑥𝑥 +32−𝑥𝑥 = 4√3 จะได้ว่า 3𝑥𝑥 + 9 3𝑥𝑥 = 4√3 มองให้ 𝐴𝐴 = 3𝑥𝑥 จะได้ว่า 𝐴𝐴2 − 4√3𝐴𝐴 + 9 = 0 แสดงว่า 𝐴𝐴 = 4√3±√48−36 2 𝐴𝐴 = 4√3±2√3 2 จะได้ว่า 3𝑥𝑥 = 3√3 หรือ 3𝑥𝑥 = √3 เพราะฉะนั้น 𝑥𝑥 = 1 2 , 3 2 ตอบ ส่วนคําถามนั้น ไม่มีสาระสําคัญอะไร วิธีทํา จากโจทย์จะได้ว่า 𝑥𝑥 + 27log 3 2 = 10 𝑥𝑥 + �3log 3 2 � 3 = 10 𝑥𝑥 + 23 = 10 เพราะฉะนั้น 𝑥𝑥 = 2 ตอบ เฉลยข้อสอบ : กสพท. คณิตศาสตร์ 2555 Page 3
  • 4.
    วิธีทํา จากสูตรการกระจายทวินาม 𝑇𝑇𝑟𝑟+1= �𝑛𝑛 𝑟𝑟 �น𝑛𝑛−𝑟𝑟ล𝑟𝑟 พจน์ที่ทําให้เกิดค่าคงตัว คือพจน์ที่ทําให้ น𝑛𝑛−𝑟𝑟ล𝑟𝑟 คูณกัน แล้วตัวแปรตัดกันหมด จะได้ว่าสําหรับพหุนามนี้ 𝑇𝑇𝑟𝑟+1 = �10 𝑟𝑟 �(𝑥𝑥2)10−𝑟𝑟 � 2 𝑥𝑥3� 𝑟𝑟 จะหาได้พจน์ค่าคงที่ ก็ต่อเมื่อ 3𝑟𝑟 = 2(10 − 𝑟𝑟) 𝑟𝑟 = 4 ลองแทน 𝑟𝑟 = 4 จะได้ว่า 𝑇𝑇5 = �10 4 �24 = 10×9×8×7 4×3×2×1 × 16 เพราะฉะนั้น พจน์ค่าคงตัว มีค่าเท่ากับ 3360 ตอบ เฉลยข้อสอบ : กสพท. คณิตศาสตร์ 2555 Page 4
  • 5.
    วิธีทํา จากโจทย์จะได้ว่า 𝑥𝑥1+𝑥𝑥2+𝑥𝑥3+𝑥𝑥4 4 = 86𝑥𝑥1 + 𝑥𝑥2 + 𝑥𝑥3 + 𝑥𝑥4 = 344 เขาต้องการให้คะแนนเฉลี่ยเท่ากับ 90 คะแนน โดยครั้งสุดท้ายให้นํ้าหนักสองเท่าของครั้งอื่น ดังนั้น 𝑥𝑥̅ = 𝑥𝑥1+𝑥𝑥2+𝑥𝑥3+𝑥𝑥4+2𝑥𝑥5 6 90 = 344+2𝑥𝑥5 6 𝑥𝑥5 = 98 เพราะฉะนั้น ครั้งสุดท้ายของทําคะแนนให้ได้98 คะแนน ตอบ เฉลยข้อสอบ : กสพท. คณิตศาสตร์ 2555 Page 5
  • 6.
    วิธีทํา จากโจทย์จะได้ความชันของ 𝐿𝐿1เท่ากับ 4 3 และเส้นโค้ง จะมีความชันขณะ 𝑥𝑥 เท่ากับ 2𝑥𝑥 − 8 3 เนื่องจาก 𝐿𝐿2 ขนานกับ 𝐿𝐿1 ดังนั้น 2𝑥𝑥 − 8 3 = 4 3 𝑥𝑥 = 2 แสดงว่า ขณะที่เส้นโค้ง มีค่า 𝑥𝑥 = 2 จะทําให้ 𝐿𝐿2 ขนานกับ 𝐿𝐿1 เนื่องจาก 𝐿𝐿2 ผ่านจุด (2,1) จะได้ว่า ระยะห่างระหว่าง 𝐿𝐿1 และ 𝐿𝐿2 เท่ากับ ระยะจากจุด (2,1) ไปยัง 𝐿𝐿1 ดังนั้น ระยะจากจุด (2,1) ไปยัง 𝐿𝐿1 = 4(2)−3(1)+10 5 = 3 เพราะฉะนั้น ระยะห่างระหว่าง 𝐿𝐿1 และ 𝐿𝐿2 เท่ากับ 3 หน่วย ตอบ เฉลยข้อสอบ : กสพท. คณิตศาสตร์ 2555 Page 6
  • 7.
    วิธีทํา เนื่องจากช่วงของการอินทิเกรต ทําให้ในแอ๊บมีค่าเป็นลบเสมอ ดังนั้น∫ 6𝑥𝑥|𝑥𝑥 − 2|𝑑𝑑𝑑𝑑 2 0 = ∫ −6𝑥𝑥(𝑥𝑥 − 2)𝑑𝑑𝑑𝑑 2 0 = −6 ∫ 𝑥𝑥(𝑥𝑥 − 2) 𝑑𝑑𝑑𝑑 2 0 = −6 ∫ (𝑥𝑥2 − 2𝑥𝑥) 𝑑𝑑𝑑𝑑 2 0 = −6 × � 𝑥𝑥3 3 − 𝑥𝑥2�� 𝑥𝑥=0 𝑥𝑥=2 = −6 × � 8 3 − 4� = −6 × − 4 3 เพราะฉะนั้น ∫ 6𝑥𝑥|𝑥𝑥 − 2|𝑑𝑑𝑑𝑑 2 0 = 8 ตอบ เฉลยข้อสอบ : กสพท. คณิตศาสตร์ 2555 Page 7
  • 8.
    วิธีทํา จากโจทย์ 𝑥𝑥− 4 หาร 𝑃𝑃(𝑥𝑥) ลงตัว ดังนั้น 𝑃𝑃(4) = 0 จากโจทย์ 𝑥𝑥 − 1 , 𝑥𝑥 − 2 และ 𝑥𝑥 − 3 ต่างก็หาร 𝑃𝑃(𝑥𝑥) แล้วเหลือเศษ 1 แสดงว่า 𝑃𝑃(𝑥𝑥) − 1 ก็ต้องหาร 𝑥𝑥 − 1 , 𝑥𝑥 − 2 และ 𝑥𝑥 − 3 ลงตัว ดังนั้น 𝑃𝑃(𝑥𝑥) − 1 = 𝐴𝐴(𝑥𝑥 − 1)(𝑥𝑥 − 2)(𝑥𝑥 − 3) แทนค่า 𝑥𝑥 = 4 จะได้ว่า 𝑃𝑃(4) − 1 = 𝐴𝐴(3)(2)(1) ดังนั้น 𝐴𝐴 = − 1 6 จะได้ว่า 𝑃𝑃(𝑥𝑥) = − 1 6 (𝑥𝑥 − 1)(𝑥𝑥 − 2)(𝑥𝑥 − 3) + 1 เพราะฉะนั้น 𝑃𝑃(5) = −3 ตอบ เฉลยข้อสอบ : กสพท. คณิตศาสตร์ 2555 Page 8
  • 9.
    วิธีทํา เนื่องจาก �𝑧𝑧+ √3 2 � 2 = − 1 4 จะได้ว่า 𝑧𝑧 + √3 2 = 1 2 𝑖𝑖 เพราะฉะนั้น 𝑧𝑧 = − √3 2 + 1 2 𝑖𝑖 ทําอยู่ในรูปจํานวนเชิงขั้ว จะได้ว่า 𝑧𝑧 = cos 150° + 𝑖𝑖 sin 150° เพราะฉะนั้น 𝑧𝑧8 = cos(8 × 150°) + 𝑖𝑖 sin(8 × 150°) = cos(1200°) + 𝑖𝑖 sin(1200°) = cos(7𝜋𝜋 − 60°) + 𝑖𝑖 sin(7𝜋𝜋 − 60°) = − cos 60° + 𝑖𝑖 sin 60° เพราะฉะนั้น 𝑧𝑧8 = − 1 2 + √3 2 𝑖𝑖 ตอบ เฉลยข้อสอบ : กสพท. คณิตศาสตร์ 2555 Page 9
  • 10.
    วิธีทํา จากโจทย์ 𝑎𝑎𝑎𝑎− 25𝑎𝑎 − 25𝑏𝑏 = 1575 𝑎𝑎𝑎𝑎 − 25𝑎𝑎 − 25𝑏𝑏 + 625 = 2200 𝑎𝑎(𝑏𝑏 − 25) − 25(𝑏𝑏 − 25) = 2200 (𝑎𝑎 − 25)(𝑏𝑏 − 25) = 2200 เนื่องจาก ห.ร.ม.(𝑎𝑎, 𝑏𝑏) = 5 จึงสมมติให้ 𝑎𝑎 = 5𝑘𝑘 , 𝑏𝑏 = 5𝑚𝑚 เมื่อ ห.ร.ม.(𝑘𝑘, 𝑚𝑚) = 1 จะได้ว่า (5𝑘𝑘 − 25)(5𝑚𝑚 − 25) = 2200 (𝑘𝑘 − 5)( 𝑚𝑚 − 5) = 88 1 88 2 44 4 22 8 11 ดังนั้น (𝑘𝑘, 𝑚𝑚) = (6,93) , (7,49) , (9,27) , (13,16) ซึ่งมีแค่กรณีเดียวที่ทําให้ห.ร.ม.(𝑘𝑘, 𝑚𝑚) = 1 จะได้ว่า 𝑘𝑘 = 13 และ 𝑚𝑚 = 16 ดังนั้น 𝑎𝑎 = 65 และ 𝑏𝑏 = 80 เพราะฉะนั้น |𝑎𝑎 − 𝑏𝑏| = 15 ตอบ เฉลยข้อสอบ : กสพท. คณิตศาสตร์ 2555 Page 10
  • 11.
