BEE
Unit – 2
AC Circuits
2.1 Representation Of Sinusoidal Waveforms, Peak, Rms And Average Values
(Form Factor And Peak Factor)
Peat to peak
value:
The value of
an alternating
quantity from
its positive
peak to
negative
peak
Amplitude =
peak to peak
values / 2
Average
Value:
The
arithmetic mean of all the value over complete one cycle is called as average value
=
For the derivation we are considering only hall cycle.
Thus varies from 0 to ᴫ
i = Im Sin
Solving
we get
Similarly, Vavg=
The average value of sinusoid ally varying alternating current is 0.636 times
maximum value of alternating current.
RMS value: Root mean square value
The
RMS
value
of AC
current is equal to the steady state DC current that required to produce the same
amount of heat produced by ac current provided that resistance and time for which
these currents flows are identical.
I rms =
Direction for RMS value:
Instantaneous current equation is given by
i = Im Sin
but
I rms =
=
=
=
Solving
=
=
Similar we can derive
V rms= or 0.707 Vm
the RMS value of sinusoidally alternating current is 0.707 times the maximum
value of alternating current.
Peak or krest factor (kp) (for numerical)
It is the ratio of maximum value to rms value of given alternating quantity
Kp =
Kp =
Kp = 1.414
Form factor (Kf): For numerical It is the ratio of RMS value to average value of given
alternating quality”.
2.2
Impedance of Series and Parallel Circuit
Let us first consider the simple parallel RLC circuit with DC excitation as shown in
the figure below.
For the sake of simplifying the process of finding the response we shall also assume
that the initial current in the inductor and the voltage across the capacitor are zero.
Then applying the Kirchhoff’s current law (KCL )( i = iC +iL ) to the common node we
get the following differential equation:
(V-v) /R = 1/L dt’ + C. dv/dt
where v = vC(t) = vL(t) is the variable whose value is to be obtained. When we
differentiate both sides of the above equation once with respect to time we get the
standard Linear second-order homogeneous differential equation
C. (d 2
v / dt 2
) + (1/R) ( dv/dt) + (1/L).v =0
(d 2
v / dt 2
) + (1/RC) ( dv/dt) + (1/LC).v =0
whose solution v(t) is the desired response.
This can be written in the form:
[s 2
+ (1/RC)s + (1/LC)].v(t) = 0 where ‘s’ is an operator equivalent to (d/dt) and the
corresponding characteristic equation is then given by :
[s 2
+ (1/RC)s + (1/LC)] = 0
This equation is usually called the auxiliary equation or the characteristic equation. If
it can be satisfied, then our assumed solution is correct. This is a quadratic equation
and the roots s1 and s2are given as :
s1= − 1/2RC+√[(1/2RC) 2
− 1/LC]
s2= − 1/2RC−√[ (1/2RC)2
− 1/LC ]
Series RLC circuit:
Applying KVL to the series RLC circuit shown in the figure above at t= 0 gives the
following basic relation :
V = vR(t) + vC(t ) + vL(t)
Representing the above voltages in terms of the current iin the circuit we get the
following integral differentia lequation:
Ri + 1/C∫ 𝒊𝒅𝒕 + L. (di/dt)= V
To convert it into a differential equation it is differentiated on both sides with respect
to time and we get
L(d2 i/dt2 )+ R(di/dt)+ (1/C)i = 0
This can be written in the form
[s2 + (R/L)s + (1/LC)].i = 0 where ‘s’ is an operator equivalent to (d/dt) And the
corresponding characteristic equation is then given by
[s2 + (R/L)s + (1/LC)] = 0
This is in the standard quadratic equation form and the rootss1ands2are given by
s1,s2 =− R/2L±√[(R/2L)2− (1/LC)]= −α ±√(α 2– ω0 2 )
where α is known as the same exponential damping coefficient and
ω0is known as the same Resonant frequency
as explained in the case of Parallel RLC circuit and are given by :
α = R/2L and ω0= 1/ √LC and A1 and A2must be found by applying the given initial
conditions.
Here also we note three basic scenarios with the equations for s1 and s2 depending
on the relative sizes of αand ω0 (dictated by the values of R, L, and C).
CaseA: α > ω0,i.e when (R/2L) 2>1/LC , s1 and s2 will both be negative real
numbers, leading to what is referred to as an over damped response given by : i (t)
= A1e s1t
+ A2e s2t
. Sinces1 and s2 are both be negative real numbers this is the
(algebraic) sum of two decreasing exponential terms. Since s2 is a larger negative
number it decays faster and then the response is dictated by the first term A1e s1t
.
Case B : α = ω0, ,i.e when (R/2L) 2=1/LCs1 and s2are equal which leads to what is
called a critically damped response given by : i (t) = e −αt (A1t + A2) Case
C : α < ω0,i.e when (R/2L) 2
2.3 Phasor Representation, Real Power, Reactive Power, Apparent
Power, Power Factor, Power Triangle
Apparent power : (S):- it is defined as product of rms value of voltage (v) and current (I), or it

is the total power/maximum power
S= V × I
Unit - Volte- Ampere (VA)
In kilo – KVA
2. Real power/ True power/Active power/Useful power : (P) it is defined as the
product of rms value of voltage and current and the active component or it is the
average or actual power consumed by the resistive path (R) in the given
combinational circuit.
It is measured in watts
P = VI Φ watts / KW, where Φ is the power factor angle.
