เฉลยข้อสอบวิชาคณิตศาสตร์ โควตา ม .ขอนแก่น ปีการศึกษา 2550 โดย พี่เปี๊ยก   1



                  เฉลยข้อสอบโควตา ม.ขอนแก่น ปี                                    𝟐𝟓𝟓𝟎
                                      วิชา คณิตศาสตร์(วิทย์)
                                   สอบวันที่ 𝟒 พฤศจิกายน 𝟐𝟓𝟓𝟎
ตอนที่ 𝟏 ข้อสอบแบบปรนัยแบบ 𝟒 ตัวเลือก จานวน 𝟏𝟒 ข้อ (ข้อ 𝟏 − 𝟏𝟒) ข้อละ 𝟐 คะแนน
 𝟏. ให้ 𝒑 แทนประพจน์ "สาหรับจานวนจริง 𝒙 ทุกตัว ถ้า 𝒙 < 2 แล้ว 𝒙 𝟐 < 4"
     ให้ 𝒒 แทนประพจน์ "สาหรับจานวนจริง 𝒙 ทุกตัว มีจานวนจริง 𝒚 บางตัวที่ 𝒙 𝟐 𝒚 = 𝒙"
ประพจน์ในข้อใดต่อไปนี้มีค่าความจริงเป็นเท็จ
 [𝟏] ~𝒑 ⇒ 𝒒                                         𝟐 ~𝒑 ⇒ ~𝒒
 [𝟑] 𝒒 ⇒ ~𝒑                                         𝟒 ~𝒒 ⇒ ~𝒑


เฉลย
 𝑝 แทนประพจน์ ∀𝑥 ∈ ℝ [𝑥 < 2 ⇒ 𝑥 2 < 4] เป็นเท็จครับ
เพราะ มีจานวนจริงบางตัวที่ 𝑥 < 2 แล้ว 𝑥 2 ≮ 4
เช่น 𝑥 = −3 จะได้ −3 < 2 แต่ 𝑥 2 = (−3)2 = 9 ≮ 4 ดังนั้น 𝑝 จึงเป็นเท็จคับ
 𝑞 แทนประพจน์ ∀𝑥∃𝑦[𝑥 2 𝑦 = 𝑥]
กรณี 𝑥 = 0 เราเลือก 𝑦 ตัวไหนก็ได้ เพราะ 02 𝑦 = 0 เสมอ
กรณี 𝑥 ≠ 0 เราเลือก 𝑦 = 1𝑥 จะทาให้ 𝑥 2 ∙ 1𝑥 = 𝑥
                       1                  1
เช่น 𝑥 = −2 เลือก 𝑦 = (−2) จะได้ (−2)2 ∙ (−2) = −2
ดังนั้นทุกจานวนจริง 𝑥 เราสามารถหา 𝑦 ได้เสมอคับ ดังนั้นจะได้ 𝑞 เป็นจริง
เมื่อพิจารณา ข้อ [1] ~𝑝 ⇒ 𝑞 ≡ ~𝐹 ⇒ 𝑇 ≡ 𝑇 ⇒ 𝑇 ≡ 𝑇
             ข้อ [2] ~𝑝 ⇒ ~𝑞 ≡ ~𝐹 ⇒ ~𝑇 ≡ 𝑇 ⇒ 𝐹 ≡ 𝐹
             ข้อ [3] 𝑞 ⇒ ~𝑝 ≡ 𝑇 ⇒ ~𝐹 ≡ 𝑇 ⇒ 𝑇 ≡ 𝑇
             ข้อ [4] ~𝑞 ⇒ ~𝑝 ≡ ~𝑇 ⇒ ~𝐹 ≡ 𝐹 ⇒ 𝑇 ≡ 𝑇
ตอบข้อ [𝟐]

วิเคราะห์ : ข้อนี้ต้องการตรวจสอบเราเรื่องตรรกศาสตร์คับ ต้องเข้าใจประพจน์บ่งชี้ปริมาณ

จะเป็นจริงหรือเท็จเมื่อไหร่ ไม่ค่อยออกบ่อยเท่าไหร่ แต่ก็ถือว่าไม่ยากคับ สู้ๆ
เฉลยข้อสอบวิชาคณิตศาสตร์ โควตา ม .ขอนแก่น ปีการศึกษา 2550 โดย พี่เปี๊ยก       2


                                                                 𝟑
 𝟐. ถ้า 𝑨 = {𝒑|𝒑 เป็นจานวนเฉพาะ และ 𝒑 หาร 𝟓𝟎𝟒 − 𝟐𝒑                   ลงตัว} แล้ว ผลบวกของสมาชิกของเซต 𝑨 คือ
ข้อใดต่อไปนี้
[𝟏] 𝟗                 𝟐   𝟏𝟎            [𝟑]    𝟏𝟏                𝟒     𝟏𝟐



เฉลย
 วิธีที่ 1 ข้อนีเราสามารถทาแบบเลือกสุมไปเรือยๆได้ เพราะเราเห็นตัวเลือกแล้ว มีคามากสุดคือ 12 เอง แสดงว่าจานวน
               ้                     ่     ่                                  ่
เฉพาะนั้นไม่เยอะมาก เอาหละเรามาลองสุ่มตัวเลขกันดู
 𝑝 = 2 ; จะได้ [504 − 2(2)]3 = [504 − 4]3 = 5003 พบว่า 𝑝|5003 ว้าวใช้ได้
𝑝 = 3 ; จะได้ [504 − 2(3)]3 = [504 − 6]3 = 4983 พบว่า 𝑝|4983 ว้าวใช้ได้อีกแล้ว
𝑝 = 5 ; จะได้ [504 − 2(5)]3 = [504 − 10]3 = 4943 พบว่า 𝑝 ∤ 4943 ตัวนี้ไม่ลงตัวคับ
𝑝 = 7 ; จะได้ [504 − 2(7)]3 = [504 − 14]3 = 4903 พบว่า 𝑝|4903 ว้าวใช้ได้อีกแล้ว
ดังนั้น 𝑝 ทั้งหมดคือ 2, 3, 7 บวกกันได้ 12 คับตัวเลือกข้อนี้สุดๆ แล้วคับ
                              3     3       2         2       3
 วิธีที่ 2 เนืองจาก (𝐴 − 𝐵) = 𝐴 − 3𝐴 𝐵 + 3𝐴𝐵 − 𝐵
              ่
หรือเราท่องกันจนชินปากว่า (หน้า − หลัง)3 = หน้า3 − 3หน้า2 หลัง + 3หน้าหลัง2 − หลัง3
                                2
ถ้ายังจากันไม่ได้ก็ นา 𝐴 − 𝐵        𝐴− 𝐵 =        𝐴2 − 2𝐴𝐵 + 𝐵2           𝐴 − 𝐵 อันนี้เป็นกาลังสองคงคุ้นกันนะคับ
เอาหล่ะ คราวนี้เราจะมาพิจารณา
    504 − 2𝑝 3 = 5043 − 3 504 2 2𝑝 + 3 504 (2𝑝)2 − (2𝑝)3
เนื่องจาก 𝑝|3 504 2 2𝑝 (เพราะมีตัวประกอบคือ 𝑝 อยู่ด้วยคับ)
           𝑝|3(504)(2𝑝)2 (เพราะมีตัวประกอบคือ 𝑝 อยู่ด้วยคับ)
           𝑝|(2𝑝)3 (เพราะมีตัวประกอบคือ 𝑝 อยู่ด้วยคับ)
โดยหลักการของการหารลงตัว เรามีข้อสังเกตอยู่ว่า
ถ้า 𝑎 𝑏 ± 𝑐 ± 𝑑 ± ⋯ ± 𝑦 ± 𝑧 และ 𝑎 𝑏, 𝑎 𝑐, 𝑎 𝑑, … , 𝑎|𝑦 เราสามารถสรุปได้ว่า 𝑎|𝑧
นั่นคือ 𝑝|5043 จะได้ว่า 𝑝|504 (เนื่องจากว่า ถ้า 𝑎 𝑏 𝑛 แล้ว 𝑎 𝑏 สาหรับทุก 𝑛 ที่เป็นจานวนเต็มบวกคับ )
เราจึงหาจานวนเฉพาะทั้งหมดที่หาร 504 ได้ทั้งหมด 3 ตัวคือ 2, 3, 7 โดยได้มาจากการแยกตัวประกอบ
504 = 23 ⋅ 32 ⋅ 7
ตอบข้อ [4]
วิเคราะห์ : ข้อนี้ถ้าน้องคนไหนอ่อนเรื่องทฤษฎีจานวนสักหน่อย ก็แย่เหมือนกัน โดยเฉพาะเรื่องการหารลง

ตัวนี่ข้อสอบขาดไม่ได้ เห็นออกกันอยู่ทุกปี คับ ถ้าไม่คล่องทฤษฎีก็ไปอ่านมาซะนะ
เฉลยข้อสอบวิชาคณิตศาสตร์ โควตา ม .ขอนแก่น ปีการศึกษา 2550 โดย พี่เปี๊ยก   3


 𝟑. จานวนเต็มบวกจานวนหนึ่งมีสี่หลัก และหารด้วย 𝟗𝟎 ลงตัว ถ้าจานวนนี้มีตัวเลขหลักพันเป็น 𝟐 และหลัก

ร้อยเป็น 𝟏 แล้วหลักสิบคือข้อใด

[𝟏] 𝟔                  𝟐       𝟕           [𝟑]   𝟖                 𝟒   𝟗


เฉลย จากข้อมูลเราสามารถเขียนจานวนนี้คือ 2 1 𝑎 𝑏
แต่เนื่องจาก 90|21𝑎𝑏 เราจะเห็นได้ว่า 𝑏 = 0 ได้เพียงอย่างเดียว
ดังนั้น เราจึงพิจารณาเพียง 9|21𝑎 โดยวิธีตั้งหารยาวเราจะได้ 𝑎 = 6
หลักสิบจึงเป็น 6
ตอบข้อ [1] ข้อนี้ง่ายจริงๆคับ ถ้าเป็นเราสอบต้องเก็บคะแนนข้อนี้ให้ได้นะ
วิเคราะห์ : ข้อนี้ถือว่าออกมาให้กินคะแนนฟรีๆ (พะนะ !) ไม่ยากเลย แค่รู้จักคาว่า "หารลงตัว "




 𝟒. เมตริกซ์ในข้อใดต่อไปนี้มีรูปขั้นบันไดแบบแถว (𝑹𝒐𝒘 𝒆𝒄𝒉𝒆𝒍𝒐𝒏 𝒇𝒐𝒓𝒎)


         𝟏    𝟐    𝟑       𝟒                                               𝟏   𝟐   𝟑   𝟒
 [𝟏]     𝟎    𝟓    𝟔       𝟕                                       𝟐       𝟎   𝟎   𝟏   𝟐
         𝟎    𝟎    𝟎       𝟏                                               𝟎   𝟏   𝟎   𝟔

         𝟏    𝟐    𝟑       𝟒                                               𝟏   𝟎   𝟎   𝟎
 [𝟑]     𝟎    𝟎    𝟏       𝟕                                       𝟒       𝟎   𝟎   𝟎   𝟎
         𝟎    𝟎    𝟎       𝟎                                               𝟎   𝟎   𝟏   𝟎

เฉลย เมตริกซ์ในรูปขั้นบันไดแถว (𝑅𝑜𝑤 𝑒𝑐𝑕𝑒𝑙𝑜𝑛 𝑓𝑜𝑟𝑚) คือเมตริกซ์ที่มีคุณสมบัติดังต่อไปนี้
1. เป็นเมตริกซ์ที่มีตัวนาในแต่ละแถว เป็น 1
2. สมาชิกที่อยู่หน้าตัวนาทุกตัวต้องเป็น 0
3. ตัวนา 1 ในแต่ละคอลัมน์ต้องอยู่แบบเยื้องมาทางขวามือ (ห้ามอยู่ตรงกัน) เช่น


 1 3 4            5                    0   1 3 4                       1 2 3 4             5
 0 1 7            −1               ,   0   0 1 1               ,       0 1 1 4             5
 0 0 1            −3                   0   0 0 1                       0 0 0 1             2
เฉลยข้อสอบวิชาคณิตศาสตร์ โควตา ม .ขอนแก่น ปีการศึกษา 2550 โดย พี่เปี๊ยก   4


4. แถวที่มีสมาชิกเป็น 0 หมด (ถ้ามี) แถวนั้นต้องอยู่ล่างสุด
             1 0       0 1
เช่น         0 1       0 0
             0 0       0 0

จากตัวเลือกของข้อนี้ เราจะได้ข้อ [3] เป็น 𝑅𝑜𝑤 𝑒𝑐𝑕𝑒𝑙𝑜𝑛 𝑓𝑜𝑟𝑚
จริงๆแล้วถ้าใครไม่รู้จัก 𝑅𝑜𝑤 𝑒𝑐𝑕𝑒𝑙𝑜𝑛 𝑓𝑜𝑟𝑚 ก็ไม่แปลกครับ เนื้อหานี้อยู่ใน 𝑀𝑎𝑡𝑕𝑒𝑚𝑎𝑡𝑖𝑐𝑠 𝐼 ของคณะ
วิทยาศาสตร์ น้องๆปี 1 ทุกคนต้องได้เรียน ครับ แต่เพื่อเตรียมความพร้อมของน้อง ม . 6 จึงเอามาออกสอบมั้งคับ
ตอบข้อ [3]
วิเคราะห์ : ข้อนี้ต้องการตรวจสอบนิยามของ            𝑅𝑜𝑤 𝑒𝑐𝑕𝑒𝑙𝑜𝑛 𝑓𝑜𝑟𝑚 ใครอ่านมาก็ได้ ใครไม่ได้อ่านมาก็ตัว

ใครตัวมันคับ เพราะน้อยนักน้อยหน้าจะออกแบบนี้




 𝟓. กาหนดให้ 𝑻 = 𝟏, 𝟐, 𝟑, 𝟒, 𝟓, 𝟔 และความสัมพันธ์ 𝒓 = {(𝒙, 𝒚) ∈ 𝑻 × 𝑻|𝒙 > 5 หรือ 𝒚 ≤ 𝟐}
และ 𝒔 = {(𝒙, 𝒚) ∈ 𝑻 × 𝑻|𝒙 ≤ 𝟓 หรือ 𝒚 > 2} ข้อใดต่อไปนี้ผิด
 [𝟏] 𝑹 𝒓 − 𝑹 𝒔 = ∅                                            𝟐      𝑫𝒓 ∪ 𝑫𝒔 = 𝑻
 [𝟑] 𝒓 ∪ 𝒔 = 𝑻 × 𝑻                                            𝟒      𝒓∩ 𝒔= ∅
เฉลย อย่างแรกเราต้องหา 𝑟 ก่อนนะ
แต่พี่อยากให้น้องทบทวนก่อนว่า 𝑇 × 𝑇 (อ่านว่า 𝑇 ครอส 𝑇 ) มีสมาชิกกี่ตัว ก็มีเท่ากับ 𝑛(𝑇) ∙ 𝑛 𝑇 ครับ
เท่ากับ 6 ∙ 6 = 36 ซึ่งได้แก่
{ 1, 1 , 1, 2 , 1, 3 , … , 1, 6 , 2, 1 , 2, 2 , … , (6, 6)}
จากโจทย์โดเมนของ 𝑟 ต้องมากกว่า 5 ดังนั้นคู่ลาดับที่สอดคล้อง คือ
 6, 1 , 6, 2 , 6, 3 , 6, 4 , 6, 5 , 6, 6 ∈ 𝑟 มี 6 ตัวใช่ป่ะ
จากเรนจ์ของ 𝑟 ต้องน้อยกว่าหรือเท่ากับ 2 ดังนั้นคู่ลาดับที่สอดคล้อง คือ
 1, 1 , 1, 2 , 2, 1 , 2, 2 , 3, 1 , 3, 2 , 4, 1 , 4, 2 , 5, 1 , 5, 2 , 6, 1 , (6, 2) ∈ 𝑟
ดังนั้นนาสองเซตมายูเนียนกัน จะพบว่ามีบางสมาชิกซ้ากัน (ในเซตเราถือว่าเอามาตัวเดียวพอ)
จะได้ 𝑟 = { 1, 1 , 1, 2 , 2, 1 , 2, 2 , 3, 1 , 3, 2 , 4, 1 , 4, 2 , 5, 1 , 5, 2 , 6, 1 , 6, 2 ,
  6, 3 , 6, 4 , 6, 5 , (6, 6)}
ดังนั้น 𝐷 𝑟 = 1, 2, 3, 4, 5, 6 , 𝑅 𝑟 = {1, 2, 3, 4, 5, 6}         (เท่ากันเยย)
คราวนี้เรามาดูของ 𝑠 กันบ้างนะครับ
เฉลยข้อสอบวิชาคณิตศาสตร์ โควตา ม .ขอนแก่น ปีการศึกษา 2550 โดย พี่เปี๊ยก        5


จาก 𝑠 =      𝑥, 𝑦 ∈ 𝑇 × 𝑇 𝑥 ≤ 5 หรือ 𝑦 > 2}
โดเมนของ 𝑠 น้อยกว่าหรือเท่ากับ 5
จะได้คู่ลาดับที่สอดคล้อง คือ    1, 1 , 1, 2 , 1, 3 , … , 1, 6 ,
         2, 1 ,   2, 2 , 2, 3 , … , 2, 6 ,
         3, 1 ,   3, 2 , 3, 3 , … , 3, 6 ,
           ⋮                           ⋮
        5, 1 ,    5, 2 , 5, 3 , … , (5, 6) ∈ 𝑠
หรือ เรนจ์ของ 𝑠   มากกว่า 2 จะได้ คู่ลาดับที่สอดคล้อง คือ
         1, 3 , 1, 4 , 1, 5 , 1, 6 ,
         2, 3 , 2, 4 , 2, 5 , 2, 6 ,
          ⋮                      ⋮
         6, 3 , 6, 4 , 6, 5 , (6, 6) ∈ 𝑠


จับสมาชิกของ 𝑠 ทั้งหมดมารวมกันจะได้ จะได้
 𝑠 = { 1, 1 ,     1, 2 , 1, 3 , … , 1, 6 ,
       2, 1 ,     2, 2 , 2, 3 , … , 2, 6 ,
       3, 1 ,     3, 2 , 3, 3 , … , 3, 6 ,
         ⋮                             ⋮
       5, 1 ,     5, 2 , 5, 3 , … , 5, 6 ,
       6, 3 ,     6, 4 , 6, 5 , (6, 6)}

 𝐷 𝑠 = 1, 2, 3, 4, 5, 6 , 𝑅 𝑠 = {1, 2, 3, 4, 5, 6}
ดังนั้นตอนนี้สรุปว่า 𝐷 𝑟 = 𝑅 𝑟 = 𝐷 𝑠 = 𝑅 𝑠 = {1, 2, 3, 4, 5, 6} = 𝑇
พิจารณาตัวเลือกแต่ละข้อคับ
    1 𝑅 𝑟 − 𝑅 𝑠 = ∅ ถูกแล้วคับ
    2 𝐷 𝑟 ∪ 𝐷 𝑠 = 𝑇 มันถูกอีกแล้ว
   [3] 𝑟 ∪ 𝑠 = 𝑇 × 𝑇 ถูกต้องนะค้าบ ลองยูเนียนกันดูได้ครบทุกตัวคับ
    4     𝑟 ∩ 𝑠 = ∅ ผิดคับ เพราะมีตั้งหลายตัวที่ซ้ากัน เป็นไปบ่ได้ดอกที่จะเป็นเซตว่าง อย่างน้อยๆก็มี (1,1) ล่ะเอ้า
จริงๆแล้วตอนหาโดเมนกับเรนจ์ ข้อนี้เราไม่จาเป็นกระจาย จนกระจุยออกมาหมดเปลือกเหมือนอย่างพี่ก็ได้คับ เพราะโดเมน
กับเรนจ์สุดๆก็มี 6 ตัว แต่อย่างไรก็ตามเราก็ต้องหามันอยู่ดี เพราะข้อ 3 , [4] เราต้องรู้ว่ามันมีอะไรบ้าง
ตอบข้อ [4]
วิเคราะห์ : ข้อนี้ออกจะยาวสักหน่อย แต่ถ้าได้ฝึกทาบ่อยๆ พี่ป๋อ ณัฐวุฒิ ยังเรียกพี่คับ มันออกจะถึกสักหน่อย
แต่ก็คุ้มเพราะมีแค่เรื่องเซต และผลคูณคาร์ทีเซียน เรียนกันมาตั้งแต่ ม.𝟒 (แต่ก็คืนอาจารย์ไปหมดแล้ว)
เฉลยข้อสอบวิชาคณิตศาสตร์ โควตา ม .ขอนแก่น ปีการศึกษา 2550 โดย พี่เปี๊ยก   6


  𝟔. ถ้ากราฟของสมการ 𝒚 = 𝒇(𝒙) เป็นฟังก์ชันเพิ่มและ 𝒄 เป็นจานวนจริงใดๆ แล้วกราฟของสมการในข้อใด
ต่อไปนี้ไม่เป็นฟังก์ชันเพิ่ม
 [𝟏] 𝒚 = 𝒇(𝒙 − 𝒄)                                                𝟐    𝒚= 𝒇 𝒙 + 𝒄
 [𝟑] 𝒚 = 𝒇 −𝒙 − 𝒄                                                𝟒    𝒚 = −𝒇 −𝒙 + 𝒄


เฉลย เรามาดูนิยามของฟังก์ชันเพิ่มและฟังก์ชันลดกันก่อนนะครับ

ฟังก์ชันเพิ่ม

                สาหรับทุกค่า 𝑥1 , 𝑥2 ที่อยู่ในโดเมนของ 𝑓      ถ้า 𝑥1 > 𝑥2 แล้ว 𝑓 𝑥1 > 𝑓 𝑥2

(จาไว้ว่า เครื่องหมายเหมือนกัน )

นิยามของฟังก์ชันเพิ่มอาจนิยามได้อีกแบบคือ ถ้า 𝑥1 < 𝑥2 แล้ว 𝑓 𝑥1 < 𝑓 𝑥2


ฟังก์ชันลด
                  สาหรับทุกค่า 𝑥1 , 𝑥2 ที่อยู่ในโดเมนของ 𝑓      ถ้า 𝑥1 > 𝑥2 แล้ว 𝑓 𝑥1 < 𝑓 𝑥2


(จาไว้ว่า เครื่องหมายต่าง )

นิยามของฟังก์ชันลดอาจนิยามได้อีกแบบคือ ถ้า 𝑥1 < 𝑥2 แล้ว 𝑓 𝑥1 > 𝑓 𝑥2

ข้อนี้ขอเสนอวิธีเช็ค ง่ายๆ โดยสมมติฟังก์ชันที่เป็นฟังก์ชันเพิ่มมาสัก 1 ตัว

คือ 𝑦 = 𝑓 𝑥 = 𝑥 + 1 เราจะแสดงว่า 𝑓 เป็นฟังก์ชันเพิ่มดังนี้

ให้     𝑥1 > 𝑥2

บวกด้วย 1 ทั้งสองข้างอสมการ จะได้           𝑥1 + 1 > 𝑥2 + 1

ดังนั้น 𝑓 𝑥1 > 𝑓 𝑥2               (เพราะจากโจทย์ 𝑥1 + 1 = 𝑓(𝑥1 ) และ 𝑥2 + 1 = 𝑓(𝑥2 ) )

นั่นคือ 𝑓 เป็นฟังก์ชันเพิ่มครับ

ตรวจสอบตัวเลือกข้อ 1 ครับ

ให้ 𝑐 = 1 (ให้เป็นอะไรก็ได้ เพราะเป็นค่าคงที่ใดๆ)

พิจารณา 𝑦 = 𝑓 𝑥 − 1 = 𝑥 − 1 + 1 = 𝑥

ได้ฟังก์ชันนี้คือ 𝑦 = 𝑓(𝑥) = 𝑥 เมื่อตรวจสอบโดยนิยามข้างต้นจะได้ 𝑓 เป็นฟังก์ชันเพิ่มครับ
เฉลยข้อสอบวิชาคณิตศาสตร์ โควตา ม .ขอนแก่น ปีการศึกษา 2550 โดย พี่เปี๊ยก   7




ตรวจสอบข้อ [2] ให้ 𝑐 = 1 เหมือนเดิม

 𝑦 = 𝑓 𝑥 + 𝑐 = 𝑥 + 1 + 1 = 𝑥 + 2 จะได้ 𝑦 = 𝑓(𝑥) = 𝑥 + 2

เมื่อตรวจสอบโดยนิยามของฟังก์ชันเพิ่มจะได้ 𝑓 เป็นฟังก์ชันเพิ่มครับ

ตรวจสอบข้อ 3 ให้ 𝑐 = 1

 𝑦 = 𝑓 −𝑥 − 𝑐 = −𝑥 + 1 − 1 = −𝑥 จะได้ 𝑦 = 𝑓(𝑥) = −𝑥 เป็นฟังก์ชันลดครับ วิธีการพิสูจน์เป็นดังนี้

ให้ 𝑥1 > 𝑥2

คูณด้วย −1 ตลอดอสมการนี้ จะได้ −𝑥1 < −𝑥2 นั่นคือ 𝑓 𝑥1 < 𝑓(𝑥2 )

จะได้ 𝑓 เป็นฟังก์ชันลดครับ

ส่วนข้อ [4] นั้นเป็นฟังก์ชันเพิ่มครับ ลองทาดูคล้ายๆกับตัวอย่างข้างบนครับ

ตอบข้อ [3]
วิเคราะห์ : ข้อสอบประเภทนี้ไม่ค่อยออกครับ แต่ก็ออกมาเพื่อทดสอบความรู้เรื่องนิยามฟังก์ชันเพิ่มฟังก์ชัน
ลดครับ นิยามก็ไม่ยากที่จะจดจาครับ เพราะฉะนั้นข้อนี้ก็ไม่ยากเกินไปครับ



𝟕. กาหนดให้วงกลมอยู่ในครอดรันต์ที่ 𝟏 มีรัศมีเท่ากับ 𝟑 หน่วย และสัมผัสแกน 𝑿 และแกน 𝒀 ที่จุด 𝑨 และ 𝑩

ตามลาดับ ถ้า 𝑳 เป็นเส้นตรงที่ตัดแกน 𝑿 และแกน 𝒀 ที่จุด 𝑨 และ 𝑩 ตามลาดับ แล้วระยะห่างระหว่างจุด
ศูนย์กลางของวงกลมกับเส้นตรง 𝑳 คือข้อใดต่อไปนี้
            𝟐                                               𝟑 𝟐
 [𝟏]    𝟐
                หน่วย                                 𝟐      𝟐
                                                                    หน่วย
 [𝟑] 𝟐 𝟐 หน่วย                                        𝟒    𝟑 𝟐 หน่วย
เฉลยข้อสอบวิชาคณิตศาสตร์ โควตา ม .ขอนแก่น ปีการศึกษา 2550 โดย พี่เปี๊ยก   8


เฉลย




จากภาพเราจะได้จุดศูนย์วงกลมคือ (3,3)
  วิธีที่ 1 เนื่องจาก ∆𝐴𝑂𝐵 เป็นสามเหลี่ยมมุมฉาก
เราสามารถหาความยาว 𝐵𝐴 ได้จากทฤษฎีบทปีทากอรัส นั่นคือ
                                         2
                                    𝐵𝐴       = 32 + 32 = 9 + 9 = 18
                                             𝐵𝐴 = 18 = 3 2
เนื่องจาก พท.∆𝐴𝑂𝐵 คือ
                         1              1          1
                           ∙ ฐาน ∙ สูง = ∙ 𝐵𝐴 ∙ 𝑕 = ∙ 3 2 ∙ 𝑕 ______(1)
                         2              2          2



แต่เนื่องจาก พท.∆𝐴𝑂𝐵 (มองในทางกลับด้านกันนะ)
                            1              1          1
                        =     ∙ ฐาน ∙ สูง = ∙ 𝐵𝐴 ∙ 𝑕 = ∙ 3 ∙ 3 _______(2)
                            2              2          2

ดังนั้น 1 = (2)
                                         1          1
                                           ∙3 2∙ 𝑕 = ∙3∙3
                                         2          2
ดังนั้น
                                                    3       3 2
                                               𝑕=       =
                                                    2        2
เฉลยข้อสอบวิชาคณิตศาสตร์ โควตา ม .ขอนแก่น ปีการศึกษา 2550 โดย พี่เปี๊ยก   9




 วิธีที่ 1   (สาหรับคนที่ชื่นชอบเรขาคณิตวิเคราะห์)
จากภาพเราจะหาสมการเส้นตรง 𝐿 จากจุดผ่าน 𝐴(3, 0) และ 𝐵(0, 3)
หาความชัน
                                           𝑦2 − 𝑦1 3 − 0   3
                                     𝑚=           =      =   = −1
                                           𝑥2 − 𝑥1 0 − 3 −3

เนื่องจากสมการทั่วไปของเส้นตรง คือ 𝑦 = 𝑚𝑥 + 𝑐 เมื่อ 𝑥, 𝑦 คือจุดผ่าน และ 𝑚 คือ ความชัน
เราเลือกจุดผ่านเส้นตรงมา 1 จุด คือ (3, 0) (อันนี้เราสามารถเลือก (0, 3) ก็ได้)
จะได้ 0 = (−1)(3) + 𝑐 นั่นคือ 𝑐 = 3 เราจะได้สมการเส้นตรงคือ 𝑦 = −𝑥 + 3

 การหาสมการเส้นตรงทาได้อีกวิธีคือ แทนค่าในสูตร 𝑦 − 𝑦1 = 𝑚(𝑥 − 𝑥1 ) เมื่อ (𝑥1 , 𝑦1 ) คือจุดผ่าน เราจะ

 ได้สมการเส้นตรง       𝑦 − 0 = (−1)(𝑥 − 3) = −𝑥 + 3 ⟹ 𝑦 = −𝑥 + 3



จากสูตรของระยะห่างระหว่างเส้นตรง 𝐴𝑥 + 𝐵𝑦 + 𝑐 = 0 กับจุด (𝑥1 , 𝑦1 ) คือ

                                                     𝐴𝑥1 + 𝐵𝑦1 + 𝐶
                                             𝑑=
                                                         𝐴2 + 𝐵 2

ดังนั้นระยะห่างระหว่างเส้นตรง 𝑥 + 𝑦 − 3 = 0 กับจุด 3, 3 คือ

                                      1 3 + 1 3 −3                  3       3 2
                                                               =        =
                                             12 + 12                2        2



ตอบข้อ [2]
วิเคราะห์ : ข้อสอบประเภทนี้ถือว่าไม่ยากเพราะเลือกทาได้ตั้งสองวิธี ใครถนัดแบบไหนก็ทาแบบนั้นครับ
ถึงแม้ว่าวิธีที่สอง จะยาวไปหน่อย แต่วิธีแรกก็อาจใช้ไม่ได้ ถ้า ∆𝑨𝑩𝑶 ไม่เป็นสามเหลี่ยมมุมฉากในขณะที่
วิธีที่สองทาได้หมดครับ เพราะฉะนั้นควรฝึกทั้งสองวิธี จะได้เก่งๆจริงมั้ย  ในเรื่องเรขาคณิตวิเคราะห์
จาเป็นต้องจาสูตรพื้นฐานต่างๆ ให้ได้หมดไม่งั้นจะทาไม่ได้เลยครับ
เฉลยข้อสอบวิชาคณิตศาสตร์ โควตา ม .ขอนแก่น ปีการศึกษา 2550 โดย พี่เปี๊ยก   10




 𝟖. วงรีรูปหนึ่งมีความยาวของแกนเอกเท่ากับความยาวของเลตัสเรกตัมของพาราโบลา 𝒙 𝟐 − 𝟒𝒙 − 𝟖𝒚 +
                                                 𝟏
 𝟐𝟖 = 𝟎 ถ้าวงรีนี้มีความเยื้องศูนย์กลางเท่ากับ       แล้วความยาวของแกนโทของวงรีนี้ คือข้อใดต่อไปนี้
                                                 𝟐
 [𝟏] 𝟐 หน่วย                                         𝟐   𝟐 𝟑 หน่วย
 [𝟑] 𝟒 หน่วย                                         𝟒   𝟒 𝟑 หน่วย



เฉลย พิจารณาพาราโบลา เราต้องการความยาวลาตัสเรกตัม นั่นคือ 4𝑐

ขั้นแรกพยายามจัดรูปให้อยู่ในรูปมาตรฐาน คือ (𝑥 − 𝑕)2 = 4𝑐 𝑦 − 𝑘 จาก

                                        𝑥 2 − 4𝑥 − 8𝑦 + 28 = 0

                                           𝑥 2 − 4𝑥 = 8𝑦 − 28




                                       (𝑥 − 2)2 − 4 = 8𝑦 − 28

                                          (𝑥 − 2)2 = 8𝑦 − 24

                                         (𝑥 − 2)2 = 8(𝑦 − 3)

ดังนั้น 4𝑐 = 8 นั่นคือ 4𝑐 = 8 เป็นค่า เลตัสเรกตัม (𝐿𝑅) ดังนั้นความยาวแกนเอกคือ 8 นั่นคือ
                                                                     𝑐
2𝑎 = 8 จะได้ 𝑎 = 4      จากสูตรความเยื้องศูนย์กลางของวงรี คือ 𝑒 =        (อันนี้ต้องจาหน่อยนะครับ)
                                                                     𝑎

ดังนั้น
                                          1  𝑐 𝑐
                                            = = ⇒ 𝑐=2
                                          2  𝑎 4

จากความสัมพันธ์ระหว่าง 𝑎, 𝑏 , 𝑐 ของวงรีคือ 𝑎2 = 𝑏2 + 𝑐 2

( 𝑎 เป็นใหญ่ในวงรี 𝑐 เป็นใหญ่ใน 𝑕𝑦𝑝𝑒𝑟 ถ้าใน 𝑕𝑦𝑝𝑒𝑟 จะได้ 𝑐 2 = 𝑎2 + 𝑏2 )

ดังนั้น 42 = 𝑏2 + 22 จะได้ 𝑏 = 2 3 ดังนั้นความยาวแกนโทคือ 2𝑏 = 4 3
เฉลยข้อสอบวิชาคณิตศาสตร์ โควตา ม .ขอนแก่น ปีการศึกษา 2550 โดย พี่เปี๊ยก            11


ตอบข้อ [4]

วิเคราะห์ : ข้อสอบประเภทนี้ทดสอบเรื่องวงรีและพาราโบลาครับ ทุกสมการเราต้องจาให้ได้ครับ
โดยเฉพาะสมการมาตรฐาน เพราะข้อสอบนิยมออกสอบแบบผสมผสานกันอย่างมากครับ
และอย่าได้คิดว่าจาเรื่อง วงกลม พาราโบลา วงรี และไฮเปอร์แล้วจะทาได้ เราต้องจาเรื่องเรขาคณิตวิเคราะห์
ด้วย โดยเฉพาะเรื่องเส้นตรง และสูตรต่างๆ ต้องหาเทคนิคจาให้ได้



                                                                                   𝟐 𝒙 −𝟐               𝟐𝒙
 𝟗. กาหนดให้ ℝ แทนเซตของจานวนจริงและ 𝑨 = 𝒙 ∈ ℝ 𝟓 𝟗                                          = 𝟔𝟐𝟓 𝟐 } ผลบวกสมาชิกของ 𝑨

คือข้อใดต่อไปนี้

                            −𝟐                                                 𝟏
[𝟏] −𝟏                  𝟐                  [𝟑]      𝟎                   𝟒
                             𝟓                                                 𝟓
เฉลย การแก้สมการหรืออสมการ ที่อยู่ในรูปเอกซ์โปเนนเชียล เราจาเป็นที่จะต้องทาฐานให้เท่ากันครับ
                        𝟐 𝒙 −𝟐             𝟐𝒙                𝟐𝒙               𝟐𝒙             𝟐 ∙𝟐 𝟐𝒙             𝟐𝒙+𝟐
                   𝟓𝟗            = 𝟔𝟐𝟓 𝟐        = (𝟓 𝟒 ) 𝟐        = (𝟓) 𝟒∙𝟐        = (𝟓) 𝟐             = (𝟓) 𝟐

เมื่อฐานเท่ากันแล้ว เราจะนาเลขชี้กาลังมาเท่ากันครับ จะได้ว่า

                                                                  𝟗 𝟐 𝒙 − 𝟐 = 𝟐 𝟐𝒙+𝟐

                                                 𝟐 𝟐𝒙+𝟐 − 𝟗 𝟐 𝒙 + 𝟐 = 0

                                                𝟒 ∙ 𝟐 𝟐𝒙 − 𝟗 𝟐 𝒙 + 𝟐 = 0_____(1)

ต่อไปให้ 𝐵 = 2 𝑥 แทนใน (1)

                                                        4𝐵2 − 9𝐵 + 2 = 0

                                                   4𝐵 − 1           𝐵−2 =0

                                                                               1
                                                                            𝐵 = ,2
                                                                               4

กรณี 𝐵 = 1 ⇒ 2 𝑥 = 1 = 2−2 ⇒ 𝑥 = −2
         4         4


กรณี 𝐵 = 2 ⇒ 2 𝑥 = 2 ⇒ 𝑥 = 1

ดังนั้นผลบวกคาตอบ คือ −2 + 1 = −1
เฉลยข้อสอบวิชาคณิตศาสตร์ โควตา ม .ขอนแก่น ปีการศึกษา 2550 โดย พี่เปี๊ยก    12


ตอบข้อ [1]

วิเคราะห์ : ข้อสอบประเภทนี้ออกสอบทุกปีครับ อยู่ที่ว่าจะเอาคาตอบไปทาอะไรครับ เรื่องเอกซ์โปรเนี่ยมัน
ยากตรงที่ทาฐานให้เท่ากัน และแปลงเป็นสมการกาลังสอง แล้วแยกตัวประกอบออกมา หาคาตอบครับ
เรื่องการแยกตัวประกอบก็มีความสาคัญมากเหมือนกันครับ จาเป็นต้องมีพื้นฐานเรื่องนี้มาก



                             −𝟒
 𝟏𝟎. ค่าของ 𝒄𝒐𝒔 𝒂𝒓𝒄𝒕𝒂𝒏            คือข้อใดต่อไปนี้
                              𝟑


      −𝟒               −𝟑                        𝟑                        𝟒
[𝟏]                𝟐                    𝟑                             𝟒
      𝟓                 𝟓                        𝟓                        𝟓


เฉลย อย่างแรกเราต้องนึกถึง
                                                     𝑐𝑜𝑠(𝑎𝑟𝑐𝑐𝑜𝑠 𝑥) = 𝑥

                                            −𝟒
ดังนั้นเราต้องหาค่า 𝑦 ที่ทาให้ 𝒂𝒓𝒄𝒕𝒂𝒏       𝟑
                                                     = 𝒂𝒓𝒄𝒄𝒐𝒔 𝒚

             −4                                      −4        4
ให้ 𝑎𝑟𝑐𝑡𝑎𝑛    3
                  = 𝜃 แสดงว่า 𝑡𝑎𝑛𝜃 =                 3
                                                          = − 3 เราจึงเขียนสามเหลี่ยมมุมฉากได้สองรูปดังนี้
เฉลยข้อสอบวิชาคณิตศาสตร์ โควตา ม .ขอนแก่น ปีการศึกษา 2550 โดย พี่เปี๊ยก          13


สังเกตเห็นว่ารูปทั้งสองให้ค่า 𝑡𝑎𝑛𝜃 = − 4 ทั้งคู่ แต่เราต้องเลือกมาพิจารณาเพียงรูปเดียวเท่านั้น สิ่งจะกาหนดได้ว่าเรา
                                       3

                                      −𝟒
จะเลือกรูปไหนคือ 𝜽 = 𝒂𝒓𝒄𝒕𝒂𝒏            𝟑
                                            แต่ − 2𝜋 < 𝑎𝑟𝑐𝑡𝑎𝑛 𝑥 < 2𝜋 นั่นคือ เรนจ์ของ 𝑎𝑟𝑐𝑡𝑎𝑛 𝑥 มีค่าอยู่ระหว่าง

ครอดรันต์ที่ 1 หรือ 4 เท่านั้น แต่ 𝑡𝑎𝑛 𝜃 มีเครื่องหมายลบ ทาให้ 𝜃 ต้องอยู่ในครอดรันต์ที่ 4 นั่นคือเราต้องเลือกรูปที่ 1

มาพิจารณานั่นเอง เพราะ 𝑐𝑜𝑠 𝜃 = 3 เป็นบวก สอดคล้องกับที่ 𝜃 อยู่ในครอดรันต์ที่ 4
                               5

ถ้ายังไม่เข้าใจเรื่องเครื่องหมายของค่าฟังก์ชันเหล่านี้ ให้ไปอ่านในหัวข้อ หลักการลดทอนมุมทางตรีโกณมิติ ในหัวข้อถัดจาก

ข้อ 12

          ทบทวน − 2𝜋 ≤ 𝑎𝑟𝑐𝑠𝑖𝑛 𝑥 ≤ 2𝜋 , 0 ≤ 𝑎𝑟𝑐𝑐𝑜𝑠 𝑥 ≤ 𝜋 , − 2𝜋 < 𝑎𝑟𝑐𝑡𝑎𝑛 𝑥 < 2𝜋 จาได้มั้ยเอ่ย


เมื่อได้สามเหลี่ยมมุมฉากรูปที่ 1 มาแล้ว ก็อย่าได้ให้สูญเปล่า เราจึงพิจารณาได้ดังนี้
                                                    −4               3
                                           𝑎𝑟𝑐𝑡𝑎𝑛      = 𝜃 = 𝑎𝑟𝑐𝑐𝑜𝑠⁡ )
                                                                   (
                                                    3                5

นั่นคือ
                                                    −4                          3         3
                                𝑐𝑜𝑠 𝑎𝑟𝑐𝑡𝑎𝑛                = 𝑐𝑜𝑠 𝑎𝑟𝑐𝑐𝑜𝑠                =
                                                    3                           5         5

ตอบข้อ [1]

วิเคราะห์ : ข้อสอบข้อนี้อาจต้องใช้ความรู้เรื่องโดเมนและเรนจ์ของฟังก์ชัน               𝒂𝒓𝒄𝒕𝒂𝒏 มาช่วย ตรงนี้สาคัญ

มากครับ ถ้ายังไม่เข้าใจ ควรทาความเข้าใจให้ถ่องแท้ซะ เพราะข้อสอบออกบ่อยมากๆ แทบทุกปี มีข้อสอบ
แบบนี้แต่เปลี่ยนฟังก์ชันไปเรื่อยๆ อาจเป็น 𝒔𝒊𝒏, 𝒄𝒐𝒔, 𝒕𝒂𝒏 มันไม่ยากถ้าหากเราใส่ใจมันสักนิด
เฉลยข้อสอบวิชาคณิตศาสตร์ โควตา ม .ขอนแก่น ปีการศึกษา 2550 โดย พี่เปี๊ยก         14


                                                           𝟐               𝟐
𝟏𝟏. กาหนดให้ 𝒖 และ 𝒗 เป็นเวกเตอร์ซึ่ง 𝒖 + 𝒗                    + 𝒖− 𝒗          = 𝟐𝟐 และ 𝒖 =         𝟑 ถ้ามุมระหว่าง

 𝒖 และ 𝒗 เป็น 𝟔𝟎° แล้วค่าของ 𝒖 ∙ 𝒗 คือข้อใดต่อไปนี้


 [𝟏]        𝟐                                  𝟐           𝟔

 [𝟑]        𝟏𝟐                                𝟒            𝟏𝟖
เฉลย
จากสูตรการดอทกันของเวกเตอร์
                                      𝑢 ∙ 𝑣 = 𝑢 𝑣 𝑐𝑜𝑠𝜃____________(1)


เมื่อ 𝜃 เป็นมุมระหว่าง 𝑢 และ 𝑣
เนื่องจาก
                         2            2
                  𝑢+ 𝑣       + 𝑢− 𝑣       = 𝑢 2+2 𝑢∙ 𝑣 + 𝑣                     2
                                                                                   + 𝑢   2
                                                                                             −2 𝑢∙ 𝑣 + 𝑣   2

                                          =2 𝑢 2+2 𝑣 2
                                          = 22



ดังนั้นเราจะได้
                                                       2             2
                                                   𝑢           + 𝑣       = 11
แต่ 𝑢 = 3

ดังนั้น 3 + 𝑣 2 = 11 ⇒ 𝑣 = 8

จาก (1)
                                                                                                1
                     𝑢 ∙ 𝑣 = 𝑢 𝑣 𝑐𝑜𝑠𝜃 = 3 ∙ 8 ∙ 𝑐𝑜𝑠60° = 3 ∙ 8 ∙                                  = 6
                                                                                                2

ตอบข้อ [2]

วิเคราะห์ : ข้อสอบข้อนี้ถ้าจานิยามของการดอท และสูตรกาลังสองของเวกเตอร์ก็ทาได้แล้วครับ ถือว่าไม่
ยาก แต่ก็ออกสอบทุกปีเหมือนกัน
เฉลยข้อสอบวิชาคณิตศาสตร์ โควตา ม .ขอนแก่น ปีการศึกษา 2550 โดย พี่เปี๊ยก        15


                                       𝟏𝟎
                             𝟏+ 𝟑𝒊
𝟏𝟐. ถ้า 𝒛 =                                 แล้ว ตัวผกผันของการบวกของ 𝒛 คือข้อใดต่อไปนี้
                             𝟏− 𝟑𝒊


            𝟏                𝟑                                                𝟏                   𝟑
 [𝟏] − 𝟐 +                       𝒊                                   𝟐   − 𝟐−                         𝒊
                         𝟐                                                                    𝟐


        𝟏            𝟑                                                   𝟏            𝟑
 [𝟑]        +                𝒊                                      𝟒        −            𝒊
        𝟐        𝟐                                                       𝟐        𝟐
เฉลย พิจารณา

                                               1 + 3𝑖 (1 + 3𝑖)               1 + 2 3𝑖 + ( 3𝑖)2
                                                                         =
                                               1 − 3𝑖 (1 + 3𝑖)                        1 − ( 3𝑖)2

                                                                1 + 2 3𝑖 − 3
                                                            =
                                                                  1 − (−3)

                                                                1 + 2 3𝑖 − 3
                                                            =
                                                                     4

                                                                    −2 + 2 3𝑖
                                                              =
                                                                        4

                                                                    −1   3𝑖
                                                                =      +
                                                                    2    2