    วิธีทํา เนื่องจากพื้นที่สี่เหลี่ยมด้านขนานที่ประกอบจาก 𝑢𝑢�⃑และ 𝑣𝑣⃑ เท่ากับ | 𝑢𝑢�⃑ × 𝑣𝑣⃑| จะได้ว่า |𝑢𝑢�⃑ × 𝑣𝑣⃑| = 3 |𝑢𝑢�⃑||𝑣𝑣⃑| sin 𝜃𝜃 = 3 1 × 5 sin 𝜃𝜃 = 3 ดังนั้น sin 𝜃𝜃 = 3 5 เนื่องจากโจทย์บอกว่า 𝜃𝜃 เป็นมุมป้าน จะได้ว่า cos 𝜃𝜃 = − 4 5 โจทย์ถามหา (2𝑢𝑢�⃑ + 𝑣𝑣⃑) ∙ (𝑢𝑢�⃑ − 𝑣𝑣⃑) จะได้ว่า โจทย์ = 2| 𝑢𝑢�⃑|2 − 𝑢𝑢�⃑ ∙ 𝑣𝑣⃑ − |𝑣𝑣⃑|2 = 2(1)2 − |𝑢𝑢�⃑||𝑣𝑣⃑| cos 𝜃𝜃 − (5)2 = 2 − (1)(5) �− 4 5 � − 25 เพราะฉะนั้น (2𝑢𝑢�⃑ + 𝑣𝑣⃑) ∙ (𝑢𝑢�⃑ − 𝑣𝑣⃑) = −19 ตอบ เฉลยข้อสอบ : กสพท. คณิตศาสตร์ 2555 Page 11
  • 12.
    วิธีทํา จัดสมการไฮเพอร์โบลาก่อน จะได้ว่า 9𝑥𝑥2 −72𝑥𝑥 − 16𝑦𝑦2 − 32𝑦𝑦 = 16 9(𝑥𝑥2 − 8𝑥𝑥 + 16) − 16(𝑦𝑦2 + 2𝑦𝑦 + 1) = 16 + 144 − 16 9(𝑥𝑥 − 4)2 − 16(𝑦𝑦 + 1)2 = 144 ดังนั้น สมการไฮเพอร์โบลาในรูปมาตรฐาน คือ (𝑥𝑥−4)2 16 − (𝑦𝑦+1)2 9 = 1 จะได้ว่า 𝐻𝐻 เป็นไฮเพอร์โบลานอน และ 𝑐𝑐 = √𝑎𝑎2 + 𝑏𝑏2 = √16 + 9 = 5 เพราะฉะนั้น จุดโฟกัสของ 𝐻𝐻 คือ (−1 , −1) และ (9, −1) F1 F2 จากรูป จะได้ว่า วงรี 𝐸𝐸 มีความยาวแกนเอกเท่ากับ10 หน่วย 𝑎𝑎 = 5 และจากโจทย์บอกว่า 𝐸𝐸 มีความเยื้องศูนย์กลางเท่ากับ 1 √5 = 𝑐𝑐 𝑎𝑎 𝑐𝑐 = √5 จะได้ว่า 𝑏𝑏 = √𝑎𝑎2 − 𝑐𝑐2 = √20 จะได้ว่า สมการ 𝐸𝐸 คือ (𝑥𝑥−4)2 25 + (𝑦𝑦+1)2 20 = 1 ตอบ เฉลยข้อสอบ : กสพท. คณิตศาสตร์ 2555 Page 12
  • 13.
    วิธีทํา จากโจทย์จะได้ว่า cos𝐴𝐴 − √2 cos 𝐵𝐵 = 0 จะได้ว่า cos 𝐴𝐴 = √2 cos 𝐵𝐵 ------------------------- (๑) จากโจทย์บอกว่า cos 2𝐴𝐴 + 3 cos 2𝐵𝐵 = −2 2 cos2 𝐴𝐴 − 1 + 3(2 cos2 𝐵𝐵 − 1) = −2 ดังนั้น 2 cos2 𝐴𝐴 + 6 cos2 𝐵𝐵 = 2 ------------------------- (๒) (๑) แทนใน (๒) จะได้ว่า 10 cos2 𝐵𝐵 = 2 เพราะฉะนั้น cos 𝐵𝐵 = 1 √5 sin 𝐵𝐵 = 2 √5 จะได้ว่า cos 𝐴𝐴 = √2 √5 sin 𝐴𝐴 = √3 √5 ดังนั้น cos 𝐶𝐶 = cos�𝜋𝜋 − ( 𝐴𝐴 + 𝐵𝐵)� = − cos( 𝐴𝐴 + 𝐵𝐵) = − cos 𝐴𝐴 cos 𝐵𝐵 + sin 𝐴𝐴 sin 𝐵𝐵 = − � √2 √5 �� 1 √5 � + � √3 √5 � � 2 √5 � เพราะฉะนั้น cos 𝐶𝐶 = 2√3−√2 5 ตอบ เฉลยข้อสอบ : กสพท. คณิตศาสตร์ 2555 Page 13
  • 14.
