Page1of24(AZ)
BANGLADESH UNIVERSITY OF TEXTILES
TEJGAON, DHAKA-1208
B.Sc. in Textile Engineering
Electrical and Electronic Engineering
EEE-3
 Sinusoids and Phasors
 AC Power Analysis
Date: 20/02/2017
Page2of24(AZ)
Question
1.3) What is sinusoids and phasor ? What is the significance of the symbol v(t) and V.
2.3) Show that in case of inductor the current lags the voltage by 900
but in case of capacitor the current
leads the voltage by 900
. What is the phase difference between the current and voltage for resistor?
3.3) Show that the inductor is an open circuit but capacitor is a short circuit to high frequencies (AC). But at
low frequency (i.e. at DC) inductor is a short circuit but capacitor is an open circuit.
4.3) Define the following terms: resistance, inductance, capacitance, impedance, admittance, conductance,
reactance and susceptance.
5.3) Derive the equation of energy stored by inductor and capacitor.
6.3) Prove that a resistive (R) load absorbs power at all times, while a reactive (L or C) load absorbs zero
average power. Also show the flow power curve.
7.3) What is RMS or effective value? What is the significance of average value and RMS value of waveform?
8.3) Define form factor, crest factor, complex, apparent, real and reactive power.
9.3) Draw the power triangle and impedance triangle.
10.3) What is power factor? Why correction of power factor is necessary? Explain with example.
Page3of24(AZ)
Problem
11.3) Find the phasors corresponding to the following signals:
(a) v(t)=21cos(4t-15o
)V
(b) i(t)=-8sin(10t+70o
)mA
(c) v(t)=120sin(10t–50o
)V
(d) i(t)=-60cos(30t+10o
)mA
Solution:
12.3) Obtain the sinusoids corresponding to each of the following phasors:
(a) V1=60∠15o
V, ω=1
(b) V2 =6+j8V, ω=40
(c) I1 =2.8e-jπ/3
A, ω=377
(d) I 2 =-0.5– j1.2A, ω =103
Solution:
13.3) Given v1=20Sin(ωt+60◦
) and v2=60Cos(ωt−10◦
), determine the phase angle between the two sinusoids
and which one lags the other.
Solution:
Page4of24(AZ)
14.3) For the following pairs of sinusoids, determine which one leads and by how much.
(a) v(t)=10Cos(4t−60◦
) and i(t)=4Sin(4t+50◦
)
(b) v1(t)=4Cos(377t+10◦
) and v2(t)=−20Cos377t
(c) x(t)=13Cos2t+5Sin2t and y(t)=15Cos(2t−11.8◦
)
Solution:
15.3) A series RLC circuit has R=80Ω, L =240 mH, and C=5 mF. If the input voltage is v(t)=10cos2t find
the currrent flowing through the circuit.
Solution:
Page5of24(AZ)
16.3) In the circuit of Fig. 9.43, determine i. Let v = 60cos(200t - 10o
)V.
Solution:
17.3) An alternating voltage is given by v(t)=20cos(5t-30o
)V. Use phasors to find
Assume that the value of the integral is zero at t = - ∞.
Solution:
Page6of24(AZ)
18.3) Using phasors, determine i(t) in the following equations:
Solution:
19.3) If v(t)=160cos50t V and i(t)=–20sin(50t–30°)A, calculate the instantaneous power and the average
power.
Solution:
Page7of24(AZ)
20.3) Assuming that vs=8cos(2t–40º)V in the circuit of Fig. 11.37, find the average power delivered to each
of the passive elements.
Solution:
Converting the circuit into the frequency domain, we get:
Page8of24(AZ)
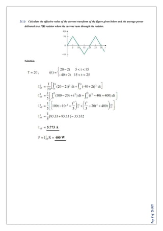
21.3) Calculate the effective value of the current waveform of the figure given below and the average power
delivered to a 12Ω resistor when the current runs through the resistor.
Solution:
Page9of24(AZ)
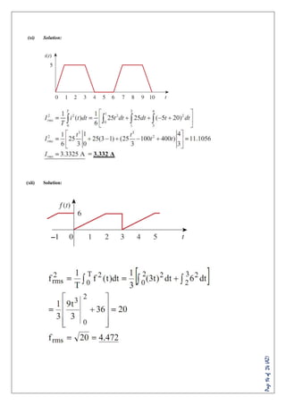
22.3) Find the rms value of the waveform.
(i) Solution:
(ii) Solution:
Page10of24(AZ)
(iii) Solution:
(iv) Solution:
Page11of24(AZ)
(v) Solution:
(vi) Solution:
Page12of24(AZ)
(vii) Solution:
(viii) Solution:
Page13of24(AZ)
(ix) Solution:
(x) Solution:
Page14of24(AZ)
(xi) Solution:
(xii) Solution:
Page15of24(AZ)
(xiii) Solution:
23.3) Determine the rms value of the current waveform in Fig. 11.14. If the current is passed through a 2
Ohm resistor, find the average power absorbed by the resistor.