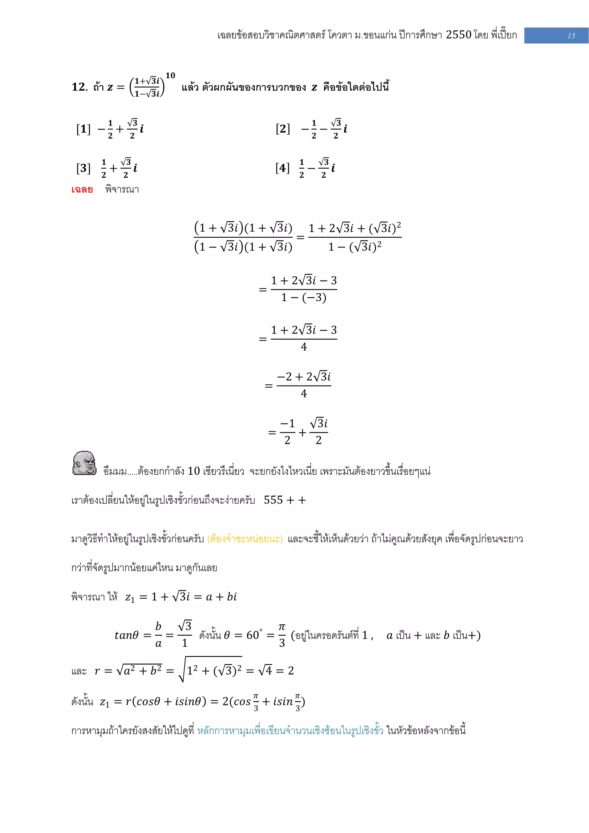
        อืมมม…..ต้องยกกาลัง 10 เชียวรึเนี่ยว จะยกยังไงไหวเนี่ย เพราะมันต้องยาวขึ้นเรื่อยๆแน่

เราต้องเปลี่ยนให้อยู่ในรูปเชิงขั้วก่อนถึงจะง่ายครับ 555 + +

มาดูวิธีทาให้อยู่ในรูปเชิงขั้วก่อนครับ (ต้องจาซะหน่อยนะ) และจะชี้ให้เห็นด้วยว่า ถ้าไม่คูณด้วยสังยุค เพื่อจัดรูปก่อนจะยาว

กว่าที่จัดรูปมากน้อยแค่ไหน มาดูกันเลย

พิจารณา ให้ 𝑧1 = 1 + 3𝑖 = 𝑎 + 𝑏𝑖

                                     𝑏    3                  𝜋
                𝑡𝑎𝑛𝜃 =                 =    ดังนั้น 𝜃 = 60° = (อยู่ในครอดรันต์ที่ 1 ,                     𝑎 เป็น + และ 𝑏 เป็น+)
                                     𝑎   1                   3

และ 𝑟 =          𝑎2 + 𝑏 2 =                  12 + ( 3)2 = 4 = 2

ดังนั้น 𝑧1 = 𝑟 𝑐𝑜𝑠𝜃 + 𝑖𝑠𝑖𝑛𝜃 = 2(𝑐𝑜𝑠 3𝜋 + 𝑖𝑠𝑖𝑛 3𝜋 )

การหามุมถ้าใครยังสงสัยให้ไปดูที่ หลักการหามุมเพื่อเขียนจานวนเชิงซ้อนในรูปเชิงขั้ว ในหัวข้อหลังจากข้อนี้
เฉลยข้อสอบวิชาคณิตศาสตร์ โควตา ม .ขอนแก่น ปีการศึกษา 2550 โดย พี่เปี๊ยก   16


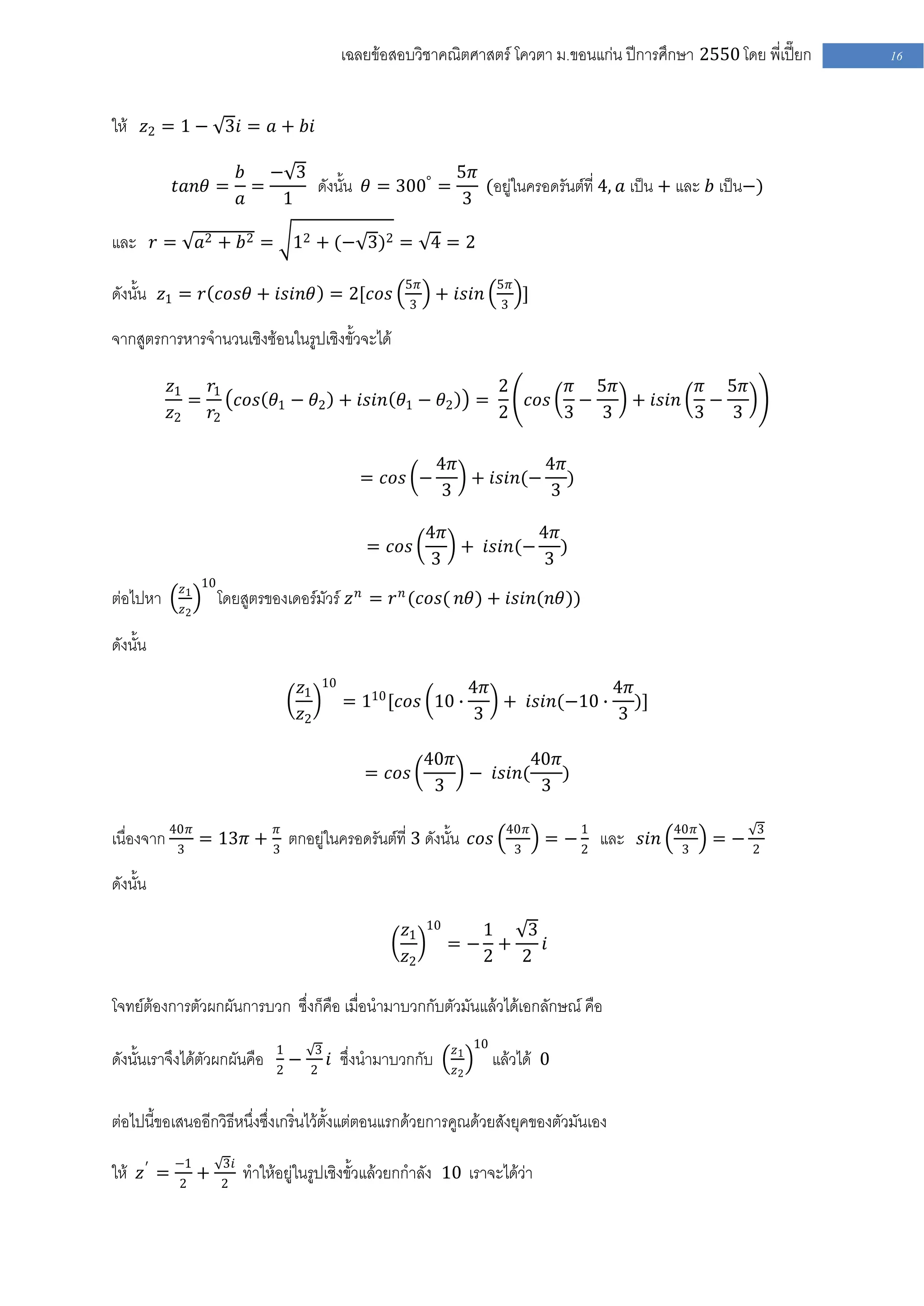
ให้ 𝑧2 = 1 − 3𝑖 = 𝑎 + 𝑏𝑖

                         𝑏 − 3                    5𝜋
           𝑡𝑎𝑛𝜃 =          =   ดังนั้น 𝜃 = 300° =    (อยู่ในครอดรันต์ที่ 4, 𝑎 เป็น + และ 𝑏 เป็น−)
                         𝑎   1                    3

และ 𝑟 =          𝑎2 + 𝑏 2 =       12 + (− 3)2 = 4 = 2

                                                      5𝜋                 5𝜋
ดังนั้น 𝑧1 = 𝑟 𝑐𝑜𝑠𝜃 + 𝑖𝑠𝑖𝑛𝜃 = 2[𝑐𝑜𝑠                    3
                                                              + 𝑖𝑠𝑖𝑛      3
                                                                                  ]

จากสูตรการหารจานวนเชิงซ้อนในรูปเชิงขั้วจะได้

          𝑧1   𝑟1                                                        2              𝜋 5𝜋         𝜋 5𝜋
             =    𝑐𝑜𝑠 𝜃1 − 𝜃2 + 𝑖𝑠𝑖𝑛 𝜃1 − 𝜃2                         =            𝑐𝑜𝑠     −   + 𝑖𝑠𝑖𝑛   −
          𝑧2   𝑟2                                                        2              3   3        3   3

                                                              4𝜋         4𝜋
                                               = 𝑐𝑜𝑠 −           + 𝑖𝑠𝑖𝑛(− )
                                                              3          3

                                                           4𝜋         4𝜋
                                                = 𝑐𝑜𝑠         + 𝑖𝑠𝑖𝑛(− )
                                                           3          3
            𝑧1 10
ต่อไปหา     𝑧2
                    โดยสูตรของเดอร์มัวร์ 𝑧 𝑛 = 𝑟 𝑛 (𝑐𝑜𝑠( 𝑛𝜃) + 𝑖𝑠𝑖𝑛(𝑛𝜃))

ดังนั้น
                                  𝑧1    10                           4𝜋             4𝜋
                                             = 110 [𝑐𝑜𝑠 10 ∙            + 𝑖𝑠𝑖𝑛(−10 ∙ )]
                                  𝑧2                                 3              3

                                                           40𝜋         40𝜋
                                                = 𝑐𝑜𝑠          − 𝑖𝑠𝑖𝑛(     )
                                                            3           3

เนื่องจาก 40𝜋 = 13𝜋 + 3𝜋 ตกอยู่ในครอดรันต์ที่ 3 ดังนั้น 𝑐𝑜𝑠                40𝜋            1           40𝜋        3
                                                                                      = − 2 และ 𝑠𝑖𝑛         =−
           3                                                                  3                        3         2

ดังนั้น

                                                      𝑧1   10     1   3
                                                                =− +    𝑖
                                                      𝑧2          2  2

โจทย์ต้องการตัวผกผันการบวก ซึ่งก็คือ เมื่อนามาบวกกับตัวมันแล้วได้เอกลักษณ์ คือ
                              1        3                        𝑧1 10
ดังนั้นเราจึงได้ตัวผกผันคือ   2
                                −   2
                                           𝑖 ซึ่งนามาบวกกับ     𝑧2
                                                                         แล้วได้ 0

ต่อไปนี้ขอเสนออีกวิธีหนึ่งซึ่งเกริ่นไว้ตั้งแต่ตอนแรกด้วยการคูณด้วยสังยุคของตัวมันเอง

ให้ 𝑧 ′ = −1 +      3𝑖
          2         2
                         ทาให้อยู่ในรูปเชิงขั้วแล้วยกกาลัง 10 เราจะได้ว่า
เฉลยข้อสอบวิชาคณิตศาสตร์ โควตา ม .ขอนแก่น ปีการศึกษา 2550 โดย พี่เปี๊ยก   17


                                                               2             2
                            −1       3                   −1             3                   2𝜋
                         𝑎=    , 𝑏=    , 𝑟=                        +             = 1, 𝜃 =
                            2       2                    2             2                    3

                                            2𝜋            2𝜋
ดังนั้น 𝑧′ = 𝑟 𝑐𝑜𝑠𝜃 + 𝑖𝑠𝑖𝑛𝜃 = 𝑐𝑜𝑠            3
                                                 + 𝑖𝑠𝑖𝑛    3

นามายกกาลัง 10 โดยใช้สูตรของเดอร์มัวร์จะได้

                                                      2𝜋             2𝜋   1  3𝑖
                       𝑧 = (𝑧′)10 = 𝑐𝑜𝑠 10 ∙             + 𝑖𝑠𝑖𝑛 10 ∙    =− +
                                                      3              3    2  2

ตัวผกผันการบวกของ 𝑧10 คือ 1 −        3𝑖
                          2          2

เห็นไหมล่ะว่าสังยุคมีประโยชน์มากนะครับวิธีที่สองง่ายกว่าเยอะเลยครับ

ตอบข้อ [4]

วิเคราะห์ : ข้อสอบข้อนี้ถือว่ายากครับพ่อแม่พี่น้องครับ เพราะต้องใช้ความรู้หลายอย่างเลย รวมถึงตรีโกณ
ด้วยครับ แต่ถ้าจาหลักการและฝึกทาบ่อยๆ จะจาได้เองครับ เป็นอัตโนมัติเชียวแหละไม่ต้องกังวล ข้อนี้ถือว่า
ต้องใช้เวลามากพอสมควร (ถ้าทามาถูกวิธีก็ไม่ยาวหรอกครับ) แต่ถ้าได้หลักการเหล่าแล้ว เรื่องตรีโกณก็จะ
เบาขึ้นมากครับ




หลักการหามุมเพื่อเขียนจานวนเชิงซ้อนให้อยู่ในรูปเชิงขั้ว

จาก 𝒛 = 𝒂 + 𝒃𝒊 ให้อยู่ในรูป 𝒛 = 𝒓(𝒄𝒐𝒔𝜽 + 𝒊𝒔𝒊𝒏𝜽)

เนื่องจากเราทราบกันดีแล้วว่า เราสามารถหา 𝒓 ได้จาก 𝒓 =              𝒂𝟐 + 𝒃𝟐

แต่ที่เป็นปัญหาคือ เราจะหา 𝜃 มาใส่ได้ถูกต้องหรือไม่

เราจะศึกษาจากตัวอย่างต่อไปนี้

ตัวอย่างที่ 1 จงเขียน 𝑧 = − 3 + 𝑖 ให้อยู่ในรูปเชิงขั้ว
เฉลยข้อสอบวิชาคณิตศาสตร์ โควตา ม .ขอนแก่น ปีการศึกษา 2550 โดย พี่เปี๊ยก    18



เริ่มแรกเลย จากโจทย์ 𝑎 = − 3 , 𝑏 = 1 และ 𝑟 = (− 3)2 + 12 = 2

และจาก 𝑡𝑎𝑛𝜃 = 𝑏𝑎 = −1 โดยที่ 𝜃 เป็นมุมทีวัดจากแกน 𝑋
                    3

และ 𝑎 เป็นหน่วยความยาวที่วัดจากแกน 𝑋 , 𝑏 เป็นหน่วยความยาวที่วัดจากแกน 𝑌 พิจารณาดังภาพ




ต่อไปพิจารณาสามเหลี่ยมมุมฉากที่เกิดขึ้นครับ เป็นสามเหลี่ยมที่มีความยาวด้านตรงข้ามมุม 𝜃 เป็น 1 และความยาวด้าน

ประชิดมุมเป็น 3 ดังนั้น 𝜃 = 30° = 6𝜋 แต่มุมที่เราจะระบุในเชิงขั้ว เป็นมุมที่วัดจากแกน 𝑋 ทางบวกในทิศทวนเข็ม

นาฬิกา ตามลูกศรเส้นปะดังภาพ ดังนั้น 𝜃 ที่เราจะใส่ในเชิงขั้ว คือ 𝜃 = 𝜋 − 6𝜋 = 5𝜋 = 150°
                                                                             6

( 𝜋 คือครึ่งรอบวงกลม = 180° นาไปลบ 𝜃 ออก จะได้มุมที่ต้องการครับ)

                                             5𝜋            5𝜋
ดังนั้น 𝑧 = 𝑟 𝑐𝑜𝑠𝜃 + 𝑖𝑠𝑖𝑛𝜃 = 2[𝑐𝑜𝑠            6
                                                  + 𝑖𝑠𝑖𝑛   6
                                                                ]


ตัวอย่างที่ 2 จงเขียน 𝑧 = 3 − 3 3𝑖 ให้อยู่ในรูปเชิงขั้ว

เริ่มแรกเลย จากโจทย์ 𝑎 = 3 , 𝑏 = −3 3 และ 𝑟 = 32 + (−3 3)2 = 6

และจาก 𝑡𝑎𝑛𝜃 = 𝑏𝑎 = −33 3 โดยที่ 𝜃 เป็นมุมทีวัดจากแกน 𝑋

และ 𝑎 เป็นหน่วยความยาวที่วัดจากแกน 𝑋 , 𝑏 เป็นหน่วยความยาวที่วัดจากแกน 𝑌 พิจารณาดังภาพ
เฉลยข้อสอบวิชาคณิตศาสตร์ โควตา ม .ขอนแก่น ปีการศึกษา 2550 โดย พี่เปี๊ยก        19




ต่อไปพิจารณาสามเหลี่ยมมุมฉากที่เกิดขึ้นครับ เป็นสามเหลี่ยมที่มีความยาวด้านตรงข้ามมุม 𝜃 เป็น 3 3 และความยาว

ด้านประชิดมุมเป็น 3 ดังนั้น 𝜃 = 60° = 3𝜋 แต่มุมที่เราจะระบุในเชิงขั้ว เป็นมุมที่วัดจากแกน 𝑋 ทางบวกในทิศทวนเข็ม

นาฬิกา ตามลูกศรเส้นปะดังภาพ ดังนั้น 𝜃 (ที่เราจะใส่ในเชิงขั้ว)คือ 𝜃 = 2𝜋 − 3𝜋 = 5𝜋 = 300°
                                                                               3

(2𝜋 คือรอบวงกลม 1 รอบ = 360° นาไปลบ 𝜃 ออก จะได้มุมที่ต้องการครับ)

         ถ้าใครอ่านทั้งสองตัวอย่างยังไม่รู้เรื่อง ผมมีอีกวิธีครับ จากตัวอย่างที่ 1 จะเขียน 𝑧 = − 3 + 𝑖 ในรูปเชิงขั้ว

ขั้นแรกให้เรานึกถึง 𝑡𝑎𝑛𝜃 = 𝑏𝑎 =     1                                                       𝜋
                                         (ยังไม่ต้องคิดเครื่องหมายใดๆทั้งสิ้น ) จะได้ 𝜃 =
                                     3                                                      6

แต่เนื่องจาก 𝜃 ตกอยู่ในครอดรันต์ที่ 2 (ตอนนี้คิดเครื่องหมายของ 𝑎 และ 𝑏 ทาให้ได้ 𝜃 อยู่ใน 𝑄2 ) ดังภาพ
เฉลยข้อสอบวิชาคณิตศาสตร์ โควตา ม .ขอนแก่น ปีการศึกษา 2550 โดย พี่เปี๊ยก      20


หลังจากนั้นให้เราไล่มุมเริ่มจาก

                           ตัวเลขที่ปรากฏ 1, 5, 7, 11 คือ ตัวเลขเรียงถัดไป และมี ห .ร.ม กับ กับ 6 เป็น 1

                           (หรือคิดง่ายๆ ตัวเลขที่เอาเลขอะไรไปตัดกับ 6 ไม่ได้นั่นเอง)


                                              𝜋   5𝜋   7𝜋   11𝜋
                                                ⟹    ⟹    ⟹
                                              6   6    6     6



                                               𝑄1        𝑄2        𝑄3        𝑄3

หมายความว่า ถ้ามุมตกอยู่ในครอดรันต์ที่ 2 ( 𝑄2 ) เราจะได้ว่า 𝜃 = 5𝜋 ครับ ถ้าตกอยู่ในครอดรันต์ที่ 3 ก็กลายเป็นมุม7𝜋
                                                                6                                              6

นั่นเองครับ (แนะนาว่าให้ไล่ 1, 2, 3, 4, ,5, … ไปเรื่อยๆและดูว่าตัวเลขตัวไหนที่เอาอะไรตัดกับ 6 ไม่ได้)

ตัวอย่างที่ 2(วิธีที่ 2) จงเขียน 𝑧 = 3 − 3 3𝑖 ให้อยู่ในรูปเชิงขั้ว
ขั้นแรกให้เรานึกถึง 𝑡𝑎𝑛𝜃 = 𝑏𝑎 = −33 3 = 3 (ยังไม่ต้องคิดเครื่องหมายใดๆทั้งสิ้น คิดแค่ 𝑡𝑎𝑛 𝜃 = 3) จะได้
       𝜋
   𝜃 = 3 แต่เนื่องจาก 𝜃 ตกอยู่ในครอดรันต์ที่ 4 (ตอนนี้คิดเครื่องหมายของ 𝑎 และ 𝑏 ทาให้ได้ 𝜃 อยู่ใน 𝑄2 ) ดังภาพ




หลังจากนั้นให้เราไล่มุมเริ่มจาก

                                                    𝜋   2𝜋   4𝜋   5𝜋
                                                      ⟹    ⟹    ⟹
                                                    3   3    3    3



                                                    𝑄1        𝑄2        𝑄3        𝑄4
เฉลยข้อสอบวิชาคณิตศาสตร์ โควตา ม .ขอนแก่น ปีการศึกษา 2550 โดย พี่เปี๊ยก      21


เราจะได้ว่า มุมที่เราต้องการคือ 𝜃 = 5𝜋
                                    3


หลักการลดทอนมุมทางตรีโกณมิติ

เริ่มต้นจากการท่องว่า 𝐴𝐿𝐿 ⟹ 𝑠𝑖𝑛 ⟹ 𝑡𝑎𝑛 ⟹ 𝑐𝑜𝑠 ดูภาพประกอบนะครับ




คาอธิบาย : ครอดรันต์ที่ 1 𝐴𝐿𝐿 ทุกฟังก์ชันถ้ามุมตกอยู่ในครอดรันต์นี้ ค่าที่ได้จะมีค่าเป็นบวกหมดครับ ไม่ว่าจะเป็น

𝑠𝑖𝑛, 𝑐𝑜𝑠, 𝑡𝑎𝑛, 𝑠𝑒𝑐, 𝑐𝑜𝑠𝑒𝑐, 𝑐𝑜𝑡

                                                                                      1
ครอดรันต์ที่ 2 𝑠𝑖𝑛 และส่วนกลับของ 𝑠𝑖𝑛 คือ 𝑐𝑜𝑠𝑒𝑐 ที่เป็นบวก เพราะ 𝑠𝑖𝑛 𝜃 =         𝑐𝑜𝑠𝑒𝑐 𝜃


                                                                                  1
ครอดรันต์ที่ 3 𝑡𝑎𝑛 และส่วนกลับของ 𝑡𝑎𝑛 คือ 𝑐𝑜𝑡 ที่เป็นบวก เพราะ 𝑡𝑎𝑛 𝜃 =          𝑠𝑖𝑛 𝜃


                                                                                 1
ครอดรันต์ที่ 4 𝑐𝑜𝑠 และส่วนกลับของ 𝑐𝑜𝑠 คือ 𝑠𝑒𝑐 ที่เป็นบวก เพราะ 𝑐𝑜𝑠 𝜃 =          𝑠𝑒𝑐 𝜃


                        4𝜋
เมื่อเราต้องการหา 𝑐𝑜𝑠    3
                             ให้เราหาก่อนว่า 4𝜋 ตกอยู่ในครอดรันต์ใด
                                             3

         4                            1
พิจารณา 3 เราสามารถเขียนเป็น 1 + 3



                                              1
                                         1+
                                              3
                                                        เพราะ 1 คือผลหาร และ 1 คือ เศษที่เกิดจากการหาร
เฉลยข้อสอบวิชาคณิตศาสตร์ โควตา ม .ขอนแก่น ปีการศึกษา 2550 โดย พี่เปี๊ยก          22


ดังนั้น

                                 4𝜋      𝜋                                                      𝜋
                                    = 𝜋+
                                 3       3
                                                                  มุมนี้อยู่ในแนวราบ



จากสูตร       𝑐𝑜𝑠(ราบ ± 𝜃) = ±𝑐𝑜𝑠 𝜃
                                                         จะได้บวกหรือลบขึ้นอยู่กับว่ามุมตกอยู่ในควอดรันต์ที่เท่าไหร่


                            4𝜋                       𝜋
เนื่องจากเราพิจารณา 𝑐𝑜𝑠     3
                                 = 𝑐𝑜𝑠 𝜋 +
                                                 3




                                                 𝜋
                                             
                                             3


                                                                                   4𝜋                    𝜋
ดังนั้นมุมตกอยู่ในควอดรันต์ที่ 3 𝑡𝑎𝑛 กับ 𝑐𝑜𝑡 เท่านั้นที่เป็นบวก ดังนั้น 𝑐𝑜𝑠         3
                                                                                         = 𝑐𝑜𝑠 𝜋 + 3 =
          𝜋       −1
−𝑐𝑜𝑠          =
          3       2

นอกจากนี้เรายังสามารถพิจารณามุมอื่นๆได้อีกด้วย มีสูตรดังต่อไปนี้

                                            𝑐𝑜𝑠(ราบ ± 𝜃) = ±𝑐𝑜𝑠 𝜃

                                            𝑠𝑖𝑛(ราบ ± 𝜃) = ±𝑠𝑖𝑛 𝜃

                                           𝑡𝑎𝑛(ราบ ± 𝜃) = ±𝑡𝑎𝑛 𝜃

                                            𝑐𝑜𝑡(ราบ ± 𝜃) = ±𝑐𝑜𝑡 𝜃

                                            𝑠𝑒𝑐(ราบ ± 𝜃) = ±𝑠𝑒𝑐 𝜃

                                         𝑐𝑒𝑠𝑒𝑐(ราบ ± 𝜃) = ±𝑐𝑜𝑠𝑒𝑐 𝜃

                                            𝑐𝑜𝑠(ราบ ± 𝜃) = ±𝑐𝑜𝑠 𝜃

เครื่องหมาย บวกหรือลบที่ได้ขึ้นอยู่กับว่ามุมตกอยู่ในครอดรันต์ที่เท่าใด และมุมในแนวราบในที่นี้คือ 0, 𝜋, 2𝜋, 3𝜋, …
เฉลยข้อสอบวิชาคณิตศาสตร์ โควตา ม .ขอนแก่น ปีการศึกษา 2550 โดย พี่เปี๊ยก        23


𝟏𝟑. ถ้าให้ 𝑨 = {𝟏, 𝟐, 𝟑} และ 𝑩 = {𝟏, 𝟐, 𝟑, 𝟒, 𝟓} แล้ว จานวนของฟังก์ชันจาก 𝑨 ไปยัง 𝑩 ที่เป็นฟังก์ชัน

เพิ่มคือข้อใดต่อไปนี้
 [𝟏] 𝟏𝟎                                         𝟐       𝟏𝟐

 [𝟑] 𝟏𝟒                                         𝟒 𝟏𝟔
เฉลย    นิยามของฟังก์ชันเพิ่ม คือ ถ้า 𝑥1 < 𝑥2 แล้ว 𝑓 𝑥1 < 𝑓(𝑥2 )

เราสามารถแยกเป็นกรณีเพื่อพิจารณาได้ดังนี้
กรณี 𝑓 1 = 1 (นั่นคือ ให้ 𝑓 ส่ง 1 ไปที่ 1)
จะทาให้ 𝑓(2) ส่งไปที่ 2 หรือ 3 หรือ 4 (ส่งไปที่ 5 ไม่ได้นะ เพราะจะไม่เหลือค่าให้ส่ง 3 อย่าลืมว่าเงื่อนไขเราต้องการ
ฟังก์ชันเพิ่ม) ดูจากภาพ
                                                                1
                                            1                   2
                                            2                   3
                                            3                   4
                                                                5


เราไม่สามารถหาตัวที่ส่งไป 3 ไปได้ สมมติถ้า 𝑓(3) = 2 จะส่งผลทาให้ฟังก์ชันที่ได้ไม่เป็นฟังก์ชันเพิ่มครับ เพราะ 2 < 3
แต่ 𝑓(2) ≮ 𝑓(3)

ต่อไปพิจารณาถ้า 𝑓(2) = 2 จะได้ว่า 𝑓 3 เลือกส่งได้ 3 วิธี ถ้าเราจะจาแนกเป็นแผนภาพก็ได้ดังนี้ครับ



                                1                                   1                                   1

             1                                      1               2               1                   2
                                2
             2                                      2               3               2                   3
                                3
                                4                   3               4               3                   4
             3
                                5                                   5                                   5




𝑓(2) = 3 จะได้ว่า 𝑓 3 เลือกส่งได้ 2 วิธี ถ้าเราจะจาแนกเป็นแผนภาพก็ได้ดังนี้ครับ

                                                    1                              1
                            1                       2           1                  2
                            2                       3           2                  3
                            3                       4           3                  4
                                                    5                              5
เฉลยข้อสอบวิชาคณิตศาสตร์ โควตา ม .ขอนแก่น ปีการศึกษา 2550 โดย พี่เปี๊ยก   24


𝑓(2) = 4 จะได้ว่า 𝑓 3 เลือกส่งได้ 1 วิธี ถ้าเราทาเป็นแผนภาพก็ได้ดังนี้ครับ

                                                              1
                                            1                 2
                                            2                 3
                                            3                 4
                                                              5



รวมทั้งหมด คือ 3 + 2 + 1 = 6 วิธี

กรณี 𝑓 1 = 2 (นั่นคือ ให้ 𝑓 ส่ง 1 ไปที่ 1)
จะทาให้ 𝑓(2) ส่งไปที่ 3 หรือ 4
         𝑓(2) = 3 จะได้ว่า 𝑓 3 เลือกส่งได้ 2 วิธี ถ้าเราจะจาแนกเป็นแผนภาพก็ได้ดังนี้ครับ

                                                1                             1
                           1                    2            1                2
                           2                    3            2                3
                           3                    4            3                4
                                                5                             5

𝑓(2) = 3 จะได้ว่า 𝑓 3 เลือกส่งได้ 1 วิธี ถ้าเราจะจาแนกเป็นแผนภาพก็ได้ดังนี้ครับ

                                                                 1
                                             1                   2
                                             2                   3
                                             3                   4
                                                                 5



รวมทั้งหมด คือ 2 + 1 = 3 วิธี
เฉลยข้อสอบวิชาคณิตศาสตร์ โควตา ม .ขอนแก่น ปีการศึกษา 2550 โดย พี่เปี๊ยก   25


กรณี 𝑓 1 = 3 จะได้ 𝑓 2 = 4, 𝑓 3 = 5 ทาได้ 1 วิธีถ้าเราจะจาแนกเป็นแผนภาพก็ได้ดังนี้ครับ

                                                          1
                                       1                  2
                                       2                  3
                                       3                  4
                                                          5




เราจะรวมทุกกรณีได้ 6 + 3 + 1 = 10 วิธี
ตอบข้อ [1]
วิเคราะห์ : ข้อสอบแนวนี้นาฟังก์ชันมาประยุกต์ใช้กับเรื่องการเรียงสับเปลี่ยน และการจัดหมู่ ถือว่าเป็น
ข้อสอบที่แวกแนวอีกแบบ แต่ถ้าเข้าใจพื้นฐานเรื่องการนับเบื้องตันก็ไม่น่าเป็นห่วงหรอกครับ แค่ส่วนใหญ่
เรื่องนี้มักเป็นไม้เบื่อไม้เมากับเด็กเลยทีเดียว ฮ่าๆๆๆ




14. กาหนดตารางแจกแจงความถี่ต่อไปนี้

                             คะแนน                                 ความถี่
                            21 − 30                                  90
                            31 − 40                                   𝐴
                            41 − 50                                  50
                            51 − 60                                   𝐵
                            61 − 70                                  10


ถ้าคะแนนในตาแหน่งเปอร์เซ็นไทล์ที่ 𝟓𝟎 คือ 𝟒𝟎. 𝟓 แล้วค่าของ 𝑨 − 𝑩 คือข้อใดต่อไปนี้
[𝟏] −𝟒𝟎              𝟐   − 𝟑𝟎              𝟑   𝟑𝟎              𝟒   𝟒𝟎

เฉลย พิจารณาตารางแจกแจงความถี่และความถี่สะสมได้ดังนี้นะครับ


             คะแนน                              ความถี่                          ความถี่สะสม
           21 − 30                                  90                              90
           31 − 40                                   𝐴                            90 + 𝐴
           41 − 50                                  50                            140 + 𝐴
           51 − 60                                   𝐵                          140 + 𝐴 + 𝐵
           61 − 70                                  10                          150 + 𝐴 + 𝐵
เฉลยข้อสอบวิชาคณิตศาสตร์ โควตา ม .ขอนแก่น ปีการศึกษา 2550 โดย พี่เปี๊ยก           26




                                                     𝑘𝑁
ทบทวนก่อนนะครับ ตาแหน่งเปอร์เซ็นไทล์ที่ 𝑘 คือ 𝑃 𝑘 = 100
                              𝑘𝑁
ตาแหน่งเดไซล์ ที่ 𝑘 คือ 𝐷 𝑘 = 10 (เพิ่มให้นะครับ แต่อย่าลืมว่าเป็นตาแหน่งของข้อมูลที่มีการแจกแจงความถี่แล้วเท่านั้น
นะ ถ้าข้อมูลยังไม่แจกแจงความถี่ เราต้องใช้อีกสูตร ลองกลับไปทบทวนดูว่ามันเป็นอย่างไรนะ)
                                  𝑘𝑁
ตาแหน่งคลอไทล์ที่ 𝑘 คือ 𝑄 𝑘 =      4
                                       ต่อไปเป็นสูตรคานวณหาเปอร์เซ็นไทล์ เดไซล์ และคลอไทล์ นะครับ
                                                           𝑘𝑁
                                                        𝐼 100 − 𝐹 𝑃
                                               𝑃𝑘 = 𝐿 +
                                                              𝑓𝑃



                                                          𝑘𝑁
                                                        𝐼 10 − 𝐹 𝐷
                                               𝐷𝑘 = 𝐿 +
                                                             𝑓𝐷



                                                                𝑘𝑁
                                                            𝐼       − 𝐹𝑄
                                                                4
                                               𝑄𝑘 = 𝐿 +
                                                                   𝑓𝑄



เมื่อ 𝑃 𝑘 , 𝐷 𝑘 , และ 𝑄 𝑘 คือ ค่าของเปอร์เซ็นไทล์ เดไซล์ และ คลอไทล์ ตามลาดับ
           𝐿 คือ ขอบล่างของชั้นที่มี 𝑃 𝑘 , 𝐷 𝑘 , และ 𝑄 𝑘 ทั้งนี้เราจะรู้เมื่อหาตาแหน่งออกมาแล้วนะครับ
           𝐼 คือ ความกว้างอันตรภาคชั้น
           𝑘𝑁       𝑘𝑁       𝑘𝑁
          100 10
                ,        ,คือตาแหน่งของเปอร์เซ็นไทล์ เดไซล์ และคลอไทล์ตามลาดับ
                             4
         𝐹 𝑃 , 𝐹 𝐷 , 𝐹 𝑄 คือ ความถี่สะสมของอันตรภาคชั้นที่มีค่าต่ากว่าอันตรภาคชั้นที่มีเปอร์เซ็นไทล์ เดไซล์ และคลอไทล์
อยู่ตามลาดับ
         𝑓𝑝 คือ ความถี่ในชั้นที่มี 𝑃 𝑘 , 𝐷 𝑘 , และ 𝑄 𝑘 อยู่ตามลาดับ
         𝑁 คือจานวนข้อมูลทั้งหมดที่มี เราอาจเอามาจากความถี่สะสมในชั้นสุดท้ายก็ได้นะ

จากโจทย์ ตาแหน่งเปอร์เซ็นไทล์ที่ 50 คือ 𝑃50 = 50 150+𝐴+𝐵 =            150+𝐴+𝐵
                                                  100                      2

ดังนั้น
                                                                𝑘𝑁
                                                             𝐼 100 − 𝐹 𝑃
                                       𝑃50   = 40.5 = 40.5 +
                                                                   𝑓𝑃
                                                     150 + 𝐴 + 𝐵
                                               10         2      − (90 + 𝐴)
                                  = 40.5 +
                                                             50
เฉลยข้อสอบวิชาคณิตศาสตร์ โควตา ม .ขอนแก่น ปีการศึกษา 2550 โดย พี่เปี๊ยก   27


                                         150 + 𝐴 + 𝐵 − 2(90 + 𝐴)
                                                   2
                                = 40.5 +
                                                   5
                                              150 + 𝐴 + 𝐵 − 180 − 2𝐴)
                                  = 40.5 +
                                                         2
                                                    (−30 − 𝐴 + 𝐵)
                                        = 40.5 +
                                                          2
ดังนั้น
                          (−30 − 𝐴 + 𝐵)
          40.5 = 40.5 +                 ===≫ −30 − 𝐴 + 𝐵 = 0 ===≫ 𝐴 − 𝐵 = −30
                                2
ตอบข้อ [2]
วิเคราะห์ : ข้อสอบแนวนี้จาสูตรได้ก็ได้แหละครับกุญแจสาคัญอยู่ที่สูตร เพราะมันเยอะซะจนปวดหัวไปหมด
พยายามจาแบบมีหลักการ แล้วแยกแยะให้ดีระหว่างข้อมูลที่แจกแจงและไม่แจกแจงความถี่ เพราะสูตร
บางอย่างไม่เหมือนกันครับ




ตอนที่ 2 ข้อสอบแบบปรนัยแบบ 4 ตัวเลือก จานวน 14 ข้อ (ข้อ 15-28) ข้อละ 3 คะแนน

15. ให้ 𝒑, 𝒒, 𝒓 และ 𝒔 เป็นประพจน์ใดๆ
พิจารณาข้อความต่อไปนี้
ก) ถ้า ~𝒑 ↔ 𝒔 ∧ ∼ 𝒓 → 𝒒 → (𝒓 ∨∼ 𝒔) มีค่าความจริงเป็นเท็จ แล้วค่าความจริงของ
ให้ 𝒑, 𝒒, 𝒓 และ 𝒔 เป็นจริง เท็จ เท็จ และ จริงตามลาดับ
ข) ถ้า (𝒑 →∼ 𝒒) ∨ 𝒓 มีค่าความจริงเป็นเท็จ แล้ว 𝒑 ↔ 𝒓 → (𝒒 ∨ 𝒔) มีค่าความจริงเป็นจริง
ข้อใดต่อไปนี้ถูก
 [𝟏] ก) ถูก และ ข) ถูก                                    𝟐   ก) ถูก และ ข) ผิด

 [𝟑] ก) ผิด และ ข) ถูก                                    𝟒   ก) ผิด และ ข) ผิด

เฉลย เรื่องนี้มีหัวใจอยู่ที่ค่าความจริงการเชื่อมประพจน์ ของ ∧, , →, ↔, ∼ ครับ เราอาจเห็นเป็นตารางให้ดูตาราง
เทียบกันหลักการจาต่อไปนี้ คือ
∧ เป็นจริง เพียงกรณีเดียว คือ 𝑇 ∧ 𝑇 นอกนั้นเป็นเท็จหมด ไม่ว่าจะเป็น 𝐹 ∧ 𝑇, 𝑇 ∧ 𝐹, 𝐹 ∧ 𝐹 เชื่อมกันเป็นเท็จ
หมด เราจึงจาเป็นต้องจาให้ได้เพียงกรณีเดียวพอครับ เพราะนอกนั้นก็จาว่ามันเป็นเท็จหมดครับ
∨ เป็นเท็จ เพียงกรณีเดียวคือ 𝐹 ∨ 𝐹 นอกนั้นอีก 3 กรณีที่เหลือเป็นจริงหมดครับ น้องลองคิดเอานะว่ามีอะไรบ้าง
→ เป็นเท็จ กรณีเดียว คือ 𝑇 → 𝐹 นอกนั้นเป็นจริงหมด
เฉลยข้อสอบวิชาคณิตศาสตร์ โควตา ม .ขอนแก่น ปีการศึกษา 2550 โดย พี่เปี๊ยก         28


↔ เป็นจริง 2 กรณีเมื่อค่าความจริงเหมือนกัน ได้แก่ 𝑇 ↔ 𝑇, 𝐹 ↔ 𝐹 เป็นจริงเพียง 2 กรณีนี้ ถ้าต่างกันก็เป็นเท็จนั่นเอง
จากโจทย์เราจะได้ว่า




จากแผนภาพข้างบนอธิบายได้ว่า เนื่องจากการเชื่อมด้วย → เป็นเท็จกรณีเดียวคือ 𝑇 → 𝐹 ใส่ 𝑇 และ 𝐹 ในบรรทัดที่สอง
ดังภาพ พิจารณา ขวามือ การเชื่อมด้วย ∨ เป็นเท็จกรณีเดียวคือ 𝐹 ∨ 𝐹 ดังนั้น 𝑟 ≡ 𝐹 (อ่านว่า 𝑟 เป็น เท็จนะ) และจะ
ได้ ∼ 𝑠 ≡ 𝐹 ด้วย ดังนั้น 𝑠 ≡ 𝑇 พิจารณาซ้ายมือ การเชื่อมด้วย ∧ เป็นจริงได้เมื่อเชื่อมด้วย 𝑇 ∧ 𝑇 นาค่าความจริงที่
ได้จากขวามือมาใส่ทางซ้ายมือ จะได้ ∼ 𝑟 ≡ 𝑇 (เพราะ 𝑟 ≡ 𝐹 มาก่อนครับ) แต่การเชื่อมกันด้วย ∧ เป็นจริงได้เพียงกรณี
เดียวดังนั้น 𝑞 ≡ 𝑇 นาค่าความจริงของ 𝑠 จากฝั่งขวามือมาใส่ แต่เนื่องจากการเชื่อมกันด้วย ↔ เป็นจริงได้เมื่อเชื่อมกัน
ด้วยค่าความจริงที่เหมือนกัน ดังนั้นจะได้ ∼ 𝑝 ≡ 𝑇 นั่นคือ 𝑝 ≡ 𝐹
ตอนนี้เราได้ค่าความจริงของประพจน์แต่ละตัวหมดแล้วนะครับ พบว่าข้อความ ก) ไม่เป็นจริงเพราะ 𝑞 ≡ 𝑇 ครับ
พิจารณาข้อ ข)      (𝑝 →∼ 𝑞) ∨ 𝑟

                                             (𝑝 →∼ 𝑞) ∨ 𝑟
                                                           𝐹

                                                   𝐹           𝐹


                                              𝑇        𝐹

                                                           𝑇


ดังนั้น 𝑝 ≡ 𝑇, 𝑞 ≡ 𝑇, 𝑟 ≡ 𝐹 นาค่าความจริงไปแทนใน 𝑝 ↔ 𝑟 → 𝑞 ∨ 𝑠 จะได้ดังนี้
เฉลยข้อสอบวิชาคณิตศาสตร์ โควตา ม .ขอนแก่น ปีการศึกษา 2550 โดย พี่เปี๊ยก              29




ถึงแม้ว่าจะไม่รู้ค่าความจริงของ 𝑠 แต่เราต้องสามารถสรุปได้ว่า การเชื่อมด้วย ∨ ถ้ามี 𝑇 อยู่ข้างใดข้างหนึ่งเมื่อเชื่อมแล้วจะ
ได้จริงเสมอนะครับ ดังนั้น ข) เป็นจริงครับ
ตอบข้อ [3]
วิเคราะห์ : ข้อสอบข้อนี้หัวใจอยู่ที่ค่าความจริงของการเชื่อมประพจน์อย่างที่บอกแต่แรกครับ และ
ตรรกศาสตร์เกือบทั้งบทใช้พื้นฐานนี้อย่างมากเลย เพราะฉะนั้นถามตัวเองก่อนว่าจาค่าความจริงของการ
เชื่อมประพจน์ได้หรือยัง ถ้ายัง … ก็ทาความเข้าใจซะ ก่อนที่จะสายไป



𝟏𝟕. กาหนดให้ 𝒙 เป็นจานวนเต็มบวกที่มีค่ามากที่สุดที่หาร 𝟏𝟔, 𝟒𝟎 และ 𝟏𝟎𝟎 แล้วมีเศษเหลือเท่ากัน และ 𝒚
เป็นจานวนเต็มบวกที่น้อยที่สุดที่หารด้วย 𝟏𝟔, 𝟒𝟎 และ 𝟏𝟎𝟎 แล้วมีเศษเหลือเป็น 𝟏 ค่าของ 𝒚 − 𝒙 คือข้อใด
[𝟏] 𝟑𝟖𝟗                  𝟐   𝟒𝟎𝟎               𝟑    𝟒𝟖𝟗                  𝟒    𝟓𝟎𝟎

เฉลย ให้ 𝑥 เป็นจานวนเต็มที่หาร 16, 40 และ 100 แล้วมีเศษเหลือเท่ากัน ดังนั้นเราสามารถเขียนสมการได้ว่า

(สมการนี้เราต้องเขียนเป็นนะครับเวลาโจทย์ให้มา)

                                            16 = 𝑥𝑘1 + 𝑟__________(1)

                                            40 = 𝑥𝑘2 + 𝑟__________(2)

                                            100 = 𝑥𝑘3 + 𝑟__________(3)

สาหรับบางจานวนเต็ม 𝑘1 , 𝑘2 , 𝑘3 พิจารณาการลบกันของสมการเป็นคู่ๆดังนี้

(2) − (1); 24 = 𝑥(𝑘2 − 𝑘1 )

(3) − (2); 60 = 𝑥(𝑘3 − 𝑘2 )

(3) − (1); 84 = 𝑥(𝑘3 − 𝑘1 )
เฉลยข้อสอบวิชาคณิตศาสตร์ โควตา ม .ขอนแก่น ปีการศึกษา 2550 โดย พี่เปี๊ยก   30


จะได้ว่า 𝑥|24, 𝑥|60, 𝑥|84 (อ่านว่า 𝑥 หาร 24 ลงตัว, 𝑥 หาร 60 ลงตัว , 𝑥 หาร 84 ลงตัว)
ค่า 𝑥 ที่มากที่สุดคือ ห.ร.ม ของ 24, 60, 84 ซึ่งก็คือ 12
ให้ 𝑦 เป็นจานวนเต็มที่หารด้วย 16, 40 และ 100 แล้วมีเศษเหลือ 1 ดังนั้นเราสามารถเขียนสมการได้ดังนี้


                                           𝑦 = 16𝑘1 + 1__________(4)

                                           𝑦 = 40𝑘2 + 1__________(5)

                                           𝑦 = 100𝑘3 + 1__________(6)

สาหรับบางจานวนเต็ม 𝑘1 , 𝑘2 , 𝑘3 ดังนั้นเราจะได้ว่า

                                                     𝑦 − 1 = 16𝑘1

                                                     𝑦 − 1 = 40𝑘2

                                                   𝑦 − 1 = 100𝑘3

ดังนั้น 16|𝑦 − 1, 40|𝑦 − 1, 100|𝑦 − 1

 𝑦 − 1 ที่น้อยที่สุดคือ ค.ร.น ของ 16, 40 และ 100 ซึ่งก็คือ 400 ดังนั้น 𝑦 − 1 = 400 นั่นคือ 𝑦 = 401

โจทย์ต้องการหา 𝑦 − 𝑥 = 401 − 12 = 389

ตอบข้อ [1]

วิเคราะห์ : ข้อสอบข้อนี้เกี่ยวกับเรื่องทฤษฎีจานวน โดยเฉพราะเรื่อง การหาร , ค.ร.น, ห .ร.ม เพราะฉะนั้นถ้า
ยังไม่เข้าใจเรื่องดังกล่าวควรทบทวนด่วนแล้วนะครับ เพราะข้อสอบออกไม่ยากเลย เก็บคะแนนได้ง่ายๆ




𝟏𝟖. โดยกระบวนการดาเนินการตามแถว พบว่า


                          𝑥    2 −3 1            0 0      ~   1 0 0 −5 4 −3
                          2     𝑦 0 0            1 0          0 1 0 10 −7 6
                          4    −2 𝑧 0            0 1          0 0 1 9 −6 5
เฉลยข้อสอบวิชาคณิตศาสตร์ โควตา ม .ขอนแก่น ปีการศึกษา 2550 โดย พี่เปี๊ยก   31


ค่าของ 𝒙 + 𝒚 + 𝒛 คือข้อใดต่อไปนี้
[𝟏] −𝟗               𝟐   − 𝟕                        𝟑    𝟓                       𝟒   𝟖

เฉลย เพื่อความสะดวกเราจะทาจากขวามือมาเป็นซ้ายมือ โดยมีข้อกาหนดเบื้องต้นว่า ถ้าเขียน
  1                            1
− 5 𝑅1 → 𝑅1 หมายถึง เอา − 5 คูณกับเมตริกซ์ในแถวที่ 1 แล้วเก็บค่าที่ได้ไปไว้ในแถวที่ 1

−10𝑅1 + 𝑅2 → 𝑅2 หมายถึง เอา −10 คูณกับเมตริกซ์ในแถวที่ 1 บวกกับเมตริกซ์ในแถวที่ 2 แล้วเก็บค่าที่ได้ไปไว้ใน

แถวที่ 2


                                               1 0 0 −5 4 −3
                                               0 1 0 10 −7 6
จากโจทย์
                                               0 0 1 8 −6 5


                                           1                         4       3
                                   −5           0 0 1 −5
  1                                                                          5
− 5 𝑅1 → 𝑅1                        0            1 0 10 −7                    6
                                   0            0 1 8 −6                     5

                                           1                     4       3
                                   −5           0 0 1 −5                 5
−10𝑅1 + 𝑅2 → 𝑅2                    2            1 0 0 1                  0
                                   0            0 1 8 −6                 5

                                           1                     4       3
                                   −5           0 0 1 −5                 5
−8𝑅1 + 𝑅3 → 𝑅3                     2            1 0 0        1           0
                                       8                     2           1
                                                0 1 0
                                       5                     5           5

                                   3           0 2 1 0 1
                                   2           1 0 0 1 0
2𝑅3 + 𝑅1 → 𝑅1                      8                 2 1
                                               0 1 0 5 5
                                   5


                                   3           0        2 1 0 1
                                   2           1        0 0 1 0
   2                               4            2             1
− 5 𝑅2 + 𝑅3 → 𝑅3                               −5       1 0 0 5
                                   5



                                   3 0 2 1 0                         1
5𝑅3 → 𝑅3                           2 1 0 0 1                         0
                                   4 −2 5 0 0                        1
เฉลยข้อสอบวิชาคณิตศาสตร์ โควตา ม .ขอนแก่น ปีการศึกษา 2550 โดย พี่เปี๊ยก    32

                                   −1 2 −3 1 0 0
−𝑅3 + 𝑅1 → 𝑅1                      2  1 0 0 1 0
                                   4 −2 5 0 0 1


ดังนั้นจะได้ 𝑥 + 𝑦 + 𝑧 = −1 + 1 + 5 = 5
ตอบข้อ [3]
วิเคราะห์ : ข้อสอบประมาณนี้ไม่ค่อยเห็นมากนัก แต่ในชุดนี้มีข้อสอบประเภทนี้ถึงสองข้อด้วยกัน แสดงให้
เห็นว่า ทางมหาลัยอยากจะเน้นการโอเปอเรชันทางแถวอย่างมาก เพราะการโอเปอเรชันทางแถวจัดได้ว่าอยู่
ในเนื้อหาของ Math I และ Numerical Analysis I ที่ใช้เมตริกซ์เป็นพื้นฐาน เอาเป็นว่า ยังไงเราก็หนีมันไม่พ้น ถ้าหนี
ตอนนี้ก็ได้เจอกันตอนหน้าในอนาคตก็แล้วกันครับ




𝟏𝟗. กาหนดให้ 𝒇(𝒏) คือ เศษที่เกิดจากการหาร 𝒏 ด้วย 𝟒 และ 𝒈(𝒏) = 𝒏 𝟐 + 𝟏
          𝟐𝟓𝟓𝟎
ค่าของ    𝒏=𝟏    𝒇𝒐𝒈     𝒏 คือข้อใดต่อไปนี้
[𝟏] 𝟐𝟓𝟓𝟎                 𝟐     𝟑𝟖𝟐𝟓               𝟑   𝟓𝟏𝟎𝟎                 𝟒   𝟔𝟐𝟕𝟓
เฉลย โดยคุณสมบัติของการคอมโพสิทฟังก์ชันเราจะได้ว่า
                                           𝑓𝑜𝑔(𝑛) = 𝑓(𝑔(𝑛)) = 𝑓(𝑛2 + 1)
แต่ 𝑓(𝑛2 + 1) คือเศษที่เกิดจากการหาร (𝑛2 + 1) ด้วย 4 พิจารณาอนุกรมต่อไปนี้
                          2550
                                    𝑓𝑜𝑔     𝑛 = 𝑓𝑜𝑔(1) + 𝑓𝑜𝑔(2) + ⋯ + 𝑓𝑜𝑔(2550)
                             𝑛=1


                                    = 𝑓(12 + 1) + 𝑓(22 + 1) + ⋯ + 𝑓(25502 + 1)

                                   = 𝑓(2) + 𝑓(5) + 𝑓(10) + 𝑓(17) … + 𝑓(25502 + 1)


                                   = 2 + 1 + 2 + 1 + 2 + ⋯ + 2 + 1 (คิดดูนะครับ ทาไมตัวสุดท้ายถึงเป็น 1)


สังเกตว่า มี 2 ทั้งหมด 1275 ตัว และ มี 1 ทั้งหมด 1275 ตัว ดังนั้นผลรวมจะได้ดังนี้
                                    2550
                                            𝑓𝑜𝑔   𝑛 = 2(1275) + 1275 = 3825
                                    𝑛=1
เฉลยข้อสอบวิชาคณิตศาสตร์ โควตา ม .ขอนแก่น ปีการศึกษา 2550 โดย พี่เปี๊ยก   33


ตอบข้อ [2]
วิเคราะห์ : โจทย์ข้อนี้เป็นการประยุกต์ระหว่างทฤษฎีจานวนกับเรื่องอนุกรม แต่ก็อนุกรมก็ถือได้ว่าไม่ยาก
เกิดไป และใช้การสังเกตอีกนิดหน่อย ข้อสอบแต่ละข้อมีแนวของมัน ถ้าเราได้ฝึกทาบ่อยๆ จะมองออกเองว่า
จะทาไปอย่างไร โดยบางทีเราไม่รู้ตัวเสียด้วยซ้า อันนี้เป็นเรื่องจริงครับ สาหรับใครที่ฝึกทาโจทย์น้อยมากควร
พิจารณาตัวเองได้แล้วนะครับ



𝟐𝟎. ให้ 𝑳 𝟏 เป็นเส้น 𝟐𝒙 − 𝟑𝒚 − 𝟔 = 𝟎 ที่ตัดแกน 𝑿 และแกน 𝒀 ที่จุด 𝑨 และ 𝑩 ตามลาดับ ถ้า 𝑪
เป็นจุดกึ่งกลางระหว่างจุด 𝑨 และ 𝑩 และ 𝑳 𝟐 เป็นเส้นตรงที่ตั้งฉากกับ 𝑳 𝟏 ที่จุด 𝑪 และตัดแกน 𝑿 ที่จุด 𝑫 แล้ว
พื้นที่ของสามเหลี่ยม 𝑨𝑪𝑫 คือข้อใดต่อไปนี้
           𝟏𝟑                                                  𝟏𝟑
 [𝟏]       𝟏𝟐
                ตารางหน่วย                                 𝟐       𝟖
                                                                       ตารางหน่วย

       𝟏𝟑                                                      𝟏𝟑
 [𝟑]   𝟔
                ตารางหน่วย                             𝟒       𝟒
                                                                       ตารางหน่วย
เฉลย การหาจุดตัดของเส้นตรงบนแกน สามารถหาได้อย่างง่ายๆ และเป็นวิธีที่นิยมหาเพื่อเขียนกราฟอย่างคร่าวๆ ได้อีก
ด้วย โดย
แทน 𝑥 = 0 จะได้จุดตัดบนแกน 𝑌
แทน 𝑦 = 0 จะได้จุดตัดบนแกน 𝑋 (เป็นอย่างไรครับ พอไหวมั้ย ?)
พิจารณาเส้นตรง 𝟐𝒙 − 𝟑𝒚 − 𝟔 = 𝟎
แทน 𝑥 = 0 ⟹ 2(0) − 3(𝑦) − 6 = 0 ⟹ 3𝑦 = −6 ⟹ 𝑦 = −2 ⟹ ตัดแกน 𝑌 ที่จุด (0, −2)
แทน 𝑦 = 0 ⟹ 2𝑥 − 3(0) − 6 = 0 ⟹ 2𝑥 = 6 ⟹ 𝑥 = 3 ⟹ ตัดแกน 𝑋 ที่จุด (3, 0)
เฉลยข้อสอบวิชาคณิตศาสตร์ โควตา ม .ขอนแก่น ปีการศึกษา 2550 โดย พี่เปี๊ยก   34




ดูภาพประกอบเลยนะครับ เริ่มแรกเราจะหาจุด 𝐶 จากสูตรการหาจุดกึ่งกลางระหว่างจุดสองจุดดังนี้

                                𝑥1 + 𝑥2
                          𝑥=                                                จุดศูนย์กลางระหว่าง
                                   2

                                                                    𝑥1 , 𝑥2 และ (𝑦1 , 𝑦2 ) คือ (𝑥 , 𝑦)
                             𝑦1 + 𝑦2
                          𝑦=
                                2


พิจารณา 𝑥 = 3+0 = 3 , 𝑦 = 0+(−2) = −1
             2    2         2

ต่อไปพิจารณา สมการเส้นตรง 𝐿1 ; 2𝑥 − 3𝑦 − 6 = 0 ⇒ −3𝑦 = −2𝑥 + 6 ⇒ 𝑦 = −2 𝑥 + −3 = 2 𝑥 − 2
                                                                            6
                                                                     −3          3

เปรียบเทียบสมการ 𝑦 = 2 𝑥 − 2 กับสมการรูปทั่วไปของเส้นตรง คือ 𝑦 = 𝑚𝑥 + 𝑐
                     3

เราจะได้ 𝑚 = 2 นั่นคือ ความชันของ 𝐿1 คือ   2
             3                             3
                                               แต่เนื่องจากเส้นตรงที่ตั้งฉากกันคูณกันมีค่าเท่ากับ −1
ให้ 𝑚2 เป็นความชันของ 𝐿2 จะได้ 𝑚 ∙ 𝑚2 = −1 ⇒ 2 ∙ 𝑚2 = −1 ⇒ 𝑚2 = −3
                                             3                  2
เนื่องจากเราต้องการหาสมการของ 𝐿2 ซึ่งสามารถหาได้จากสูตร 𝑦 − 𝑦1 = 𝑚 𝑥 − 𝑥1 เมื่อ (𝑥1 , 𝑦1 ) และ 𝑚 คือ
จุดผ่าน และความชันตามลาดับ เราจะแทนจุดผ่าน (𝑥1 , 𝑦1 ) = (3 , −1) และความชัน 𝑚 = −3 จะได้สมการคือ
                                                         2                      2
                                                         −3     3
                                                 𝑦 − (−1) =  𝑥−
                                                         2      2
                                                         −3    9
                                                   𝑦+1 =    𝑥+
                                                          2    4
                                                 3   5
                                               𝑦+ 𝑥− = 0
                                                 2   4
เฉลยข้อสอบวิชาคณิตศาสตร์ โควตา ม .ขอนแก่น ปีการศึกษา 2550 โดย พี่เปี๊ยก   35


ต่อไปหาจุดตัดของ 𝐿2 บนแกน 𝑋 โดยให้ 𝑦 = 0
                                           3   5   3  5    5 2 5
                                      0+     𝑥− =0⟹ 𝑥= ⟹ 𝑥= ∙ =
                                           2   4   2  4    4 3 6
                        5
ดังนั้น จุด 𝐷 คือ       6
                            ,0
ต่อไปเราจะหาพื้นที่ ∆𝐴𝐶𝐷 ซึ่งสามารถหาได้ 2 วิธี
  วิธีที่ 1      พิจารณาจากภาพด้วยนะครับ เริ่มจากหาความยาว 𝐷𝐴 จากการนาค่า 𝑥 มาลบกัน (ทาไม ?) ดังนี้
                                                                    5 13
                                                            3−        =
                                                                    6   6
              และความสูงของ ∆𝐴𝐶𝐷 คือ 1 (ดูจากค่าของ 𝑦 ของจุด 𝐶 ลองหาเหตุผลซิว่าทาไม)
              ดังนั้น พื้นที่ ∆𝐴𝐶𝐷 = 1 ⋅ ฐาน ⋅ สูง = 1 ⋅        13           13
                                                                     ⋅ 1 = 12
                                     2               2          6



  วิธีที่ 2 วิธีนี้เป็นการหาพื้นที่รูป 𝑛 เหลี่ยมใดๆ เลยทีเดียว และไม่ว่ารูปนั้นจะอยู่ในลักษณะใดก็หาได้ทั้งหมด (เพราะ
บางทีเราอาจหา ฐาน และสูงของสามเหลี่ยมไม่ได้) โดยพิจารณาจุดยอดของรูป 𝑛 เหลี่ยมใดๆบนระนาบ 𝑋𝑌 ในที่นี้ก็คือรูป
สามเหลี่ยม จะพิจารณาวนทวนเข็มหรือตามเข็มก็ได้ (ตามใจชอบครับ) ในที่นี้ผมขอวนทวนเข็มนะครับ เป็น
 𝐴 𝑥1 , 𝑦1 ⟶ 𝐶 𝑥2 , 𝑦2 ⟶ 𝐷 𝑥3 , 𝑦3 ⟶ 𝐴 𝑥1 , 𝑦1 สามารถเลือกจุดเริ่มต้นใดก็ได้ แต่ต้องวนกลับมา ณ จุด
เดิมเสมอ สูตรการหาพื้นที่
                                                                        𝑥2 𝑦1 + 𝑥3 𝑦2 + 𝑥1 𝑦3

                                                             1 𝑥1       𝑥2    𝑥3      𝑥1
                                                 ∆𝐴𝐶𝐷 =
                                                             2 𝑦1       𝑦2    𝑦3      𝑦1

                                                                          𝑥1 𝑦2 + 𝑥2 𝑦3 + 𝑥3 𝑦1

              แล้วนา 1 (ล่าง − บน) นั่นคือ
                     2

                                          1
                             ∆𝐴𝐶𝐷 =         𝑥 𝑦 + 𝑥2 𝑦3 + 𝑥3 𝑦1 − (𝑥2 𝑦1 + 𝑥3 𝑦2 + 𝑥1 𝑦3 )
                                          2 1 2

                        1
              อย่าลืม   2
                            นะครับ ไม่ว่าจะเป็นรูป 𝑛 เหลี่ยมใดๆ ก็ต้องมีนะครับ ซึ่งจากข้อมูลหาพื้นที่ได้ดังนี้



                                                                                  5
                                                                     0 + −6 + 0
                                                         1 3 3/2 5/6 3
                                                     =
                                                         2 0 −1   0 0

                                                                      −3 + 0 + 0



              พื้นที่ ∆𝐴𝐶𝐷 = 1 −3 − − 5 = 1 −3 + 5 = 1 − 13 = 1                              13       13
                                                                                                  = 12
                             2        6   2      6   2    6   2                               6
เฉลยข้อสอบวิชาคณิตศาสตร์ โควตา ม .ขอนแก่น ปีการศึกษา 2550 โดย พี่เปี๊ยก    36


ตอบข้อ [1]
วิเคราะห์ : โจทย์ข้อนี้เป็นเรื่องเรขาคณิตวิเคราะห์ ก็วิเคราะห์สมชื่อครับ ผู้ที่จะทาโจทย์ประเภทนี้ได้ดี ต้อง
จาสูตรสาคัญๆ ได้หมด เป็นต้นว่า ระยะห่างระหว่างจุด สมการเส้นตรง วงกลม วงรี พาราโบลา ไฮเพอร์โบลา
จุดกึ่งกลางระหว่างจุดสองจุด ระยะห่างระหว่างจุดกับเส้นตรง ระยะห่างระหว่างเส้นตรงสองเส้นที่ขนานกัน
หรือแม้กระทั้งสูตรการหาพื้นที่ 𝒏 เหลี่ยมใดๆ ที่ผมให้ไว้ ณ ข้อนี้ก็ต้องทาความเข้าใจ สูตรทุกสูตรสาคั ญไม่
น้อยกว่ากันเลย เพราะต้องทาเป็นขั้นเป็นตอน และสิ่งที่ขาดไม่ได้คือ ประสบการณ์จากการทาโจทย์ประเภท
นี้จะทาให้คุณมองออกได้ว่าจะทาไปในทิศทางใด




𝟐𝟏. ไฮเปอร์โบลารูปหนึ่งมีจุดโฟกัสอยู่ที่ 𝟑, 𝟎 และ −𝟑, 𝟎 และผ่านจุด 𝟓, 𝟒 พื้นที่ของสี่เหลี่ยมมุมฉาก
ศูนย์กลาง คือข้อใดต่อไปนี้
 [𝟏]    𝟐 𝟓 ตารางหน่วย                                        𝟐   𝟒 𝟓 ตารางหน่วย


 [𝟑] 𝟖 𝟓 ตารางหน่วย                                       𝟒       𝟏𝟔 𝟓 ตารางหน่วย




พิจารณารูปตามเลยนะครับ เราอยากหาพื้นที่ “สี่เหลี่ยมมุมฉากศูนย์กลาง” ดังที่ระบายสี แต่เนื่องจาก ความยาวของ
สี่เหลี่ยมมีค่าเป็นความยาวแกนตามขวาง (2𝑎) และ ความกว้างของสี่เหลี่ยม เป็นความยาวแกนสังยุค (2𝑏) ของไฮเปอร์
โบลา ดังนั้นตอนนี้เราต้องการหาค่า 2𝑎 ⋅ 2𝑏 (ตามสูตรกว้างคูณยาว)
เฉลยข้อสอบวิชาคณิตศาสตร์ โควตา ม .ขอนแก่น ปีการศึกษา 2550 โดย พี่เปี๊ยก             37


เริ่มแรกพิจารณาจากสิ่งที่โจทย์ให้มา คือ จุดโฟกัส 3, 0 และ −3, 0 จึงทาให้เรารู้ได้เลยว่า เป็นไฮเปอร์โบลาที่มีแกน
ตามขวาง (แกนยาว) ขนานแกน 𝑋 และจุดศูนย์กลาง (𝑕, 𝑘) = (0, 0) สมการของไฮเปอร์โบลาคือ


                                                   2                2
                                            𝑥− 𝑕         𝑦− 𝑘
                                                       −                =1
                                             𝑎2           𝑏2

อันนี้เราต้องจาเองนะ แต่พี่มีข้อแนะนาคือ จาให้ได้ว่า ในไฮเปอร์ก้อนไหนเป็นบวก แกนทางยาวขนานแกนนั้น
                                                                                       𝑥−𝑕 2
เช่น ในที่นี้ เนื่องจากเรารู้แล้วว่า แกนทางยาว (แกนตามขวาง) ขนานแกน 𝑋 ทาให้ก้อน          𝑎2
                                                                                               มีค่าเป็นบวกนั่นเอง ส่วน
อีกก้อนก็ต้องเป็นลบไป เพราะไฮเปอร์ต้องมีก้อนที่เป็นบวกกับก้อนที่เป็นลบเสมอ แล้วมีคนสงกะสัยว่า แล้ว จะรู้ได้ไงว่าจะ
ใส่ 𝑎 หรือ 𝑏 ดี ในก้อนที่บวก ไม่ต้องสงสัยเลยครับ เพราะมันจะเป็น 𝑎 เสมอ และอีกในก้อนก็จะเป็น 𝑏 ไปโดยปริตา เอ้ย!
ปริยายครับ คาว่า 𝑎 หรือ 𝑏 ของผมในที่นี้คือ 𝑎2 หรือ 𝑏2 นะครับ แต่ผมอธิบายให้สั้นลง เฉยๆนะ
เราจึงได้สมการไฮเปอร์ออกมาว่า
                                                       2
                                              𝑥−0         𝑦−0 2
                                                           −       =1
                                               𝑎2            𝑏2
                                                          𝑥2    𝑦2
                                                             − 2 =1
                                                          𝑎2    𝑏
แต่เนื่องจากความสัมพันธ์ ของ 𝑎 , 𝑏 และ 𝑐 ในไฮเปอร์คือ 𝑐 2 = 𝑎2 + 𝑏2 จะสังเกตเห็นว่า 𝑐 จะมีค่ามากสุด ผิดกับวงรี
ที่เป็นสมการ 𝑎2 = 𝑏2 + 𝑐 2 สองพี่น้องสมการนี้ทาเอาหลายคนจาสับกันอยู่บ่อยครั้ง ผมจะเสนอวิธีการท่องว่า
"𝒂 เป็นใหญ่ในวงรี     𝒄 เป็นใหญ่ในไฮเปอร์" (คาว่าเป็นใหญ่คงรู้กันนะครับ ว่าผมหมายถึงอะไร)
เอาหละครับ มาต่อกันที่สมการเลยนะ เนื่องจากสมการของไฮเปอร์ผ่านจุด (5, 4) แสดงว่าแทนในสมต้องเป็นจริง ดังนั้น
เราจึงได้ว่า
                                                  52 42
                                                      − 2=1
                                                   𝑎2    𝑏
                                                 25 16
                                                      − 2=1
                                                   𝑎2    𝑏
                                           25𝑏2 − 16𝑎2 = 𝑎2 𝑏2 _______(∗)
เนื่องจาก 𝑐 2 = 𝑎2 + 𝑏2 และรู้ว่า ระยะห่างจุดศูนย์กลางถึง โฟกัส มีระยะเป็น 𝑐 ดังนั้นจะได้ 𝑐 = 3
แทนค่า 32 = 𝑎2 + 𝑏2 ==≫ 9 = 𝑎2 + 𝑏2 ==≫ 𝑎2 = 9 − 𝑏2 แทนในสมการ (* ) จะได้

                                          25𝑏2 − 16(9 − 𝑏2 ) = (9 − 𝑏2 )𝑏2
                                          25𝑏2 − 144 + 16𝑏2 = 9𝑏 2 − 𝑏4
                                            𝑏4 + 32𝑏2 − 144 = 0

วิธีการหาค่า 𝑏 ทาได้หลายวิธี วิธีที่ง่ายในที่นี้คือ แยกตัวประกอบให้คล้ายกับสมการกาลังสอง ดังนี้
                                               𝑏2 − 4          𝑏2 + 36 = 0
ดังนั้น 𝑏 = 2, −2 ส่วน 𝑏2 + 36 คาตอบเป็นจานวนเชิงซ้อนเราก็ไม่ต้องสน และเราเลือก 𝑏 = 2
เฉลยข้อสอบวิชาคณิตศาสตร์ โควตา ม .ขอนแก่น ปีการศึกษา 2550 โดย พี่เปี๊ยก             38


เพราะค่า 𝑎, 𝑏 และ 𝑐 ทั้งในไฮเปอร์ และวงรี มีค่าเป็นบวกทั้งหมด เพราะเป็นหน่วยความยาว
แทนค่า 𝑏 = 2 ในสมการ 𝑎2 = 9 − 𝑏2 ==≫ 𝑎 = 5
ดังนั้นพื้นที่สี่เหลี่ยมมุมฉากที่เราต้องการคือ 2𝑎 ⋅ 2𝑏 = 2 5 ⋅ 2(2) = 8 5
ตอบข้อ [3]
วิเคราะห์ : โจทย์ข้อนี้เป็นเรื่องเรขาคณิตวิเคราะห์อีกแล้วครับพี่น้อง แต่เข้ามาเล่นกับไฮเปอร์โบลาลึก
หน่อย ถ้าจับจุดได้ไม่ยากครับ แต่ผมอธิบายแบบค่อยเป็นค่อยไปอย่างมาก ก็เลยดูยาวไป ความจริงทาไม่ถึง
 𝟐 นาทีด้วยซ้าไป ถ้าทาคล่องนะครับ ก็แล้วแต่ประสบการณ์ แต่ยังไงก็ยืนยันคาเดิม เรื่องสูตรต้องแม่นครับ




                   𝟏                                     𝟒
                                   𝒍𝒐𝒈 𝟐𝟕 𝟔𝟒
𝟐𝟐. ค่าของ 𝟐𝟓   𝒍𝒐𝒈 𝟑 𝟓
                          + 𝟗                  + 𝟐   𝒍𝒐𝒈 𝟑 𝟏𝟔   คือข้อใดต่อไปนี้
[𝟏] 𝟐𝟓                    𝟐   𝟐𝟔                     𝟑    𝟐𝟕                    𝟒     𝟐𝟖

เฉลย
                                                          1                              4
                                                 25 𝑙𝑜𝑔 3 5 + 9 𝑙𝑜𝑔 27 64 + 2 𝑙𝑜𝑔 3 16
                                                                                                               1
                                               = 25 𝑙𝑜𝑔 5 3 + 9 𝑙𝑜𝑔 27 64 + 24𝑙𝑜𝑔 16 3 (จากสูตร                      = 𝑙𝑜𝑔 𝑎 𝑏)
                                                                                                             𝑙𝑜𝑔 𝑏 𝑎
                                                                                3
                                                = 52 𝑙𝑜𝑔 5 3 + 32 𝑙𝑜𝑔 33 4 + 24𝑙𝑜𝑔 24 3
                                                                2           2
                                                = 5 𝑙𝑜𝑔 5 3 + 3 𝑙𝑜𝑔 3 4 + 2 𝑙𝑜𝑔 2 3
                                                = 32 + 42 + 3 = 9 + 16 + 3 = 28 (จากสูตร 𝑎 𝑙𝑜𝑔 𝑎 𝑏 = 𝑏)


ตอบข้อ [4]
วิเคราะห์ : เรื่องลอกาลิทึม ทาเอาหลายคน ทึมกันไปเลยนะครับ เพราะสูตรจุกจิกเหลือเกิน ไม่เพียงแต่ต้อง
จาสูตรให้ได้ แต่ต้องใช้ให้เป็นด้วยนะครับ เพราะฉะนั้น จาเป็นต้องเจอกับมันบ่อยๆ โดยเรื่องนี้ส่วนใหญ่จะ
มากับ เอกซ์โปเนนเชียล ครับ ข้อนี้ถือว่าไม่ยาก ถ้าพลิกแพลงและจาสูตรได้ ก็น่าจะได้คะแนนแล้วครับ

                                                                                    𝟏−𝟑 𝒄𝒐𝒔 𝟐 𝜽
𝟐𝟑. กาหนดให้ 𝑨 = {𝜽 ∈ [𝟎, 𝝅] | 𝒄𝒐𝒕 𝜽 (𝟏 − 𝒄𝒐𝒔 𝜽) =                                                } ผลบวกของสมาชิกของ 𝑨 คือข้อใด
                                                                                       𝒔𝒊𝒏 𝜽
ต่อไปนี้
       𝝅                      𝟐𝝅                                                                  𝟒𝝅
[𝟏]                 𝟐                                               𝟑   𝝅                  𝟒
       𝟑                      𝟑                                                                    𝟑


เฉลย พิจารณา
                                               𝑐𝑜𝑠 𝜃               1 − 3 𝑐𝑜𝑠 2 𝜃
                                                     (1 − 𝑐𝑜𝑠 𝜃) =
                                               𝑠𝑖𝑛 𝜃                   𝑠𝑖𝑛 𝜃

                                                 𝑐𝑜𝑠 𝜃 − 𝑐𝑜𝑠 2 𝜃 = 1 − 3 𝑐𝑜𝑠 2 𝜃
เฉลยข้อสอบวิชาคณิตศาสตร์ โควตา ม .ขอนแก่น ปีการศึกษา 2550 โดย พี่เปี๊ยก     39




                                        2 𝑐𝑜𝑠 2 𝜃 + 𝑐𝑜𝑠 𝜃 − 1 = 0

                                       2 𝑐𝑜𝑠 𝜃 − 1     𝑐𝑜𝑠 𝜃 + 1 = 0
               1
จะได้ 𝑐𝑜𝑠 𝜃 = 2 , −1
กรณี 𝑐𝑜𝑠 𝜃 = 1 ==≫ 𝜃 = 3𝜋
             2
กรณี 𝑐𝑜𝑠 𝜃 = −1 ==≫ 𝜃 = 𝜋
อย่าลืมค่ามุมที่ได้ต้องพิจารณาภายในช่วง [0, 𝜋] ดังนั้นผลบวกคาตอบคือ 3𝜋 + 𝜋 = 4𝜋
                                                                             3

หลายคนโดนหลอก ตอบ 4𝜋 และในตัวเลือกก็มีซะด้วยครับ หารู้ไม่ว่า ที่เราตัด 𝑠𝑖𝑛 𝜃 ออกตั้งแต่เริ่มทาบรรทัดแรกจะได้
                  3
                                                                                                  𝜋
 𝑠𝑖𝑛 𝜃 ≠ 0 ==≫ 𝜃 ≠ 𝜋 (เพราะส่วนเป็นศูนย์ไม่ได้นะครับ ) ดังนั้นคาตอบที่แท้จริงมีคาตอบเดียวคือ     3
ตอบข้อ [1]
วิเคราะห์ : ข้อนี้เป็นเรื่องที่ต้องระวังอย่างที่บอกไว้ครับ เพราะการแก้อะไรก็แล้วแต่ เงื่อนไขที่สาคัญลักษณะ
นี้จะลืมไม่ได้ ลืมเป็นผิด เพราะจะมีตัวเลือกมาหลอกเสมอครับ และอีกอย่างเรื่องตรีโกณถือว่าเป็นเรื่อง
สาคัญอีกเรื่องครับ น้องหลายคนกลัวเรื่องนี้มาก จนทาให้ไม่อยากทา ส่วนคนที่ใจสู้ก็จะได้คะแนนไปครับ
และในแต่ละปีก็จะมีตรีโกณออกมาเยอะเหมือนกัน เพราะฉะนั้นเรื่องนี้จึงขาดเสียมิได้ ในฟิสิกส์ก็ต้องใช้
ครับ ดังนั้นอย่าเพิ่งถอยตั้งแต่ตอนยังไม่ได้สู้นะครับ
เฉลยข้อสอบวิชาคณิตศาสตร์ โควตา ม .ขอนแก่น ปีการศึกษา 2550 โดย พี่เปี๊ยก   40


 𝟐𝟒. พิกัดของจุดในข้อต่อไปนี้เป็นจุดมุมของทรงสี่เหลี่ยมมุมฉากที่มีจุดมุมคือ
(𝟏, 𝟐, 𝟑), (𝟏, 𝟐, 𝟒), (𝟐, 𝟐, 𝟑), (𝟏, 𝟑, 𝟑)
[𝟏] (𝟑, 𝟏, 𝟐)              𝟐 (𝟑, 𝟐, 𝟒)                       𝟑 (𝟐, 𝟑, 𝟒)                  𝟒      (𝟐, 𝟒, 𝟑)




                                                                B(1, 2, 4)




                                                               A(1, 2, 3)




                                                D(2, 2, 3)
                                                                             C(1, 3, 3)




                  x




                                                                                                 y




เมื่อพิจารณารูปออกมาคร่าวๆ จะดังรูปนะครับ ดังนั้นจุดมุมที่เหลืออีก 4 คือจุดมุมดังในภาพต่อไปนี้
เฉลยข้อสอบวิชาคณิตศาสตร์ โควตา ม .ขอนแก่น ปีการศึกษา 2550 โดย พี่เปี๊ยก         41




เราต้องการหาจุดพิกัด 𝐻, 𝐸, 𝐹 และ 𝐺 (ความจริงแล้ว ถ้าเราหาจุดใดได้แล้วมีในตัวเลือก ก็ไม่ต้องหาจุดอื่นอีก)
ในที่นี้จะหาให้ดูทุกจุด เริ่มจากจุด 𝐻 (อันนี้บางคนก็ดูรูปแล้วตอบได้เลยนะครับ แต่ผมจะใช้เทคนิคการดูเป็นฝา)
ฝาในที่นี้ เป็นด้านที่ประกอบด้วยจุด 4 จุด(รวมเป็นสี่เหลี่ยมผืนผ้า) เช่น ฝา 𝐴𝐵𝐻𝐶 เป็นฝาที่ตั้งฉากกับแกน 𝑋
ดังนั้นจุด 𝐴, 𝐵, 𝐶 และ 𝐻 จะมีพิกัดของ 𝑥 เหมือนกันทุกจุด จะได้จุด 𝐻 คือ (1, … , … )
ต่อไปดูที่ฝา 𝐹𝐶𝐻𝐺 ซึ่งฝานี้ตั้งฉากกับแกน 𝑌 จึงมีพิกัด 𝑦 เหมือนกัน จะได้ พิกัดแต่ละจุดคือ
 𝐹(… ,3, … ), 𝐶(1, 3, 3), 𝐻(1, 3, … ), 𝐺(… , 3, … )
ต่อไปพิจาณา ฝาล่าง 𝐴𝐶𝐹𝐷 ตั้งฉากกับแกน 𝑍 ทาให้จุด 𝐴, 𝐶, 𝐹 และ 𝐷 มีพิกัด 𝑧 เท่ากัน นั่นคือจะได้ 𝐹(… , 3, 3)
พิจารณาทานองเดียวกันนี้ ที่ฝา 𝐷𝐹𝐺𝐸 ได้จุด 𝐺(2, 3, … ) , 𝐸(2, . . , … )
ฝา 𝐸𝐵𝐻𝐺 ได้จุด 𝐸(2, … ,4), 𝐺(2, 3, 4), 𝐷(1, 3, 4)
ฝา 𝐸𝐵𝐴𝐷 ได้จุด 𝐸(2, 2, 4)
ได้ครบทุกจุดครับ ซึ่งเป็นจุดมุมของทรงสี่เหลี่ยมมุมฉาก เทคนิคนี้ใช้ได้ตลอดกับทรงสี่เหลี่ยมมุมฉากใดๆนะครับ หรือแผ่น
ระนาบใดๆเรื่องนี้เป็นเทคนิคที่ผมคิดขึ้นเองครับ เพื่อหาวิธีการให้เด็กคนหนึ่งมองรูปสามมิติได้ง่ายขึ้น โดยพิจาณาเป็นฝา
ที่ตั้งฉาก มีหลักการว่า
เฉลยข้อสอบวิชาคณิตศาสตร์ โควตา ม .ขอนแก่น ปีการศึกษา 2550 โดย พี่เปี๊ยก   42




                         ฝาที่ตั้งฉากกับแกน 𝑿 จุดที่อยู่บนฝานั้นจะมีพิกัด 𝒙 เหมือนกันทุกจุด
                         ฝาที่ตั้งฉากกับแกน 𝒀 จุดที่อยู่บนฝานั้นจะมีพิกัด 𝒚 เหมือนกันทุกจุด
                         ฝาที่ตั้งฉากกับแกน 𝒁 จุดที่อยู่บนฝานั้นจะมีพิกัด 𝒛 เหมือนกันทุกจุด
                                                 หรือจะท่องสั้นๆว่า
                                                 ฉาก 𝑿 --->𝒙 เหมือน
                                                 ฉาก 𝒀 --->𝒚 เหมือน
                                                 ฉาก 𝒁 --->𝒛 เหมือน

จุดที่ปรากฏในตัวเลือกคือ จุด 𝐸(2, 3, 4) ครับ
ตอบข้อ [1]
วิเคราะห์ : ข้อสอบแบบนี้เพิ่งเคยทาครับ ไม่ค่อยได้เห็นกันนัก แต่ก็เห็นบ้างในเวกเตอร์ครับ สรุปคือ เราต้อง
รู้ก่อนว่าโจทย์ต้องการหาอะไร อย่างข้อนี้ต้องการจุดอีกจุดที่เป็นจุดมุมของรูปทรงสี่เหลี่ยมมุมฉากครับ โดย
พลอทจุดคร่าวๆเหมือนรูปแรก หลังจากนั้นก็สร้างรูปทรงสี่เหลี่ยมขึ้นมาที่มีจุดเดิมเป็นจุดมุมตามโจทย์และ
ก็หาจุดที่เหลือให้ได้ครับ ไม่ยากใช่มั้ยล่ะ

                        ยากโคตะระ!!                               คณิตศาสตร์ง่ายเปล่าเพื่อน




 𝟐𝟓. ถ้า 𝒛 𝟏 และ 𝒛 𝟐 เป็นจานวนเชิงซ้อนที่ (𝟐 − 𝒊) + (𝟏 + 𝒊)𝒛 𝟏 = 𝟑 + 𝟐𝒊 และ
 𝒛 𝟏 𝒛 𝟐 + (𝟏 − 𝟐𝒊)𝒛 𝟐 − 𝟐 = 𝟎 แล้วค่าของ 𝒛−𝟏 คือข้อใดต่อไปนี้
                                           𝟐
             𝟑                                      𝟑 𝟐
     [𝟏]                                        𝟐
             𝟐                                       𝟐


     [𝟑] 𝟑                                     𝟒    𝟑 𝟐


เฉลย ให้ 𝑧1 = 𝑎 + 𝑏𝑖, 𝑧2 = 𝑐 + 𝑑𝑖
(เราต้องการหา 𝑧2 ให้ได้ นั่นคือ 𝑐 และ 𝑑 คืออะไร
โดยนิยามของสังยุคเราจะได้ว่า 𝑧1 = 𝑎 − 𝑏𝑖
ต่อไปพิจารณา

                                     (2 − 𝑖) + (1 + 𝑖)𝑧1 = 3 + 2𝑖
                              (2 − 𝑖) + (1 + 𝑖)(𝑎 − 𝑏𝑖) = 3 + 2𝑖
                            (2 − 𝑖) + 𝑎 − 𝑏𝑖 + 𝑎𝑖 − 𝑏𝑖 2 = 3 + 2𝑖
เฉลยข้อสอบวิชาคณิตศาสตร์ โควตา ม .ขอนแก่น ปีการศึกษา 2550 โดย พี่เปี๊ยก      43


                                    (2 − 𝑖) + 𝑎 − 𝑏𝑖 + 𝑎𝑖 + 𝑏 = 3 + 2𝑖
                                    2 + 𝑎 + 𝑏 + (𝑎 − 𝑏 − 1)𝑖 = 3 + 2𝑖
เมื่อเราเทียบสัมประสิทธิ์จะได้ว่า
                                           2 + 𝑎 + 𝑏 = 3_____(1)
                                           𝑎 − 𝑏 − 1 = 2______(2)
นา (1) + (2) ;                 2𝑎 + 1 = 5 ==> 𝑎 = 2
แทน 𝑎 = 2 ใน (1) ;             2 + 2 + 𝑏 = 3 ==≫ 𝑏 = −1
ดังนั้น 𝑧1 = 2 − 𝑖 ต่อไปพิจารณา
                                                     𝑧1 𝑧2 + (1 − 2𝑖)𝑧2 − 2 = 0
                                    (2 − 𝑖)(𝑐 − 𝑑𝑖) + (1 − 2𝑖)(𝑐 − 𝑑𝑖) − 2 = 0
                                              (𝑐 − 𝑑𝑖)[2 − 𝑖 + 1 − 2𝑖] − 2 = 0
                                                      (𝑐 − 𝑑𝑖)[3 − 3𝑖] − 2 = 0
                                               3𝑐 − 3𝑐𝑖 − 3𝑑𝑖 + 3𝑑𝑖 2 − 2 = 0
                                       3𝑐 − 3𝑐𝑖 − 3𝑑𝑖 − 3𝑑 − 2 = 0
                                    3𝑐 − 3𝑑 − 2 + (−3𝑐 − 3𝑑)𝑖 = 0 = 0 + 0𝑖
เมื่อเราเทียบสัมประสิทธิ์จะได้ว่า
                                               3𝑐 − 3𝑑 − 2 = 0______(3)
                                                   3𝑐 − 3𝑑 = 0______(4)
                                                                               −1
นา (3) + (4) ;                 −6𝑑 − 2 = 0 ⟹ 6𝑑 = −2 ⟹ 𝑑 =                     3
                                       −1                                          −1     1
แทน 𝑑 ใน (4) ;          −3𝑐 − 3( 3 ) = 0 ⟹ −3𝑐 + 1 = 0 ⟹ 𝑐 = −3 = 3
ดังนั้น 𝑧2 = 𝑐 + 𝑑𝑖 = 1 − 1 𝑖
                      3   3
*** เราจะหาอินเวอร์สของ 𝑧2 จากสูตร

                                                                           𝑎               𝑏
                                      อินเวอร์สการคูณของ 𝑎 + 𝑏𝑖 คือ     𝑎 2 +𝑏 2
                                                                                    −   𝑎 2 +𝑏 2
                                                                                                   𝑖


                           1 2           1 2     1   1   2
พิจารณา 𝑐 2 + 𝑑 2 =        3
                                 + −3          = 9+9=    9
ดังนั้น
                                       1     1
                     𝑐         𝑑           −3     1                        9     1                     9   3 3
           −1                          3
          𝑧2    = 2       − 2       𝑖=   −     𝑖=                            − −                         𝑖= + 𝑖
                  𝑐 + 𝑑 2   𝑐 + 𝑑 2    2    2     3                        2     3                     2   2 2
                                       9    9

              −1
ต่อไปเราจะหา 𝑧2 จากสูตร

                         ให้ 𝑧 = 𝑎 + 𝑏𝑖 ค่าสัมบูรณ์ของ 𝑧 หรือ ขนาดของ 𝑧 เขียนแทนด้วย 𝑧 คือ                  𝑎2 + 𝑏2
เฉลยข้อสอบวิชาคณิตศาสตร์ โควตา ม .ขอนแก่น ปีการศึกษา 2550 โดย พี่เปี๊ยก                                    44



         −1           3 2       3 2          9       9                18        9       9       3           3       2       3 2
ดังนั้น 𝑧2 =          2
                            +   2
                                        =    4
                                                 +4=                  4
                                                                           =    2
                                                                                    =   2
                                                                                            =       2
                                                                                                        =   2
                                                                                                                ⋅   2
                                                                                                                        =    2



จากบรรทัด *** เราสามารถทาได้อีกวิธีที่ง่ายกว่า โดยเราต้องรู้จักสูตรนี้ก่อน

                                                                                    1
                                                 𝑧 −1 = 𝑧                  −1
                                                                                =
                                                                                    𝑧



                            1 2         −1 2             2
เนื่องจากเราหา 𝑧2 =         3
                                    +   3
                                                 =       3
                                                                 ดังนั้น

                                         −1                      −1
                                                                            1    3    3 2
                                        𝑧2 = 𝑧2                       =        =    =
                                                                            𝑧2    2    2

ได้คาตอบเท่ากันครับ

ตอบข้อ [2]

วิเคราะห์ : ข้อสอบข้อนี้ทบทวนเรื่องจานวนเชิงซ้อนได้เกือบทั้งหมดครับ แต่ก็ไม่วายจะต้องแก้สมการเชิง
เส้นสองตัวแปรตั้งสองครั้ง ซึ่งเป็นพื้นฐานหลัก ที่เรียนกันมาแต่อ้อนแต่เอาะ ดังนั้นถ้าใครยังขาดพื้นฐานส่วน
ไหนควรเร่งแก้ไขด่วน ห้ามอายเด็ดขาด ก่อนที่จะสายเกินแก้ และข้อสอบข้อนี้ก็ตบท้ายด้วยเรื่องอินเวอร์ส
ซึ่งก็คงจะไม่ยากมากมายนัก (ถ้าจาสูตรได้นะ อิอิ)


                                 อือมม … .                                          เอ้ย ! อย่าเพิ่งนอน
                                 ขออีก 5 นาที                                       อ่าน math ต่อ




 𝟐𝟔. กล่องใบหนึ่งมีบัตร 𝟗 ใบ โดยบัตรแต่ละใบจะมีหมายเลข และมีเลข 𝟏, 𝟐, 𝟑, … , 𝟗 ตามลาดับ ถ้าสุ่ม
หยิบบัตรขึ้นมาสองใบ แล้วความน่าจะเป็นที่ผลรวมของหมายเลขทั้งสองบัตรมากกว่า                                                    𝟏𝟎 คือข้อใดต่อไปนี้
             𝟏                                                      𝟏𝟑
     [𝟏]                                                 𝟐
             𝟑                                                      𝟑𝟔

             𝟓                                                        𝟒
     [𝟑]                                                     𝟒
             𝟏𝟐                                                       𝟗
เฉลยข้อสอบวิชาคณิตศาสตร์ โควตา ม .ขอนแก่น ปีการศึกษา 2550 โดย พี่เปี๊ยก                        45


เฉลย ให้บัตรทั้งหมดเป็นดังนี้

                          𝟏           𝟐       𝟑       𝟒           𝟓       𝟔           𝟕        𝟖          𝟗

ผลรวมของทั้งสองบัตรรวมกันมากกว่า 𝟏𝟎 แสดงว่าผลรวมที่เป็นไปได้ คือ 𝟏𝟏, 𝟏𝟐, 𝟏𝟑, 𝟏𝟒, 𝟏𝟓, 𝟏𝟔, 𝟏𝟕
หลักการหาความน่าจะเป็น คือ
                                                                          𝑛(𝐸)
                                                                𝑃(𝐸) =
                                                                          𝑛(𝑆)
เราจะหา 𝑛(𝑆) (แซมเปิลสเปซ)ก่อน ในการสุ่มหยิบไพ่ 𝟐 ใบขึ้นเหตุการณ์ที่เป็นไปได้ทั้งหมด คือ


  𝟏       𝟐       𝟏           𝟑           𝟏       𝟒       𝟏           𝟓       𝟏        𝟔       𝟏      𝟕           𝟏   𝟖

  𝟏       𝟗       ( 8 เหตุการณ์ )


  𝟐       𝟑       𝟐           𝟒           𝟐       𝟓       𝟐           𝟔       𝟐        𝟕       𝟐      𝟖           𝟐   𝟗         ( 7 เหตุการณ์ )


  𝟑       𝟒       𝟑           𝟓           𝟑       𝟔       𝟑           𝟕       𝟑        𝟖       𝟑      𝟗       ( 6 เหตุการณ์ )


  𝟒       𝟓       𝟒           𝟔           𝟒       𝟕       𝟒           𝟖       𝟒        𝟗        ( 5 เหตุการณ์ )


  𝟓       𝟔       𝟓           𝟕           𝟓       𝟖       𝟓           𝟗           ( 4 เหตุการณ์ )


  𝟔       𝟕       𝟔           𝟖           𝟔       𝟗             ( 3 เหตุการณ์ )


      𝟕       𝟖       𝟕           𝟗           ( 2 เหตุการณ์ )


      𝟖       𝟗           ( 1 เหตุการณ์ )
เฉลยข้อสอบวิชาคณิตศาสตร์ โควตา ม .ขอนแก่น ปีการศึกษา 2550 โดย พี่เปี๊ยก       46


*หมายเหตุ การสุ่มหยิบได้             𝟏       𝟐       หรือ    𝟐   𝟏   ถือเป็นเหตุการณ์เดียวกัน นับเป็นหนึ่งนะครับ กรณีอื่นก็
เช่นเดียวกัน เช่น      𝟐       𝟑    หรือ         𝟑       𝟐   เราสามารถรวมเหตุการณ์ทั้งหมดได้ 8 + 7 + 6 + 5 + 4 + 3 +
2 + 1 = 36
การแจกแจงทั้งหมดอาจพิจารณาสูตรการเลือกของ 2 สิ่งจากของที่แตกต่างกันทั้งหมด 9 สิ่งทาได้

                                   9       9!       9!     9 × 8 × 7!
                                     =            =      =            = 9 × 4 = 36
                                   2   (9 − 2)! 2! 7! 2!     7! × 2!