    วิธีทํา จากกฎของเครเมอร์ จะได้ว่า 𝑥𝑥= � 𝑎𝑎 1 2 𝑏𝑏 1 −1 𝑐𝑐 2 −2 � � 2 1 2 1 1 −1 3 2 −2 � = � 𝑎𝑎 𝑏𝑏 𝑐𝑐 1 1 2 2 −1 −2 � −4−3+4−6+4+2 = −� 2 −1 −2 1 1 2 𝑎𝑎 𝑏𝑏 𝑐𝑐 � −3 = 1 2 � 2 −1 −2 2 2 4 𝑎𝑎 𝑏𝑏 𝑐𝑐 � 3 จะได้ว่า 𝑥𝑥 = 24 6 = 4 ตอบ เฉลยข้อสอบ : กสพท. คณิตศาสตร์ 2555 Page 14
  • 15.
    วิธีทํา สมมติให้ 𝐴𝐴= � 𝑎𝑎 𝑏𝑏 𝑐𝑐 𝑑𝑑 𝑒𝑒 𝑓𝑓 𝑔𝑔 ℎ 𝑖𝑖 � จะได้ว่า � 𝑎𝑎 𝑏𝑏 𝑐𝑐 𝑑𝑑 𝑒𝑒 𝑓𝑓 𝑔𝑔 ℎ 𝑖𝑖 � � 1 0 5 � = � 1 0 0 � � 𝑎𝑎 𝑏𝑏 𝑐𝑐 𝑑𝑑 𝑒𝑒 𝑓𝑓 𝑔𝑔 ℎ 𝑖𝑖 � � 1 2 5 � = � 0 1 0 � � 𝑎𝑎 𝑏𝑏 𝑐𝑐 𝑑𝑑 𝑒𝑒 𝑓𝑓 𝑔𝑔 ℎ 𝑖𝑖 � � 1 3 1 � = � 0 0 1 � พิจารณาการคูณของเมตริกซ์ จะสามารถเขียนได้ว่า � 𝑎𝑎 𝑏𝑏 𝑐𝑐 𝑑𝑑 𝑒𝑒 𝑓𝑓 𝑔𝑔 ℎ 𝑖𝑖 � � 1 1 1 0 2 3 5 5 1 � = � 1 0 0 0 1 0 0 0 1 � --------------- (*) เฉลยข้อสอบ : กสพท. คณิตศาสตร์ 2555 Page 15
  • 16.
    ข้อ 18 (ต่อ): ซึ่งสามารถเขียนได้เนื่องจาก take det ทั้งสองข้างของสมการ (*) จะได้ว่า det 𝐴𝐴 × � 1 1 1 0 2 3 5 5 1 � = 1 det 𝐴𝐴 × −8 = 1 เพราะฉะนั้น det 𝐴𝐴 = − 1 8 ตอบ เฉลยข้อสอบ : กสพท. คณิตศาสตร์ 2555 Page 16
  • 17.
    วิธีทํา จะหา 𝑆𝑆1 จะได้ว่าlog2−1(𝑥𝑥 + 1) + 2 log2−2(𝑥𝑥 + 2) − log2−1(9𝑥𝑥 − 3) ≤ 0 − log2(𝑥𝑥 + 1) − log2(𝑥𝑥 + 2) + log2(9𝑥𝑥 − 3) ≤ 0 log2 9𝑥𝑥−3 (𝑥𝑥+1)(𝑥𝑥+2) ≤ 0 9𝑥𝑥−3 (𝑥𝑥+1)(𝑥𝑥+2) ≤ 1 เนื่องจาก หลัง log > 0 ดังนั้น (𝑥𝑥 + 1)(𝑥𝑥 + 2) จึงเป็นบวกเสมอ เพราะฉะนั้น จึงสามารถคูณไขว้ได้เลยโดยไม่ต้องกลับเครื่องหมาย ดังนั้น 9𝑥𝑥 − 3 ≤ (𝑥𝑥 + 1)(𝑥𝑥 + 2) 9𝑥𝑥 − 3 ≤ 𝑥𝑥2 + 3𝑥𝑥 + 2 𝑥𝑥2 − 6𝑥𝑥 + 5 ≥ 0 (𝑥𝑥 − 5)(𝑥𝑥 − 1) ≥ 0 จะได้ว่า 𝑥𝑥 ∈ (−∞, 1] ∪ [5, ∞) แต่ว่าจากโจทย์หลัง log > 0 𝑥𝑥 > 1 3 แสดงว่า 𝑆𝑆1 = �− 1 3 , 1� ∪ [5, ∞) ∴ 𝑛𝑛(𝑆𝑆1 ∩ 𝑆𝑆2) = 7 ตอบ เฉลยข้อสอบ : กสพท. คณิตศาสตร์ 2555 Page 17
  • 18.