Solution:
Page16of24(AZ)
24.3) Find the rms value of the current waveform of Fig. 11.15. If the current flows through a resistor,
calculate the average power absorbed by the resistor. [Answer: 9.238 A, 768 W]
Solution:
Page17of24(AZ)
25.3) Determine the average value, rms value, form factor and amplitude factor of the following waveform.
Find the amount of average power dissipated in a 10Ω resistor.
Solution:
Page18of24(AZ)
26.3) Find the rms value of the full-wave rectified sine wave in Fig. 11.17. Calculate the average power
dissipated in a resistor. [Answer: 70.71V, 833.3W]
Solution:
27.3) A 110-V rms, 60Hz source is applied to a load impedance Z. The apparent power entering the load is
120VA at a power factor of 0.707 lagging.
(a) Calculate the complex power.
(b) Find the rms current supplied to the load.
(c) Determine Z.
(d) Assuming that Z = R + jωL, find the values of R and L.
Solution:
Page19of24(AZ)
28.3) Determine the complex power for the following cases:
(a) P = 269 W, Q = 150 VAR (capacitive)
(b) Q = 2000 VAR, pf = 0.9 (leading)
(c) S = 600 VA, Q = 450 VAR (inductive)
(d) Vrms = 220 V, P = 1 kW,
(e) |Z| = 40 Ω(inductive)
Solution:
Page20of24(AZ)
29.3) Find the complex power for the following cases:
Solution:
Page21of24(AZ)
30.3) For the entire circuit in Figure, calculate:
(a) the power factor
(b) the average power delivered by the source
(c) the reactive power
(d) the apparent power
(e) the complex power
Solution:
Page22of24(AZ)
31.3) A series-connected load draws a current i(t)=4cos(100πt+10◦
)A when the applied voltage is
v(t)=120cos(100πt−20◦
)V. Find the apparent power and the power factor of the load. Determine the
element values that form the series-connected load.
Solution:
32.3) The voltage across a load is v(t)=60cos(ωt−10◦
)V and the current through the element in the direction
of the voltage drop is i(t)=1.5cos(ωt +50◦
)A. Find: (a) the complex and apparent powers, (b) the real and
reactive powers, and (c) the power factor and the load impedance.
Solution:
Page23of24(AZ)
33.3) A load Z draws 12kVA at a power factor of 0.856 lagging from a 120V rms sinusoidal source.
Calculate: (a) the average and reactive powers delivered to the load, (b) the peak current, and (c) the load
impedance.
Solution:
34.3) Find the wattmeter reading of the circuit in Fig. 11.32.
Solution:
Page24of24(AZ)
35.3) (i) Why Battery is rated in Ah (Ampere hour) and not in VA?
(ii) Why Motor is rated in kW/Horsepower instead of kVA?
(iii) Why Alternator/Generator Rated in kVA. Not in kW?
Answer:

EEE 3

  • 1.
    Page1of24(AZ) BANGLADESH UNIVERSITY OFTEXTILES TEJGAON, DHAKA-1208 B.Sc. in Textile Engineering Electrical and Electronic Engineering EEE-3  Sinusoids and Phasors  AC Power Analysis Date: 20/02/2017
  • 2.
    Page2of24(AZ) Question 1.3) What issinusoids and phasor ? What is the significance of the symbol v(t) and V. 2.3) Show that in case of inductor the current lags the voltage by 900 but in case of capacitor the current leads the voltage by 900 . What is the phase difference between the current and voltage for resistor? 3.3) Show that the inductor is an open circuit but capacitor is a short circuit to high frequencies (AC). But at low frequency (i.e. at DC) inductor is a short circuit but capacitor is an open circuit. 4.3) Define the following terms: resistance, inductance, capacitance, impedance, admittance, conductance, reactance and susceptance. 5.3) Derive the equation of energy stored by inductor and capacitor. 6.3) Prove that a resistive (R) load absorbs power at all times, while a reactive (L or C) load absorbs zero average power. Also show the flow power curve. 7.3) What is RMS or effective value? What is the significance of average value and RMS value of waveform? 8.3) Define form factor, crest factor, complex, apparent, real and reactive power. 9.3) Draw the power triangle and impedance triangle. 10.3) What is power factor? Why correction of power factor is necessary? Explain with example.
  • 3.
    Page3of24(AZ) Problem 11.3) Find thephasors corresponding to the following signals: (a) v(t)=21cos(4t-15o )V (b) i(t)=-8sin(10t+70o )mA (c) v(t)=120sin(10t–50o )V (d) i(t)=-60cos(30t+10o )mA Solution: 12.3) Obtain the sinusoids corresponding to each of the following phasors: (a) V1=60∠15o V, ω=1 (b) V2 =6+j8V, ω=40 (c) I1 =2.8e-jπ/3 A, ω=377 (d) I 2 =-0.5– j1.2A, ω =103 Solution: 13.3) Given v1=20Sin(ωt+60◦ ) and v2=60Cos(ωt−10◦ ), determine the phase angle between the two sinusoids and which one lags the other. Solution:
  • 4.