ต่อไปพิจารณาหา 𝑛(𝐸) เหตุการณ์ในการสุ่มหยิบบัตร 2 ใบแล้วมีผลรวมมากกว่า 10 คือ



       𝟐       𝟗



       𝟑       𝟖           𝟑         𝟗


       𝟒       𝟕           𝟒         𝟖               𝟒       𝟗



       𝟓       𝟔           𝟓         𝟕               𝟓       𝟖       𝟓     𝟗



       𝟔       𝟕           𝟔         𝟖               𝟔       𝟗


           𝟕       𝟖           𝟕         𝟗


           𝟖       𝟗

                                                                                                           𝑛(𝐸)     16     4
รวมเหตุการณ์ทั้งหมดได้ 16 เหตุการณ์ ดังนั้นความน่าจะเป็นที่จะหยิบได้ผลรวมมากกว่า 10 คือ                    𝑛(𝑆)
                                                                                                                  = 36 =   9
เฉลยข้อสอบวิชาคณิตศาสตร์ โควตา ม .ขอนแก่น ปีการศึกษา 2550 โดย พี่เปี๊ยก   47


ตอบข้อ [4]
วิเคราะห์ : เรื่องความน่าจะเป็นถ้าโจทย์เป็นลักษณะนี้ก็ถือว่าไม่ยากนัก แต่เชื่อมั้ยล่ะว่า โจทย์ความน่าจะ
เป็นเนี่ยแหละครับที่น่ากลัวมาก เพราะคาตอบที่เราหาได้มักจะมีในตัวเลือกเสมอ เป็นตัวลวงที่ดีมาก เรา
ความน่าจะเป็นมีวิธีคิดหลายวิธี และถ้าไม่แม่นจริงๆส่วนใหญ่ก็โดนหลอกครับ เพราะฉะนั้นวิธีเดียวที่จะทา
ได้คือ … “ทาใจครับ ” ล้อเล่น ทาโจทย์ครับ

                                                       เมื่อไหร่จะอ่านเสร็จเนี่ย อ่านมา

                                                   3 เดือนแย้ววว….วัยรุ่นเซ็ง….




 𝟐𝟕. ถ้า 𝒙 𝟏 , 𝒙 𝟐 , 𝒙 𝟑 , 𝒙 𝟒 เป็นข้อมูลชุดหนึ่ง ที่มีฐานนิยม และมัธยฐานคือ 𝟎 มีพิสัยคือ 𝟏𝟐 และมีค่าเฉลี่ยเลข
                                𝟒
คณิตคือ 𝟏 แล้ว ค่าของ          𝒊=𝟏(𝒙 𝒊   − 𝟏) 𝟐 คือข้อใดต่อไปนี้
      [𝟏]     𝟕𝟔                                           𝟐     𝟕𝟖

      [𝟑] 𝟖𝟎                                               𝟒      𝟖𝟐


เฉลย สมมติให้ 𝑥1 , 𝑥2 , 𝑥3 , 𝑥4 เป็นข้อมูลที่เรียงจากน้อยไปหามาก จากสมบัติของค่ามัธยฐานของข้อมูล จะได้
                                                               𝑥2 + 𝑥3
                                                                       =0
                                                                  2
ดังนั้น 𝑥2 + 𝑥3 = 0
จากสมบัติของพิสัยจะได้ว่า           𝑥4 − 𝑥1 = 12___________(1)
                         𝑥 1 +𝑥 2 +𝑥 3 +𝑥 4
และค่าเฉลี่ยเลขคณิต             4
                                              = 1 ดังนั้น 𝑥1 + 𝑥2 + 𝑥3 + 𝑥4 = 4 แต่ 𝑥2 + 𝑥3 = 0
ดังนั้น                           𝑥1 + 𝑥4 = 4_____________(2)
นา (1) + (2); 2𝑥4 = 16 ⟹ 𝑥4 = 8 แทน 𝑥4 = 8 ใน (2) จะได้ 𝑥1 + 8 = 4 ⟹ 𝑥1 = −4
พิจารณา −4, 𝑥2 , 𝑥3 , 8 เหลือแต่ค่า 𝑥2 , 𝑥3 ซึ่งเรารู้ว่า 𝑥2 + 𝑥3 = 0 ดังนั้นค่าที่เป็นไปได้ของ 𝑥2 , 𝑥3 คือ
  𝑥2 = −4, 𝑥3 = 4 หรือ 𝑥2 = −3, 𝑥3 = 3 หรือ 𝑥2 = −2, 𝑥3 = 2 หรือ 𝑥2 = 0, 𝑥3 = 0 หรือ ….
เยอะแยะมากมาย แต่จะมีคู่เดียวเท่านั้นที่ใช้ได้คือ 𝑥2 = 0, 𝑥3 = 0 (ทาไม ?คาใบ้อยู่ในโจทย์นะครับ)
ดังนั้นเมื่อเราได้ครบทุกค่า จะได้
                   4
                   𝑖=1(𝑥 𝑖   − 1)2 = (−4 − 1)2 + (0 − 1)2 + (0 − 1)2 + (8 − 1)2 = 76
เฉลยข้อสอบวิชาคณิตศาสตร์ โควตา ม .ขอนแก่น ปีการศึกษา 2550 โดย พี่เปี๊ยก                     48


ตอบข้อ [1]
วิเคราะห์ : ข้อสอบข้อนี้เกี่ยวกับสถิติครับ จะพบว่าทดสอบนิยามเราเกือบหมดทีเดียวไม่ว่าจะเป็น พิสัย ฐาน
นิยม มัธยฐาน ค่าเฉลี่ยเลขคณิต แต่ที่ไม่ยากเพราะยังไม่เป็นข้อมูลที่มีการแจกแจงอันตรภาคชั้นครับ จึงให้
อยากให้เตรียมตัวในส่วนนั้นด้วย สูตรก็เยอะอีกแล้วครับเรื่องนี้ ถ้าเราค่อยๆอ่าน ค่อยเป็นค่อยไป พี่ว่าคงไม่
เหลือบ่ากว่าแรงที่จะทาเรื่องนี้ให้เป็นเรื่องง่ายได้ครับ

                        ฮืออ…ฮือมม…อ่านยังไงก็ไม่ทันอ่ะ จะ                                               อ่านไม่ทัน อ่านไม่ทัน อ่าน

             สอบแล้ว เครียด                                                                ไม่ทัน….ๆๆๆๆๆ




                                          ค่อยๆอ่านซิ มีสมาธิหน่อย ตั้งสติ แล้วเริ่มอ่านได้แล้ว มัวแต่

                                          ร้อง มัวแต่หัวชนฝา เมื่อไหร่จะได้อ่าน




 𝟐𝟖. กาหนดข้อมูลดังต่อไปนี้

                    𝒙                      𝟎                            𝟏                     𝟐                            𝟑
                    𝒚                      𝟏                            𝒓                     𝒔                          𝟕. 𝟓


ถ้าข้อมูลชุดนี้ มีสมการที่ใช้ประมาณค่า 𝒚 คือ 𝒚 = 𝟐𝒙 + 𝟏 แล้วค่าของ 𝒔 คือข้อใดต่อไปนี้
    [𝟏]      𝟑. 𝟓                                            𝟐     𝟒

    [𝟑] 𝟒. 𝟓                                                 𝟒      𝟓


เฉลย พิจารณา 𝑦 = 2𝑥 + 1 _______(∗) จากคุณสมบัติของ Summation

                                  4                4                                4                    4
                                        𝑦𝑖 =             (2𝑥 𝑖 + 1) = 2                    𝑥𝑖 +                1
                                  𝑖=1              𝑖=1                               𝑖=1                 𝑖=1
                                4
พิจารณาจากตารางจะได้ว่า         𝑖=1     𝑦 𝑖 = 1 + 𝑟 + 𝑠 + 7.5 = 𝑟 + 𝑠 + 8.5 ,
    4                                                            4
2   𝑖=1   𝑥 𝑖 = 2(0 + 1 + 2 + 3) = 12 และ                        𝑖=1 1      =4
ดังนั้น 𝑟 + 𝑠 + 8.5 = 12 + 4 = 16 ⟹ 𝑟 + 𝑠 = 7.5 ____________(1)
นา 𝑥 คูณ (∗) จะได้ว่า 𝑦𝑥 = 2𝑥 2 + 𝑥 จากสมบัติของ Summation จะได้ว่า
เฉลยข้อสอบวิชาคณิตศาสตร์ โควตา ม .ขอนแก่น ปีการศึกษา 2550 โดย พี่เปี๊ยก   49


                            4                4                              4               4
                                  𝑦𝑖 𝑥𝑖 =          (2𝑥 2 + 𝑥 𝑖 ) = 2
                                                       𝑖                             𝑥2 +
                                                                                      𝑖           𝑥𝑖
                            𝑖=1              𝑖=1                               𝑖=1          𝑖=1


            4
พิจารณา     𝑖=1   𝑦 𝑖 𝑥 𝑖 = 1 ⋅ 0 + 𝑟 ⋅ 1 + 𝑠 ⋅ 2 + 7.5 ⋅ 3 = 𝑟 + 2𝑠 + 22.5
     4
2    𝑖=1   𝑥 2 + 4 𝑥 𝑖 = 2(02 + 12 + 22 + 32 ) + 6 = 28 + 6 = 34
             𝑖    𝑖=1
ดังนั้น    𝑟 + 2𝑠 + 22.5 = 34 ⟹ 𝑟 + 2𝑠 = 11.5 ____________(2)
จาก (1) และ (2) แก้สมการหา 𝑟 และ 𝑠 โดย (2) − (1); 𝑠 = 4 (เราไม่จาเป็นต้องหา 𝑟 ก็ได้เพราะโจทย์ไม่ต้องการ)
ตอบข้อ [2]
วิเคราะห์ : ข้อสอบข้อนี้เป็นเรื่องการประมาณค่า ซึ่งเป็นข้อที่ไม่ค่อยพบเห็นกันมากนัก โดยข้อนี้ได้รับความ
ช่วยเหลือจาก ธนิต เพื่อนที่เรียนด้วยกัน ต้องขอบคุณอย่างมาก ที่ช่วยเหลือ เพราะลืมเนื้อหาส่วนนี้ไปแล้ว
ตอนแรกก็คิดอยู่ว่าจะทายังไง ถ้าจะแทน 𝟐 ลงในตัว 𝒚 = 𝟐𝒙 + 𝟏 ได้ 𝒙 = 𝟓 ก็นึกอยู่ว่าโจทย์จะให้
 𝒓 มาเพื่อ....จึงตั้งข้อสันนิษฐานว่า มันน่าจะมีอะไรแน่ๆ สุดท้ายก็ไม่ได้ง่ายอย่างที่คิดอย่างที่เห็นครับ
จึงเป็นบทเรียนจากโจทย์ว่า การที่โจทย์ให้ข้อมูลเรามาแต่ไม่ได้ใช้ มันน่าจะมีอะไรแน่ๆ ให้คิดไว้ก่อน เพราะบาง
ทีก็อาจจะไม่ได้ใช้จริงๆก็เป็นได้ แต่ส่วนใหญ่จะใช้ข้อมูลจนครบครับ ถึงจะแก้โจทย์ข้อนั้นออก


                                                          เหนื่อยนัก ก็ฟังเพลงที่คุณชอบ

                                                 แล้วจะพบว่า คลายเครียดดีออก




ตอนที่ 𝟑 ข้อสอบอัตนัยแบบเติมคาตอบ จานวน 𝟏𝟎 ข้อ ข้อ 𝟑 คะแนน
 𝟏. กาหนดให้ 𝒙 เป็นจานวนเต็มบวก ที่ประกอบด้วยเลขโดด 𝟒 หลัก ถ้า 𝟐, 𝟑, 𝟒, 𝟓, 𝟔, 𝟏𝟎, 𝟏𝟏, 𝟏𝟐, 𝟏𝟑 และ
 𝟏𝟓 หาร 𝒙 ลงตัว แล้วจงหาค่าของ 𝒙
เฉลย เริ่มจากเราจะหา ค.ร.น. ของ 2, 3, 4, 5, 6, 10, 11, 12, 13, 15 เราสามารถตัดตัวเลขบางตัวออกได้ถ้าหารกันลง
ตัว เพราะ ค.ร.น. จะเป็นตัวมาก เช่น ระหว่าง 3, 5, 15 ตัด 3, 5 ทิ้งเหลือไว้แค่ 15 (เพราะทั้งคู่ หาร 15 ลงตัว)
2, 4, 6, 12 ตัด 2, 4, 6 ทิ้งเหลือไว้แค่ 12 (เพราะทั้งสาม หาร 12 ลงตัว)
ตอนนี้เราจะเหลือแค่ 10, 11, 12, 13, 15
ค.ร.น. 10, 12, 15 คือ 60 (อันนี้เราสามารถเลือกหา ค .ร.น.ระหว่างตัวไหนก่อนก็ได้)
ค.ร.น. 60, 11, 13 คือ 8580 ดังนั้น 𝑥 = 8580
ข้อสังเกต ถ้าเรานา 8580 ⋅ 2 = 17180 คือตัวเลขถัดไปที่หารด้วย 2, 3, 4, 5, 6, 10, 11, 12, 13, 15 ลงตัวแต่
ไม่ใช่ตัวเลข 4 หลักตามที่เราต้องการ เพราะฉะนั้น 𝑥 = 8580 เพียงตัวเดียว
เฉลยข้อสอบวิชาคณิตศาสตร์ โควตา ม .ขอนแก่น ปีการศึกษา 2550 โดย พี่เปี๊ยก   50


ตอบ 𝑥 = 8580
วิเคราะห์ : ข้อสอบข้อนี้เป็นเรื่อง ค .ร.น ที่อยู่ในเรื่องทฤษฎีจานวนที่ดูเหมือนเป็นบทเล็กๆ แต่ก็เล็กพริกขี้หนู
นะครับ เพราะนามาออกข้อสอบได้หลากหลายรูปแบบ แต่ถ้าเราเจอโจทย์ประเภทนี้บ่อยๆจากการทาโจทย์
เราก็จะพบว่า ไม่ยากเกินความสามารถหรอกครับ

               1 2
2. กาหนดให้ 𝐴 =      จงหาค่าของ 𝑑𝑒𝑡(𝐴 + 𝐴2 + 𝐴3 +⋅⋅⋅ +𝐴50 )
               0 1
เฉลย พิจารณา 1 2 ดังนั้น 𝐴 ⋅ 𝐴 = 𝐴2 = 1 2 1 2 = 1 4
             0 1                      0 1 0 1         0 1

เสนอวิธีการคูณของเมตริกซ์ดังต่อไปนี้
ตั้ง 𝐴2 = 𝐴 ⋅ 𝐴 ไว้ดังภาพ




  เลข 1 มาจาก นา (1 × 1) + (2 × 0) = 1                   เลข 4 มาจาก นา (1 × 2) + (2 × 1) = 1




ดังนั้น 1 2 1 2 = 1 4 เป็นอย่างไรบ้างครับ ง่ายขึ้นมั้ย
         0 1 0 1           0 1
      เลข 0 มาจาก นา (0 × 1) + (1 × 0) 3 0 2
                                         =         เลข 1 มาจาก นา (0 × 2) + (1 × 1) = 1
โดยการพิจารณาการคูณเช่นเดียวกันจะได้ว่า 𝐴 = 𝐴 ⋅ 𝐴 = 0 1 1 2 = 1 6
                                                              0   4 0 1           0 1
              1         6 1 2   1 8
𝐴4 = 𝐴3 ⋅ 𝐴 =                 =
              0         1 0 1   0 1

                   18 1 2       1 10
𝐴5 = 𝐴4 ⋅ 𝐴 =                 =
                   01 0 1       0 1
                 𝑛   𝑛−1       1 2𝑛
และเราสังเกตว่า 𝐴 = 𝐴 ⋅ 𝐴 =
                               0 1
ดังนั้น 𝐴 + 𝐴2 + 𝐴3 +⋅⋅⋅ +𝐴50 = 1 2 + 1 4 + 1 6 + 1                              8
                                                                                   + ∙∙∙ +
                                                                                           1 100
                                0 1   0 1   0 1   0                              1         0  1
      50 2550∗
=
       0    50

จาก * เราพิจารณาจาก
เฉลยข้อสอบวิชาคณิตศาสตร์ โควตา ม .ขอนแก่น ปีการศึกษา 2550 โดย พี่เปี๊ยก   51


                                                                               2 1 + 50 50
     2 + 4 + 6 + 8 + ∙∙∙ +100 = 2(1 + 2 + 3 + 4 + ∙∙∙ +50) =                                  = 2550
                                                                                     2
                 𝑛                                  1+𝑛   𝑛
(จากสูตรผลรวม   𝑖=1   𝑖 = 1 + 2 + 3 + ∙∙∙ +𝑛 =       2
                                                            ) หรือ ท่องว่า “ต้นบวกปลาย คูณปลาย หารสอง ”


ดังนั้น 𝑑𝑒𝑡(𝐴 + 𝐴2 + 𝐴3 +⋅⋅⋅ +𝐴50 ) = 𝑑𝑒𝑡 50 2550 = (50 × 50) − (0 × 2550) = 2500
                                                0         50
ตอบ 2500
วิเคราะห์ : ข้อสอบข้อนี้เป็นเรื่องเมตริกซ์ผสมกับอนุกรมเล็กน้อยครับถือว่าไม่ยากสมกับคะแนน
เพราะฉะนั้นไม่ได้คะแนนก็น่าเสียดายแย่ เพราะใช้แค่การคูณเมตริกซ์ และหาดีเทอร์มิเนนท์ และผลรวม
แบบง่ายๆ
                                                                   ขอนแก่น
                                                          ขอนแก่น ขอนแก่น
                   ธรรมศาสตร์ จุฬา มหิดล
                   เอาอะไรดีน้อ ?




 𝟑. ให้ [𝒙] หมายถึง จานวนเต็มบวกที่มากที่สุดที่น้อยกว่าหรือเท่ากับ    𝒙 ถ้า 𝒇(𝒙) = 𝟏𝟎(𝒙 − [𝒙]) และ
𝒚 = (𝒇𝒐𝒇𝒐𝒇)(𝟏𝟐. 𝟑𝟒𝟓𝟔𝟕) แล้ว จงหาค่าของ [𝒚]
เฉลย เนื่องจากคุณสมบัติของคอมโพสิทฟังก์ชัน (𝑓𝑜𝑓𝑜𝑓)(𝑥) = 𝑓 𝑓 𝑓 𝑥
พิจารณา 𝑓(𝑥) = 10(𝑥 − [𝑥]) ⟹ 𝑓(12.34567) = 10(12.34567 − [12.34567])
                                                    = 10(12.34567 − 12)
                                                    = 10(0.34567)
                                                    = 3.4567


พิจารณา 𝑓 𝑓 12.34567 = 𝑓(3.4567) = 10(3.4567 − [3.4567])
                                            = 10(3.4567 − 3)
                                            = 10(0.4567)
                                            = 4.567


ขั้นสุดท้ายแล้วครับ 𝑓 𝑓 𝑓 12.34567         = 𝑓(4.567) = 10(4.567 − [4.567])
                                                          = 10(4.567 − 4)
เฉลยข้อสอบวิชาคณิตศาสตร์ โควตา ม .ขอนแก่น ปีการศึกษา 2550 โดย พี่เปี๊ยก   52


                                                          = 10(0.567)
                                                          = 5.67

ตอบ 5.67
วิเคราะห์ : ข้อนี้ก็ค่อนข้างง่ายมากอีกแล้วครับ แค่เข้าใจแบรงค์เก็ต [ ] ว่าเป็นจานวนเต็มบวกที่มากที่สุดที่
น้อยกว่าค่าที่อยู่ใน [ ] เช่น [𝟑. 𝟐] = 𝟑, [𝟒. 𝟔𝟕𝟖𝟗] = 𝟒 และเข้าใจเรื่องคอมโพสิทฟังก์ชันนิดหน่อยก็ได้
คะแนนแล้วบางทีง่ายกว่าข้อละ 𝟐 คะแนนด้วยซ้า ไม่ควรพลาดนะครับข้อนี้

                        มีส้ม 5 ผลอยู่ในกล่อง 1 ใบ จะแบ่งส้มให้คน 5 คน อย่างไร เพื่อให้แต่ละคน
                        ได้ส้มไปคนละผล แต่มีส้ม 1 ผลอยู่ในกล่อง และห้ามฉีกส้มตอนแบ่ง
                        _______




 𝟒. ให้ 𝑨(𝟒, 𝟓) เป็นจุดบนพาราโบลา 𝒚 𝟐 − 𝟐𝒚 − 𝟒𝒙 + 𝟏 = 𝟎 ซึ่งมีจุด 𝑽 เป็นจุดยอดและ 𝑭 เป็นจุด
โฟกัส ถ้า 𝑳 𝟏 เป็นเส้นตรงที่ผ่านจุด 𝑨 และ 𝑭 𝑳 𝟐 เป็นเส้นตรงที่ผ่านจุด 𝑽 และขนานกับ 𝑳 𝟏 จงหาระยะห่าง
ระหว่างเส้นตรง 𝑳 𝟏 และ 𝑳 𝟐
เฉลย พิจารณาสมการพาราโบลา 𝑦 2 − 2𝑦 − 4𝑥 + 1 = 0 ดังนี้
                                            𝑦 2 − 2𝑦 = 4𝑥 − 1
                𝑦 2 − 2𝑦 + 12 = 4𝑥 − 1 + 12 = 4𝑥 − 1 + 1 = 4𝑥(ดูแนวคิดจากข้อ 8 ตอนที่ 1)
                                        (𝑦 − 1)2 = 4(𝑥 − 0)
เมื่อเทียบกับรูปมาตรฐานของสมการพาราโบลา (𝑦 − 𝑘)2 = 4𝑐(𝑥 − 𝑕)

จะได้ ( 𝑕, 𝑘) = (0, 1), 4𝐶 = 4 ⟹ 𝐶 = 1
เรามาทบทวนเกี่ยวกับรูปแบบมาตรฐานของพาลาโบลากันก่อนดีกว่า


                               2
                        𝑥− 𝑕       = 4𝑐(𝑦 − 𝑘) ⟹ 𝑦 กาลังเดี่ยว แกนสมมาตรขนานแกน 𝑦

                                    𝑐 > 0 ⟹ กราฟหงาย , 𝑐 < 0 ⟹ กราฟคว่า

                               2
                        𝑦− 𝑘       = 4𝑐(𝑥 − 𝑕) ⟹ 𝑥 กาลังเดี่ยว แกนสมมาตรขนานแกน 𝑥

                            𝑐 > 0 ⟹ กราฟตะแคงขวา , 𝑐 < 0 ⟹ กราฟตะแคงซ้าย
เฉลยข้อสอบวิชาคณิตศาสตร์ โควตา ม .ขอนแก่น ปีการศึกษา 2550 โดย พี่เปี๊ยก   53


จากสมการมาตรฐาน (𝑦 − 1)2 = 4(𝑥 − 0) มี 𝑥 กาลังเดี่ยว (ดีกรีหนึ่งครับ) จะได้แกนสมมาตรขนานแกน 𝑥 และ
𝑐 > 0 ทาให้เราทราบว่ากราฟตะแคงขวา เราพิจารณาวาดกราฟคร่าวๆได้ดังนี้




และเนื่องจากจุด โฟกัสของพาราโบลา อยู่ห่างจากจุดยอด (𝑕, 𝑘) = (0, 1) เป็นระยะ 𝑐 = 1 = 1 เสมอจะได้ จุด
โฟกัสคือ 𝐹(1, 1) ต่อไปพิจารณา 𝐿1 เป็นเส้นตรงที่ผ่าน 𝐴(4, 5) และ 𝐹(1, 1) ดังภาพ และ 𝐿2 เป็นเส้นตรงที่ผ่านจุด
(0, 1) และขนาน 𝐿1 ดังภาพ เราต้องการหาระยะห่างระหว่างเส้นตรง 𝐿1 และ 𝐿2 ให้เป็นระยะ 𝑑 ดังภาพ การหา
ระยะห่างระหว่างจุดสองจุดเราจาเป็นต้องหาสมการของเส้นตรงทั้งสองเส้นเสียก่อน
                              𝑦2 −𝑦1
พิจารณา 𝐿1 มีความชัน 𝑚 =      𝑥 2 −𝑥 1
                                         เมื่อรู้จุดผ่านสองจุดคือ (𝑥1 , 𝑦1 ) และ (𝑥2 , 𝑦2 )
จะได้ 𝑚 = 5−1 = 4 ดังนั้นสมการเส้นตรง 𝐿1 คือ 𝑦 − 𝑦1 = 𝑚(𝑥 − 𝑥1 ) เมื่อ (𝑥1 , 𝑦1 ) คือจุดผ่านเส้นตรง
          4−1   3
หาสมการเส้นตรง 𝐿1 ได้ดังนี้
                                                 𝑦 − 𝑦1 = 𝑚(𝑥 − 𝑥1 )
                                                             4
                                                  𝑦 − 5 = 3 (𝑥 − 4)
                                             3𝑦 − 15 = 4𝑥 − 16
เฉลยข้อสอบวิชาคณิตศาสตร์ โควตา ม .ขอนแก่น ปีการศึกษา 2550 โดย พี่เปี๊ยก   54


                                                    0 = 4𝑥 − 3𝑦 − 1
นั่นคือ 𝐿1 : 4𝑥 − 3𝑦 − 1 = 0
ต่อไปหาสมการ 𝐿2 เนื่องจาก 𝐿1 //𝐿2 ดังนั้นความชัน 𝐿2 และ 𝐿1 เท่ากัน
สมการ 𝐿2 คือ

                                                             4
                                                  𝑦 − 1 = 3 (𝑥 − 0)
                                               3𝑦 − 3 = 4𝑥
                                                    0 = 4𝑥 − 3𝑦 + 3
นั่นคือ 𝐿2 : 4𝑥 − 3𝑦 + 3 = 0
สูตรระยะห่างระหว่างเส้นตรง 𝐿1 : 𝐴𝑥 + 𝐵𝑦 + 𝑐1 = 0 กับ 𝐿2 : 𝐴𝑥 + 𝐵𝑦 + 𝑐2 = 0 คือ


                                                       𝑐1 − 𝑐2
                                               𝑑=
                                                        𝐴2 + 𝐵 2



ดังนั้น
                                              −1 − 3             −4   4
                                    𝑑=                       =      =
                                            42 + (−3)2           5    5



ตอบ 0.8
วิเคราะห์ : ข้อนี้เช่นเคยครับน้องๆ เรื่องเรขาคณิตวิเคราะห์ ต้องทายาวกันหน่อย เพราะต้องวิเคราะห์อย่าง
ละเอียดและทาเป็นขั้นเป็นตอน ทีสาคัญคือสูตรแหละครับ ที่ขาดไม่ได้เลย ฝึกทาแล้วต้องจาสูตรให้ได้ด้วย
นะครับ


                                           ถ้า ผู้ชาย 4 คน ขุดหลุม 4 หลุม ใช้
                                เวลา 8 วัน แล้วผู้ชายคนเดียวขุดหลุมครึ่งหลุมใช้
                                เวลากี่วัน ?
เฉลยข้อสอบวิชาคณิตศาสตร์ โควตา ม .ขอนแก่น ปีการศึกษา 2550 โดย พี่เปี๊ยก   55


 𝟓. กาหนดให้ 𝒂, 𝒃 เป็นคาตอบสมการ 𝒍𝒐𝒈 𝟓 𝒙 + 𝟐 𝒍𝒐𝒈 𝒙 𝟓 = 𝟑 โดยที่ 𝒂 < 𝑏 ถ้า 𝑰+ แทนเซตของจานวน
เต็มบวก และ 𝑨 = {𝒙 ∈ 𝑰+|𝒙 ∈ [𝒂, 𝒃] และ 𝟑 หาร 𝒙 ลงตัว} แล้วจงหาจานวนสมาชิกของเซต 𝑨
เฉลย

                                           𝑙𝑜𝑔5 𝑥 + 2𝑙𝑜𝑔 𝑥 5 = 3



                                                           2                              1
                                              𝑙𝑜𝑔5 𝑥 +             = 3 (จาก 𝑙𝑜𝑔 𝑎 𝑏 =             )
                                                         𝑙𝑜𝑔 5 𝑥                        𝑙𝑜𝑔 𝑏 𝑎



ให้ 𝐴 = 𝑙𝑜𝑔5 𝑥 จะได้ว่า
                                                           2
                                                      𝐴+ 𝐴=3


                                                   𝐴2 + 2 = 3𝐴
                                              𝐴2 − 3𝐴 + 2 = 0

                                 (𝐴 − 2)(𝐴 − 1) = 0
                                       𝐴 = 2, 𝐴 = 1
ดังนั้น 𝑙𝑜𝑔5 𝑥 = 2 ⟹ 𝑥 = 52 ⟹ 𝑥 = 25 (จาก 𝑙𝑜𝑔 𝑎 𝑥 = 𝑏 ⟹ 𝑥 = 𝑎 𝑏 )
จาก 𝑙𝑜𝑔5 𝑥 = 1 ⟹ 𝑥 = 51 ⟹ 𝑥 = 5 แสดงว่า 𝑎 = 5, 𝑏 = 25 (โจทย์ให้ 𝑎 < 𝑏)
ต่อไปพิจารณาเซต 𝐴 = {𝑥 ∈ 𝐼 +|𝑥 ∈ [𝑎, 𝑏] และ 3 หาร 𝑥 ลงตัว}
พิจารณา 𝑥 ∈ [𝑎, 𝑏] = [5, 25] ⟹ 𝑥 = 5, 6, 7, 8, … , 25 และ 3 หาร 𝑥 ลงตัวจะได้ 𝑥 ทั้งหมดคือ
 𝑥 = 6, 9, 12, 15, 18, 21, 24 จานวนสมาชิกของ 𝐴 คือ 7


ตอบ 7
วิเคราะห์ : ไม่ยากครับข้อนี้ได้คะแนนเน้นๆแบบง่ายๆ ไม่ยุ่งยากซับซ้อนเท่าใดนัก และเรื่องลอการิทึมและ
เอกซ์โปเนนเชียลต้องแม่นซักหน่อยนะครับ ถ้าทาบ่อยก็คงไม่มีปัญหาครับ

                                             มีคนรักอยู่ไกลเอาใจยาก
                                           แฟนเขามากเราไม่รู้ดูไม่เห็น
                                        ความรักเขาเปรียบเสมือนสายลมเย็น
                                            เมื่อไม่เห็นหน้าเราเขาก็ลืม
                                           แฟนเขามากเราไม่รู้ดูไม่เห็น
                          ความรักเขาเปรียบเสมือนสายลมวามรักเขาเปรียบเสมือนสายลมเย็น
                                             เมื่อไม่เห็นหน้าเราเขา
เฉลยข้อสอบวิชาคณิตศาสตร์ โควตา ม .ขอนแก่น ปีการศึกษา 2550 โดย พี่เปี๊ยก           56


 𝟔. ให้ 𝑨𝑩𝑪𝑫 เป็นสี่เหลี่ยมด้านขนาน         𝑴 และ 𝑵 เป็นจุดบนด้าน 𝑩𝑪 และ 𝑪𝑫 ตามลาดับโดยที่ อัตราส่วน
 𝑩𝑴: 𝑴𝑪 = 𝑫𝑵: 𝑵𝑪 = 𝟏: 𝟐 ถ้า 𝑨𝑪 = 𝜶𝑨𝑴 + 𝜷𝑨𝑵 แล้วจงหาค่า 𝜶 + 𝜷
เฉลย


                                                𝐴                                             𝐵



                                                                                          𝑀




                            𝐷               𝑁                                𝐶



ดูภาพประกอบเลยนะครับ
ตอนแรกเราต้องทาความเข้าใจเกี่ยวกับเวกเตอร์เล็กน้อย เมื่อกล่าวถึง 𝐴𝐵 หมายถึง เวกเตอร์ที่มีจุดเริ่มต้นที่จุด 𝐴 และมีจุด
ปลายที่ 𝐵 เวกเตอร์จะเท่ากันก็ต่อเมื่อ มีทิศทางเดียวกัน และขนานกันด้วย
ในภาพเราจะสังเกตเห็นว่า 𝐴𝐵 = 𝐷𝐶 และสังเกตได้อีกว่า 𝐵𝑀 = 1 𝐵𝐶 เพราะ 𝐵𝑀: 𝑀𝐶 = 1: 2 จึงแบ่ง 𝐵𝐶
                                                        3
ออกเป็นสามส่วนเท่าๆกัน และ 𝐵𝑀 ก็จะเป็นหนึ่งในสามของทั้งหมดนั่นเอง

ตอนนี้เราจะเริ่มหาแล้วนะครับ
เนื่องจาก 𝐴𝑀 = 𝐴𝐵 + 𝐵𝑀 = 𝐴𝐵 + 1 𝐵𝐶 และ 𝐴𝑁 = 𝐴𝐷 + 𝐷𝑁 = 𝐵𝐶 + 1 𝐷𝐶 = 𝐵𝐶 + 1 𝐴𝐵
                              3                            3           3
                                 1                  1        4          4          4                     4
ดังนั้น 𝐴𝑀 + 𝐴𝑁 = 𝐴𝐵 + 3 𝐵𝐶 + 𝐵𝐶 + 3 𝐴𝐵 = 3 𝐴𝐵 + 3 𝐵𝐶 = 3 ( 𝐴𝐵 + 𝐵𝐶) = 3 𝐴𝐶
               3
นั่นคือ 𝐴𝐶 = 4 𝐴𝑀 + 3 𝐴𝑁 จะได้ 𝛼 = 3 , 𝛽 = 3 ⟹ 𝛼 + 𝛽 = 3 + 3 = 6 = 3
                    4              4       4           4   4   4   2
ตอบ 1.5
วิเคราะห์ : เรื่องเวกเตอร์ที่ออกประมาณนี้ก็เห็นเยอะเหมือนกันครับ แต่ถ้าเราทาไม่ถูกทางก็งมอยู่นาน
เหมือนกัน ทาให้เสียเวลาเยอะ เพราะโจทย์ประเภทนี้ทาได้หลากหลายทางแต่จะได้คาตอบเดียวกัน และส่วน
ใหญ่ก็จะไปไม่ถึงฝั่งกันครับ เพราะฉะนั้นมีหนทางเดียวที่จะพิชิตโจทย์ประเภทนี้ได้คือ ทาบ่อยๆครับ



รักคนบ้านไกลเอาใจยาก แฟนเขามากเราไม่รู้ดูไม่เห็น เขารักเราเขาก็รักคนอื่นเป็น เขาไม่เห็นหน้าเราเขาก็ลืม
เฉลยข้อสอบวิชาคณิตศาสตร์ โควตา ม .ขอนแก่น ปีการศึกษา 2550 โดย พี่เปี๊ยก   57


 𝟕. ให้ 𝑨 = {𝒛|𝒛 𝟐 − (𝟐 − 𝒊)𝒛 − 𝟐𝒊 = 𝟎} และ 𝑩 = {𝒛|𝒛 𝟐 = 𝟓 − 𝟏𝟐𝒊} ถ้า 𝑪 = { 𝒛 𝟐 |𝒛 ∈ 𝑨 ∪ 𝑩}
แล้วจงหาค่าผลบวกของสมาชิกของ 𝑪
เฉลย พิจารณาหาคาตอบของสมการ 𝑧 2 − (2 − 𝑖)𝑧 − 2𝑖 = 0
จากสูตร
                                               −𝑏 ±    𝑏 − 4𝑎𝑐
                                          𝑧=
                                                      2𝑎
จากสมการจะได้ 𝑎 = 1, 𝑏 = −(2 − 𝑖), 𝑐 = −2𝑖

ดังนั้น

                                         2− 𝑖±−(2 − 𝑖) 2 − 4(1)(−2𝑖)
                                   𝑧=
                                                  2(1)
                                     2 − 𝑖 ± 4 − 4𝑖 + 𝑖 2 + 8𝑖
                                   =
                                                2
                                     2 − 𝑖 ± 4𝑖 + 3
                                  𝑧=                ________(∗)
                                            2

พิจารณารากของสมการ 𝑧 2 = 𝑎 + 𝑏𝑖 คือ

                                                      𝑟+ 𝑎       𝑟− 𝑎
                                           𝑧=±             +          𝑖
                                                       2          2


โดย 𝑟 = 𝑧 =         𝑎2 + 𝑏 2
ดังนั้นเราจะหา 3 + 4𝑖 จากสูตร

                                𝑟+ 𝑎      𝑟− 𝑎
                          𝑧=         +         𝑖 (ทาไมต้องเป็นค่าบวกคิดหน่อยนะ)
                                 2         2




                                          5+3   5−3
                                  𝑧=          +     𝑖 = 2− 𝑖
                                           2     2


จาก (∗) จะได้ว่า
               2 − 𝑖 ± (2 − 𝑖)                      2− 𝑖+2+ 𝑖         2− 𝑖−2− 𝑖
          𝑧=                   คาตอบมีสองค่าคือ 𝑧 =           และ 𝑧 =           = −𝑖
                      2                                 2                 2

พิจารณา 𝐵 = {𝑧|𝑧 2 = 5 − 12𝑖} พิจารณาคาตอบของ 𝑧 2 = 5 − 12𝑖 ดังนี้
เฉลยข้อสอบวิชาคณิตศาสตร์ โควตา ม .ขอนแก่น ปีการศึกษา 2550 โดย พี่เปี๊ยก   58



                                                     𝑟+ 𝑎     𝑟− 𝑎
                                      𝑧=±                 +        𝑖
                                                      2        2

                                          13 + 5     13 − 5
                                          =±      +         𝑖
                                             2          2
                                    = ±(3 + 2𝑖)
                                    𝑧 = 3 + 2𝑖, 𝑧 = −3 − 2𝑖
ดังนั้น 𝐴 ∪ 𝐵 = {2, −𝑖, 3 + 2𝑖, −3 − 2𝑖}
พิจารณา 𝐶 = { 𝑧 2 |𝑧 ∈ 𝐴 ∪ 𝐵}
ถ้า 𝑧 = 2 ⟹ 𝑧 = 22 + 02 = 2 ⟹ 𝑧 2 = 22 = 4
ถ้า 𝑧 = −𝑖 ⟹ 𝑧 = 02 + (−1)2 = 1 ⟹ 𝑧 2 = 1
                                                                   2
ถ้า 𝑧 = 3 + 2𝑖 ⟹ 𝑧 = 32 + 22 = 13 ⟹ 𝑧 2 =                      3       = 13
                                                                   2              2
ถ้า 𝑧 = −3 − 2𝑖 ⟹ 𝑧 =            −3   2   + −2   2   = 13 ⟹ 𝑧          =      3       = 13
ดังนั้น 𝐶 = {4, 1, 13}
ผลบวกของสมาชิกในเซต 𝐶 คือ 4 + 1 = 13 = 18

ตอบ 18
วิเคราะห์ : เรื่องจานวนเชิงซ้อนเป็นเรื่องใหญ่พอสมควรแต่สังเกตเห็นไหมว่าในข้อนี้ ใช้สูตรหาคาตอบ
เหมือนเรื่องจานวนจริงถ้าเราจาได้ตั้งแต่เรื่องจานวนจริงก็ไม่จาเป็นต้องท่องอีก และเรื่องจานวนเชิงซ้อนยัง
มีหัวข้ออื่นที่นามาออกข้อสอบบ่อยเช่น รากของจานวนเชิงซ้อน การยกกาลังของจานวนเชิงซ้อน คาตอบ
ของสมการ เป็นต้น

หัวกระโหลกกาลังมีแทงปอด ตีด้วยน็อตฟาดด้วยชามตามด้วยไห หนีบด้วยคีบจิ้มด้วยเกลือลนด้วยไฟ
ทาอย่างไรก็ไม่หายคิดถึงเธอ

𝟖. ให้ 𝑮 เป็นกราฟที่มีเซตของจุดยอดเท่ากับเซตของจานวนเฉพาะหกตัวแรก โดยที่จุดยอด 𝒊 และ 𝒋 มีเส้นเชื่อม
ระหว่างสองจุดยอดนี้ก็ต่อเมื่อ 𝒊 ≠ 𝒋 และ 𝒊 + 𝒋 < 10 จงหาจานวนเส้นที่น้อยที่สุดที่สามารถเพิ่มให้กับ 𝑮 เพื่อ
ทาให้ 𝑮 เป็นกราฟออยเลอร์
เฉลย จากเงื่อนไขของโจทย์ถ้าลองวาดกราฟอย่างคร่าวๆ โดยการลงจุดและลงเส้น และเงื่อนไข 𝑖 ≠ 𝑗 และ 𝑖 + 𝑗 < 10
เราจะได้ดังภาพ




                         2            3              5        7               11             13
เฉลยข้อสอบวิชาคณิตศาสตร์ โควตา ม .ขอนแก่น ปีการศึกษา 2550 โดย พี่เปี๊ยก                 59


เนื่องจากกราฟออยเลอร์คือกราฟที่เราสามารถลากจากจุดเริ่มต้น(จุดใดก็ได้) ไปยังจุดสุดท้ายโดยที่ซ้าจุดเดิมได้แต่ห้ามซ้า
เส้นและต้องกลับมา ณ จุดเริ่มต้นเสมอ เราจะอาศัยทฤษฎีบทหนึ่งที่สาคัญมากๆเกี่ยวกับกราฟออยเลอร์นั่นคือ


                                    กราฟจะเป็นกราฟออยเลอร์ได้ก็ต่อเมื่อดีกรีทุกจุดในกราฟเป็นคู่หมด


ดังนั้นเราจะต้องเพิ่มเส้นเชื่อมให้น้อยที่สุดเพื่อทุกจุดมีดีกรีเป็นคู่นั่นเอง ทาได้หลายวิธีแต่ใช้อย่างน้อยที่สุดคือ 3 เส้นดังภาพ




                                2              3            5              7              11             13




ตอบ 3
วิเคราะห์ : เรื่องกราฟอาจเป็นเรื่องใหม่สาหรับทุกคน เพราะเพิ่งเพิ่มเข้ามาในหลักสูตรเมื่อไม่กี่ปีที่ผ่านมา
ตอนพี่เรียนมัธยมก็ไม่เคยได้เรียนเลย เพิ่มมาเรียนตอนเรียนปริญญาตรีนี่เอง เรื่องกราฟถ้าสังเกตแล้วก็
ไม่ใช่เรื่องใหญ่อะไร อ่านแป็บเดียวก็น่าจะเสร็จ และข้อสอบก็เลือกที่จะออกไม่ยากนัก ส่วนใหญ่ก็วนอยู่กับ
กราฟออยเลอร์เนี่ยแหละครับ แต่อย่าลืมทุกส่วนก็มีความสาคัญไม่น้อยเหมือนกัน

ไม่อยากเป็นบิ๊กเเอสเล่นของสูง
ไม่อยากเป็นเเคลชที่ถามหาไออุ่นรัก
ไม่อยากเป็นไอนําที่อกหัก
เเค่อยากเป็นคนที่ถูกรักเหมือนบอดี้สเเลม

 𝟗. กาหนดจุด 𝟗 จุดบนเส้นรอบวงกลมวงหนึ่ง ถ้า 𝒙 และ 𝒚 เป็นจานวนรูปหลายเหลี่ยมที่บรรจุภายในวงกลม
โดยใช้จุดเหล่านี้เป็นจุดยอดมุมและมีจานวนเหลี่ยมเป็นคี่ และคู่ตามลาดับแล้วจงหาค่า 𝒙 − 𝒚
เฉลย เมื่อวาดรูปวงกลมและมีจุด 9 จุดเป็นจุดบนเส้นรอบวงดังภาพ
เฉลยข้อสอบวิชาคณิตศาสตร์ โควตา ม .ขอนแก่น ปีการศึกษา 2550 โดย พี่เปี๊ยก   60