3. Reactive power/Imaginary/useless power [Q]
It is defined as the product of voltage, current and sine B and I
Therefore,
Q= V.I Φ
Unit –V A R
In kilo- KVAR
As we know power factor is cosine of angle between voltage and current
i.e. ɸ. F = cos ɸ
In other words, also we can derive it from impedance triangle
Now consider Impedance triangle in R.L.ckt
From triangle ,
Now Φ – power factor=
Power factor = Φ or
Resonance with Definition, condition and derivation
Resonance in series RLC circuit
Definition:
It is defined as the phenomenon which takes place in the series or parallel R-L-C
circuit which leads to unity power factor
Voltage and current in R-L-C ckt are in phase with each other.
Resonance is used in many communication circuits such as radio receiver.
Resonance in series RLC -> series resonance in parallel->antiresonance/parallel
resonance
Condition for resonance
XL=XC
Resonant frequency (fr): For given values R-L-C the inductive reactance XL becomes
exactly equal to the capacitive reactance XC only at one particular frequency. This
frequency is called as resonant frequency and denoted by ( fr)
Expression for resonant frequency (fr)
We know that
XL = - inductive reactance
capacitive reactance
At a particle or frequency f=fr,the inductive and capacitive reactance are exactly
equal
Therefore, XL = XC ----at f=fr
i.e.
Therefore,
and rad/sec
2.4 Analysis Of Single-Phase Ac Circuits Consisting Of R, L, C, Rl,
Rc, Rlc Combinations (Series And Parallel)
3 Basic element of AC circuit.
1] Resistance
2] Inductance
3] Capacitance
Each element produces opposition to the flow of AC supply in forward manner.
Reactance
Inductive Reactance (X
 L)
It is opposition to the flow of an AC current offered by inductor.
XL = ω L But ω = 2 ᴫ F
XL = 2 ᴫ F L
It is measured in ohm
XL∝FInductor blocks AC supply and passes dc supply zero
2. Capacitive Reactance (Xc)
It is opposition to the flow of ac current offered by capacitor
Xc =
Measured in ohm
Capacitor offers infinite opposition to dc supply
Impedance (Z)
The ac circuit is to always pure R pure L and pure C it well attains the combination of
these elements. “The combination of R1 XL and XC is defined and called as
impedance represented as
Z = R +i X
Ø = 0
only magnitude
R = Resistance, i = denoted complex variable, X =Reactance XL or Xc
Polar Form
Z = L I
Where =
Measured in ohm
Power factor (P.F.)
It is the cosine of angle between voltage and current
If Ɵis –ve or lagging (I lags V) then lagging P.F.
If Ɵ is +ve or leading (I leads V) then leading P.F.
If Ɵ is 0 or in phase (I and V in phase) then unity P.F.
Ac circuit containing pure resisting
Consider Circuit Consisting pure resistance connected across
ac voltage source
V = Vm Sin ωt ①
According to ohm’s law i = =
But Im =
②
Phases diagram
From ① and ② phase or represents RMD value.
Power P = V. i
Equation P = Vm sin ω t Im sin ω t
P = Vm Im Sin2
ω t
P = -
Constant fluctuating power if we integrate it becomes zero
Average power
Pavg = Pavg =
Pavg = Vrms Irms
Power ware form [Resultant]
Ac circuit containing pure Inductors
Consider pure
Inductor (L) is
connected across
alternating
voltage. Source
V = Vm Sin ωt
When an
alternating
current flow through inductance it set ups alternating
magnetic flux around the inductor.
This changing the flux links the coil and self-induced emf is produced According to
faradays Law of E M I
e =
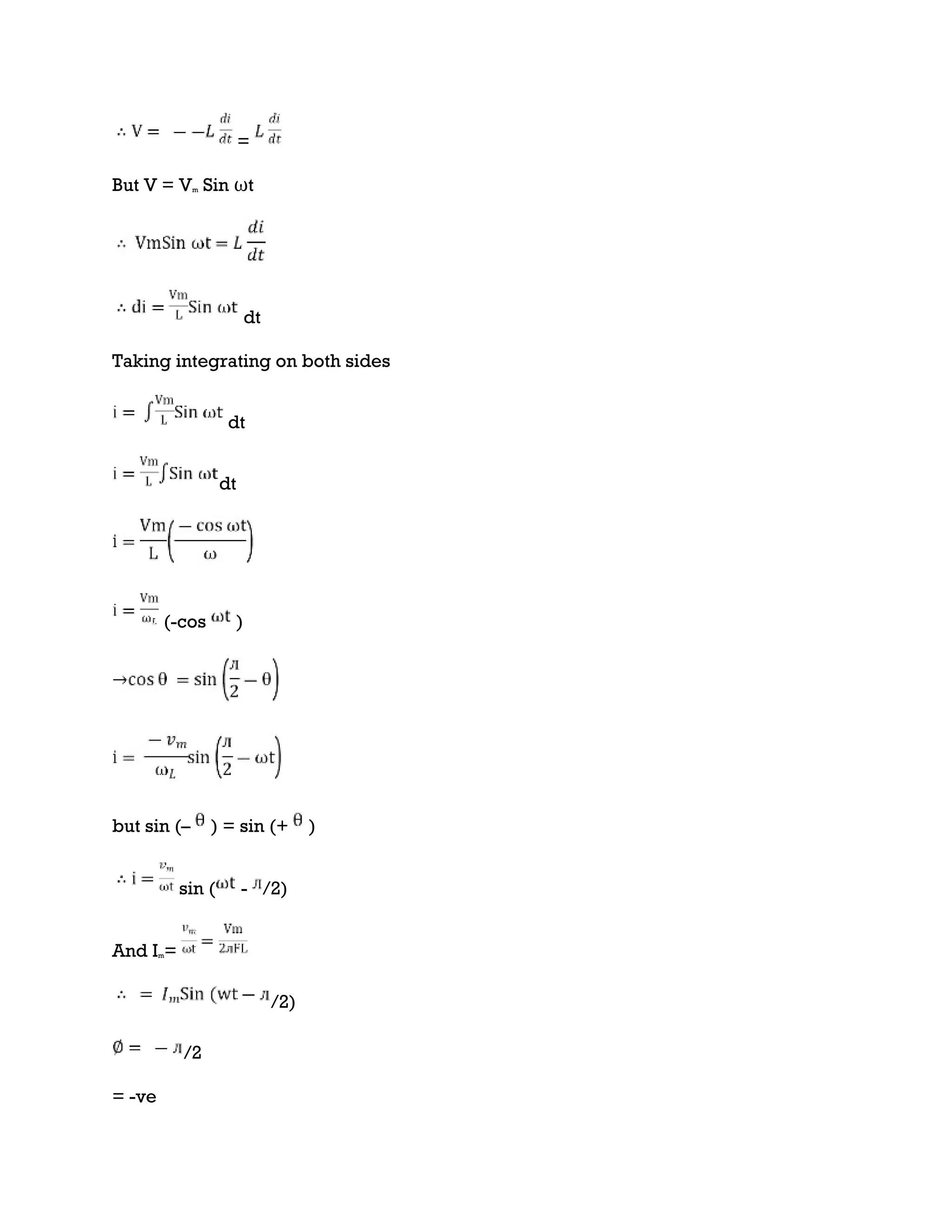
at all instant applied voltage V is equal and opposite to self-induced emf [ lenz’s law]
V = -e
=
But V = Vm Sin ωt
dt
Taking integrating on both sides
dt
dt
(-cos )
but sin (– ) = sin (+ )
sin ( - /2)
And Im=
/2)
/2
= -ve
= lagging
= I lag v by 900
Phasor:
Power P = Ѵ. I
= Vm sin wt Im sin (wt /2)
= Vm Im Sin wt Sin (wt – /s)
①
And
Sin (wt - /s) = - cos wt ②
Sin (wt – ) = - cos
sin 2 wt from ① and ②
The average value of sin curve over a complete cycle is always zero
Pavg = 0
Ac circuit containing pure capacitors:
Consider pure capacitor C is connected across alternating voltage source
Ѵ = Ѵm Sin wt
Current is passing through capacitor the instantaneous charge ɡ produced on the
plate of capacitor
ɡ = C Ѵ
the current is rate of flow of charge
i= (cvm sin wt)
i = c Vm w cos wt
then rearranging the above eqth.
i = cos wt
= sin (wt + X/2)
i = sin (wt + X/2)
but
X/2)
= leading
= I leads V by 900
Waveform:
Phase
Power P= Ѵ. i
= [Vm sinwt] [ Im sin (wt + X/2)]
= Vm Im Sin wt Sin (wt + X/2)]
(cos wt)
to charging power waveform [resultant].
Series R-L Circuit
Consider a series R-L circuit connected across voltage source V= Vm sin wt
As some I is the current flowing through the resistor and inductor due do this current
voltage drops arcos R and L R VR = IR and L VL = I X L
Total V = VR + VL
V = IR + I X L V = I [R + X L]
Take current as the reference phasor : 1) for resistor current is in phase with voltage
2) for Inductor voltage leads current or current lags voltage by 90 0.
For voltage triangle
Ø is power factor angle between current and resultant voltage V and
V =
V =
where Z = Impedance of circuit and its value is =
Impedance Triangle
Divide voltage triangle by I
Rectangular form of Z = R+ixL
and polar from of Z = L +
(+ j X L + because it is in first quadrant )
Where =
+ Tan -1
Current Equation :
From the voltage triangle we can sec. that voltage is leading current by or current
is legging resultant voltage by
Or i = = [ current angles - Ø )
Resultant Phasor Diagram from Voltage and current eqth.
Wave form
Power equation
P = V .I.
P = Vm Sin wt Im Sin wt – Ø
P = Vm Im (Sin wt) Sin (wt – Ø)
P = (Cos Ø) - Cos (2wt – Ø)
Since 2 sin A Sin B = Cos (A-B) – Cos
(A+B)
P = Cos Ø - Cos (2wt – Ø)
①②
Average Power
pang = Cos Ø
Since ② term become zero because Integration of cosine come from 0 to 2ƛ
pang = Vrms Irms cos Ø watts.
Power Triangle :
From
VI = VRI + VLI B
Now cos Ø in A =
①
Similarly Sin =
Apparent Power Average or true Reactive or useless power
Or real or active
-Unit (VI) Unit (Watts) C/W (VAR) denoted by (Ø)
Denoted by [S] denoted by [P]
Power for R L ekt.
Series R-C circuit
V = Vm sin wt
VR
I
 Consider a series R – C circuit in which resistor R is connected in series with capacitor C
across a ac voltage so use V = VM Sin wt (voltage equation).
 Assume Current I is flowing through
R and C voltage drops across.