    Page4of24(AZ) 14.3) For thefollowing pairs of sinusoids, determine which one leads and by how much. (a) v(t)=10Cos(4t−60◦ ) and i(t)=4Sin(4t+50◦ ) (b) v1(t)=4Cos(377t+10◦ ) and v2(t)=−20Cos377t (c) x(t)=13Cos2t+5Sin2t and y(t)=15Cos(2t−11.8◦ ) Solution: 15.3) A series RLC circuit has R=80Ω, L =240 mH, and C=5 mF. If the input voltage is v(t)=10cos2t find the currrent flowing through the circuit. Solution:
  • 5.
    Page5of24(AZ) 16.3) In thecircuit of Fig. 9.43, determine i. Let v = 60cos(200t - 10o )V. Solution: 17.3) An alternating voltage is given by v(t)=20cos(5t-30o )V. Use phasors to find Assume that the value of the integral is zero at t = - ∞. Solution:
  • 6.
    Page6of24(AZ) 18.3) Using phasors,determine i(t) in the following equations: Solution: 19.3) If v(t)=160cos50t V and i(t)=–20sin(50t–30°)A, calculate the instantaneous power and the average power. Solution:
  • 7.
    Page7of24(AZ) 20.3) Assuming thatvs=8cos(2t–40º)V in the circuit of Fig. 11.37, find the average power delivered to each of the passive elements. Solution: Converting the circuit into the frequency domain, we get:
  • 8.
    Page8of24(AZ) 21.3) Calculate theeffective value of the current waveform of the figure given below and the average power delivered to a 12Ω resistor when the current runs through the resistor. Solution:
  • 9.
    Page9of24(AZ) 22.3) Find therms value of the waveform. (i) Solution: (ii) Solution:
  • 10.
  • 11.
  • 12.
  • 13.
  • 14.
  • 15.
    Page15of24(AZ) (xiii) Solution: 23.3) Determinethe rms value of the current waveform in Fig. 11.14. If the current is passed through a 2 Ohm resistor, find the average power absorbed by the resistor. Solution:
  • 16.
    Page16of24(AZ) 24.3) Find therms value of the current waveform of Fig. 11.15. If the current flows through a resistor, calculate the average power absorbed by the resistor. [Answer: 9.238 A, 768 W] Solution:
  • 17.
    Page17of24(AZ) 25.3) Determine theaverage value, rms value, form factor and amplitude factor of the following waveform. Find the amount of average power dissipated in a 10Ω resistor. Solution:
  • 18.
    Page18of24(AZ) 26.3) Find therms value of the full-wave rectified sine wave in Fig. 11.17. Calculate the average power dissipated in a resistor. [Answer: 70.71V, 833.3W] Solution: 27.3) A 110-V rms, 60Hz source is applied to a load impedance Z. The apparent power entering the load is 120VA at a power factor of 0.707 lagging. (a) Calculate the complex power. (b) Find the rms current supplied to the load. (c) Determine Z. (d) Assuming that Z = R + jωL, find the values of R and L. Solution:
  • 19.
    Page19of24(AZ) 28.3) Determine thecomplex power for the following cases: (a) P = 269 W, Q = 150 VAR (capacitive) (b) Q = 2000 VAR, pf = 0.9 (leading) (c) S = 600 VA, Q = 450 VAR (inductive) (d) Vrms = 220 V, P = 1 kW, (e) |Z| = 40 Ω(inductive) Solution:
  • 20.
    Page20of24(AZ) 29.3) Find thecomplex power for the following cases: Solution:
  • 21.
    Page21of24(AZ) 30.3) For theentire circuit in Figure, calculate: (a) the power factor (b) the average power delivered by the source (c) the reactive power (d) the apparent power (e) the complex power Solution:
  • 22.
    Page22of24(AZ) 31.3) A series-connectedload draws a current i(t)=4cos(100πt+10◦ )A when the applied voltage is v(t)=120cos(100πt−20◦ )V. Find the apparent power and the power factor of the load. Determine the element values that form the series-connected load. Solution: 32.3) The voltage across a load is v(t)=60cos(ωt−10◦ )V and the current through the element in the direction of the voltage drop is i(t)=1.5cos(ωt +50◦ )A. Find: (a) the complex and apparent powers, (b) the real and reactive powers, and (c) the power factor and the load impedance. Solution:
  • 23.
    Page23of24(AZ) 33.3) A loadZ draws 12kVA at a power factor of 0.856 lagging from a 120V rms sinusoidal source. Calculate: (a) the average and reactive powers delivered to the load, (b) the peak current, and (c) the load impedance. Solution: 34.3) Find the wattmeter reading of the circuit in Fig. 11.32. Solution:
  • 24.
    Page24of24(AZ) 35.3) (i) WhyBattery is rated in Ah (Ampere hour) and not in VA? (ii) Why Motor is rated in kW/Horsepower instead of kVA? (iii) Why Alternator/Generator Rated in kVA. Not in kW? Answer: