Q1. Prove that for a hexagonal geometry, the co-channel reuse ratio is given by 
Q   3N , where N   i2  ij  j2 . Hint : Use the cosine law and the hexagonal 
cell geometry.
Q2. A cellular service provider decides to use a digital TDMA scheme which can 
tolerate a signal-to-interference ratio of 15 dB in the worst case. Find the optimal 
value of N for (a) omnidirectional antennas, (b) 120o sectoring, and (c) 60o 
sectoring. Should sectoring be used? If so, which case (120o or 60o) should be 
used? (Assume a path loss exponent of n=4 and consider trunking efficiency). 
Q3. A receiver in an urban cellular radio system detects a 1 mW signal at d=d0=1 
meter from the transmitter. In order to mitigate co-channel interference effects, it 
is required that the signal received at any base station receiver from another base 
station transmitter which operates with the same channel must be below -120 dB. 
A measurement team has determined that the average path loss exponent in the 
system is n=3. Determine the major radius of each cell if a seven-cell reuse 
pattern is used. What is the major radius if a four-cell reuse pattern is 
used?
Q4. A cellular system using a cluster size of seven is described in Q3. It is operated 
with 660 channels, 30 of which are designated as setup (control) channels so that 
there are about 90 voice channels available per cell. If there is a potential user 
density of 9000 users/km2 in the system, and each user makes an average of one 
call per hour and each call lasts 1 minute during peak hours, determine the 
probability that a user will experience a delay greater than 20 seconds if all calls 
are queued.
Q5. The U.S. AMPS system is allocated 50 MHz of spectrum in the 800MHz range 
and provides 832 channels. 42 of those channels are control channels. The 
forward channel frequency is exactly 45 MHz greater than the reverse channel 
frequency. 
(a) Is the AMPS simplex, half-duplex, of duplex? What is the bandwidth for each 
channel? 
(b) Assume a base station transmits control information on channel 352, 
operating at 880.56 MHz. What is the transmission frequency of a subscriber 
unit transmitting on channel 352. 
(c) The A-side and B-side cellular carriers evenly split the AMPS channels. Find 
the number if voice channels and number of control channels for each carrier. 
(d) For an ideal hexagonal cellular layout which has identical cell coverage, what 
is the distance between the centers of two nearest co-channel cells for 
seven-cell reuse? For four-cell reuse?
Q6. Assume a receiver is located 10km from a 50 W transmitter. The carrier frequency 
is 6 GHz and free space propagation is assumed, 1 t G   and 1 r G   . 
(a) Find the power at the receiver. 
(b) Find the magnitude of the E-field at the receiver antenna. 
(c) Find the rms voltage applied to the receiver input, assuming that the receiver 
antenna has a purely real impedance of 5˃Ө and is matched to the receiver.
Q7. Free space propagation: Assume the transmitter power is 1W at 60 GHz fed into 
the transmitter antenna (AssumeGt   Gr   29 dB and 30 t P 
  dBm). 
(a) Calculate the free space path loss at 1m, 100m, 1000m. 
(b) Calculate the received signal power at these distances. 
(c) What is the rms voltage received at the antenna if the receiver antenna has 
purely real impedance of 5˃Ө and is matched to the receiver?
Q8. From the knife-edge diffraction model, show how the diffracted power depends 
on frequency. Assume d1   d2   500m and h  10m in Figure 1. (4.18) 
p1 p2 
h 
d1 d2 
Figure 1 
ө 
Ӫ ӫ
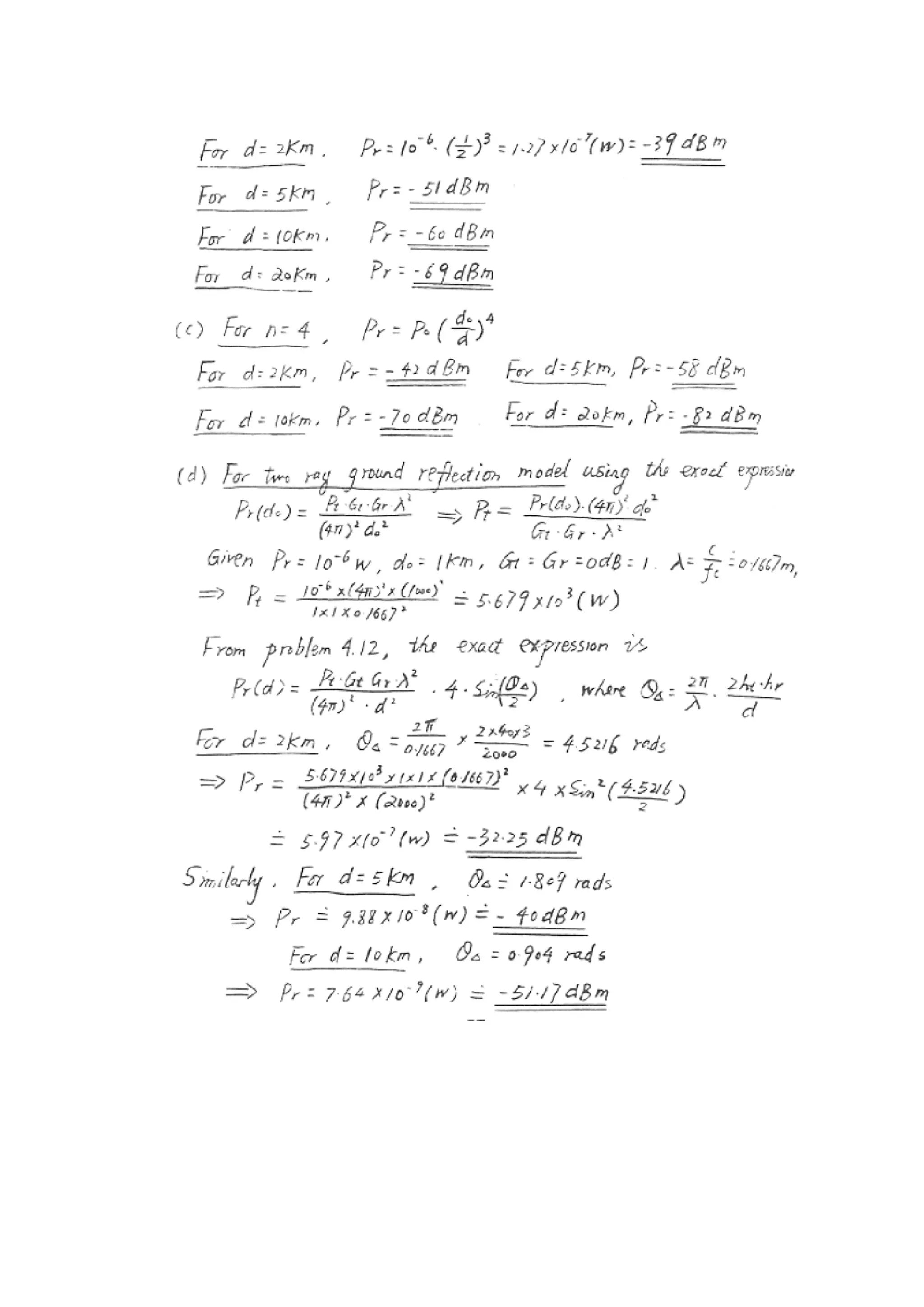
Q9. If the received power at a reference distance d0  1km is equal to 1 microwatt, 
find the received power at distance of 2km, 5km, 10km, and 20km from the same 
transmitter for the following path loss models: (a) Free space; (b)n=3; (c)n=4; 
(d)two-ray ground reflection using the exact expression. Assume f=1800MHz, 
ht=40m, hr=3m, 0 t r G   G   dB.