ให้ 𝑥 เป็นจานวนรูปหลายเหลี่ยมที่มีจานวนเหลี่ยมเป็นคี่ มีความเป็นไปได้คือ 3, 5, 7, 9 เหลี่ยม
กรณี 3 เหลี่ยมมีได้ทั้งหมด 9 = 84 รูป
                           3
กรณี 5 เหลี่ยมมีได้ทั้งหมด 9 = 126 รูป
                           5
กรณี 7 เหลี่ยมมีได้ทั้งหมด 9 = 36 รูป
                           7
กรณี 9 เหลี่ยมมีได้ทั้งหมด 9 = 1 รูป
                           9
ดังนั้น 𝑥 = 84 + 126 + 36 + 1 = 247

ให้ 𝑦 เป็นจานวนรูปหลายเหลี่ยมที่มีจานวนเหลี่ยมเป็นคี่ มีความเป็นไปได้คือ 4, 6, 8 เหลี่ยม
กรณี 4 เหลี่ยมมีได้ทั้งหมด 9 = 21 รูป
                           4
กรณี 6 เหลี่ยมมีได้ทั้งหมด 9 = 84 รูป
                           6
กรณี 8 เหลี่ยมมีได้ทั้งหมด 9 = 9 รูป
                           8
ดังนั้น 𝑦 = 21 + 84 + 9 = 144
ดังนั้น 𝑥 − 𝑦 = 247 − 144 = 133
เฉลยข้อสอบวิชาคณิตศาสตร์ โควตา ม .ขอนแก่น ปีการศึกษา 2550 โดย พี่เปี๊ยก   61


ตอบ 133
วิเคราะห์ : เรื่องนี้เราประยุกต์ใช้กับการเลือก ซึ่งถ้าเคยทาข้อประมาณนี้ก็คิดไม่ยากเลยครับ คิดเลขนิดเดียว
ก็ได้คะแนนตั้ง 𝟑 คะแนนแล้ว อย่างนี้ต้องฝึกทาโจทย์ประเภทนี้บ่อยๆนะครับ

เทอคบคายรักคายฉันม่ายว่า
แต่อย่ามาควงแขนหั้ยฉานเหง
ฉานม่ายช่ายมนุษย์ที่จายเย็น
ถ้าฉานเหงถีบกระเด็นทั้งคู่ไม่รู้ตัว

 𝟏𝟎. คะแนนสอบวิชาคณิตศาสตร์และภาษาไทยมีการแจกแจงแบบปกติและมีมัธฐานเท่ากัน            เด็กหญิงดาว
พบว่าคะแนนในวิชาคณิตศาสตร์ของตนอยู่เปอร์เซ็นไทล์ที่ 𝟕𝟖. 𝟖𝟏 ซึ่งเท่ากับเปอร์เซ็นไทล์ของคะแนน
ภาษาไทยที่ได้พอดี แต่คะแนนคณิตศาสตร์นั้นมากกว่าคะแนนภาษาไทยอยู่ 𝟐𝟎 คะแนน ถ้า 𝑨 และ 𝑩 เป็นส่วน
เบี่ยงเบนมาตราฐานของคะแนนวิชาคณิตศาสตร์และภาษาไทยตามลาดับ แล้ว จงหาค่าของ 𝑨 − 𝑩

                𝒛                                 𝟎. 𝟕𝟎                         𝟎. 𝟖𝟎                 𝟎. 𝟗𝟎
พื้นที่ใต้เส้นโค้ง                              𝟎. 𝟐𝟓𝟖𝟎                       𝟎. 𝟐𝟖𝟖𝟏               𝟎. 𝟑𝟏𝟓𝟗


เฉลย เนื่องจากทั้งสองวิชามีการแจกแจงปกติ และมัธยฐานเท่ากัน ดังนั้น จึงมีค่าเฉลี่ยเลขคณิตเท่ากันด้วย
เนื่องจากคะแนนวิชาคณิตศาสตร์อยู่เปอร์เซ็นไทล์ที่ 78.81 คิดเป็นพื้นที่ใต้เส้นโค้งปกติ 0.7881 ดังภาพ




พิจารณาคะแนนคณิตศาสตร์
                     𝑥−𝜇              𝑥−𝜇              𝑥−𝜇
จากสูตร 𝑧 =           𝜎
                           ⟹ 𝑧=        𝐴
                                            ⟹ 𝐴=          𝑧
                                                              ______(1)
พิจารณาคะแนนภาษาไทย
                     𝑥−𝜇              𝑦−𝜇       𝑥−20−𝜇              𝑥−20−𝜇
จากสูตร 𝑧 =           𝜎
                           ⟹ 𝑧=        𝐵
                                            =      𝐵
                                                          ⟹ 𝐵=            𝑧
                                                                              _________(2)
เฉลยข้อสอบวิชาคณิตศาสตร์ โควตา ม .ขอนแก่น ปีการศึกษา 2550 โดย พี่เปี๊ยก              62


จากโจทย์ต้องการหาค่า 𝐴 − 𝐵 เราจะหาจาก (1) − (2)
                                                        20 20
                                             𝐴− 𝐵=         =     = 25
                                                         𝑧   0.8
ตอบ 25
วิเคราะห์ : เรื่องนี้ก็ยากสาหรับผมครับเพราะผมไม่ค่อยชอบเรื่องนี้เป็นทุกเดิมอยู่แล้ว แต่ถ้าได้ทบทวนก็คิด
ว่าไม่เกินความสามารถหรอกครับ น้องๆก็เหมือนเรื่องสถิติเป็นเรื่องสาคัญมากๆ เพราะเรียนตั้งแต่ม . 𝟑 ยัน
ม.𝟔 กันเลยทีเดียว และออกข้อสอบหลายข้อเลยทีเดียวเรื่องนี้อาจจาเป็นต้องท่องสูตรสักหน่อยแต่ถ้าขยัน
อ่านขยันท่องก็ไม่เกินความสามารถหรอกครับ
I love you คู่ฟ้าสตาร์ดับ
The sun ลับขอบฟ้าหมดราศี
and the moon สิ้นแสงแห่งราตรี
But for me I love you รู้หรือยัง

พีหวังว่าทุกคนคงได้อะไรบ้างจากการอ่านเอกสารเล่มนี้ ถ้ามีอะไรผิดพลาด ก็ขออภัยด้วย หวังว่าโอกาสหน้าคงได้ปรับปรุงตัวใหม่และ
  ่
ทําให้ดีกว่านี้ ถ้ามีอะไรที่อยากแนะนํา กรุณาเมลล์มาที่ mercedesbenz_3010@hotmail.com ขอบคุณคร้าบ