R and C R VR = IR
And C Vc = I c
V = lZl
Voltage triangle : take current as the reference phasor 1) for resistor current is in
phase with voltage 2) for capacitor current leads voltage or voltage lags behind
current by 900
Where Ø is power factor angle between current and voltage (resultant) V
And from voltage
V =
V =
V =
V = lZl
Where Z = impedance of circuit and its value is lZl =
Impendence triangle :
Divide voltage by as shown
Rectangular from of Z = R - jXc
Polar from of Z = lZl L - Ø
( - Ø and –jXc because it is in fourth quadrant ) where
lZl =
and Ø = tan -1
Current equation :
from voltage triangle we can see that voltage is lagging current by Ø or current is leading
voltage by Ø
i = IM Sin (wt + Ø) since Ø is +ve
Or i = for RC
LØ [ resultant current angle is + Ø]
Resultant phasor diagram from voltage and current equation
Resultant wave form :
Power Equation :
P = V. I
P = Vm sin wt. Im Sin (wt + Ø)
= Vm Im sin wt sin (wt + Ø)
2 Sin A Sin B = Cos (A-B) – Cos (A+B)
-
Average power
pang = Cos Ø
since 2 terms integration of cosine wave from 0 to 2ƛ become zero
2 terms become zero
pang = Vrms Irms Cos Ø
Power triangle RC Circuit:
R-L-C series circuit
Consider ac voltage source V = Vm sin wt connected across combination of R L and
C. when I flowing in the circuit voltage drops across each component as shown
below.
VR = IR, VL = I L, VC = I C
 According to the values of Inductive and Capacitive Reactance I e XL and XC decides the
behaviour of R-L-C series circuit according to following conditions
① XL> XC, ② XC> XL, ③ XL = XC
① XL > XC: Since we have assumed XL> XC
Voltage drop across XL> than XC
VL> VC A
 Voltage triangle considering condition A
VL and VC are 180 0 out of phase .
Therefore cancel out each other
Resultant voltage triangle
Now V = VR + VL + VC c phasor sum and VL and VC are directly in phase opposition
and VL VC their resultant is (VL - VC).
From voltage triangle
V =
V =
V = I
Impendence : divide voltage
Rectangular form Z = R + j (XL – XC)
Polar form Z = l + Ø B
Where =
And Ø = tan-1
 Voltage equation : V = Vm Sin wt
 Current equation
i = from B
i = L-Ø C
as VL VC the circuit is mostly inductive and I lags behind V by angle Ø
Since i = L-Ø
i = Im Sin (wt – Ø) from c
 XC
XL :Since we have assured XC
XL
the voltage drops across XC than XL
XC XL (A)
voltage triangle considering condition (A)
Resultant Voltage
Now V = VR + VL + VC phases sum and VL and VC are directly in phase
opposition and VC VL their resultant is (VC – VL)
From voltage
V =
V =
V =
V =
Impedance : Divide voltage
 Rectangular form : Z + R – j (XC – XL) – 4th
qurd
Polar form : Z = L -
Where
And Ø = tan-1
–
 Voltage equation : V = Vm Sin wt
 Current equation : i =
from B
 i =
L+Ø C
as VC the circuit is mostly capacitive and leads voltage by angle Ø
since i = L + Ø
Sin (wt – Ø) from C
 Power
:
 XL= XC (resonance condition):
ɡȴ XL= XC then VL= VC and they are 1800 out of phase with each other they will
cancel out each other and their resultant will have zero value.
Hence resultant V = VR and it will be in phase with I as shown in below phasor
diagram.
From above resultant phasor diagram
V =VR + IR
Or V = I lZl
Because lZl + R
Thus Impedance Z is purely resistive for XL = XC and circuit current will be in
phase with source voltage.
Since VR= V
Øis zero when XL = XC power is unity
ie pang = V
rms I
rms cos Ø = 1 cos o = 1
maximum power will be transferred by condition. XL = XC
2.5 Resonance. Three-Phase Balanced Circuits
3Φ system in which three voltages are of identical magnitudes and frequency and
are displaced by 120° from each other called as symmetrical system.
Phase sequence:
The sequence in which the three phases reach their maximum positive values.
Sequence is R-Y-B. Three colors used to denote three faces are red ,yellow and blue.
The direction of rotation of 3Φ machines depends on phase sequence. If a sequence
is changed i.e. R-B-Y then the direction of rotation will be reversed.
Types of loads
 Star connection of load
 Delta connection of load
Balanced load:
Balanced load is that in which
magnitudes of all impedances
connected in the load are
areequal and the phase angles of
them are also equal.
i.e.
If. ≠ ≠ then it is unbalanced load
Phasor Diagram
Consider equation ①
Note : we are getting resultant line current IR by subtracting 2 phase currents IRY and
IBR take phase currents at reference as shown
Cos 300 =
=
Complete phases diagram for delta connected balanced Inductive load.
Phase current IYB lags behind VYB which is phase voltage as the load is inductive
2.6 Voltage and Current Relations In Star And Delta Connections
Voltage
 The relation between line value and phase value of voltage and current for a balance (
) delta connected inductive load
Consider a 3 Ø balance delta connected inductive load
Line values
Line voltage = VRY = VYB = VBR = VL
Line current = IR = IY = IB = IL
Phase value
Phase voltage = VRN = VYN = VBN = Vph
Phase current = VRN = VYN = VBN = Vph
since for a balance delta connected load the voltage measured in line and phase is
same because their measuring points are same
for balance delta connected load VL = Vph
VRV = VYB = VBR = VR = VY = VB = VL = VPh
since the line current differ from phase current we can relate the line and phase
values of current as follows
Apply KCL at node R
IR + IRY= IRY
IR = IRY - IRY … …. ①
Line phase
Similarly apply KCL at node Y
IY + IYB = IRY … …. ②
Apply KCL at node B
IB + IBR = IYB … ….③
PPh = VPh IPh Cos Ø
For 3 Ø total power is
PT= 3 VPh IPh Cos Ø …….①
For star
VL and IL = IPh (replace in ①)
PT = 3 IL Cos Ø
PT = 3 VL IL Cos Ø – watts
For delta
VL = VPh and IL = (replace in ①)
PT = 3VL Cos Ø
PT VL IL Cos Ø – watts
Total average power
P = VL IL Cos Ø – for ʎ and load
K (watts)
Total reactive power
Q = VL IL Sin Ø – for star delta load
K (VAR)
Total Apparent power
S = VL IL – for star delta load
K (VA)
 Power triangle
 Relation between power
In star and power in delta
Consider a star connected balance load with per phase impedance ZPh
We know that for
VL = VPh andVL = VPh
Now IPh =
VL = =
And VPh =
IL = ……①
Pʎ = VL IL Cos Ø ……②
Replacing ① in ② value of IL
Pʎ = VL IL Cos Ø
Pʎ = ….A
Now for delta
IPh =
IPh = =
And IL = IPh
IL = X …..①
P = VL IL Cos Ø ……②
Replacing ② in ① value of IL
P = Cos Ø
P = …..B
Pʎ from …A
…..C
= P
We can conclude that power in delta is 3 time power in star from …C
Or
Power in star is time power in delta from ….D
 Step to solve numerical
Calculate V
 Ph from the given value of VL by relation
For star VPh =
For delta VPh = VL
2. Calculate IPh using formula
IPh =
3. Calculate IL using relation
IL = IPh - for star
IL = IPh - for delta
Calculate P by formula (active power)
P = VL IL Cos Ø – watts
Calculate Q by formula (reactive power)
Q = VL IL Sin Ø – VAR
Calculate S by formula (Apparent power)
S = VL IL– VA

MODULE 2: AC CIRCUITS REPRESENTATION OF SINUSOIDAL WAVEFORMS, PEAK, RMS AND AVERAGE VALUE

  • 1.
    BEE Unit – 2 ACCircuits 2.1 Representation Of Sinusoidal Waveforms, Peak, Rms And Average Values (Form Factor And Peak Factor) Peat to peak value: The value of an alternating quantity from its positive peak to negative peak Amplitude = peak to peak values / 2 Average Value:
  • 2.
    The arithmetic mean ofall the value over complete one cycle is called as average value = For the derivation we are considering only hall cycle. Thus varies from 0 to ᴫ i = Im Sin Solving we get
  • 3.
    Similarly, Vavg= The averagevalue of sinusoid ally varying alternating current is 0.636 times maximum value of alternating current. RMS value: Root mean square value The RMS value of AC current is equal to the steady state DC current that required to produce the same amount of heat produced by ac current provided that resistance and time for which these currents flows are identical. I rms = Direction for RMS value:
  • 4.
    Instantaneous current equationis given by i = Im Sin but I rms = = = = Solving = = Similar we can derive V rms= or 0.707 Vm the RMS value of sinusoidally alternating current is 0.707 times the maximum value of alternating current. Peak or krest factor (kp) (for numerical) It is the ratio of maximum value to rms value of given alternating quantity Kp = Kp =
  • 5.
    Kp = 1.414 Formfactor (Kf): For numerical It is the ratio of RMS value to average value of given alternating quality”. 2.2 Impedance of Series and Parallel Circuit Let us first consider the simple parallel RLC circuit with DC excitation as shown in the figure below.
  • 6.
    For the sakeof simplifying the process of finding the response we shall also assume that the initial current in the inductor and the voltage across the capacitor are zero. Then applying the Kirchhoff’s current law (KCL )( i = iC +iL ) to the common node we get the following differential equation: (V-v) /R = 1/L dt’ + C. dv/dt where v = vC(t) = vL(t) is the variable whose value is to be obtained. When we differentiate both sides of the above equation once with respect to time we get the standard Linear second-order homogeneous differential equation C. (d 2 v / dt 2 ) + (1/R) ( dv/dt) + (1/L).v =0 (d 2 v / dt 2 ) + (1/RC) ( dv/dt) + (1/LC).v =0 whose solution v(t) is the desired response. This can be written in the form: [s 2 + (1/RC)s + (1/LC)].v(t) = 0 where ‘s’ is an operator equivalent to (d/dt) and the corresponding characteristic equation is then given by : [s 2 + (1/RC)s + (1/LC)] = 0 This equation is usually called the auxiliary equation or the characteristic equation. If it can be satisfied, then our assumed solution is correct. This is a quadratic equation and the roots s1 and s2are given as : s1= − 1/2RC+√[(1/2RC) 2 − 1/LC] s2= − 1/2RC−√[ (1/2RC)2 − 1/LC ] Series RLC circuit:
  • 7.
    Applying KVL tothe series RLC circuit shown in the figure above at t= 0 gives the following basic relation : V = vR(t) + vC(t ) + vL(t) Representing the above voltages in terms of the current iin the circuit we get the following integral differentia lequation: Ri + 1/C∫ 𝒊𝒅𝒕 + L. (di/dt)= V To convert it into a differential equation it is differentiated on both sides with respect to time and we get L(d2 i/dt2 )+ R(di/dt)+ (1/C)i = 0 This can be written in the form [s2 + (R/L)s + (1/LC)].i = 0 where ‘s’ is an operator equivalent to (d/dt) And the corresponding characteristic equation is then given by [s2 + (R/L)s + (1/LC)] = 0 This is in the standard quadratic equation form and the rootss1ands2are given by s1,s2 =− R/2L±√[(R/2L)2− (1/LC)]= −α ±√(α 2– ω0 2 ) where α is known as the same exponential damping coefficient and ω0is known as the same Resonant frequency as explained in the case of Parallel RLC circuit and are given by : α = R/2L and ω0= 1/ √LC and A1 and A2must be found by applying the given initial conditions.
  • 8.
    Here also wenote three basic scenarios with the equations for s1 and s2 depending on the relative sizes of αand ω0 (dictated by the values of R, L, and C). CaseA: α > ω0,i.e when (R/2L) 2>1/LC , s1 and s2 will both be negative real numbers, leading to what is referred to as an over damped response given by : i (t) = A1e s1t + A2e s2t . Sinces1 and s2 are both be negative real numbers this is the (algebraic) sum of two decreasing exponential terms. Since s2 is a larger negative number it decays faster and then the response is dictated by the first term A1e s1t . Case B : α = ω0, ,i.e when (R/2L) 2=1/LCs1 and s2are equal which leads to what is called a critically damped response given by : i (t) = e −αt (A1t + A2) Case C : α < ω0,i.e when (R/2L) 2 2.3 Phasor Representation, Real Power, Reactive Power, Apparent Power, Power Factor, Power Triangle Apparent power : (S):- it is defined as product of rms value of voltage (v) and current (I), or it  is the total power/maximum power S= V × I Unit - Volte- Ampere (VA) In kilo – KVA 2. Real power/ True power/Active power/Useful power : (P) it is defined as the product of rms value of voltage and current and the active component or it is the average or actual power consumed by the resistive path (R) in the given combinational circuit. It is measured in watts P = VI Φ watts / KW, where Φ is the power factor angle. 3. Reactive power/Imaginary/useless power [Q] It is defined as the product of voltage, current and sine B and I Therefore, Q= V.I Φ Unit –V A R
  • 9.
    In kilo- KVAR Aswe know power factor is cosine of angle between voltage and current i.e. ɸ. F = cos ɸ In other words, also we can derive it from impedance triangle Now consider Impedance triangle in R.L.ckt From triangle , Now Φ – power factor= Power factor = Φ or Resonance with Definition, condition and derivation Resonance in series RLC circuit Definition: It is defined as the phenomenon which takes place in the series or parallel R-L-C circuit which leads to unity power factor Voltage and current in R-L-C ckt are in phase with each other. Resonance is used in many communication circuits such as radio receiver. Resonance in series RLC -> series resonance in parallel->antiresonance/parallel resonance Condition for resonance XL=XC Resonant frequency (fr): For given values R-L-C the inductive reactance XL becomes exactly equal to the capacitive reactance XC only at one particular frequency. This frequency is called as resonant frequency and denoted by ( fr) Expression for resonant frequency (fr) We know that
  • 10.
    XL = -inductive reactance capacitive reactance At a particle or frequency f=fr,the inductive and capacitive reactance are exactly equal Therefore, XL = XC ----at f=fr i.e. Therefore, and rad/sec 2.4 Analysis Of Single-Phase Ac Circuits Consisting Of R, L, C, Rl, Rc, Rlc Combinations (Series And Parallel) 3 Basic element of AC circuit. 1] Resistance 2] Inductance 3] Capacitance Each element produces opposition to the flow of AC supply in forward manner. Reactance Inductive Reactance (X  L) It is opposition to the flow of an AC current offered by inductor. XL = ω L But ω = 2 ᴫ F XL = 2 ᴫ F L
  • 11.
    It is measuredin ohm XL∝FInductor blocks AC supply and passes dc supply zero 2. Capacitive Reactance (Xc) It is opposition to the flow of ac current offered by capacitor Xc = Measured in ohm Capacitor offers infinite opposition to dc supply Impedance (Z) The ac circuit is to always pure R pure L and pure C it well attains the combination of these elements. “The combination of R1 XL and XC is defined and called as impedance represented as Z = R +i X Ø = 0 only magnitude R = Resistance, i = denoted complex variable, X =Reactance XL or Xc Polar Form Z = L I Where = Measured in ohm Power factor (P.F.) It is the cosine of angle between voltage and current
  • 12.
    If Ɵis –veor lagging (I lags V) then lagging P.F. If Ɵ is +ve or leading (I leads V) then leading P.F. If Ɵ is 0 or in phase (I and V in phase) then unity P.F. Ac circuit containing pure resisting Consider Circuit Consisting pure resistance connected across ac voltage source V = Vm Sin ωt ① According to ohm’s law i = = But Im = ② Phases diagram From ① and ② phase or represents RMD value. Power P = V. i Equation P = Vm sin ω t Im sin ω t P = Vm Im Sin2 ω t
  • 13.
    P = - Constantfluctuating power if we integrate it becomes zero Average power Pavg = Pavg = Pavg = Vrms Irms Power ware form [Resultant] Ac circuit containing pure Inductors Consider pure Inductor (L) is connected across alternating voltage. Source V = Vm Sin ωt When an alternating current flow through inductance it set ups alternating magnetic flux around the inductor. This changing the flux links the coil and self-induced emf is produced According to faradays Law of E M I e = at all instant applied voltage V is equal and opposite to self-induced emf [ lenz’s law] V = -e
  • 14.