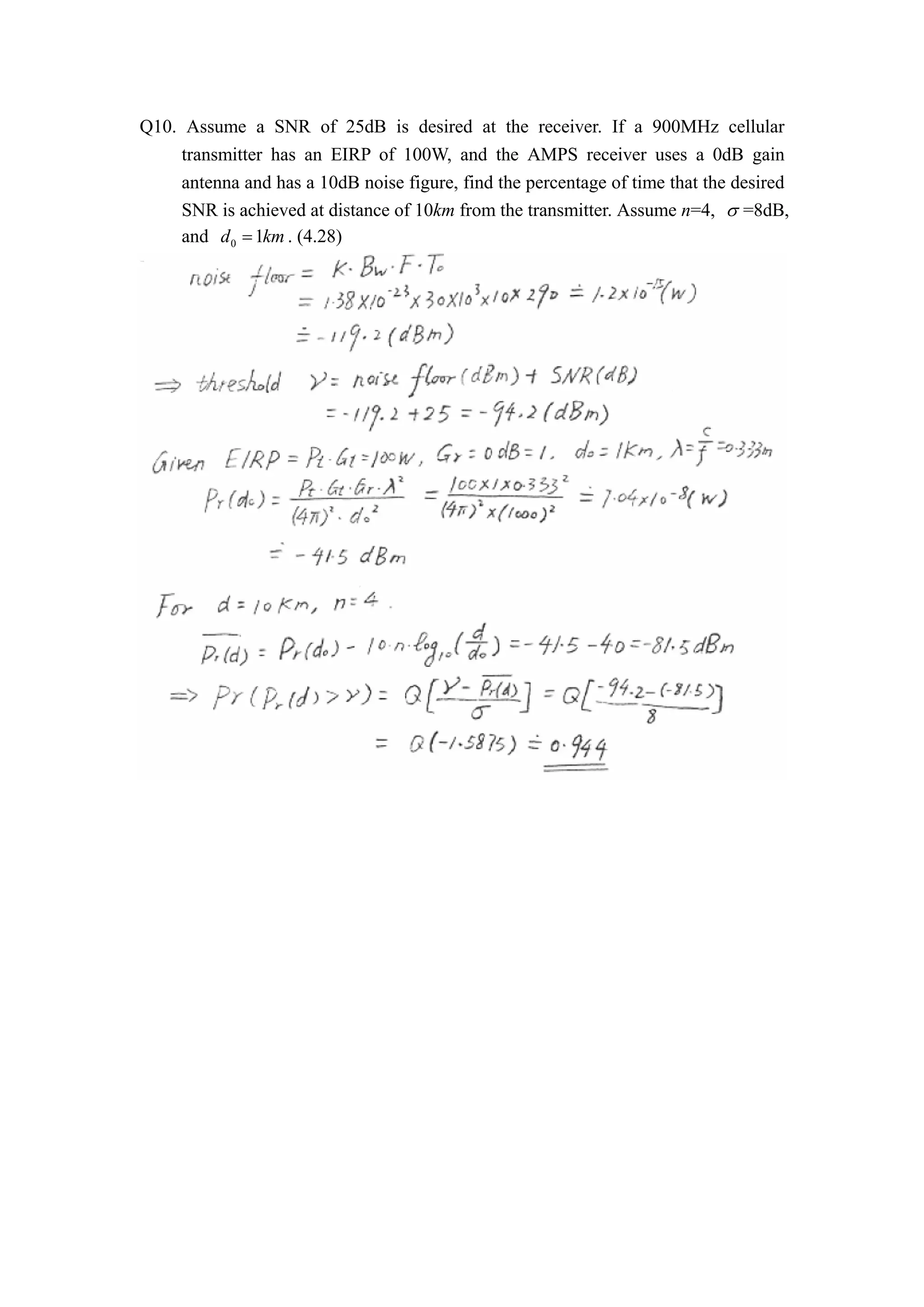
Q10. Assume a SNR of 25dB is desired at the receiver. If a 900MHz cellular 
transmitter has an EIRP of 100W, and the AMPS receiver uses a 0dB gain 
antenna and has a 10dB noise figure, find the percentage of time that the desired 
SNR is achieved at distance of 10km from the transmitter. Assume n=4, V =8dB, 
and d0  1km. (4.28)

Earlang ejercicios

  • 1.