    วิธีทํา โดยปกติ เราจะเริ่มการทํางานจากขั้นที่จู้จี้จุกจิกที่สุดก่อน ขั้นที่๑ : เลือกคนที่นั่งเก้าอี้หมายเลข7 ซึ่งนั่งได้แค่เด็ก 6,7 ขวบเท่านั้น ได้2 วิธี ขั้นที่ ๒ : เลือกคนที่นั่งเก้าอี้หมายเลข 6 ซึ่งนั่งได้แค่เด็ก 5,6,7 ขวบเท่านั้น แต่ว่าเด็ก 6 ขวบ หรือ 7 ขวบ ถูกใช้ในขั้นที่ ๑ ไปแล้ว จึงเหลือ 2 วิธี ขั้นที่ ๓ : เลือกคนที่นั่งเก้าอี้หมายเลข5 ซึ่งนั่งได้แค่เด็ก 4,5,6,7 ขวบเท่านั้น แต่ว่ามีเด็ก 2 คน ถูกใช้ในขั้นที่ ๑,๒ ไปแล้ว จึงเหลือ 2 วิธี ขั้นที่ ๔ : เลือกคนที่นั่งเก้าอี้หมายเลข4 ซึ่งนั่งได้แค่เด็ก 3,4,5,6,7 ขวบเท่านั้น แต่ว่ามีเด็ก 3 คน ถูกใช้ในขั้นที่ ๑,๒,๓ ไปแล้ว จึงเหลือ 2 วิธี ขั้นที่ ๕ : เลือกคนที่นั่งเก้าอี้หมายเลข3 ซึ่งนั่งได้แค่เด็ก 2,3,4,5,6,7 ขวบเท่านั้น แต่ว่ามีเด็ก 4 คน ถูกใช้ในขั้นที่ ๑,๒,๓,๔ ไปแล้ว จึงเหลือ 2 วิธี ขั้นที่ ๖ : เลือกคนที่นั่งเก้าอี้หมายเลข2 ซึ่งเด็กทุกคนนั่งได้ แต่ว่ามีเด็ก 5 คน ถูกใช้ในขั้นที่ ๑,๒,๓,๔,๕ ไปแล้ว จึงเหลือ 2 วิธี ขั้นที่ ๗ : เลือกคนที่นั่งเก้าอี้หมายเลข 1 ซึ่งเด็กทุกคนนั่งได้ แต่ว่ามีเด็ก 6 คน ถูกใช้ในขั้นที่ ๑,๒,๓,๔,๕,๖ ไปแล้ว จึงเหลือ 1 วิธี เพราะฉะนั้น จึงสามารถจัดที่นั่งได้ทั้งหมด 2 × 2 × 2 × 2 × 2 × 2 × 1 วิธี ซึ่งก็คือ จัดได้ทั้งหมด 64 วิธี ตอบ เฉลยข้อสอบ : กสพท. คณิตศาสตร์ 2555 Page 18
  • 19.
    วิธีทํา จากสมบัติของค่ากลางและค่าการกระจาย 1) การเพิ่มคะแนนทําให้ค่ากลางของข้อมูลเพิ่มขึ้นเท่ากับค่าที่บวกเข้าไป เพราะฉะนั้น ค่าเฉลี่ยเลขคณิตและมัธยฐาน จึงมีค่าเพิ่มขึ้น 2) ค่าการกระจายสัมบูรณ์จะคงที่อยู่ถึงแม้จะเพิ่มหรือลดข้อมูลไป เพราะฉะนั้น M.D. และ S.D. จะคงที่ จากสูตร สัมประสิทธิ์ของพิสัย = 𝑚𝑚𝑚𝑚𝑚𝑚 −𝑚𝑚𝑚𝑚𝑚𝑚 𝑚𝑚𝑚𝑚𝑚𝑚 +𝑚𝑚𝑚𝑚𝑚𝑚 จะได้ว่า สปส. พิสัยใหม่ = ( 𝑚𝑚𝑚𝑚𝑚𝑚 +3)−( 𝑚𝑚𝑚𝑚𝑚𝑚 +3) ( 𝑚𝑚𝑚𝑚𝑚𝑚 +3)+( 𝑚𝑚𝑚𝑚𝑚𝑚 +3) = 𝑚𝑚𝑚𝑚𝑚𝑚 −𝑚𝑚𝑚𝑚𝑚𝑚 𝑚𝑚𝑚𝑚𝑚𝑚 +𝑚𝑚𝑚𝑚𝑚𝑚 +6 < 𝑚𝑚𝑚𝑚𝑚𝑚 −𝑚𝑚𝑚𝑚𝑚𝑚 𝑚𝑚𝑚𝑚𝑚𝑚 +𝑚𝑚𝑚𝑚𝑚𝑚 เพราะฉะนั้น สปส. พิสัยใหม่ จะมีค่าลดลง เฉลยข้อสอบ : กสพท. คณิตศาสตร์ 2555 Page 19
  • 20.
    วิธีทํา ลองวาดเส้นโค้งปกติดู จะได้ว่า จะได้ว่า−0.44 = 117.8−𝑥𝑥̅ 𝑆𝑆.𝐷𝐷. ------- (๑) และ 1.34 = 126.7−𝑥𝑥̅ 𝑆𝑆.𝐷𝐷. -------- (๒) (๒)-(๑) ; 1.78 = 8.9 𝑆𝑆.𝐷𝐷. 𝑆𝑆. 𝐷𝐷. = 5 , 𝑥𝑥̅ = 120 จะหาคะแนนมาตรฐานของ125 เท่ากับ 125−120 5 = 1 จะได้พื้นที่เท่ากับ0.3413 อยู่ทางขวาเทียบกับตรงกลาง รวมกับครึ่งซ้ายของเส้นโค้งปกติ จะได้ว่า มีถุงอาหารที่มีนํ้าหนักน้อยกว่า125 กรัมอยู่84.13 %ตอบ เฉลยข้อสอบ : กสพท. คณิตศาสตร์ 2555 Page 20
  • 21.