    = But V =Vm Sin ωt dt Taking integrating on both sides dt dt (-cos ) but sin (– ) = sin (+ ) sin ( - /2) And Im= /2) /2 = -ve
  • 15.
    = lagging = Ilag v by 900 Phasor: Power P = Ѵ. I = Vm sin wt Im sin (wt /2) = Vm Im Sin wt Sin (wt – /s) ① And Sin (wt - /s) = - cos wt ② Sin (wt – ) = - cos sin 2 wt from ① and ② The average value of sin curve over a complete cycle is always zero
  • 16.
    Pavg = 0 Accircuit containing pure capacitors: Consider pure capacitor C is connected across alternating voltage source Ѵ = Ѵm Sin wt Current is passing through capacitor the instantaneous charge ɡ produced on the plate of capacitor ɡ = C Ѵ the current is rate of flow of charge i= (cvm sin wt) i = c Vm w cos wt then rearranging the above eqth. i = cos wt = sin (wt + X/2)
  • 17.
    i = sin(wt + X/2) but X/2) = leading = I leads V by 900 Waveform: Phase Power P= Ѵ. i = [Vm sinwt] [ Im sin (wt + X/2)] = Vm Im Sin wt Sin (wt + X/2)] (cos wt) to charging power waveform [resultant].
  • 18.
    Series R-L Circuit Considera series R-L circuit connected across voltage source V= Vm sin wt As some I is the current flowing through the resistor and inductor due do this current voltage drops arcos R and L R VR = IR and L VL = I X L Total V = VR + VL V = IR + I X L V = I [R + X L] Take current as the reference phasor : 1) for resistor current is in phase with voltage 2) for Inductor voltage leads current or current lags voltage by 90 0.
  • 19.
    For voltage triangle Øis power factor angle between current and resultant voltage V and V = V = where Z = Impedance of circuit and its value is = Impedance Triangle Divide voltage triangle by I Rectangular form of Z = R+ixL and polar from of Z = L +
  • 20.
    (+ j XL + because it is in first quadrant ) Where = + Tan -1 Current Equation : From the voltage triangle we can sec. that voltage is leading current by or current is legging resultant voltage by Or i = = [ current angles - Ø ) Resultant Phasor Diagram from Voltage and current eqth. Wave form Power equation P = V .I. P = Vm Sin wt Im Sin wt – Ø P = Vm Im (Sin wt) Sin (wt – Ø) P = (Cos Ø) - Cos (2wt – Ø) Since 2 sin A Sin B = Cos (A-B) – Cos (A+B)
  • 21.
    P = CosØ - Cos (2wt – Ø) ①② Average Power pang = Cos Ø Since ② term become zero because Integration of cosine come from 0 to 2ƛ pang = Vrms Irms cos Ø watts. Power Triangle : From VI = VRI + VLI B Now cos Ø in A = ① Similarly Sin =
  • 22.
    Apparent Power Averageor true Reactive or useless power Or real or active -Unit (VI) Unit (Watts) C/W (VAR) denoted by (Ø) Denoted by [S] denoted by [P] Power for R L ekt. Series R-C circuit V = Vm sin wt VR I
  • 23.
     Consider aseries R – C circuit in which resistor R is connected in series with capacitor C across a ac voltage so use V = VM Sin wt (voltage equation).  Assume Current I is flowing through R and C voltage drops across. R and C R VR = IR And C Vc = I c V = lZl Voltage triangle : take current as the reference phasor 1) for resistor current is in phase with voltage 2) for capacitor current leads voltage or voltage lags behind current by 900 Where Ø is power factor angle between current and voltage (resultant) V And from voltage V = V = V = V = lZl
  • 24.
    Where Z =impedance of circuit and its value is lZl = Impendence triangle : Divide voltage by as shown Rectangular from of Z = R - jXc Polar from of Z = lZl L - Ø ( - Ø and –jXc because it is in fourth quadrant ) where lZl = and Ø = tan -1 Current equation : from voltage triangle we can see that voltage is lagging current by Ø or current is leading voltage by Ø i = IM Sin (wt + Ø) since Ø is +ve Or i = for RC LØ [ resultant current angle is + Ø] Resultant phasor diagram from voltage and current equation
  • 25.
    Resultant wave form: Power Equation : P = V. I P = Vm sin wt. Im Sin (wt + Ø) = Vm Im sin wt sin (wt + Ø) 2 Sin A Sin B = Cos (A-B) – Cos (A+B) - Average power pang = Cos Ø since 2 terms integration of cosine wave from 0 to 2ƛ become zero 2 terms become zero pang = Vrms Irms Cos Ø Power triangle RC Circuit: R-L-C series circuit
  • 26.
    Consider ac voltagesource V = Vm sin wt connected across combination of R L and C. when I flowing in the circuit voltage drops across each component as shown below. VR = IR, VL = I L, VC = I C  According to the values of Inductive and Capacitive Reactance I e XL and XC decides the behaviour of R-L-C series circuit according to following conditions ① XL> XC, ② XC> XL, ③ XL = XC ① XL > XC: Since we have assumed XL> XC Voltage drop across XL> than XC VL> VC A  Voltage triangle considering condition A VL and VC are 180 0 out of phase . Therefore cancel out each other Resultant voltage triangle
  • 27.