    Q1. Prove thatfor a hexagonal geometry, the co-channel reuse ratio is given by Q 3N , where N i2 ij j2 . Hint : Use the cosine law and the hexagonal cell geometry.
  • 2.
    Q2. A cellularservice provider decides to use a digital TDMA scheme which can tolerate a signal-to-interference ratio of 15 dB in the worst case. Find the optimal value of N for (a) omnidirectional antennas, (b) 120o sectoring, and (c) 60o sectoring. Should sectoring be used? If so, which case (120o or 60o) should be used? (Assume a path loss exponent of n=4 and consider trunking efficiency). Q3. A receiver in an urban cellular radio system detects a 1 mW signal at d=d0=1 meter from the transmitter. In order to mitigate co-channel interference effects, it is required that the signal received at any base station receiver from another base station transmitter which operates with the same channel must be below -120 dB. A measurement team has determined that the average path loss exponent in the system is n=3. Determine the major radius of each cell if a seven-cell reuse pattern is used. What is the major radius if a four-cell reuse pattern is used?
  • 4.
    Q4. A cellularsystem using a cluster size of seven is described in Q3. It is operated with 660 channels, 30 of which are designated as setup (control) channels so that there are about 90 voice channels available per cell. If there is a potential user density of 9000 users/km2 in the system, and each user makes an average of one call per hour and each call lasts 1 minute during peak hours, determine the probability that a user will experience a delay greater than 20 seconds if all calls are queued.
  • 5.
    Q5. The U.S.AMPS system is allocated 50 MHz of spectrum in the 800MHz range and provides 832 channels. 42 of those channels are control channels. The forward channel frequency is exactly 45 MHz greater than the reverse channel frequency. (a) Is the AMPS simplex, half-duplex, of duplex? What is the bandwidth for each channel? (b) Assume a base station transmits control information on channel 352, operating at 880.56 MHz. What is the transmission frequency of a subscriber unit transmitting on channel 352. (c) The A-side and B-side cellular carriers evenly split the AMPS channels. Find the number if voice channels and number of control channels for each carrier. (d) For an ideal hexagonal cellular layout which has identical cell coverage, what is the distance between the centers of two nearest co-channel cells for seven-cell reuse? For four-cell reuse?
  • 7.
    Q6. Assume areceiver is located 10km from a 50 W transmitter. The carrier frequency is 6 GHz and free space propagation is assumed, 1 t G and 1 r G . (a) Find the power at the receiver. (b) Find the magnitude of the E-field at the receiver antenna. (c) Find the rms voltage applied to the receiver input, assuming that the receiver antenna has a purely real impedance of 5˃Ө and is matched to the receiver.
  • 8.
    Q7. Free spacepropagation: Assume the transmitter power is 1W at 60 GHz fed into the transmitter antenna (AssumeGt Gr 29 dB and 30 t P dBm). (a) Calculate the free space path loss at 1m, 100m, 1000m. (b) Calculate the received signal power at these distances. (c) What is the rms voltage received at the antenna if the receiver antenna has purely real impedance of 5˃Ө and is matched to the receiver?
  • 9.
    Q8. From theknife-edge diffraction model, show how the diffracted power depends on frequency. Assume d1 d2 500m and h 10m in Figure 1. (4.18) p1 p2 h d1 d2 Figure 1 ө Ӫ ӫ
  • 10.
    Q9. If thereceived power at a reference distance d0 1km is equal to 1 microwatt, find the received power at distance of 2km, 5km, 10km, and 20km from the same transmitter for the following path loss models: (a) Free space; (b)n=3; (c)n=4; (d)two-ray ground reflection using the exact expression. Assume f=1800MHz, ht=40m, hr=3m, 0 t r G G dB.
  • 12.
    Q10. Assume aSNR of 25dB is desired at the receiver. If a 900MHz cellular transmitter has an EIRP of 100W, and the AMPS receiver uses a 0dB gain antenna and has a 10dB noise figure, find the percentage of time that the desired SNR is achieved at distance of 10km from the transmitter. Assume n=4, V =8dB, and d0 1km. (4.28)