    วิธีทํา จากโจทย์บอกว่า พาราโบลามีแกนสมมาตรขนานกับแกนY แสดงว่าเป็นพาราโบลาหงายหรือควํ่า สมมติให้พาราโบลามีสมการเป็น (𝑥𝑥 − 3)2 = 4𝑐𝑐(𝑦𝑦 − 9) แทนค่าจุดผ่าน (1,5) จะได้ว่า (1 − 3)2 = 4𝑐𝑐(5 − 9) แก้สมการ จะได้ว่า 𝑐𝑐 = − 1 4 จะได้ว่า พาราโบลาในโจทย์มีสมการ คือ (𝑥𝑥 − 3)2 = −(𝑦𝑦 − 9) 𝑥𝑥2 − 6𝑥𝑥 + 9 = 9 − 𝑦𝑦 เพราะฉะนั้น พาราโบลาในโจทย์มีสมการ คือ 𝑦𝑦 = 6𝑥𝑥 − 𝑥𝑥2 จะหาพื้นที่ปิดล้อมของกราฟกับแกน 𝑋𝑋 เนื่องจากกราฟนั้น ตัดแกน 𝑋𝑋 ที่ 𝑥𝑥 = 0,6 ดังนั้น พื้นที่ปิดล้อมกราฟกับแกน 𝑋𝑋 = �∫ (6𝑥𝑥 − 𝑥𝑥2)𝑑𝑑𝑑𝑑 6 0 � = � �3𝑥𝑥2 − 𝑥𝑥3 3 �� 𝑥𝑥=0 𝑥𝑥=6 � = |108 − 72| เพราะฉะนั้น พื้นที่ปิดล้อมของกราฟกับแกน 𝑋𝑋 เท่ากับ 36 ตารางหน่วย ตอบ เฉลยข้อสอบ : กสพท. คณิตศาสตร์ 2555 Page 21
  • 22.
    วิธีทํา ถ้า 𝑓𝑓ต่อเนื่องที่จุด 𝑥𝑥 = 1 เพราะฉะนั้น lim𝑥𝑥→1− 𝑓𝑓(𝑥𝑥) = 𝑓𝑓(1) 2(1) + 10 = (𝑐𝑐 + 1) × g(1) (𝑐𝑐 + 1)(4) = 12 𝑐𝑐 = 2 จะได้ว่า 𝑓𝑓(𝑥𝑥) = � (2𝑥𝑥2 + 1) 𝑔𝑔(𝑥𝑥) เมื่อ 𝑥𝑥 ≥ 1 2𝑥𝑥 + 10 เมื่อ 𝑥𝑥 < 1 จะหา 𝑓𝑓′(2) เนื่องจาก 𝑓𝑓(𝑥𝑥) = (2𝑥𝑥2 + 1) 𝑔𝑔(𝑥𝑥) เมื่อ 𝑥𝑥 ≥ 1 ดังนั้น 𝑓𝑓′ (𝑥𝑥) = (4𝑥𝑥) 𝑔𝑔(𝑥𝑥) + (2𝑥𝑥2 + 1) 𝑔𝑔′(𝑥𝑥) แทนค่า 𝑥𝑥 = 2 จะได้ว่า 𝑓𝑓′ (2) = (8) 𝑔𝑔(2) + (9) 𝑔𝑔′(2) = (8)(−1) + 9(0) เพราะฉะนั้น 𝑓𝑓′ (2) = −8 ตอบ เฉลยข้อสอบ : กสพท. คณิตศาสตร์ 2555 Page 22
  • 23.
    วิธีทํา จากโจทย์จะได้ว่า ∑ 𝑎𝑎𝑘𝑘 40 𝑘𝑘=1= (𝑎𝑎1 + 𝑎𝑎3 + ⋯ + 𝑎𝑎39) + (𝑎𝑎2 + 𝑎𝑎4 + ⋯ + 𝑎𝑎40) = (1 + 3 + 5 + ⋯ + 39) + (4 + 8 + 12 + ⋯ + 80) = 20 2 (1 + 39) + 4(1 + 2 + ⋯ + 20) = 400 + 4 × 20 2 (21) = 400 + 840 เพราะฉะนั้น ∑ 𝑎𝑎𝑘𝑘 40 𝑘𝑘=1 = 1240 ตอบ เฉลยข้อสอบ : กสพท. คณิตศาสตร์ 2555 Page 23
  • 24.
    วิธีทํา พิจารณา det(𝐴𝐴 − 𝑘𝑘𝑘𝑘) จะได้ว่า 𝐴𝐴 − 𝑘𝑘𝑘𝑘 = � 𝑎𝑎 1 − 𝑎𝑎 1 + 𝑎𝑎 −𝑎𝑎 � − 𝑘𝑘 � 1 0 0 1 � = � 𝑎𝑎 − 𝑘𝑘 1 − 𝑎𝑎 1 + 𝑎𝑎 −𝑎𝑎 − 𝑘𝑘 � ดังนั้น det( 𝐴𝐴 − 𝑘𝑘𝑘𝑘) = −(𝑎𝑎 − 𝑘𝑘)(𝑎𝑎 + 𝑘𝑘) − (1 + 𝑎𝑎)(1 − 𝑎𝑎) = −𝑎𝑎2 + 𝑘𝑘2 − 1 + 𝑎𝑎2 เพราะฉะนั้น det( 𝐴𝐴 − 𝑘𝑘𝑘𝑘) = 𝑘𝑘2 − 1 จะได้ว่า โจทย์ = (2 − 1)(3 − 1)(5 − 1)(7 − 1) = 1 × 2 × 4 × 6 เพราะฉะนั้น โจทย์ = 48 ตอบ เฉลยข้อสอบ : กสพท. คณิตศาสตร์ 2555 Page 24
  • 25.