    Now V =VR + VL + VC c phasor sum and VL and VC are directly in phase opposition and VL VC their resultant is (VL - VC). From voltage triangle V = V = V = I Impendence : divide voltage Rectangular form Z = R + j (XL – XC) Polar form Z = l + Ø B Where = And Ø = tan-1  Voltage equation : V = Vm Sin wt
  • 28.
     Current equation i= from B i = L-Ø C as VL VC the circuit is mostly inductive and I lags behind V by angle Ø Since i = L-Ø i = Im Sin (wt – Ø) from c  XC XL :Since we have assured XC XL the voltage drops across XC than XL XC XL (A) voltage triangle considering condition (A)
  • 29.
    Resultant Voltage Now V= VR + VL + VC phases sum and VL and VC are directly in phase opposition and VC VL their resultant is (VC – VL) From voltage V = V = V = V = Impedance : Divide voltage
  • 30.
     Rectangular form: Z + R – j (XC – XL) – 4th qurd Polar form : Z = L - Where And Ø = tan-1 –  Voltage equation : V = Vm Sin wt  Current equation : i = from B  i = L+Ø C as VC the circuit is mostly capacitive and leads voltage by angle Ø since i = L + Ø Sin (wt – Ø) from C  Power :
  • 31.
     XL= XC(resonance condition): ɡȴ XL= XC then VL= VC and they are 1800 out of phase with each other they will cancel out each other and their resultant will have zero value. Hence resultant V = VR and it will be in phase with I as shown in below phasor diagram. From above resultant phasor diagram V =VR + IR Or V = I lZl Because lZl + R Thus Impedance Z is purely resistive for XL = XC and circuit current will be in phase with source voltage. Since VR= V Øis zero when XL = XC power is unity ie pang = V rms I rms cos Ø = 1 cos o = 1 maximum power will be transferred by condition. XL = XC 2.5 Resonance. Three-Phase Balanced Circuits 3Φ system in which three voltages are of identical magnitudes and frequency and are displaced by 120° from each other called as symmetrical system. Phase sequence:
  • 32.
    The sequence inwhich the three phases reach their maximum positive values. Sequence is R-Y-B. Three colors used to denote three faces are red ,yellow and blue. The direction of rotation of 3Φ machines depends on phase sequence. If a sequence is changed i.e. R-B-Y then the direction of rotation will be reversed. Types of loads  Star connection of load  Delta connection of load Balanced load: Balanced load is that in which magnitudes of all impedances connected in the load are areequal and the phase angles of them are also equal. i.e. If. ≠ ≠ then it is unbalanced load Phasor Diagram Consider equation ① Note : we are getting resultant line current IR by subtracting 2 phase currents IRY and IBR take phase currents at reference as shown Cos 300 =
  • 33.
    = Complete phases diagramfor delta connected balanced Inductive load. Phase current IYB lags behind VYB which is phase voltage as the load is inductive 2.6 Voltage and Current Relations In Star And Delta Connections Voltage  The relation between line value and phase value of voltage and current for a balance ( ) delta connected inductive load Consider a 3 Ø balance delta connected inductive load
  • 34.
    Line values Line voltage= VRY = VYB = VBR = VL Line current = IR = IY = IB = IL Phase value Phase voltage = VRN = VYN = VBN = Vph Phase current = VRN = VYN = VBN = Vph since for a balance delta connected load the voltage measured in line and phase is same because their measuring points are same for balance delta connected load VL = Vph VRV = VYB = VBR = VR = VY = VB = VL = VPh since the line current differ from phase current we can relate the line and phase values of current as follows Apply KCL at node R IR + IRY= IRY IR = IRY - IRY … …. ① Line phase Similarly apply KCL at node Y IY + IYB = IRY … …. ② Apply KCL at node B IB + IBR = IYB … ….③ PPh = VPh IPh Cos Ø For 3 Ø total power is PT= 3 VPh IPh Cos Ø …….①
  • 35.
    For star VL andIL = IPh (replace in ①) PT = 3 IL Cos Ø PT = 3 VL IL Cos Ø – watts For delta VL = VPh and IL = (replace in ①) PT = 3VL Cos Ø PT VL IL Cos Ø – watts Total average power P = VL IL Cos Ø – for ʎ and load K (watts) Total reactive power Q = VL IL Sin Ø – for star delta load K (VAR) Total Apparent power S = VL IL – for star delta load K (VA)  Power triangle
  • 36.
     Relation betweenpower In star and power in delta Consider a star connected balance load with per phase impedance ZPh We know that for VL = VPh andVL = VPh Now IPh = VL = = And VPh = IL = ……① Pʎ = VL IL Cos Ø ……② Replacing ① in ② value of IL Pʎ = VL IL Cos Ø Pʎ = ….A Now for delta IPh =
  • 37.
    IPh = = AndIL = IPh IL = X …..① P = VL IL Cos Ø ……② Replacing ② in ① value of IL P = Cos Ø P = …..B Pʎ from …A …..C = P We can conclude that power in delta is 3 time power in star from …C Or Power in star is time power in delta from ….D  Step to solve numerical Calculate V  Ph from the given value of VL by relation For star VPh = For delta VPh = VL 2. Calculate IPh using formula IPh = 3. Calculate IL using relation
  • 38.
    IL = IPh- for star IL = IPh - for delta Calculate P by formula (active power) P = VL IL Cos Ø – watts Calculate Q by formula (reactive power) Q = VL IL Sin Ø – VAR Calculate S by formula (Apparent power) S = VL IL– VA