คณิต

  • 1.
    เฉลยข้อสอบวิชาคณิตศาสตร์ โควตา ม.ขอนแก่น ปีการศึกษา 2550 โดย พี่เปี๊ยก 1 เฉลยข้อสอบโควตา ม.ขอนแก่น ปี 𝟐𝟓𝟓𝟎 วิชา คณิตศาสตร์(วิทย์) สอบวันที่ 𝟒 พฤศจิกายน 𝟐𝟓𝟓𝟎 ตอนที่ 𝟏 ข้อสอบแบบปรนัยแบบ 𝟒 ตัวเลือก จานวน 𝟏𝟒 ข้อ (ข้อ 𝟏 − 𝟏𝟒) ข้อละ 𝟐 คะแนน 𝟏. ให้ 𝒑 แทนประพจน์ "สาหรับจานวนจริง 𝒙 ทุกตัว ถ้า 𝒙 < 2 แล้ว 𝒙 𝟐 < 4" ให้ 𝒒 แทนประพจน์ "สาหรับจานวนจริง 𝒙 ทุกตัว มีจานวนจริง 𝒚 บางตัวที่ 𝒙 𝟐 𝒚 = 𝒙" ประพจน์ในข้อใดต่อไปนี้มีค่าความจริงเป็นเท็จ [𝟏] ~𝒑 ⇒ 𝒒 𝟐 ~𝒑 ⇒ ~𝒒 [𝟑] 𝒒 ⇒ ~𝒑 𝟒 ~𝒒 ⇒ ~𝒑 เฉลย 𝑝 แทนประพจน์ ∀𝑥 ∈ ℝ [𝑥 < 2 ⇒ 𝑥 2 < 4] เป็นเท็จครับ เพราะ มีจานวนจริงบางตัวที่ 𝑥 < 2 แล้ว 𝑥 2 ≮ 4 เช่น 𝑥 = −3 จะได้ −3 < 2 แต่ 𝑥 2 = (−3)2 = 9 ≮ 4 ดังนั้น 𝑝 จึงเป็นเท็จคับ 𝑞 แทนประพจน์ ∀𝑥∃𝑦[𝑥 2 𝑦 = 𝑥] กรณี 𝑥 = 0 เราเลือก 𝑦 ตัวไหนก็ได้ เพราะ 02 𝑦 = 0 เสมอ กรณี 𝑥 ≠ 0 เราเลือก 𝑦 = 1𝑥 จะทาให้ 𝑥 2 ∙ 1𝑥 = 𝑥 1 1 เช่น 𝑥 = −2 เลือก 𝑦 = (−2) จะได้ (−2)2 ∙ (−2) = −2 ดังนั้นทุกจานวนจริง 𝑥 เราสามารถหา 𝑦 ได้เสมอคับ ดังนั้นจะได้ 𝑞 เป็นจริง เมื่อพิจารณา ข้อ [1] ~𝑝 ⇒ 𝑞 ≡ ~𝐹 ⇒ 𝑇 ≡ 𝑇 ⇒ 𝑇 ≡ 𝑇 ข้อ [2] ~𝑝 ⇒ ~𝑞 ≡ ~𝐹 ⇒ ~𝑇 ≡ 𝑇 ⇒ 𝐹 ≡ 𝐹 ข้อ [3] 𝑞 ⇒ ~𝑝 ≡ 𝑇 ⇒ ~𝐹 ≡ 𝑇 ⇒ 𝑇 ≡ 𝑇 ข้อ [4] ~𝑞 ⇒ ~𝑝 ≡ ~𝑇 ⇒ ~𝐹 ≡ 𝐹 ⇒ 𝑇 ≡ 𝑇 ตอบข้อ [𝟐] วิเคราะห์ : ข้อนี้ต้องการตรวจสอบเราเรื่องตรรกศาสตร์คับ ต้องเข้าใจประพจน์บ่งชี้ปริมาณ จะเป็นจริงหรือเท็จเมื่อไหร่ ไม่ค่อยออกบ่อยเท่าไหร่ แต่ก็ถือว่าไม่ยากคับ สู้ๆ
  • 2.
    เฉลยข้อสอบวิชาคณิตศาสตร์ โควตา ม.ขอนแก่น ปีการศึกษา 2550 โดย พี่เปี๊ยก 2 𝟑 𝟐. ถ้า 𝑨 = {𝒑|𝒑 เป็นจานวนเฉพาะ และ 𝒑 หาร 𝟓𝟎𝟒 − 𝟐𝒑 ลงตัว} แล้ว ผลบวกของสมาชิกของเซต 𝑨 คือ ข้อใดต่อไปนี้ [𝟏] 𝟗 𝟐 𝟏𝟎 [𝟑] 𝟏𝟏 𝟒 𝟏𝟐 เฉลย วิธีที่ 1 ข้อนีเราสามารถทาแบบเลือกสุมไปเรือยๆได้ เพราะเราเห็นตัวเลือกแล้ว มีคามากสุดคือ 12 เอง แสดงว่าจานวน ้ ่ ่ ่ เฉพาะนั้นไม่เยอะมาก เอาหละเรามาลองสุ่มตัวเลขกันดู 𝑝 = 2 ; จะได้ [504 − 2(2)]3 = [504 − 4]3 = 5003 พบว่า 𝑝|5003 ว้าวใช้ได้ 𝑝 = 3 ; จะได้ [504 − 2(3)]3 = [504 − 6]3 = 4983 พบว่า 𝑝|4983 ว้าวใช้ได้อีกแล้ว 𝑝 = 5 ; จะได้ [504 − 2(5)]3 = [504 − 10]3 = 4943 พบว่า 𝑝 ∤ 4943 ตัวนี้ไม่ลงตัวคับ 𝑝 = 7 ; จะได้ [504 − 2(7)]3 = [504 − 14]3 = 4903 พบว่า 𝑝|4903 ว้าวใช้ได้อีกแล้ว ดังนั้น 𝑝 ทั้งหมดคือ 2, 3, 7 บวกกันได้ 12 คับตัวเลือกข้อนี้สุดๆ แล้วคับ 3 3 2 2 3 วิธีที่ 2 เนืองจาก (𝐴 − 𝐵) = 𝐴 − 3𝐴 𝐵 + 3𝐴𝐵 − 𝐵 ่ หรือเราท่องกันจนชินปากว่า (หน้า − หลัง)3 = หน้า3 − 3หน้า2 หลัง + 3หน้าหลัง2 − หลัง3 2 ถ้ายังจากันไม่ได้ก็ นา 𝐴 − 𝐵 𝐴− 𝐵 = 𝐴2 − 2𝐴𝐵 + 𝐵2 𝐴 − 𝐵 อันนี้เป็นกาลังสองคงคุ้นกันนะคับ เอาหล่ะ คราวนี้เราจะมาพิจารณา 504 − 2𝑝 3 = 5043 − 3 504 2 2𝑝 + 3 504 (2𝑝)2 − (2𝑝)3 เนื่องจาก 𝑝|3 504 2 2𝑝 (เพราะมีตัวประกอบคือ 𝑝 อยู่ด้วยคับ) 𝑝|3(504)(2𝑝)2 (เพราะมีตัวประกอบคือ 𝑝 อยู่ด้วยคับ) 𝑝|(2𝑝)3 (เพราะมีตัวประกอบคือ 𝑝 อยู่ด้วยคับ) โดยหลักการของการหารลงตัว เรามีข้อสังเกตอยู่ว่า ถ้า 𝑎 𝑏 ± 𝑐 ± 𝑑 ± ⋯ ± 𝑦 ± 𝑧 และ 𝑎 𝑏, 𝑎 𝑐, 𝑎 𝑑, … , 𝑎|𝑦 เราสามารถสรุปได้ว่า 𝑎|𝑧 นั่นคือ 𝑝|5043 จะได้ว่า 𝑝|504 (เนื่องจากว่า ถ้า 𝑎 𝑏 𝑛 แล้ว 𝑎 𝑏 สาหรับทุก 𝑛 ที่เป็นจานวนเต็มบวกคับ ) เราจึงหาจานวนเฉพาะทั้งหมดที่หาร 504 ได้ทั้งหมด 3 ตัวคือ 2, 3, 7 โดยได้มาจากการแยกตัวประกอบ 504 = 23 ⋅ 32 ⋅ 7 ตอบข้อ [4] วิเคราะห์ : ข้อนี้ถ้าน้องคนไหนอ่อนเรื่องทฤษฎีจานวนสักหน่อย ก็แย่เหมือนกัน โดยเฉพาะเรื่องการหารลง ตัวนี่ข้อสอบขาดไม่ได้ เห็นออกกันอยู่ทุกปี คับ ถ้าไม่คล่องทฤษฎีก็ไปอ่านมาซะนะ
  • 3.
    เฉลยข้อสอบวิชาคณิตศาสตร์ โควตา ม.ขอนแก่น ปีการศึกษา 2550 โดย พี่เปี๊ยก 3 𝟑. จานวนเต็มบวกจานวนหนึ่งมีสี่หลัก และหารด้วย 𝟗𝟎 ลงตัว ถ้าจานวนนี้มีตัวเลขหลักพันเป็น 𝟐 และหลัก ร้อยเป็น 𝟏 แล้วหลักสิบคือข้อใด [𝟏] 𝟔 𝟐 𝟕 [𝟑] 𝟖 𝟒 𝟗 เฉลย จากข้อมูลเราสามารถเขียนจานวนนี้คือ 2 1 𝑎 𝑏 แต่เนื่องจาก 90|21𝑎𝑏 เราจะเห็นได้ว่า 𝑏 = 0 ได้เพียงอย่างเดียว ดังนั้น เราจึงพิจารณาเพียง 9|21𝑎 โดยวิธีตั้งหารยาวเราจะได้ 𝑎 = 6 หลักสิบจึงเป็น 6 ตอบข้อ [1] ข้อนี้ง่ายจริงๆคับ ถ้าเป็นเราสอบต้องเก็บคะแนนข้อนี้ให้ได้นะ วิเคราะห์ : ข้อนี้ถือว่าออกมาให้กินคะแนนฟรีๆ (พะนะ !) ไม่ยากเลย แค่รู้จักคาว่า "หารลงตัว " 𝟒. เมตริกซ์ในข้อใดต่อไปนี้มีรูปขั้นบันไดแบบแถว (𝑹𝒐𝒘 𝒆𝒄𝒉𝒆𝒍𝒐𝒏 𝒇𝒐𝒓𝒎) 𝟏 𝟐 𝟑 𝟒 𝟏 𝟐 𝟑 𝟒 [𝟏] 𝟎 𝟓 𝟔 𝟕 𝟐 𝟎 𝟎 𝟏 𝟐 𝟎 𝟎 𝟎 𝟏 𝟎 𝟏 𝟎 𝟔 𝟏 𝟐 𝟑 𝟒 𝟏 𝟎 𝟎 𝟎 [𝟑] 𝟎 𝟎 𝟏 𝟕 𝟒 𝟎 𝟎 𝟎 𝟎 𝟎 𝟎 𝟎 𝟎 𝟎 𝟎 𝟏 𝟎 เฉลย เมตริกซ์ในรูปขั้นบันไดแถว (𝑅𝑜𝑤 𝑒𝑐𝑕𝑒𝑙𝑜𝑛 𝑓𝑜𝑟𝑚) คือเมตริกซ์ที่มีคุณสมบัติดังต่อไปนี้ 1. เป็นเมตริกซ์ที่มีตัวนาในแต่ละแถว เป็น 1 2. สมาชิกที่อยู่หน้าตัวนาทุกตัวต้องเป็น 0 3. ตัวนา 1 ในแต่ละคอลัมน์ต้องอยู่แบบเยื้องมาทางขวามือ (ห้ามอยู่ตรงกัน) เช่น 1 3 4 5 0 1 3 4 1 2 3 4 5 0 1 7 −1 , 0 0 1 1 , 0 1 1 4 5 0 0 1 −3 0 0 0 1 0 0 0 1 2
  • 4.
    เฉลยข้อสอบวิชาคณิตศาสตร์ โควตา ม.ขอนแก่น ปีการศึกษา 2550 โดย พี่เปี๊ยก 4 4. แถวที่มีสมาชิกเป็น 0 หมด (ถ้ามี) แถวนั้นต้องอยู่ล่างสุด 1 0 0 1 เช่น 0 1 0 0 0 0 0 0 จากตัวเลือกของข้อนี้ เราจะได้ข้อ [3] เป็น 𝑅𝑜𝑤 𝑒𝑐𝑕𝑒𝑙𝑜𝑛 𝑓𝑜𝑟𝑚 จริงๆแล้วถ้าใครไม่รู้จัก 𝑅𝑜𝑤 𝑒𝑐𝑕𝑒𝑙𝑜𝑛 𝑓𝑜𝑟𝑚 ก็ไม่แปลกครับ เนื้อหานี้อยู่ใน 𝑀𝑎𝑡𝑕𝑒𝑚𝑎𝑡𝑖𝑐𝑠 𝐼 ของคณะ วิทยาศาสตร์ น้องๆปี 1 ทุกคนต้องได้เรียน ครับ แต่เพื่อเตรียมความพร้อมของน้อง ม . 6 จึงเอามาออกสอบมั้งคับ ตอบข้อ [3] วิเคราะห์ : ข้อนี้ต้องการตรวจสอบนิยามของ 𝑅𝑜𝑤 𝑒𝑐𝑕𝑒𝑙𝑜𝑛 𝑓𝑜𝑟𝑚 ใครอ่านมาก็ได้ ใครไม่ได้อ่านมาก็ตัว ใครตัวมันคับ เพราะน้อยนักน้อยหน้าจะออกแบบนี้ 𝟓. กาหนดให้ 𝑻 = 𝟏, 𝟐, 𝟑, 𝟒, 𝟓, 𝟔 และความสัมพันธ์ 𝒓 = {(𝒙, 𝒚) ∈ 𝑻 × 𝑻|𝒙 > 5 หรือ 𝒚 ≤ 𝟐} และ 𝒔 = {(𝒙, 𝒚) ∈ 𝑻 × 𝑻|𝒙 ≤ 𝟓 หรือ 𝒚 > 2} ข้อใดต่อไปนี้ผิด [𝟏] 𝑹 𝒓 − 𝑹 𝒔 = ∅ 𝟐 𝑫𝒓 ∪ 𝑫𝒔 = 𝑻 [𝟑] 𝒓 ∪ 𝒔 = 𝑻 × 𝑻 𝟒 𝒓∩ 𝒔= ∅ เฉลย อย่างแรกเราต้องหา 𝑟 ก่อนนะ แต่พี่อยากให้น้องทบทวนก่อนว่า 𝑇 × 𝑇 (อ่านว่า 𝑇 ครอส 𝑇 ) มีสมาชิกกี่ตัว ก็มีเท่ากับ 𝑛(𝑇) ∙ 𝑛 𝑇 ครับ เท่ากับ 6 ∙ 6 = 36 ซึ่งได้แก่ { 1, 1 , 1, 2 , 1, 3 , … , 1, 6 , 2, 1 , 2, 2 , … , (6, 6)} จากโจทย์โดเมนของ 𝑟 ต้องมากกว่า 5 ดังนั้นคู่ลาดับที่สอดคล้อง คือ 6, 1 , 6, 2 , 6, 3 , 6, 4 , 6, 5 , 6, 6 ∈ 𝑟 มี 6 ตัวใช่ป่ะ จากเรนจ์ของ 𝑟 ต้องน้อยกว่าหรือเท่ากับ 2 ดังนั้นคู่ลาดับที่สอดคล้อง คือ 1, 1 , 1, 2 , 2, 1 , 2, 2 , 3, 1 , 3, 2 , 4, 1 , 4, 2 , 5, 1 , 5, 2 , 6, 1 , (6, 2) ∈ 𝑟 ดังนั้นนาสองเซตมายูเนียนกัน จะพบว่ามีบางสมาชิกซ้ากัน (ในเซตเราถือว่าเอามาตัวเดียวพอ) จะได้ 𝑟 = { 1, 1 , 1, 2 , 2, 1 , 2, 2 , 3, 1 , 3, 2 , 4, 1 , 4, 2 , 5, 1 , 5, 2 , 6, 1 , 6, 2 , 6, 3 , 6, 4 , 6, 5 , (6, 6)} ดังนั้น 𝐷 𝑟 = 1, 2, 3, 4, 5, 6 , 𝑅 𝑟 = {1, 2, 3, 4, 5, 6} (เท่ากันเยย) คราวนี้เรามาดูของ 𝑠 กันบ้างนะครับ
  • 5.
    เฉลยข้อสอบวิชาคณิตศาสตร์ โควตา ม.ขอนแก่น ปีการศึกษา 2550 โดย พี่เปี๊ยก 5 จาก 𝑠 = 𝑥, 𝑦 ∈ 𝑇 × 𝑇 𝑥 ≤ 5 หรือ 𝑦 > 2} โดเมนของ 𝑠 น้อยกว่าหรือเท่ากับ 5 จะได้คู่ลาดับที่สอดคล้อง คือ 1, 1 , 1, 2 , 1, 3 , … , 1, 6 , 2, 1 , 2, 2 , 2, 3 , … , 2, 6 , 3, 1 , 3, 2 , 3, 3 , … , 3, 6 , ⋮ ⋮ 5, 1 , 5, 2 , 5, 3 , … , (5, 6) ∈ 𝑠 หรือ เรนจ์ของ 𝑠 มากกว่า 2 จะได้ คู่ลาดับที่สอดคล้อง คือ 1, 3 , 1, 4 , 1, 5 , 1, 6 , 2, 3 , 2, 4 , 2, 5 , 2, 6 , ⋮ ⋮ 6, 3 , 6, 4 , 6, 5 , (6, 6) ∈ 𝑠 จับสมาชิกของ 𝑠 ทั้งหมดมารวมกันจะได้ จะได้ 𝑠 = { 1, 1 , 1, 2 , 1, 3 , … , 1, 6 , 2, 1 , 2, 2 , 2, 3 , … , 2, 6 , 3, 1 , 3, 2 , 3, 3 , … , 3, 6 , ⋮ ⋮ 5, 1 , 5, 2 , 5, 3 , … , 5, 6 , 6, 3 , 6, 4 , 6, 5 , (6, 6)} 𝐷 𝑠 = 1, 2, 3, 4, 5, 6 , 𝑅 𝑠 = {1, 2, 3, 4, 5, 6} ดังนั้นตอนนี้สรุปว่า 𝐷 𝑟 = 𝑅 𝑟 = 𝐷 𝑠 = 𝑅 𝑠 = {1, 2, 3, 4, 5, 6} = 𝑇 พิจารณาตัวเลือกแต่ละข้อคับ 1 𝑅 𝑟 − 𝑅 𝑠 = ∅ ถูกแล้วคับ 2 𝐷 𝑟 ∪ 𝐷 𝑠 = 𝑇 มันถูกอีกแล้ว [3] 𝑟 ∪ 𝑠 = 𝑇 × 𝑇 ถูกต้องนะค้าบ ลองยูเนียนกันดูได้ครบทุกตัวคับ 4 𝑟 ∩ 𝑠 = ∅ ผิดคับ เพราะมีตั้งหลายตัวที่ซ้ากัน เป็นไปบ่ได้ดอกที่จะเป็นเซตว่าง อย่างน้อยๆก็มี (1,1) ล่ะเอ้า จริงๆแล้วตอนหาโดเมนกับเรนจ์ ข้อนี้เราไม่จาเป็นกระจาย จนกระจุยออกมาหมดเปลือกเหมือนอย่างพี่ก็ได้คับ เพราะโดเมน กับเรนจ์สุดๆก็มี 6 ตัว แต่อย่างไรก็ตามเราก็ต้องหามันอยู่ดี เพราะข้อ 3 , [4] เราต้องรู้ว่ามันมีอะไรบ้าง ตอบข้อ [4] วิเคราะห์ : ข้อนี้ออกจะยาวสักหน่อย แต่ถ้าได้ฝึกทาบ่อยๆ พี่ป๋อ ณัฐวุฒิ ยังเรียกพี่คับ มันออกจะถึกสักหน่อย แต่ก็คุ้มเพราะมีแค่เรื่องเซต และผลคูณคาร์ทีเซียน เรียนกันมาตั้งแต่ ม.𝟒 (แต่ก็คืนอาจารย์ไปหมดแล้ว)
  • 6.
    เฉลยข้อสอบวิชาคณิตศาสตร์ โควตา ม.ขอนแก่น ปีการศึกษา 2550 โดย พี่เปี๊ยก 6 𝟔. ถ้ากราฟของสมการ 𝒚 = 𝒇(𝒙) เป็นฟังก์ชันเพิ่มและ 𝒄 เป็นจานวนจริงใดๆ แล้วกราฟของสมการในข้อใด ต่อไปนี้ไม่เป็นฟังก์ชันเพิ่ม [𝟏] 𝒚 = 𝒇(𝒙 − 𝒄) 𝟐 𝒚= 𝒇 𝒙 + 𝒄 [𝟑] 𝒚 = 𝒇 −𝒙 − 𝒄 𝟒 𝒚 = −𝒇 −𝒙 + 𝒄 เฉลย เรามาดูนิยามของฟังก์ชันเพิ่มและฟังก์ชันลดกันก่อนนะครับ ฟังก์ชันเพิ่ม สาหรับทุกค่า 𝑥1 , 𝑥2 ที่อยู่ในโดเมนของ 𝑓 ถ้า 𝑥1 > 𝑥2 แล้ว 𝑓 𝑥1 > 𝑓 𝑥2 (จาไว้ว่า เครื่องหมายเหมือนกัน ) นิยามของฟังก์ชันเพิ่มอาจนิยามได้อีกแบบคือ ถ้า 𝑥1 < 𝑥2 แล้ว 𝑓 𝑥1 < 𝑓 𝑥2 ฟังก์ชันลด สาหรับทุกค่า 𝑥1 , 𝑥2 ที่อยู่ในโดเมนของ 𝑓 ถ้า 𝑥1 > 𝑥2 แล้ว 𝑓 𝑥1 < 𝑓 𝑥2 (จาไว้ว่า เครื่องหมายต่าง ) นิยามของฟังก์ชันลดอาจนิยามได้อีกแบบคือ ถ้า 𝑥1 < 𝑥2 แล้ว 𝑓 𝑥1 > 𝑓 𝑥2 ข้อนี้ขอเสนอวิธีเช็ค ง่ายๆ โดยสมมติฟังก์ชันที่เป็นฟังก์ชันเพิ่มมาสัก 1 ตัว คือ 𝑦 = 𝑓 𝑥 = 𝑥 + 1 เราจะแสดงว่า 𝑓 เป็นฟังก์ชันเพิ่มดังนี้ ให้ 𝑥1 > 𝑥2 บวกด้วย 1 ทั้งสองข้างอสมการ จะได้ 𝑥1 + 1 > 𝑥2 + 1 ดังนั้น 𝑓 𝑥1 > 𝑓 𝑥2 (เพราะจากโจทย์ 𝑥1 + 1 = 𝑓(𝑥1 ) และ 𝑥2 + 1 = 𝑓(𝑥2 ) ) นั่นคือ 𝑓 เป็นฟังก์ชันเพิ่มครับ ตรวจสอบตัวเลือกข้อ 1 ครับ ให้ 𝑐 = 1 (ให้เป็นอะไรก็ได้ เพราะเป็นค่าคงที่ใดๆ) พิจารณา 𝑦 = 𝑓 𝑥 − 1 = 𝑥 − 1 + 1 = 𝑥 ได้ฟังก์ชันนี้คือ 𝑦 = 𝑓(𝑥) = 𝑥 เมื่อตรวจสอบโดยนิยามข้างต้นจะได้ 𝑓 เป็นฟังก์ชันเพิ่มครับ
  • 7.
    เฉลยข้อสอบวิชาคณิตศาสตร์ โควตา ม.ขอนแก่น ปีการศึกษา 2550 โดย พี่เปี๊ยก 7 ตรวจสอบข้อ [2] ให้ 𝑐 = 1 เหมือนเดิม 𝑦 = 𝑓 𝑥 + 𝑐 = 𝑥 + 1 + 1 = 𝑥 + 2 จะได้ 𝑦 = 𝑓(𝑥) = 𝑥 + 2 เมื่อตรวจสอบโดยนิยามของฟังก์ชันเพิ่มจะได้ 𝑓 เป็นฟังก์ชันเพิ่มครับ ตรวจสอบข้อ 3 ให้ 𝑐 = 1 𝑦 = 𝑓 −𝑥 − 𝑐 = −𝑥 + 1 − 1 = −𝑥 จะได้ 𝑦 = 𝑓(𝑥) = −𝑥 เป็นฟังก์ชันลดครับ วิธีการพิสูจน์เป็นดังนี้ ให้ 𝑥1 > 𝑥2 คูณด้วย −1 ตลอดอสมการนี้ จะได้ −𝑥1 < −𝑥2 นั่นคือ 𝑓 𝑥1 < 𝑓(𝑥2 ) จะได้ 𝑓 เป็นฟังก์ชันลดครับ ส่วนข้อ [4] นั้นเป็นฟังก์ชันเพิ่มครับ ลองทาดูคล้ายๆกับตัวอย่างข้างบนครับ ตอบข้อ [3] วิเคราะห์ : ข้อสอบประเภทนี้ไม่ค่อยออกครับ แต่ก็ออกมาเพื่อทดสอบความรู้เรื่องนิยามฟังก์ชันเพิ่มฟังก์ชัน ลดครับ นิยามก็ไม่ยากที่จะจดจาครับ เพราะฉะนั้นข้อนี้ก็ไม่ยากเกินไปครับ 𝟕. กาหนดให้วงกลมอยู่ในครอดรันต์ที่ 𝟏 มีรัศมีเท่ากับ 𝟑 หน่วย และสัมผัสแกน 𝑿 และแกน 𝒀 ที่จุด 𝑨 และ 𝑩 ตามลาดับ ถ้า 𝑳 เป็นเส้นตรงที่ตัดแกน 𝑿 และแกน 𝒀 ที่จุด 𝑨 และ 𝑩 ตามลาดับ แล้วระยะห่างระหว่างจุด ศูนย์กลางของวงกลมกับเส้นตรง 𝑳 คือข้อใดต่อไปนี้ 𝟐 𝟑 𝟐 [𝟏] 𝟐 หน่วย 𝟐 𝟐 หน่วย [𝟑] 𝟐 𝟐 หน่วย 𝟒 𝟑 𝟐 หน่วย
  • 8.
    เฉลยข้อสอบวิชาคณิตศาสตร์ โควตา ม.ขอนแก่น ปีการศึกษา 2550 โดย พี่เปี๊ยก 8 เฉลย จากภาพเราจะได้จุดศูนย์วงกลมคือ (3,3) วิธีที่ 1 เนื่องจาก ∆𝐴𝑂𝐵 เป็นสามเหลี่ยมมุมฉาก เราสามารถหาความยาว 𝐵𝐴 ได้จากทฤษฎีบทปีทากอรัส นั่นคือ 2 𝐵𝐴 = 32 + 32 = 9 + 9 = 18 𝐵𝐴 = 18 = 3 2 เนื่องจาก พท.∆𝐴𝑂𝐵 คือ 1 1 1 ∙ ฐาน ∙ สูง = ∙ 𝐵𝐴 ∙ 𝑕 = ∙ 3 2 ∙ 𝑕 ______(1) 2 2 2 แต่เนื่องจาก พท.∆𝐴𝑂𝐵 (มองในทางกลับด้านกันนะ) 1 1 1 = ∙ ฐาน ∙ สูง = ∙ 𝐵𝐴 ∙ 𝑕 = ∙ 3 ∙ 3 _______(2) 2 2 2 ดังนั้น 1 = (2) 1 1 ∙3 2∙ 𝑕 = ∙3∙3 2 2 ดังนั้น 3 3 2 𝑕= = 2 2
  • 9.
    เฉลยข้อสอบวิชาคณิตศาสตร์ โควตา ม.ขอนแก่น ปีการศึกษา 2550 โดย พี่เปี๊ยก 9 วิธีที่ 1 (สาหรับคนที่ชื่นชอบเรขาคณิตวิเคราะห์) จากภาพเราจะหาสมการเส้นตรง 𝐿 จากจุดผ่าน 𝐴(3, 0) และ 𝐵(0, 3) หาความชัน 𝑦2 − 𝑦1 3 − 0 3 𝑚= = = = −1 𝑥2 − 𝑥1 0 − 3 −3 เนื่องจากสมการทั่วไปของเส้นตรง คือ 𝑦 = 𝑚𝑥 + 𝑐 เมื่อ 𝑥, 𝑦 คือจุดผ่าน และ 𝑚 คือ ความชัน เราเลือกจุดผ่านเส้นตรงมา 1 จุด คือ (3, 0) (อันนี้เราสามารถเลือก (0, 3) ก็ได้) จะได้ 0 = (−1)(3) + 𝑐 นั่นคือ 𝑐 = 3 เราจะได้สมการเส้นตรงคือ 𝑦 = −𝑥 + 3 การหาสมการเส้นตรงทาได้อีกวิธีคือ แทนค่าในสูตร 𝑦 − 𝑦1 = 𝑚(𝑥 − 𝑥1 ) เมื่อ (𝑥1 , 𝑦1 ) คือจุดผ่าน เราจะ ได้สมการเส้นตรง 𝑦 − 0 = (−1)(𝑥 − 3) = −𝑥 + 3 ⟹ 𝑦 = −𝑥 + 3 จากสูตรของระยะห่างระหว่างเส้นตรง 𝐴𝑥 + 𝐵𝑦 + 𝑐 = 0 กับจุด (𝑥1 , 𝑦1 ) คือ 𝐴𝑥1 + 𝐵𝑦1 + 𝐶 𝑑= 𝐴2 + 𝐵 2 ดังนั้นระยะห่างระหว่างเส้นตรง 𝑥 + 𝑦 − 3 = 0 กับจุด 3, 3 คือ 1 3 + 1 3 −3 3 3 2 = = 12 + 12 2 2 ตอบข้อ [2] วิเคราะห์ : ข้อสอบประเภทนี้ถือว่าไม่ยากเพราะเลือกทาได้ตั้งสองวิธี ใครถนัดแบบไหนก็ทาแบบนั้นครับ ถึงแม้ว่าวิธีที่สอง จะยาวไปหน่อย แต่วิธีแรกก็อาจใช้ไม่ได้ ถ้า ∆𝑨𝑩𝑶 ไม่เป็นสามเหลี่ยมมุมฉากในขณะที่ วิธีที่สองทาได้หมดครับ เพราะฉะนั้นควรฝึกทั้งสองวิธี จะได้เก่งๆจริงมั้ย  ในเรื่องเรขาคณิตวิเคราะห์ จาเป็นต้องจาสูตรพื้นฐานต่างๆ ให้ได้หมดไม่งั้นจะทาไม่ได้เลยครับ
  • 10.
    เฉลยข้อสอบวิชาคณิตศาสตร์ โควตา ม.ขอนแก่น ปีการศึกษา 2550 โดย พี่เปี๊ยก 10 𝟖. วงรีรูปหนึ่งมีความยาวของแกนเอกเท่ากับความยาวของเลตัสเรกตัมของพาราโบลา 𝒙 𝟐 − 𝟒𝒙 − 𝟖𝒚 + 𝟏 𝟐𝟖 = 𝟎 ถ้าวงรีนี้มีความเยื้องศูนย์กลางเท่ากับ แล้วความยาวของแกนโทของวงรีนี้ คือข้อใดต่อไปนี้ 𝟐 [𝟏] 𝟐 หน่วย 𝟐 𝟐 𝟑 หน่วย [𝟑] 𝟒 หน่วย 𝟒 𝟒 𝟑 หน่วย เฉลย พิจารณาพาราโบลา เราต้องการความยาวลาตัสเรกตัม นั่นคือ 4𝑐 ขั้นแรกพยายามจัดรูปให้อยู่ในรูปมาตรฐาน คือ (𝑥 − 𝑕)2 = 4𝑐 𝑦 − 𝑘 จาก 𝑥 2 − 4𝑥 − 8𝑦 + 28 = 0 𝑥 2 − 4𝑥 = 8𝑦 − 28 (𝑥 − 2)2 − 4 = 8𝑦 − 28 (𝑥 − 2)2 = 8𝑦 − 24 (𝑥 − 2)2 = 8(𝑦 − 3) ดังนั้น 4𝑐 = 8 นั่นคือ 4𝑐 = 8 เป็นค่า เลตัสเรกตัม (𝐿𝑅) ดังนั้นความยาวแกนเอกคือ 8 นั่นคือ 𝑐 2𝑎 = 8 จะได้ 𝑎 = 4 จากสูตรความเยื้องศูนย์กลางของวงรี คือ 𝑒 = (อันนี้ต้องจาหน่อยนะครับ) 𝑎 ดังนั้น 1 𝑐 𝑐 = = ⇒ 𝑐=2 2 𝑎 4 จากความสัมพันธ์ระหว่าง 𝑎, 𝑏 , 𝑐 ของวงรีคือ 𝑎2 = 𝑏2 + 𝑐 2 ( 𝑎 เป็นใหญ่ในวงรี 𝑐 เป็นใหญ่ใน 𝑕𝑦𝑝𝑒𝑟 ถ้าใน 𝑕𝑦𝑝𝑒𝑟 จะได้ 𝑐 2 = 𝑎2 + 𝑏2 ) ดังนั้น 42 = 𝑏2 + 22 จะได้ 𝑏 = 2 3 ดังนั้นความยาวแกนโทคือ 2𝑏 = 4 3
  • 11.
    เฉลยข้อสอบวิชาคณิตศาสตร์ โควตา ม.ขอนแก่น ปีการศึกษา 2550 โดย พี่เปี๊ยก 11 ตอบข้อ [4] วิเคราะห์ : ข้อสอบประเภทนี้ทดสอบเรื่องวงรีและพาราโบลาครับ ทุกสมการเราต้องจาให้ได้ครับ โดยเฉพาะสมการมาตรฐาน เพราะข้อสอบนิยมออกสอบแบบผสมผสานกันอย่างมากครับ และอย่าได้คิดว่าจาเรื่อง วงกลม พาราโบลา วงรี และไฮเปอร์แล้วจะทาได้ เราต้องจาเรื่องเรขาคณิตวิเคราะห์ ด้วย โดยเฉพาะเรื่องเส้นตรง และสูตรต่างๆ ต้องหาเทคนิคจาให้ได้ 𝟐 𝒙 −𝟐 𝟐𝒙 𝟗. กาหนดให้ ℝ แทนเซตของจานวนจริงและ 𝑨 = 𝒙 ∈ ℝ 𝟓 𝟗 = 𝟔𝟐𝟓 𝟐 } ผลบวกสมาชิกของ 𝑨 คือข้อใดต่อไปนี้ −𝟐 𝟏 [𝟏] −𝟏 𝟐 [𝟑] 𝟎 𝟒 𝟓 𝟓 เฉลย การแก้สมการหรืออสมการ ที่อยู่ในรูปเอกซ์โปเนนเชียล เราจาเป็นที่จะต้องทาฐานให้เท่ากันครับ 𝟐 𝒙 −𝟐 𝟐𝒙 𝟐𝒙 𝟐𝒙 𝟐 ∙𝟐 𝟐𝒙 𝟐𝒙+𝟐 𝟓𝟗 = 𝟔𝟐𝟓 𝟐 = (𝟓 𝟒 ) 𝟐 = (𝟓) 𝟒∙𝟐 = (𝟓) 𝟐 = (𝟓) 𝟐 เมื่อฐานเท่ากันแล้ว เราจะนาเลขชี้กาลังมาเท่ากันครับ จะได้ว่า 𝟗 𝟐 𝒙 − 𝟐 = 𝟐 𝟐𝒙+𝟐 𝟐 𝟐𝒙+𝟐 − 𝟗 𝟐 𝒙 + 𝟐 = 0 𝟒 ∙ 𝟐 𝟐𝒙 − 𝟗 𝟐 𝒙 + 𝟐 = 0_____(1) ต่อไปให้ 𝐵 = 2 𝑥 แทนใน (1) 4𝐵2 − 9𝐵 + 2 = 0 4𝐵 − 1 𝐵−2 =0 1 𝐵 = ,2 4 กรณี 𝐵 = 1 ⇒ 2 𝑥 = 1 = 2−2 ⇒ 𝑥 = −2 4 4 กรณี 𝐵 = 2 ⇒ 2 𝑥 = 2 ⇒ 𝑥 = 1 ดังนั้นผลบวกคาตอบ คือ −2 + 1 = −1
  • 12.
    เฉลยข้อสอบวิชาคณิตศาสตร์ โควตา ม.ขอนแก่น ปีการศึกษา 2550 โดย พี่เปี๊ยก 12 ตอบข้อ [1] วิเคราะห์ : ข้อสอบประเภทนี้ออกสอบทุกปีครับ อยู่ที่ว่าจะเอาคาตอบไปทาอะไรครับ เรื่องเอกซ์โปรเนี่ยมัน ยากตรงที่ทาฐานให้เท่ากัน และแปลงเป็นสมการกาลังสอง แล้วแยกตัวประกอบออกมา หาคาตอบครับ เรื่องการแยกตัวประกอบก็มีความสาคัญมากเหมือนกันครับ จาเป็นต้องมีพื้นฐานเรื่องนี้มาก −𝟒 𝟏𝟎. ค่าของ 𝒄𝒐𝒔 𝒂𝒓𝒄𝒕𝒂𝒏 คือข้อใดต่อไปนี้ 𝟑 −𝟒 −𝟑 𝟑 𝟒 [𝟏] 𝟐 𝟑 𝟒 𝟓 𝟓 𝟓 𝟓 เฉลย อย่างแรกเราต้องนึกถึง 𝑐𝑜𝑠(𝑎𝑟𝑐𝑐𝑜𝑠 𝑥) = 𝑥 −𝟒 ดังนั้นเราต้องหาค่า 𝑦 ที่ทาให้ 𝒂𝒓𝒄𝒕𝒂𝒏 𝟑 = 𝒂𝒓𝒄𝒄𝒐𝒔 𝒚 −4 −4 4 ให้ 𝑎𝑟𝑐𝑡𝑎𝑛 3 = 𝜃 แสดงว่า 𝑡𝑎𝑛𝜃 = 3 = − 3 เราจึงเขียนสามเหลี่ยมมุมฉากได้สองรูปดังนี้
  • 13.
    เฉลยข้อสอบวิชาคณิตศาสตร์ โควตา ม.ขอนแก่น ปีการศึกษา 2550 โดย พี่เปี๊ยก 13 สังเกตเห็นว่ารูปทั้งสองให้ค่า 𝑡𝑎𝑛𝜃 = − 4 ทั้งคู่ แต่เราต้องเลือกมาพิจารณาเพียงรูปเดียวเท่านั้น สิ่งจะกาหนดได้ว่าเรา 3 −𝟒 จะเลือกรูปไหนคือ 𝜽 = 𝒂𝒓𝒄𝒕𝒂𝒏 𝟑 แต่ − 2𝜋 < 𝑎𝑟𝑐𝑡𝑎𝑛 𝑥 < 2𝜋 นั่นคือ เรนจ์ของ 𝑎𝑟𝑐𝑡𝑎𝑛 𝑥 มีค่าอยู่ระหว่าง ครอดรันต์ที่ 1 หรือ 4 เท่านั้น แต่ 𝑡𝑎𝑛 𝜃 มีเครื่องหมายลบ ทาให้ 𝜃 ต้องอยู่ในครอดรันต์ที่ 4 นั่นคือเราต้องเลือกรูปที่ 1 มาพิจารณานั่นเอง เพราะ 𝑐𝑜𝑠 𝜃 = 3 เป็นบวก สอดคล้องกับที่ 𝜃 อยู่ในครอดรันต์ที่ 4 5 ถ้ายังไม่เข้าใจเรื่องเครื่องหมายของค่าฟังก์ชันเหล่านี้ ให้ไปอ่านในหัวข้อ หลักการลดทอนมุมทางตรีโกณมิติ ในหัวข้อถัดจาก ข้อ 12 ทบทวน − 2𝜋 ≤ 𝑎𝑟𝑐𝑠𝑖𝑛 𝑥 ≤ 2𝜋 , 0 ≤ 𝑎𝑟𝑐𝑐𝑜𝑠 𝑥 ≤ 𝜋 , − 2𝜋 < 𝑎𝑟𝑐𝑡𝑎𝑛 𝑥 < 2𝜋 จาได้มั้ยเอ่ย เมื่อได้สามเหลี่ยมมุมฉากรูปที่ 1 มาแล้ว ก็อย่าได้ให้สูญเปล่า เราจึงพิจารณาได้ดังนี้ −4 3 𝑎𝑟𝑐𝑡𝑎𝑛 = 𝜃 = 𝑎𝑟𝑐𝑐𝑜𝑠⁡ ) ( 3 5 นั่นคือ −4 3 3 𝑐𝑜𝑠 𝑎𝑟𝑐𝑡𝑎𝑛 = 𝑐𝑜𝑠 𝑎𝑟𝑐𝑐𝑜𝑠 = 3 5 5 ตอบข้อ [1] วิเคราะห์ : ข้อสอบข้อนี้อาจต้องใช้ความรู้เรื่องโดเมนและเรนจ์ของฟังก์ชัน 𝒂𝒓𝒄𝒕𝒂𝒏 มาช่วย ตรงนี้สาคัญ มากครับ ถ้ายังไม่เข้าใจ ควรทาความเข้าใจให้ถ่องแท้ซะ เพราะข้อสอบออกบ่อยมากๆ แทบทุกปี มีข้อสอบ แบบนี้แต่เปลี่ยนฟังก์ชันไปเรื่อยๆ อาจเป็น 𝒔𝒊𝒏, 𝒄𝒐𝒔, 𝒕𝒂𝒏 มันไม่ยากถ้าหากเราใส่ใจมันสักนิด
  • 14.
    เฉลยข้อสอบวิชาคณิตศาสตร์ โควตา ม.ขอนแก่น ปีการศึกษา 2550 โดย พี่เปี๊ยก 14 𝟐 𝟐 𝟏𝟏. กาหนดให้ 𝒖 และ 𝒗 เป็นเวกเตอร์ซึ่ง 𝒖 + 𝒗 + 𝒖− 𝒗 = 𝟐𝟐 และ 𝒖 = 𝟑 ถ้ามุมระหว่าง 𝒖 และ 𝒗 เป็น 𝟔𝟎° แล้วค่าของ 𝒖 ∙ 𝒗 คือข้อใดต่อไปนี้ [𝟏] 𝟐 𝟐 𝟔 [𝟑] 𝟏𝟐 𝟒 𝟏𝟖 เฉลย จากสูตรการดอทกันของเวกเตอร์ 𝑢 ∙ 𝑣 = 𝑢 𝑣 𝑐𝑜𝑠𝜃____________(1) เมื่อ 𝜃 เป็นมุมระหว่าง 𝑢 และ 𝑣 เนื่องจาก 2 2 𝑢+ 𝑣 + 𝑢− 𝑣 = 𝑢 2+2 𝑢∙ 𝑣 + 𝑣 2 + 𝑢 2 −2 𝑢∙ 𝑣 + 𝑣 2 =2 𝑢 2+2 𝑣 2 = 22 ดังนั้นเราจะได้ 2 2 𝑢 + 𝑣 = 11 แต่ 𝑢 = 3 ดังนั้น 3 + 𝑣 2 = 11 ⇒ 𝑣 = 8 จาก (1) 1 𝑢 ∙ 𝑣 = 𝑢 𝑣 𝑐𝑜𝑠𝜃 = 3 ∙ 8 ∙ 𝑐𝑜𝑠60° = 3 ∙ 8 ∙ = 6 2 ตอบข้อ [2] วิเคราะห์ : ข้อสอบข้อนี้ถ้าจานิยามของการดอท และสูตรกาลังสองของเวกเตอร์ก็ทาได้แล้วครับ ถือว่าไม่ ยาก แต่ก็ออกสอบทุกปีเหมือนกัน
  • 15.
    เฉลยข้อสอบวิชาคณิตศาสตร์ โควตา ม.ขอนแก่น ปีการศึกษา 2550 โดย พี่เปี๊ยก 15 𝟏𝟎 𝟏+ 𝟑𝒊 𝟏𝟐. ถ้า 𝒛 = แล้ว ตัวผกผันของการบวกของ 𝒛 คือข้อใดต่อไปนี้ 𝟏− 𝟑𝒊 𝟏 𝟑 𝟏 𝟑 [𝟏] − 𝟐 + 𝒊 𝟐 − 𝟐− 𝒊 𝟐 𝟐 𝟏 𝟑 𝟏 𝟑 [𝟑] + 𝒊 𝟒 − 𝒊 𝟐 𝟐 𝟐 𝟐 เฉลย พิจารณา 1 + 3𝑖 (1 + 3𝑖) 1 + 2 3𝑖 + ( 3𝑖)2 = 1 − 3𝑖 (1 + 3𝑖) 1 − ( 3𝑖)2 1 + 2 3𝑖 − 3 = 1 − (−3) 1 + 2 3𝑖 − 3 = 4 −2 + 2 3𝑖 = 4 −1 3𝑖 = + 2 2 อืมมม…..ต้องยกกาลัง 10 เชียวรึเนี่ยว จะยกยังไงไหวเนี่ย เพราะมันต้องยาวขึ้นเรื่อยๆแน่ เราต้องเปลี่ยนให้อยู่ในรูปเชิงขั้วก่อนถึงจะง่ายครับ 555 + + มาดูวิธีทาให้อยู่ในรูปเชิงขั้วก่อนครับ (ต้องจาซะหน่อยนะ) และจะชี้ให้เห็นด้วยว่า ถ้าไม่คูณด้วยสังยุค เพื่อจัดรูปก่อนจะยาว กว่าที่จัดรูปมากน้อยแค่ไหน มาดูกันเลย พิจารณา ให้ 𝑧1 = 1 + 3𝑖 = 𝑎 + 𝑏𝑖 𝑏 3 𝜋 𝑡𝑎𝑛𝜃 = = ดังนั้น 𝜃 = 60° = (อยู่ในครอดรันต์ที่ 1 , 𝑎 เป็น + และ 𝑏 เป็น+) 𝑎 1 3 และ 𝑟 = 𝑎2 + 𝑏 2 = 12 + ( 3)2 = 4 = 2 ดังนั้น 𝑧1 = 𝑟 𝑐𝑜𝑠𝜃 + 𝑖𝑠𝑖𝑛𝜃 = 2(𝑐𝑜𝑠 3𝜋 + 𝑖𝑠𝑖𝑛 3𝜋 ) การหามุมถ้าใครยังสงสัยให้ไปดูที่ หลักการหามุมเพื่อเขียนจานวนเชิงซ้อนในรูปเชิงขั้ว ในหัวข้อหลังจากข้อนี้
  • 16.
    เฉลยข้อสอบวิชาคณิตศาสตร์ โควตา ม.ขอนแก่น ปีการศึกษา 2550 โดย พี่เปี๊ยก 16 ให้ 𝑧2 = 1 − 3𝑖 = 𝑎 + 𝑏𝑖 𝑏 − 3 5𝜋 𝑡𝑎𝑛𝜃 = = ดังนั้น 𝜃 = 300° = (อยู่ในครอดรันต์ที่ 4, 𝑎 เป็น + และ 𝑏 เป็น−) 𝑎 1 3 และ 𝑟 = 𝑎2 + 𝑏 2 = 12 + (− 3)2 = 4 = 2 5𝜋 5𝜋 ดังนั้น 𝑧1 = 𝑟 𝑐𝑜𝑠𝜃 + 𝑖𝑠𝑖𝑛𝜃 = 2[𝑐𝑜𝑠 3 + 𝑖𝑠𝑖𝑛 3 ] จากสูตรการหารจานวนเชิงซ้อนในรูปเชิงขั้วจะได้ 𝑧1 𝑟1 2 𝜋 5𝜋 𝜋 5𝜋 = 𝑐𝑜𝑠 𝜃1 − 𝜃2 + 𝑖𝑠𝑖𝑛 𝜃1 − 𝜃2 = 𝑐𝑜𝑠 − + 𝑖𝑠𝑖𝑛 − 𝑧2 𝑟2 2 3 3 3 3 4𝜋 4𝜋 = 𝑐𝑜𝑠 − + 𝑖𝑠𝑖𝑛(− ) 3 3 4𝜋 4𝜋 = 𝑐𝑜𝑠 + 𝑖𝑠𝑖𝑛(− ) 3 3 𝑧1 10 ต่อไปหา 𝑧2 โดยสูตรของเดอร์มัวร์ 𝑧 𝑛 = 𝑟 𝑛 (𝑐𝑜𝑠( 𝑛𝜃) + 𝑖𝑠𝑖𝑛(𝑛𝜃)) ดังนั้น 𝑧1 10 4𝜋 4𝜋 = 110 [𝑐𝑜𝑠 10 ∙ + 𝑖𝑠𝑖𝑛(−10 ∙ )] 𝑧2 3 3 40𝜋 40𝜋 = 𝑐𝑜𝑠 − 𝑖𝑠𝑖𝑛( ) 3 3 เนื่องจาก 40𝜋 = 13𝜋 + 3𝜋 ตกอยู่ในครอดรันต์ที่ 3 ดังนั้น 𝑐𝑜𝑠 40𝜋 1 40𝜋 3 = − 2 และ 𝑠𝑖𝑛 =− 3 3 3 2 ดังนั้น 𝑧1 10 1 3 =− + 𝑖 𝑧2 2 2 โจทย์ต้องการตัวผกผันการบวก ซึ่งก็คือ เมื่อนามาบวกกับตัวมันแล้วได้เอกลักษณ์ คือ 1 3 𝑧1 10 ดังนั้นเราจึงได้ตัวผกผันคือ 2 − 2 𝑖 ซึ่งนามาบวกกับ 𝑧2 แล้วได้ 0 ต่อไปนี้ขอเสนออีกวิธีหนึ่งซึ่งเกริ่นไว้ตั้งแต่ตอนแรกด้วยการคูณด้วยสังยุคของตัวมันเอง ให้ 𝑧 ′ = −1 + 3𝑖 2 2 ทาให้อยู่ในรูปเชิงขั้วแล้วยกกาลัง 10 เราจะได้ว่า
  • 17.
    เฉลยข้อสอบวิชาคณิตศาสตร์ โควตา ม.ขอนแก่น ปีการศึกษา 2550 โดย พี่เปี๊ยก 17 2 2 −1 3 −1 3 2𝜋 𝑎= , 𝑏= , 𝑟= + = 1, 𝜃 = 2 2 2 2 3 2𝜋 2𝜋 ดังนั้น 𝑧′ = 𝑟 𝑐𝑜𝑠𝜃 + 𝑖𝑠𝑖𝑛𝜃 = 𝑐𝑜𝑠 3 + 𝑖𝑠𝑖𝑛 3 นามายกกาลัง 10 โดยใช้สูตรของเดอร์มัวร์จะได้ 2𝜋 2𝜋 1 3𝑖 𝑧 = (𝑧′)10 = 𝑐𝑜𝑠 10 ∙ + 𝑖𝑠𝑖𝑛 10 ∙ =− + 3 3 2 2 ตัวผกผันการบวกของ 𝑧10 คือ 1 − 3𝑖 2 2 เห็นไหมล่ะว่าสังยุคมีประโยชน์มากนะครับวิธีที่สองง่ายกว่าเยอะเลยครับ ตอบข้อ [4] วิเคราะห์ : ข้อสอบข้อนี้ถือว่ายากครับพ่อแม่พี่น้องครับ เพราะต้องใช้ความรู้หลายอย่างเลย รวมถึงตรีโกณ ด้วยครับ แต่ถ้าจาหลักการและฝึกทาบ่อยๆ จะจาได้เองครับ เป็นอัตโนมัติเชียวแหละไม่ต้องกังวล ข้อนี้ถือว่า ต้องใช้เวลามากพอสมควร (ถ้าทามาถูกวิธีก็ไม่ยาวหรอกครับ) แต่ถ้าได้หลักการเหล่าแล้ว เรื่องตรีโกณก็จะ เบาขึ้นมากครับ หลักการหามุมเพื่อเขียนจานวนเชิงซ้อนให้อยู่ในรูปเชิงขั้ว จาก 𝒛 = 𝒂 + 𝒃𝒊 ให้อยู่ในรูป 𝒛 = 𝒓(𝒄𝒐𝒔𝜽 + 𝒊𝒔𝒊𝒏𝜽) เนื่องจากเราทราบกันดีแล้วว่า เราสามารถหา 𝒓 ได้จาก 𝒓 = 𝒂𝟐 + 𝒃𝟐 แต่ที่เป็นปัญหาคือ เราจะหา 𝜃 มาใส่ได้ถูกต้องหรือไม่ เราจะศึกษาจากตัวอย่างต่อไปนี้ ตัวอย่างที่ 1 จงเขียน 𝑧 = − 3 + 𝑖 ให้อยู่ในรูปเชิงขั้ว
  • 18.
    เฉลยข้อสอบวิชาคณิตศาสตร์ โควตา ม.ขอนแก่น ปีการศึกษา 2550 โดย พี่เปี๊ยก 18 เริ่มแรกเลย จากโจทย์ 𝑎 = − 3 , 𝑏 = 1 และ 𝑟 = (− 3)2 + 12 = 2 และจาก 𝑡𝑎𝑛𝜃 = 𝑏𝑎 = −1 โดยที่ 𝜃 เป็นมุมทีวัดจากแกน 𝑋 3 และ 𝑎 เป็นหน่วยความยาวที่วัดจากแกน 𝑋 , 𝑏 เป็นหน่วยความยาวที่วัดจากแกน 𝑌 พิจารณาดังภาพ ต่อไปพิจารณาสามเหลี่ยมมุมฉากที่เกิดขึ้นครับ เป็นสามเหลี่ยมที่มีความยาวด้านตรงข้ามมุม 𝜃 เป็น 1 และความยาวด้าน ประชิดมุมเป็น 3 ดังนั้น 𝜃 = 30° = 6𝜋 แต่มุมที่เราจะระบุในเชิงขั้ว เป็นมุมที่วัดจากแกน 𝑋 ทางบวกในทิศทวนเข็ม นาฬิกา ตามลูกศรเส้นปะดังภาพ ดังนั้น 𝜃 ที่เราจะใส่ในเชิงขั้ว คือ 𝜃 = 𝜋 − 6𝜋 = 5𝜋 = 150° 6 ( 𝜋 คือครึ่งรอบวงกลม = 180° นาไปลบ 𝜃 ออก จะได้มุมที่ต้องการครับ) 5𝜋 5𝜋 ดังนั้น 𝑧 = 𝑟 𝑐𝑜𝑠𝜃 + 𝑖𝑠𝑖𝑛𝜃 = 2[𝑐𝑜𝑠 6 + 𝑖𝑠𝑖𝑛 6 ] ตัวอย่างที่ 2 จงเขียน 𝑧 = 3 − 3 3𝑖 ให้อยู่ในรูปเชิงขั้ว เริ่มแรกเลย จากโจทย์ 𝑎 = 3 , 𝑏 = −3 3 และ 𝑟 = 32 + (−3 3)2 = 6 และจาก 𝑡𝑎𝑛𝜃 = 𝑏𝑎 = −33 3 โดยที่ 𝜃 เป็นมุมทีวัดจากแกน 𝑋 และ 𝑎 เป็นหน่วยความยาวที่วัดจากแกน 𝑋 , 𝑏 เป็นหน่วยความยาวที่วัดจากแกน 𝑌 พิจารณาดังภาพ
  • 19.
    เฉลยข้อสอบวิชาคณิตศาสตร์ โควตา ม.ขอนแก่น ปีการศึกษา 2550 โดย พี่เปี๊ยก 19 ต่อไปพิจารณาสามเหลี่ยมมุมฉากที่เกิดขึ้นครับ เป็นสามเหลี่ยมที่มีความยาวด้านตรงข้ามมุม 𝜃 เป็น 3 3 และความยาว ด้านประชิดมุมเป็น 3 ดังนั้น 𝜃 = 60° = 3𝜋 แต่มุมที่เราจะระบุในเชิงขั้ว เป็นมุมที่วัดจากแกน 𝑋 ทางบวกในทิศทวนเข็ม นาฬิกา ตามลูกศรเส้นปะดังภาพ ดังนั้น 𝜃 (ที่เราจะใส่ในเชิงขั้ว)คือ 𝜃 = 2𝜋 − 3𝜋 = 5𝜋 = 300° 3 (2𝜋 คือรอบวงกลม 1 รอบ = 360° นาไปลบ 𝜃 ออก จะได้มุมที่ต้องการครับ) ถ้าใครอ่านทั้งสองตัวอย่างยังไม่รู้เรื่อง ผมมีอีกวิธีครับ จากตัวอย่างที่ 1 จะเขียน 𝑧 = − 3 + 𝑖 ในรูปเชิงขั้ว ขั้นแรกให้เรานึกถึง 𝑡𝑎𝑛𝜃 = 𝑏𝑎 = 1 𝜋 (ยังไม่ต้องคิดเครื่องหมายใดๆทั้งสิ้น ) จะได้ 𝜃 = 3 6 แต่เนื่องจาก 𝜃 ตกอยู่ในครอดรันต์ที่ 2 (ตอนนี้คิดเครื่องหมายของ 𝑎 และ 𝑏 ทาให้ได้ 𝜃 อยู่ใน 𝑄2 ) ดังภาพ
  • 20.
    เฉลยข้อสอบวิชาคณิตศาสตร์ โควตา ม.ขอนแก่น ปีการศึกษา 2550 โดย พี่เปี๊ยก 20 หลังจากนั้นให้เราไล่มุมเริ่มจาก ตัวเลขที่ปรากฏ 1, 5, 7, 11 คือ ตัวเลขเรียงถัดไป และมี ห .ร.ม กับ กับ 6 เป็น 1 (หรือคิดง่ายๆ ตัวเลขที่เอาเลขอะไรไปตัดกับ 6 ไม่ได้นั่นเอง) 𝜋 5𝜋 7𝜋 11𝜋 ⟹ ⟹ ⟹ 6 6 6 6 𝑄1 𝑄2 𝑄3 𝑄3 หมายความว่า ถ้ามุมตกอยู่ในครอดรันต์ที่ 2 ( 𝑄2 ) เราจะได้ว่า 𝜃 = 5𝜋 ครับ ถ้าตกอยู่ในครอดรันต์ที่ 3 ก็กลายเป็นมุม7𝜋 6 6 นั่นเองครับ (แนะนาว่าให้ไล่ 1, 2, 3, 4, ,5, … ไปเรื่อยๆและดูว่าตัวเลขตัวไหนที่เอาอะไรตัดกับ 6 ไม่ได้) ตัวอย่างที่ 2(วิธีที่ 2) จงเขียน 𝑧 = 3 − 3 3𝑖 ให้อยู่ในรูปเชิงขั้ว ขั้นแรกให้เรานึกถึง 𝑡𝑎𝑛𝜃 = 𝑏𝑎 = −33 3 = 3 (ยังไม่ต้องคิดเครื่องหมายใดๆทั้งสิ้น คิดแค่ 𝑡𝑎𝑛 𝜃 = 3) จะได้ 𝜋 𝜃 = 3 แต่เนื่องจาก 𝜃 ตกอยู่ในครอดรันต์ที่ 4 (ตอนนี้คิดเครื่องหมายของ 𝑎 และ 𝑏 ทาให้ได้ 𝜃 อยู่ใน 𝑄2 ) ดังภาพ หลังจากนั้นให้เราไล่มุมเริ่มจาก 𝜋 2𝜋 4𝜋 5𝜋 ⟹ ⟹ ⟹ 3 3 3 3 𝑄1 𝑄2 𝑄3 𝑄4
  • 21.
    เฉลยข้อสอบวิชาคณิตศาสตร์ โควตา ม.ขอนแก่น ปีการศึกษา 2550 โดย พี่เปี๊ยก 21 เราจะได้ว่า มุมที่เราต้องการคือ 𝜃 = 5𝜋 3 หลักการลดทอนมุมทางตรีโกณมิติ เริ่มต้นจากการท่องว่า 𝐴𝐿𝐿 ⟹ 𝑠𝑖𝑛 ⟹ 𝑡𝑎𝑛 ⟹ 𝑐𝑜𝑠 ดูภาพประกอบนะครับ คาอธิบาย : ครอดรันต์ที่ 1 𝐴𝐿𝐿 ทุกฟังก์ชันถ้ามุมตกอยู่ในครอดรันต์นี้ ค่าที่ได้จะมีค่าเป็นบวกหมดครับ ไม่ว่าจะเป็น 𝑠𝑖𝑛, 𝑐𝑜𝑠, 𝑡𝑎𝑛, 𝑠𝑒𝑐, 𝑐𝑜𝑠𝑒𝑐, 𝑐𝑜𝑡 1 ครอดรันต์ที่ 2 𝑠𝑖𝑛 และส่วนกลับของ 𝑠𝑖𝑛 คือ 𝑐𝑜𝑠𝑒𝑐 ที่เป็นบวก เพราะ 𝑠𝑖𝑛 𝜃 = 𝑐𝑜𝑠𝑒𝑐 𝜃 1 ครอดรันต์ที่ 3 𝑡𝑎𝑛 และส่วนกลับของ 𝑡𝑎𝑛 คือ 𝑐𝑜𝑡 ที่เป็นบวก เพราะ 𝑡𝑎𝑛 𝜃 = 𝑠𝑖𝑛 𝜃 1 ครอดรันต์ที่ 4 𝑐𝑜𝑠 และส่วนกลับของ 𝑐𝑜𝑠 คือ 𝑠𝑒𝑐 ที่เป็นบวก เพราะ 𝑐𝑜𝑠 𝜃 = 𝑠𝑒𝑐 𝜃 4𝜋 เมื่อเราต้องการหา 𝑐𝑜𝑠 3 ให้เราหาก่อนว่า 4𝜋 ตกอยู่ในครอดรันต์ใด 3 4 1 พิจารณา 3 เราสามารถเขียนเป็น 1 + 3 1 1+ 3 เพราะ 1 คือผลหาร และ 1 คือ เศษที่เกิดจากการหาร