    วิธีทํา จากโจทย์เป็นการบอกว่า จุดยอดของวงรีรูปถัดไปจะเป็นจุดโฟกัสของวงรีรูปเดิม สามารถเขียนความสัมพันธ์ได้ว่า 𝑎𝑎𝑛𝑛+1 = 𝑐𝑐𝑛𝑛 และ 𝑐𝑐𝑛𝑛 = �𝑎𝑎𝑛𝑛 2 − 𝑏𝑏𝑛𝑛 2 = �𝑎𝑎𝑛𝑛 2 − � 𝑎𝑎 𝑛𝑛 2 � 2 = � 3𝑎𝑎 𝑛𝑛 2 4 จะได้ว่า 𝑐𝑐𝑛𝑛 = √3 2 𝑎𝑎𝑛𝑛 𝑎𝑎𝑛𝑛+1 = √3 2 𝑎𝑎𝑛𝑛 จะได้ว่า 𝑎𝑎2 = √3 2 𝑎𝑎1 𝑎𝑎3 = √3 2 𝑎𝑎2 = � √3 2 � 2 𝑎𝑎1 𝑎𝑎4 = √3 2 𝑎𝑎3 = � √3 2 � 3 𝑎𝑎1 เพราะฉะนั้น 𝑎𝑎𝑛𝑛 = 2 � √3 2 � 𝑛𝑛−1 จะได้ว่า ∑ 𝑎𝑎𝑛𝑛 ∞ 𝑛𝑛=1 = 2 �1 + � √3 2 � + � √3 2 � 2 + � √3 2 � 3 + ⋯ � = 2 × 1 1− √3 2 = 4 2−√3 = 4�2 + √3� เพราะฉะนั้น ∑ 𝑎𝑎𝑛𝑛 ∞ 𝑛𝑛=1 = 8 + 4√3 ตอบ เฉลยข้อสอบ : กสพท. คณิตศาสตร์ 2555 Page 25
  • 26.
    วิธีทํา เนื่องจากข้อ 1,2, 4 จุด 𝑥𝑥 = 0 ไม่ได้เป็นช่วงรอยต่อของฟังก์ชันค่าสัมบูรณ์ จึงสามารถหาดิฟได้ พิจารณาข้อ 5 จะได้ว่า 𝑓𝑓(𝑥𝑥) = � 𝑥𝑥2 เมื่อ 𝑥𝑥 > 0 −𝑥𝑥2 เมื่อ 𝑥𝑥 < 0 ดังนั้น 𝑓𝑓′ (𝑥𝑥) = � 2𝑥𝑥 เมื่อ 𝑥𝑥 > 0 −2𝑥𝑥 เมื่อ 𝑥𝑥 < 0 พิจารณารอยต่อที่ 𝑥𝑥 = 0 จะได้ว่า 𝑓𝑓′ (0) = � 0 เมื่อ 𝑥𝑥 > 0 0 เมื่อ 𝑥𝑥 < 0 เนื่องจาก 𝑓𝑓′ (0) = 0 ทั้งสองกรณี ดังนั้น 𝑓𝑓(𝑥𝑥) = 𝑥𝑥|𝑥𝑥| จึงมีอนุพันธ์ที่ 𝑥𝑥 = 0 เฉลยข้อสอบ : กสพท. คณิตศาสตร์ 2555 Page 26
  • 27.
    ข้อ 28 (ต่อ): พิจารณาข้อ 3 จะได้ว่า 𝑓𝑓(𝑥𝑥) = � 𝑥𝑥2 + 𝑥𝑥 เมื่อ 𝑥𝑥 > 0 −𝑥𝑥2 − 𝑥𝑥 เมื่อ 𝑥𝑥 < 0 ดังนั้น 𝑓𝑓′ (𝑥𝑥) = � 2𝑥𝑥 + 1 เมื่อ 𝑥𝑥 > 0 −2𝑥𝑥 − 1 เมื่อ 𝑥𝑥 < 0 พิจารณารอยต่อที่ 𝑥𝑥 = 0 จะได้ว่า 𝑓𝑓′ (0) = � 1 เมื่อ 𝑥𝑥 > 0 −1 เมื่อ 𝑥𝑥 < 0 เนื่องจาก 𝑓𝑓′ (0) ทั้งสองกรณีไม่เท่ากัน ดังนั้น 𝑓𝑓(𝑥𝑥) = |𝑥𝑥|(𝑥𝑥 + 1) ไม่มีอนุพันธ์ที่ 𝑥𝑥 = 0 เนื่องจากข้อนี้ถามข้อที่ผิดจึงตอบข้อ 3 เฉลยข้อสอบ : กสพท. คณิตศาสตร์ 2555 Page 27
  • 28.