  • 22.
    เฉลยข้อสอบวิชาคณิตศาสตร์ โควตา ม.ขอนแก่น ปีการศึกษา 2550 โดย พี่เปี๊ยก 22 ดังนั้น 4𝜋 𝜋 𝜋 = 𝜋+ 3 3 มุมนี้อยู่ในแนวราบ จากสูตร 𝑐𝑜𝑠(ราบ ± 𝜃) = ±𝑐𝑜𝑠 𝜃 จะได้บวกหรือลบขึ้นอยู่กับว่ามุมตกอยู่ในควอดรันต์ที่เท่าไหร่ 4𝜋 𝜋 เนื่องจากเราพิจารณา 𝑐𝑜𝑠 3 = 𝑐𝑜𝑠 𝜋 + 3 𝜋  3 4𝜋 𝜋 ดังนั้นมุมตกอยู่ในควอดรันต์ที่ 3 𝑡𝑎𝑛 กับ 𝑐𝑜𝑡 เท่านั้นที่เป็นบวก ดังนั้น 𝑐𝑜𝑠 3 = 𝑐𝑜𝑠 𝜋 + 3 = 𝜋 −1 −𝑐𝑜𝑠 = 3 2 นอกจากนี้เรายังสามารถพิจารณามุมอื่นๆได้อีกด้วย มีสูตรดังต่อไปนี้ 𝑐𝑜𝑠(ราบ ± 𝜃) = ±𝑐𝑜𝑠 𝜃 𝑠𝑖𝑛(ราบ ± 𝜃) = ±𝑠𝑖𝑛 𝜃 𝑡𝑎𝑛(ราบ ± 𝜃) = ±𝑡𝑎𝑛 𝜃 𝑐𝑜𝑡(ราบ ± 𝜃) = ±𝑐𝑜𝑡 𝜃 𝑠𝑒𝑐(ราบ ± 𝜃) = ±𝑠𝑒𝑐 𝜃 𝑐𝑒𝑠𝑒𝑐(ราบ ± 𝜃) = ±𝑐𝑜𝑠𝑒𝑐 𝜃 𝑐𝑜𝑠(ราบ ± 𝜃) = ±𝑐𝑜𝑠 𝜃 เครื่องหมาย บวกหรือลบที่ได้ขึ้นอยู่กับว่ามุมตกอยู่ในครอดรันต์ที่เท่าใด และมุมในแนวราบในที่นี้คือ 0, 𝜋, 2𝜋, 3𝜋, …
  • 23.
    เฉลยข้อสอบวิชาคณิตศาสตร์ โควตา ม.ขอนแก่น ปีการศึกษา 2550 โดย พี่เปี๊ยก 23 𝟏𝟑. ถ้าให้ 𝑨 = {𝟏, 𝟐, 𝟑} และ 𝑩 = {𝟏, 𝟐, 𝟑, 𝟒, 𝟓} แล้ว จานวนของฟังก์ชันจาก 𝑨 ไปยัง 𝑩 ที่เป็นฟังก์ชัน เพิ่มคือข้อใดต่อไปนี้ [𝟏] 𝟏𝟎 𝟐 𝟏𝟐 [𝟑] 𝟏𝟒 𝟒 𝟏𝟔 เฉลย นิยามของฟังก์ชันเพิ่ม คือ ถ้า 𝑥1 < 𝑥2 แล้ว 𝑓 𝑥1 < 𝑓(𝑥2 ) เราสามารถแยกเป็นกรณีเพื่อพิจารณาได้ดังนี้ กรณี 𝑓 1 = 1 (นั่นคือ ให้ 𝑓 ส่ง 1 ไปที่ 1) จะทาให้ 𝑓(2) ส่งไปที่ 2 หรือ 3 หรือ 4 (ส่งไปที่ 5 ไม่ได้นะ เพราะจะไม่เหลือค่าให้ส่ง 3 อย่าลืมว่าเงื่อนไขเราต้องการ ฟังก์ชันเพิ่ม) ดูจากภาพ 1 1 2 2 3 3 4 5 เราไม่สามารถหาตัวที่ส่งไป 3 ไปได้ สมมติถ้า 𝑓(3) = 2 จะส่งผลทาให้ฟังก์ชันที่ได้ไม่เป็นฟังก์ชันเพิ่มครับ เพราะ 2 < 3 แต่ 𝑓(2) ≮ 𝑓(3) ต่อไปพิจารณาถ้า 𝑓(2) = 2 จะได้ว่า 𝑓 3 เลือกส่งได้ 3 วิธี ถ้าเราจะจาแนกเป็นแผนภาพก็ได้ดังนี้ครับ 1 1 1 1 1 2 1 2 2 2 2 3 2 3 3 4 3 4 3 4 3 5 5 5 𝑓(2) = 3 จะได้ว่า 𝑓 3 เลือกส่งได้ 2 วิธี ถ้าเราจะจาแนกเป็นแผนภาพก็ได้ดังนี้ครับ 1 1 1 2 1 2 2 3 2 3 3 4 3 4 5 5
  • 24.
    เฉลยข้อสอบวิชาคณิตศาสตร์ โควตา ม.ขอนแก่น ปีการศึกษา 2550 โดย พี่เปี๊ยก 24 𝑓(2) = 4 จะได้ว่า 𝑓 3 เลือกส่งได้ 1 วิธี ถ้าเราทาเป็นแผนภาพก็ได้ดังนี้ครับ 1 1 2 2 3 3 4 5 รวมทั้งหมด คือ 3 + 2 + 1 = 6 วิธี กรณี 𝑓 1 = 2 (นั่นคือ ให้ 𝑓 ส่ง 1 ไปที่ 1) จะทาให้ 𝑓(2) ส่งไปที่ 3 หรือ 4 𝑓(2) = 3 จะได้ว่า 𝑓 3 เลือกส่งได้ 2 วิธี ถ้าเราจะจาแนกเป็นแผนภาพก็ได้ดังนี้ครับ 1 1 1 2 1 2 2 3 2 3 3 4 3 4 5 5 𝑓(2) = 3 จะได้ว่า 𝑓 3 เลือกส่งได้ 1 วิธี ถ้าเราจะจาแนกเป็นแผนภาพก็ได้ดังนี้ครับ 1 1 2 2 3 3 4 5 รวมทั้งหมด คือ 2 + 1 = 3 วิธี
  • 25.
    เฉลยข้อสอบวิชาคณิตศาสตร์ โควตา ม.ขอนแก่น ปีการศึกษา 2550 โดย พี่เปี๊ยก 25 กรณี 𝑓 1 = 3 จะได้ 𝑓 2 = 4, 𝑓 3 = 5 ทาได้ 1 วิธีถ้าเราจะจาแนกเป็นแผนภาพก็ได้ดังนี้ครับ 1 1 2 2 3 3 4 5 เราจะรวมทุกกรณีได้ 6 + 3 + 1 = 10 วิธี ตอบข้อ [1] วิเคราะห์ : ข้อสอบแนวนี้นาฟังก์ชันมาประยุกต์ใช้กับเรื่องการเรียงสับเปลี่ยน และการจัดหมู่ ถือว่าเป็น ข้อสอบที่แวกแนวอีกแบบ แต่ถ้าเข้าใจพื้นฐานเรื่องการนับเบื้องตันก็ไม่น่าเป็นห่วงหรอกครับ แค่ส่วนใหญ่ เรื่องนี้มักเป็นไม้เบื่อไม้เมากับเด็กเลยทีเดียว ฮ่าๆๆๆ 14. กาหนดตารางแจกแจงความถี่ต่อไปนี้ คะแนน ความถี่ 21 − 30 90 31 − 40 𝐴 41 − 50 50 51 − 60 𝐵 61 − 70 10 ถ้าคะแนนในตาแหน่งเปอร์เซ็นไทล์ที่ 𝟓𝟎 คือ 𝟒𝟎. 𝟓 แล้วค่าของ 𝑨 − 𝑩 คือข้อใดต่อไปนี้ [𝟏] −𝟒𝟎 𝟐 − 𝟑𝟎 𝟑 𝟑𝟎 𝟒 𝟒𝟎 เฉลย พิจารณาตารางแจกแจงความถี่และความถี่สะสมได้ดังนี้นะครับ คะแนน ความถี่ ความถี่สะสม 21 − 30 90 90 31 − 40 𝐴 90 + 𝐴 41 − 50 50 140 + 𝐴 51 − 60 𝐵 140 + 𝐴 + 𝐵 61 − 70 10 150 + 𝐴 + 𝐵
  • 26.
    เฉลยข้อสอบวิชาคณิตศาสตร์ โควตา ม.ขอนแก่น ปีการศึกษา 2550 โดย พี่เปี๊ยก 26 𝑘𝑁 ทบทวนก่อนนะครับ ตาแหน่งเปอร์เซ็นไทล์ที่ 𝑘 คือ 𝑃 𝑘 = 100 𝑘𝑁 ตาแหน่งเดไซล์ ที่ 𝑘 คือ 𝐷 𝑘 = 10 (เพิ่มให้นะครับ แต่อย่าลืมว่าเป็นตาแหน่งของข้อมูลที่มีการแจกแจงความถี่แล้วเท่านั้น นะ ถ้าข้อมูลยังไม่แจกแจงความถี่ เราต้องใช้อีกสูตร ลองกลับไปทบทวนดูว่ามันเป็นอย่างไรนะ) 𝑘𝑁 ตาแหน่งคลอไทล์ที่ 𝑘 คือ 𝑄 𝑘 = 4 ต่อไปเป็นสูตรคานวณหาเปอร์เซ็นไทล์ เดไซล์ และคลอไทล์ นะครับ 𝑘𝑁 𝐼 100 − 𝐹 𝑃 𝑃𝑘 = 𝐿 + 𝑓𝑃 𝑘𝑁 𝐼 10 − 𝐹 𝐷 𝐷𝑘 = 𝐿 + 𝑓𝐷 𝑘𝑁 𝐼 − 𝐹𝑄 4 𝑄𝑘 = 𝐿 + 𝑓𝑄 เมื่อ 𝑃 𝑘 , 𝐷 𝑘 , และ 𝑄 𝑘 คือ ค่าของเปอร์เซ็นไทล์ เดไซล์ และ คลอไทล์ ตามลาดับ 𝐿 คือ ขอบล่างของชั้นที่มี 𝑃 𝑘 , 𝐷 𝑘 , และ 𝑄 𝑘 ทั้งนี้เราจะรู้เมื่อหาตาแหน่งออกมาแล้วนะครับ 𝐼 คือ ความกว้างอันตรภาคชั้น 𝑘𝑁 𝑘𝑁 𝑘𝑁 100 10 , ,คือตาแหน่งของเปอร์เซ็นไทล์ เดไซล์ และคลอไทล์ตามลาดับ 4 𝐹 𝑃 , 𝐹 𝐷 , 𝐹 𝑄 คือ ความถี่สะสมของอันตรภาคชั้นที่มีค่าต่ากว่าอันตรภาคชั้นที่มีเปอร์เซ็นไทล์ เดไซล์ และคลอไทล์ อยู่ตามลาดับ 𝑓𝑝 คือ ความถี่ในชั้นที่มี 𝑃 𝑘 , 𝐷 𝑘 , และ 𝑄 𝑘 อยู่ตามลาดับ 𝑁 คือจานวนข้อมูลทั้งหมดที่มี เราอาจเอามาจากความถี่สะสมในชั้นสุดท้ายก็ได้นะ จากโจทย์ ตาแหน่งเปอร์เซ็นไทล์ที่ 50 คือ 𝑃50 = 50 150+𝐴+𝐵 = 150+𝐴+𝐵 100 2 ดังนั้น 𝑘𝑁 𝐼 100 − 𝐹 𝑃 𝑃50 = 40.5 = 40.5 + 𝑓𝑃 150 + 𝐴 + 𝐵 10 2 − (90 + 𝐴) = 40.5 + 50
  • 27.
    เฉลยข้อสอบวิชาคณิตศาสตร์ โควตา ม.ขอนแก่น ปีการศึกษา 2550 โดย พี่เปี๊ยก 27 150 + 𝐴 + 𝐵 − 2(90 + 𝐴) 2 = 40.5 + 5 150 + 𝐴 + 𝐵 − 180 − 2𝐴) = 40.5 + 2 (−30 − 𝐴 + 𝐵) = 40.5 + 2 ดังนั้น (−30 − 𝐴 + 𝐵) 40.5 = 40.5 + ===≫ −30 − 𝐴 + 𝐵 = 0 ===≫ 𝐴 − 𝐵 = −30 2 ตอบข้อ [2] วิเคราะห์ : ข้อสอบแนวนี้จาสูตรได้ก็ได้แหละครับกุญแจสาคัญอยู่ที่สูตร เพราะมันเยอะซะจนปวดหัวไปหมด พยายามจาแบบมีหลักการ แล้วแยกแยะให้ดีระหว่างข้อมูลที่แจกแจงและไม่แจกแจงความถี่ เพราะสูตร บางอย่างไม่เหมือนกันครับ ตอนที่ 2 ข้อสอบแบบปรนัยแบบ 4 ตัวเลือก จานวน 14 ข้อ (ข้อ 15-28) ข้อละ 3 คะแนน 15. ให้ 𝒑, 𝒒, 𝒓 และ 𝒔 เป็นประพจน์ใดๆ พิจารณาข้อความต่อไปนี้ ก) ถ้า ~𝒑 ↔ 𝒔 ∧ ∼ 𝒓 → 𝒒 → (𝒓 ∨∼ 𝒔) มีค่าความจริงเป็นเท็จ แล้วค่าความจริงของ ให้ 𝒑, 𝒒, 𝒓 และ 𝒔 เป็นจริง เท็จ เท็จ และ จริงตามลาดับ ข) ถ้า (𝒑 →∼ 𝒒) ∨ 𝒓 มีค่าความจริงเป็นเท็จ แล้ว 𝒑 ↔ 𝒓 → (𝒒 ∨ 𝒔) มีค่าความจริงเป็นจริง ข้อใดต่อไปนี้ถูก [𝟏] ก) ถูก และ ข) ถูก 𝟐 ก) ถูก และ ข) ผิด [𝟑] ก) ผิด และ ข) ถูก 𝟒 ก) ผิด และ ข) ผิด เฉลย เรื่องนี้มีหัวใจอยู่ที่ค่าความจริงการเชื่อมประพจน์ ของ ∧, , →, ↔, ∼ ครับ เราอาจเห็นเป็นตารางให้ดูตาราง เทียบกันหลักการจาต่อไปนี้ คือ ∧ เป็นจริง เพียงกรณีเดียว คือ 𝑇 ∧ 𝑇 นอกนั้นเป็นเท็จหมด ไม่ว่าจะเป็น 𝐹 ∧ 𝑇, 𝑇 ∧ 𝐹, 𝐹 ∧ 𝐹 เชื่อมกันเป็นเท็จ หมด เราจึงจาเป็นต้องจาให้ได้เพียงกรณีเดียวพอครับ เพราะนอกนั้นก็จาว่ามันเป็นเท็จหมดครับ ∨ เป็นเท็จ เพียงกรณีเดียวคือ 𝐹 ∨ 𝐹 นอกนั้นอีก 3 กรณีที่เหลือเป็นจริงหมดครับ น้องลองคิดเอานะว่ามีอะไรบ้าง → เป็นเท็จ กรณีเดียว คือ 𝑇 → 𝐹 นอกนั้นเป็นจริงหมด
  • 28.
    เฉลยข้อสอบวิชาคณิตศาสตร์ โควตา ม.ขอนแก่น ปีการศึกษา 2550 โดย พี่เปี๊ยก 28 ↔ เป็นจริง 2 กรณีเมื่อค่าความจริงเหมือนกัน ได้แก่ 𝑇 ↔ 𝑇, 𝐹 ↔ 𝐹 เป็นจริงเพียง 2 กรณีนี้ ถ้าต่างกันก็เป็นเท็จนั่นเอง จากโจทย์เราจะได้ว่า จากแผนภาพข้างบนอธิบายได้ว่า เนื่องจากการเชื่อมด้วย → เป็นเท็จกรณีเดียวคือ 𝑇 → 𝐹 ใส่ 𝑇 และ 𝐹 ในบรรทัดที่สอง ดังภาพ พิจารณา ขวามือ การเชื่อมด้วย ∨ เป็นเท็จกรณีเดียวคือ 𝐹 ∨ 𝐹 ดังนั้น 𝑟 ≡ 𝐹 (อ่านว่า 𝑟 เป็น เท็จนะ) และจะ ได้ ∼ 𝑠 ≡ 𝐹 ด้วย ดังนั้น 𝑠 ≡ 𝑇 พิจารณาซ้ายมือ การเชื่อมด้วย ∧ เป็นจริงได้เมื่อเชื่อมด้วย 𝑇 ∧ 𝑇 นาค่าความจริงที่ ได้จากขวามือมาใส่ทางซ้ายมือ จะได้ ∼ 𝑟 ≡ 𝑇 (เพราะ 𝑟 ≡ 𝐹 มาก่อนครับ) แต่การเชื่อมกันด้วย ∧ เป็นจริงได้เพียงกรณี เดียวดังนั้น 𝑞 ≡ 𝑇 นาค่าความจริงของ 𝑠 จากฝั่งขวามือมาใส่ แต่เนื่องจากการเชื่อมกันด้วย ↔ เป็นจริงได้เมื่อเชื่อมกัน ด้วยค่าความจริงที่เหมือนกัน ดังนั้นจะได้ ∼ 𝑝 ≡ 𝑇 นั่นคือ 𝑝 ≡ 𝐹 ตอนนี้เราได้ค่าความจริงของประพจน์แต่ละตัวหมดแล้วนะครับ พบว่าข้อความ ก) ไม่เป็นจริงเพราะ 𝑞 ≡ 𝑇 ครับ พิจารณาข้อ ข) (𝑝 →∼ 𝑞) ∨ 𝑟 (𝑝 →∼ 𝑞) ∨ 𝑟 𝐹 𝐹 𝐹 𝑇 𝐹 𝑇 ดังนั้น 𝑝 ≡ 𝑇, 𝑞 ≡ 𝑇, 𝑟 ≡ 𝐹 นาค่าความจริงไปแทนใน 𝑝 ↔ 𝑟 → 𝑞 ∨ 𝑠 จะได้ดังนี้
  • 29.
    เฉลยข้อสอบวิชาคณิตศาสตร์ โควตา ม.ขอนแก่น ปีการศึกษา 2550 โดย พี่เปี๊ยก 29 ถึงแม้ว่าจะไม่รู้ค่าความจริงของ 𝑠 แต่เราต้องสามารถสรุปได้ว่า การเชื่อมด้วย ∨ ถ้ามี 𝑇 อยู่ข้างใดข้างหนึ่งเมื่อเชื่อมแล้วจะ ได้จริงเสมอนะครับ ดังนั้น ข) เป็นจริงครับ ตอบข้อ [3] วิเคราะห์ : ข้อสอบข้อนี้หัวใจอยู่ที่ค่าความจริงของการเชื่อมประพจน์อย่างที่บอกแต่แรกครับ และ ตรรกศาสตร์เกือบทั้งบทใช้พื้นฐานนี้อย่างมากเลย เพราะฉะนั้นถามตัวเองก่อนว่าจาค่าความจริงของการ เชื่อมประพจน์ได้หรือยัง ถ้ายัง … ก็ทาความเข้าใจซะ ก่อนที่จะสายไป 𝟏𝟕. กาหนดให้ 𝒙 เป็นจานวนเต็มบวกที่มีค่ามากที่สุดที่หาร 𝟏𝟔, 𝟒𝟎 และ 𝟏𝟎𝟎 แล้วมีเศษเหลือเท่ากัน และ 𝒚 เป็นจานวนเต็มบวกที่น้อยที่สุดที่หารด้วย 𝟏𝟔, 𝟒𝟎 และ 𝟏𝟎𝟎 แล้วมีเศษเหลือเป็น 𝟏 ค่าของ 𝒚 − 𝒙 คือข้อใด [𝟏] 𝟑𝟖𝟗 𝟐 𝟒𝟎𝟎 𝟑 𝟒𝟖𝟗 𝟒 𝟓𝟎𝟎 เฉลย ให้ 𝑥 เป็นจานวนเต็มที่หาร 16, 40 และ 100 แล้วมีเศษเหลือเท่ากัน ดังนั้นเราสามารถเขียนสมการได้ว่า (สมการนี้เราต้องเขียนเป็นนะครับเวลาโจทย์ให้มา) 16 = 𝑥𝑘1 + 𝑟__________(1) 40 = 𝑥𝑘2 + 𝑟__________(2) 100 = 𝑥𝑘3 + 𝑟__________(3) สาหรับบางจานวนเต็ม 𝑘1 , 𝑘2 , 𝑘3 พิจารณาการลบกันของสมการเป็นคู่ๆดังนี้ (2) − (1); 24 = 𝑥(𝑘2 − 𝑘1 ) (3) − (2); 60 = 𝑥(𝑘3 − 𝑘2 ) (3) − (1); 84 = 𝑥(𝑘3 − 𝑘1 )
  • 30.
    เฉลยข้อสอบวิชาคณิตศาสตร์ โควตา ม.ขอนแก่น ปีการศึกษา 2550 โดย พี่เปี๊ยก 30 จะได้ว่า 𝑥|24, 𝑥|60, 𝑥|84 (อ่านว่า 𝑥 หาร 24 ลงตัว, 𝑥 หาร 60 ลงตัว , 𝑥 หาร 84 ลงตัว) ค่า 𝑥 ที่มากที่สุดคือ ห.ร.ม ของ 24, 60, 84 ซึ่งก็คือ 12 ให้ 𝑦 เป็นจานวนเต็มที่หารด้วย 16, 40 และ 100 แล้วมีเศษเหลือ 1 ดังนั้นเราสามารถเขียนสมการได้ดังนี้ 𝑦 = 16𝑘1 + 1__________(4) 𝑦 = 40𝑘2 + 1__________(5) 𝑦 = 100𝑘3 + 1__________(6) สาหรับบางจานวนเต็ม 𝑘1 , 𝑘2 , 𝑘3 ดังนั้นเราจะได้ว่า 𝑦 − 1 = 16𝑘1 𝑦 − 1 = 40𝑘2 𝑦 − 1 = 100𝑘3 ดังนั้น 16|𝑦 − 1, 40|𝑦 − 1, 100|𝑦 − 1 𝑦 − 1 ที่น้อยที่สุดคือ ค.ร.น ของ 16, 40 และ 100 ซึ่งก็คือ 400 ดังนั้น 𝑦 − 1 = 400 นั่นคือ 𝑦 = 401 โจทย์ต้องการหา 𝑦 − 𝑥 = 401 − 12 = 389 ตอบข้อ [1] วิเคราะห์ : ข้อสอบข้อนี้เกี่ยวกับเรื่องทฤษฎีจานวน โดยเฉพราะเรื่อง การหาร , ค.ร.น, ห .ร.ม เพราะฉะนั้นถ้า ยังไม่เข้าใจเรื่องดังกล่าวควรทบทวนด่วนแล้วนะครับ เพราะข้อสอบออกไม่ยากเลย เก็บคะแนนได้ง่ายๆ 𝟏𝟖. โดยกระบวนการดาเนินการตามแถว พบว่า 𝑥 2 −3 1 0 0 ~ 1 0 0 −5 4 −3 2 𝑦 0 0 1 0 0 1 0 10 −7 6 4 −2 𝑧 0 0 1 0 0 1 9 −6 5
  • 31.
    เฉลยข้อสอบวิชาคณิตศาสตร์ โควตา ม.ขอนแก่น ปีการศึกษา 2550 โดย พี่เปี๊ยก 31 ค่าของ 𝒙 + 𝒚 + 𝒛 คือข้อใดต่อไปนี้ [𝟏] −𝟗 𝟐 − 𝟕 𝟑 𝟓 𝟒 𝟖 เฉลย เพื่อความสะดวกเราจะทาจากขวามือมาเป็นซ้ายมือ โดยมีข้อกาหนดเบื้องต้นว่า ถ้าเขียน 1 1 − 5 𝑅1 → 𝑅1 หมายถึง เอา − 5 คูณกับเมตริกซ์ในแถวที่ 1 แล้วเก็บค่าที่ได้ไปไว้ในแถวที่ 1 −10𝑅1 + 𝑅2 → 𝑅2 หมายถึง เอา −10 คูณกับเมตริกซ์ในแถวที่ 1 บวกกับเมตริกซ์ในแถวที่ 2 แล้วเก็บค่าที่ได้ไปไว้ใน แถวที่ 2 1 0 0 −5 4 −3 0 1 0 10 −7 6 จากโจทย์ 0 0 1 8 −6 5 1 4 3 −5 0 0 1 −5 1 5 − 5 𝑅1 → 𝑅1 0 1 0 10 −7 6 0 0 1 8 −6 5 1 4 3 −5 0 0 1 −5 5 −10𝑅1 + 𝑅2 → 𝑅2 2 1 0 0 1 0 0 0 1 8 −6 5 1 4 3 −5 0 0 1 −5 5 −8𝑅1 + 𝑅3 → 𝑅3 2 1 0 0 1 0 8 2 1 0 1 0 5 5 5 3 0 2 1 0 1 2 1 0 0 1 0 2𝑅3 + 𝑅1 → 𝑅1 8 2 1 0 1 0 5 5 5 3 0 2 1 0 1 2 1 0 0 1 0 2 4 2 1 − 5 𝑅2 + 𝑅3 → 𝑅3 −5 1 0 0 5 5 3 0 2 1 0 1 5𝑅3 → 𝑅3 2 1 0 0 1 0 4 −2 5 0 0 1
  • 32.
    เฉลยข้อสอบวิชาคณิตศาสตร์ โควตา ม.ขอนแก่น ปีการศึกษา 2550 โดย พี่เปี๊ยก 32 −1 2 −3 1 0 0 −𝑅3 + 𝑅1 → 𝑅1 2 1 0 0 1 0 4 −2 5 0 0 1 ดังนั้นจะได้ 𝑥 + 𝑦 + 𝑧 = −1 + 1 + 5 = 5 ตอบข้อ [3] วิเคราะห์ : ข้อสอบประมาณนี้ไม่ค่อยเห็นมากนัก แต่ในชุดนี้มีข้อสอบประเภทนี้ถึงสองข้อด้วยกัน แสดงให้ เห็นว่า ทางมหาลัยอยากจะเน้นการโอเปอเรชันทางแถวอย่างมาก เพราะการโอเปอเรชันทางแถวจัดได้ว่าอยู่ ในเนื้อหาของ Math I และ Numerical Analysis I ที่ใช้เมตริกซ์เป็นพื้นฐาน เอาเป็นว่า ยังไงเราก็หนีมันไม่พ้น ถ้าหนี ตอนนี้ก็ได้เจอกันตอนหน้าในอนาคตก็แล้วกันครับ 𝟏𝟗. กาหนดให้ 𝒇(𝒏) คือ เศษที่เกิดจากการหาร 𝒏 ด้วย 𝟒 และ 𝒈(𝒏) = 𝒏 𝟐 + 𝟏 𝟐𝟓𝟓𝟎 ค่าของ 𝒏=𝟏 𝒇𝒐𝒈 𝒏 คือข้อใดต่อไปนี้ [𝟏] 𝟐𝟓𝟓𝟎 𝟐 𝟑𝟖𝟐𝟓 𝟑 𝟓𝟏𝟎𝟎 𝟒 𝟔𝟐𝟕𝟓 เฉลย โดยคุณสมบัติของการคอมโพสิทฟังก์ชันเราจะได้ว่า 𝑓𝑜𝑔(𝑛) = 𝑓(𝑔(𝑛)) = 𝑓(𝑛2 + 1) แต่ 𝑓(𝑛2 + 1) คือเศษที่เกิดจากการหาร (𝑛2 + 1) ด้วย 4 พิจารณาอนุกรมต่อไปนี้ 2550 𝑓𝑜𝑔 𝑛 = 𝑓𝑜𝑔(1) + 𝑓𝑜𝑔(2) + ⋯ + 𝑓𝑜𝑔(2550) 𝑛=1 = 𝑓(12 + 1) + 𝑓(22 + 1) + ⋯ + 𝑓(25502 + 1) = 𝑓(2) + 𝑓(5) + 𝑓(10) + 𝑓(17) … + 𝑓(25502 + 1) = 2 + 1 + 2 + 1 + 2 + ⋯ + 2 + 1 (คิดดูนะครับ ทาไมตัวสุดท้ายถึงเป็น 1) สังเกตว่า มี 2 ทั้งหมด 1275 ตัว และ มี 1 ทั้งหมด 1275 ตัว ดังนั้นผลรวมจะได้ดังนี้ 2550 𝑓𝑜𝑔 𝑛 = 2(1275) + 1275 = 3825 𝑛=1
  • 33.
    เฉลยข้อสอบวิชาคณิตศาสตร์ โควตา ม.ขอนแก่น ปีการศึกษา 2550 โดย พี่เปี๊ยก 33 ตอบข้อ [2] วิเคราะห์ : โจทย์ข้อนี้เป็นการประยุกต์ระหว่างทฤษฎีจานวนกับเรื่องอนุกรม แต่ก็อนุกรมก็ถือได้ว่าไม่ยาก เกิดไป และใช้การสังเกตอีกนิดหน่อย ข้อสอบแต่ละข้อมีแนวของมัน ถ้าเราได้ฝึกทาบ่อยๆ จะมองออกเองว่า จะทาไปอย่างไร โดยบางทีเราไม่รู้ตัวเสียด้วยซ้า อันนี้เป็นเรื่องจริงครับ สาหรับใครที่ฝึกทาโจทย์น้อยมากควร พิจารณาตัวเองได้แล้วนะครับ 𝟐𝟎. ให้ 𝑳 𝟏 เป็นเส้น 𝟐𝒙 − 𝟑𝒚 − 𝟔 = 𝟎 ที่ตัดแกน 𝑿 และแกน 𝒀 ที่จุด 𝑨 และ 𝑩 ตามลาดับ ถ้า 𝑪 เป็นจุดกึ่งกลางระหว่างจุด 𝑨 และ 𝑩 และ 𝑳 𝟐 เป็นเส้นตรงที่ตั้งฉากกับ 𝑳 𝟏 ที่จุด 𝑪 และตัดแกน 𝑿 ที่จุด 𝑫 แล้ว พื้นที่ของสามเหลี่ยม 𝑨𝑪𝑫 คือข้อใดต่อไปนี้ 𝟏𝟑 𝟏𝟑 [𝟏] 𝟏𝟐 ตารางหน่วย 𝟐 𝟖 ตารางหน่วย 𝟏𝟑 𝟏𝟑 [𝟑] 𝟔 ตารางหน่วย 𝟒 𝟒 ตารางหน่วย เฉลย การหาจุดตัดของเส้นตรงบนแกน สามารถหาได้อย่างง่ายๆ และเป็นวิธีที่นิยมหาเพื่อเขียนกราฟอย่างคร่าวๆ ได้อีก ด้วย โดย แทน 𝑥 = 0 จะได้จุดตัดบนแกน 𝑌 แทน 𝑦 = 0 จะได้จุดตัดบนแกน 𝑋 (เป็นอย่างไรครับ พอไหวมั้ย ?) พิจารณาเส้นตรง 𝟐𝒙 − 𝟑𝒚 − 𝟔 = 𝟎 แทน 𝑥 = 0 ⟹ 2(0) − 3(𝑦) − 6 = 0 ⟹ 3𝑦 = −6 ⟹ 𝑦 = −2 ⟹ ตัดแกน 𝑌 ที่จุด (0, −2) แทน 𝑦 = 0 ⟹ 2𝑥 − 3(0) − 6 = 0 ⟹ 2𝑥 = 6 ⟹ 𝑥 = 3 ⟹ ตัดแกน 𝑋 ที่จุด (3, 0)
  • 34.
    เฉลยข้อสอบวิชาคณิตศาสตร์ โควตา ม.ขอนแก่น ปีการศึกษา 2550 โดย พี่เปี๊ยก 34 ดูภาพประกอบเลยนะครับ เริ่มแรกเราจะหาจุด 𝐶 จากสูตรการหาจุดกึ่งกลางระหว่างจุดสองจุดดังนี้ 𝑥1 + 𝑥2 𝑥= จุดศูนย์กลางระหว่าง 2 𝑥1 , 𝑥2 และ (𝑦1 , 𝑦2 ) คือ (𝑥 , 𝑦) 𝑦1 + 𝑦2 𝑦= 2 พิจารณา 𝑥 = 3+0 = 3 , 𝑦 = 0+(−2) = −1 2 2 2 ต่อไปพิจารณา สมการเส้นตรง 𝐿1 ; 2𝑥 − 3𝑦 − 6 = 0 ⇒ −3𝑦 = −2𝑥 + 6 ⇒ 𝑦 = −2 𝑥 + −3 = 2 𝑥 − 2 6 −3 3 เปรียบเทียบสมการ 𝑦 = 2 𝑥 − 2 กับสมการรูปทั่วไปของเส้นตรง คือ 𝑦 = 𝑚𝑥 + 𝑐 3 เราจะได้ 𝑚 = 2 นั่นคือ ความชันของ 𝐿1 คือ 2 3 3 แต่เนื่องจากเส้นตรงที่ตั้งฉากกันคูณกันมีค่าเท่ากับ −1 ให้ 𝑚2 เป็นความชันของ 𝐿2 จะได้ 𝑚 ∙ 𝑚2 = −1 ⇒ 2 ∙ 𝑚2 = −1 ⇒ 𝑚2 = −3 3 2 เนื่องจากเราต้องการหาสมการของ 𝐿2 ซึ่งสามารถหาได้จากสูตร 𝑦 − 𝑦1 = 𝑚 𝑥 − 𝑥1 เมื่อ (𝑥1 , 𝑦1 ) และ 𝑚 คือ จุดผ่าน และความชันตามลาดับ เราจะแทนจุดผ่าน (𝑥1 , 𝑦1 ) = (3 , −1) และความชัน 𝑚 = −3 จะได้สมการคือ 2 2 −3 3 𝑦 − (−1) = 𝑥− 2 2 −3 9 𝑦+1 = 𝑥+ 2 4 3 5 𝑦+ 𝑥− = 0 2 4
  • 35.
    เฉลยข้อสอบวิชาคณิตศาสตร์ โควตา ม.ขอนแก่น ปีการศึกษา 2550 โดย พี่เปี๊ยก 35 ต่อไปหาจุดตัดของ 𝐿2 บนแกน 𝑋 โดยให้ 𝑦 = 0 3 5 3 5 5 2 5 0+ 𝑥− =0⟹ 𝑥= ⟹ 𝑥= ∙ = 2 4 2 4 4 3 6 5 ดังนั้น จุด 𝐷 คือ 6 ,0 ต่อไปเราจะหาพื้นที่ ∆𝐴𝐶𝐷 ซึ่งสามารถหาได้ 2 วิธี วิธีที่ 1 พิจารณาจากภาพด้วยนะครับ เริ่มจากหาความยาว 𝐷𝐴 จากการนาค่า 𝑥 มาลบกัน (ทาไม ?) ดังนี้ 5 13 3− = 6 6 และความสูงของ ∆𝐴𝐶𝐷 คือ 1 (ดูจากค่าของ 𝑦 ของจุด 𝐶 ลองหาเหตุผลซิว่าทาไม) ดังนั้น พื้นที่ ∆𝐴𝐶𝐷 = 1 ⋅ ฐาน ⋅ สูง = 1 ⋅ 13 13 ⋅ 1 = 12 2 2 6 วิธีที่ 2 วิธีนี้เป็นการหาพื้นที่รูป 𝑛 เหลี่ยมใดๆ เลยทีเดียว และไม่ว่ารูปนั้นจะอยู่ในลักษณะใดก็หาได้ทั้งหมด (เพราะ บางทีเราอาจหา ฐาน และสูงของสามเหลี่ยมไม่ได้) โดยพิจารณาจุดยอดของรูป 𝑛 เหลี่ยมใดๆบนระนาบ 𝑋𝑌 ในที่นี้ก็คือรูป สามเหลี่ยม จะพิจารณาวนทวนเข็มหรือตามเข็มก็ได้ (ตามใจชอบครับ) ในที่นี้ผมขอวนทวนเข็มนะครับ เป็น 𝐴 𝑥1 , 𝑦1 ⟶ 𝐶 𝑥2 , 𝑦2 ⟶ 𝐷 𝑥3 , 𝑦3 ⟶ 𝐴 𝑥1 , 𝑦1 สามารถเลือกจุดเริ่มต้นใดก็ได้ แต่ต้องวนกลับมา ณ จุด เดิมเสมอ สูตรการหาพื้นที่ 𝑥2 𝑦1 + 𝑥3 𝑦2 + 𝑥1 𝑦3 1 𝑥1 𝑥2 𝑥3 𝑥1 ∆𝐴𝐶𝐷 = 2 𝑦1 𝑦2 𝑦3 𝑦1 𝑥1 𝑦2 + 𝑥2 𝑦3 + 𝑥3 𝑦1 แล้วนา 1 (ล่าง − บน) นั่นคือ 2 1 ∆𝐴𝐶𝐷 = 𝑥 𝑦 + 𝑥2 𝑦3 + 𝑥3 𝑦1 − (𝑥2 𝑦1 + 𝑥3 𝑦2 + 𝑥1 𝑦3 ) 2 1 2 1 อย่าลืม 2 นะครับ ไม่ว่าจะเป็นรูป 𝑛 เหลี่ยมใดๆ ก็ต้องมีนะครับ ซึ่งจากข้อมูลหาพื้นที่ได้ดังนี้ 5 0 + −6 + 0 1 3 3/2 5/6 3 = 2 0 −1 0 0 −3 + 0 + 0 พื้นที่ ∆𝐴𝐶𝐷 = 1 −3 − − 5 = 1 −3 + 5 = 1 − 13 = 1 13 13 = 12 2 6 2 6 2 6 2 6
  • 36.
    เฉลยข้อสอบวิชาคณิตศาสตร์ โควตา ม.ขอนแก่น ปีการศึกษา 2550 โดย พี่เปี๊ยก 36 ตอบข้อ [1] วิเคราะห์ : โจทย์ข้อนี้เป็นเรื่องเรขาคณิตวิเคราะห์ ก็วิเคราะห์สมชื่อครับ ผู้ที่จะทาโจทย์ประเภทนี้ได้ดี ต้อง จาสูตรสาคัญๆ ได้หมด เป็นต้นว่า ระยะห่างระหว่างจุด สมการเส้นตรง วงกลม วงรี พาราโบลา ไฮเพอร์โบลา จุดกึ่งกลางระหว่างจุดสองจุด ระยะห่างระหว่างจุดกับเส้นตรง ระยะห่างระหว่างเส้นตรงสองเส้นที่ขนานกัน หรือแม้กระทั้งสูตรการหาพื้นที่ 𝒏 เหลี่ยมใดๆ ที่ผมให้ไว้ ณ ข้อนี้ก็ต้องทาความเข้าใจ สูตรทุกสูตรสาคั ญไม่ น้อยกว่ากันเลย เพราะต้องทาเป็นขั้นเป็นตอน และสิ่งที่ขาดไม่ได้คือ ประสบการณ์จากการทาโจทย์ประเภท นี้จะทาให้คุณมองออกได้ว่าจะทาไปในทิศทางใด 𝟐𝟏. ไฮเปอร์โบลารูปหนึ่งมีจุดโฟกัสอยู่ที่ 𝟑, 𝟎 และ −𝟑, 𝟎 และผ่านจุด 𝟓, 𝟒 พื้นที่ของสี่เหลี่ยมมุมฉาก ศูนย์กลาง คือข้อใดต่อไปนี้ [𝟏] 𝟐 𝟓 ตารางหน่วย 𝟐 𝟒 𝟓 ตารางหน่วย [𝟑] 𝟖 𝟓 ตารางหน่วย 𝟒 𝟏𝟔 𝟓 ตารางหน่วย พิจารณารูปตามเลยนะครับ เราอยากหาพื้นที่ “สี่เหลี่ยมมุมฉากศูนย์กลาง” ดังที่ระบายสี แต่เนื่องจาก ความยาวของ สี่เหลี่ยมมีค่าเป็นความยาวแกนตามขวาง (2𝑎) และ ความกว้างของสี่เหลี่ยม เป็นความยาวแกนสังยุค (2𝑏) ของไฮเปอร์ โบลา ดังนั้นตอนนี้เราต้องการหาค่า 2𝑎 ⋅ 2𝑏 (ตามสูตรกว้างคูณยาว)
  • 37.
    เฉลยข้อสอบวิชาคณิตศาสตร์ โควตา ม.ขอนแก่น ปีการศึกษา 2550 โดย พี่เปี๊ยก 37 เริ่มแรกพิจารณาจากสิ่งที่โจทย์ให้มา คือ จุดโฟกัส 3, 0 และ −3, 0 จึงทาให้เรารู้ได้เลยว่า เป็นไฮเปอร์โบลาที่มีแกน ตามขวาง (แกนยาว) ขนานแกน 𝑋 และจุดศูนย์กลาง (𝑕, 𝑘) = (0, 0) สมการของไฮเปอร์โบลาคือ 2 2 𝑥− 𝑕 𝑦− 𝑘 − =1 𝑎2 𝑏2 อันนี้เราต้องจาเองนะ แต่พี่มีข้อแนะนาคือ จาให้ได้ว่า ในไฮเปอร์ก้อนไหนเป็นบวก แกนทางยาวขนานแกนนั้น 𝑥−𝑕 2 เช่น ในที่นี้ เนื่องจากเรารู้แล้วว่า แกนทางยาว (แกนตามขวาง) ขนานแกน 𝑋 ทาให้ก้อน 𝑎2 มีค่าเป็นบวกนั่นเอง ส่วน อีกก้อนก็ต้องเป็นลบไป เพราะไฮเปอร์ต้องมีก้อนที่เป็นบวกกับก้อนที่เป็นลบเสมอ แล้วมีคนสงกะสัยว่า แล้ว จะรู้ได้ไงว่าจะ ใส่ 𝑎 หรือ 𝑏 ดี ในก้อนที่บวก ไม่ต้องสงสัยเลยครับ เพราะมันจะเป็น 𝑎 เสมอ และอีกในก้อนก็จะเป็น 𝑏 ไปโดยปริตา เอ้ย! ปริยายครับ คาว่า 𝑎 หรือ 𝑏 ของผมในที่นี้คือ 𝑎2 หรือ 𝑏2 นะครับ แต่ผมอธิบายให้สั้นลง เฉยๆนะ เราจึงได้สมการไฮเปอร์ออกมาว่า 2 𝑥−0 𝑦−0 2 − =1 𝑎2 𝑏2 𝑥2 𝑦2 − 2 =1 𝑎2 𝑏 แต่เนื่องจากความสัมพันธ์ ของ 𝑎 , 𝑏 และ 𝑐 ในไฮเปอร์คือ 𝑐 2 = 𝑎2 + 𝑏2 จะสังเกตเห็นว่า 𝑐 จะมีค่ามากสุด ผิดกับวงรี ที่เป็นสมการ 𝑎2 = 𝑏2 + 𝑐 2 สองพี่น้องสมการนี้ทาเอาหลายคนจาสับกันอยู่บ่อยครั้ง ผมจะเสนอวิธีการท่องว่า "𝒂 เป็นใหญ่ในวงรี 𝒄 เป็นใหญ่ในไฮเปอร์" (คาว่าเป็นใหญ่คงรู้กันนะครับ ว่าผมหมายถึงอะไร) เอาหละครับ มาต่อกันที่สมการเลยนะ เนื่องจากสมการของไฮเปอร์ผ่านจุด (5, 4) แสดงว่าแทนในสมต้องเป็นจริง ดังนั้น เราจึงได้ว่า 52 42 − 2=1 𝑎2 𝑏 25 16 − 2=1 𝑎2 𝑏 25𝑏2 − 16𝑎2 = 𝑎2 𝑏2 _______(∗) เนื่องจาก 𝑐 2 = 𝑎2 + 𝑏2 และรู้ว่า ระยะห่างจุดศูนย์กลางถึง โฟกัส มีระยะเป็น 𝑐 ดังนั้นจะได้ 𝑐 = 3 แทนค่า 32 = 𝑎2 + 𝑏2 ==≫ 9 = 𝑎2 + 𝑏2 ==≫ 𝑎2 = 9 − 𝑏2 แทนในสมการ (* ) จะได้ 25𝑏2 − 16(9 − 𝑏2 ) = (9 − 𝑏2 )𝑏2 25𝑏2 − 144 + 16𝑏2 = 9𝑏 2 − 𝑏4 𝑏4 + 32𝑏2 − 144 = 0 วิธีการหาค่า 𝑏 ทาได้หลายวิธี วิธีที่ง่ายในที่นี้คือ แยกตัวประกอบให้คล้ายกับสมการกาลังสอง ดังนี้ 𝑏2 − 4 𝑏2 + 36 = 0 ดังนั้น 𝑏 = 2, −2 ส่วน 𝑏2 + 36 คาตอบเป็นจานวนเชิงซ้อนเราก็ไม่ต้องสน และเราเลือก 𝑏 = 2
  • 38.
    เฉลยข้อสอบวิชาคณิตศาสตร์ โควตา ม.ขอนแก่น ปีการศึกษา 2550 โดย พี่เปี๊ยก 38 เพราะค่า 𝑎, 𝑏 และ 𝑐 ทั้งในไฮเปอร์ และวงรี มีค่าเป็นบวกทั้งหมด เพราะเป็นหน่วยความยาว แทนค่า 𝑏 = 2 ในสมการ 𝑎2 = 9 − 𝑏2 ==≫ 𝑎 = 5 ดังนั้นพื้นที่สี่เหลี่ยมมุมฉากที่เราต้องการคือ 2𝑎 ⋅ 2𝑏 = 2 5 ⋅ 2(2) = 8 5 ตอบข้อ [3] วิเคราะห์ : โจทย์ข้อนี้เป็นเรื่องเรขาคณิตวิเคราะห์อีกแล้วครับพี่น้อง แต่เข้ามาเล่นกับไฮเปอร์โบลาลึก หน่อย ถ้าจับจุดได้ไม่ยากครับ แต่ผมอธิบายแบบค่อยเป็นค่อยไปอย่างมาก ก็เลยดูยาวไป ความจริงทาไม่ถึง 𝟐 นาทีด้วยซ้าไป ถ้าทาคล่องนะครับ ก็แล้วแต่ประสบการณ์ แต่ยังไงก็ยืนยันคาเดิม เรื่องสูตรต้องแม่นครับ 𝟏 𝟒 𝒍𝒐𝒈 𝟐𝟕 𝟔𝟒 𝟐𝟐. ค่าของ 𝟐𝟓 𝒍𝒐𝒈 𝟑 𝟓 + 𝟗 + 𝟐 𝒍𝒐𝒈 𝟑 𝟏𝟔 คือข้อใดต่อไปนี้ [𝟏] 𝟐𝟓 𝟐 𝟐𝟔 𝟑 𝟐𝟕 𝟒 𝟐𝟖 เฉลย 1 4 25 𝑙𝑜𝑔 3 5 + 9 𝑙𝑜𝑔 27 64 + 2 𝑙𝑜𝑔 3 16 1 = 25 𝑙𝑜𝑔 5 3 + 9 𝑙𝑜𝑔 27 64 + 24𝑙𝑜𝑔 16 3 (จากสูตร = 𝑙𝑜𝑔 𝑎 𝑏) 𝑙𝑜𝑔 𝑏 𝑎 3 = 52 𝑙𝑜𝑔 5 3 + 32 𝑙𝑜𝑔 33 4 + 24𝑙𝑜𝑔 24 3 2 2 = 5 𝑙𝑜𝑔 5 3 + 3 𝑙𝑜𝑔 3 4 + 2 𝑙𝑜𝑔 2 3 = 32 + 42 + 3 = 9 + 16 + 3 = 28 (จากสูตร 𝑎 𝑙𝑜𝑔 𝑎 𝑏 = 𝑏) ตอบข้อ [4] วิเคราะห์ : เรื่องลอกาลิทึม ทาเอาหลายคน ทึมกันไปเลยนะครับ เพราะสูตรจุกจิกเหลือเกิน ไม่เพียงแต่ต้อง จาสูตรให้ได้ แต่ต้องใช้ให้เป็นด้วยนะครับ เพราะฉะนั้น จาเป็นต้องเจอกับมันบ่อยๆ โดยเรื่องนี้ส่วนใหญ่จะ มากับ เอกซ์โปเนนเชียล ครับ ข้อนี้ถือว่าไม่ยาก ถ้าพลิกแพลงและจาสูตรได้ ก็น่าจะได้คะแนนแล้วครับ 𝟏−𝟑 𝒄𝒐𝒔 𝟐 𝜽 𝟐𝟑. กาหนดให้ 𝑨 = {𝜽 ∈ [𝟎, 𝝅] | 𝒄𝒐𝒕 𝜽 (𝟏 − 𝒄𝒐𝒔 𝜽) = } ผลบวกของสมาชิกของ 𝑨 คือข้อใด 𝒔𝒊𝒏 𝜽 ต่อไปนี้ 𝝅 𝟐𝝅 𝟒𝝅 [𝟏] 𝟐 𝟑 𝝅 𝟒 𝟑 𝟑 𝟑 เฉลย พิจารณา 𝑐𝑜𝑠 𝜃 1 − 3 𝑐𝑜𝑠 2 𝜃 (1 − 𝑐𝑜𝑠 𝜃) = 𝑠𝑖𝑛 𝜃 𝑠𝑖𝑛 𝜃 𝑐𝑜𝑠 𝜃 − 𝑐𝑜𝑠 2 𝜃 = 1 − 3 𝑐𝑜𝑠 2 𝜃
  • 39.
    เฉลยข้อสอบวิชาคณิตศาสตร์ โควตา ม.ขอนแก่น ปีการศึกษา 2550 โดย พี่เปี๊ยก 39 2 𝑐𝑜𝑠 2 𝜃 + 𝑐𝑜𝑠 𝜃 − 1 = 0 2 𝑐𝑜𝑠 𝜃 − 1 𝑐𝑜𝑠 𝜃 + 1 = 0 1 จะได้ 𝑐𝑜𝑠 𝜃 = 2 , −1 กรณี 𝑐𝑜𝑠 𝜃 = 1 ==≫ 𝜃 = 3𝜋 2 กรณี 𝑐𝑜𝑠 𝜃 = −1 ==≫ 𝜃 = 𝜋 อย่าลืมค่ามุมที่ได้ต้องพิจารณาภายในช่วง [0, 𝜋] ดังนั้นผลบวกคาตอบคือ 3𝜋 + 𝜋 = 4𝜋 3 หลายคนโดนหลอก ตอบ 4𝜋 และในตัวเลือกก็มีซะด้วยครับ หารู้ไม่ว่า ที่เราตัด 𝑠𝑖𝑛 𝜃 ออกตั้งแต่เริ่มทาบรรทัดแรกจะได้ 3 𝜋 𝑠𝑖𝑛 𝜃 ≠ 0 ==≫ 𝜃 ≠ 𝜋 (เพราะส่วนเป็นศูนย์ไม่ได้นะครับ ) ดังนั้นคาตอบที่แท้จริงมีคาตอบเดียวคือ 3 ตอบข้อ [1] วิเคราะห์ : ข้อนี้เป็นเรื่องที่ต้องระวังอย่างที่บอกไว้ครับ เพราะการแก้อะไรก็แล้วแต่ เงื่อนไขที่สาคัญลักษณะ นี้จะลืมไม่ได้ ลืมเป็นผิด เพราะจะมีตัวเลือกมาหลอกเสมอครับ และอีกอย่างเรื่องตรีโกณถือว่าเป็นเรื่อง สาคัญอีกเรื่องครับ น้องหลายคนกลัวเรื่องนี้มาก จนทาให้ไม่อยากทา ส่วนคนที่ใจสู้ก็จะได้คะแนนไปครับ และในแต่ละปีก็จะมีตรีโกณออกมาเยอะเหมือนกัน เพราะฉะนั้นเรื่องนี้จึงขาดเสียมิได้ ในฟิสิกส์ก็ต้องใช้ ครับ ดังนั้นอย่าเพิ่งถอยตั้งแต่ตอนยังไม่ได้สู้นะครับ
  • 40.
    เฉลยข้อสอบวิชาคณิตศาสตร์ โควตา ม.ขอนแก่น ปีการศึกษา 2550 โดย พี่เปี๊ยก 40 𝟐𝟒. พิกัดของจุดในข้อต่อไปนี้เป็นจุดมุมของทรงสี่เหลี่ยมมุมฉากที่มีจุดมุมคือ (𝟏, 𝟐, 𝟑), (𝟏, 𝟐, 𝟒), (𝟐, 𝟐, 𝟑), (𝟏, 𝟑, 𝟑) [𝟏] (𝟑, 𝟏, 𝟐) 𝟐 (𝟑, 𝟐, 𝟒) 𝟑 (𝟐, 𝟑, 𝟒) 𝟒 (𝟐, 𝟒, 𝟑) B(1, 2, 4) A(1, 2, 3) D(2, 2, 3) C(1, 3, 3) x y เมื่อพิจารณารูปออกมาคร่าวๆ จะดังรูปนะครับ ดังนั้นจุดมุมที่เหลืออีก 4 คือจุดมุมดังในภาพต่อไปนี้
  • 41.
    เฉลยข้อสอบวิชาคณิตศาสตร์ โควตา ม.ขอนแก่น ปีการศึกษา 2550 โดย พี่เปี๊ยก 41 เราต้องการหาจุดพิกัด 𝐻, 𝐸, 𝐹 และ 𝐺 (ความจริงแล้ว ถ้าเราหาจุดใดได้แล้วมีในตัวเลือก ก็ไม่ต้องหาจุดอื่นอีก) ในที่นี้จะหาให้ดูทุกจุด เริ่มจากจุด 𝐻 (อันนี้บางคนก็ดูรูปแล้วตอบได้เลยนะครับ แต่ผมจะใช้เทคนิคการดูเป็นฝา) ฝาในที่นี้ เป็นด้านที่ประกอบด้วยจุด 4 จุด(รวมเป็นสี่เหลี่ยมผืนผ้า) เช่น ฝา 𝐴𝐵𝐻𝐶 เป็นฝาที่ตั้งฉากกับแกน 𝑋 ดังนั้นจุด 𝐴, 𝐵, 𝐶 และ 𝐻 จะมีพิกัดของ 𝑥 เหมือนกันทุกจุด จะได้จุด 𝐻 คือ (1, … , … ) ต่อไปดูที่ฝา 𝐹𝐶𝐻𝐺 ซึ่งฝานี้ตั้งฉากกับแกน 𝑌 จึงมีพิกัด 𝑦 เหมือนกัน จะได้ พิกัดแต่ละจุดคือ 𝐹(… ,3, … ), 𝐶(1, 3, 3), 𝐻(1, 3, … ), 𝐺(… , 3, … ) ต่อไปพิจาณา ฝาล่าง 𝐴𝐶𝐹𝐷 ตั้งฉากกับแกน 𝑍 ทาให้จุด 𝐴, 𝐶, 𝐹 และ 𝐷 มีพิกัด 𝑧 เท่ากัน นั่นคือจะได้ 𝐹(… , 3, 3) พิจารณาทานองเดียวกันนี้ ที่ฝา 𝐷𝐹𝐺𝐸 ได้จุด 𝐺(2, 3, … ) , 𝐸(2, . . , … ) ฝา 𝐸𝐵𝐻𝐺 ได้จุด 𝐸(2, … ,4), 𝐺(2, 3, 4), 𝐷(1, 3, 4) ฝา 𝐸𝐵𝐴𝐷 ได้จุด 𝐸(2, 2, 4) ได้ครบทุกจุดครับ ซึ่งเป็นจุดมุมของทรงสี่เหลี่ยมมุมฉาก เทคนิคนี้ใช้ได้ตลอดกับทรงสี่เหลี่ยมมุมฉากใดๆนะครับ หรือแผ่น ระนาบใดๆเรื่องนี้เป็นเทคนิคที่ผมคิดขึ้นเองครับ เพื่อหาวิธีการให้เด็กคนหนึ่งมองรูปสามมิติได้ง่ายขึ้น โดยพิจาณาเป็นฝา ที่ตั้งฉาก มีหลักการว่า
  • 42.
    เฉลยข้อสอบวิชาคณิตศาสตร์ โควตา ม.ขอนแก่น ปีการศึกษา 2550 โดย พี่เปี๊ยก 42 ฝาที่ตั้งฉากกับแกน 𝑿 จุดที่อยู่บนฝานั้นจะมีพิกัด 𝒙 เหมือนกันทุกจุด ฝาที่ตั้งฉากกับแกน 𝒀 จุดที่อยู่บนฝานั้นจะมีพิกัด 𝒚 เหมือนกันทุกจุด ฝาที่ตั้งฉากกับแกน 𝒁 จุดที่อยู่บนฝานั้นจะมีพิกัด 𝒛 เหมือนกันทุกจุด หรือจะท่องสั้นๆว่า ฉาก 𝑿 --->𝒙 เหมือน ฉาก 𝒀 --->𝒚 เหมือน ฉาก 𝒁 --->𝒛 เหมือน จุดที่ปรากฏในตัวเลือกคือ จุด 𝐸(2, 3, 4) ครับ ตอบข้อ [1] วิเคราะห์ : ข้อสอบแบบนี้เพิ่งเคยทาครับ ไม่ค่อยได้เห็นกันนัก แต่ก็เห็นบ้างในเวกเตอร์ครับ สรุปคือ เราต้อง รู้ก่อนว่าโจทย์ต้องการหาอะไร อย่างข้อนี้ต้องการจุดอีกจุดที่เป็นจุดมุมของรูปทรงสี่เหลี่ยมมุมฉากครับ โดย พลอทจุดคร่าวๆเหมือนรูปแรก หลังจากนั้นก็สร้างรูปทรงสี่เหลี่ยมขึ้นมาที่มีจุดเดิมเป็นจุดมุมตามโจทย์และ ก็หาจุดที่เหลือให้ได้ครับ ไม่ยากใช่มั้ยล่ะ ยากโคตะระ!! คณิตศาสตร์ง่ายเปล่าเพื่อน 𝟐𝟓. ถ้า 𝒛 𝟏 และ 𝒛 𝟐 เป็นจานวนเชิงซ้อนที่ (𝟐 − 𝒊) + (𝟏 + 𝒊)𝒛 𝟏 = 𝟑 + 𝟐𝒊 และ 𝒛 𝟏 𝒛 𝟐 + (𝟏 − 𝟐𝒊)𝒛 𝟐 − 𝟐 = 𝟎 แล้วค่าของ 𝒛−𝟏 คือข้อใดต่อไปนี้ 𝟐 𝟑 𝟑 𝟐 [𝟏] 𝟐 𝟐 𝟐 [𝟑] 𝟑 𝟒 𝟑 𝟐 เฉลย ให้ 𝑧1 = 𝑎 + 𝑏𝑖, 𝑧2 = 𝑐 + 𝑑𝑖 (เราต้องการหา 𝑧2 ให้ได้ นั่นคือ 𝑐 และ 𝑑 คืออะไร โดยนิยามของสังยุคเราจะได้ว่า 𝑧1 = 𝑎 − 𝑏𝑖 ต่อไปพิจารณา (2 − 𝑖) + (1 + 𝑖)𝑧1 = 3 + 2𝑖 (2 − 𝑖) + (1 + 𝑖)(𝑎 − 𝑏𝑖) = 3 + 2𝑖 (2 − 𝑖) + 𝑎 − 𝑏𝑖 + 𝑎𝑖 − 𝑏𝑖 2 = 3 + 2𝑖