    วิธีทํา จะหามัธยฐานของข้อมูล จะได้ว่า มัธยฐานของข้อมูลชุดนี้จะอยู่ตรงตําแหน่งที่ 46 เมื่อเรียงจากน้อยไปมาก แต่ว่า 𝑎𝑎1 , 𝑎𝑎2 , 𝑎𝑎3 , … , 𝑎𝑎91 ไม่ได้เรียงจากน้อยไปมากมัธยฐานจึงไม่ใช่ 𝑎𝑎46 จากสูตรที่โจทย์ให้ 𝑎𝑎1 , 𝑎𝑎3 , 𝑎𝑎5 ,… คือ 7 , 15 , 23 , … และ 𝑎𝑎2 , 𝑎𝑎4 , 𝑎𝑎6 , … คือ 2 , 4 , 6 , 8 , 10 , … จะเห็นรูปแบบการเรียงตัวเลข ดังนี้ 2 , 4 , 6 , 8 , 10 , 12 , 14 , 16 , 18 , 20 , 22 , 24 , 26 , … 7 15 23 ดังนั้น ข้อมูลตําแหน่งที่ 46 จะต้องอยู่ตัวแรกของกล่องที่ 10 จะเห็นว่า ลําดับของตัวแรกของกล่องที่ 𝑛𝑛 คือ 8𝑛𝑛 − 6 เพราะฉะนั้น ลําดับของตัวแรกของกล่องที่10 คือ 74 เพราะฉะนั้น มัธยฐานของข้อมูลชุดนี้ เท่ากับ74 ตอบ เฉลยข้อสอบ : กสพท. คณิตศาสตร์ 2555 Page 28
  • 29.
    วิธีทํา จากโจทย์จะได้ว่า จํานวนวิธีการสร้างเมตริกซ์ทั้งหมด= 34 = 81 วิธี เมตริกซ์จะมีอินเวอร์สการคูณ ก็ต่อเมื่อ 𝑎𝑎𝑎𝑎 − 𝑏𝑏𝑏𝑏 ≠ 0 แสดงว่า เมตริกซ์จะไม่มีอินเวอร์สการคูณ ก็ต่อเมื่อ 𝑎𝑎𝑎𝑎 = 𝑏𝑏𝑏𝑏 จะหาจํานวนเมตริกซ์ที่ไม่มีอินเวอร์สการคูณ กรณีที่ 1 : 𝑎𝑎𝑎𝑎 = 𝑏𝑏𝑏𝑏 = 1 จะเกิดขึ้นได้ก็ต่อเมื่อ แต่ละคู่เป็น1,1 หรือ −1, −1 เกิดได้ 2 × 2 = 4 วิธี กรณีที่ 2 : 𝑎𝑎𝑎𝑎 = 𝑏𝑏𝑏𝑏 = −1 จะเกิดขึ้นได้ก็ต่อเมื่อ แต่ละคู่เป็น−1,1 หรือ 1, −1 เกิดได้ 2 × 2 = 4 วิธี กรณีที่ 3 : 𝑎𝑎𝑎𝑎 = 𝑏𝑏𝑏𝑏 = 0 จะเกิดขึ้นได้ก็ต่อเมื่อ แต่ละคู่เป็น−1,0 หรือ 1,0 หรือ 0, −1 หรือ 0,1 หรือ 0,0 ∴ เกิดได้5 × 5 = 25 วิธี เพราะฉะนั้น จํานวนเมตริกซ์ที่มีอินเวอร์สการคูณ = 34 − (4 + 4 + 25) = 81 − 33 = 48 ตัว ∴ หากสุ่มเมตริกซ์ในเซต 𝑀𝑀 มา ความน่าจะเป็นที่ได้เมตริกซ์ที่มีอินเวอร์สการคูณ เท่ากับ 48 81 ตอบ เฉลยข้อสอบ : กสพท. คณิตศาสตร์ 2555 Page 29
  • 30.
    เฉลยไม่ละเอียด ข้อสอบ กสพท. คณิตศาสตร์2555 1. 6 16. ตอบข้อ 3 2. 675 17. ตอบข้อ 5 3. 9 18. ตอบข้อ 2 4. 3 19. ตอบข้อ 3 5. 2 20. ตอบข้อ 3 6. 2 21. ตอบข้อ 2 7. 3360 22. ตอบข้อ 1 8. 98 23. ตอบข้อ 4 9. 3 24. ตอบข้อ 1 10. 8 25. ตอบข้อ 4 11. ตอบข้อ 1 26. ตอบข้อ 5 12. ตอบข้อ 5 27. ตอบข้อ 2 13. ตอบข้อ 1 28. ตอบข้อ 3 14. ตอบข้อ 2 29. ตอบข้อ 4 15. ตอบข้อ 3 30. ตอบข้อ 4 ขอขอบคุณภาพประกอบเฉลยจากhttps://www.opendurian.com/exercises/7ord_math_55/18/ https://www.opendurian.com/exercises/7ord_math_55/22/ เฉลยข้อสอบ : กสพท. คณิตศาสตร์ 2555 Page 30