  • 43.
    เฉลยข้อสอบวิชาคณิตศาสตร์ โควตา ม.ขอนแก่น ปีการศึกษา 2550 โดย พี่เปี๊ยก 43 (2 − 𝑖) + 𝑎 − 𝑏𝑖 + 𝑎𝑖 + 𝑏 = 3 + 2𝑖 2 + 𝑎 + 𝑏 + (𝑎 − 𝑏 − 1)𝑖 = 3 + 2𝑖 เมื่อเราเทียบสัมประสิทธิ์จะได้ว่า 2 + 𝑎 + 𝑏 = 3_____(1) 𝑎 − 𝑏 − 1 = 2______(2) นา (1) + (2) ; 2𝑎 + 1 = 5 ==> 𝑎 = 2 แทน 𝑎 = 2 ใน (1) ; 2 + 2 + 𝑏 = 3 ==≫ 𝑏 = −1 ดังนั้น 𝑧1 = 2 − 𝑖 ต่อไปพิจารณา 𝑧1 𝑧2 + (1 − 2𝑖)𝑧2 − 2 = 0 (2 − 𝑖)(𝑐 − 𝑑𝑖) + (1 − 2𝑖)(𝑐 − 𝑑𝑖) − 2 = 0 (𝑐 − 𝑑𝑖)[2 − 𝑖 + 1 − 2𝑖] − 2 = 0 (𝑐 − 𝑑𝑖)[3 − 3𝑖] − 2 = 0 3𝑐 − 3𝑐𝑖 − 3𝑑𝑖 + 3𝑑𝑖 2 − 2 = 0 3𝑐 − 3𝑐𝑖 − 3𝑑𝑖 − 3𝑑 − 2 = 0 3𝑐 − 3𝑑 − 2 + (−3𝑐 − 3𝑑)𝑖 = 0 = 0 + 0𝑖 เมื่อเราเทียบสัมประสิทธิ์จะได้ว่า 3𝑐 − 3𝑑 − 2 = 0______(3) 3𝑐 − 3𝑑 = 0______(4) −1 นา (3) + (4) ; −6𝑑 − 2 = 0 ⟹ 6𝑑 = −2 ⟹ 𝑑 = 3 −1 −1 1 แทน 𝑑 ใน (4) ; −3𝑐 − 3( 3 ) = 0 ⟹ −3𝑐 + 1 = 0 ⟹ 𝑐 = −3 = 3 ดังนั้น 𝑧2 = 𝑐 + 𝑑𝑖 = 1 − 1 𝑖 3 3 *** เราจะหาอินเวอร์สของ 𝑧2 จากสูตร 𝑎 𝑏 อินเวอร์สการคูณของ 𝑎 + 𝑏𝑖 คือ 𝑎 2 +𝑏 2 − 𝑎 2 +𝑏 2 𝑖 1 2 1 2 1 1 2 พิจารณา 𝑐 2 + 𝑑 2 = 3 + −3 = 9+9= 9 ดังนั้น 1 1 𝑐 𝑑 −3 1 9 1 9 3 3 −1 3 𝑧2 = 2 − 2 𝑖= − 𝑖= − − 𝑖= + 𝑖 𝑐 + 𝑑 2 𝑐 + 𝑑 2 2 2 3 2 3 2 2 2 9 9 −1 ต่อไปเราจะหา 𝑧2 จากสูตร ให้ 𝑧 = 𝑎 + 𝑏𝑖 ค่าสัมบูรณ์ของ 𝑧 หรือ ขนาดของ 𝑧 เขียนแทนด้วย 𝑧 คือ 𝑎2 + 𝑏2
  • 44.
    เฉลยข้อสอบวิชาคณิตศาสตร์ โควตา ม.ขอนแก่น ปีการศึกษา 2550 โดย พี่เปี๊ยก 44 −1 3 2 3 2 9 9 18 9 9 3 3 2 3 2 ดังนั้น 𝑧2 = 2 + 2 = 4 +4= 4 = 2 = 2 = 2 = 2 ⋅ 2 = 2 จากบรรทัด *** เราสามารถทาได้อีกวิธีที่ง่ายกว่า โดยเราต้องรู้จักสูตรนี้ก่อน 1 𝑧 −1 = 𝑧 −1 = 𝑧 1 2 −1 2 2 เนื่องจากเราหา 𝑧2 = 3 + 3 = 3 ดังนั้น −1 −1 1 3 3 2 𝑧2 = 𝑧2 = = = 𝑧2 2 2 ได้คาตอบเท่ากันครับ ตอบข้อ [2] วิเคราะห์ : ข้อสอบข้อนี้ทบทวนเรื่องจานวนเชิงซ้อนได้เกือบทั้งหมดครับ แต่ก็ไม่วายจะต้องแก้สมการเชิง เส้นสองตัวแปรตั้งสองครั้ง ซึ่งเป็นพื้นฐานหลัก ที่เรียนกันมาแต่อ้อนแต่เอาะ ดังนั้นถ้าใครยังขาดพื้นฐานส่วน ไหนควรเร่งแก้ไขด่วน ห้ามอายเด็ดขาด ก่อนที่จะสายเกินแก้ และข้อสอบข้อนี้ก็ตบท้ายด้วยเรื่องอินเวอร์ส ซึ่งก็คงจะไม่ยากมากมายนัก (ถ้าจาสูตรได้นะ อิอิ) อือมม … . เอ้ย ! อย่าเพิ่งนอน ขออีก 5 นาที อ่าน math ต่อ 𝟐𝟔. กล่องใบหนึ่งมีบัตร 𝟗 ใบ โดยบัตรแต่ละใบจะมีหมายเลข และมีเลข 𝟏, 𝟐, 𝟑, … , 𝟗 ตามลาดับ ถ้าสุ่ม หยิบบัตรขึ้นมาสองใบ แล้วความน่าจะเป็นที่ผลรวมของหมายเลขทั้งสองบัตรมากกว่า 𝟏𝟎 คือข้อใดต่อไปนี้ 𝟏 𝟏𝟑 [𝟏] 𝟐 𝟑 𝟑𝟔 𝟓 𝟒 [𝟑] 𝟒 𝟏𝟐 𝟗
  • 45.
    เฉลยข้อสอบวิชาคณิตศาสตร์ โควตา ม.ขอนแก่น ปีการศึกษา 2550 โดย พี่เปี๊ยก 45 เฉลย ให้บัตรทั้งหมดเป็นดังนี้ 𝟏 𝟐 𝟑 𝟒 𝟓 𝟔 𝟕 𝟖 𝟗 ผลรวมของทั้งสองบัตรรวมกันมากกว่า 𝟏𝟎 แสดงว่าผลรวมที่เป็นไปได้ คือ 𝟏𝟏, 𝟏𝟐, 𝟏𝟑, 𝟏𝟒, 𝟏𝟓, 𝟏𝟔, 𝟏𝟕 หลักการหาความน่าจะเป็น คือ 𝑛(𝐸) 𝑃(𝐸) = 𝑛(𝑆) เราจะหา 𝑛(𝑆) (แซมเปิลสเปซ)ก่อน ในการสุ่มหยิบไพ่ 𝟐 ใบขึ้นเหตุการณ์ที่เป็นไปได้ทั้งหมด คือ 𝟏 𝟐 𝟏 𝟑 𝟏 𝟒 𝟏 𝟓 𝟏 𝟔 𝟏 𝟕 𝟏 𝟖 𝟏 𝟗 ( 8 เหตุการณ์ ) 𝟐 𝟑 𝟐 𝟒 𝟐 𝟓 𝟐 𝟔 𝟐 𝟕 𝟐 𝟖 𝟐 𝟗 ( 7 เหตุการณ์ ) 𝟑 𝟒 𝟑 𝟓 𝟑 𝟔 𝟑 𝟕 𝟑 𝟖 𝟑 𝟗 ( 6 เหตุการณ์ ) 𝟒 𝟓 𝟒 𝟔 𝟒 𝟕 𝟒 𝟖 𝟒 𝟗 ( 5 เหตุการณ์ ) 𝟓 𝟔 𝟓 𝟕 𝟓 𝟖 𝟓 𝟗 ( 4 เหตุการณ์ ) 𝟔 𝟕 𝟔 𝟖 𝟔 𝟗 ( 3 เหตุการณ์ ) 𝟕 𝟖 𝟕 𝟗 ( 2 เหตุการณ์ ) 𝟖 𝟗 ( 1 เหตุการณ์ )
  • 46.
    เฉลยข้อสอบวิชาคณิตศาสตร์ โควตา ม.ขอนแก่น ปีการศึกษา 2550 โดย พี่เปี๊ยก 46 *หมายเหตุ การสุ่มหยิบได้ 𝟏 𝟐 หรือ 𝟐 𝟏 ถือเป็นเหตุการณ์เดียวกัน นับเป็นหนึ่งนะครับ กรณีอื่นก็ เช่นเดียวกัน เช่น 𝟐 𝟑 หรือ 𝟑 𝟐 เราสามารถรวมเหตุการณ์ทั้งหมดได้ 8 + 7 + 6 + 5 + 4 + 3 + 2 + 1 = 36 การแจกแจงทั้งหมดอาจพิจารณาสูตรการเลือกของ 2 สิ่งจากของที่แตกต่างกันทั้งหมด 9 สิ่งทาได้ 9 9! 9! 9 × 8 × 7! = = = = 9 × 4 = 36 2 (9 − 2)! 2! 7! 2! 7! × 2! ต่อไปพิจารณาหา 𝑛(𝐸) เหตุการณ์ในการสุ่มหยิบบัตร 2 ใบแล้วมีผลรวมมากกว่า 10 คือ 𝟐 𝟗 𝟑 𝟖 𝟑 𝟗 𝟒 𝟕 𝟒 𝟖 𝟒 𝟗 𝟓 𝟔 𝟓 𝟕 𝟓 𝟖 𝟓 𝟗 𝟔 𝟕 𝟔 𝟖 𝟔 𝟗 𝟕 𝟖 𝟕 𝟗 𝟖 𝟗 𝑛(𝐸) 16 4 รวมเหตุการณ์ทั้งหมดได้ 16 เหตุการณ์ ดังนั้นความน่าจะเป็นที่จะหยิบได้ผลรวมมากกว่า 10 คือ 𝑛(𝑆) = 36 = 9
  • 47.
    เฉลยข้อสอบวิชาคณิตศาสตร์ โควตา ม.ขอนแก่น ปีการศึกษา 2550 โดย พี่เปี๊ยก 47 ตอบข้อ [4] วิเคราะห์ : เรื่องความน่าจะเป็นถ้าโจทย์เป็นลักษณะนี้ก็ถือว่าไม่ยากนัก แต่เชื่อมั้ยล่ะว่า โจทย์ความน่าจะ เป็นเนี่ยแหละครับที่น่ากลัวมาก เพราะคาตอบที่เราหาได้มักจะมีในตัวเลือกเสมอ เป็นตัวลวงที่ดีมาก เรา ความน่าจะเป็นมีวิธีคิดหลายวิธี และถ้าไม่แม่นจริงๆส่วนใหญ่ก็โดนหลอกครับ เพราะฉะนั้นวิธีเดียวที่จะทา ได้คือ … “ทาใจครับ ” ล้อเล่น ทาโจทย์ครับ เมื่อไหร่จะอ่านเสร็จเนี่ย อ่านมา 3 เดือนแย้ววว….วัยรุ่นเซ็ง…. 𝟐𝟕. ถ้า 𝒙 𝟏 , 𝒙 𝟐 , 𝒙 𝟑 , 𝒙 𝟒 เป็นข้อมูลชุดหนึ่ง ที่มีฐานนิยม และมัธยฐานคือ 𝟎 มีพิสัยคือ 𝟏𝟐 และมีค่าเฉลี่ยเลข 𝟒 คณิตคือ 𝟏 แล้ว ค่าของ 𝒊=𝟏(𝒙 𝒊 − 𝟏) 𝟐 คือข้อใดต่อไปนี้ [𝟏] 𝟕𝟔 𝟐 𝟕𝟖 [𝟑] 𝟖𝟎 𝟒 𝟖𝟐 เฉลย สมมติให้ 𝑥1 , 𝑥2 , 𝑥3 , 𝑥4 เป็นข้อมูลที่เรียงจากน้อยไปหามาก จากสมบัติของค่ามัธยฐานของข้อมูล จะได้ 𝑥2 + 𝑥3 =0 2 ดังนั้น 𝑥2 + 𝑥3 = 0 จากสมบัติของพิสัยจะได้ว่า 𝑥4 − 𝑥1 = 12___________(1) 𝑥 1 +𝑥 2 +𝑥 3 +𝑥 4 และค่าเฉลี่ยเลขคณิต 4 = 1 ดังนั้น 𝑥1 + 𝑥2 + 𝑥3 + 𝑥4 = 4 แต่ 𝑥2 + 𝑥3 = 0 ดังนั้น 𝑥1 + 𝑥4 = 4_____________(2) นา (1) + (2); 2𝑥4 = 16 ⟹ 𝑥4 = 8 แทน 𝑥4 = 8 ใน (2) จะได้ 𝑥1 + 8 = 4 ⟹ 𝑥1 = −4 พิจารณา −4, 𝑥2 , 𝑥3 , 8 เหลือแต่ค่า 𝑥2 , 𝑥3 ซึ่งเรารู้ว่า 𝑥2 + 𝑥3 = 0 ดังนั้นค่าที่เป็นไปได้ของ 𝑥2 , 𝑥3 คือ 𝑥2 = −4, 𝑥3 = 4 หรือ 𝑥2 = −3, 𝑥3 = 3 หรือ 𝑥2 = −2, 𝑥3 = 2 หรือ 𝑥2 = 0, 𝑥3 = 0 หรือ …. เยอะแยะมากมาย แต่จะมีคู่เดียวเท่านั้นที่ใช้ได้คือ 𝑥2 = 0, 𝑥3 = 0 (ทาไม ?คาใบ้อยู่ในโจทย์นะครับ) ดังนั้นเมื่อเราได้ครบทุกค่า จะได้ 4 𝑖=1(𝑥 𝑖 − 1)2 = (−4 − 1)2 + (0 − 1)2 + (0 − 1)2 + (8 − 1)2 = 76
  • 48.
    เฉลยข้อสอบวิชาคณิตศาสตร์ โควตา ม.ขอนแก่น ปีการศึกษา 2550 โดย พี่เปี๊ยก 48 ตอบข้อ [1] วิเคราะห์ : ข้อสอบข้อนี้เกี่ยวกับสถิติครับ จะพบว่าทดสอบนิยามเราเกือบหมดทีเดียวไม่ว่าจะเป็น พิสัย ฐาน นิยม มัธยฐาน ค่าเฉลี่ยเลขคณิต แต่ที่ไม่ยากเพราะยังไม่เป็นข้อมูลที่มีการแจกแจงอันตรภาคชั้นครับ จึงให้ อยากให้เตรียมตัวในส่วนนั้นด้วย สูตรก็เยอะอีกแล้วครับเรื่องนี้ ถ้าเราค่อยๆอ่าน ค่อยเป็นค่อยไป พี่ว่าคงไม่ เหลือบ่ากว่าแรงที่จะทาเรื่องนี้ให้เป็นเรื่องง่ายได้ครับ ฮืออ…ฮือมม…อ่านยังไงก็ไม่ทันอ่ะ จะ อ่านไม่ทัน อ่านไม่ทัน อ่าน สอบแล้ว เครียด ไม่ทัน….ๆๆๆๆๆ ค่อยๆอ่านซิ มีสมาธิหน่อย ตั้งสติ แล้วเริ่มอ่านได้แล้ว มัวแต่ ร้อง มัวแต่หัวชนฝา เมื่อไหร่จะได้อ่าน 𝟐𝟖. กาหนดข้อมูลดังต่อไปนี้ 𝒙 𝟎 𝟏 𝟐 𝟑 𝒚 𝟏 𝒓 𝒔 𝟕. 𝟓 ถ้าข้อมูลชุดนี้ มีสมการที่ใช้ประมาณค่า 𝒚 คือ 𝒚 = 𝟐𝒙 + 𝟏 แล้วค่าของ 𝒔 คือข้อใดต่อไปนี้ [𝟏] 𝟑. 𝟓 𝟐 𝟒 [𝟑] 𝟒. 𝟓 𝟒 𝟓 เฉลย พิจารณา 𝑦 = 2𝑥 + 1 _______(∗) จากคุณสมบัติของ Summation 4 4 4 4 𝑦𝑖 = (2𝑥 𝑖 + 1) = 2 𝑥𝑖 + 1 𝑖=1 𝑖=1 𝑖=1 𝑖=1 4 พิจารณาจากตารางจะได้ว่า 𝑖=1 𝑦 𝑖 = 1 + 𝑟 + 𝑠 + 7.5 = 𝑟 + 𝑠 + 8.5 , 4 4 2 𝑖=1 𝑥 𝑖 = 2(0 + 1 + 2 + 3) = 12 และ 𝑖=1 1 =4 ดังนั้น 𝑟 + 𝑠 + 8.5 = 12 + 4 = 16 ⟹ 𝑟 + 𝑠 = 7.5 ____________(1) นา 𝑥 คูณ (∗) จะได้ว่า 𝑦𝑥 = 2𝑥 2 + 𝑥 จากสมบัติของ Summation จะได้ว่า
  • 49.
    เฉลยข้อสอบวิชาคณิตศาสตร์ โควตา ม.ขอนแก่น ปีการศึกษา 2550 โดย พี่เปี๊ยก 49 4 4 4 4 𝑦𝑖 𝑥𝑖 = (2𝑥 2 + 𝑥 𝑖 ) = 2 𝑖 𝑥2 + 𝑖 𝑥𝑖 𝑖=1 𝑖=1 𝑖=1 𝑖=1 4 พิจารณา 𝑖=1 𝑦 𝑖 𝑥 𝑖 = 1 ⋅ 0 + 𝑟 ⋅ 1 + 𝑠 ⋅ 2 + 7.5 ⋅ 3 = 𝑟 + 2𝑠 + 22.5 4 2 𝑖=1 𝑥 2 + 4 𝑥 𝑖 = 2(02 + 12 + 22 + 32 ) + 6 = 28 + 6 = 34 𝑖 𝑖=1 ดังนั้น 𝑟 + 2𝑠 + 22.5 = 34 ⟹ 𝑟 + 2𝑠 = 11.5 ____________(2) จาก (1) และ (2) แก้สมการหา 𝑟 และ 𝑠 โดย (2) − (1); 𝑠 = 4 (เราไม่จาเป็นต้องหา 𝑟 ก็ได้เพราะโจทย์ไม่ต้องการ) ตอบข้อ [2] วิเคราะห์ : ข้อสอบข้อนี้เป็นเรื่องการประมาณค่า ซึ่งเป็นข้อที่ไม่ค่อยพบเห็นกันมากนัก โดยข้อนี้ได้รับความ ช่วยเหลือจาก ธนิต เพื่อนที่เรียนด้วยกัน ต้องขอบคุณอย่างมาก ที่ช่วยเหลือ เพราะลืมเนื้อหาส่วนนี้ไปแล้ว ตอนแรกก็คิดอยู่ว่าจะทายังไง ถ้าจะแทน 𝟐 ลงในตัว 𝒚 = 𝟐𝒙 + 𝟏 ได้ 𝒙 = 𝟓 ก็นึกอยู่ว่าโจทย์จะให้ 𝒓 มาเพื่อ....จึงตั้งข้อสันนิษฐานว่า มันน่าจะมีอะไรแน่ๆ สุดท้ายก็ไม่ได้ง่ายอย่างที่คิดอย่างที่เห็นครับ จึงเป็นบทเรียนจากโจทย์ว่า การที่โจทย์ให้ข้อมูลเรามาแต่ไม่ได้ใช้ มันน่าจะมีอะไรแน่ๆ ให้คิดไว้ก่อน เพราะบาง ทีก็อาจจะไม่ได้ใช้จริงๆก็เป็นได้ แต่ส่วนใหญ่จะใช้ข้อมูลจนครบครับ ถึงจะแก้โจทย์ข้อนั้นออก เหนื่อยนัก ก็ฟังเพลงที่คุณชอบ แล้วจะพบว่า คลายเครียดดีออก ตอนที่ 𝟑 ข้อสอบอัตนัยแบบเติมคาตอบ จานวน 𝟏𝟎 ข้อ ข้อ 𝟑 คะแนน 𝟏. กาหนดให้ 𝒙 เป็นจานวนเต็มบวก ที่ประกอบด้วยเลขโดด 𝟒 หลัก ถ้า 𝟐, 𝟑, 𝟒, 𝟓, 𝟔, 𝟏𝟎, 𝟏𝟏, 𝟏𝟐, 𝟏𝟑 และ 𝟏𝟓 หาร 𝒙 ลงตัว แล้วจงหาค่าของ 𝒙 เฉลย เริ่มจากเราจะหา ค.ร.น. ของ 2, 3, 4, 5, 6, 10, 11, 12, 13, 15 เราสามารถตัดตัวเลขบางตัวออกได้ถ้าหารกันลง ตัว เพราะ ค.ร.น. จะเป็นตัวมาก เช่น ระหว่าง 3, 5, 15 ตัด 3, 5 ทิ้งเหลือไว้แค่ 15 (เพราะทั้งคู่ หาร 15 ลงตัว) 2, 4, 6, 12 ตัด 2, 4, 6 ทิ้งเหลือไว้แค่ 12 (เพราะทั้งสาม หาร 12 ลงตัว) ตอนนี้เราจะเหลือแค่ 10, 11, 12, 13, 15 ค.ร.น. 10, 12, 15 คือ 60 (อันนี้เราสามารถเลือกหา ค .ร.น.ระหว่างตัวไหนก่อนก็ได้) ค.ร.น. 60, 11, 13 คือ 8580 ดังนั้น 𝑥 = 8580 ข้อสังเกต ถ้าเรานา 8580 ⋅ 2 = 17180 คือตัวเลขถัดไปที่หารด้วย 2, 3, 4, 5, 6, 10, 11, 12, 13, 15 ลงตัวแต่ ไม่ใช่ตัวเลข 4 หลักตามที่เราต้องการ เพราะฉะนั้น 𝑥 = 8580 เพียงตัวเดียว
  • 50.
    เฉลยข้อสอบวิชาคณิตศาสตร์ โควตา ม.ขอนแก่น ปีการศึกษา 2550 โดย พี่เปี๊ยก 50 ตอบ 𝑥 = 8580 วิเคราะห์ : ข้อสอบข้อนี้เป็นเรื่อง ค .ร.น ที่อยู่ในเรื่องทฤษฎีจานวนที่ดูเหมือนเป็นบทเล็กๆ แต่ก็เล็กพริกขี้หนู นะครับ เพราะนามาออกข้อสอบได้หลากหลายรูปแบบ แต่ถ้าเราเจอโจทย์ประเภทนี้บ่อยๆจากการทาโจทย์ เราก็จะพบว่า ไม่ยากเกินความสามารถหรอกครับ 1 2 2. กาหนดให้ 𝐴 = จงหาค่าของ 𝑑𝑒𝑡(𝐴 + 𝐴2 + 𝐴3 +⋅⋅⋅ +𝐴50 ) 0 1 เฉลย พิจารณา 1 2 ดังนั้น 𝐴 ⋅ 𝐴 = 𝐴2 = 1 2 1 2 = 1 4 0 1 0 1 0 1 0 1 เสนอวิธีการคูณของเมตริกซ์ดังต่อไปนี้ ตั้ง 𝐴2 = 𝐴 ⋅ 𝐴 ไว้ดังภาพ เลข 1 มาจาก นา (1 × 1) + (2 × 0) = 1 เลข 4 มาจาก นา (1 × 2) + (2 × 1) = 1 ดังนั้น 1 2 1 2 = 1 4 เป็นอย่างไรบ้างครับ ง่ายขึ้นมั้ย 0 1 0 1 0 1 เลข 0 มาจาก นา (0 × 1) + (1 × 0) 3 0 2 = เลข 1 มาจาก นา (0 × 2) + (1 × 1) = 1 โดยการพิจารณาการคูณเช่นเดียวกันจะได้ว่า 𝐴 = 𝐴 ⋅ 𝐴 = 0 1 1 2 = 1 6 0 4 0 1 0 1 1 6 1 2 1 8 𝐴4 = 𝐴3 ⋅ 𝐴 = = 0 1 0 1 0 1 18 1 2 1 10 𝐴5 = 𝐴4 ⋅ 𝐴 = = 01 0 1 0 1 𝑛 𝑛−1 1 2𝑛 และเราสังเกตว่า 𝐴 = 𝐴 ⋅ 𝐴 = 0 1 ดังนั้น 𝐴 + 𝐴2 + 𝐴3 +⋅⋅⋅ +𝐴50 = 1 2 + 1 4 + 1 6 + 1 8 + ∙∙∙ + 1 100 0 1 0 1 0 1 0 1 0 1 50 2550∗ = 0 50 จาก * เราพิจารณาจาก
  • 51.
    เฉลยข้อสอบวิชาคณิตศาสตร์ โควตา ม.ขอนแก่น ปีการศึกษา 2550 โดย พี่เปี๊ยก 51 2 1 + 50 50 2 + 4 + 6 + 8 + ∙∙∙ +100 = 2(1 + 2 + 3 + 4 + ∙∙∙ +50) = = 2550 2 𝑛 1+𝑛 𝑛 (จากสูตรผลรวม 𝑖=1 𝑖 = 1 + 2 + 3 + ∙∙∙ +𝑛 = 2 ) หรือ ท่องว่า “ต้นบวกปลาย คูณปลาย หารสอง ” ดังนั้น 𝑑𝑒𝑡(𝐴 + 𝐴2 + 𝐴3 +⋅⋅⋅ +𝐴50 ) = 𝑑𝑒𝑡 50 2550 = (50 × 50) − (0 × 2550) = 2500 0 50 ตอบ 2500 วิเคราะห์ : ข้อสอบข้อนี้เป็นเรื่องเมตริกซ์ผสมกับอนุกรมเล็กน้อยครับถือว่าไม่ยากสมกับคะแนน เพราะฉะนั้นไม่ได้คะแนนก็น่าเสียดายแย่ เพราะใช้แค่การคูณเมตริกซ์ และหาดีเทอร์มิเนนท์ และผลรวม แบบง่ายๆ ขอนแก่น ขอนแก่น ขอนแก่น ธรรมศาสตร์ จุฬา มหิดล เอาอะไรดีน้อ ? 𝟑. ให้ [𝒙] หมายถึง จานวนเต็มบวกที่มากที่สุดที่น้อยกว่าหรือเท่ากับ 𝒙 ถ้า 𝒇(𝒙) = 𝟏𝟎(𝒙 − [𝒙]) และ 𝒚 = (𝒇𝒐𝒇𝒐𝒇)(𝟏𝟐. 𝟑𝟒𝟓𝟔𝟕) แล้ว จงหาค่าของ [𝒚] เฉลย เนื่องจากคุณสมบัติของคอมโพสิทฟังก์ชัน (𝑓𝑜𝑓𝑜𝑓)(𝑥) = 𝑓 𝑓 𝑓 𝑥 พิจารณา 𝑓(𝑥) = 10(𝑥 − [𝑥]) ⟹ 𝑓(12.34567) = 10(12.34567 − [12.34567]) = 10(12.34567 − 12) = 10(0.34567) = 3.4567 พิจารณา 𝑓 𝑓 12.34567 = 𝑓(3.4567) = 10(3.4567 − [3.4567]) = 10(3.4567 − 3) = 10(0.4567) = 4.567 ขั้นสุดท้ายแล้วครับ 𝑓 𝑓 𝑓 12.34567 = 𝑓(4.567) = 10(4.567 − [4.567]) = 10(4.567 − 4)
  • 52.
    เฉลยข้อสอบวิชาคณิตศาสตร์ โควตา ม.ขอนแก่น ปีการศึกษา 2550 โดย พี่เปี๊ยก 52 = 10(0.567) = 5.67 ตอบ 5.67 วิเคราะห์ : ข้อนี้ก็ค่อนข้างง่ายมากอีกแล้วครับ แค่เข้าใจแบรงค์เก็ต [ ] ว่าเป็นจานวนเต็มบวกที่มากที่สุดที่ น้อยกว่าค่าที่อยู่ใน [ ] เช่น [𝟑. 𝟐] = 𝟑, [𝟒. 𝟔𝟕𝟖𝟗] = 𝟒 และเข้าใจเรื่องคอมโพสิทฟังก์ชันนิดหน่อยก็ได้ คะแนนแล้วบางทีง่ายกว่าข้อละ 𝟐 คะแนนด้วยซ้า ไม่ควรพลาดนะครับข้อนี้ มีส้ม 5 ผลอยู่ในกล่อง 1 ใบ จะแบ่งส้มให้คน 5 คน อย่างไร เพื่อให้แต่ละคน ได้ส้มไปคนละผล แต่มีส้ม 1 ผลอยู่ในกล่อง และห้ามฉีกส้มตอนแบ่ง _______ 𝟒. ให้ 𝑨(𝟒, 𝟓) เป็นจุดบนพาราโบลา 𝒚 𝟐 − 𝟐𝒚 − 𝟒𝒙 + 𝟏 = 𝟎 ซึ่งมีจุด 𝑽 เป็นจุดยอดและ 𝑭 เป็นจุด โฟกัส ถ้า 𝑳 𝟏 เป็นเส้นตรงที่ผ่านจุด 𝑨 และ 𝑭 𝑳 𝟐 เป็นเส้นตรงที่ผ่านจุด 𝑽 และขนานกับ 𝑳 𝟏 จงหาระยะห่าง ระหว่างเส้นตรง 𝑳 𝟏 และ 𝑳 𝟐 เฉลย พิจารณาสมการพาราโบลา 𝑦 2 − 2𝑦 − 4𝑥 + 1 = 0 ดังนี้ 𝑦 2 − 2𝑦 = 4𝑥 − 1 𝑦 2 − 2𝑦 + 12 = 4𝑥 − 1 + 12 = 4𝑥 − 1 + 1 = 4𝑥(ดูแนวคิดจากข้อ 8 ตอนที่ 1) (𝑦 − 1)2 = 4(𝑥 − 0) เมื่อเทียบกับรูปมาตรฐานของสมการพาราโบลา (𝑦 − 𝑘)2 = 4𝑐(𝑥 − 𝑕) จะได้ ( 𝑕, 𝑘) = (0, 1), 4𝐶 = 4 ⟹ 𝐶 = 1 เรามาทบทวนเกี่ยวกับรูปแบบมาตรฐานของพาลาโบลากันก่อนดีกว่า 2 𝑥− 𝑕 = 4𝑐(𝑦 − 𝑘) ⟹ 𝑦 กาลังเดี่ยว แกนสมมาตรขนานแกน 𝑦 𝑐 > 0 ⟹ กราฟหงาย , 𝑐 < 0 ⟹ กราฟคว่า 2 𝑦− 𝑘 = 4𝑐(𝑥 − 𝑕) ⟹ 𝑥 กาลังเดี่ยว แกนสมมาตรขนานแกน 𝑥 𝑐 > 0 ⟹ กราฟตะแคงขวา , 𝑐 < 0 ⟹ กราฟตะแคงซ้าย
  • 53.
    เฉลยข้อสอบวิชาคณิตศาสตร์ โควตา ม.ขอนแก่น ปีการศึกษา 2550 โดย พี่เปี๊ยก 53 จากสมการมาตรฐาน (𝑦 − 1)2 = 4(𝑥 − 0) มี 𝑥 กาลังเดี่ยว (ดีกรีหนึ่งครับ) จะได้แกนสมมาตรขนานแกน 𝑥 และ 𝑐 > 0 ทาให้เราทราบว่ากราฟตะแคงขวา เราพิจารณาวาดกราฟคร่าวๆได้ดังนี้ และเนื่องจากจุด โฟกัสของพาราโบลา อยู่ห่างจากจุดยอด (𝑕, 𝑘) = (0, 1) เป็นระยะ 𝑐 = 1 = 1 เสมอจะได้ จุด โฟกัสคือ 𝐹(1, 1) ต่อไปพิจารณา 𝐿1 เป็นเส้นตรงที่ผ่าน 𝐴(4, 5) และ 𝐹(1, 1) ดังภาพ และ 𝐿2 เป็นเส้นตรงที่ผ่านจุด (0, 1) และขนาน 𝐿1 ดังภาพ เราต้องการหาระยะห่างระหว่างเส้นตรง 𝐿1 และ 𝐿2 ให้เป็นระยะ 𝑑 ดังภาพ การหา ระยะห่างระหว่างจุดสองจุดเราจาเป็นต้องหาสมการของเส้นตรงทั้งสองเส้นเสียก่อน 𝑦2 −𝑦1 พิจารณา 𝐿1 มีความชัน 𝑚 = 𝑥 2 −𝑥 1 เมื่อรู้จุดผ่านสองจุดคือ (𝑥1 , 𝑦1 ) และ (𝑥2 , 𝑦2 ) จะได้ 𝑚 = 5−1 = 4 ดังนั้นสมการเส้นตรง 𝐿1 คือ 𝑦 − 𝑦1 = 𝑚(𝑥 − 𝑥1 ) เมื่อ (𝑥1 , 𝑦1 ) คือจุดผ่านเส้นตรง 4−1 3 หาสมการเส้นตรง 𝐿1 ได้ดังนี้ 𝑦 − 𝑦1 = 𝑚(𝑥 − 𝑥1 ) 4 𝑦 − 5 = 3 (𝑥 − 4) 3𝑦 − 15 = 4𝑥 − 16
  • 54.
    เฉลยข้อสอบวิชาคณิตศาสตร์ โควตา ม.ขอนแก่น ปีการศึกษา 2550 โดย พี่เปี๊ยก 54 0 = 4𝑥 − 3𝑦 − 1 นั่นคือ 𝐿1 : 4𝑥 − 3𝑦 − 1 = 0 ต่อไปหาสมการ 𝐿2 เนื่องจาก 𝐿1 //𝐿2 ดังนั้นความชัน 𝐿2 และ 𝐿1 เท่ากัน สมการ 𝐿2 คือ 4 𝑦 − 1 = 3 (𝑥 − 0) 3𝑦 − 3 = 4𝑥 0 = 4𝑥 − 3𝑦 + 3 นั่นคือ 𝐿2 : 4𝑥 − 3𝑦 + 3 = 0 สูตรระยะห่างระหว่างเส้นตรง 𝐿1 : 𝐴𝑥 + 𝐵𝑦 + 𝑐1 = 0 กับ 𝐿2 : 𝐴𝑥 + 𝐵𝑦 + 𝑐2 = 0 คือ 𝑐1 − 𝑐2 𝑑= 𝐴2 + 𝐵 2 ดังนั้น −1 − 3 −4 4 𝑑= = = 42 + (−3)2 5 5 ตอบ 0.8 วิเคราะห์ : ข้อนี้เช่นเคยครับน้องๆ เรื่องเรขาคณิตวิเคราะห์ ต้องทายาวกันหน่อย เพราะต้องวิเคราะห์อย่าง ละเอียดและทาเป็นขั้นเป็นตอน ทีสาคัญคือสูตรแหละครับ ที่ขาดไม่ได้เลย ฝึกทาแล้วต้องจาสูตรให้ได้ด้วย นะครับ ถ้า ผู้ชาย 4 คน ขุดหลุม 4 หลุม ใช้ เวลา 8 วัน แล้วผู้ชายคนเดียวขุดหลุมครึ่งหลุมใช้ เวลากี่วัน ?
  • 55.
    เฉลยข้อสอบวิชาคณิตศาสตร์ โควตา ม.ขอนแก่น ปีการศึกษา 2550 โดย พี่เปี๊ยก 55 𝟓. กาหนดให้ 𝒂, 𝒃 เป็นคาตอบสมการ 𝒍𝒐𝒈 𝟓 𝒙 + 𝟐 𝒍𝒐𝒈 𝒙 𝟓 = 𝟑 โดยที่ 𝒂 < 𝑏 ถ้า 𝑰+ แทนเซตของจานวน เต็มบวก และ 𝑨 = {𝒙 ∈ 𝑰+|𝒙 ∈ [𝒂, 𝒃] และ 𝟑 หาร 𝒙 ลงตัว} แล้วจงหาจานวนสมาชิกของเซต 𝑨 เฉลย 𝑙𝑜𝑔5 𝑥 + 2𝑙𝑜𝑔 𝑥 5 = 3 2 1 𝑙𝑜𝑔5 𝑥 + = 3 (จาก 𝑙𝑜𝑔 𝑎 𝑏 = ) 𝑙𝑜𝑔 5 𝑥 𝑙𝑜𝑔 𝑏 𝑎 ให้ 𝐴 = 𝑙𝑜𝑔5 𝑥 จะได้ว่า 2 𝐴+ 𝐴=3 𝐴2 + 2 = 3𝐴 𝐴2 − 3𝐴 + 2 = 0 (𝐴 − 2)(𝐴 − 1) = 0 𝐴 = 2, 𝐴 = 1 ดังนั้น 𝑙𝑜𝑔5 𝑥 = 2 ⟹ 𝑥 = 52 ⟹ 𝑥 = 25 (จาก 𝑙𝑜𝑔 𝑎 𝑥 = 𝑏 ⟹ 𝑥 = 𝑎 𝑏 ) จาก 𝑙𝑜𝑔5 𝑥 = 1 ⟹ 𝑥 = 51 ⟹ 𝑥 = 5 แสดงว่า 𝑎 = 5, 𝑏 = 25 (โจทย์ให้ 𝑎 < 𝑏) ต่อไปพิจารณาเซต 𝐴 = {𝑥 ∈ 𝐼 +|𝑥 ∈ [𝑎, 𝑏] และ 3 หาร 𝑥 ลงตัว} พิจารณา 𝑥 ∈ [𝑎, 𝑏] = [5, 25] ⟹ 𝑥 = 5, 6, 7, 8, … , 25 และ 3 หาร 𝑥 ลงตัวจะได้ 𝑥 ทั้งหมดคือ 𝑥 = 6, 9, 12, 15, 18, 21, 24 จานวนสมาชิกของ 𝐴 คือ 7 ตอบ 7 วิเคราะห์ : ไม่ยากครับข้อนี้ได้คะแนนเน้นๆแบบง่ายๆ ไม่ยุ่งยากซับซ้อนเท่าใดนัก และเรื่องลอการิทึมและ เอกซ์โปเนนเชียลต้องแม่นซักหน่อยนะครับ ถ้าทาบ่อยก็คงไม่มีปัญหาครับ มีคนรักอยู่ไกลเอาใจยาก แฟนเขามากเราไม่รู้ดูไม่เห็น ความรักเขาเปรียบเสมือนสายลมเย็น เมื่อไม่เห็นหน้าเราเขาก็ลืม แฟนเขามากเราไม่รู้ดูไม่เห็น ความรักเขาเปรียบเสมือนสายลมวามรักเขาเปรียบเสมือนสายลมเย็น เมื่อไม่เห็นหน้าเราเขา
  • 56.
    เฉลยข้อสอบวิชาคณิตศาสตร์ โควตา ม.ขอนแก่น ปีการศึกษา 2550 โดย พี่เปี๊ยก 56 𝟔. ให้ 𝑨𝑩𝑪𝑫 เป็นสี่เหลี่ยมด้านขนาน 𝑴 และ 𝑵 เป็นจุดบนด้าน 𝑩𝑪 และ 𝑪𝑫 ตามลาดับโดยที่ อัตราส่วน 𝑩𝑴: 𝑴𝑪 = 𝑫𝑵: 𝑵𝑪 = 𝟏: 𝟐 ถ้า 𝑨𝑪 = 𝜶𝑨𝑴 + 𝜷𝑨𝑵 แล้วจงหาค่า 𝜶 + 𝜷 เฉลย 𝐴 𝐵 𝑀 𝐷 𝑁 𝐶 ดูภาพประกอบเลยนะครับ ตอนแรกเราต้องทาความเข้าใจเกี่ยวกับเวกเตอร์เล็กน้อย เมื่อกล่าวถึง 𝐴𝐵 หมายถึง เวกเตอร์ที่มีจุดเริ่มต้นที่จุด 𝐴 และมีจุด ปลายที่ 𝐵 เวกเตอร์จะเท่ากันก็ต่อเมื่อ มีทิศทางเดียวกัน และขนานกันด้วย ในภาพเราจะสังเกตเห็นว่า 𝐴𝐵 = 𝐷𝐶 และสังเกตได้อีกว่า 𝐵𝑀 = 1 𝐵𝐶 เพราะ 𝐵𝑀: 𝑀𝐶 = 1: 2 จึงแบ่ง 𝐵𝐶 3 ออกเป็นสามส่วนเท่าๆกัน และ 𝐵𝑀 ก็จะเป็นหนึ่งในสามของทั้งหมดนั่นเอง ตอนนี้เราจะเริ่มหาแล้วนะครับ เนื่องจาก 𝐴𝑀 = 𝐴𝐵 + 𝐵𝑀 = 𝐴𝐵 + 1 𝐵𝐶 และ 𝐴𝑁 = 𝐴𝐷 + 𝐷𝑁 = 𝐵𝐶 + 1 𝐷𝐶 = 𝐵𝐶 + 1 𝐴𝐵 3 3 3 1 1 4 4 4 4 ดังนั้น 𝐴𝑀 + 𝐴𝑁 = 𝐴𝐵 + 3 𝐵𝐶 + 𝐵𝐶 + 3 𝐴𝐵 = 3 𝐴𝐵 + 3 𝐵𝐶 = 3 ( 𝐴𝐵 + 𝐵𝐶) = 3 𝐴𝐶 3 นั่นคือ 𝐴𝐶 = 4 𝐴𝑀 + 3 𝐴𝑁 จะได้ 𝛼 = 3 , 𝛽 = 3 ⟹ 𝛼 + 𝛽 = 3 + 3 = 6 = 3 4 4 4 4 4 4 2 ตอบ 1.5 วิเคราะห์ : เรื่องเวกเตอร์ที่ออกประมาณนี้ก็เห็นเยอะเหมือนกันครับ แต่ถ้าเราทาไม่ถูกทางก็งมอยู่นาน เหมือนกัน ทาให้เสียเวลาเยอะ เพราะโจทย์ประเภทนี้ทาได้หลากหลายทางแต่จะได้คาตอบเดียวกัน และส่วน ใหญ่ก็จะไปไม่ถึงฝั่งกันครับ เพราะฉะนั้นมีหนทางเดียวที่จะพิชิตโจทย์ประเภทนี้ได้คือ ทาบ่อยๆครับ รักคนบ้านไกลเอาใจยาก แฟนเขามากเราไม่รู้ดูไม่เห็น เขารักเราเขาก็รักคนอื่นเป็น เขาไม่เห็นหน้าเราเขาก็ลืม
  • 57.
    เฉลยข้อสอบวิชาคณิตศาสตร์ โควตา ม.ขอนแก่น ปีการศึกษา 2550 โดย พี่เปี๊ยก 57 𝟕. ให้ 𝑨 = {𝒛|𝒛 𝟐 − (𝟐 − 𝒊)𝒛 − 𝟐𝒊 = 𝟎} และ 𝑩 = {𝒛|𝒛 𝟐 = 𝟓 − 𝟏𝟐𝒊} ถ้า 𝑪 = { 𝒛 𝟐 |𝒛 ∈ 𝑨 ∪ 𝑩} แล้วจงหาค่าผลบวกของสมาชิกของ 𝑪 เฉลย พิจารณาหาคาตอบของสมการ 𝑧 2 − (2 − 𝑖)𝑧 − 2𝑖 = 0 จากสูตร −𝑏 ± 𝑏 − 4𝑎𝑐 𝑧= 2𝑎 จากสมการจะได้ 𝑎 = 1, 𝑏 = −(2 − 𝑖), 𝑐 = −2𝑖 ดังนั้น 2− 𝑖±−(2 − 𝑖) 2 − 4(1)(−2𝑖) 𝑧= 2(1) 2 − 𝑖 ± 4 − 4𝑖 + 𝑖 2 + 8𝑖 = 2 2 − 𝑖 ± 4𝑖 + 3 𝑧= ________(∗) 2 พิจารณารากของสมการ 𝑧 2 = 𝑎 + 𝑏𝑖 คือ 𝑟+ 𝑎 𝑟− 𝑎 𝑧=± + 𝑖 2 2 โดย 𝑟 = 𝑧 = 𝑎2 + 𝑏 2 ดังนั้นเราจะหา 3 + 4𝑖 จากสูตร 𝑟+ 𝑎 𝑟− 𝑎 𝑧= + 𝑖 (ทาไมต้องเป็นค่าบวกคิดหน่อยนะ) 2 2 5+3 5−3 𝑧= + 𝑖 = 2− 𝑖 2 2 จาก (∗) จะได้ว่า 2 − 𝑖 ± (2 − 𝑖) 2− 𝑖+2+ 𝑖 2− 𝑖−2− 𝑖 𝑧= คาตอบมีสองค่าคือ 𝑧 = และ 𝑧 = = −𝑖 2 2 2 พิจารณา 𝐵 = {𝑧|𝑧 2 = 5 − 12𝑖} พิจารณาคาตอบของ 𝑧 2 = 5 − 12𝑖 ดังนี้
  • 58.
    เฉลยข้อสอบวิชาคณิตศาสตร์ โควตา ม.ขอนแก่น ปีการศึกษา 2550 โดย พี่เปี๊ยก 58 𝑟+ 𝑎 𝑟− 𝑎 𝑧=± + 𝑖 2 2 13 + 5 13 − 5 =± + 𝑖 2 2 = ±(3 + 2𝑖) 𝑧 = 3 + 2𝑖, 𝑧 = −3 − 2𝑖 ดังนั้น 𝐴 ∪ 𝐵 = {2, −𝑖, 3 + 2𝑖, −3 − 2𝑖} พิจารณา 𝐶 = { 𝑧 2 |𝑧 ∈ 𝐴 ∪ 𝐵} ถ้า 𝑧 = 2 ⟹ 𝑧 = 22 + 02 = 2 ⟹ 𝑧 2 = 22 = 4 ถ้า 𝑧 = −𝑖 ⟹ 𝑧 = 02 + (−1)2 = 1 ⟹ 𝑧 2 = 1 2 ถ้า 𝑧 = 3 + 2𝑖 ⟹ 𝑧 = 32 + 22 = 13 ⟹ 𝑧 2 = 3 = 13 2 2 ถ้า 𝑧 = −3 − 2𝑖 ⟹ 𝑧 = −3 2 + −2 2 = 13 ⟹ 𝑧 = 3 = 13 ดังนั้น 𝐶 = {4, 1, 13} ผลบวกของสมาชิกในเซต 𝐶 คือ 4 + 1 = 13 = 18 ตอบ 18 วิเคราะห์ : เรื่องจานวนเชิงซ้อนเป็นเรื่องใหญ่พอสมควรแต่สังเกตเห็นไหมว่าในข้อนี้ ใช้สูตรหาคาตอบ เหมือนเรื่องจานวนจริงถ้าเราจาได้ตั้งแต่เรื่องจานวนจริงก็ไม่จาเป็นต้องท่องอีก และเรื่องจานวนเชิงซ้อนยัง มีหัวข้ออื่นที่นามาออกข้อสอบบ่อยเช่น รากของจานวนเชิงซ้อน การยกกาลังของจานวนเชิงซ้อน คาตอบ ของสมการ เป็นต้น หัวกระโหลกกาลังมีแทงปอด ตีด้วยน็อตฟาดด้วยชามตามด้วยไห หนีบด้วยคีบจิ้มด้วยเกลือลนด้วยไฟ ทาอย่างไรก็ไม่หายคิดถึงเธอ 𝟖. ให้ 𝑮 เป็นกราฟที่มีเซตของจุดยอดเท่ากับเซตของจานวนเฉพาะหกตัวแรก โดยที่จุดยอด 𝒊 และ 𝒋 มีเส้นเชื่อม ระหว่างสองจุดยอดนี้ก็ต่อเมื่อ 𝒊 ≠ 𝒋 และ 𝒊 + 𝒋 < 10 จงหาจานวนเส้นที่น้อยที่สุดที่สามารถเพิ่มให้กับ 𝑮 เพื่อ ทาให้ 𝑮 เป็นกราฟออยเลอร์ เฉลย จากเงื่อนไขของโจทย์ถ้าลองวาดกราฟอย่างคร่าวๆ โดยการลงจุดและลงเส้น และเงื่อนไข 𝑖 ≠ 𝑗 และ 𝑖 + 𝑗 < 10 เราจะได้ดังภาพ 2 3 5 7 11 13
  • 59.
    เฉลยข้อสอบวิชาคณิตศาสตร์ โควตา ม.ขอนแก่น ปีการศึกษา 2550 โดย พี่เปี๊ยก 59 เนื่องจากกราฟออยเลอร์คือกราฟที่เราสามารถลากจากจุดเริ่มต้น(จุดใดก็ได้) ไปยังจุดสุดท้ายโดยที่ซ้าจุดเดิมได้แต่ห้ามซ้า เส้นและต้องกลับมา ณ จุดเริ่มต้นเสมอ เราจะอาศัยทฤษฎีบทหนึ่งที่สาคัญมากๆเกี่ยวกับกราฟออยเลอร์นั่นคือ กราฟจะเป็นกราฟออยเลอร์ได้ก็ต่อเมื่อดีกรีทุกจุดในกราฟเป็นคู่หมด ดังนั้นเราจะต้องเพิ่มเส้นเชื่อมให้น้อยที่สุดเพื่อทุกจุดมีดีกรีเป็นคู่นั่นเอง ทาได้หลายวิธีแต่ใช้อย่างน้อยที่สุดคือ 3 เส้นดังภาพ 2 3 5 7 11 13 ตอบ 3 วิเคราะห์ : เรื่องกราฟอาจเป็นเรื่องใหม่สาหรับทุกคน เพราะเพิ่งเพิ่มเข้ามาในหลักสูตรเมื่อไม่กี่ปีที่ผ่านมา ตอนพี่เรียนมัธยมก็ไม่เคยได้เรียนเลย เพิ่มมาเรียนตอนเรียนปริญญาตรีนี่เอง เรื่องกราฟถ้าสังเกตแล้วก็ ไม่ใช่เรื่องใหญ่อะไร อ่านแป็บเดียวก็น่าจะเสร็จ และข้อสอบก็เลือกที่จะออกไม่ยากนัก ส่วนใหญ่ก็วนอยู่กับ กราฟออยเลอร์เนี่ยแหละครับ แต่อย่าลืมทุกส่วนก็มีความสาคัญไม่น้อยเหมือนกัน ไม่อยากเป็นบิ๊กเเอสเล่นของสูง ไม่อยากเป็นเเคลชที่ถามหาไออุ่นรัก ไม่อยากเป็นไอนําที่อกหัก เเค่อยากเป็นคนที่ถูกรักเหมือนบอดี้สเเลม 𝟗. กาหนดจุด 𝟗 จุดบนเส้นรอบวงกลมวงหนึ่ง ถ้า 𝒙 และ 𝒚 เป็นจานวนรูปหลายเหลี่ยมที่บรรจุภายในวงกลม โดยใช้จุดเหล่านี้เป็นจุดยอดมุมและมีจานวนเหลี่ยมเป็นคี่ และคู่ตามลาดับแล้วจงหาค่า 𝒙 − 𝒚 เฉลย เมื่อวาดรูปวงกลมและมีจุด 9 จุดเป็นจุดบนเส้นรอบวงดังภาพ
  • 60.
    เฉลยข้อสอบวิชาคณิตศาสตร์ โควตา ม.ขอนแก่น ปีการศึกษา 2550 โดย พี่เปี๊ยก 60 ให้ 𝑥 เป็นจานวนรูปหลายเหลี่ยมที่มีจานวนเหลี่ยมเป็นคี่ มีความเป็นไปได้คือ 3, 5, 7, 9 เหลี่ยม กรณี 3 เหลี่ยมมีได้ทั้งหมด 9 = 84 รูป 3 กรณี 5 เหลี่ยมมีได้ทั้งหมด 9 = 126 รูป 5 กรณี 7 เหลี่ยมมีได้ทั้งหมด 9 = 36 รูป 7 กรณี 9 เหลี่ยมมีได้ทั้งหมด 9 = 1 รูป 9 ดังนั้น 𝑥 = 84 + 126 + 36 + 1 = 247 ให้ 𝑦 เป็นจานวนรูปหลายเหลี่ยมที่มีจานวนเหลี่ยมเป็นคี่ มีความเป็นไปได้คือ 4, 6, 8 เหลี่ยม กรณี 4 เหลี่ยมมีได้ทั้งหมด 9 = 21 รูป 4 กรณี 6 เหลี่ยมมีได้ทั้งหมด 9 = 84 รูป 6 กรณี 8 เหลี่ยมมีได้ทั้งหมด 9 = 9 รูป 8 ดังนั้น 𝑦 = 21 + 84 + 9 = 144 ดังนั้น 𝑥 − 𝑦 = 247 − 144 = 133
  • 61.
    เฉลยข้อสอบวิชาคณิตศาสตร์ โควตา ม.ขอนแก่น ปีการศึกษา 2550 โดย พี่เปี๊ยก 61 ตอบ 133 วิเคราะห์ : เรื่องนี้เราประยุกต์ใช้กับการเลือก ซึ่งถ้าเคยทาข้อประมาณนี้ก็คิดไม่ยากเลยครับ คิดเลขนิดเดียว ก็ได้คะแนนตั้ง 𝟑 คะแนนแล้ว อย่างนี้ต้องฝึกทาโจทย์ประเภทนี้บ่อยๆนะครับ เทอคบคายรักคายฉันม่ายว่า แต่อย่ามาควงแขนหั้ยฉานเหง ฉานม่ายช่ายมนุษย์ที่จายเย็น ถ้าฉานเหงถีบกระเด็นทั้งคู่ไม่รู้ตัว 𝟏𝟎. คะแนนสอบวิชาคณิตศาสตร์และภาษาไทยมีการแจกแจงแบบปกติและมีมัธฐานเท่ากัน เด็กหญิงดาว พบว่าคะแนนในวิชาคณิตศาสตร์ของตนอยู่เปอร์เซ็นไทล์ที่ 𝟕𝟖. 𝟖𝟏 ซึ่งเท่ากับเปอร์เซ็นไทล์ของคะแนน ภาษาไทยที่ได้พอดี แต่คะแนนคณิตศาสตร์นั้นมากกว่าคะแนนภาษาไทยอยู่ 𝟐𝟎 คะแนน ถ้า 𝑨 และ 𝑩 เป็นส่วน เบี่ยงเบนมาตราฐานของคะแนนวิชาคณิตศาสตร์และภาษาไทยตามลาดับ แล้ว จงหาค่าของ 𝑨 − 𝑩 𝒛 𝟎. 𝟕𝟎 𝟎. 𝟖𝟎 𝟎. 𝟗𝟎 พื้นที่ใต้เส้นโค้ง 𝟎. 𝟐𝟓𝟖𝟎 𝟎. 𝟐𝟖𝟖𝟏 𝟎. 𝟑𝟏𝟓𝟗 เฉลย เนื่องจากทั้งสองวิชามีการแจกแจงปกติ และมัธยฐานเท่ากัน ดังนั้น จึงมีค่าเฉลี่ยเลขคณิตเท่ากันด้วย เนื่องจากคะแนนวิชาคณิตศาสตร์อยู่เปอร์เซ็นไทล์ที่ 78.81 คิดเป็นพื้นที่ใต้เส้นโค้งปกติ 0.7881 ดังภาพ พิจารณาคะแนนคณิตศาสตร์ 𝑥−𝜇 𝑥−𝜇 𝑥−𝜇 จากสูตร 𝑧 = 𝜎 ⟹ 𝑧= 𝐴 ⟹ 𝐴= 𝑧 ______(1) พิจารณาคะแนนภาษาไทย 𝑥−𝜇 𝑦−𝜇 𝑥−20−𝜇 𝑥−20−𝜇 จากสูตร 𝑧 = 𝜎 ⟹ 𝑧= 𝐵 = 𝐵 ⟹ 𝐵= 𝑧 _________(2)
  • 62.
    เฉลยข้อสอบวิชาคณิตศาสตร์ โควตา ม.ขอนแก่น ปีการศึกษา 2550 โดย พี่เปี๊ยก 62 จากโจทย์ต้องการหาค่า 𝐴 − 𝐵 เราจะหาจาก (1) − (2) 20 20 𝐴− 𝐵= = = 25 𝑧 0.8 ตอบ 25 วิเคราะห์ : เรื่องนี้ก็ยากสาหรับผมครับเพราะผมไม่ค่อยชอบเรื่องนี้เป็นทุกเดิมอยู่แล้ว แต่ถ้าได้ทบทวนก็คิด ว่าไม่เกินความสามารถหรอกครับ น้องๆก็เหมือนเรื่องสถิติเป็นเรื่องสาคัญมากๆ เพราะเรียนตั้งแต่ม . 𝟑 ยัน ม.𝟔 กันเลยทีเดียว และออกข้อสอบหลายข้อเลยทีเดียวเรื่องนี้อาจจาเป็นต้องท่องสูตรสักหน่อยแต่ถ้าขยัน อ่านขยันท่องก็ไม่เกินความสามารถหรอกครับ I love you คู่ฟ้าสตาร์ดับ The sun ลับขอบฟ้าหมดราศี and the moon สิ้นแสงแห่งราตรี But for me I love you รู้หรือยัง พีหวังว่าทุกคนคงได้อะไรบ้างจากการอ่านเอกสารเล่มนี้ ถ้ามีอะไรผิดพลาด ก็ขออภัยด้วย หวังว่าโอกาสหน้าคงได้ปรับปรุงตัวใหม่และ ่ ทําให้ดีกว่านี้ ถ้ามีอะไรที่อยากแนะนํา กรุณาเมลล์มาที่ mercedesbenz_3010@hotmail.com ขอบคุณคร้าบ